Разработка предложений по совершенствованию организации складского хозяйства
Оглавление
Аннотация
1. Теоретические основы управления складом
1.1 Снабжение запасами и
выбор поставщика
1.2 Разгрузка и прием товаров
на складе
1.3 Внутрипроизводственная
транспортировка, складирование и хранение продукции на складе
1.4 Комплектация и отгрузка
товаров
1.5 ABC-XYZ анализ как
современный способ управления складом
2. Анализ деятельности
предприятия ООО «Мартен» Toyota Центр Вологда
2.1 Общая характеристика
компании ООО «Матрен» Toyota Центр Вологда
2.2 Анализ управления складом
«Автозапчасти, аксессуары и лакокрасящие материалы» группы компаний ООО
«Матрен» Toyota Центр Вологда
2.3 АВС - XYZ анализ
деятельности склада в группе компаний ООО «Мартен» Toyota Центр Вологда
«Автозапчасти, аксессуары и лакокрасящие материалы»
3. Совершенствование управлением
складом на основе АВС- XYZ анализа на складе «Автозапчасти, аксессуары и
лакокрасящие материалы» группы компаний ООО «Матрен» Toyota Центр Вологда
3.1 Рекомендации по хранению
товаров на складе «Автозапчасти, аксессуары и лакокрасящие материалы» группы
компании ООО «Матрен» Toyota Центр Вологда
3.2 Рекомендации по повышению
эффективности работы персонала на складе «Автозапчасти, аксессуары и
лакокрасящие материалы» группы компании ООО «Матрен» Toyota Центр Вологда
Заключение
Список использованной
литературы
Аннотация
Выпускная квалификационная работа состоит из введения, 3 глав,
заключения, списка использованных источников. Во введении определены
актуальность темы, цель и задачи исследования, предмет, объект и методы
дипломного проектирования, а также значимость работы. В первой главе
рассмотрены теоретические основы снабжения запасами и выбора поставщика,
разгрузки и приема товара на складе, внутрипроизводственная транспортировка,
складирование и хранение продукции на складе, комплектация и отгрузка товаров,
алгоритм проведения АВС - XYZ
анализа.
Во второй главе дана общая характеристика группы компаний ООО «Мартен» Тoyota Центр Вологда, проведён анализ
основных показателей деятельности по управлению складом «Автозапчасти,
аксессуары и лакокрасящие материалы», проведен АВС - XYZ анализ на складе «Автозапчасти, аксессуары и
лакокрасящие материалы» группы компаний ООО «Мартен» Тoyota Центр Вологда.
В третьей главе представлены рекомендации по совершенствованию процесса
управлением складом «Автозапчасти, аксессуары и лакокрасящие материалы» группы
компаний ООО «Мартен» Тoyota
Центр Вологда, содержащие предложения по внедрению статистического адресного
хранения, рекомендации по инвентаризации продукции на складе, а так же
рекомендации по работе персонала с учетом проведенного анализа.
В заключении изложены основные выводы, полученные в ходе исследования, и
предложения, направленные на совершенствование системы управлением складом.
Список литературы состоит из 55 источников.
Введение
Важным условием роста производства и сбыта продукции служит наличие
необходимой материально-технической базы, выступающей в качестве элемента
производительных сил. Вещественное содержание материально- технической базы
образуют средства производства, состоящие из средств и предметов труда. Склады
на любом предприятии наравне с другими основными фондами выступают необходимой
производственно-технической базой. Они призваны, прежде всего, обеспечивать
концентрацию и накопление запасов предметов труда и готовой продукции, организацию
надлежащего их хранения и учета. Кроме того, важной функцией склада на
предприятии является планомерное и бесперебойное снабжение цехов и участков
материальными ресурсами с необходимой подготовкой их к непосредственному
производственному потреблению и отправка (отгрузка) готовой продукции
потребителям.
Складское хозяйство предназначено для приемки и накопления запасов
материалов, изделий, конструкций, сырья, топлива и обеспечения бесперебойного
снабжения и комплектации; рациональной организации погрузочно-разгрузочных и
складских работ с минимальными затратами труда и средств; правильного
использования складских помещений и эксплуатации складского оборудования;
осуществления надлежащей подготовки материальных ресурсов к производственному
потреблению; организации централизованно доставки материалов и изделий к местам
потребления; обеспечения сохранности материальных ценностей; своевременного
выявления излишних материальных ценностей; снабжения планирующих органов
управления сведениями о наличии запасов материальных ресурсов, их поступлении и
расходе на предприятии.
Развитие и совершенствование организации складского хозяйства позволит
улучшить снабжение потребителей продукцией. Вместе с тем быстрые темпы роста
промышленного производства, расширение его объемов и неуклонное повышение
технического уровня отраслей промышленности обусловливают потребность иметь на
предприятиях необходимый уровень производственных запасов. Это, в свою очередь,
требует дальнейшего развития и улучшения организации складского хозяйства
предприятий.
Таким образом, складское хозяйство - связующее звено между службой
материально-технического обеспечения и производственными подразделениями, между
цехами, выпускающими готовую продукцию, и службой сбыта, а также между
подразделениями предприятия. Его деятельность существенно влияет на
бесперебойность и эффективность работы основного производства, на ритмичный
выпуск и отгрузку товарной продукции.
Целью дипломной работы является разработка предложений по
совершенствованию организации складского хозяйства на складе «Автозапчасти,
аксессуары и лакокрасящие материалы» предприятия группы компании ООО «Мартен»
Тoyota Центр Вологда.
Для достижения поставленной цели в работе необходимо решить следующие
задачи:
изучить основные теоретические аспекты, связанные с понятием складского
хозяйства на предприятии;
выявить условия и технику хранения материалов на складах;
рассмотреть использование автоматизированной системы управления в учете
товарно-материальных ценностей на складе предприятия;
провести АВС - XYZ анализ на складе «Автозапчасти, аксессуары и
лакокрасящие материалы» предприятия группы компании ООО «Мартен» Тoyota Центр
Вологда;
разработать комплекс мер по совершенствованию управлением склада
«Автозапчасти, аксессуары и лакокрасящие материалы» предприятия группы компании
ООО «Мартен» Тoyota Центр Вологда.
Методами исследования являются: системного и сравнительного анализа,
статистической обработки данных, абстрагирование, анализ и синтез, дедукция,
логистические методы.
Объектом исследования является склад «Атозапасти, аксессуары и
лакокрясящие материалы» компании ООО «Мартен» Тoyota Центр Вологда.
Предметом исследования является система управления складским хозяйством и
пути ее совершенствования.
При написании дипломной работы были изучены и использовались
законодательные, нормативные и методические материалы, регламентирующие
проведение материально-технического обеспечения (закупок) на предприятиях;
статьи отечественных и зарубежных авторов по исследуемой проблеме работы.
Теоретико-методологические основы, а также практический инструментарий
логистики применительно к проблемам складской логистики, оптовой торговли,
логистических систем изложены в работах таких ученых, как Б.А. Аникин, А.Н.
Брынцев, А.П. Гарнов, А.П. Долгов, А.В. Зырянов, С.А. Калашников, Д.Д.
Костоглодов. Различным аспектам организации складского хозяйства на
предприятиях различных отраслей народного хозяйства посвящены работы многих
отечественных ученых и специалистов, в частности, В.В. Волгина, Г.М. Демичева,
В.В. Дыбской, A.M. Гаджинского, О.Б. Маликова.
Тем не менее, анализ работ указанных авторов, показывает, что для условий
российской экономики пока недостаточно отработаны методологические и
методические подходы к пошаговому формированию систем складирования на
действующих ресурсообеспечивающих предприятиях на основе концепций и принципов
логистики.
Основным источником практического материала, использованного при
написании дипломной работы, являются отчётные данные, квартальные отчеты по
сбыту продукции в штуках, плановые расчёты по вопросам организации складского
хозяйства на предприятии «Автозапчасти, аксессуары и лакокрасящие материалы»
предприятия группы компании ООО «Мартен» Тoyota Центр Вологда.
Практическая значимость работы заключается в том, что основные выводы и
разработки могут быть использованы для повышения эффективности деятельности
склада «Аксессуары, автозапчасти и лакокрасящие материалы» группа компаний ООО
«Мартен» Тoyota Центр Вологда.
1. Теоретические основы управления складом
.1 Снабжение
запасами и выбор поставщика
Снабжение - это приобретение продукции, необходимой для обеспечения
бесперебойной функциональной деятельности любой хозяйственной организации.
Применительно к производителю продукции снабжение обычно еще называют
материально - техническим снабжением, которое должно обеспечить бесперебойность
процесса производства создаваемой продукции [8 стр. 56].
Возможны два способа поставки продукции, или две формы снабжения, в
зависимости от того как устанавливается связь между производителем и покупателем
продукции на рынке:
. транзитная - это способ доставки продукции от производителя напрямую
покупателю;
. складская - это способ доставки продукции от производителя к покупателю
через распределительный склад или через посредника [13 стр. 187- 189 ].
Транзитная форма снабжения применяется если с одной стороны, поставка
продукции осуществляется в размерах, которые позволяют в достаточной мере
заполнить транспортное средство доставки, а с другой стороны, если между
потребителем и производителем продукции установлены прямые связи и они не
нуждаются в торговом посреднике.
Данный способ доставки особенно пригоден для поставки крупных партий
продукции, которая не требует особых операций по её подготовке к употреблению в
производстве или потреблении[24 стр. 256 - ].
Транзитный способ доставки позволяет продавать продукцию, минуя торговые
склады, и тем самым сокращать общие сроки поставки, снижать расходы по доставке
продукции до потребителя.
Для большинства видов поставляемой продукции обычно используется
складская форма снабжения, при которой производитель поставляет свою продукцию
сначала на распределительный склад, принадлежащий торговому посреднику, с
которого по мере потребности предоставляется покупателям. Склад выступает в
качестве дополнительного звена - остановки на пути движения от производителя к
потребителю.
Склад можно рассматривать как основной преобразователь материального
потока логистической системы от поставщиков сырья материалов до поставки
готовой продукции конечному потребителю [6, стр. 6].
Управление поставщиками со стратегической точки зрения предлагает
активное взаимодействие людей, техники и организацию отношений.
В логистике снабжения поставщик - юридическое лицо, обеспечивающее какой
- либо продукцией другое юридическое лицо на условиях определённых договором
[2, стр.177].
Важность выбора поставщика объясняется не только функционированием на
современном рынке большого количества поставщиков одинаковых материальных
ресурсов, но и тем, что он должен быть прежде всего надежным партнером товаропроизводителя
в реализации его стратегии организации производства.
Выбор поставщика осуществляется двумя способами.
Первый способ - анализ возможных вариантов и предложений осуществляет
торговый агент предприятия, отвечающий за закупки. Он выбирает поставщика
исходя прежде всего из наиболее низких закупочных цен, делает заказ, следит за
его выполнением и старается разрешить возникающие вопросы.
Второй способ заключается в коллегиальном обсуждении возможностей и
потребностей в поставках. Анализ проводится как на уровне отдела закупок
предприятия, так и на уровне взаимодействия этого отдела с производственным,
отделом контроля качества либо отделом сбыта.
Выявление и изучение источников закупки и поставки не является разовым
мероприятием, а должно проводиться систематически, базируясь на различных
источниках информации.
Обычные источники информации - это каталоги (в печатном или электронном
виде), торговые журналы, различного рода рекламные объявления, прайс-листы,
торговые директории (регистры) поставщиков и товаров, торговые
представительства и др.
Каталоги наиболее известных источников снабжения содержат, например,
информацию о производственных источниках, предложениях, перечень товаров,
находящихся в наличии у дистрибьюторов, цены, размеры скидок и т. п. Торговые
журналы, являясь ценным источником информации о потенциальных поставщиках,
несут покупателю общую информацию о новой продукции и сырье, а также
определенную рекламу.
Торговые директории или регистры - это источники, в которых приводятся
списки основных производителей, их адреса, количество отделений, филиалы,
продукция, в некоторых случаях финансовое положение или место в продажах. Они
также содержат списки названий товаров на рынке с указанием их производителей и
списки сырья и комплектующих с указанием названия и адреса поставщика.
Информация в регистрах организована так, чтобы можно было вести поиск по типу
товара, по его производителю или по названию товара.
Торговые представительства, возможно, являются одним из наиболее ценных,
имеющихся в наличии средств информации об источниках снабжения, видах продукции
и общей ситуации на рынке закупок.
Особое внимание в качестве средства информации об источниках снабжения
отводится Интернету. В последние годы Интернет в России активно используется
для поиска партнеров по бизнесу, в том числе и для снабжения.
Большое количество и разнообразие потенциальных поставщиков, требуемых
материальных ресурсов приводит к тому, что особое внимание уделяется проблеме
выбора тех, которые могли бы с наибольшим эффектом обеспечить успешную
производственно-сбытовую деятельность предприятия.
Возможны два направления выбора поставщика:
. Выбор поставщика из числа компаний, которые уже были вашими
поставщиками (или являются ими) и с которыми уже установлены деловые отношения.
Это облегчает выбор, так как отдел закупок компании располагает точными данными
о деятельности этих компаний.
. Выбор нового поставщика в результате поиска и анализа требуемого рынка:
рынка, с которым компания уже работает, или совершенно нового рынка (в случае принятия
решения о диверсификации деятельности). Для проверки потенциального поставщика
часто необходимо много времени и ресурсов, поэтому ее следует осуществлять
только в отношении тех поставщиков из небольшого списка, которые действительно
имеют серьезный шанс получить большой заказ.
Для повышения объективности оценки потенциального поставщика предприятия
могут прибегнуть к услугам специализированных агентств, одной из функций
которых является подготовка информации о поставщиках. Такой информацией, в частности,
может быть оценка финансового положения поставщика по таким показателям, как
ликвидность, чистая прибыль, оборачиваемость и др.
Критерии оценки и отбора поставщиков материальных ресурсов зависят от
требований потребителей логистической системы и могут быть различными. Обычно
их три-четыре, в отдельных случаях их может быть более 60. В то же время
независимо от специфики отрасли, размера предприятия, особенностей производства
важнейшими критериями в процессе оценки и отбора согласно требованиям закупочной
логистики являются следующие.
. Надежность снабжения
. 2. Качество поставляемой продукции.
. 3. Приемлемая цена.
. 4. Удаленность генератора материальных потоков от потребляющей
логистической системы.
. 5. Сроки выполнения текущих и экстренных заказов.
. 6. Способность обеспечить поставку запасных частей в течение всего
срока службы поставленного оборудования.
. 7. Психологический климат в трудовом коллективе поставщика.
. 8. Организация управления качеством продукции у поставщика.
. 9. Кредитоспособность и финансовое положение поставщика.
. 10. Репутация и роль в своей отрасли.
. 11. Имидж.
. 12. Оформление товара (упаковка) [3, стр. 118].
После принятия решения о выборе поставщика осуществляется работа с ним.
Проводится подготовка и планирование переговоров; знакомство с торговыми
представителями поставщика и анализ предлагаемых условий; обсуждение
технических условий с указанием типа, количества, качества и цены продукции,
места и времени исполнения заказов, условий обслуживания и гарантийных обязательств.
Как правило, на начальной стадии работы с поставщиками практикуется вариант
проведения пробных заказов, по результатам которых проводится оценка
способности поставщика по обеспечению потребности потребителя в краткосрочной и
долгосрочной перспективе.
Эффективность закупок во многом зависит от правильного выбора источников
поступления и поставщиков, поэтому коммерческим службам предприятия следует
уделить этому вопросу много внимания. Здесь актуальным становится
систематическое выявление и изучение источников закупки и поставщиков товара, а
также совершенствование организации хозяйственных связей с поставщиками.
Таким образом, стратегия выбора поставщика предполагает анализ
альтернативных вариантов сотрудничества на базе выработки основных показателей
оценки деятельности поставщика.
.2 Разгрузка и прием товаров на складе
Поступивший транспорт с товарами должен быть в кратчайшие (нормативные)
сроки разгружен и принят. Структура и количество операций по приемке товаров
зависят от места приемки и вида груза, а также от типа транспортного средства,
которым товары доставляют на склад.
Перечень процедур по приемке товаров на складвключает:
- въезд транспортного средства к месту разгрузки;
- контроль наличия товаросопроводительной документации;
- определение ворот разгрузки;
- подача транспортного средства к рампе под разгрузку;
- подъезд транспортного средства к месту разгрузки;
- наружный осмотр транспортного средства и фиксирование неисправностей, при
необходимости фотосъемка;
- открывание дверей транспортного средства;
- подача необходимого подъемно-транспортного средства;
- визуальный осмотр поступившего товара (каждой грузовой единицы);
- подача необходимой тары и укладка в нее товара (при необходимости);
- взятие грузовой единицы транспортным средством и вывоз его на рампу;
- приемка поступившего груза по числу
грузовых мест в соответствии с сопроводительными документами;
- сверка и оформление сопроводительных
документов;
- оформление актов приемки с указанием
порчи или недостачи груза, если таковые имеются;
- передача необходимых документов
поставщику и подтверждение получения груза в базе данных;
транспортировка груза в зону приемки для окончательной приемки и
подготовки товаров к размещению на хранение [6,стр.73].
По прибытии транспортных средств на склад в первую очередь проверяется
наличие сопроводительных документов (товарно-транспортная накладная,
счет-фактура, технический паспорт, сертификат соответствия ГОСТу, удостоверение
о качестве и др.) и их содержание на предмет соответствия условиям (отправитель,
получатель, количество, ассортимент, упаковка и т. д.), зафиксированным в
договоре поставки. Отсутствие какого-либо из этих документов не должно
приостанавливать приемку товара. В этом случае составляется акт о фактическом
наличии товара, а в акте приемки указывают, какие документы отсутствуют. Перед
непосредственной разгрузкой транспортного средства кладовщик, ответственный за
приемку, проверяет наличие на транспортных средствах или контейнерах пломб
отправителя или пункта отправления, сохранность пломб, оттиски на них,
состояние самого транспортного средства, исправность тары. В случае обнаружения
нарушений, а также отсутствия или неисправности пломб составляется акт об
осмотре состояния транспортных средств либо делается отметка в
товаротранспортной накладной. В некоторых компаниях практикуется фото- или
видеосъемка транспортных средств и груза. Такая наглядная информация может
существенно облегчить процесс согласования результатов приемки с поставщиком
или транспортной компанией.
При осуществлении разгрузки и приемки грузов необходимо ориентироваться
на условия поставки заключенного договора. Соответственно подготавливаются
места разгрузки под указанное транспортное средство (трейлер, фура, контейнер)
и необходимое погрузочно-разгрузочное оборудование. Разгрузка на современных
складах осуществляется на разгрузочных автомобильных или железнодорожных рампах
и контейнерных площадках. Специальное оснащение мест разгрузки и правильный
выбор погрузочно-разгрузочного оборудования позволяют эффективно проводить
разгрузку (в кратчайшие сроки и с минимальными потерями груза), в связи с чем
сокращаются простои транспортных средств, а следовательно, и снижаются издержки
обращения. Проводимые на данном этапе операции включают: разгрузку транспортных
средств, контроль документального и физического соответствия заказов поставки,
документальное оформление прибывшего груза через информационную систему,
формирование складской грузовой единицы.
.3 Внутрипроизводственная транспортировка, складирование и хранение
продукции на складе.
Внутрискладская транспортировка предлагает перемещение груза между
различными зонами склада: с разгрузочной рампы в зону приемки, оттуда в зону
хранения, комплектации и на погрузочную рампу [6, стр. 74].
Основные принципы рациональной транспортировки внутри склада,
обеспечивающие эффективную грузопереработку сводятся к следующему:
- транспортировка и перевалка на складе
должны быть увязаны со всеми операциями грузопереработки, а потому выбор и
применение необходимых средств транспортировки должны основываться на анализе
всех факторов, влияющих на данную операцию и конкретных параметрах этих
средств;
- транспортировка грузов должна
осуществляться с минимальной протяженностью во времени и пространстве по
сквозным “ прямотчным” маршрутам;
- транспортировка должна основываться
на основе единой складской грузовой единицы;
- число перевалочных операций должно
быть минимальным, в связи с чем прямая транспортировка без смены транспортных
средств является наиболее эффективной;
- применение универсального оборудования,
сокращающих парк подъемно-транспортных средств и число перевалок.
При выполнении внутрипроизводственных транспортировок следует в как можно
большей степени использовать внешний транспорт для избегания процессов
складирования и перемещений, приводящих к дополнительным затратам. Это
возможно, однако, при определенных предпосылках. В других случаях должен
использоваться внутрипроизводственный транспорт со своими специфическими,
рассчитанными на более короткие расстояния, транспортными средствами [4, стр.
220- 221].
Каждый товар после завершения его приемки следует поместить в отведенное
ему на складе место.
Для перемещения товара на складе требуется:
решить вопрос о том, какое количество товара разместить в активной
складской зоне и какое в резервной;
определить необходимые для размещения товара размеры эффективного и
резервного складского пространства;
распределить товары согласно маркировке;
определить место хранения товара;
переместить товар к отведенному на складе мету хранения.
Передвижение и укладку товаров в пределах выбранной зоны осуществляют
работники отдела приема склада. При выборе места хранения товара учитывается
количество и частота поступления товаров. Решения о размещении определенного
количества товара в активной или резервной зоне принимается отдельно по каждому
товарному наименованию.
В практике складов принято бункеры активной зоны хранения пополнять
запасами из резервных зон, а резервные зоны наполнять новыми товарами по мере
их поступления. При таком порядке осуществляется расходование запасов в порядке
их прихода на склад. Для каждого наименования товара устанавливается
определенная зона хранения. Товар перемещается в выделенную зону и
укладывается. Движение товара к выделенным зонам не должно представлять
неупорядоченное передвижение грузов, а быть хорошо подготовленной и
организованной операцией.
Следует отметить основные принципы хранения товаров:
хранение товара по принципу однородности. Устройство складского помещения
должно соответствовать характеру хранимых товаров. В заказах потребителей
однородные товары обычно объединяются в группы. Выполнение заказа может
значительно ускорено, если в складском хранении придерживаться подобной
группировки товаров. Однако имеются случаи, когда совместное хранение
относительно близких по характеристике или назначению товаров недопустимо.
Большое разнообразие товаров предполагает организацию специальных зон хранения
для каждой группы товара.
хранение товаров в зависимости от их размера и веса. Размер и вес товара
влияют на устройство склада и внутреннее расположение в нем зон хранения. При
этом необязательно все крупногабаритные и тяжелые товары хранить в одной зоне:
логичнее предложить организацию специальных участков в пределах отдельной зоны
хранения таких товаров. Для обращения отдельной зоны для хранения таких
товаров. Для обращения с большими и тяжелыми товарами следует использовать
специальные приспособления и подъемно - транспортное оборудование. Некоторые
материалы можно складировать на полках, в то время как для хранения других
требуются контейнеры и бункеры. Товары в мелкой упаковочной таре подвержены
большему риску при хранении, их легче повредить, испортить и утратить, чем
товары в оригинальных упаковках. Хранение мелких товаров считается достаточно
дорогостоящей операцией.
Потребительский спрос на товары косвенным образом влияет на их размещение
при хранении. Товары повышенного спроса должны храниться в более доступных
зонах близ мест, отведенных для отгрузки товаров. Работа с товарами повышенного
потребительского спроса представляет наиболее трудоемкий участок. Чем ближе
такие товары находятся к месту отгрузки, тем меньше расстояние они проходят при
отпуске со склада. Товары пониженного потребительского спроса следует хранить в
более отдаленных от места отгрузки зонах. Обращение к некоторым товарам
происходит иногда на столько редко, что их хранение целесообразно осуществлять
в наиболее отдаленных помещениях, если это позволяют требования хранения.
Хранение некоторых материалов может осуществляться на открытом воздухе.
Временное хранение используется для товаров сезонного характера. Расположение
на складе товаров пониженного потребительского спроса и специфических товаров.
Если товары повышенного потребительского спроса занимают не большую площадь,
тогда товары пониженного спроса могут храниться ближе к месту отгрузки.
Опасные, быстро портящиеся и другие товары требуют особых условий
хранения и специального оборудования для их перемещения. Некоторые материалы
при неправильном обращении с ними и хранении становятся опасными для здоровья,
жизни и имущества. Такие товары следует изолировать при хранении от других во
избежание несчастных случаев.
Ценные товары требуют специального хранения. Табачные товары, алкогольные
напитки, дорогие лекарства, точные измерительные инструменты подвергаются
частым хищениям так же, как драгоценности и произведения искусства. Помещения с
секретными замками, сейфы, скрытые контейнеры и другие приспособления помогают
предупредить случаи хищений. Другие ценные товары, такие как стекло, хрусталь,
фарфор, требуют особых условий хранения. Для обращения с ними используются
специальные приспособления и транспорт.
Для предотвращения потери качеств скоропортящихся товаров следует
создавать специальные зоны хранения. В которых осуществляется контроль за
температурой и уровнем влажности. Товары, портящиеся под воздействием света,
хранят в темных помещениях, а при перевозке используют специальные
светонепроницаемые контейнеры. Скоропортящиеся товары имеют очень короткий срок
жизни и не должны долго оставаться на складе, что бы не потерять свою
потребительскую ценность. Хранение и содержание подобных товаров нуждается в
особом внимании работников склада. Хотя и хранение представляется
обременительным, они могут принести не малую прибыль при условии правильного
обращения с ними.
Хранение товаров стратегического назначения. Существует ряд законов и
постановлений правительства, регулирующих контроль использования и потребления
некоторых видов товаров. Товары особой важности требуют к себе самого
пристального внимания. Документальное оформление всех операций, связанных с
оформлением таких товаров, является строго обязательным. Строгость
постановлений в отношении товаров особой важности обусловлена необходимостью
предотвратить несчастные случаи, сохранить и обезопасить здоровье, жизнь и
имущество людей. Законодательством предусмотрена мера наказания за возможные
нарушения данных постановлений. Работники имеющие доступ к товарам особой
важности, должны быть хорошо знакомы с законами, постановлениями и
инструкциями, касающихся хранения и обращения с данными товарами [7, стр. 334 -
345].
Таким образом, при правильном размещении, хранении и складировании
продукции на складе можно добиться максимального использования складских
мощностей, что в конечном итоге увеличит пропускную способность склада.
1.4
Комплектация и отгрузка товаров
Комплектация заказов является одной из самых трудоемких и затратных
операций в складском хозяйстве. Получение заказа на комплектацию на крупных
складах осуществляется через информационную систему, что облегчает выполнение
функции комплектации за счет автоматизированных и механизированных операций.
Применяются два метода отборки товаров: индивидуальная и комплексная.
Индивидуальная отборка представляет собой последовательную комплектацию
отдельного заказа. При этом товар должен сразу укладываться в соответствующую
тару и по окончании операции быть готовым к проверке и отправке.
Комплексная отборка применяется, как правило, при выполнении небольших
заказов. Отборщик, обходя зону отборки, изымает из мест хранения товары для
нескольких заказов согласно сводному отборочному листу.
При высокой оборачиваемости и широком ассортименте один заказ может
одновременно подбираться несколькими отборщиками на разных участках зоны
хранения отбираемого запаса. Впоследствии отобранные части соединяются в единый
заказ.
Процесс комплектации сводится к подготовке товара в соответствии с
заказами потребителей. Комплектация и отгрузка заказов включает:
- получение заказа клиента;
- отбор каждого наименования по заказу
клиента;
- комплектацию отобранного товара для
конкретного клиента в соответствии с его заказом;
- подготовку товара к отправке;
- документальное оформление
подготовленного заказа и контроль за подготовкой заказа;
- объединение заказов клиентов в партию
отправки и оформление транспортных накладных;
- отгрузку грузов транспортное
средство.
Процесс передачи груза покупателю может быть организован различными
способами:
- отгрузка продукции. Под этим
процессом понимается погрузка продукции на тот или иной вид транспорта и ее
отправка покупателю, осуществляемая производителем в соответствии с имеющимися
договорами на поставку и перевозку грузов;
- отпуск продукции. Данный процесс
включает в себя передачу груза грузополучателю прямо со склада производителя
при условии, что перевозка продукции осуществляется самим ее получателем.
Главным требованиям, предъявляемыми к процессу отправки, являются:
современность отгрузки продукции, обеспечение необходимой ритмичности,
укомплектованных поставок, т.е. отгрузка продукции со всеми входящими в нее
функциональными и иными элементами, правильное оформление соответствующих
товарораспорядительных документов и т.д.
Продукция,
не прошедшая в установленном порядке проверку по качеству, а также продукция,
отгрузка которой была запрещена органами, осуществляющими контроль над
качеством продукции <#"873095.files/image001.gif">
(1)
Таблица 4
Исходные данные товарного ассортимента находящиеся на складе Toyota Центр
Вологда
|
№
|
Тип номенклатуры
|
Реализация позиции за год в
руб.
|
Доля реализации в общей
реализации в%
|
|
1
|
Аксессуары
|
116 480 000
|
28,923
|
|
2
|
Запчасти
|
191 255 000
|
47,490
|
|
3
|
Локальные продукты компании
|
1 279 600
|
0,318
|
|
4
|
Технические жидкости
локальные
|
20 300
|
0,005
|
|
5
|
Технические жидкости
оригинальные
|
31 055 700
|
7,711
|
|
6
|
Шины
|
62 512 000
|
15,522
|
|
7
|
Запчасти локальные
|
9 200
|
0,002
|
|
8
|
Штучный
|
116 800
|
0,029
|
|
|
итого
|
402 728 600
|
100
|
Произведем оценку вклада каждого объекта в общий результат, ранжируем
номенклатурные позиции в порядке убывания реализации позиции за год, а также
рассчитаем нарастающий итог доли объектов в общем количестве в процентах и
вклада этих объектов в общий результат в процентах на складе в группе компаний
ООО «Мартен» Toyota Центр Вологда «Автозапчасти, аксессуары и лакокрасящие
материалы». Данные представим в таблице 5.
Таблица 5
Ранжированные данные по сумме продаваемых автозапчастей и аксессуаров.
|
Тип номенклатуры
|
Реализация позиции за год в
руб.
|
Доля реализации в общей
реализации в%
|
|
2
|
Запчасти
|
191 255 000
|
47,490
|
|
1
|
Аксесуары
|
116 480 000
|
28,923
|
|
6
|
Шины
|
62 512 000
|
15,522
|
|
5
|
Технические жидкости
оригинальные
|
31 055 700
|
7,711
|
|
3
|
Локальные продукты компании
|
1 279 600
|
0,318
|
|
8
|
Штучный
|
116 800
|
0,029
|
|
4
|
Технические жидкости
локальные
|
20 300
|
0,005
|
|
7
|
Запчасти локальные
|
9 200
|
0,002
|
Проранжировав данные, разобьем их на 3 группы.
Первая группа А - очень важные товары, которые всегда должны
присутствовать в ассортименте. В качестве параметра в анализе использовался
объем продаж, то в данную группу входят лидеры продаж по спросу.
Вторая группа В - продукты, реализационные параметры которых являются
средними; они требуют обычных подходов в планировании, учете и контроле.
Третья группа товаров С - наименее важные товары, это претенденты на
исключение из ассортимента и товары-новинки. Согласно правилу Паретто 20%
ассортиментных позиций обеспечивает 80% прибыли. Данные представлены в таблице
6.
Таблица 6
Распределение позиций номенклатурных позиций по группам АВС
|
№
|
Тип номенклатуры
|
Реализация позиции
нарастающим итогом в % к общему кол-ву товаров
|
Доля товаров в общей реализации
( по возрастанию)
|
Группа товаров
|
|
2
|
Запчасти
|
40,154
|
12,5
|
А
|
|
5
|
Технические жидкости
оригинальные
|
25,078
|
25
|
|
|
1
|
Аксесуары
|
24,456
|
37,5
|
|
|
6
|
Шины
|
8,220
|
50
|
В
|
|
3
|
Локальные продукты компании
|
1,919
|
62,5
|
|
|
8
|
Штучный
|
0,153
|
75
|
С
|
|
4
|
Технические жидкости локальные
|
0,03
|
87,5
|
|
|
7
|
Запчасти локальные
|
0,003
|
100
|
|
Проведенный АВС анализ номенклатуры на складе в группе компаний ООО
«Мартен» Toyota Центр Вологда «Автозапчасти, аксессуары и лакокрасящие
материалы» разделил весь товарный ассортимент на три группы, к каждой из
которых требуется применять различные методы по управлению ими. В группу
товаров А попали такие номенклатурные позиции как «Запчасти», «Аксессуары»
«Технические жидкости оригинальные», они приносят наибольшую прибыль компании.
В группу товаров В попала одна товарная группа «Шины» , которая является так же
хорошо приносящая доход фирме продукция, к группе товаров С относятся такие
продукты как «Локальные продукты компании», «Штучный», «Технические жидкости
локальные», «Запчасти локальные», которые приносят незначительный доход в общей
сумме реализуемой продукции при продаже автозапчастей, аксессуаров и
лакокрасящих материалов на складе.
Метод АВС очень быстро становиться популярным среди отечественных
руководителей. В первую очередь, это относиться к фирмам, осуществляющим
многономенклатурные закупки и продажи. Однако, по мнению специалистов,
наибольший эффект дает применение этого метода в комбинации с другим, пока мало
известным в России XYZ-анализом.- анализ - это группировка позиций по уровню
прогнозируемости. Все позиции делятся на три группы: X, Y и Z. В группу X
попадают наиболее прогнозируемые товары, у которых случайные колебания
относительно небольшие. В группу Y попадают более труднопредсказуемые в
продажах позиции. Самые непредсказуемые позиции находится в группе Z.- анализ
позволяет произвести классификацию продукции в зависимости от характера их
потребления и точности прогнозирования изменений в их потребностях. Алгоритм
проведения состоит из четырёх этапов:
- Определение коэффициентов вариации для анализируемых
ресурсов;
- Группировка ресурсов в соответствии с возрастанием
коэффициента вариации;
- Распределение по категориям X, Y, Z.
- Графическое представление результатов анализа.
Анализ XYZ осуществляется в порядке возрастания
коэффициента вариации спроса на товар, за определенный период времени, который
рассчитывается для каждой позиции ассортимента. Теоретически, величина
коэффициента вариации изменяется в пределах от нуля до бесконечности.
Составляя таблицу использовались квартальные отчеты по реализации
продукции за 2013 год. Исходя из которых была найдена реализации продукции в
год количества штук каждого наименования продукции, путем сложения всех
номенклатурных позиций по кварталам, далее рассчитана средняя реализация за
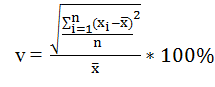
квартал. Из полученных данных рассчитан коэффициент вариации по формуле 2 - это
отношение среднего квадратического отклонения к среднеарифметическому значению
измеряемых значений ресурса, его значения в % занесены в таблицу 7.

(2)
где,
хi - значение параметра по оцениваемому объекту за i-
тый период,
x - среднее
значение параметра по оцениваемому объекту анализа,
n - число
периодов.
Таблица
7
Исходные
данные для проведения XYZ анализа
|
№
|
Наименование товара
|
Реализация за квартал
|
Реализация позиций в год
шт.
|
Средняя реализация за
квартал
|
Коэффициент вариации в %
|
|
1
|
Аксессуары
|
1069
|
1500
|
1554
|
1447
|
5570
|
1393
|
38,11
|
|
2
|
Запчасти
|
7456
|
9531
|
10734
|
10530
|
38251
|
9563
|
25,97
|
|
3
|
Запчасти локальные
|
3
|
0
|
0
|
0
|
3
|
1
|
2,59
|
|
4
|
Локальные продукты компании
|
432
|
451
|
465
|
479
|
1829
|
457
|
34,61
|
|
5
|
Технические жидкости
локальные
|
9
|
7
|
7
|
6
|
29
|
7
|
2,17
|
|
6
|
Технические жидкости
оригинальные
|
4600
|
5610
|
7339
|
6
|
17557
|
4389
|
54,27
|
|
7
|
159
|
56
|
53
|
6339
|
6607
|
1652
|
54,12
|
|
8
|
Штучный
|
13
|
33
|
14
|
63
|
123
|
31
|
40,5
|
Исходя из полученных данных в таблице 6, можно говорить о том, что
наибольшим коэффициентом вариации обладают группы товаров «Технические жидкости
оригинальные» и «Шины», средним «Штучный», «Локальные продукты компании»
«Запчасти» «Аксессуары» , наименьшим, группа товаров «Технические жидкости
локальные».
Группировка ресурсов при проведении XYZ - анализа осуществляется в
порядке возрастания коэффициента вариации, показывающего степень отклонения
данных от среднего значения. Упорядоченный список номенклатурных позиций по
возрастанию коэффициента вариации представлены в таблице 8.
Таблица 8
Упорядоченный список номенклатурных позиций по возрастанию коэффициента
вариации
|
Наименование товара
|
Реализация за квартал
|
Реализация позиций в год
шт.
|
Средняя реализация за
квартал
|
Коэффициент вариации
|
|
5
|
Технические жидкости
локальные
|
9
|
7
|
7
|
6
|
29
|
7
|
2,17
|
|
3
|
Запчасти локальные
|
3
|
0
|
0
|
0
|
3
|
1
|
2,59
|
|
4
|
Локальные продукты компании
|
432
|
451
|
465
|
479
|
1 828
|
457
|
34,61
|
|
8
|
Штучный
|
13
|
33
|
14
|
63
|
123
|
31
|
40,5
|
|
1
|
Аксессуары
|
1 069
|
1 500
|
1 554
|
1 447
|
5 570
|
1393
|
38,11
|
|
2
|
Запчасти
|
7 456
|
9 531
|
10 734
|
10 529
|
38 251
|
9563
|
25,97
|
|
7
|
Шины
|
159
|
56
|
53
|
6 338
|
6 606
|
1652
|
54,12
|
|
6
|
Технические жидкости
оригинальные
|
4 600
|
5 610
|
7 339
|
6
|
17 556
|
4389
|
54,27
|
Теперь сегментируем коэффициенты вариации и присваиваем каждому одну из
3-х букв X Y и Z в таблице 9.
При этом к категории X относятся ресурсы, которые характеризуются
стабильной величиной потребления, незначительными колебаниями в их расходе и
высокой точностью прогноза.
Категории Y - это ресурсы, потребность в которых характеризуется
известными тенденциями (например, сезонными колебаниями) и средними
возможностями их прогнозирования. Наконец, ресурсы, относимые к категории Z,
потребляются нерегулярно, точность их прогнозирования невысокая.
Таблица 9
Распределение позиций номенклатур по группам XYZ
|
№
|
Наименование товара
|
Коэффициент вариации
|
Количество товаров
нарастающим итогом в % к общему количеству
|
Группы товаров
|
|
5
|
Технические жидкости
локальные
|
2,17%
|
12,5
|
X
|
|
3
|
Запчасти локальные
|
2,59%
|
25
|
|
|
4
|
Запчасти
|
25,97
|
37,5
|
Y
|
|
8
|
Локальные продукты компании
|
34,61
|
50
|
|
|
1
|
Аксессуары
|
|
|
Z
|
|
2
|
Штучные
|
40,5%
|
75
|
|
|
7
|
Шины
|
54,12%
|
38,11%
|
|
|
6
|
Технические жидкости
оригинальные
|
54,27%
|
100
|
|
Путем наложения результатов анализа XYZ на данные ABC -метода образовалось
6 групп ассортимента, для каждой из которых необходимо разработать свои
технологии управления. Результатом совместного проведения анализа АВС и XYZ на
складе «Автозапчасти, аксессуары и лакокрасящие материалы» группы компаний ООО
«Матрен» Toyota Центр Вологда являются данные которые занесены в таблицу 10.
Таблица 10
Совмещенный ABC - XYZ анализ
|
|
X
|
Y
|
Z
|
|
А
|
|
Запчасти.
|
Аксессуары; Технические
жидкости оригинальные;
|
|
В
|
|
Локальные продукты
компании.
|
Шины.
|
|
С
|
Технические жидкости
локальные. Запчасти локальные.
|
|
Штучный
|
Из таблицы 10 следует что, в группу AY попали товары «Запчасти» которые
при высоком товарообороте имеют недостаточную стабильность расхода, в группу
товаров АZ попали товары «Аксессуары» и «Технические жидкости оригинальные»
которые отличаются низкой прогнозируемостью спроса при высоком объеме продаж .
«Локальные продукты компании» попали в группу товаров ВY, со средней
потребительской стоимостью, средней степенью надежности прогноза вследствие
нестабильности потребления. К группае товаров ВZ относятся «Шины» которые
пользуются сезонным спросом.
В группу товаров CX распределены товары «Технические жидкости локальные»
и «Запчасти локальные» которые пользуются регулярным спросом. Товары группы
«Штучные» относятся к группе CZ в её попадают все новые товары, товары
спонтанного спроса, поставляемые под заказ.
Таким образом, используя АВС - XYZ анализ, продукция на складе
«Автозапчасти, аксессуары и лакокрасящие материалы» группы компаний ООО
«Мартен» Тoyota Центр Вологда можно разделить делится на 6 основных групп, к
которым следует применять разные маркетинговые и ценовые стратегии, внедрять и
использовать разную политику по складированию и сбыту товара со склада. По
полученным результатам целесообразно провести работу по выявлению и устранению основных
причин, влияющих на стабильность и точность прогнозирования продаж.
3. Совершенствование управлением складом на основе АВС- XYZ анализа на
складе «Автозапчасти, аксессуары и лакокрасящие материалы» группы компаний ООО
«Матрен» Toyota Центр Вологда
.1
Рекомендации по хранению товаров на складе «Автозапчасти, аксессуары и
лакокрасящие материалы» группы компании ООО «Матрен» Toyota Центр Вологда
Важным элементом логистической модернизации складов исследуемых
предприятия является внедрение в политику управления товарным запасом и
ассортиментом АВС - XYZ анализа. Это позволяет определить рейтинг товаров по
определенным критериям и выявить ту часть ассортимента, которая обеспечивает
максимальный эффект. Для склада «Автозапчасти, аксессуары и лакокрасящие
материалы» группы компаний ООО «Мартен» Toyota Центр Вологда, этот вопрос
несомненно является актуальным. Метод АВС предполагает разделение всех товаров
на три части и оценку вклада каждого наименования в общий результат
деятельности. XYZ - анализ позволяет разделить продукцию по степени
стабильности продаж и уровня колебаний потребления на складе «Автозапчасти,
аксессуары и лакокрасящие материалы» группы компаний ООО «Матрен» Toyota Центр
Вологда.
Для оптимизации работы на складе «Автозапчасти, аксессуары и лакокрасящие
материалы» группы компаний ООО «Матрен» Toyota Центр Вологда следует
использовать рекомендации по хранению товаров представленные в рисунке 1. В
котором представлено разделение мер по управлению товарами, для улучшения
работы склада основанного на результатах проведенного АВС - XYZ анализа ассортимента продукции.
Рисунок 1. Рекомендации по хранению товаров на складе
Для оптимизации склада «Автозапчасти, аксессуары и лакокрасящие
материалы» группы компаний ООО «Матрен» Toyota Центр Вологда на основе ABC - XYZ анализе имеет смысл ввести статическое адресное
хранение товаров, являющихся мелкогабаритными и имеющих высокий стабильный
спрос, при этом перечень номенклатурных позиций которых достаточно велик.
Постоянная работа по оптимизации размещения товара на складе по товарным
группам, приведет к тому что за каждой товарной группой будет жестко закреплена
определенная область склада, состоящая из некоторого количества ячеек,
достаточного для размещения максимально допустимого складского остатка товара
по конкретной группе.