Бизнес-план предприятия ОАО 'Русполимет'

  • Вид работы:
    Курсовая работа (т)
  • Предмет:
    Эктеория
  • Язык:
    Русский
    ,
    Формат файла:
    MS Word
    122,26 Кб
  • Опубликовано:
    2015-02-22
Вы можете узнать стоимость помощи в написании студенческой работы.
Помощь в написании работы, которую точно примут!

Бизнес-план предприятия ОАО 'Русполимет'

Введение

Ускорение процессов, происходящих во внешней среде, изменение позиции поставщиков и потребителей, возрастание конкуренции, интенсивное научно-технологическое развитие приводят к тому, что предприятиям становится сложнее предугадывать будущую ситуацию и адаптироваться к ней. Концепция стратегического планирования позволяет выработать комплекс средств и методов, обеспечивающих адаптацию предприятий к рыночным условиям хозяйствования.

Сложившаяся на предприятиях методология и методика планирования базируется на концепции централизованного народнохозяйственного планирования. Трансформация централизованного планирования в систему государственного регулирования требует кардинального пересмотра всех элементов системы внутрифирменного планирования. Кроме того, планирование на предприятии является важнейшим элементом хозяйственного механизма управления. Попытки создать организационный и экономический механизм управления предприятиями рыночного типа без проработки системы внутрифирменного планирования нельзя считать плодотворными. Планирование является мощным фактором организационного развития предприятия. Оно создает основу для четкой слаженной работы всех структурных подразделений, позволяет выработать комплекс средств и методов, обеспечивающих разработку и внедрение в практику управления рыночных методов хозяйствования. Эффективное внутрифирменное планирование служит основой для разработки системы взаимоувязанных мер, направленных на стабилизацию экономической ситуации на предприятиях и создание предпосылок дальнейшего роста.

Актуальность выбранной темы, бизнес - план заключается в том, что бизнес-планирование в современных условиях является наиболее лучшим и устойчивым видом планирования на крупных и мелких предприятиях, как в долгосрочном, так и краткосрочном периоде. Бизнес-планирование служит в настоящее время основой успешной производственной, инвестиционной и предпринимательской деятельности.

Целью курсовой работы является составление бизнес-плана предприятия ОАО «Русполимет». Объектом курсовой работы - является предприятие ОАО «Русполимет». Предмет курсовой работы в свою очередь является бизнес - план предприятия ОАО «Русполимет».

Для достижения цели определены следующие задачи:

.        провести анализ и оценку ОАО «Русполимет» на основе собранных материалов;

.        раскрыть методы планирования и систему действующих показателей, выявляются их достоинства и недостатки.

.        провести анализ планирования отдельных сторон деятельности предприятия (цеха, отдела).

Структура работы состоит из введения, трёх глав с соответствующими подразделами, заключения, списка используемых источников.

В теоретической части (первая глава) на основе первоисточников излагается экономическое содержание исследуемых вопросов, степень их разработки в специальной экономической литературе, отмечаются основные дискуссионные положения и дается собственная позиция автора работы по тем или иным теоретическим положениям. В целом теоретическая часть должна быть изложена проблемно. Здесь раскрываются теоретические основы соответствующей плановой проблемы с учетом современных требований рыночной экономики.

Во второй главе дается анализ и оценка объекта исследования на основе собранных материалов, раскрываются методы планирования и система действующих показателей, выявляются их достоинства и недостатки. Здесь необходимо раскрыть основные факторы, оказывающие наибольшее влияние на состояние исследуемой проблемы, и наметить пути совершенствования методов и показателей планирования с учетом действующих на рынке законов спроса и предложения.

В третьей главе раскрываются конкретные рекомендации по совершенствованию плановой работы на предприятии, обязательно отражаются элементы новизны и личный вклад автора в их разработку. Здесь студентам необходимо привести свои творческие предложения по решению поставленных в проекте планово-экономических задач.

В заключении подводятся краткие итоги выполненной работы, даются экономически обоснованные выводы и предложения по совершенствованию производства и планирования.

При составлении данной контрольной работе были использованы методические указания к контрольной работе по дисциплине «Планирование на предприятии»; Л.И. ПУГИНА, С.А. ШАМШИН

Также была использована литература следующих авторов: Акофф Р.Л., Алексеева М.М., Бухалков М.И., Бухалков М.И., Генкин Б.М.

Глава 1. Теоретические основы бизнес планирования на предприятии

.1      Сущность бизнес планирования

Бизнес план - краткое, точное, доступное и понятное описание предполагаемого бизнеса, важнейший инструмент при рассмотрении большого количества различных ситуаций, позволяющий выбрать наиболее перспективные решения и определить средства для их достижения. Бизнес план является своего рода документом, страхующим успех предполагаемого бизнеса, в то же время, бизнес-план- инструмент самообучения.

Овладение техникой бизнес-планирования становится сегодня актуальной задачей предпринимателей.

Бизнес-планирование - специфический вид плановой деятельности в составе общей функции планирования, удовлетворяющий потребности любого предприятия или организации иметь ясные цели своего развития и программу их достижения в рыночной среде.

Бизнес-планирование - это заблаговременное решение вопросов: что следует сделать? Когда следует сделать? Как следует сделать? Как должен сделать?

Результатом бизнес-планирования является бизнес-план, то есть особый документ, отражающий цели и программу деятельности предприятия.

Основная цель разработки бизнес-плана - спланировать хозяйственную деятельность фирмы на ближайшие периоды в соответствии с потребностями рынка и возможностями получения необходимых ресурсов [ ].

Итак, бизнес-план нужен:

• предпринимателю - для проверки разумности, реалистичности, практической реализуемости и экономической эффективности своих идей;

• руководству компании - для планирования и координации деятельности в долгосрочной перспективе;

• персоналу предприятия- для понимания долгосрочных перспектив компании, своих задач и карьерных перспектив;

• сторонним инвесторам - для оценки эффективности и рисков проекта и принятия решения об участии в нем;

• кредиторам - для принятия решения о предоставлении заемных средств.

Для этого необходимо осознать цель именно данного бизнес-плана, т.е. правильно определить каким должен быть данный план. И в связи с этим важно четко классифицировать бизнес-планы по типам и использовать на практике наиболее актуальный.

.        тип проекта - по основным сферам деятельности;

.        класс проекта - по составу, структуре и его предметной области масштаб проекта - по размерам самого проекта;

.        длительность проекта - по продолжительности периода осуществления проекта( краткосрочные ( до 3 лет), среднесрочные( от 3- 5 лет), долгосрочные( свыше 5 лет);

.        сложность проекта - например, по степени финансовой, технической или др. сложности;

1.2    Методы составления бизнес - плана

. Нормативный метод планирования финансовых показателей - это расчет потребности хозяйствующего субъекта в финансовых ресурсах и их распределение на основании технико-экономических нормативов. В финансовом планировании применяется целая система норм и нормативов, которая включает пять подгрупп: федеральные нормативы; нормативы субъектов РФ (краевые, областные, автономных образований); местные нормативы; отраслевые нормативы и, наконец, нормативы хозяйствующего субъекта.

Первые четыре группы нормативов содержатся в различного рода законодательных и нормативных актах, регулирующих экономическую деятельность предприятий различных форм собственности, отраслевой принадлежности или территориального расположения.

К ним относятся налоговые ставки, проценты отчислений во внебюджетные фонды, нормы амортизации, ставки акцизов, таможенных пошлин, предельные нормы отнесения отдельных видов затрат на себестоимость и прочие.

Нормативы хозяйствующего субъекта разрабатываются непосредственно руководством предприятия и используются им для регулирования собственного производственно-торгового процесса, финансовой деятельности и контроля за использованием финансовых ресурсов.

. Содержание расчетно-аналитического метода планирования финансовых показателей - расчет плановой величины показателя на основе корректировки его текущей, базовой величины в соответствии с прогнозируемым индексом его изменения в плановом периоде [ 2 ].

Данный метод планирования также не является комплексным и применяется при планировании подчиненного показателя, косвенно взаимосвязанного с другими, приоритетными плановыми показателями (в случае прямой взаимосвязи применяется нормативный метод). Индекс изменения подчиненного показателя, вытекающий из планового изменения величины приоритетного показателя, прогнозируется на основании экспертной оценки их динамики и взаимосвязей.

. Балансовый метод - расчет планового соответствия между приходами и расходами по отдельной статье актива или пассива компании.

. Содержание метода оптимизации плановых решений состоит в разработке нескольких вариантов финансового плана с последующим выбором наиболее оптимального с точки зрения руководства. При этом могут применятся различные критерии выбора - например, минимум приведенных затрат, максимум приведенной прибыли, минимум вложения капитала, минимум текущих затрат, минимум времени на оборот капитала, максимум дохода на рубль вложенного капитала, максимум прибыли на рубль вложенного капитала, минимум финансового или валютного риска.

. Метод «издержки - объем - прибыль», или метод анализа безубыточности. Анализ «издержки - объем - прибыль» является достаточно универсальным и распространенным методом финансового планирования. Он основывается на известном теоретическом подразделении издержек предприятия на постоянные, которые принимаются за константу, и переменные, которые находятся в прямой зависимости от объемов произведенной и реализованной продукции.

1.3    Структура бизнес-плана

Бизнес-план может иметь различную структуру разделов и порядок изложения, это зависит от сути проекта и ключевых вопросов, подлежащих исследованию. Тем не менее, существует наиболее распространенная структура документа, которую и предлагается взять за основу бизнес-плана при его разработке.

Типовая структура бизнес-плана содержит следующие разделы:

•Резюме

•Информация об инициаторе проекта

•Представление проекта (продукта)

•Маркетинговый анализ

•Технологии и операционный план (Технологический и правовой анализ)

•Бюджет и финансовый анализ

•Анализ рисков

Резюме содержит краткое изложение сути проекта и представление ключевых фактов и показателей.

Информация об инициаторе и предпосылках проекта включает данные о компании, ее финансовом состоянии, компетенциях и истории работы на рынке.

Представление проекта (продукта) - описание того, что планируется сделать, какими характеристиками будет обладать продукция или объект, что уже сделано. Маркетинговый анализ может охватывать несколько разделов бизнес-плана, посвященных рынку и организации продаж, или быть полностью представленным в одном разделе.

Технологии и операционный план включают все операционные аспекты проекта: собственно технологические решения, оборудование, материалы, организацию производства, правовые вопросы.

Бюджет и финансовый анализ - обоснование структуры доходов и затрат проекта, прогнозный бюджет и анализ экономической эффективности.

Анализ рисков включает описание наиболее существенных рисков проекта и анализ их возможного влияния на результат.

Резюме

Резюме бизнес-плана представляет главные выводы, сделанные по результатам изучения проекта, и должно содержать следующие его основные характеристики.

При составлении резюме надо исходить из того, что с одной стороны, инвестор должен увидеть в этом разделе все ключевые данные, которые он обычно использует для принятия решения, а с другой стороны, изучение этого раздела не должно занимать много времени. В этом случае, резюме проекта станет хорошим инструментом для привлечения внимания инвестора и начала работы.

Инициатор проекта

Этот раздел должен раскрывать информацию об инициаторе проекта с точки зрения его надежности как заемщика (если в проекте предполагается банковское финансирование) и способности реализовать проект успешно и в соответствии с заявленными планами.

В разделе должны быть представлены:

. Точное наименование инициатора проекта и юридические данные

В зависимости от целей бизнес-плана, может потребоваться раскрыть географическое местоположение инициатора, структуру его акционерного капитала, список ключевых руководителей. Если в проекте участвует несколько компаний или физических лиц, то требуется указать их, определив их роли и порядок их взаимодействия в ходе реализации проекта, при этом обязательно показать кто именно является получателем кредита или средств инвестора.

. Подтверждение наличия опыта работы

Желательно кратко изложить историю развития компании, дать описание характера и направлений ее деятельности.

. Финансовые характеристики компании

Необходимо представить ключевую финансовую информацию по Инициатору проекта и/или группе компаний, в которую он входит (выручка, валовая рентабельность, чистая рентабельность, чистая прибыль, совокупные активы, соотношение собственного и заемного капитала и т.п.) в динамике за последние несколько лет.

Можно сделать это в форме агрегированного отчета о прибылях и убытках и баланса. Желательно, чтобы эта информация сопровождалась наличием приложений к бизнес-плану, содержащих полную финансовую отчетность (в виде стандартных форм бухгалтерской отчетности или в виде форм управленческой отчетности).

. Иная существенная информация

Если проект относится к сфере, в которой требуется наличие лицензий, сертификатов или членство в саморегулируемых организациях, следует указать данные о наличии соответствующих документов.

Если инициатор проекта принадлежит к группе компаний, желательно представить в графическом виде организационную структуру группы или ее фрагмент, включив в нее других участников проекта, если они также входят в группу, и указать доли участия в уставном капитале или иные отношения, связывающие членов группы.

Если проект существенно зависит от личных профессиональных качеств отдельных исполнителей, надо представить этих исполнителей и дать информацию, позволяющую судить об их способности реализовать проект.

Представление проекта (продукта)

Основная цель представления проекта (продукта) - познакомить инвестора с общей идеей проекта и характеристиками той продукции, которая будет создана в результате его реализации.

Помимо общего представления, следует описать текущее состояние готовности продукта: проведенные НИОКР и их результаты, данные испытаний, информацию о выполнении проектно-изыскательских работ и т.п.

Желательно сопроводить описание схемами и фотографиями, позволяющими наглядно оценить суть предлагаемых решений.

1.4    Нормативно-законодательная база

КРИТЕРИИ ОЦЕНКИ БИЗНЕС-ПЛАНА ЭКСПЕРТНЫМ СОВЕТОМ ПО ЭКОНОМИЧЕСКИМ ЗОНАМ (в ред. Приказа Минэкономразвития России от 02.11.2012 N 712)

1. Соответствие видов деятельности, предусмотренных бизнес-планом проекта, разрешенным видам деятельности в портовой особой экономической зоне, установленным Федеральным законом от 22 июля 2005 г. N 116-ФЗ "Об особых экономических зонах Российской Федерации" (Собрание законодательства Российской Федерации, 2005, N 30, ст. 3127; 2006, N 23, ст. 2383).

. Соответствие условий реализации проекта, предусмотренного бизнес-планом, требованиям Федерального закона "Об особых экономических зонах в Российской Федерации", установленным к условиям соглашения об осуществлении деятельности в портовой особой экономической зоне, в том числе к объему осуществляемых капитальных вложений.

. Соответствие проекта, предусмотренного бизнес-планом, целям создания особых экономических зон (развитие транспортной инфраструктуры и обрабатывающих отраслей экономики), а также утвержденному перспективному плану развития особой экономической зоны (в случае наличия) с учетом формируемых направлений деятельности в портовой особой экономической зоне (кластеров).

. Степень финансовой устойчивости проекта, предусмотренного бизнес-планом (возможность его финансирования с учетом заявленных средств (собственных, заемных), источников финансирования и условий предоставления заявленных средств (включая сроки, объемы и процентные ставки).

. Срок окупаемости проекта, предусмотренного бизнес-планом.

. Наличие необходимой для обеспечения деятельности заявителя в портовой особой экономической зоне, предусмотренной бизнес-планом проекта, инженерной, коммунальной, транспортной и иной инфраструктуры особой экономической зоны с учетом существующей загрузки мощностей.

. Наличие необходимого для реализации проекта, предусмотренного бизнес-планом, земельного участка, расположенного в границах особой экономической зоны и не сданного в аренду.

. Уровень проработки маркетинговой стратегии, включая анализ рынка сбыта, конкурентных преимуществ и механизма продвижения производимых заявителем товаров (выполняемых работ, оказываемых услуг), предусмотренных бизнес-планом проекта.

. Основные характеристики производимых заявителем товаров (выполняемых работ, оказываемых услуг), предусмотренных бизнес-планом проекта; их сравнение с мировыми и отечественными аналогами.

. Оценка технического и технологического потенциала проекта, предусмотренного бизнес-планом, в том числе его влияния на увеличение грузооборота порта (аэропорта), в сопоставлении с лучшими используемыми технологиями и практикой реализации подобных проектов.

. Оценка экологической эффективности проекта, предусмотренного бизнес-планом.

. Достижение положительного социально-экономического эффекта, связанного с реализацией проекта, предусмотренного бизнес-планом: создание (сохранение) рабочих мест, увеличение объема производимых товаров (выполняемых работ, оказываемых услуг) в субъекте Российской Федерации, на территории которого создана особая экономическая зона, и налоговых отчислений в бюджеты всех уровней.

. Опыт реализации заявителем проектов в сфере деятельности, предусмотренной бизнес-планом проекта, с учетом их количества и объемов осуществленных инвестиций.

Глава 2. Бизнес планирование для предприятия ОАО «Русполимет»

.1 Резюме

ОАО "Русполимет" - российская металлургическая компания, владеющая Кулебакским металлургическим заводом. Полное наименование - Открытое акционерное общество "Русполимет".

ОАО «Русполимет» - специализированный завод по производству кольцевых заготовок для авиационной и ракетно-космической отраслей, а также других отраслей промышленности. Авиационная промышленность России - одна из наукоемких, высокотехнологичных и системообразующих отраслей народного хозяйства.

Суть данного проекта заключается в том, что на предприятии ОАО «Русполимет» создаётся проект по «Организации современного электрометаллургического производства стали высокого качества». Новый электрометаллургический комплекс позволит производить практически все виды сталей и сплавов, которые используются в кольцепрокатном производстве и минимизировать зависимость от поставщиков заготовки, снизить риски, улучшить качество и оптимизировать цену конечной продукции.

Как было сказано выше, в России начинается постепенный подъём авиационной отрасли машиностроения, следовательно это может повысить спрос на кольцевую продукцию, так как производимые кольца идут, главным образом, на турбины, и другие составляющие самолёта. Следовательно можно сделать следующий вывод, если предприятия будет модернизировать и повышать эффективность производства кольцепрокатной отрасли, то спрос на продукцию будет только расти, что поможет увеличить получаемую прибыль, а так же продолжить развивать дополнительные отрасли на предприятии и соответственно расширить производство по всем отраслям, что конечно потребует увеличения административного и производственного персонала, но здесь есть свои плюсы будет потребность в новых кадрах, то есть появятся дополнительные рабочие места для населения.

Объём инвестиций в проект, исходит из следующих направлений Модернизация кольцепрокатного стана H160S (2013 - 2014 г.) - 60 и 31 млн. руб., Приобретение устройства для разгрузки крупногабаритных колец со стана Raw (2013 -2014 г.) - 24 и 6 млн. руб., Приобретение транспортного погрузчика с вилочной навеской, грузоподъемностью 4 тонн (2013 -2014 г.) - 4,8 и 1,2 млн. руб., Приобретение газовой печи для термообработки кольцевых заготовок диаметром до 4000 мм 2013 г. - 31 млн. руб., Модернизация шахтных печей для Термообработки 2013 г. - 6 млн. руб., Организация участка калибровки кольцевых Заготовок (2014 - 2015 г.) - 74,9 и 112,4. Общий объём составит - 351,3 млн. руб.

Объем производства составляет 43848 тонн, плановый годовой оборот - доход за 2013 год составил 11150845 тыс. руб., расход составил 1736090 тыс. руб. в общем годовой оборот составил - 12886935 тыс. руб. Плановая годовая прибыль снизилась до 262 млн. руб.

Эффективность рассматриваемого бизнес - проекта измеряется в следующих показателях:

Чистый дисконтированный доход, который составляет 2,31 млрд. руб., что говорит о положительной динамике. Индекс доходности равен 1,12, что говорит об окупаемости проекта. Срок окупаемости составляет 3 года. Внутренняя норма доходности равна 14 %.

2.2 Информация об инициаторе проекта

ОАО "Русполимет" - Открытое акционерное общество. Находится на территории города Кулебаки, ул. Восстания д. 1 (Нижегородская область).

ОАО «Русполимет» владеет уникальными технологиями по кольцепрокатному и кольце сварочному производству из углеродистых и легированных сталей, сплавов на основе никеля и титана, медных и алюминиевых сплавов, немагнитных коррозионностойких сталей.

- создание ОАО "Русполимет" путем слияния ОАО КМЗ и ЗАО ККПЗ.

- подписано 10-ти летнее соглашение о поставке колец для авиа двигателей с компанией Pratt&Whitney Canada. Создан фонд "Забота" в поддержку детей, врачей, учителей, спортсменов.

- начато строительство нового кольцепрокатного стана фирмы SMS MEER. 2009 - Компания "Русполимет" (Кулебакский металлургический завод) стала победителем конкурса "Инновация региона-2009" в номинации "Инновации в промышленности".

- запущен в эксплуатацию самый мощный в стране кольцепрокатный стан фирмы SMS MEER [7]. ОАО "Русполимет", итальянская фирма "Danieli" и правительство Нижегородской области подписали соглашение о строительстве микрометаллургического завода нового поколения по технологии непрерывной разливки-прокатки.

Прокатаны первые кольца из слитков, выплавленных на новой вакуумной дуговой печи "ALD Vacuum Technologies", приобретенной предприятием в рамках реализации инвестиционного проекта по обеспечению кольцепрокатного производства собственной заготовкой.

февраль - Русполимет победил в номинации «Инвестиционный проект года в сфере промышленного производства» Нижегородской области. 2013 март - Русполимет признан победителем конкурса «Инновации региона 2012».

Финансовыми показателями, которые характеризуют предприятие ОАО «Русполимет», являются: выручка в размере 7 603 тыс. руб. (2012 г.), 9 009 тыс. руб. (2011 г.); чистая прибыль в размере 410 779 тыс. руб. (2012 г.), 382 718 тыс. руб. (2011 г.); соотношение собственного и заёмного капитала представляется следующим образом 2012 г. - 2 828 107 тыс. руб. и соответственно 3 445 774 тыс. руб., 2011 г. - 2 417 947 тыс. руб. и соответственно 2 996 716 тыс. руб.

Как становится, понятно высокую долю имеют заёмный капитал. Совокупные активы на 2012 г. 7 885 308 тыс. руб., на 2011 г. 6 529 183 тыс. руб.

2.3 Представление проекта

На предприятии создаётся проект по «Организации современного электрометаллургического производства стали высокого качества». Новый электрометаллургический комплекс позволит производить практически все виды сталей и сплавов, которые используются в кольцепрокатном производстве и минимизировать зависимость от поставщиков заготовки, снизить риски, улучшить качество и оптимизировать цену конечной продукции.

Также в обществе продолжает реализовываться проект «Модернизация и развитие сталеплавильного, сортопрокатного и листопрокатного производства на ОАО "Русполимет". Данный проект позволит создать первый в России самый современный металлургический комплекс для производства строительной арматуры. Замена мартеновского производства практически полностью исключит загрязнение окружающей среды.

В соответствии с программой развития предприятия ОАО «Русполимет» определены следующие приоритетные направления при создании проекта ОАО «Русполимет» на 2013 - 2014 года:

. Модернизация кольцепрокатного производства (II этап) с организацией производств на площадях производственного корпуса № 172 с развитием термических мощностей.

. Освоение новых производственных мощностей электрометаллургического комплекса с выходом на проектные показатели к июлю 2013 года.

. Модернизация электрометаллургического производства (II этап), подготовка инвестиционных проектов:

.1. организация производства порошков (гранул) из специальных сталей и сплавов и изделий из них;

.2. увеличение технических возможностей для производства высококачественных слитков диаметром до 700 мм из специальных сталей и сплавов;

.3. организация производства титановых слитков.

Дополнительную гарантию качества продукции предприятия дает собственный испытательный центр, оснащенный современным контрольно- измерительным оборудованием для мониторинга и исследования макро- и микроструктуры, механических свойств, геометрических параметров готовых изделий методами ультразвукового контроля, магнитопорошковой дефектоскопии, рентгенографии, люминесцентного контроля и объемного травления.

Диверсификация производства позволит ОАО «Русполимет» выйти на другой, более качественный, производственный уровень. Обладая новыми техническими и технологическими возможностями, общество выходит на новый уровень конкурентоспособности и обеспечивает себе и своим заказчикам уверенные перспективы.

На положение общества в отрасли влияет и развитие конкурентной среды. К конкурентам предприятия в области авиационного кольцепрокатного производства можно отнести следующие предприятия внешнего и внутреннего рынков:

ОАО «Уральская кузница» (г.Чебаркуль)

ОАО «Ступинский металлургический комбинат» (г.Ступино)

ОАО «Констар» (г. Кривой Рог, Украина)

ВСМПО «Ависма» (г. В.Салда)

К основным конкурентам предприятия по машиностроительному производству относятся:

ОАО «Уральская кузница» (г.Чебаркуль)

ОАО «НТМК» (г.Нижний Тагил)

ОАО «Ижорские заводы» (г.Санкт-Петербург)

ОАО «Констар»(г.Кривой Рог, Украина)

В качестве факторов, влияющих на конкурентоспособность ОАО «Русполимет» можно выделить следующие:

. Наличие уникального кольцепрокатного оборудования;

. Наличие технологий и кадров, позволяющих производить обработку давлением жаропрочных сплавов, легированных сталей и титановых сплавов;

. Стабильное качество продукции, удовлетворяющее требованиям, в том числе аэрокосмической отрасли, и подтверждаемое наличием соответствующих сертификатов.

. Оперативное и своевременное удовлетворение потребностей клиентов по срокам поставки всей требуемой номенклатуры;

. Конкурентная цена продукции. Ввиду наличия определяющего уровень себестоимости фактора «Цена металлической заготовки» - мы стремимся обеспечить возможность удовлетворения потребности в металле собственной заготовкой;

. Гибкая система финансирования поставок;

. Оперативное реагирование на запросы клиентов.

2.4 Маркетинговый анализ

планирование маркетинговый рыночный инвестиционный

2.4.1 Анализ рыночной ситуации

К основными потребителями кольцевой продукции ОАО «Русполимет» относятся являются ведущие российские производители: ОАО НПО «Сатурн», ФГУПП «НПЦГ «Салют», ОАО ММП им.В.В. Чернышева, ОАО «Пермский моторный завод», ОАО «Уфимское моторостроительное производственное объединение», ОАО НПО «Энергомаш» им. Академика В.П. Глушко, ФГУП «Воткинский завод», ОАО «Протон ПМ», ОАО «БелАЗ». Кольца поставляются также на экспорт для фирм «Pratt&Whitney» и «Honeywell».

В настоящее время предприятие не стоит на месте. Наращиваются объемы производства, продаж, расширяется номенклатура изделий, модернизируется производство. Непрерывное исследование рынков, целевое инвестирование в развитие уникальных возможностей, поиск и освоение новейших технологий и оборудования, создание собственных технологических разработок - все это позволяет продукции предприятия оставаться современной и востребованной как отечественными, так и западными партнерами.

Общество имеет филиал - Московский филиал ОАО "Русполимет" - создан в целях расширения производственно-хозяйственной деятельности ОАО «Русполимет», расширения и обеспечения стабильности существующих рынков сбыта, представления интересов ОАО «Русполимет» и их защиты вне места нахождения ОАО «Русполимет».

Далее необходимо рассмотреть динамику цен на продукцию, которая представлена в таблице 1.

Таблица 1 - Динамика цен продуктов за 2011 - 2013 гг.

Наименование продукта

Цена, тыс. руб.

Темп роста, %




2011 г.

2012 г

2013 г.

2012 г по сравнению

2012 г. по сравнению







с 2011 г.

с 2013 г.

Кольцевые заготовки

1.КЗ авиационного назначения

707752,4

512390,4

676891,5

72,4

132,1

2.КЗ ОН для машиностроения

180521,5

73984,2

102781,2

41,0

138,9

3.КЗ не авиационного назначения

192131

77623,5

107142,7

40,4

138,0

4.КЗ АН на внутренний рынок

610801,4

414807,7

560071,9

67,9

135,0

5.Бандажи

8899,7

3044,5

4361,5

34,2

143,3

6..Прочая продукция

2709,811

594,8

138,9

21,9

23,4

Металлургический бизнес

7.Металлургическая продукция

1934

822,5

29838,2

42,5

3627,7


Темп роста цен продуктов 2011 по сравнению с 2012 годом составил 320,4%, а темп роста 2012 по сравнению с 2013 годом составил 4338,4%, что говорит о значительном увеличении цен на данные продукты.

Следующий шаг это сравнительный анализ уровня цен на продукты с ближайшими конкурентами, который представлен в таблице 2.

Таблица 2 - Сравнительный анализ уровня цен на продукты

Виды продукции

Цена единицы продукции, тыс. руб.


ОАО «Русполимет»

Конкурирующие предприятия



ОАО "ЗЛАТОУСТОВСКИЙ МЕТАЛЛУРГИЧЕСКИЙ ЗАВОД", Челябинская область, Златоуст

PrattWhitneyCanada

Кольцевые заготовки

1451388

152334

10209

Металлургический бизнес

29838

45801

15789,95


По структуре цены видно, что ОАО «Русполимет» обеспечивает довольно не плохую прибыльность, но руководство предприятия начало поступать не разумно так как цена на продукты, рассматриваемые в данной курсовой работе, возросла очень сильно (4338,4%) к 2013 году.

Следовательно - руководству необходимо задуматься о том как можно было её снизить, потому что если она будет расти, то продукцию будут закупать у конкурентов, что повлечёт за собой большие убытки, но цену можно и оставить в таком состояние как есть, то есть кольцевые заготовки - 1 451 388 тыс. руб., а на металлургический бизнес - 29838,2 тыс. руб. Понижать цену пока не следует потому, что ка видно из таблицы 1 она в основном состоит из прибыли - 453 840 тыс. руб.(57,7%) и заработной платы, налогов и обязательных платежей - 324 721 тыс. руб. (41,3%). Не рационально будет уменьшать прибыль или заработную плату, так как это приведёт к серьёзным последствиям, появится среди работников не довольство заработной платой, а если прибыль уменьшить то предприятие не сможет уплачивать налоги, долговые и краткосрочные обязательства, а налоги и обязательные платежи мы не можем уменьшать.

Распределительная сеть ОАО «Русполимет» включает такие предприятия как ООО «КЭМЗ», ООО «Старт». ООО «Старт». стало владельцем 20,52% уставного капитала предприятия.

Для рассмотрения возможных каналов сбыта необходимо рассмотреть работу каналов сбыта ОАО «Русполимет» (табл. 3).

Таблица 3 - Основные показатели работы ОАО «Русполимет» в динамике

Выручка от реализации

2012 год

2013 год

Изменение выручки от реализации


тыс. руб.

%

тыс. руб.

%

тыс. руб.

%

Продажа продукции потребителю без участия посредников

3 736

49,1

4 572

50,7

836

59,5

Продажа продукции от производителя к независимому участнику товародвижения, а затем к потребителю

3 867

50,9

4 437

49,3

570

40,5

Всего

7 603

100

9 009

100

1 406

100


Если в 2012 году выручка от реализации в прямом канале сбыта составляла 49.1%, то в 2013 году она уже составила 50.7%, то есть возросла на 2%.

Тогда же в косвенном канале сбыта выручка от реализации в 2012 году составила 50,9%, а в 2013 году составляла уже 49,3%.

Новые рынки сбыта можно было бы найти по средствам модернизации производства, в данный момент модернизирована установка электрошлакового переплава, восстановлена вакуумно-индукционную печь, на предприятии стали производить новую продукцию - жаропрочные сплавы, которые могут использоваться в производстве наземных газоперекачивающих установок.

Предприятие будет поставляет клиентам кольца из этой стали намного дешевле, но не хуже по качеству. Чтобы оставаться конкурентоспособными на рынке, надо уметь производить дешевле и качественнее.

По оценкам экспертов отрасли, российские компании имеют гораздо больший расход сырья на производство тонны продукции, а низкая оплата труда компенсируется заметно более низкой производительностью на одного работника.

В течение 2001-2010 годов только производители Кемеровской области несколько приблизились по производительности к показателям Японии, Франции и Германии, хотя по-прежнему значительно отстают от показателей США и Южной Кореи. Показатель продуктивности производства в Китае, скорее всего, заметно завышен и не учитывает теневую занятость.

2.4.2 Анализ конкуренции

Для анализа конкуренции сначала необходимо рассмотреть цены на продукцию предприятия ОАО «Русполимет», но для этого необходимо рассмотреть из чего складывается цена, структура цены представлена в таблице 4 (все данные представлены за отчётный год 2013, тыс. руб.)

Таблица 4 - Структура цены на кольцевые заготовки ОАО «Русполимет»


Составляющая цены

Размер

Доля, %

1.

Прибыль до налогообложения

453 840

57,7

2.

Развитие сервисной сети

3 591

0,5

3.

Маркетинг, реклама, PR

2300

0,3

4.

Накладные расходы

1 500

0,2

5.

Базовые компоненты, заработная плата,

324 721

41,3


налоги и обязательные платежи




Итого:

785 952

100


Из табл. 4 видно, что главную часть структуру цены составляют прибыль до налогообложения - 57,7%, и базовые компоненты, заработная плата, налоги и обязательные платежи - 41,3%.

На предприятии производится реорганизация цехов, но она была связана с укрупнением нескольких цехов: вместо трех кольцепрокатных цехов сделали два производства.

Потом была сделана реорганизация в электрометаллургическом производстве: из двух цехов - сталелитейного и электросталеплавильного - сделали одно электрометаллургическое производство.

Была поставлена задача, изменить структуру управления: уменьшить число уровней управления, объединить там, где это можно было объединить, что улучшило управляемость.

Руководство предприятия собирается строить новую металлургическую линию на площадях бывшего стальцеха. Эта линия полностью покроет потребность в заготовке, что возможно существенно поправит экономику ОАО «Русполимет».

После проведения мероприятий, которые описаны выше можно будет говорить о поисках новых каналов сбыта, таких как поставки за рубеж без посредников и т.д. Далее приведена таблица 5, в которой описаны расходы на рекламу.

Таблица 5 - Соотношение расходов на рекламу и объема продаж в 2011 -2013

Показатели

2011

2012

2013

Объем продаж, тыс. руб.

7 064

7 603

9 009

Темп роста объема продаж, %


71,92

66,70

Расходы на рекламу, тыс. руб.

1500

2000

2300

Прирост расходов на рекламу, тыс. руб.


500

300

Темп роста расходов на рекламу, %


133,3

115


Из данной таблицы видно, что темпы роста расходов на рекламу (133,3%) выше темпов роста объемов продаж (71,92%) на период 2012 года, такая же ситуация наблюдается и в 2013 году темп роста расходов на рекламу 115%, темп роста объёма продаж 66,7%.

То есть расходы на рекламу растут быстрее чем объём продаж, что отрицательная тенденция так как мы рекламируем продукцию, но почти не продаём, следовательно необходимо сделать следующие рекламировать более эффективно, или улучшать качество продукции, предложить скидки постоянным клиентам, организовать доставку продукции, то есть предложить более выгодные условия для покупателей продукции, чтобы увеличить объём продаж. Рекламировать услуги предполагается в средствах массовой информации по телевидению в «бегущей строке» на канале ННТВ, а так же в газетах, таких как «Доска объявлений».

По мере получения дохода и увеличения оборотного капитала предполагается участвовать в широкомасштабных рекламных выставках. Это дает преимущество в получении информации о конкурентах и об их новых услугах, а также возможность найти новых заказчиков и заключить с ними предварительное соглашение. Так же начато широкое применение компьютерной сети в качестве носителя рекламы.

В настоящее время с целью стратегического развития отечественного авиастроения разработан и реализуется ряд программных документов: «Стратегия развития авиационной промышленности на период до 2016 года» и федеральная целевая программа «Развитие гражданской авиационной техники России на период до 2016 года».

Стратегией развития до 2016 года предусмотрено принципиальное изменение конкурентной позиции гражданского сектора авиапромышленности и планируется рост продаж отечественной авиатехники на международном рынке до 10 %.

В течение последних нескольких лет идет активное реформирование всего авиастроительного сектора, который даст мощный толчок развитию множества смежных отраслей и станет одним из катализаторов формирования инновационной экономики.

В 2009 году утверждена «Стратегия развития авиационного двигателестроения России на период до 2025 года», предусматривающая реструктуризацию отрасли с целью развития ее научно-технического и производственного потенциала в обеспечение технологической безопасности страны. Одна из основных ее задач - кардинальное повышение конкурентоспособности и производственной базы. Авиа- и двигателестроение распоряжением правительства включены в «Основные направления деятельности Правительства Российской Федерации на период до 2012 года» в качестве важнейших.

Общество стремится к увеличению объемов продаж, к увеличению чистой прибыли. Те сегменты рынка, на которых работает предприятие, развиваются.

Своей новой продукцией - поковками компания может поспособствовать развитию машиностроения в регионе.

Рынок спецсталей и сплавов - это рынок, который будет развиваться, потому что таковы тенденции в мире: растет потребление надежных материалов, которые обеспечивают высокую коррозионную стойкость, высокие механические свойства как в двигателестроении, так и в машиностроении

2.5 Технологический и правовой анализ

На предприятии ОАО «Русполимет» в данный момент внедряются самые передовые мировые разработки, создаются собственные технологии, совершенствуется производственный процесс для того, чтобы, как и прежде, оставаться компетентным и надежным поставщиком продукции.

На предприятии была проведена реорганизация цехов и служб, с предприятия ушли старые кадры.

По сложившийся ситуации можно сказать, что - реорганизация была произведена, но она была связана с укрупнением нескольких цехов: вместе трех кольцепрокатных цехов сделали два производства. Потом реорганизовали электрометаллургическое производство: из двух цехов - сталелитейного и электросталеплавильного - сделали одно электрометаллургическое производство. Стояла задача изменить структуру управления: уменьшить число уровней управления, объединить там, где это можно было объединить. Это улучшило управляемость.

В этом году был сделан очень серьезный шаг по омоложению коллектива. Было издано положение, по которому людям пенсионного возраста, которые увольняются с завода, выплачивается очень хорошее выходное пособие. Пенсионеры захотели уйти, и это позволило нам упорядочить численность и принять на освободившиеся места молодежь: мастерами, а где-то - даже руководителями.

Как известно, производство является материальной основой существования и развития всего общества в целом. Поэтому основой производства предприятия является заранее разработанный и практически проверенный технологический процесс, который заключается в обеспечении и целенаправленном изменение сырья, полуфабрикатов, вспомогательных материалов для получения продукции.

Но производственные условия характеризуются наличием некоторых опасностей и вредных условий, такие воздействия, которые рабочего приводят к травмам и воздействия, приводящие рабочего к заболеваниям.

Предприятие ОАО «Русполимет» благодаря широкому развитию отраслей, связанных с авиастроением и космической деятельностью, то предприятие имеет возможности найти новых партнёров и укрепить позиции со старыми, например предполагаемыми партнёрами могут стать предприятие «Автокомпозит», это поможет увеличить объём продаж на 890 млн руб. (объём продаж за 2013 г. Русполимет - 7,63 млрд руб.), предприятие - EBITDA, это поможет увеличить объём продаж на ещё на 1 млрд. руб., или предприятие «Уралвагонзавод», объём продаж увеличиться на 60 млн. руб., то есть в наилучшем случае, то есть когда предприятие ОАО «Русполимет» подпишет контракты со всеми, то объём продаж вырастит до 10,120 млрд. руб.

Материалы занимают 65,9% на 2012 г., а на 2013 г. 66,7% от общей стоимости статей затрат.

Далее необходимо рассмотреть, поставки материалов при внедрении плана «в жизнь».

Поставщики, на которых большая часть всех поставок сырья (материалов), и их доля в общем объеме поставок представлена в следующей таблице 6.

Таблица 6 - Доля в общем объеме поставок

% п/п

Наименование Поставщика

Местонахождение поставщика

Доля в общем объеме № поставок, %





2012

2013

1

   Заготовка для кольцевого производства

ОАО «Металлургический завод «Электросталь»

г. Электросталь, Московская обл., ул.Железнодорожная, д.1

48

68,4

2


ООО «ВСМПО- АВИСМА»

г. В. Салда, Свердловская обл.ул.Парковая,1

36


3


ООО «СКБТ- Снабсервис»

г.Пенза, ул.Калинина д.128


11,9

4


ООО ТД «Днепроспецсталь-М»

г.Москва, Старомонетный пер.,д9 стр.1


10,3

5

Заготовка для сортового производства

ООО ТД «Эстар»

г.Златоуст, Челябинская обл., ул.Кирова, д.2

100

100

6

Мазут

ООО «Лукойл- Волганефтепроду кт»

г.Н.Новгород, ул.Грузинская, 26

30,85


7


ООО «ПК «Леспромцентр»

г.Н.Новгород, ул.Радионова, д.192/д оф.527

35,85

59,5

8


ООО «СП Нефть

г.Кстово,ул.Зеленая д.2а кв.77


40,5

9

Кокс литейный

ООО “Мар-Ко”

г. Барнаул ул. Короленко,12

34,5


10


ООО “Ростконтракт”

г. Барнаул, а/я 1813

44,6

100

11

Породы карбанатовые

ООО “Карбонат”

Владимирская обл. Гусь- Хрустальный р-н п. Добрятино ул. Новая Стройка

100

100

12

огнеупоры

ЗАО “Огнеупоринвест”

г. Екатеринбург ул. Сони Морозовой,180-408

22,1


13


ООО ТД “Интерхимпром”

г. Воронеж ул. Куцына, 12

22,7

14,7

14


ООО “Группа Магнезит”

Челябинская обл. г. Сатка ул. Солнечная, 32

16,9


15


ООО «Проминженеринг»

г. Н.Тагил, Свердловская обл., ул.Октябрьской революции, 57

26,3

13,1

16


ООО «Теплокомплект»

г.Видное Московской обл. ул.Донбасская 2


32,1

17


ЗАО «Стройснаб»

г.Н.Новгород, ул. Рабочая 39


20,4

18

Чугун

ООО «ПК «Леспромцентр»

г. Н.Новгород, ул. Радионова, д.192/д.оф. 527

30

40


ОАО «Русполимет» работает в зоне "высокой" ответственности, где необходимо минимизировать любые риски и исключать малейшие неточности. Основная продукция "Русполимета" относится к стратегически значимой. Специализация предприятия - кольцевые заготовки и поковки ответственного назначения для авиа- и ракетостроения, энергетического и атомного машиностроения, общего машиностроения. То есть для отраслей, входящих в зону ответственности государственного масштаба. Продукция, в составе которой используются компоненты, произведенные на "Русполимете", в сущности, формирует имидж государства на международном уровне.

В состав органов управления входят, органы управления: общее собрание акционеров; совет директоров; единоличный исполнительный орган, совет директоров; Коллегиальный исполнительный орган не предусмотрен уставом общества и Единоличный исполнительный орган - Генеральный директор:

Предприятие Русполимет общество акционерного открытого типа, то есть эта организационно-правовая форма собственности предприятия, где акции могут продаваться по открытой подписке, и любое частное лицо или фирма может их приобрести. При этом большая часть акций может оказаться в руках сторонних инвесторов и компаний, а не работников предприятия, так например большая часть акций ОАО «Русполимет» находится у предприятия «Старт». Акционерное общество открытого типа может свободно распоряжаться своими акциями, в том числе продавать их. Контроль над фирмой можно получить обычным приобретением большинства акций. Организация бизнеса такой формы собственности может считаться целесообразным только для крупных компаний, каким и является предприятие ОАО «Русполимет».

Распределение обязанностей и функций между управленческими звеньями, на предприятии ОАО «Русполимет» задействованными в системе управления планами, установление структуры взаимодействия между службами администрированием планирования. В администрировании принимают участие руководители всех уровней управления.

В процессе планирования задействованы, кроме планово-экономического и финансового отделов, отдел маркетинга, бухгалтерия, отдел снабжения и другие функциональные подразделения организации.

В процессе организации системы планирования решается также вопрос о том, кому из существующих служб передать функции по планированию, либо лучше создать новое подразделение, которое будет заниматься только планированием (бюджетный отдел). Если в процессе планирования принимают участие все функциональные подразделения, то каждое из них имеет свои обязанности по составлению отдельных видов операционных и финансовых планов. В финансовом отделе будут осуществляться операции по составлению, исполнению, контролю и анализу финансовых планов (плана движения денежных средств, плана прибыли, баланса активов и пассивов). Планово-экономический отдел решает все вопросы, связанные с составлением планов производства, производственных запасов и запасов готовой продукции, свода затрат производственных подразделений. Остальные функциональные службы (отделы снабжения, продаж) занимаются вопросами планирования закупок, продаж, расчетами потребности в ресурсах.

На предприятии применяется дивизиональная структура управления, которая имеет следующий вид:

Рис. 1- Организационная структура

Достоинства: наличие тенденций к децентрализации; высокая степень самостоятельности дивизионов; разгрузка менеджеров базового звена управления; высокая степень выживаемости в условиях современного рынка; развитие у управляющих дивизионов предпринимательских навыков.

Недостатки: появление дублирующих функций в дивизионах: ослабление связей между сотрудниками различных дивизионов; частичная потеря контроля над деятельностью дивизионов; отсутствие одинакового подхода к управлению различными дивизионами Генеральным директором предприятия.

Действующая на предприятии Программа социального развития предприятия, которая включает комплекс социальных вопросов, начиная от социальных льгот и гарантий работников и заканчивая благотворительной деятельностью предприятия разработана с целью:

стимулирования работников к долговременной и добросовестной работе;

сокращения текучести кадров;

активизации привлечения молодых работников под гарантии повышенного социального обеспечения;

поддержания и восстановления высокого уровня состояния здоровья и профессиональной работоспособности работников предприятия;

снижения социальной напряженности в коллективе;

обеспечения условий ротации и омоложения кадров путем повышения социальной защищенности пенсионеров.

В рамках социальной программы общество представляет работникам социальный пакет, включающий льготы и компенсации, предусмотренные российским законодательством и коллективным договором предприятия, а также дополнительные выплаты стимулирующего характера, основными из которых являются:

предоставление на льготной основе путевок для санаторно-курортного лечения и отдыха работникам и членам их семей;

частичная компенсация стоимости питания;

частичная компенсация стоимости абонементов на спортивные занятия;

дополнительное медицинское страхование работников.

На предприятии реализуется также программа оздоровления работников и членов их семей в рамках которой:

выделяются путевки для детей работников ОАО «Русполимет» в детский оздоровительный лагерь «Дубрава» с оплатой не более 10% от стоимости путевки. В 2012г. ДОЛ «Дубрава» принял в летний сезон 300 детей;

в социальном бюджете выделяются средства для компенсации работникам 50% стоимости путевок для санаторно-курортного лечения и отдыха;

созданы дополнительные условия оздоровления работников с учетом их индивидуальных потребностей в медицинском обследовании и лечении по программе добровольного медицинского страхования. В 2012 году прошли обследование и лечение 780 чел.

Инвестиции, вкладываемые в профессиональные знания и навыки работников, предприятие считает стратегическими, так как подготовка и развитие высококвалифицированного персонала, качественное обучение - залог стабильной и успешной работы всего предприятия.

С этой целью на предприятии реализуется комплекс мер, направленных на предоставление сотрудникам возможности обучения и профессиональног развития. С сентября 2006 г. на базе одного из ведущих политехнических вузов страны - Нижегородского государственного технического университета - реализуется программа профессиональной подготовки специалистов предприятия по специальностям «Обработка металлов давлением», «Литейное производство 37 цветных и черных металлов», «Металловедение и термическая обработка материалов» и «Теплофизика, экология и автоматизация промышленных печей».

В 2012 году дипломированными специалистами пополнились ряды инженерного состава ОАО «Русполимет».

В сентябре заводчанам, которые в дистанционно- заочной форе прошли обучение в ГОУ ВПО «Нижегородский государственный технический университет им.Р.Е.Алексеева» по специальности «Литейное производство черных и цветных металлов», вручены дипломы о высшем образовании.

В мае 2012 года предприятие получило бессрочную лицензию на право ведения образовательной деятельности по 35 профессиям, соответствующим профилю производства.

С получением данной лицензии появилась возможность обучения персонала предприятия без отрыва от производства, что позитивно влияет на выполнение производственных заданий и качество выпускаемой продукции. Кроме того, предприятие может осуществлять подготовку персонала с минимальными финансовыми затратами.

В рамках профессиональной подготовки и повышения квалификации в 2012 году по различным образовательным программам прошли обучение 1457 чел.

Таблица 7 - Образовательная программа персонала

Направления обучения

2012 год

% от общей численности предприятия

Подготовка новых рабочих

338 чел.

11,2%

Обучение рабочих вторым профессиям

235 чел.

7,8%

Повышение квалификации рабочих

522 чел.

17,3%

Подготовка и повышение квалификации руководителей, специалистов и служащих

362 чел.

12 %

Подготовка специалистов (в ВУЗах)

203 чел.

7%


В 2014 году планируется по различным направлениям обучить 1173 человека. Для повышения компетентности технологического персонала предприятия в 2012 году было организовано обучение по программе «Технология выплавки стали в дуговых печах» -23 чел.

Обучение было проведено преподавателями Донецкого национального технического университета. В рамках инвестиционных проектов в 2011 году организовано практическое обучение и стажировка персонала кольцепрокатного производства №2 (КПП №2) и электрометаллургического производства (ЭМП) по направлениям:

«Устройство печи с вращающимся подом фирмы «IOB» и приемы управления механизмами печи»- 24 чел.;

«Технология нагрева кольцевых заготовок в нагревательных дисковых печах фирмы «IOB» - 13 чел.;

«Техническое обслуживание рельсового манипулятора типа STM 40» -35 чел.;

«Техническое обслуживание ВДП+ПК/VD» - 17 чел.

Для удовлетворения потребности предприятия в высококвалифицированных специалистах заключены договора о сотрудничестве с такими учебными заведениями как МИСиС (г. Москва), НГТУ им.Р.Е. Алексеева и ННГУ им. Н.И. Лобачевского (г.Н.Новгород), по которым по целевому направлению от предприятия на дневном отделении обучаются 26 человек.

.6 Финансовый план

В таблице 9, отображены основные показатели, которые характеризуют финансовое состояние предприятия ОАО «Русполимет».

Таблица 8 - Показатели финансово-экономической деятельности

Наименование показателя

Ед. изм.

2011г.

2012г.

Стоимость чистых активов эмитента

тыс. руб.

2 418 381

2 828 541

Отношение суммы привлеченных средств к капиталу и резервам

%

170,0

178,8

Отношение суммы краткосрочных обязательств к капиталу и резервам

%

135,7

131,1

Покрытие платежей по обслуживанию долгов

%

16,3

14,9

Уровень просроченной задолженности

%

4,7

4,5

Оборачиваемость дебиторской задолженности

Раз

3,0

2,4

Доля дивидендов в прибыли

%

0

0

Производительность труда

тыс. руб./чел.

2 085

2504

Амортизация к объему выручки

%

2,4

2,2


Стоимость чистых активов эмитента по состоянию на 31.12.2012 г. увеличилась по сравнению с аналогичным периодом предыдущего года на 16,9%.

Отношение суммы привлеченных средств к капиталу и резервам характеризует степень зависимости предприятия от заемных средств. Динамика данного показателя свидетельствует о привлечении большего объема заемных средств. Данное обстоятельство связано, в том числе с осуществлением ОАО «Русполимет» инвестиционной деятельности.

За истекший год уровень выручки от реализации в обществе увеличен по отношению к 2011г. на 29% (это более миллиарда рублей). Потребности моторных заводов удовлетворены точно в сроки и в необходимых объемах. Заключены дополнительные договора с новыми заказчиками.

Первоначальная (восстановительная) стоимость ОС по состоянию на 31.12.2012г. - 1 857 752 тыс. руб. Начисленная амортизация по состоянию на 31.12.2012г. - 515 098 тыс. руб. В отчетном периоде переоценка ОС не осуществлялась.

Далее приведена таблица 9, в которой отображены прибыли и убытки за отчётные года.

Таблица 9 - Прибыли и убытки

Наименование показателя

2012 г.

2013 г.

Выручка, тыс. руб.

7 603

9 009

Валовая прибыль, тыс. руб.

1 087 638

1 272 015

Чистая прибыль (нераспределенная прибыль (непокрытый убыток)), тыс. руб.

382 718

410 779

Рентабельность собственного капитала, %

15,8

14,5

Рентабельность активов, %

5,9

5,2

Коэффициент чистой прибыльности, %

6,3

5,3

Рентабельность продукции (продаж), %

11,2

10,3

Оборачиваемость капитала

1,9

1,9

Сумма непокрытого убытка на отчетную дату, тыс. руб.

0

0

Соотношение непокрытого убытка на отчетную дату и валюты баланса

0

0


Сравнительный анализ показателей оценки рентабельности и прибыльности ОАО «Русполимет» за 2012г. в сравнении 2011г. показывает рост значений таких показателей как валовая прибыль, чистая прибыль, что говорит о высокой прибыльности предприятия.

Показатель «Рентабельность собственного капитала» показывает, сколько чистой прибыли приходится на 1 рубль источников собственных средств, то есть позволяет определить эффективность использования собственных средств эмитента. Данный показатель в анализируемом периоде имеет положительное значение, что связано с положительным показателем чистой прибыли в данном периоде. Таким образом, показатель «Рентабельность собственного капитала» характеризует эффективность использования собственных средств эмитента.

Показатель «Рентабельность активов» показывает, сколько чистой прибыли приходится на 1 рубль всех активов компании, то есть характеризует эффективность вложения средств в функционирующее производство. Данный показатель в анализируемом периоде имеет положительное значение, что связано с положительным показателем чистой прибыли в данном периоде. «Коэффициент чистой прибыльности» показывает эффективность использования всего капитала, включая его привлеченную часть. «Рентабельность продукции (продаж)» показывает прибыльность работы, то есть сколько рублей получено на 1 рубль дохода от продажи продукции. За рассматриваемый период значение данного показателя высокое, что говорит об эффективности вложенных в продукцию средств.

Коэффициент оборачиваемости капитала показывает количество полных оборотов, совершаемых капиталом за рассматриваемый период времени. С увеличением данного показателя ускоряется оборачиваемость средств, а значит, эффективность их использования улучшается. Коэффициент оборачиваемости капитала предприятия за рассматриваемые периоды имеет стабильное значение.

Положительным является тот факт, что общество за рассматриваемый период не имеет непокрытого убытка, что говорит о финансовой устойчивости предприятия. Коэффициент «Соотношение непокрытого убытка и валюты баланса» за рассматриваемый период не рассматривается в связи с отсутствием непокрытого убытка.

Далее в таблице 11 представлены предполагаемые вложения при реализации данного проекта партнёрами ОАО «Русполимет».

Таблица 11 - Финансовые вложения

Наименование показателя

На 31.12.2012г., тыс. руб.

Долгосрочные финансовые вложения, всего

143 109

в том числе:


-вклад в уставный капитал дочерних предприятий

6 030

из них:


ООО “Кулебакский торговый дом” г. Кулебаки

30

ООО «КЭМЗ»

6000

-вклад в уставный капитал совместных предприятий

6 278

из них:


ООО “ Фланцы - Гельдбах” г. Кулебаки

6 278

- вклад в уставный капитал прочих организаций

1 815

из них:


АК Сбербанк РФ (ОАО)

1 802

ЗАО “Межгосударственная ассоциация Титан” г. Москва

1

ОАО “Конверсия - Лада- Н.Новгород” г. Н.Новгород

1

ОАО «Уфимское моторостроительное производственное объединение» г. Уфа

9

ОАО «Казанское моторостроительное производственное объединение» г. Казань

3

-долгосрочные выданные займы

1500

-договор уступки прав требования

127 485



2.7 Анализ рисков

ОАО «Русполимет» осуществляет свою деятельность на территории России, поэтому экономические и политические процессы, имеющие место в стране оказывают непосредственное влияние на работу компании.

Изменение общих экономических условий, законодательства и правительственных регуляторных мер, инфляция, а также другие факторы могут существенно изменить результативность деятельности компании в будущем. Главным в области управления рисками, является их своевременное выявление и возможное предотвращение либо снижение последствий до уровня, не вызывающего значительных негативных влияний на финансовое благополучие эмитента. Для этого эмитентом прогнозируются всевозможные факторы риска в различных областях и определяются мероприятия по снижению отраслевых, страновых и региональных, финансовых, правовых рисков и рисков, связанных с деятельностью эмитента.

Также осуществляются действия по оценке рисков, целенаправленному расширению области исследования возникновения рисков, использования полученной информации при принятии решений с целью:

повышения надежности достижения результатов и содействия развитию компании;

снижения издержек на всех этапах производства;

повышения инвестиционной привлекательности компании.

Изменение общих экономических условий, законодательства и правительственных регуляторных мер, инфляция, а также другие факторы могут существенно изменить результативность деятельности компании в будущем.

К основным рискам, которые могут повлиять на деятельность общества можно отнести следующие:

Отраслевые риски

Отраслевой риск - это вероятность потерь в результате изменений в экономическом состоянии отрасли и степенью этих изменений как внутри отрасли, так и по сравнению с другими отраслями.

При анализе отраслевого риска необходимо учитывать следующие факторы: деятельность компаний данной отрасли, а также смежных отраслей за определенный (выбранный) период; устойчивость деятельности компаний данной отрасли по сравнению с устойчивостью экономики страны в целом; колебания результатов деятельности различных предпринимательских фирм внутри одной и той же отрасли.

Наиболее значимые, по мнению эмитента, возможные изменения в отрасли на внутреннем рынке - это:

увеличение конкуренции в результате активизации иных производителей, в

том числе риск недобросовестной конкуренции;

увеличение цен на сырье и материалы.

Однако, наступление этих факторов не может существенно снизить финансовую устойчивость эмитента.

Предполагаемые действия эмитента в случае наступления указанных изменений в отрасли:

. Реализация мероприятий инвестиционных проектов по развитию кольцепрокатного и электрометаллургического производств.

. Развитие продаж продукции на новых рынках, привлечение новых клиентов за счет наиболее полного удовлетворения их запросов, увеличение объемов и эффективности продаж.

. Обеспечение сбалансированности производственных мощностей, оптимальной загрузки и максимального производства товарной продукции.

. Снижение себестоимости продукции и повышение эффективности производства за счет реализации целевых комплексных мероприятий, совершенствования организации труда.

Риски, связанные с возможным изменением цен на сырье, услуги используемые эмитентом в своей деятельности. Зависимость производственно-хозяйственной деятельности компании от уровня цен на сырье и услуги, используемые обществом в своей деятельности, которые составляют определенную часть в себестоимости выпускаемой продукции, не значительна.

К рискам, связанным с возможным изменением (повышением) цен на сырье, услуги, используемые эмитентом в своей деятельности, можно отнести:

- Повышение цен на продукцию эмитента, которое приведет в свою очередь к

возможному снижению спроса на продукцию общества

Снижение показателей прибыльности предприятия

Снижение кредитоспособности общества

ОАО «Русполимет» является финансово устойчивым предприятием и влияние данных рисков не может в значительной степени негативно сказаться на успешной деятельности общества в связи с эффективной организацией производства.

Риски, связанные с возможным изменением цен на продукцию и /или услуги общества:

Снижение спроса на продукцию, услуги общества

Снижение конкурентоспособности общества

Страновые и региональные риски

Риски, связанные с политической и экономической ситуацией в стране (странах) и регионе, в которых предприятие зарегистрировано в качестве налогоплательщика:

Предприятие расположено на территории Нижегородской области, город Кулебаки. Политическая и экономическая ситуация в регионе стабильна. Однако политическая и экономическая ситуация в регионе напрямую зависит от политической и экономической ситуации в стране. Финансовый кризис, пошатнувший экономику страны, отражается и на территории Нижегородской области. Вместе с тем, в последние несколько лет наблюдалась очевидная стабилизация экономических показателей России и политической системы, включая преемственность политического курса, что позволяет надеяться на скорейший выход страны из сложившейся нелегкой экономической ситуации. Неоспоримо, что Россия нуждается в дальнейших реформах, основной целью которых является повышение качества жизни, создание эффективной системы управления экономикой и сбалансированная социальная политика. В данном направлении существенное влияние на деятельность эмитента могут оказать следующие факторы:

возможные конфликты между региональными властями и федеральным центром, а также различия и противоречия между законами и иными нормативными актами на разных уровнях власти;

частые изменения законодательства, в том числе в части нормативно- правового регулирования деятельности компаний отдельных отраслей промышленности, а также часто недостаточные сроки для приведения деятельности компании в соответствие с новыми требованиями.

В случае наступления определенных рисков, связанных с отрицательным влиянием ситуации в стране и регионе на деятельность общества, компанией могут быть предприняты конкретные действия, в том числе принятие ряда мер по антикризисному управлению с целью мобилизации бизнеса и максимального снижения возможности оказания негативного воздействия политической ситуации в стране и регионе на бизнес.

Риски, связанные с возможными военными конфликтами, введением чрезвычайного положения и забастовками незначительны, т.к. основная деятельность общества сосредоточена в экономически и социально стабильном регионе вдали от возможных мест возникновения вооруженных (военных) конфликтов.

Риски, связанные с географическими особенностями страны и региона, в которых общество зарегистрировано в качестве налогоплательщика незначительны в связи с благоприятными климатическими условиями в Нижегородской области, существует низкая вероятность природных катаклизмов.

Однако, из-за высокой плотности населения и большого количества промышленных предприятий в городах, а также высокой изношенности их инфраструктуры, существует вероятность возникновения катаклизмов техногенного характера. Нижегородская область имеет крайне благоприятное географическое положение (Волго-Вятская зона России), имеет разветвленную сеть автодорог, железнодорожное, водное и авиасообщение. Вследствие этого маловероятно полное или частичное прекращение транспортного сообщения с областью.

В случае появления форс-мажорных обстоятельств, включая стихийные бедствия, возможное прекращение транспортного сообщения, террористические акты и прочее, общество предпримет все действия по минимизации убытков, восстановлению нормальной деятельности компании.

Финансовые риски

Деятельность предприятия финансируется за счет собственных средств, банковских кредитов. В настоящее время общество несет определенную финансовую нагрузку, обусловленную уровнем ссудной задолженности. ОАО «Русполимет» пользуется займами и кредитами с заранее фиксированными процентными ставками, что позволяет обеспечивать финансирование текущей деятельности по приемлемым ставкам кредитования, в незначительной степени зависящих от изменения процентных ставок по займам и кредитам.

Существенный рост процентных ставок может привести к увеличению стоимости обслуживания ссудной задолженности эмитента. Этот фактор может негативно сказаться на текущих финансовых показателях компании, ухудшая показатели рентабельности. Однако оптимизация структуры портфеля заемных средств и совершенствование технологий кредитования в соответствии с принципом целевого использования позволяет рассчитывать на минимизацию потерь эмитента от возможного роста процентных ставок. В связи с наступлением финансового кризиса в стране, процентные ставки многих кредитных организаций значительно выросли, однако в связи с тем, что эмитент пользуется займами и кредитами с заранее фиксированными процентными ставками, данный фактор не оказал резко отрицательного влияния на финансовую устойчивость предприятия. Кроме того, доля процентных расходов в прибыли минимальная. В связи с этим подверженность эмитента риску увеличения процентных ставок незначительная.

Предприятие является участником внешнеторговой деятельности и имеет обязательства и активы, выраженные в иностранной валюте, поэтому колебания валютного курса могут в незначительной степени оказывать негативное влияние на финансовые показатели деятельности общества. Данный вид риска для компании несущественен, т.к. объем валютной выручки незначителен.

Эмитент не осуществляет страхования валютных рисков (хеджирования). В своей деятельности предприятием предпринимаются следующие меры по снижению финансовых рисков:

работы по снижению дебиторской задолженности;

отслеживание изменений на отраслевом рынке, четкое и быстрое реагирование на изменения;

проведение анализа прибыльности и ликвидности предприятия.

Риск неисполнения покупателями договорных обязательств по оплате поставок продукции (работ, услуг) минимизируется вследствие индивидуального подхода к заключению договоров, с учетом специфики каждого покупателя. Каждый договор проходит обязательную экспертизу финансовых, экономических, правовых служб и дирекции по безопасности.

Правовые риски

Правовые риски определены, в том числе, недостатками, присущими российской правовой системе и российскому законодательству, что приводит к созданию атмосферы неопределенности в области инвестиций и коммерческой деятельности.

Россия продолжает разрабатывать правовую базу, необходимую для поддержки рыночной экономики. Риски, связанные с российской правовой системой, создают неуверенность в отношении принимаемых юридических и деловых решений. К таким рискам относятся:

. Несоответствия, существующие между Конституцией, законами, указами Президента и правительственными, министерскими и местными распоряжениями, решениями, постановлениями и другими нормативно-правовыми актами.

. Противоречия между местными, региональными и федеральными правилами и положениями. Правовые риски, связанные деятельностью эмитента, в том числе связанные с:

изменением валютного регулирования - могут в некоторой степени негативно повлиять на деятельность общества. Вероятность наступления указанного риска оценивается обществом как умеренная.

изменением налогового законодательства - увеличение налогового бремени путем увеличения налоговых ставок, изменения правил определения налоговой базы путем включения в нее дополнительных операций и экономических категорий, исключения возможности осуществления вычетов НДС по тем или иным операциям, исключения затрат из состава учитываемых при формировании базы по налогу на прибыль, приведет к увеличению некомпенсируемых расходов предприятия на уплату налогов, что, безусловно, может негативно сказаться на деятельности общества. Вероятность наступления указанного риска оценивается обществом как умеренная.

изменением судебной практики по вопросам, связанным с деятельностью предприятия, которые могут негативно сказаться на результатах его деятельности, а также на результатах текущих судебных процессов, в которых участвует общество.

Риски, связанные с деятельностью эмитента

1. Риск отсутствия возможности продления действия имеющихся лицензий минимален и считается незначительным, в связи с тем, что предприятие стремится полностью выполнять требования, обуславливающие продление

действия лицензий. С этой целью выделяются необходимые ресурсы и проводятся соответствующие мероприятия. Сложившаяся система получения лицензии позволяет своевременно и с минимальными затратами обеспечить получение лицензии на виды деятельности, подлежащие лицензированию. Деятельность эмитента по получению лицензий начинается задолго до окончания срока действия лицензии.

. Риски, связанные с возможной ответственностью эмитента по долгам третьих лиц, в том числе дочерних обществ эмитента:

возможная ответственность по долгам дочерних обществ эмитента может наступить в случаях, предусмотренных п.п.2,3 ст.6 Федерального закона «Об акционерных обществах».

. Риски, связанные с возможностью потери потребителей (крупнейших авиамоторных российских объединений), на оборот с которыми приходится не менее чем 10 процентов общей выручки от продажи продукции (работ, услуг) эмитента - минимальны, так как данная отрасль стабильно обеспечивается заказами от государственных структур Российской Федерации.

. Производственные риски

Данный вид риска это опасность потери предприятием имущества или его части, а также сокращения доходов в результате простоев в производстве. Производственные процессы предприятия во многом зависят от технологического оборудования. Непредвиденные поломки и остановки такого оборудования могут вынудить компанию частично останавливать соответствующие объекты производства и сокращать объем производства. В целях минимизации подобных рисков компанией проводятся профилактические мероприятия, направленные на предотвращение аварийных и опасных ситуаций на производстве, поддерживается обоснованный запас незавершенного производства и вспомогательных материалов (осуществляется резервирование). Кроме того, осуществляется охрана имущества, установлены сигнализирующие устройства и противопожарные комплексы. Одним из способов управления данным риском компанией осуществляется ежегодное страхование имущественных активов.

. Экологические риски

Экологические риски являются свойственными металлургическому производству, поскольку оно включает высокотемпературные процессы, наличие агрессивных сред, выбросы побочных летучих продуктов, а также необходимость утилизации твердых и жидких промышленных отходов.

Возможное введение более жестких нормативов и стандартов природоохранного законодательства будет сопровождаться усилением контроля государственных надзорных органов за соблюдением субъектами хозяйственной деятельности законодательных требований.

По второй главе можно сделать следующие выводы:

.        Предприятие ОАО «Русполимет» является наиболее конкурентоспособным, это обуславливается тем, что таких предприятий, которые занимаются и металлургией и поставками комплектующих авиа и ракетостроением, и оно как видно из проведённого анализа завышает цены, но это не мешает предприятию занимать лидирующие позиции.

.        Так же можно отметить, что на предприятии хорошо развита инвестиционная политика, так как множество предприятий и организаций вкладывают не малые средства для развития ОАО «Русполимет».

Глава 3. Совершенствование бизнес планирования на предприятии ОАО «Русполимет»

.1      Расчёт основных показателей бизнес планирования

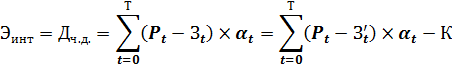
.        Чистый дисконтированный доход или эффект интегральный:


Pt - стоимостная оценка результатов проекта в году t;

Зt - стоимостная оценка полных затрат по проекту в году t;

Зt’ - текущие затраты по проекту в году t;

К - капиталовложения;

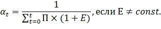
 - коэффициент дисконтирования, он означает соизмерение разновременных показателей путем привидения их к ценности в начальный момент времени или другому фиксированному моменту времени.

, если Е= const

Е - норма дисконта или норма дохода на капитал,.

% + риск: 15-20% - высокий риск

-15% - средний риск

-5% - низкий риск

t- номер шага расчета;

Т - горизонт расчета


.        Индекс доходности - представляет собой отношение суммы приведенных эффектов к величине капиталовложений:


 - проект эффективный.

.        Определяем коэффициент дисконтирования

Е - норма дисконта = 10 %

.        Определяем капиталовложение

Капиталовложения - связанные с модернизацией кольцепрокатного стана H160S = 0,5 млрд. руб., модернизацией шахтных печей для термообработки = 1,8 млрд. руб., приобретением устройства для разгрузки крупногабаритных колец со стана Raw = 2,5 млрд. руб., приобретением транспортного погрузчика с вилочной навеской, грузоподъемностью 4 тонн = 3,8 млрд. руб., приобретением газовой печи для термообработки кольцевых заготовок диаметром до 4000 мм = 2,9 млрд. руб., организацией участка калибровки кольцевых заготовок = 0,4 млрд. руб.

К =(0,5*0,909) +(1,8*0,826)+ (2,5*0,751)+(3,8*0,683) +(2,9*0,621)+ (0,4*0,564)=8,5 млрд. руб.

.        Стоимостная оценка результатов проекта в году

По модернизации кольцепрокатного стана H160S и шахтных печей для термообработки - 4 млрд. руб. и 5,3 млрд. руб. соответственно. Стоимостная оценка, связанная с приобретением устройства для разгрузки крупногабаритных колец со стана Raw - 6,3 млрд. руб., с приобретением транспортного погрузчика с вилочной навеской, грузоподъемностью 4 тонн - 7,8 млрд. руб., с приобретением газовой печи для термообработки кольцевых заготовок диаметром до 4000 мм - 8 млрд. руб., с организацией участка калибровки кольцевых заготовок - 8,2 млрд. руб.

.        Стоимостная оценка полных затрат по проекту в году

По модернизации кольцепрокатного стана H160S и шахтных печей для термообработки - 1 млрд. руб. и 1,5 млрд. руб. соответственно. Стоимостная оценка, связанная с приобретением устройства для разгрузки крупногабаритных колец со стана Raw - 1,9 млрд. руб., с приобретением транспортного погрузчика с вилочной навеской, грузоподъемностью 4 тонн - 2,1 млрд. руб., с приобретением газовой печи для термообработки кольцевых заготовок диаметром до 4000 мм -2,9 млрд. руб., с организацией участка калибровки кольцевых заготовок - 3,2 млрд. руб.

.        Определяем чистый дисконтированный доход или эффект интегральный


Э=(((4-1)* 0,513)+((5,3-1,5)* 0,467)+((6,3-1,9)* 0,424)+((7,8-2,1)* 0,386)+((8-2,9)* 0,350+(8,2-3,2))*0,83 ))= 2,31 млрд. руб.

То есть чистый дисконтированный доход составит 80 млрд. руб.

.        Определяем индекс доходности


Если  - проект эффективный.

I = ((1/8,5)* 0,513)+(((4-6)* 0,467 )+((5,3-0,5)*0,424)+((6,3-7*0,386)+((7,8-1)*0,350)+((8-6)*0,350)+((8,2 6))*0,319) = 1,12

Как видно индекс доходности равен 1,12, следовательно можно сделать вывод о том, что данный проект является эффективным.

По проведённым расчётам можно сделать следующий вывод, что предприятие ведет активную инвестиционную деятельность, основными направлениями которой является развитие программы «Комплексное развитие кольцепрокатного производства» и «Организация современного электрометаллургического производства сталей высокого качества».

Реализация всех инвестиционных проектов позволит ОАО «Русполимет» увеличить валовую прибыль в будущем.

На предприятии утверждены Цели в области качества на 2015 год и разработаны и утверждены мероприятия по выполнения Целей в области качества продукции на 2015 год.

В соответствии с Целями в области качества и управления, на предприятии каждый год проводятся как внешние (сертификационные и инспекционные), так и внутренние аудиты. Внешние аудиты проводятся сертифицирующими органами, внутренние - обученными аудиторами предприятия. В отчетном году Сертификационным центром «Материал» по поручению Авиационного Регистра Международного Авиационного Комитета (АР МАК) проведено сертификационное обследование производства материалов авиационного назначения (кольцевых заготовок, слитков, поковок) и инспекционный контроль (аудит) центральной заводской лаборатории, аттестованной на технологическую компетентность.

Планируемый размер инвестиций 327,0 млн. рублей, кроме уже имеющихся, так как предприятие планирует дальнейшее развитие и расширение отрасли авиа и ракетостроения.

Далее определяем ЧЧД, с коэффициентами дисконтирования от 10% до 30%.

Таблица 12 - ЧЧД, с коэффициентами дисконтирования

Коэф. Дисконтирования, при Е=10%

ЧДД1

Коэф. Дисконтирования, при Е=20%

ЧДД2

Коэф. Дисконтирования, при Е=30%

ЧДД3













0,91

-1,36

0,833

-1,25

0,769

-1,15

0,94

-3,11

0,961

-3,17

0,980

-3,23

0,92

-4,03

0,942

-4,15

0,971

-4,27

0,89

-5,24

0,924

-5,45

0,961

-5,67

0,86

-5,00

0,906

-5,25

0,951

-5,52

0,84

-3,01

0,888

-3,20

0,942

-3,39

0,81

0,81

0,871

0,87

0,933

0,93

0,79

2,21

0,853

2,39

0,923

2,59

0,77

3,30

0,837

3,60

0,914

3,93

0,74

4,69

0,820

5,17

0,905

5,70

0,72

5,06

0,804

5,63

0,896

6,27

0,70

5,40

0,788

6,07

0,887

6,83


-0,30


1,26


3,02


После чего строится следующие графики - по сроку окупаемости и по внутренней норме доходности.

График 1 - Срок окупаемости


Как видно из графика срок окупаемости составляет 3 года.

График 2 - Внутренняя норма доходности

.2 Инвестиционное развитие предприятия ОАО «Русполимет»

В рамках реализации проекта «Организация современного электрометаллургического производства сталей высокого качества» в 2014 году планируется установка оборудования ковочного модуля, приобретенного в 2013г.

В состав ковочного модуля войдут: пресс свободной ковки усилием 1600 тн, транспортного и рельсового манипуляторов, нагревательного и термического оборудования. Общество поставило задачу - выйти на проектную мощность к середине 2014 года.

В 2014-2015г.г в рамках реализации проекта «Комплексное развитие кольцепрокатного производства» планируются следующие работы, которые приведены в таблице 8.

Таблица 8 - Планируемые работы на предприятии ОАО «Русполимет»

№ п/п

Наименование работ

Срок реализации

2014г Планируемые инвестиции, млрд. руб.

2015г Планируемые инвестиции, млрд. руб.

1

Модернизация кольцепрокатного стана H160S

2014-2015 г

60,0

31,0

2

Приобретение устройства для разгрузки крупногабаритных колец со стана Raw.

2014-2013 г

24,0

6,0

3

Приобретение транспортного погрузчика с вилочной навеской, грузоподъемностью 4 тонн.

2014-2015 г

4,8

1,2

4

Приобретение газовой печи для термообработки кольцевых заготовок диаметром до 4000 мм

2014 г

31,0


5

Модернизация шахтных печей для Термообработки

2014 г

6,0


6

Организация участка калибровки кольцевых заготовок

2014-2015 г


187,3

Итого



125,8

225,5


Проведение мероприятий в рамках инвестиционного проекта «Организация производства специальных сталей и сплавов методом вакуумно-индукционного и электрошлакового переплава» позволит снизить себестоимость продукции (кольца) за счет расширения номенклатуры производства собственной заготовки путем электрошлакового и вакуумно-индукционного выплава, необходимой для обеспечения потребностей кольцепрокатного производства.

С этой целью будут приобретены печь электрошлакового переплава ЭШП-10 и печь вакуумно-индукционного выплава ИСВ-3.0.

Проект позволит полнее обеспечить потребности авиастроения, энергетики и предприятия всех отраслей промышленности в кольцевой заготовке, слитках и поковках Российских и зарубежных производителей.

На 2014 год планировалось 185,6 млрд. руб., а на 2015 планируется 255,2 млрд. руб.

Кроме реализации мероприятий по инвестиционным проектам, на 2014 год запланировано:

разработка и освоение новой продукции на новом прессе свободной ковки фирмы «Даниели».

разработка и освоение программы по освоению и внедрению технологии изготовления из алюминиевого сплава АМг6 цельнокатаных колец диаметром от 2500 до 4200мм и массой до 500кг.

разработка и освоение программы по производству цельнокатаных колец из магниевого сплава МА2-1пч с использованием в качестве исходных полуфабрикатов под прокатку заготовок-шайб полученных методом центробежного литья.

внедрение мероприятий по снижению затрат инструмента (ленточных пил) на 1мерную заготовку.

освоение технологии механической обработки перекованных слитков собственного производства с нового ковочного модуля.

освоение технологии изготовления дорн-вала для стана «SMS MEER» на имеющемся оборудовании.

освоение технологии ремонта бандажа (удаление выработки по наружному) стана «SMS MEER».

расширение марочной номенклатуры сварных колец применяемых для изготовления кольцевых деталей газотурбинных двигателей, за счет освоения производства колец из жаропрочных сплавов ЭП708-ВД, ЭП648-ВИ и др. собственного производства.

подготовка производства и разработка необходимой технологической документации для перевода прокатки профилей со старого прокатного стана на модернизированный двухклетевой стан СП300 с целью повышения точности геометрических параметров изготовления профилей и стабилизации механических свойств материала профилей для сварных колец.

Одним из перспективных направлений для дальнейшего развития предприятия является порошковая (гранульная) металлургия, являющаяся эффективным направлением создания перспективных материалов и производства изделий на их основе.

Методами порошковой металлургии изготавливают: композиционные многокомпонентные материалы, тугоплавкие материалы и твердые сплавы из которых в свою очередь изготавливаются диски жаропрочных турбин, кольца авиационного и неавиационного (газотурбинные установки) назначения для двигателей нового поколения из сплавов которые невозможно получить классической технологией, а также шестерни, храповики, и др.

При этом по сравнению с другими методами получения изделий (ковка, штамповка и др.) повышается коэффициент использования материала, снижается трудоемкость изготовления и потери металла в стружку за счет того, что конфигурация изделия близка к размерам готовой продукции.

В сложившейся ситуации гранульная металлургия является тем технологическим направлением, которое позволяет одновременно решать задачи эффективного производства высококачественных прогрессивных заготовок и получения материалов с новым уровнем требуемых свойств.

ОАО "Русполимет" предполагает восстановить и ввести в эксплуатацию линию по производству и переработке гранул для получения: Изделий из жаропрочных сплавов для авиа-космической техники, энергетических установок и др.; Сферического релита для наплавочных композиций как эффективную защиту от истирания; Гранул химически активных металлов и сплавов (титан, цирконий, ниобий, тантал, интермелаллиды); Перспективного изготовления легких жаропрочных клапанов ДВС, шатунов, изделий авиа-космической техники, эндопротезов, изготовленных из гранульных композитов на основе интерметаллидов титана.; Конструкционных сталей или титановых сплавов для изготовления высокопрочных шатунов для дизельных двигателей тепловозов нового поколения.

.3 Совершенствование бизнес планирования на предприятии ОАО «Русполимет»

При составление бизнес плана развития, предприятие ОАО «Русполимет» получило положительный опыт, благодаря чему теперь предприятие может их применять в дальнейшем например, для получения кредитов на дальнейшее развитие машиностроительной отрасли. После составления плана, на предприятии можно заметно упростить процесс. Для плана развития предприятия, были применены следующие этапы от формулировки общих целей до разработки конкретного плана действий.

•Оценка прошлого. На ОАО «Русполимет» был проведён анализ чего оно достигло в прошедшие года, прежде чем двинуться в новом направлении.

•Далее был составлен список целей. Где были сформулированы основные цели предприятия - расширение и модернизация производства и производственного процесса.

• Так же были составлены и утверждены конкретные цифры и сроки. Например, одна из целей - расширить производство. Решается, сколько у вас будет клиентов, и сколько бы вы получали больше дохода с одного клиента.

•Далее разрабатываются конкретные шаги. Обдумываются, какие шаги необходимо сделать, чтобы достичь поставленных целей. Например, чтобы привлечь покупателей, нужно усилить маркетинг.

•Проводится оценка затрат. Рассчитываются капиталовложения, сроки окупаемости, индекс доходности, дисконтированный доход.

•Оценивается необходимое время. Деятельность отнимает не только деньги, но и время. Оценивалось, сколько времени уходит на каждый шаг. Например, на составление рекламного объявления в газете может уйти часа два, а на участие в выставке - сорок часов на подготовку и пять дней на саму выставку.

•Решается, кто за что отвечает. Сколько человек нужно для выполнения каждого шага и кто за что отвечает. Это означает, что на каждом этапе есть главный, который следит за выполнением всех намеченных дел.

• Расставляются приоритеты. Отбрасывались цели, которые оказались не удачными и затем выбирается все то, что с большей вероятностью приведет к успеху.

•И устраивается проверка реальностью. Проходит проверка в реальных условиях, то есть проект воплощается «в жизнь».

Теперь на предприятии ОАО «Русполимет» для существенного расширения бизнеса, ставят цели, которые имеют конкретный срок исполнения, которые можно выразить в цифрах.

Нововведения при составлении бизнес-плана:

•Стратегическая позиция/главная цель компании. Что происходит в вашей отрасли, в вашей общине, в экономике в целом? Как изменились ваши конкуренты? Нужно ли переосмыслить фундаментальные аспекты?

•Цели. Расставляются цели на ближайший год по приоритетам. По возможности приводятся все соответствующие цифры. Реалистично оценивается необходимое время и деньги.

•Развитие товаров и услуг. Оцениваются товары и услуги, которые предприятие предлагает. Прослеживается, каковы продажи, прибыли и клиентская база для каждой линии. Не на доли добавить новые услуги или свернуть производство некоторой продукции? Какие шаги способно предпринять предприятие, чтобы улучшить качество продукции или услуг?

•Бюджет. Каждый год составляется бюджет. Начинается с перечисления фиксированных трат, затем перечислите варьирующиеся траты и траты на рост и развитие. Прогнозируется умеренный консервативный доход на основании своих прежних достижений и лишь во вторую очередь - маркетинговых планов.

•Маркетинг. Какие конкретные действия предпримет предприятие или продолжит предпринимать, чтобы обеспечить себе стабильных клиентов и стабильный доход? Составляется конкретный маркетинговый план и бюджет на год.

•Приводятся в порядок свои дела. Мало просто запланировать держать все дела в порядке. Продумываются эффективные системы, позволяющие контролировать все административное делопроизводство.

Заключение

В заключение приводим итог курсовой работы, который заключается в следующем:

В первой главе было рассмотрено - теоретическая основа по бизнес планированию, то есть сущность, основные показатели и характеристики бизнес планирования. Так же была рассмотрена нормативно законодательная база, которая заключается в рассмотрении постановлений, которые связанны с ведением предпринимательской деятельности и по применению бизнес планов.

Во второй главе были составлены и рассмотрены следующие планы:

.        План маркетинга, содержащий предполагаемые цены на продукцию, возможные каналы сбыта, рекламу продукции, прогноз новых видов изделий.

.        Производственный план, где рассматриваются содержание технологического и производственного процессов, предполагаемые субподрядчики и партнеры, стоимость основных производственных фондов, номенклатура и объем выпуска продукции, перечень применяемых материалов, поставщики сырья.

.        Организационный план, раскрывающий формы собственности, сведения о партнерах (пайщиках), меры ответственности партнеров, состав руководящих органов, организационную структуру фирмы, распределение обязанностей и функций.

.        Финансовый план, в котором отражаются план доходов и расходов, денежные поступления и платежи, балансовый план, точка окупаемости, основные источники денежных средств, порядок использования доходов и т.п.

Так же был проведён анализ положения дел на предприятии, характеризующий текущую ситуацию и тенденции её развития, потенциальных конкурентов и предполагаемых потребителей и существо предлагаемого бизнес-проекта, а так же одно из главенствующих событий - это оценка риска, где раскрываются слабые стороны предприятия, вероятность появления новых технологий, альтернативные стратегии, надежность партнеров и поставщиков.

Из второй главы видно, что бизнес проект является эффективным, об этом свидетельствует индекс доходности, который составляет 2,5, а дисконтированный доход 80 млрд. руб., а капиталовложения - 56 млрд. руб.

В третьей главе раскрываются конкретные рекомендации по совершенствованию плановой работы на предприятии и перспективы дальнейшего развития предприятия, который связаны с дальнейшей модернизацией производства на предприятии ОАО «Русполимет», так как инвесторами выделяются на 2015 год средства в размере 255,2 млрд. руб.

Список используемой литературы

1. Бизнес-план. Методические материалы / Под ред. Р.Г. Маниловского. - 3-е изд. - М.: Финансы и статистика, 2000.

. Бизнес - планирование: Учебник / Под ред. В.М. Попова.- М.: Финансы и статистика, 2000.

. Волков О.И. Континент Россия. ХХ век: Иллюзии, политика, аферы.- М.: Русское слово, 1998.

. Блэквелл Э. Как составить бизнес-план: Пер. с англ.- М.: ИНФРА-М-Премьер, 1995.

. Горемыкин В.А. Бизнес-план. Методика разработки.- Ось-89, 2000.

. Любанова Т.П. и др. Бизнес-план: опыт, проблемы: Учебно-практическое пособие.- М.: ПРИОР, 1998.

. Пелих А.С. Бизнес-план.- М.: Ось-89, 1997.

. Справочник финансиста. 3-е изд. доп. и перераб.- М.: ИНФРА-М, 2001.

. Савельева М.Ю. Экономика организаций (предприятий): учебно-методический комплекс.- Новосибирск - 2002.

. Уткин Э.А. Бизнес - план. Организация и планирование предпринимательской деятельности. - М.: Акалис, 1997.

. Уткин Э.А. Бизнес-план компании.- М.: ЭКМОС, 2000.

. Лaпycтa М.Г., Пopшнeв A.Г., Cтapocтин Ю.Л., Cкaмaй Л.Г. Пpeдпpинимaтeльcтвo. - M.: ИHФPA- M, 2000 [ 1].

. Типовая методика разработки пятилетнего плана производственного объединения (комбината), предприятия. - М.: Экономика, 1975. - 374 с [ 2 ].

. Дэвид Г. Бэнгз. Руководство по составлению бизнес-плана. Серия «Маркетинг и менеджмент за рубежом» / Пер. с англ. - М.: Финпресс, 1998.

. Мaмeдoв O.Ю. Coвpeмeннaя экoнoмикa. - Pocтoв- нa- Дoн,: Фeникc, 1999.

Похожие работы на - Бизнес-план предприятия ОАО 'Русполимет'

 

Не нашли материал для своей работы?
Поможем написать уникальную работу
Без плагиата!
Без нейросетей!