Демографическая ситуация и прогноз роста населения в Российской Федерации

  • Вид работы:
    Реферат
  • Предмет:
    Социология
  • Язык:
    Русский
    ,
    Формат файла:
    MS Word
    375,79 Кб
  • Опубликовано:
    2015-07-23
Вы можете узнать стоимость помощи в написании студенческой работы.
Помощь в написании работы, которую точно примут!

Демографическая ситуация и прогноз роста населения в Российской Федерации

Введение


Демографическая ситуация - это динамика численности и половозрастной структуры населения, а также демографических процессов (рождаемости, смертности, миграции, брачности и разводимости), протекающих на данной территории в определенное время. При этом, динамика численности населения складывается из естественного и механического движения населения. Естественное движение населения - это изменение численности населения под воздействием естественных процессов (рождаемости и смертности), которые определяют смену людских поколений. Механическое движение населения - перемещение людей на постоянное или временное жительство, обусловленное природными, экономическими, политическими и другими причинами.

Первоисточником получения сведений о населении являются переписи населения. Текущие оценки численности населения на 1 января рассчитываются на основании итогов последней переписи населения (в Российской Федерации 2010 год), к которым ежегодно прибавляются числа родившихся и прибывших на данную территорию и из которых вычитаются числа умерших и выбывших с данной территории. При этом, данные о возрасте на основе ответов на вопрос переписных листов о дате рождения, и уже на основании даты рождения автоматически рассчитывается полное число исполнившихся лет. Оценка возрастно-полового состава населения производится от итогов переписи населения. Естественный прирост населения равен разности чисел родившихся и умерших. Миграционный прирост рассчитывается как разность чисел прибывших и выбывших. Общий прирост населения представляет собой алгебраическую сумму естественного прироста и миграционного прироста.

Демографический взрыв - это резкое повышение рождаемости и увеличение количества народонаселения.

Демографическая яма - это снижение до катастрофической отметки основных составляющих демографическую ситуацию в стране.

Цель данной работы: изучить демографическую ситуацию в современной России.

1. Демографическая ситуация в Российской Федерации


Жизнеспособность государства напрямую зависит от устойчивого воспроизведения человеческих поколений, от сохранения трудоспособного населения (табл. 1, рис. 1).

Таблица 1 - Оценка численности населения на 1 января 2015 года, чел.


На 1 января 2015 года


Все население

Городское население

Сельское население

Российская Федерация

146270033

108286570

37983463

Центральный федеральный округ

38944837

31871860

7072977

Северо-Западный федеральный округ

13847170

11644096

2203074

Южный федеральный округ

14005541

8800751

5204790

Северо-Кавказский федеральный округ

9659070

4743225

4915845

Приволжский федеральный округ

29717813

21236020

8481793

Уральский федеральный округ

12276228

9934314

2341914

Сибирский федеральный округ

19313880

14039862

5274018

Дальневосточный федеральный округ

6211384

4685760

1525624

Крымский федеральный округ

2294110

1330682

963428


Рисунок 1 - Динамика численности населения в РФ, тыс. чел.

Численность постоянного населения Российской Федерации в 2014 г. составила 146,3 млн. человек, из них 2,4 млн. человек проживало в Крымском федеральном округе. По сравнению с началом года число жителей России возросло на 300,2 тыс. человек, или на 0,2% (на соответствующую дату предыдущего года - на 298,8 тыс. человек, или на 0,2%). Увеличение численности населения за 2014 г. сложилось за счет естественного и миграционного приростов. При этом миграционный прирост составил 88 % от общего прироста населения.

В 2014 г. в России отмечалось увеличение числа родившихся и уменьшение числа умерших, в целом по стране в 2014 г. число родившихся превысило число умерших (табл. 2).

Таблица 2 - Оперативные данные по естественному движению населения Российской Федерации, тыс. чел.


Тысяч

На 1000 человек населения


январь-декабрь

прирост, снижение (-)

январь-декабрь

2014г. в % к 2013


2014

2013


2014

2013


Родившихся

1947,3

1929,7

17,6

13,2

100,8

Умерших, в т.ч.

1913,6

1910,6

3,0

13,1

13,1

100,0

в возрасте до 1 года

14,4

15,7

-1,3

7,41)

8,21)

90,2

Естественный прирост

33,7

19,1

14,6

0,2

0,1

-

Браков

1226,0

1242,2

-16,2

8,4

8,5

98,8

Разводов

693,7

669,9

23,8

4,8

4,6

104,3


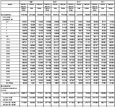
Смертность в России составляет 15 человек на 1000 человек. Смертность среди российских мужчин и женщин в трудоспособном возрасте значительно выше среднеевропейского показателя. При этом, в России огромный разрыв в средней продолжительности жизни мужчины и женщины (13 лет). В среднем мужчины доживают до 61 года, женщины до 74 лет. Половозрастная структура населения России на рис. 2. Динамика распределения численности населения по полу и возрасту представлена в Приложении 1.

Рисунок 2 - Половозрастная структура населения России в 2014 году, тыс. чел.

Демографическая ситуации в России, в конце 20 века характеризовалась одновременным падением рождаемости и ростом смертности населения - это, так называемый "русский крест", который представлен на рис. 3.

Рисунок 3 - Естественный прирост населения России

И только в 2013 году, впервые с советских времен население России выросло без помощи иммигрантов: родилось 1895822 человек (на 6262 человек меньше, чем за 2012 год), но умерло 1871809 человека (на 34526 человек меньше, чем за 2012 год), прирост составил 24013 человек. Естественный прирост в 2013 году отмечен в 43 субъектах федерации.

За 2014 год (с учётом Крыма) в России родилось рекордное количество детей - 1947301 (на 17602 больше, чем за 2013 год); умерло 1913613 человек (на 2990 человек больше, чем за 2013 год), при этом прирост составил 33688 человек. Естественный прирост в 2014 году отмечен в 43 субъектах федерации.

Как видим, за последние годы ситуация несколько улучшилась, что связано как с проведением государством активной демографической политики, так и фактическим присоединением Крымского полуострова к территории Российского государства. Перепись населения новоиспеченного Крымского Федерального округа проводилась с 14 по 25 октября 2014 года. Численность населения России, с учётом населения Крымского полуострова, увеличилось приблизительно на 0.07.

Однако ежегодная естественная убыль населения в стране остается достаточно высокой. При этом, современная демографическая ситуация в Российской Федерации в значительной степени обусловлена социально-экономическими процессами, происходившими в конце XX века. Как видим из графика, последний раз естественный прирост наблюдался в России в 1991, в последний год существования СССР. Население России начало устойчиво сокращаться с 1992 года. В новейшей истории постсоветской России ежегодно фиксировалась только убыль населения, которая до середины 2000-х достигала огромных размеров: почти миллион человек ежегодно. Население страны увеличивалось только благодаря иммиграции. Так, на протяжении 1990-х годов миграционный прирост населения России в той или иной степени компенсировал естественную убыль её населения, а в 2011 году превзошёл показатель на 144 %. В результате, впервые с 1994 года, население РФ значительно увеличилось - на 188,9 тыс. чел. или на 0,1% .

Рисунок 4 - Миграция со странами СНГ и Балтии, тыс. чел.

За 2014 г. число мигрантов, переселяющихся в пределах России, увеличилось на 17,5 тыс. человек, или на 0,5% по сравнению с соответствующим периодом предыдущего года. Миграционный прирост населения России уменьшился на 16,2 тыс. человек, или на 5,8%, что произошло в результате возросшего числа выбывших из Российской Федерации (на 107,5 тыс. человек, или на 61,2%), в том числе за счет эмигрантов в государства-участники СНГ - на 95,7 тыс. человек, или на 68,0%. Наряду с этим отмечено увеличение числа прибывших из-за пределов России на 76,2 тыс. человек, или на 16,8%, в том числе из государств-участников СНГ - на 77,0 тыс. человек, или на 19,4%.

Общие итоги миграции населения в РФ в 2014 году представлена в табл. 3.

население половозрастной прирост миграция

Таблица 3 - Общие итоги миграции населения в РФ, чел.

 Миграция - всего


 прибывшие

4241561

 выбывшие

3978370

 миграционный прирост (+), снижение (-)

+263191

в том числе в пределах России


 прибывшие

3712276

 выбывшие

3695191

 миграционный прирост (+), снижение (-)

+17085

Международная миграция


 прибывшие

529285

283179

 миграционный прирост (+), снижение (-)

+246106

В том числе: с государствами-участниками СНГ


 прибывшие

474633

 выбывшие

236357

 миграционный прирост (+), снижение (-)

+238276

со странами дальнего зарубежья


 прибывшие

54652

 выбывшие

46822

 миграционный прирост (+), снижение (-)

+7830


Рисунок 5 - Международная миграция, тыс. чел.

В Россию едут мигранты практически из всех стран мира, но большинство иммигрантов прибывает из стран бывшего СССР (табл. 4). При этом, 2014 г. в обмене населением c государствами-участниками СНГ было отмечено уменьшение миграционного прироста. Увеличение прироста наблюдалось в миграционном обмене с Республикой Беларусь и Украиной (без учета беженцев и вынужденных переселенцев).

Таблица 4 - Показатели международной миграции в 2013-2014 году


2014

2013


прибывшие

выбывшие

(+), (-)

прибывшие

выбывшие

(+), (-)

ВСЕГО, в т.ч.

529285

283179

+246106

453099

175654

+277445

СНГ, в т.ч.

474633

236357

+238276

397640

140700

+256940

Азербайджан

24161

12624

+11537

21398

5240

+16158

Армения

42934

20584

+22350

38803

8489

+30314

Беларусь

16573

10120

+6453

14651

10937

+3714

Казахстан

53239

16538

+36701

47828

10792

Киргизия

26015

11912

+14103

27847

9882

+17965

Молдова

29027

13336

+15691

26210

7011

+19199

Таджикистан

49877

32559

+17318

46938

15805

+31133

Туркмения

5307

3089

+2218

5416

1990

+3426

Узбекистан

119445

85927

+33518

108442

46740

+61702

Украина

108055

29668

+78387

60107

23814

+36293

Дальнее зарубежье, в т.ч.

54652

46822

+7830

55459

34954

+20505

Германия

3489

4442

-953

3939

3691

+248

Греция

634

279

+355

931

208

+723

Грузия

6974

3187

+3787

7040

1291

+5749

1067

1075

-8

1130

1054

+76

Канада

160

638

-478

223

507

-284

Китай

9954

7673

+2281

7626

6567

+1059

Латвия

1376

815

+561

1342

498

+844

Литва

684

549

+135

831

313

+518

США

914

1794

-880

936

1381

-445

Финляндия

429

937

-508

382

624

-242

Эстония

1201

933

+268

1367

657

+710

Другие страны

27770

24500

+3270

29712

18163

+11549


Международная миграция по странам представлена в Приложении 2.

Таким образом, население России уже не сокращается, но тем не менее, несмотря на положительную динамику рождаемости, кризис не миновал, и в перспективе 10-15 лет проблем не избежать.

Дело в том, что в ближайшие годы страна столкнется с последствиями катастрофического спада рождаемости начала 1990-х годов, т.е. с последствиями так называемой демографической ямы). При этом, следует отметить, что спад рождаемости в 1990-х был гораздо масштабнее, чем даже демографическая яма Второй мировой войны (число россиян, не родившихся в результате Второй мировой войны) (рис. 6).

Рисунок 6 - Демографические ямы Второй мировой войны и 1990-х годов

Сегодня в репродуктивный возраст вступает молодое поколение, рожденное в начале 1990-х, - самое малочисленное за послевоенный период. Сейчас количество 15-летних в России в два раза меньше, чем 25-летних. За пять лет, с 2006 по 2013 год, количество молодых взрослых людей (в возрасте от 15 до 29 лет) сократилось почти вдвое.

По данным Росстата, в 2009 г. в России насчитывалось 33,7 млн молодых людей, в 2011 г. их число составляло 32,4 млн, а в 2012 г. - 31,6 млн. В ближайшие 10 лет (начиная с 2013 года) число молодых людей по прогнозу, уменьшится до 25 млн. И современный рост рождаемости и рекордные значения коэффициента рождаемости 2013-2014 гг. очень далеки еще от необходимых для выживания страны 2,15-2,3 детей на женщину за всю её жизнь. Уже через десять лет численность женщин в активном репродуктивном возрасте 20-29 лет, на которых приходится почти 2/3 рождений, сократится почти вдвое, что неминуемо приведет к значительному сокращению числа рождений.

Кроме того, в России продолжает оставаться на высоком уровне смертность. Она провоцируется высокими стрессами, которые продолжает испытывать население. Сильные социально-экономические стрессы вызывают аномию, прежде всего у наиболее активной части населения - мужчин (особенно в группе от 30 до 50 лет). Аномия проявляется, в частности, в небрежении к своей и чужой жизни. А в результате у населения в трудоспособном возрасте весьма велика смертность от внешних причин и хронических заболеваний.

Так, если Россия конца XIX века представляла собой страну с молодым населением - с высокой долей детей и низкой долей лиц пожилого возраста, то уж после 1959 года началась увеличиваться доля пожилых людей в общей численности населения. Но при сравнении с другими странами с низкой рождаемостью оказывается, что население России не самое старое. Это неудивительно, так как Россия, во-первых находится на стадии процесса старения, когда доля населения средних возрастов практически не меняется и старение происходит за счет снижения доли детей, во-вторых, из-за низкой продолжительности жизни не все люди доживают до старости.

Наиболее высокая доля детей в Республиках Северного Кавказа, в национальных образованиях Сибири и Дальнего Востока. Самый низкий - на Северно-Западе страны. По некоторым прогнозам, численность трудоспособного населения в России, при текущем уровне, к 2020-2025 годам снизится примерно на 10 миллионов человек, или приблизительно на 10%.

Таким образом, старение населения - проблема России, без решения которой у страны нет будущего. Следовательно меры по поддержанию и развитию демографической политики в ближайшем будущем (10-15 лет) являются крайне важными. Только они смогут хоть в какой-либо мере снизить влияние демографической волны 90-х, которая будет только усилена, если демографическую политику свернуть или сократить.

Демографическая ситуация в стране требует проведения целого ряда последовательных, комплексных и целенаправленных мероприятий, направленных на укрепление института семьи с детьми по всем направлениям и сферам жизнедеятельности. Так, например, профессор А.И. Антонов выделяет комплекс мер, направленных на решение демографической проблемы, таких как: изменение положения семьи среди других социальных институтов, укреплению нового фамилизма в обществе и ликвидацию убыли населения.

Сейчас широко дискутируется вопрос об отмене материнского капитала, как меры, уже исчерпавшей свой потенциал и, возможно, вызвавшей лишь изменение тайминга рождений. Однако нельзя не согласится с мнением В.Н. Архангельского, который, во-первых, обращает внимание, что сейчас статистически еще невозможно оценить соотношения тайминговых изменений и полноты реализации репродуктивных установок, а во-вторых, отмечает имиджевую составляющую этой меры, которая может восприниматься как общеизвестная, получившая хорошую информационную поддержку мера демографической политики. Государство сообщает достаточно четко, что вопросы демографии важны, повышение рождаемости необходимо и предлагает детально описанную и широко разрекламированную меру поддержки семей именно с двумя детьми. В такой ситуации отмена материнского капитала может не только прекратить наметившееся улучшение демографической ситуации, но и вызвать обратную реакцию, а также привести к росту недоверия к государству и его политике, что заранее дискредитирует любые меры, которые могут быть реализованы в будущем. Более того, кроме сохранения старых мер необходимо разрабатывать новые меры демографической политики, которые были бы направлены не только на материальное стимулирование рождений вторых детей (как например, материнский капитал), но и на выбор многодетных моделей семьи. Эти меры не могут носить исключительно характер материальной помощи или вознаграждения, но должны охватывать и духовные ценности людей. Необходимо показать какой тип семьи является более ценным с точки зрения государства, с точки зрения сохранения России как единого, независимого, самобытного государства. И тут с позиции государственного регулирования корректно показать более необходимый тип семьи.

По мнению А.И. Антонова, "проблема формирования и укрепления массовых норм среднедетности (3-4 детей в семье) требует долгосрочных усилий по ликвидации ущемлённого положения института семьи среди других социальных институтов, правового обеспечения автономности семьи, общественного договора между институтами государства и семьи, укрепления семейного производства на основе соединения места работы и дома, воссоздания класса домашних хозяек-матерей с их пенсионным обеспечением, введения семейной зарплаты в системе наёмного труда, реализации льготного налогообложения и кредитования молодых семей и ряда других мер.

Важно отметить, что такая государственная заинтересованность не лишает людей выбора любого из типов семей, вплоть до ее полного отсутствия. Однако она ясно демонстрирует, в том числе мерами демографической политики, какой тип более нужен сейчас, за счет чего государство как "семейство семей" может стать сильнее. Разработка именно этой духовно-ориентированной составляющей демографической политики видится одним из дальнейших путей развития. А ее своевременная реализация может способствовать преодолению тех неизбежных негативных тенденций рождаемости и соответственно естественной убыли населения, которые обусловлены грядущим ухудшением возрастной структуры населения.

2. Прогноз по населению в России на будущее


Рассматривая перспективу демографического роста в РФ, нужно подчеркнуть, что согласно большинству прогнозов, в XXI веке количество людей на территории РФ будет убывать. Так как по прогнозам ООН, в 2010-2050 гг. ежегодная естественная убыль населения - около 510 тыс. человек в год. По прогнозам Росстата, в 2010-2030 гг. ежегодная убыль будет составлять 485 тыс. человек в год. Похожие мысли высказывает руководитель Центра демографии и экологии человека А. Вишневский в своих интервью и статье "Население России через 100 лет". Доктор технических наук, профессор В. Горшков в статье "Особенности демографической ситуации в России" раскрывает положительную роль материнского капитала в России, но всё же радужных предположений не делает, отмечает, что молодых людей 1990-х годов рождения (будущих родителей) мало.

Росстат на основании переписи населения 2010 года вывел варианты прогноза развития демографической ситуации на последующие года, которые представлены в табл. 5.

Таблица 5 - Изменение численности населения по вариантам прогноза


Таким образом, в высоком варианте заложены такие тенденции изменения показателей рождаемости, смертности и миграции, которые соответствуют целям демографической политики до 2025 года, в низком варианте сохранены существующие демографические тенденции, а средний вариант характеризуют как "наиболее реалистичный", так как в нем учитываются и цели демографической политики, и существующие тенденции. Если сработает оптимистический сценарий, то население России к 2031 году вырастет до 150 с лишним миллионов. При плохом развитии событий, наоборот, сократится до 131 миллиона, а при "среднем" варианте жителей будет чуть меньше, чем сейчас, - под 142 миллиона.

Аналогично, среди множества прогнозов ООН возьмем три, которые они характеризуют как средний, низкий и высокий (рис. 7). Единственным отличием этих прогнозов с точки зрения исходных посылок является разница в предположениях об изменение показателей рождаемости. В низком варианте предполагается сохранение показателей рождаемости на уровне 1,4-1,5, в среднем их рост и стабилизация на уровне 1,6-1,7 (до 2030 года, с последующим ростом до 1,9 к 2100), в высоком рост до 1,8-1,9 к 2030 году (с последующим увеличением до 2,17 к 2100). Предположения о смертности и миграции для трех вариантов прогнозов ООН остаются одинаковыми.

Рисунок 7 - Динамика численности населения России по данным прогнозов ООН и Росстата до 2030 года

Как следует из представленных данных, прогнозы Росстата в целом более оптимистичны, чем прогнозы ООН. Так, средний вариант Росстата, наиболее вероятный, соответствует высокому варианту прогнозов ООН, низкий близок к среднему, а низкий вариант прогноза ООН существенно более пессимистичный, чем все остальные.

Одной из характерных черт всех прогнозов динамики численности населения России является ухудшение демографической ситуации после 2020 года, что связано, как уже было сказано в первой главе, с ухудшением с точки зрения потенциала рождаемости возрастной структуры женской части населения. Так если сейчас в активном периоде репродуктивного возраста 20-30 лет находятся женщины, родившиеся во время роста рождаемости 80-х годов, то через 10 лет им на смену придут существенно меньшие когорты женщин, родившихся в 90-х.

В целом же, несмотря на некоторое улучшение, динамика общих показателей рождаемости и смертности для России не столь оптимистична. Действительно, за счет изменения половозрастной структуры населения, вступления в репродуктивный период и особенно его активную часть суженных когорт, рожденных в 90-ые годы даже относительно высокая (по сравнению с началом "нулевых") интенсивность рождаемости не позволит компенсировать негативное влияние возрастной структуры.

Итак, использование вероятностных прогнозов для России дало дополнительное понимание будущей тенденции численности населения и его возрастных характеристик. С высокой степенью вероятности теперь можно сказать, что только меры по стимулированию рождаемости, даже при условии некоторых положительных изменений в смертности населения, не приведут к стабилизации численности населения. А в условиях снижающейся численности населения один из наиболее перспективных подходов - это инвестирование в так называемый человеческий капитал: в образование и здоровье нации. То есть если людей становится меньше, то нужно сделать так, чтобы они работали дольше и более продуктивно. Только использование комплексного социально-демографического подхода позволит преодолеть негативные последствия сложившейся демографической ситуации в России.

Заключение


Демографическая ситуация - это динамика численности и половозрастной структуры населения, а также демографических процессов (рождаемости, смертности, миграции, брачности и разводимости), протекающих на данной территории в определенное время. При этом, динамика численности населения складывается из естественного и механического движения населения.

Численность постоянного населения Российской Федерации в 2014 г. составила 146,3 млн. человек. В 2014 г. в России отмечалось увеличение числа родившихся и уменьшение числа умерших, в целом по стране в 2014 г. число родившихся превысило число умерших, при этом прирост составил 33688 человек. Однако несмотря на положительную динамику рождаемости, в целом демографическая ситуация в РФ все еще остается крайне нестабильной, и в значительной степени обусловлена миграционным приростом составил 88 % от общего прироста населения.

При этом, основную проблему составляют последствия катастрофического спада рождаемости начала 1990-х годов и старение населения.

Сегодня в репродуктивный возраст вступает молодое поколение, рожденное в начале 1990-х, - самое малочисленное за послевоенный период. Сейчас количество 15-летних в России в два раза меньше, чем 25-летних. Уже через десять лет численность женщин в активном репродуктивном возрасте 20-29 лет, на которых приходится почти 2/3 рождений, сократится почти вдвое, что неминуемо приведет к значительному сокращению числа рождений. Все это приведёт впоследствии к сокращению населения трудоспособного возраста, что в свою очередь, повлечёт за собой увеличение социальных расходов, что может привести к проблемам с выплатой пенсий и различных социальных пособий.

Поэтому демографическая ситуация в стране требует проведения целого ряда последовательных, комплексных и целенаправленных мероприятий, направленных на укрепление института семьи с детьми по всем направлениям и сферам жизнедеятельности.

Список используемой литературы


1.      Антонов А.И. Демография в эру депопуляции / А.И. Антонов // Демографические исследования. - 2010. - № 1. - С. 12.

.        Демографический ежегодник России. 2014: Стат. сб. - M.: Росстат, 2014. - 580 с.

.        Миграционное поле России. Справочник / Под общей ред. И.С. Иванова. - М.: Спецкнига, 2013. - 368 с.

.        Миграция и демографический кризис в России / Под ред. Ж.А. Зайончковской, Е.В. Тюрюкановой. - М.: МАКС Пресс, 2010. - С. 10-14.

.        Население России. Ежегодный демографический доклад / Отв. ред. А.Г. Вишневский. - М.: ГУ ВШЭ, 2013. - С. 265.

6.      Регионы России. Социально-экономические показатели. 2014: Стат. сб. - М.: Росстат, 2014. - 900 с.

.        Российский статистический ежегодник. 2014: Стат. сб. - M.: Росстат, 2014. - 693 с.

.        Россия в цифрах. 2014: Крат. стат. сб. - M.: Росстат, 2014. - 558 с.

.        Халтурина Д.А. Русский крест: Факторы, механизмы и пути преодоления демографического кризиса в России / Д.А. Халтурина, А.В. Коротаев. - М.: КомКнига, 2008. - 56 с.

Приложение 1

Динамика распределения численности населения по полу и возрасту



Приложение 2

Международная миграция по странам

Похожие работы на - Демографическая ситуация и прогноз роста населения в Российской Федерации

 

Не нашли материал для своей работы?
Поможем написать уникальную работу
Без плагиата!
Без нейросетей!