Фармацевтический исследование производных фенотиазина

  • Вид работы:
    Реферат
  • Предмет:
    Химия
  • Язык:
    Русский
    ,
    Формат файла:
    MS Word
    335,45 kb
  • Опубликовано:
    2011-05-10
Вы можете узнать стоимость помощи в написании студенческой работы.
Помощь в написании работы, которую точно примут!

Фармацевтический исследование производных фенотиазина













Курсовая работа

"Фармацевтический анализ производных фенотиазина"

Введение

Фенотиазины - исторически первый класс антипсихотических средств - по своей химической структуре представляют собой трициклические молекулы.

Все фенотиазины подразделяются на три основных подтипа:

.        алифатические,

.        пиперидиновые,

.        пиперазиновые производные.

Фенотиазины с алифатическими боковыми цепями (например, хлорпромазин) в основном являются низкопотентными соединениями (то есть для достижения терапевтического эффекта необходимо использовать более высокие дозы препарата). Пиперидиновые производные обладают антихолинергическими свойствами и в меньшей степени способны вызывать развитие экстрапирамидных расстройств (например, тиоридазин, мезоридазин). Пиперазиновые фенотиазины (например, перфеназин, трифлюоперазин, флуфеназин) являются наиболее мощными антипсихотическими соединениями.

Связь «структура-действие»

В основе химической структуры данной группы препаратов лежит гетероциклическая система, состоящая из шестичленного гетероцикла тиазина, конденсированного с двумя ядрами бензола (рис. 1).

Препараты, производные фенотиазина, представляют собой сходные по химической структуре соединения, отличающиеся только заместителями в положении 2 и 10 фенотиазинового кольца, причем между структурой заместителей и фармакологическим действием проявляется четкая зависимость: если в 10 положении находится липофильная группировка, содержащая третичный азот во 2’ или 3’ положении, то препарат оказывает нейролептическое, седативное и противоаллергическое действие. Если же эта группировка гидрофильная (карбоксильная группа), то препарат оказывает коронарорасширяющее и антиаритмическое действие.

Фармацевический анализ фенотиазина

Фенотиазин


Получение

Фенотиазин получают нагреванием дифениламина с S при 180-250 0C в высококипящих растворителях в присутствии I2 или AlCl3. Общий метод получения фенотиазина и его производных - циклизация 2'-замещенных производных 2-аминодифенил-сульфида в присутствии сильных оснований:


1.      Описание.

Представляет собой желтые кристаллы.

Хорошо растворим при нагревании в этаноле, уксусной кислоте, плохо - в диэтиловом эфире и бензоле. В холодной серной кислоте растворим с выделением SO2.

3.      Качественный анализ.

.1. Химические свойства.

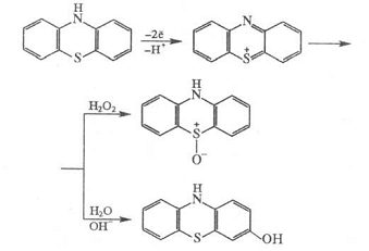
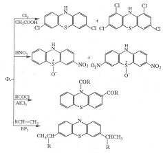
Имеет похожие свойства ароматических соединений. Является хорошим донором электронов и с различными акцепторами образует комплексы с переносом заряда. Легко вступает в электрофильное замещение, которое направляется в первую очередь в положения 3 и 7 и часто сопровождается окислением.

3.2. Реакционная способность


Бромирование фенотиазина в нитробензоле протекает с образованием 1,2,3,7,8,9-гексабромпроизводного, аналогичное хлорирование - с образованием продукта глубокого (до 11 атомов Cl) хлорирования и потерей ароматичности одного из колец.

Окисление фенотиазина действием H2O2 или KMnO4 приводит к фенотиазин-5-оксиду или фенотиазин-5,5-диоксиду. Реакции протекают в виде последовательных стадий с промежуточным образованием катиона, в котором положение 3 чувствительно к атаке нуклеофильных реагентов, например:

4.      Примеси.

.        Количественный анализ.

Хранение.

Хранить их следует в банках из оранжевого стекла, плотно закрытых пробками, залитыми парафином, в сухом месте (это связано с легкоокисляемостью, и высокой гигроскопичностью).

Применение

Фенотиазин используется в качестве инсектицида, антигельминта, антиоксиданта смазочных масел.

Фармацевтический анализ производных фенотиазина

1.      Аминазин

2.      Трифтазин

3.      Дипразин

1.      Описание.

Гораздо большее значение имеют производные фенотиазина, имеющие заместителя (R) в положениях 2 и 10 цикла. Чаще R10 представляет собой остаток 3-диалкиламинопропанола


2.      Растворимость.

Очень легко растворимы в воде, легко - в 95% спирте, хлороформе; практически нерастворимы в эфире и бензоле.

3.      Качественный анализ.

.1. Химические свойства.

Из химических свойств производных фенотиазина наиболее характерным является способность их к окислению. В зависимости от характера окислителя (бромная вода, азотная и серная кислоты, хлорид окисного железа и др.) образуются различного цвета продукты окисления. Поэтому эти реакции используются для идентификации препаратов фенотиазинового ряда.

3.2. Реакционная способность.

Местом наибольшей реакционной способности в молекуле фенотиазина и его производных является атом серы, которая может окисляться до S4+ и S6+.

Окисление фенотиазина или его производных бромом в уксусной кислоте или другим окислителем, например перекисью водорода, приводит к образованию S-оксида (I) и диоксида-сульфона (II).


За счет третичного азота в молекуле производные феноти-азина могут вступать в реакции с общеалкалоидными реактивами (см. «Алкалоиды»).

Все препараты фенотиазинового ряда применяются в виде гидрохлоридов, поэтому после выделения основания щелочью в фильтрате обнаруживается хлор-ион с раствором нитрата серебра.

4. Примеси.

Из возможных примесей в препаратах ГФ X допускает суль­фаты, тяжелые металлы и фенотиазин в пределах эталонов. Определяется также предел кислотности.

5. Количественное определение.

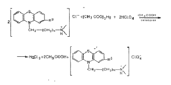
Методы количественного определения препаратов фенотиазинового ряда разнообразны и базируются на свойствах соединений. Фармакопейным методом является метод кислотно-основного титрования в неводных средах. Препарат растворяют в ледяной уксусной кислоте или ацетоне, добавляют ацетат окисной ртути и титруют хлорной кислотой по индикатору кристалличе­ский фиолетовый или метиловый оранжевый.


Фармакопейным методом является и обычный метод нейтра: лизации с дифференцирующими растворителями. Этот метод ГФ X рекомендует для раствора и таблеток дипразина. Определение азота по методу Кьельдаля ГФХ рекомендует для количественного определения аминазина в растворе.

Хранение.

Меры предосторожности.

При работе с производными фенотиазина нужно исключить возможность попадания порошка и растворов на кожу и слизистые оболочки, так как они вызывают сильное раздражение, отечность кожи век, понижение артериального давления.


Использованные литературные источники

фенотиазин химический фармацевтический производный

1.       Гетероциклические соединения, под ред. P. Эльдерфидда, пер. с англ., т. 6, M., 1960, с. 568-91;

.        Общая органическая химия, пер. с англ., т. 9, M., 1985, с. 627-35. Г.А. Швехгеймер, В.И. Келарев;

.        http://ru.wikipedia.org

.        Мелентьева

Похожие работы на - Фармацевтический исследование производных фенотиазина

 

Не нашли материал для своей работы?
Поможем написать уникальную работу
Без плагиата!
Без нейросетей!