Анализ производных фенотиазина

  • Вид работы:
    Курсовая работа (т)
  • Предмет:
    Медицина, физкультура, здравоохранение
  • Язык:
    Русский
    ,
    Формат файла:
    MS Word
    374,12 Кб
  • Опубликовано:
    2015-10-08
Вы можете узнать стоимость помощи в написании студенческой работы.
Помощь в написании работы, которую точно примут!

Анализ производных фенотиазина













Анализ производных фенотиазина

Оглавление

 

Введение

Глава 1. Теоретические основы анализа производных фенотиазина

1.1 Классификация производных фенотиазина

1.2 Лекарственные препараты группы

1.3 Фармакологические свойства препаратов группы

Глава 2. Экспериментальный анализ производных фенотиазина

2.1 Физические свойства

2.2 Химические свойства и реакции подлинности

2.3 Методы количественного определения

Выводы

Список использованной литературы

Введение

После обнаружения фармакологической активности N-замещенных производных фенотиазина (ФНТ) было синтезировано большое число веществ, обладающих нейролептическим, противогистаминным, холинолитическим, седативным и антиаритмическим действием.

В фармацевтической практике активно используются следующие лекарственные средства: алимемазин (терален, Франция); левомепромазин (тизерцин, Венгрия); промазин (пропазин, Россия); хлорпромазин (аминазин, Россия); мето - феназин (френолон, Венгрия); перфеназин (этаперазин, Россия); прохлорпеназин (ме - теразин, Россия); тиопроперазин (мажептил, Франция); трифлуоперазин (стелазин, Великобритания); флупентиксол (флуан - ксол, Дания); флуфеназин (миренил, Польша; модитен, Великобритания); про - линат, Индия; перициазин (неулептил, Франция, Индия); пипотиазин (пипортил, Франция); тиоридазин (меллерил, Швейцария, Турция); сонапакс, Польша; тиодазин и тиорил, Индия.

Производные фенотиазинового ряда, так же как и другие психотропные, антигистаминные и сердечно-сосудистые средства, кроме собственно терапевтического эффекта, проявляют побочное и токсическое действие. Особое внимание вызывает выраженное фотосенсибилизирующее действие производных фенотиазина. Отравления производными фенотиазина (бытовые и суицидальные, медицинские ошибки) нередко приводят к летальным исходам.

Описано большое количество отравлений этими соединениями, нередко в сочетании с другими лекарственными веществами (барбитуратами, производными изоникотиновой кислоты, имизином, антибиотиками, инсулином и др.).

Именно поэтому изучение производных фенотиазина является темой актуальной и своевременной.

фенотиазин лекарственный фармацевтический производный

Целью и задачами работы является закрепление и обобщение теоретических знаний по вопросам анализа производных фенотиазина.

Глава 1. Теоретические основы анализа производных фенотиазина


1.1 Классификация производных фенотиазина


Фенотиазин представляет собой конденсированную гетероциклическую систему, состоящую из шестичленного гетероциклатиазина и двух ядер бензола (рис. 1.1).

Рис. 1.1 Общая формула фенотиазина

Фенотиазин представляет собой одну из самых важных и перспективных групп лекарственных веществ в современной фармации и фармакологии.

Как лекарственные средства наибольший интерес представляют производные фенотиазина, в которых атом водорода у "N" замещен алкиламиноалкильными или алкиламиноацильными радикалами.

Они являются нейролептиками с седативным эффектом, усиливая действие снотворных, болеутоляющих и местноанестезирующих средств.

Кроме того, они обладают антигистаминной активностью, холинолитическим действием и др. фармакологическими свойствами (сердечно-сосудистым, антиаритмическим).

К 60-м годам XX века зарубежными и отечественными учеными (М.Н. Щукиной, А.П. Сколдиновым, С.В. Журавлевым, Н.В. Савицкой) было синтезировано множество замещенных производных фенотиазина, ряд которых нашел применение в медицинской практике как эффективные средства, действующие на резко возбужденных больных, снижая у них чувство тревоги, страха, рассеянности (аминазин, пропазин и др.). Это были так называемые большие транквилизаторы - нейролептические средства.

Применение этих препаратов открыло новую эру в лечении психических заболеваний.

Таким образом, по химической структуре и характеру выраженного фармакологического действия производные фенотиазина можно разделить на две группы. К первой из них следует отнести 10 - алкипроизводные фенотиазина: промазин, левомепромазин, прометазин, хлорпромазин, трифлуоперазин, обладающие нейролептическими и противогистаминным действием, а ко второй - 10 - ацилпроизводные фенотиазина: морацизин, этацизин, которые эффективны при лечении сердечно - сосудистых заболеваний.замещенные аминоалкильные производные можно разделить на следующие группы:

. Диалкиламиноалкил производные фенотиазина (пропазин, аминазин, дипразин и др.)

. Препараты, содержащие в боковой цепи цикл пиперазина (трифтазин, френолон, этапиразин, фторфеназин и др.).

. Препараты, содержащие в боковой цепи цикл пиперидина (тиоридазин и др.).

 

1.2 Лекарственные препараты группы


Свойства лекарственный препаратов N10-алкилпроизводных фенотиазина представлены в табл. 1.1.

Таблица 1.1

Свойства N10-алкилпроизводных фенотиазина

Химическая структура

Описание

Aminazinum. Аминазин. 2-Хлор-10- (3-диметиламино-пропил) - фенотиазина гидрохлорид Белый или белый со слабым кремовым оттенком мелкокристаллический порошок. Слегка гигроскопичен, темнеет на свету. Очень легко растворим в воде, легко растворим в спирте и хлороформе, практически нерастворим в эфире и бензоле. Лекарственные формы: драже, растворы для инъекций.

Propazinum. Пропазин. 10- (3-диметиламинопропил) - фенотиазина гидрохлорид. Белый или белый со слабым желтоватым оттенком кристаллический порошок без запаха. При стоянии на свету препарат и его растворы приобретают синевато-зеленую окраску. Гигроскопичен. Лекарственные формы: драже, таблетки, растворы для инъекций.

Diprazinum. Дипразин. 10- (2-Диметиламинопропил) - фенотиазина гидрохлорид. Белый кристаллический порошок. Очень легко растворим в воде, легко растворим в спирте и хлороформе, практически нерастворим в эфире. Лекарственные формы: таблетки покрытые оболочкой, раствор для инъекций.

Triphthazinum. Трифтазин. 2-Трифторметил-10 - [3- (1 - метилпипера-зинил-4) - пропил] - фенотиазина дигидрохлорид. Белый или слегка зеленовато-желтоватый кристаллический порошок без запаха. Легко растворим в воде, растворим в спирте, практически нерастворим в эфире и бензоле. На свету темнеет. Лекарственные формы: таблетки покрытые оболочкой, раствор для инъекций.


Свойства лекарственных веществ производных 10-ацилфенотиазина представлены в табл.1.2.

Таблица 1.2

Свойства лекарственных веществ производных 10-ацилфенотиазина

Химическая структура

Описание

Aethacizinum. Этацизин. 10- (3-Диэтиламинопропионил) - 2- (этоксикарбониламино) фенотиазина гидрохлорид. Белый кристаллический порошок. Медленно растворим в воде, растворим в спирте. Лекарственные формы: таблетки, раствор для инъекций.

Aethmozinum. Этмозин. 2-Карбоэтоксиамино-10- (3-морфолил-пропионил) фенотиазина гидрохлорид. Белый или белый с кремовым оттенком кристаллический порошок. Растворим в воде, трудно растворим в спирте. На свету темнеет. Лекарственные формы: таблетки покрытые оболочкой, раствор для инъекций.

Nonachlazinum. Нонахлазин. 2-Хлор-10 - [β- (1,4-диазабицикло (4,3,0) нонанил-4) пропионил] - фенотиазина гидрохлорид. Серовато-желтоватый кристаллический порошок. Хорошо растворим в воде. Лекарственные формы: таблетки, капли.


1.3 Фармакологические свойства препаратов группы


Лекарственные вещества фенотиазинового ряда, обладающие антипсихотическим (нейролептическим) применяют в клинике около 50 лет для лечения шизофрении, психозов и других ажиотированных состояний. Фармакологический эффект производных фенотиазина связан с блокадой дофаминовых рецепторов.

По структуре заместителя при N10 нейролептики ряда фенотиазина подразделяют на содержащие:

-       алифатический радикал (аминазин, пропазин, тизерцин и др.);

-       пиперидиновый фрагмент (неулептил, сонапакс и др.);

-       содержащие пиперазиновый фрагмент (трифтазин, фторфеназин, этаперазин и др.).

Характер заместителя при N10 влияет также и на фармакологический эффект.

В мировой медицинской практике применяют около 40 нейролептиков ряда фенотиазина из синтезированных более 5000 соединений. Поиск новых лекарств этого ряда продолжается.

Фармакокинетика10-алкил-производных ФНТ достаточно сложная. Максимальный уровень лекарственного вещества в плазме крови при пероральном приеме отмечается в среднем через 2-4 часа после приема внутрь. При парентеральном введении всасывание производных ФНТ происходит быстрее и более полно. При внутримышечном введении терапевтический эффект наблюдается через 15-20 минут, а максимальный эффект - через 3060 минут. При внутривенном введении терапевтический эффект отмечается через 56 минут, а максимальный терапевтический эффект - через 20-30 минут [3].

Производные ФНТ связываются с белками плазмы крови в высокой степени (85-90 %). Как правило, они быстро выводятся из кровеносной системы и неравномерно накапливаются в различных органах. Легко проникают через гематоэнцефалический барьер и могут достигать высоких концентраций в ткани мозга. Концентрация ФНТ в мозге выше, чем в плазме крови. Интенсивно метаболизируются в печени. Часть метаболитов - активные. Выводятся почками и с желчью. Период полувыведения типичных производных ФНТ составляет от 18 до 40 часов [4].

Большинство производных ФНТ метаболизируются в печени до деметилированных и гидроксилированных форм. Они обладают большей водорастворимостью, чем исходные соединения, и легче выводятся почками из организма. Гидроксилированные соединения в дальнейшем метаболизируются преимущественно путем конъюгации с глюкуроновой кислотой. Многие из гидроксилированных и деметилированных метаболитов фенотиазинов обладают способностью блокировать дофаминовые рецепторы.

Метаболизм аминазина довольно сложный. При его биотрансформации образуется около 150 метаболитов, из которых лишь 20 идентифицированы [5]. При метаболизме происходит гидроксилирование, сульфоокисление, N-деметилирование, разрыв боковой цепи и другие изменения в молекулах аминазина. По литературным данным, до настоящего времени выделено около 20 метаболитов аминазина. Главными метаболитами аминазина у человека являются: 7 - оксипроизводное, десмонометиламиназин и соответствующие сульфоксиды указанных метаболитов [4]. Перечисленные выше метаболиты выделяются с мочой. Некоторое их количество выделяется с мочой в виде конъюгатов с сульфатами и глюкуроновой кислотой. За сутки выводится около 20% принятой дозы хлорпромазина. С мочой выделяется и часть неизмененного аминазина (1-6%). В моче был найден еще ряд метаболитов, которые до сих пор не идентифицированы. Следы метаболитов аминазина можно обнаружить в моче через 12 и более месяцев после прекращения лечения [6].

Антиаритмические лекарственные средства группы фенотиазина (этмозин, этацизин, нонахлазин) являются N10-ацилпроизводными. Этмозин и этацизин содержат также карбамидную (в составе уретановой) группу.

Фармакологический эффект зависит, главным образом, от строения радикала при N10. Так нейролептики (аминазин, пропазин, трифтазин и др.) содержат три углеродных атома в главной цепи алифатического фрагмента; обладающий антигистаминным действием дипразин - два углеродных атома; у антиаритмических препаратов (этмозин, этацизин, нонахлазин) при N10 находится карбамидная группа. Радикалы при С2 потенцируют фармакологическую активность.

Глава 2. Экспериментальный анализ производных фенотиазина


2.1 Физические свойства


По внешнему виду препараты ряда фенотиазина представляют собой белые кристаллические порошки с оттенками, без запаха, растворимы в воде, некоторые препараты растворимы и в хлороформе; значения рН водных растворов находятся в пределах 3 - 4 (алкилпроизводные) и 4 - 6 (ацилпроизводные).

Характерную температуру плавления имеют непосредственно препараты (большинство из них − гидрохлориды), их основания и пикраты оснований.

Все препараты имеют определенные УФ - и ИК-спектры поглощения. В анализе препаратов данной группы используют и другие физико-химические методы (ЯМР-спектроскопия, ВЭЖХ, ТСХ и др.).

 

2.2 Химические свойства и реакции подлинности


Большинство лекарственных веществ группы фенотиазина являются солями сильных минеральных кислот и органических азотистых оснований. Основания выделяются из растворов препаратов действием разбавленных растворов щелочей, карбонатов, аммиака.

Как соли азотистых оснований, взаимодействуют с общеалкалоидными осадительными реактивами (Майера, Драгендорфа, Бушарда, Вагнера, танином, пикриновой кислотой и др.). Некоторые из осадков хорошо кристаллизуются и имеют определенную температуру плавления. Так как основания препаратов группы фенотиазина не кристаллические, а аморфные или маслообразные, то определение температуры плавления комплексов с общеалкалоидными реактивами имеет определенное значение в анализе их качества. ГФ рекомендует определение to пл. пикрата трифтазина.

Некоторые комплексные соединения препаратов данной группы с реактивом Драгендорфа имеют характерную форму кристаллов, что используют в токсикологической химии.

С палладия хлоридом (II) изучаемые препараты образуют комплексы синего цвета, используемые и для количественного определения лекарственных форм методом фотоэлектроколориметрии.

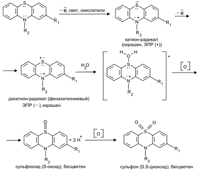
Наиболее важным свойством препаратов группы фенотиазина, определяющим анализ их качества, является чрезвычайно легкая способность к окислению. Процессы окисления сложны. Протекают in vitro и in vivo по следующей схеме (рис.2.1).

Рис. 2.1 Схема процессов окисления

Окрашивание зависит от характера радикала при С2 и не зависит от характера окислителя. В качестве окислителей национальные фармакопеи используют различные реактивы: бромная вода раствор калия бромата в кислой среде (ФС), серная кислота концентрированная (Британская фармакопея), железа (III) хлорид в кислой среде и церия (IV) сульфат (Японская фармакопея) и др.

В препаратах гидрохлоридах определяют хлорид-ион. При этом на раствор препарата действуют раствором щелочи для осаждения основания, а в фильтрате, подкисленном азотной кислотой, определяют хлорид-ион реакцией с серебра нитратом. Непосредственно на препарат действовать серебра нитратом нельзя, так как последний будет окислять систему фенотиазина, и некоторые нитраты (например, аминазина) нерастворимы в воде.

Этмозин и этацизин, содержащие уретановую группировку, подвергаются гидролитическому разложению. По этанольному остатку уретана можно провести иодоформную пробу. Амидная группировка этих же препаратов при N10 позволяет провести гидроксамовую пробу, а также гидролиз с последующим определением его продуктов.

 

2.3 Методы количественного определения


Нормативным методом количественного определения индивидуальных препаратов является кислотно-основное титрование в неводной среде.

Кроме того возможны и другие способы количественного определения:

-       алкалиметрия по остатку связанной соляной кислоты;

-       гравиметрия (весовой формой может быть основание препарата, или продукт взаимодействия с общеалкалоидными осадительными реактивами);

-       метод Кьельдаля;

-       нефелометрия (по взаимодействию с общеалкалоидными осадительными реактивами);

-       экстракционная фотометрия (по взаимодействию препаратов как слабых оснований с кислотными индикаторами, например, метиловым оранжевым, бромтимоловым синим, бромфеноловым синим и др.);

-       другие физико-химические методы (спектрофотометрия, ВЭЖХ).

Количественное определение препаратов в лекарственных формах (драже, таблетках, растворах для инъекций) осуществляют с помощью различных физико-химических методов (УФ - спектрофотометрия, фотоэлектроколориметрия), а также методом Кьельдаля и цериметрически.

Для испытания подлинности производных фенотиазина используют спектрофотометрию в УФ - области. ФС рекомендует устанавливать удельный показатель поглощения при испытании трифлуоперазина дигидрохлорида (0,001% - ный раствор в 0,01М растворе хлороводородной кислоты при длине волны 256 нм). УФ - спектр раствора промазина гидрохлорида в 0,01М растворе хлороводородной кислоты имеет в области 230 - 380 нм два максимума поглощения - при 252 и 302 нм. УФ - спектр 0,0005% - ного раствора прометазина шидрохлорида в тех же условиях имеет максимумы светопоглощения при 249 и 300 нм, хлорпромазина гидрохлорида - при 254 и 307 нм. Подлинность левомепромазина гидрохлорида устанавливают по идентичности УФ - спектров испытуемого и стандартного растворов.

А.П. Арзамасцевым с сотрудниками систематизированы сведения о применении УФ и ИК - спектроскопии для оценки подлинности 12 лекарственных веществ, производных фенотиазина. Установлено, что оптимальный растворитель для УФ - спектроскопии - этанол. УФ - спектры 10 - алкилпроизводных фенотиазина имеют по два максимума поглощения в области 290-330 нм; у 10 - ацилпроизводных наблюдается гипсохромное смещение обоих максимумов. ИК - спектры, снятые после прессования в таблетках бромида калия на двухлучевом ИК - спектрофотометре в области 4000-250 см-1, насчитывают по 20-25 полос поглощения. Основным отличительным признаком ИК - спектров 10 - алилпроизводных (от 10 алкилпроизводных) служат максимумы поглощения в области 1680-1660 см-1, обусловленные наличием в молекуле амидного карбонила. Другие полосы поглощения, связанные с особенностями химической структуры, позволяют отличать друг от друга производные фенотиазина (ФС).

ВЭЖХ оказалась перспективной для контроля качества лекарственных веществ 10 - алкил - и 10 ацилпроизводных фенотиазина. Разработаны четыре варианта селективного разделения 16 производных данной группы, которые можно использовать для идентификации, контроля чистоты и количественного определения в лекарственных формах [2].

Хроматографические методы анализа биообъектов, как правило, требуют пробоподготовки. Подготовка образца к анализу проводится различными способами (жидкость - жидкостная экстракция, твердофазная экстракция).

Авторы [7] изолировали 83% хлорпромазина из печени и почек экстракцией подщелоченным эфиром.90% промазина можно выделить из человеческой плазмы методом жидкость-жидкостной экстракции смесью пентан: 2-пропанол (98: 2) [8]. В работе [9] 13 производных фенотиазина экстрагировали из гомогенизированных тканей мозга тетрагидрофураном, после центрифугирования и выпаривания остаток растворяли в воде. При таком способе пробоподготовки извлекается 85% производных фенотиазина. Хлорпромазин из крови и прометазин из тканей мозга экстрагируют смесью гептана и изоамилового спирта (99:

) [10]. Пробоподготовку в работе [11] предложено проводить методом экстракции гептаном. Ткани (печень, мозг) предварительно гомогенизировали. У цельной крови, плазме после осаждения 10% гидроксидом натрия добавляли 1,5% раствор амилового спирта в гептане, после центрифугирования органическую фазу отмывали ацетатным буферным раствором (рН 5,6), добавляли раствор 0,1 моль/л хлористоводородной кислоты и после повторного центрифугирования хроматографировали. Предложена методика изолирования хлорпромазина экстракцией хлороформом [12]. Полученный хлороформный слой фильтруют, высушивают, сухой остаток растворяют в небольшом количестве подвижной фазы.

Недостатком жидкостной экстракции является ее трудоемкость, большое число длительных стадий.

Альтернативой для жидкостной экстракции аналитов из твердых образцов служит сверхкритическая флюидная экстракция [13].

При работе с жидкими образцами и первоначальными экстрактами классические методы пробоподготовки можно заменить значительно более удобным методом твердофазной экстракции (ТФЭ) - сорбционным методом подготовки пробы, в котором аналиты переводятся из жидкого образца в твердую фазу концентрирующего сорбента [14].

Смыв аналитов с адсорбента осуществляется сравнительно небольшим объемом растворителя (в пределах десяти миллилитров), что дает возможность либо сразу применить полученный концентрат для анализа [15, 16], либо дополнительно сконцентрировать пробу через стадию получения сухого остатка, испарив растворитель в токе инертного газа [17], не прибегая к использованию роторного испарителя (как при жидкостной экстракции).

Для выделения производных фенотиазина и их активных метаболитов часто применяется концентрирующий картридж Sep-Pak С 18 [13, 18, 19, 20]. В работе [21] предлагается использовать концентрирующий картридж с сорбентом Amberlite XAD-2. Авторы [22] для выделения хлорпромазина и его сульфоксида использовали картридж с цианоприлом.

В описанных выше методах ТФЭ стадии пробоподготовки и идентификации аналитов аппаратурно разделены, поэтому подготовленная проба может быть сохранена и позже проанализирована несколькими различными аналитическими методами.

В некоторых случаях [23] концентрирующий картридж с сорбентом напрямую соединен с аналитической колонкой жидкостного хроматографа; в этом случае проба не выделяется, а сразу анализируется методом ВЭЖХ.

Благодаря неоспоримым преимуществам перед жидкость-жидкостной экстракцией, метод твердофазной экстракции уже более двух десятков лет является объектом интенсивных исследований в области адсорбционных технологий и находит применение и при анализе производных фенотиазина.

Известной альтернативой тщательной пробоподготовки является применение предколонки, защищающей основную колонку от загрязнения. В качестве сорбента предколонки используются поливиниловые смолы, TSK Gel HW-65 [24], диметилсилан (RP-2) [25], Inersil ODS-SP [26].

Иногда пробоподготовку целесообразно не проводить, а добавить в аппаратную схему перед основной колонкой фильтр и предколонку. Преимуществами этой схемы являются простота и экспресс - ность анализов при меньшей затрате труда и реагентов.

-алкилпроизводные фенотиазина легко окисляются на воздухе, особенно в присутствии света, поэтому образцы проб хранятся при низкой температуре.

Количественное содержание хлорпромазина, прометазина, профенамина, левомепромазина, перазина, прохлорперазина, трифлюоперазина, тиопроперазина, перфеназина, флюфеназина, проперициаина и тиоридазина оставалось неизменным при хранении образцов плазмы в течение 3 месяцев при - 20°С [26].

Проведено сравнительное изучение концентраций хлорпромазина и шести его метаболитов в плазме, образцы которой хранились при температуре - 20°С в течение 24 часов, при - 20°С - в течение недели, при - 70°С - в течение 4 недель и при - 70°С - в течение 3 и 12 месяцев [27]. Существенных различий в концентрациях изучаемых производных фенотиазина при хранении в атмосфере жидкого азота обнаружено не было.

Пробоотбор, пробоподготовку биоматериала, содержащего производные фенотиазина, авторы [12] рекомендуют проводить в пробирках темного цвета.

Основные хроматографические параметры ВЭЖХ определения 10 - алкилпроизводных фенотиазина указаны в таблице 1. Для определения содержания большинства производных фенотиазина используется обращенно-фазовый вариант хроматографирования, реже применяется нормально-фазовое хроматографирование [10, 16]. Анализ обычно выполняется при комнатной температуре. Скорость подвижной фазы составляет 1,0 - 1,5 мл/мин.

Обычно используются спектрофотометрические или флуориметрические детекторы, работающие в диапазоне 250 - 254 нм или при 1ex=250-340 нм и 1em=280 - 525, соответственно. Применяются электрохимические детекторы (кондуктометрические, вольтамперометрические, кулонометрические). Наибольшее применение электрохимические детекторы нашли в обращенно-фазовой ВЭЖХ, в которой используют полярные элюенты. В нормально-фазовой ВЭЖХ также можно применять электрохимическое детектирование, если после разделительной колонки в неполярную подвижную фазу добавить электролит или подходящий растворитель с высокой диэлектрической проницаемостью [28]. При серийных анализах по контролю качества продукции химического производства и лекарственных средств, а также следов производных фенотиазина и метаболитов в самых разных объектах стали применяться высокочувствительные масс-спектрометрические детекторы [7, 8, 10, 29].

Важным параметром является рН подвижной фазы, которое, как правило, создается буферным раствором (ацетатным, фосфатным, формиатным). Значения рН варьируют от 3,0 до 5,6, что согласуется с величиной pKBH+ исследуемого фенотиазина или его метаболитов. В [30] приводится значение pKBH+ протонированного атома азота в фенотиазиновом ядре для аминазина и других ФНТ, приблизительно равное 4.

Классическим адсорбционным материалом, как для нормально-, так и для обращенно-фазового хроматографического исследования производных фенотиазина, является силикагель (в названиях силикагельных фаз присутствует метка Silica или Sil).

По типу применяемых неподвижных фаз хроматографические методы анализа азотсодержащих веществ можно классифицировать следующим образом.

При хроматографировании на обращенных фазах "старого" типа (Silasorb C18, Separon C18, LiChrosorb RP-18) соединения группы производных фенотиазина элюируются в виде уширенных асимметричных пиков. Этот эффект объясняется [15] взаимодействием основных адсорбатов с силикагельной матрицей, содержащей "активные силанолы" и примеси металлов. Для блокирования поверхности силикагеля необходимо динамически модифицировать адсорбент, что достигается добавлением в водно-органическую подвижную фазу 0,1-1% алифатического амина, к примеру, триэтиламина [12, 20, 22, 24, 29, 31 - 34]. Для регулирования рН в диапазоне от 3,0 до 5,0, применяются фосфорная, муравьиная, уксусная кислоты [16, 33, 35, 36], а также различные буферные растворы (ацетатный, формиатный, фосфатный).

Применение динамического модифицирования позволит в большинстве случаев увеличить эффективность разделения до приемлемого уровня. Тем не менее, такие системы обладают рядом недостатков. Применение алифатических аминов может привести к появлению на хроматограмме ряда системных пиков. Особенно сильно этот негативный эффект проявляется при детектировании в коротковолновой УФ - области. Для правильной интерпретации хроматограммы достаточно провести перед анализом контрольное элюирование и идентифицировать все системные пики - как положительные, так и отрицательные [28].

Современным направлением является анализ на обращенных фазах "нового" типа, полученных на основе соль-геля (sol-gel), с последующим интенсивным эндкеппингом (Wakosil II C18RS, Zorbax Eclipse XDB C18, Hypersil BDS C18), модифицированного лигандами с полярной группой (Discovery Amide C16, Symmetry Shi eld C18), а также на основе силикагеля "гибридного" типа, получаемого полимеризацией алкилсилоксанов (XTerra).

Кроме физико-химических методов для испытания производных фенотиазина применяют химические реакции окисления, соле- и комплексообразования, обнаружения атомов азота, серы, хлорид - иона. В большинстве испытаний подлинности используют способность производных фенотиазина легко окисляться с образованием окрашенных продуктов. Так, при действии 10% - ным раствором хлорамина Т появляется фиолетовая или красно - фиолетовая окраска, переходящая в слой хлороформа. В качестве окислителей могут быть применены бромная вода, азотная кислота, хлорид железа (III), пероксид водорода, концентрированная серная кислота. Реакции эти в большинстве своем малоспецифичны, т.к. образуются смеси продуктов окисления, имеющие красное, вишнево-красное, красно-оранжевое, малиновое окрашивание.

Более специфичным из перечисленных реактивов на фенотиазиновое ядро является бромная вода. Этот реактив используют для отличия производных фенотиазина друг от друга (растворы лекарственных веществ нагревают до кипения с бромной водой) (табл. 2.1).

Таблица 2.1

Цветные реакции производных фенотиазина с бромной водой

Лекарственное вещество

Результат реакции

Промазина гидрохлорид Прометазина гидрохлорид Хлорпромазина гидрохлорид Трифлуоперазина гидрохлорид Морацизина гидрохлорид и этацизин

Прозрачный буровато-красный раствор Мутный темно-вишневый раствор с взвешенным осадком. Прозрачный светло-малиновый раствор Вначале коричневый, а затем бледно-розовый раствор. Вначале светло-сиреневый, а затем ярко-фиолетовый раствор.


Окрашенные продукты, получающиеся при нагревании производных фенотиазина с бромной водой, обусловлены образованием пербромпроизводных катиона фенотиазония. Фенотиазин при окислении бромом образует окрашенный в красный цвет пербромфенотиазоний (рис.2.2):

Рис. 2.2 Цветные реакции производных фенотиазина с бромной водой

Вместо нестойкого и токсичного реактива - бромной воды был предложен и включен в ФС для подлинности 10 - алкилпроизводных фенотиазина (промазина, прометазина, хлорпромазина, трифлуоперазина гидрохлоридов) 1% - ный раствор калия бромата в присутствии 0,15 мл разведенной хлороводородной кислоты. Водные или водно-спиртовые 0,1% - ные растворы указанных лекарственных веществ приобретают розовое или розово-оранжевое окрашивание, постепенно переходящее в малиновое или коричневое. В отличии от других из окрашенного раствора прометазина гидрохлорида выпадает осадок вишнево - красного цвета.

Для идентификации 10 - ацилпроизводных фенотиазина морацизина гидрохлорид и этацизин рекомендовано использовать в качестве реактива 1% - ный раствор калия бромата, но после предварительного гидролиза с разведенной хлороводородной кислотой (при нагревании в течение 15 мин). Последующая методика выполнения такая же, как и для 10 - алкилпроизводных фенотиазина. Указанная группа производных фенотиазина образует также окрашенные продукты окисления со щелочным раствором гидроксиламина при рН 4,0. Окраска зависит от характера радикала в положении 2 [3].

Левомепромазин под действием концентрированной серной кислоты приобретает сиреневое окрашивание. Для идентификации производных фенотиазина можно использовать реакцию с концентрированной серной кислотой или с 50-60% - ным растворами этой кислоты в присутствии других окислителей. Для некоторых производных фенотиазина добавляют в рнакционную смесь ванадат аммония (реактив Манделина). При добавлении к водному раствору прометазина гидрохлорида порошка оксида свинца в верхнем слое не должно быть красного окрашивания, но он медленно становится синеватым. Образуются и другие продукты окисления, имеющие максимумы поглощения в УФ - и видимой областях спектра. Положительные результаты дают указанные химические реакции при анализе левомепромазина. При добавлении к раствору левомепромазина 1 мл 37% - ного раствора формальдегида и нескольких капель 0,1М раствора сульфата церия появляется интенсивная лиловая окраска. В основе этих испытаний лежит процесс окисления производных фенотиазина, который в зависимости от химической структуры протекает при нагревании или при комнатной температуре.

Наибольшей реакционной способностью в молекулах производных фенотиазина отличается атом серы, который способен окисляться с образованием различных веществ. Продуктами окисления 10-замещенных фенотиазинов являются парамагнитные катион - радикалы фенотиазония (I), которые при последующем окислении превращаются в диамагнитные ионы феназтиония (II). Последние при взаимодействии с водой образуют сульфоксиды (III), сульфоны и 3 - ониевые продукты (рис.2.3):

Рис. 2.3 Реакционная способность в молекулах производных фенотиазина

Таким образом, конечным продуктами окисления могум быть 9 - S - оксид, 9,9 - диоксид (сульфон), 3-окси - , 3,7 - диокси - , 3 - он - , 3 - окси - 7-он - фенотиазины.

В отличие от других производных фенотиазина с трифлуоперазина гидрохлоридом концентрированная серная кислота образует не окрашенный продукт, а желеобразный осадок. Под действием азотной кислоты образуются окрашенные в темно - красный цвет продукты взаимодействия с прометазина и хлорпромазина гидрохлоридами. Окраска переходит в желтую, раствор хлорпромазина гидрохлорида при этом мутнеет. Растворы морацизина гидрохлорида и этацизина в разведенной хлороводородной кислоте после кипячения окрашиваются в сиреневый цвет, но раствор у этацизина мутнеет, а у морацизина гидрохлорида от добавления нитрата натрия окраска переходит в зеленый, а затем в желтый цвет (реакция на морфолиновый цикл).

Ацетоновый раствор малеинового ангидрида является групповым реактивом на производные фенотиазина. Продукты реакции приобретают желто - оранжевое окрашивание, максимумы светопоглощения растворов находятся в области 336-360нм.

Окрашенные в красный цвет комплексные соединения с производными фенотиазина образуют ионы железа (III), ртути (II), кобальта, палладия, платины. Раствор прометазина гидрохлорида после добавления нитрата серебра в 0,002 М растворе серной кислоты после нагревания на водяной бане приобретает вишнево-красное окрашивание. Осадки белого цвета образуют с растворами некоторых производных фенотиазина тиоцианат калия, оксалат аммония, гексацианоферрат (III) калия, а нитропруссид натрия дает красный осадок (прометазина и хлорпромазина гидрохлориды). Производные фенотиазина образуют окрашенные осадки при взаимодействии с тиоцианатоацидокомплексами железа, кобальта и никеля и белые осадки - с тиоцианатоацидокомплексами цинка и кадмия. Осадки растворяются в бензоле, хлороформе, дихлорэтане.

Кобальтинитрит (гексанитрокобальтат) натрия в присутствии уксусного ангидрида образует с производными фенотиазина при нагревании вещества, имеющие красное окрашивание. Трифлуоперазина гидрохлорид в этих условиях окрашивается в зеленый цвет. Раствор йодмонохлорида с прометазина, хлорпромазина гидрохлоридами и трифлуоперазина гидрохлоридом образует бурого цвета осадки. При последующем добавлении насыщенного водного раствора сульфаниловой кислоты и этанола прометазина гидрохлорид приобретает зеленое, а хлорпромазина гидрохлорид и трифлуоперазина гидрохлорид - фиолетовое окрашивание.

Наличие атома серы в молекулах производных фенотиазина устанавливают после прокаливания с карбонатом натрия и нитратом калия. Образовавшийся сульфат - ион обнаруживают в фильтрате, используя в качестве реактива раствор хлорида бария. Атом азота подтверждают с помощью общеалколоидных реактивов, в частности раствора йода в йодиде калия (реактив Вагнера - Бушарда).

Трифлуоперазина гидрохлорид с раствором пикриновой кислоты выделяет пикрат, имеющий стабильную температуру разложения (240-2430С). Пикраты могут образовывать и другие производные фенотиазина, в т. ч. прометазина гидрохлорид (1600С), хлорпромазина гидрохлорид (1770С) и др. Карбэтоксигруппу в молекулах морацизина гидрохлорида и этацизина обнаруживают по образованию йодоформа после действия раствором йода в щелочной среде:


Общим испытанием на производные фенотиазина является реакция осаждения оснований из водных растворов при действии раствором гидроксида натрия (основание выпадает в виде белого осадка). Осадок отфильтровывают и в фильтрате обнаруживают хлориды по реакции с раствором нитрата серебра.

Атом фтора в молекулах фторсодержащих производных фенотиазина (трифлуоперазина гидрохлорид) обнаруживают после сжигания в кислороде до образования фторид - иона. Его затем открывают цветной реакцией с ализариновым красным С в присутствии нитрата циркония. Смесь этих реактивов (ализаринат циркония) имеет екрасно - фиолетовое окрашивание. При добавлении фторид - иона оно переходит в желтое (окраска свободного ализарина).

Дифференцировать производные фенотиазина можно с помощью метода ТСХ на пластинках Силуфола УФ - 254 в системе растворителей этилацетат - этанол - диэтиламин (17: 2: 0,5). После хроматографирования и проявления парами йода в зависимости от характера заместителя в положении 2 зоны адсорбции приобретают сине - зеленое (промазина, прометазина, хлорпромазина гидрохлориды). Кроме того, идентифицировать можно по различающимся средним значениям Rf. Метод ТСХ использован в НД для установления подлинности левомепромазина в таблетках. Основные пятна хроматограмм испытуемого и стандартного растворов должны быть идентичными по размерам, окраске и величине Rf (около 0,7). Этим же методом обнаруживают посторонние примеси при испытании на чистоту производных фенотиазина. Для установления примесей используют, как правило, пластинки силуфол УФ - 254. Хроматографируют восходящим методом параллельно с растворами свидетелей в системе растворителей гексан - ацетон - диэтиламин (50: 20: 2) или хлороформ - диэтиламин (9:

). Детектируют хроматограммы в УФ - свете при 254 нм. Допустимое содержание примесей устанавливают по количеству, расположению, размеру и интенсивности пятен на хроматограмме в сравнении со свидетелями. Суммарное содержание примесей (ФС) не должно превышать у прометазина гидрохлорида 1,5%, хлорпромазина гидрохлорида 2%, морацизина гидрохлорида 1%.

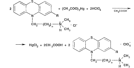
Количественное определение производных фенотиазина выполняют различными вариантами метод титрования в неводных средах. Титрантом во всех случаях является раствор хлорной кислоты. используя в качестве растворителя ацетон и индикатор метилового оранжевого (в ацетоне), титруют промазина, прометазина, хлорпромазина гидрохлориды. В других случаях растворителем служит ледяная уксусная кислота (трифлуоперазина гидрохлорид), а индикатором - кристаллический фиолетовый. Указанные условия титрования возможны в присутствии ацетата ртути (II).

Для гидрохлоридов 10 - алкилпроизводных фенотиазина процесс неводного титрования происходит по следующей схеме (рис. 2.4):

Рис. 2.4 Процесс неводного титрования

Используют также (ФС) варианты титрования в неводной среде без добавления ацетата ртути (II). Например, гидрохлориды 10 - алкилпроизводных фенотиазина (морацизина гидрохлорид, этацизин) можно оттитровать в смеси муравьинной кислоты, уксусного ангидрида и бензола (1: 30: 20) с индикатором кристаллическим фиолетовым. Химизм этого процесса рассмотрен также на примере определения эфедрина гидрохлорида. Не требуется добавления ацетата ртути (II) при определении хлорпромазина гидрохлорида в среде уксусного ангидрида при условии использования в качестве индикатора малахитового зеленого, при титровании прометазина гидрохлорида с индикатором кристаллическим фиолетовым, но в смеси муравьинной кислоты и уксусного ангидрида (1: 20), а также промазина гидрохлорида с тем же индикатором в смеси ледяной уксусной кислоты, уксусного ангидрида и бензола (1,5: 20: 5).

Определить содержание производных фенотиазина можно алкалиметрическим методом, титруя 0,1 М водным раствором гидроксида натрия (индикатор фенолфталеин). Для извлечения выделяющегося органического основания добавляют хлороформ (рис. 2.5):

Рис. 2.5 Алкалиметрический метод

Восстановительные свойства производных фенотиазина положены в основу цериметрического определения. Сущность методик заключается в растворении навески (0,02-0,03г) в 10 мл метанола, нагревании до кипения, охлаждении, пробавлении 10 мл разведенной серной кислоты и титранта окрашивания. Таким образом, титрование выполняют без использования индикатора.

Йодометрическое определение хлорпромазина гидрохлорида основано на образовании полийодида. Описано его броматометрическое определение, суть которого состоит в титровании 0,1 М раствором бромата калия раствора навески в 2 М растворе хлороводородной кислоты в присутствии бромида калия до обесцвечивания появляющейся красной окраски. Йодхлорометрическое определение промазина и хлорпромазина гидрохлоридов заключается в выделении эквивалентного количество йода после отделения и разложения образовавшегося продукта присоединения (RN) 2 · ICI:

 

Количественное определение левомепромазина выполняют методом двухфазного титрования с использованием титранта 0,01 М раствора лаурилсульфата натрия и индикатора диметилового желтого в присутствии хлороформа.

Известны также способы косвенного комплексонометрического титрования производных фенотиазина. Количественное определение производных фенотиазина в лекарственных формах выполняют спектрофотометрическим методом (промазина, хлорпромазина гидрохлориды, левомепромазина и др.) в указанных выше максимумах поглощения. Широко используют для фотоколориметрического определения цветные реакции, основанные на окислении и комплексообразовании. Точность сопоставимую с титриметрическим методами, позволяет достигнуть дифференциальное спектрофотометрическое и экстракционно-фотометрическое определение с тиоцианатоацидокомплексом кобальта [2].

 


Выводы


В 1945 г. установлено, что при замещении водорода при атоме азота фенотиазинового ядра алкиламиноалкильными радикалами можно получить соединения, обладающие сильной противогистаминной активностью, холинолитическими и другими важными фармакологическими свойствами.

Первым в ряду алкиламинопроизводных фенотиазина, нашедших применение в качестве противогистаминных средств, был гидрохлорид 10- (2-диметиламиноэтил) - фенотиазина, известный под названием "этизин”. Диэтильный аналог этизина, получивший название "динезин”, оказался веществом с холинолитической активностью и стал использоваться в качестве средства для лечения паркинсонизма. Дальнейшие исследования показали, что весьма сильной противогистаминной активностью обладает гидрохлорид 10- (2-диметиламинопропил) - фенотиазина, или дипразин. При более подробном изучении этих и других аналогичных производных фенотиазина было установлено их многогранное влияние на центральную и периферическую нервную системы. Дипразин характеризуется не только противогистаминной, но и адренолитической активностью, обладает седативными свойствами, усиливает действие наркотиков, снотворных, болеутоляющих и местноанестезирующих веществ, вызывает понижение температуры тела, проявляет противорвотный эффект.

В поисках веществ, более активных и более избирательно влияющих на функции ЦНС, были синтезированы производные фенотиазина при замещении в положении С2 ядра атомом хлора или другими заместителями. Одним из наиболее активных оказался гидрохлорид 2хлор-10- (3-диметиламинопропил) - фенотиазина, или аминазин. В дальнейшем получены другие производные фенотиазина.

Многие производные фенотиазина являются нейролептическими препаратами. Однако в ряду фенотиазинов синтезированы также новые антидепрессанты, коронарорасширяющие препараты, антиаритмические, противорвотные средства.

Нейролептики фенотиазинового ряда принято делить в зависимости от особенностей их химического строения на три группы:

) соединения, содержащие при атоме азота фенотиазинового ядра диалкиламиноалкильную цепь, - так называемые алифатические производные (аминазин, пропазин, левомепромазин и др.);

) соединения, содержащие в боковой цепи ядро пиперазина, - так называемые пиперазиновые производные (метеразин, этаперазин, трифтазин, флуфеназин и т.д.);

) соединения, содержащие в боковой цепи ядро пиперидина (тиоридазин, перициазин и т.п.) - пиперидиновые производные.

Препараты, входящие в любую из этих групп, наряду с характерными для каждого из них свойствами, имеют некоторые общие черты. Так, у препаратов первой группы (алифатические производные) отмечается выраженное антипсихотическое действие и в то же время наличие тормозного компонента - способность вызывать вялость, интеллектуальную и моторную заторможенность, пассивность, апатическое состояние (гипноседативное действие). По силе седативного действия они превосходят другие фенотиазиновые нейролептические средства. В картине вызываемых ими сравнительно умеренных экстрапирамидных нарушений также преобладает заторможенность, гипокинезия (вплоть до акинетического синдрома). Препаратам второй группы (пиперазиновые производные), наряду с антипсихотическим действием, свойственно наличие стимулирующего компонента, а в картине выраженных экстрапирамидных расстройств превалируют гиперкинетические и дискинетические явления. Препараты третьей группы (пиперидиновые производные) обладают менее сильной антипсихотической активностью, не оказывают гипноседативного эффекта, редко вызывают экстрапирамидные расстройства.

Список использованной литературы


1.      Аналитическая хроматография / К.И. Сакодынский [и др.] // М.: Химия, 1993 - 464 с.

2.      Арзамасцев А.П. Фармацевтическая химия: учебное пособие, 3-е изд, испр. - М: ГЭОТАР - МЕДИА, 2012. - 640с.

.        Беликов В.Г. Фармацевтическая химия в 2-х ч; учебное пособие, 4-е изд, перераб и доп. - М: МЕД-прес - информ., 2012. - 640 с.

.        Белоусов, Ю.Б. Клиническая фармакология и фармакотерапия / Ю.Б. Белоусов. - М.: Универсум Паблишинг, 1997 - 531 с.

.        Жуков, О.И. Метод определения аминазина в биологическом материале с помощью ВЭЖХ / О.И. Жуков, В.В. Купчиков // Хим. - фармац. журн. - 1998. - Т.32, N 10. - С.53 - 54.

.        Иванский, В.И. Химия гетероциклических соединений / В.И. Иванский - М.: Высшая школа, 1978. - 560 с.

.        Калетина, Н.И. Токсикологическая химия / Н.И. Калетина, М.: "ГЭОТАР", 2008. - 1015 с.

.        Машковский, М.Д. Лекарственные средства: Пособие для врачей / М.Д. Машковский. - 15-е изд. - М.: Новая волна, 2008. - 1206 с.

.        Определение хлорпромазина в плазме крови методом ион-парной обращенно-фазовой ВЭЖХ: изучение фармакокинетики хлорпромазина на кроликах / М.Д. Рухадзе [и др.] // Хим. - фармац. журн. - 1999. - Т.33, N 3. - С.41 - 43.

.        Саломатин, Е.М. Химико-токсикологическое изучение психотропных препаратов фенотиазинового ряда: Автореф. дис. д-ра фармац. наук: 15.00.02. / Е.М. Саломатин. - ММА им. И.М. Сеченова. - М., 1991. - 51 с.

.        Boehme, C.L. High-performance liquid chromatographic methods for the analysis of haloperidol and chlorpromazine metabolism in vitro by purified cytochrome P450 iso - forms / C.L. Boehme, H.W. Strobel // J. Chromatogr. B Biomed. Sci. Appl. - 1998. - Vol.718, №2. - P.259-266.

.        Chetty, M. Effect of storage on the plasma concentration of chlorpromazine and six of its metabolites / M. Chetty, R.miller // Ther. Drug Monit. - 1991. - Vol.13, №4. - P.350 - 355.

.        Chetty, M. Important metabolites to measure in pharmacodynamic studies of chlorpromazine / M. Chetty, S. V. Moodley, R.miller // Ther. Drug Monit. - 1994. - Vol.16, №.1. - P.30-36.

.        Choo, H.Y. Study of the metabolism of phenothiazines: determination of N - demethylated phenothiazines in urine / H. Y. Choo, Y. O. Shin, J. Park // J. Anal. Toxicol. - 1990. - Vol.14, №2. - P.116-119.

.        Cooper, J.K. Subnanogram quantitation of chlorpromazine in plasma by high - performance liquid chromatography with electrochemical detection / J. K. Cooper, G. McKay, K.K. Midha // J. Pharm. Sci. - 1983. - Vol.72, №11. - P.1259-1262.

.        Determination of basic drugs in blood by RP-HPLC / X. Zhuo [et al] // Fa Yi Xue Za Zhi. - 1997. - Vol.13, №4 - P.253-264.

.        Development of a solid-phase extraction method for simultaneous determination of corticoids and tranquilizers in serum samples / M. C. Quintana [et al] // J. Sep. Sci. - 2004. - Vol.27, №1-2. - P.53-58.

.        Diehl, G. Post-column oxidative derivati - zation for the liquid chromatographic determination of phenothiazines / G, Diehl, U. Karst // J. Chromatogr. - 2000. - Vol.890, №5. - P.281-287.

.        Gelbke, H.P. Isolation of drugs from blood by column chromatography on Amber - lite XAD-2/HP. Gelbke, T. H. Grell, G. Schmidt // Arch. Toxicol. - 1978. - Vol.39, №3. - P.211-217.

.        High-performance liquid chromatographic assay for nanogram determination of chlor - promazine and its comparison with a ra - dioimmunoassay / K. K. Midha [et al] // J. Pharm. Sci. - 1981. - Vol.70, №9. - P.10431046.

.        Keukens, H.J. Determination of residues of carazolol and a number of tranquilizers in swine kidney by high-performance liquid chromatography with ultra-violet and fluorescence detection / H. J. Keukens, M. M. Aerts // J. Chromatogr. - 1989. - Vol.464, №1. - P.149-161.

.        Kollmorgen, D. Determination of methyl - paraben, propylparaben and chlorpromazine in chlorpromazine hydrochloride oral solution by high-performance liquid chromatography / D. Kollmorgen, B. Kraut // J. Chromatogr. B Biomed. Sci. Appl. - 1998. - Vol.707, №12. - P.181-187.

.        Ohkubo, T. Determination of chlorproma - zine in human breast milk and serum by high - performance liquid chromatography / T. Ohkubo, R. Shimoyama, K. Sugawara // J. Chromatogr. - 1993. - Vol.614, №2. - P.328-332.

.        Pistos, C. Direct injection HPLC method for the determination of selected phenothia - zines in plasma using a Hisep column / C. Pistos, J. T. Stewart // Biomed. Chromatogr. - 2003. - Vol.7, №10. - P.465-470.

.        Ponder, G.W. A liquid chromatographic method for the determination of promethazine enantiomers in human urine and serum using solid-phase extraction and fluorescence detection / G. W. Ponder, J. T. Stewart // J. Pharm. Biomed. Anal. - 1995. - Vol.9, №9. - P.1161-1166.

.        Roberts, P.H. Analysis of OSPAR priority pharmaceuticals using high-performance liquid chromatography-electrospray ionisation tandem mass spectrometry / P. H. Roberts, P. Bersuder // J. Chromatogr. A. - 2006. - Vol.1134, №1-2. - P.143-150.

.        Rose, M.D. Determination of tranquilisers and carazolol residues in animal tissue using high-performance liquid chromatography with electrochemical detection / M. D. Rose, G. Shearer // J. Chromatogr. - 1992. - Vol.624, № 1. - P.471-477.

.        Shibanoki, S. Determination of chlorpro - mazine in the blood and brain of mice by high-performance liquid chromatography combined with electrochemical detection / S. Shibanoki, Y. Gotoh, K. Ishikawa // Jpn. J. Pharmacol. - 1984. - Vol.35, №2. - P.169 - 177.

.        Simple and simultaneous determination for 12 phenothiazines in human serum by re - versed-phase high-performance liquid chro - matography / E. Tanaka [et al] // J. Chromatogr. B Analyt. Technol. Biomed. Life Sci. - 2007. - Vol.854, №1-2. - P.116-120.

.        Simultaneous analysis of classical neuro - leptics, atypical antipsychotics and their metabolites in human plasma / L. Mercolini [et al] // Anal. Bioanal. Chem. - 2007. - Vol.388, №1. - P.235-243.

.        Simultaneous determination of chlorpro - mazine and levomepromazine in human plasma and urine by high-performance liquid chromatography using electrochemical detection / K. Murakami [et al] // J. Chromatogr. - 1982. - Vol.227, №1. - P.103-112.

.        Simultaneous quantitation of plasma dox - orubicin and prochlorperazine content by high-performance liquid chromatography / C. Mou [et al] // J. Chromatogr. B Biomed. Sci. Appl. - 1997. - Vol.703, №1-2. - P.217-224.

.        Smith, D.J. The separation and determination of chlorpromazine and some of its related compounds by reversed-phase high - performance liquid chromatography / D. J. Smith // J. Chromatogr. Sci. - 1981. - Vol. 19, №2. - P.65-71.

.        Sobhi, H.R. Extraction and determination of trace amounts of chlorpromazine in biological fluids using hollow fiber liquid-phase microextraction followed by high - performance liquid chromatography / H. R. Sobhi, Y. Yamini, RH. Abadi // J. Pharm. Biomed. Anal. - 2007. - Vol.45, №5. - P.769-774.

.        Solid-phase extraction and high - performance liquid chromatographic method for chlorpromazine and thirteen metabolites / C. S. Smith [et al] // J. Chromatogr. - 1987. - Vol.423, № 12. - P. 207-216.

.        Svendsen, C.N. HPLC with electrochemical detection to measure chlorpromazine, thi - oridazine and metabolites in human brain / C. N. Svendsen, E. D. Bird // Psychopharma - cology (Berl). - 1986. - Vol.90, № 3. - P.316-321.

.        Tamai, G. High-performance liquid chromatographic drug analysis by direct injection of whole blood samples. III. Determination of hydrophobic drugs adsorbed on blood cell membranes / G. Tamai, H. Yoshida, H. Imai // J. Chromatogr. - 1987. - Vol.423, №12. - P.163-168.

.        Zhang, G. Sensitive liquid chromatogra - phy/tandem mass spectrometry method for the determination of the lipophilic antipsychotic drug chlorpromazine in rat plasma and brain tissue / G. Zhang, A. V. Jr. Terry, M. G. Bar - tlett // J. Chromatogr. B Analyt. Technol. Biomed. Life Sci. - 2007. - Vol.845, №1-2. - P.68-76.

.        Zhang, G. Simultaneous determination of five antipsychotic drugs in rat plasma by high-performance liquid chromatography with ultra-violet detection / G. Zhang, A.V. Jr. Terry, M. G. Bartlett // J. Chromatogr. B Analyt. Technol. Biomed. Life Sci. - 2007. - Vol.856, №1-2. - P. 20-28.

Похожие работы на - Анализ производных фенотиазина

 

Не нашли материал для своей работы?
Поможем написать уникальную работу
Без плагиата!
Без нейросетей!