Ценообразование опционов на Российском финансовом рынке
ДИПЛОМНАЯ
РАБОТА
на тему:
«Ценообразование опционов на Российском финансовом рынке (РТС)»
Содержание
Введение
. Формула
Блэка-Шоуза
.1 Основные понятия
.2 Опцион на акции без
дивидендов
.3 Опцион на фьючерс
.4 Опцион на маржируемый
фьючерс
2. Улыбка
волатильности
.1 Подразумеваемая
волатильность
.2 Улыбка
волатильности
.3 Ухмылка
волатильности
.3 Нарушения
предположений модели Блэка-Шоуза
. Ценообразование
опционов
3.1 Факторы, влияющие на
ценообразование опциона
.2 Нормальность распределения
.3 Принятие риска трейдерами
.4 Существование арбитражных
возможностей
.5 Улыбка и ухмылка волатильности
.6 Поверхность волатильности
Заключение
Библиография
Приложения
Введение
В данной дипломной работе
исследуется ценообразование опционов на рынке РТС FORTS (Futures & Options
on RTS). Фортс был создан в сентябре 2001 года двумя российскими торговыми
площадками фондовой биржей РТС и фондовой биржей «Санкт-Петербурга». Торгуемые
на бирже опционы широко используется для хеджирования рисков многими компаниями.
В наши дни ценообразование опционов в первую очередь ассоциируется с моделью
Блэка-Шоуза. Однако стоит отметить, что данная модель являлась отнюдь не первой
попыткой оценки стоимости опционов. Созданная в 1973 году Фишером Блэком
(Fischer Black), Майроном Шоулзом (Myron Scholes) и Робертом Мертоном, модель
была лишь модифицированной версией модели Эдварда Торпа. В свою очередь его
формула была усовершенствованием исследований французкого математика Луи
Башелье, который сформулировал гибкий подход к оценке опционов и динамическому
хеджированию.
Возникший после великого краха 1987 года эффект
улыбки волатильности, а затем и ухмылки волатильности, привели к необходимости
создания новых моделей. С каждым годом ценообразование опционов становилось все
сложнее, появлялись все новые факторы, влияющие на стоимость производных
инструментов. Но теория ценообразования, с момента создания модели Блэка-Шоуза,
также не стояла на месте, появлялись новые модели. Самые популярные из них:
модель биномиального дерева Коха, Роса и Рубинштейна (Cox,
Ross and
Rubinstein 1979),
триномиального дерева Боила (Boyle
1986), модель стохастической волатильности Хестона (Heston
1993) и GARCH модель
Хестона и Нанди (Heston and Nandi 2000).
Однако каждый новый метод оценки стоимости
опционов требовал все более сложных вычислений, при этом простота и
элегантность понимания ценообразования терялась. Поэтому мы рассмотрим модель
Блэка-Шоуза, как наиболее элегантную и интуитивно понятную модель. В первой
главе мы рассмотрим основные понятия и предпосылки модели Блэка-Шоуза. Затем,
во второй главе, мы обсудим эффект улыбки и ухмылки волатильности, а также
попробуем объяснить природу данных явлений. В третей главе мы рассмотрим
основные факторы, влияющие на ценообразование опционов и проблемы, которые
возникают при оценке их стоимости. Для этого мы рассмотрим фьючерс на индекс
РТС, а также три его опциона. Фьючерс на индекс РТС, и соответствующие опционы
были выбраны как одни из, наиболее ликвидных финансовых инструментов на рынке FORTS.
Напомним, что индекс РТС представляет собой ценовой, взвешенный по рыночной
капитализации (free-float) индекс широкого рынка акций России, включающий 50
наиболее ликвидных акций крупнейших и динамично развивающихся российских
эмитентов, виды экономической деятельности которых относятся к основным
секторам экономики, так что он хорошо отражает общую динамку всего рынка акций.
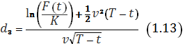
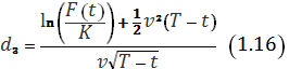
1. Формула Блэка-Шоуза
.1 Основные понятия
волатильность ценообразование опцион
фьючерс
Опцион - это контракт между двумя сторонами,
дающий одной из них (покупателю опциона) право (но не обязательство) заключить
сделку по покупке или продаже определенного актива по определенной цене в
будущем, и налагающий на вторую сторону (продавца опциона) обязательство
принять участие в будущей сделке, если первая сторона захочет воспользоваться
своим правом.
Введем некоторые термины и
обозначения, используемые в нашей работе:
· Опцион колл (call
option) - контракт, дающий право купить актив по определенной цене в будущем.
· Опцион пут (put
option) - контракт, дающий право продать актив по определенной цене в будущем.
· Страйк (цена исполнения,
exercise price) - цена, по которой покупатель опциона имеет возможноть купить
или продать актив, обозначим буквой 
.
· Базовый актив (the
underlying) - актив, который опцион дает право купить или продать, обозначим
переменными 
(акция, фьючерс).
· Дата экспирации
(expiration date) - дата, после которой опционный контракт утрачивает силу.
Далее 
будем использовать для
обозначения переменной времени, 
будет обозначать момент
времени, соответствующий дате экспирации. Время будет измеряться годами.
· Исполнение
(exercise) - заключение сделки по покупке или продаже базового актива по
желанию покупателя опциона. После исполнения опционный контракт утрачивает
силу.
· Американский опцион
разрешает покупателю исполнить его в любой момент времени между днем покупки
опциона и датой экспирации.
· Европейский опцион
разрешает покупателю опциона исполнить его только в день экспирации.
· волатильность
базового актива, стандартное отклонение его годовой логарифмической доходности.
· 
- домашняя безрисковая
процентная ставка.
· 
- цена акции в момент
времени t.
· 
- фьючерсная цена в
момент времени t.
Рассмотрим предпосылки модели
Блэка-Шоулза-Мертона, их роль в этой модели и их связь с реальностью:
. Цены изменяются непрерывно:
даже в течение бесконечно малого промежутка времени цены базового актива и
опциона претерпевают бесконечно малые изменения. Также модель предполагает, что
трейдеры имеют возможность совершать сделки через каждый бесконечно малый
промежуток времени. Нарушения могут быть вызваны с одной стороны тем, что рынки
не всегда совершенно ликвидны и котировки не могут меняться на бесконечно малые
величины, а с другой - существованием трансакционных издержек.
. Динамика изменений цены
базового актива моделируется геометрическим Броуновским движением. Это
подразумевает нормальность распределения логарифмической доходности базового
актива и логарифмическую нормальность распределения будущей цены. Тем не менее
было эмпирически показано, что экстремальные изменения цен активов происходят систематически
чаще, чем предсказывают модели, основанные на гипотезе нормального
распределения доходностей.
3. Волатильность
(стандартное отклонение логарифмической доходности) базового актива известна и
постоянна, однако это утверждение было эмпирически опровергнуто. Короткая продажа разрешается без ограничений, и при этом
продавец получит немедленно всю наличную сумму за проданную без покрытия ценную
бумагу по сегодняшней цене.
. По
базисному активу опциона дивиденды
не выплачиваются в течение всего срока действия опциона Любой покупатель ценной
бумаги может получать ссуды по краткосрочной безрисковой ставке для оплаты
любой части ее цены.
5. Существует безрисковая
процентная ставка, которая является постоянной величиной. Также предполагается,
что рынок позволяет участникам привлекать и размещать средства по такой ставке.
Безрисковая ставка определяет определяет центр (мат. ожидание) распределения
будущей цены базового актива (он совпадает с фьючерсной/форвардной ценой).
Также эта ставка используется для дисконтрирования ожидаемой цены опциона при
экспирации для получения ее текущей цены (премии). Однако в реальности
безрисковой процентной ставки не существует (даже банки и правительства могут
объявить дефолт по своим обязательствам). Для большинства трейдеров ставка
финансирования выше, чем ставка доходности по наименее рискованным
инструментам.
. Рынки совершенны: трейдеры
не ограничены в размерах левериджа с которым они торгуют, а таких
трансакционных издержек, как бид-оффер спред, брокерские комиссии и биржевые
сборы не существует. Очевидно, что данное предположение не имеет отношения к
реальности: каждый брокер устанавливает ограничения по объемам маржинального
финансирования, все биржи собирают сборы за регистрацию сделок, брокеры всегда
собирают комиссию, а маркет мейкеры всегда зарабатывают бид-оффер спред.
.2 Опцион на акции без дивидендов
Для начала рассмотрим формулу
Блэка-Шоулза-Мертона для оценки европейских опционов колл и пут на акции, по
которым не выплачиваются дивиденды. Мы предполагаем, что цены активов меняются
непрерывно. Это значит, что даже за бесконечно малый промежуток времени они
претерпевают изменения. Бесконечно малый промежуток времени обозначается как 
(дифференциал времени),
соответствующее изменение цены актива обозначается как 
. Поскольку мы рассматриваем акции
(по которым не платятся дивиденды), логично предположить, что у них есть ожидаемая
доходность - то есть что котировки на рынке формируются таким образом, чтобы
держатель длинной позиции в акции ожидал получать от этой позиции средний доход
в 
годовых. Мы предполагаем, что
средняя доходность акции 
- это константа. Этот параметр
также известен как дрифт акции.
Если бы акция была
безрисковым инструментом (то есть если бы изменение цены 
не имело случайного
компонента), то капитал держателя акции рос бы как банковский депозит с
непрерывно начисляемыми процентами по ставке годовых.
Динамика цены акции описывалась бы
дифференциальным уравнением 
, а значение цены акции в момент
времени t
определялось бы функцией

.
Риск акций заключается в
том, что фактическая доходность, которую они дают, практически всегда
отличается от ожидаемой инвесторами. В половине случаев она оказывется больше
ожидаемой, в половине - меньше. То, насколько сильно фактическая доходность
может отличаться от ожидаемой, определяется параметром волатильность, которая
обозначается буквой 
и равна стандартному
отклонению логарифмической годовой доходности акции 
.
Мы предполагаем, что
волатильность акции 
- это константа.
Соответственно,
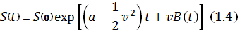
стохастическое дифференциальное уравнение динамики имеет вид:
Второе слагаемое этого уравнения, -
это случайная величина, являющаяся с вероятностями 50/50 отклонением вверх или
вниз, где размер отклонения составляет долларов. Где 
это дифференциал стохастического
процесса Броуновского движения, обозначаемого как функция 
Стохастическое
дифференциальное уравнение, описывающее динамику цены акции 
имеет решение - функцию
стохастического процесса цены акции
Блэк, Шоулз и Мертон
доказали, что если мы предполагаем, что цена акции изменяется по описанному
выше закону, то ее ожидаемая доходность не влияет на стоимость опциона.
Следствием из этого заключения является необходимость находить ожидаемую
стоимость опциона используя риск-нейтральное вероятностное распределение.
Сущность
риск-нейтрального вероятностного распределения заключается в том, что мы
считаем мат ожидание стоимости опциона так, как будто ожидаемая доходность
акции (параметр 
) равна безрисковой
процентной ставке (параметр 
). Риск-нейтральный
подход также подразумевает, что ожидаемая будущая стоимость опциона должна
дисконтироваться по безрисковой ставке, каким бы рискованным этот опцион ни
был.
Далее приведем формулу
теоретической цены европейского опциона Call:

Искомая формула теоретической цены
европейского опциона Put:
.3 Опцион на фьючерс
Теперь в качестве
базового актива для опциона рассмотрим фьючерс. Опционы на фьючерсы удобнее,
чем опционы на непосредственно базовые активы тех же фьючерсов, потому что для
работы с ними отсутствует необходимость прогнозировать дивиденды, оценивать
зарубежные процентные ставки и стоимость хранения сырья/товаров. Фьючерсный
контракт: договор, заключенный в момент времени 
о поставке
актива в будущем (время 
) по цене 
. Спотовая цена на не платящую
дивиденды акцию связана с фьючерсной ценой следующим отношением:
Фьючерсную цену в момент исполнения
(время 
) можно выразить через цену фьючерса

, известную во время 
:
Соответственно формула теоретической
цены европейского опциона Call и Put:
.4 Опцион на маржируемый фьючерс
Расчеты по маржируемым опционам
осуществляются по такой же схеме как по фьючерсам. Покупатель опциона не платит
продавцу цену опциона при заключении сделки, вместо этого клиринговая палата
биржи блокирует на его счету средства в размере гарантийного обеспечения
(маржа). Продавец опциона также выставляет гарантийное обеспечение. По
результатам каждого торгового дня алгоритмы клиринговой палаты определяют
«расчетную цену». Положительная разница между сегодняшней и вчерашней
расчетными маржируемого опциона начисляется на счет покупателя опциона и
списывается со счета продавца. Отрицательная разница - наоборот.
В сущности, маржируемый опцион на фьючерс сам
является является фьючерсным контрактом на прибыль от обычного опциона на
фьючерс. Соответственно, теоретические цены для маржируемых европейских коллов
и путов на фьючерсы определяются как:
На основе этих
основополагающих допущений, модель Блэка-Шоуза говорит, что цена опциона
является функцией текущей цены базового актива(акции 
, фьючерса
), цены исполнения 
, безрисковой
процентной ставки 
, времени до
экспирации 
, волатильности цены
базового актива 
. Все переменные не
зависят от предпочтений трейдеров к риску. Таким образом, модель Блэка-Шоуза
требует мало информации, для вычисления цены опциона, и следовательно, не
требует высоких вычислительных мощностей для обработки модели. Относительная
простота применения модели является причиной популярности ее использования.
2. Улыбки волатильности
.1 Подразумеваемая волатильность
Все параметры в модели
Блэка-Шоуза, за исключением волатильности базового актива, можно
непосредственно получить либо из рыночных данных либо из условий,
предусмотренных опционным контрактом.
Таким образом, используя рыночную
цену конкретного опциона можно легко получить рыночную оценку подразумеваемой
волатильности его базового актива путем использования численных методов и
«обращения» формулы Блэка-Шоуза. Подставляя подразумеваемую волатильность в
модель Блэка-Шоуза, мы получаем цену опциона равную его рыночной стоимости.
.2 Улыбка волатильности
Улыбка волатильности отражает
связь между изменением подразумеваемой волатильности и изменением страйка
опциона при фиксированной дате экспирации. Улыбка волатильности стала неким
показателем ошибочности предположения модели Блэка-Шоуза о независимости
волатильности от цены страйк.
Рассмотрим фундаментальное
предположение модели Блэка-Шоуза о том, что базовый актив имеет постоянную
волатильность, и следовательно, подразумеваемая волатильность полученная
численным обращением формулы Блэка-Шоулза должна быть одинаковой для опционов с
одинаковыми сроками экспирации, но с разными страйками. Таким образом, если
модель Блэка-Шоуза права, то улыбка подразумеваемой волатильности должна быть
плоской. Эта гипотеза подтверждалась некоторыми эмпирическими данными. Подобная
картина была характерна до определенного времени для опционов на индекс S&P
500 с одинаковыми сроками экспирации и разными страйками, то есть улыбка волатильности
была плоской, но подобная картина наблюдалась только до краха 1987 года.
График 1. Улыбка волатильности
Первые наблюдения эффекта
подразумеваемой волатильности на рынке ценных бумаг показывали, что улыбка
волатильности, как правило, была U-образной формы. Отметим тот факт, что
уровень волатильности является относительно более низким для опционов при
деньгах (около денег).
2.3 Ухмылка волатильности
Тем не менее, в последние годы
эффект улыбки волатильности на рынке ценных бумаг почти исчез. Вместо этого
наблюдается эффект отрицательной связи между ценой исполнения и подразумеваемой
волатильностью. Эту асимметрию называют смещенной (ассиметричной)
волатильностью или чаще всего ухмылкой волатильности. Как показано на графике
2, ухмылка волатильности всегда нисходящая, то есть подразумеваемая
волатильность почти монотонно возрастает с понижением страйка. Поэтому этот
эффект еще называют отрицательной асимметрией(перекосом).
График 2. Ухмылка волатильности
Вообще говоря, эффект ухмылки
волатильности явно показывает нам, что формула Блэка-Шоуза неправильно
оценивает опционы в деньгах и опционы вне денег.
Цена опциона, рассчитанная согласно
модели Блэка-Шоуза увеличивается при повышении волатильности базового актива.
То есть опционы, торгуемые с более высокой подразумеваемой волатильностью стоят
дороже, при прочих равных условиях. Из-за отрицательной связи между ценой
исполнения и подразумеваемой волатильностью, подразумеваемой волатильности
увеличивается с уменьшением страйка, и, соответственно, цена опциона повышается
при увеличении подразумеваемой волатильности. Когда уровень волатильности выше
уровня предполагаемого плоской улыбкой модели Блэка-Шоуза, put опционы вне денег (и,
следовательно, call опционы в деньгах, согласно паритету цен put-call опционов) стоят дороже,
чем это предсказывает модель Блэка-Шоуза, и наоборот.
Кроме того, в связи с отрицательной
связью между ценой исполнения и подразумеваемой волатильностью, put опционы вне денег и call опционы в деньгах, как
правило, имеют относительно более высокую подразумеваемую волатильность, в то
время как call опционы вне денег и put опционы в деньгах, как правило, имеют относительно более низкую
подразумеваемую волатильность. Как следствие, волатильность использующаяся для
определения цены с низкими страйками цены опциона (т.е. put опциона глубоко вне
денег, и call опицона глубоко в деньгах) значительно выше, чем используемая для
определения цены опциона с высокими страйками (т.е. call опицона глубоко вне
денег, и put опицона глубоко в деньгах).
.4 Нарушения предположений
модели Блэка-Шоуза
Модель Блэка-Шоуза явно не учитывает
все важные факторы, которые влияют на цену опциона. Эта модель учитывает только
цену базового актива, цену исполнения, время до экспирации опциона, и
безрисковую процентную ставку. Единственный параметр из формулы Блэка-Шоуза,
который не может быть напрямую наблюдаем на рынке является волатильностью цены
базового актива, из-за чего мы и получаем проблемы с оценкой стоимости
опционов. Улыбка (или ухмылка) волатильности имеет стохастическую природу, а не
является постоянной, как это предполагается в модели Блэка-Шоуза.
Подразумеваемую волатильность можно использовать как более или менее
всеобъемлющим фактор, учитывающий всю ту информацию, которую другие переменные
не включают в себя. Хотя точная форма и амплитуда улыбки волатильности
(ухмылки) меняется изо дня в день, асимметрия сохраняется и это опровергает
теорию Блэка-Шоуза, которая предполагает одинаковую подразумеваемую
волатильность для опционов.
Модель Блэка-Шоулза предполагает,
что относительные колебания цены базового актива имеет логнормальное
распределение.
Однако эмпирические данные
показывают, что на фондовом рынке, центральный пик распределения доходности
акций намного выше, то есть реальное распределения доходностей имеет больший
куртозис (kurtosis) чем логарифмически нормальное распределение. С другой стороны,
большие отрицательные доходности по акциям встречаются гораздо чаще, чем
крупные положительные, так что распределение доходности акций должны быть
отрицательную ассиметрию (skewness). Это явление также называется одновременной асимметрией.
Игнорирование асимметрии в распределении доходностей, например, отрицательной
асимметрии (skewness), может привести к недооценке риска и, следовательно, к
неправильному ценообразованию финансового инструмента.
Существует несколько объяснений
превышения куртозиса (kurtosis) и асимметрии (skewness) доходности акций.
Первое и, возможно, самое известное
объяснение - это эффект кредитного плеча. Согласно гипотезе об эффекте плеча,
снижение рыночной стоимости фирмы следует за плохими новостями об увеличении
операционного или финансового плеча, которые тем самым увеличивают
волатильность последующих доходностей. Финансовое плечо (рычаг) измеряет
отношение долга компании к собственному капиталу, при том, что фирма
финансируется за счет заемных средств. Он используется для измерения рисков для
акционеров, вытекающих из структуры капитала фирмы. Фирмы с более высоким
финансовым рычагом могут иметь более высокий риск банкротства в связи с высоким
уровнем заемных средств в структуре капитала фирмы, что повышает волатильность
доходности акций.
Волатильность доходности акций
является возрастающей функцией финансового рычага. Операционный рычаг означает
отношение между постоянными и переменными затратами. Фирмы, имеющие большее
количество фиксированных затрат и меньшее переменных затрат, имеют более
высокую операционную долговую нагрузку, то есть более высокий операционный
рычаг. Для таких фирм очень сложно сократить расходы, при неожиданном падении
уровней продаж. Таким образом, по сравнению с фирмами с низкими постоянными
затратами, эти фирмы сталкиваются с относительно более высокими рисками и,
соответственно, доходности акций таких фирм имеют более высокую волатильность.
Волатильность фондового рынка имеет достаточно сильную взаимосвязь с
операционным плечом. В целом, более высокие финансовые или операционные рычаги
вызывают более высокую волатильность доходностей акций и, следовательно, более
высокий риск, в результате чего появляется большая вероятность появления
отрицательной доходности и тем самым возникает отрицательная ассиметрия (skewness) распределения
доходностей. Тем не менее эффект финансового рычага не может полностью
объяснить наблюдаемую асимметрию (skewness) в распределении доходности акций.
Теория обратной отдачи волатильности
также пытается объяснить отрицательную асимметрию (skewness) и большой куртозис (kurtosis) распределения
доходностей акций. Изменения волатильности оказывает существенное влияние на
доходность акций. Увеличение волатильности делает акции менее привлекательными,
и, следовательно, толкает его цену вниз. Эта гипотеза утверждает, что важные
новости, хорошие или плохие, повышают волатильность акций и, следовательно, их
премии за риск, который в свою очередь увеличивает отрицательные доходности и
уменьшает положительные доходности.
Предположим, что есть большой объем
хороших новостей о будущих дивидендах. Большие объемы новостей, как правило
увеличивают будущую ожидаемую волатильность, что в свою очередь увеличивает
требуемую норму доходности на фондовом и снижает цены акций, уменьшая
положительное воздействие новостей о дивидендах. Теперь рассмотрим случай с
большим объемом плохих новостей о будущих дивидендах. Еще раз, цена акций
падает, потому что из-за высокой волатильности повышается требуемая норма
доходности акции, но сейчас эффект волатильности усиливает негативное влияние
новостей о дивидендах.
Следовательно, большие отрицательные
доходности акций более распространены, чем большие позитивные, и усиление
отрицательной доходности может вызвать отрицательную асимметрию (skewness) распределения. Кроме
того, появление значимых новостей вызывает большие движения цены акции,
увеличивая асимметрию (skewness).
В отличие от предыдущего случая,
появление небольшого объема новостей снижает будущую ожидаемую волатильность и
увеличивает цену акций. В том случае, если нет вообще новостей, рынок растет,
потому что «отсутствие новостей не может не радовать». Обратная отдача
волатильности предполагает, что движение цены акций должны быть связаны с
будущей волатильностью.
Подводя итоги, появление больших
объемов хороших или плохих новостей увеличивает волатильность акций и,
следовательно, их премии за риск. В результате шанс отрицательной доходности
увеличивается в то время как положительные доходности сокращаются, что приводит
к распределению доходности акций с большим куртозисом (kurtosis) и отрицательной
асимметрией (skewness). Тем не менее, можно поставить под сомнение достоверность
гипотезы обратной отдачи волатильности, поскольку изменения волатильности на
рынке в целом слишком кратковременны, чтобы влиять на распределение доходности
акций.
Кроме того, отрицательная асимметрия
(skewness) также может быть объяснена гипотезой случайных пузырей. Когда на
фондовом рынке присутствует пузырь, акции торгуются с большими объемами и цены
значительно переоценены. Следовательно, рыночные пузыри обычно сопровождаются
резким падением цен, известным как крах рынка или схлопывание пузыря.
Волатильность, как правило, становится выше после того, как фондовый рынок
падает, чем после того, как он поднимается, что приводит к повышению риска
краха рынка и, следовательно, к более отрицательным доходностям. Одним словом, распределение
доходной акции с отрицательной асимметрией (skewness) могут генерироваться
схлопыванием случайных пузырей, которые создают существенные потери на рынке.
Модель Блэка-Шоуза предполагает, что
цены базового актива изменяются плавно, без прыжков, но экстремальные движения
цен акций встречаются чаще, чем можно было бы ожидать при логнормальном
распределении доходностей акций, которое предполагается моделью Блэка-Шоуза.
Таким образом, модель Блэка-Шоуза не
понимает истинную природу движения цены акций, которые движутся дискретными
скачками. Скачки котировок всегда возникают в момент прибытия новой информации,
такой как попытка поглощения, вердикт о важном судебном процессе, объявление о
доходах, и так далее. Наличие больших ценовых движений приводит к большему
куртозису (kurtosis) распределения доходностей акций.
Предположим, что часть важных
новостях появится в течении несколько дней, и цена акций, как ожидается, будет
либо расти, либо падать. Таким образом, можно ожидать один скачок цен на акции.
В данном случае, вероятностное распределение цены акции может состоять из смеси
двух логнормальных распределений, первое из которых соответствует благоприятным
новостям, второе неблагоприятным. Полученное вероятностное распределение
является бимодальным. Данное распределение проиллюстрировано на графике 3.
Сплошная линия показывает смесь логнормальных распределений для котировок
акций, то есть описанное выше распределение доходностей. Пунктирная линия
показывает логнормальное распределение с тем же ожидаемым средним и стандартным
отклонением как и смешанное распределение. Как видно из рисунка 3, истинное
вероятностное распределение имеет более высокий куртозис (kurtosis), чем логнормальное
распределение. Большое движение цен всегда сопровождается большим количеством
возможной прибыли или убытка, чем обычно, что может объяснить более высокий
куртозис (kurtosis) бимодального распределения.
Существуют различные попытки
расширить теорию Блэка-Шоуза, для того чтобы учесть стохастическую природу
волатильности и дискретные скачки цен акций, чтобы принять во внимание эффект
улыбки волатильности. Эти так называемые расширенные модели Блэка-Шоуза всегда
раскладывают общее изменение цен акций на "нормальную" и
"ненормальную" компоненты. «Нормальная» компонента изменений может
быть связана с изменением ставок капитализации, временным дисбалансом между
спросом и предложением, или получения любой другой информации, которая вызывает
незначительные изменения цен.
График 3. Влияние большого скачка на
распределение доходностей
Эти нормальные компоненты
моделируются логнормальным процесса диффузии. «Ненормальные» компоненты
изменений могут быть вызваны получением любой информации, которая вызывает
скачки в цене акций и, как правило, моделируется процессом Пуассона. Эти модели
позволяют объяснить превышение куртозиса (kurtosis) и отрицательную
асимметрию (skewness) в распределении доходностей акций, которая согласуется с
эмпирическими данными.
К сожалению, использование этих
расширений вызывает некоторые практические трудности. С одной стороны, в этих
расширенных моделях значения параметров зависят от нескольких дополнительных
параметров, значение которых должны быть оценены. Существует недостаточно
рыночных данных для калибровки этих моделей. С другой стороны, математическая
простота Блэка-Шоуза теряется, что приводит к необходимости использования
больших вычислительных мощностей.
Одной из основных особенностей
модели Блэка-Шоулза является то, что она не учитывает предпочтения инвесторов к
риску. Модель Блэка-Шоуза основана на риск-нейтральной оценки и предполагает,
что все инвесторы одинаковые и нейтральные к риску.
Наблюдаемая обычно улыбка
волатильности опциона на акции имеет отрицательный наклон и, таким образом
отклоняется от плоской улыбки волатильности, что показывает то, что инвесторы
платят более высокую цену за опционы с низкими страйками, потому что они имеют
более высокую волатильность по сравнению с предполагаемым уровнем в модели
Блэка-Шоуза. Интересно, что характер отрицательной ассиметрии (skewness) волатильности возник
лишь во время краха фондового рынка в октябре 1987 года. Подразумеваемая
волатильность гораздо меньше зависела от цены исполнения до октября 1987 года.
Это может навести на мысль, что одной из причин ухмылки и улыбки волатильности
может быть так называемый эффект боязни краха. То есть, трейдеры обеспокоены
возможностью другого биржевого краха похожего на тот, что имел место в октябре
1987 года, и они оценивают опционы, как инвесторы склонные к риску. Существует
некоторое эмпирическое подтверждение этого объяснения. Снижение индекса S&P
500, как правило, сопровождается увеличением наклона ухмылки волатильности.
Когда индекс S&P увеличивается, ухмылка имеет тенденцию становиться менее крутой.
Таким образом, трейдеры скорее склонны к риску, а не нейтральные к нему.
Ухмылку волатильности на рынке
ценных бумаг частично можно объяснить возросшим давлением хеджиров. Хеджеры
покупают опционы вне денег и используют их для защиты своих портфелей от
возможного обвала фондового рынка. Хедж-управляемые покупки повышают цены
опционов с низкими страйками и, следовательно, увеличивают их подразумеваемую
волатильность.
График 4. Защитная стратегия с
использованием put опционов
Опционы put глубоко вне денег часто
рассматриваются как форма страхования от крупных обвалов на рынке. Максимальные
потери, которые могут быть получены при использовании таких стратегий являются
лишь стоимостью самого опциона put. При увеличении цены акции, потенциал роста является
неограниченным, а прибыль уменьшается только до стоимости опциона. Защитная
стратегия использования опциона put оказалось чрезвычайно популярным среди инвесторов. Страх краха
привел к тому, что некоторые инвесторы стали готовы платить относительно
большие деньги для защиты.
Как можно увидеть из представленного
выше графика 2 вероятностное распределение доходностей базового актива имеет
более толстый хвост по сравнению с тем, что ожидается в модели Блэка-Шоуза. Это
согласуется с отрицательной асимметрией(skewness) реального
распределения доходностей акций. Рыночные данные, как правило, показывают, что
существует гораздо большая вероятность финансовых потерь, чем можно было бы
предсказать с логарифмически нормальным распределением, используемым в модели
Блэка-Шоуза.
Заметим, что если подразумеваемая
волатильность рассчитывалась по «правильной» модели ценообразования опционов,
основанной на правильном предположении о распределении, то улыбка волатильности
исчезнет и подразумеваемая волатильность станет плоской. В самом деле,
чрезвычайно трудно получить "правильную" модель, из-за существования
арбитражных возможностей в реальном мире, и очень трудно их включить в модели
ценообразования опционов. Таким образом, идеализированное предположение
относительно отсутствия арбитражных возможностей на рынках также ставит под
сомнение надежность модели Блэка-Шоуза.
Одним из самых основных следствий
модели Блэка-Шоуза является взаимосвязь между ценой call и put опционов, которая может
быть получена следующим образом:
где 
и 
обозначают цену call и put опционов,
соответственно, 
страйк, 
является безрисковой
процентной ставкой, 
представляет собой
время до экспирации опциона, и 
обозначает текущую цену
акции.
Данное соотношения
известно, как паритет цены для оционов put-call. Оно означает, что значение цены европейского call опциона с определенным страйком и датой экспирации может быть
вычислено при помощи стоимости европейского put
оциона с тем же страйком и сроком до экспирации, и наоборот. Если уравнение не
выполняется, то существуют возможности для арбитража на рынке. Численные
исследования показали, что есть частые и существенные нарушения put-call паритета возникающие как и из-за завышенных так и из-за
заниженных цен на call или put опционы. Поскольку реальные цены на put
или call опционы отклоняются от паритетных, то существуют возможности для
инвесторов для создания безрисковой арбитражной позиции, которая позволяет
заработать больше, чем при безрисковой позиции. Хуже того, что, почти две трети
из результатов арбитражной деятельности ведут к убытку. Таким образом, можно
сказать, что предположение о невозможности арбитража нереально и ослабляет
точность определения цены опциона, рассчитанной по модели Блэка-Шоуза.
3. Ценнообразование
опционов
.1 Факторы, влияющие на
ценообразование опциона
Рассмотрим фьючерс на
индекс РТС, а также три его опциона. Фьючерс на индекс РТС, и соответствующие
опционы были выбраны как одни из, наиболее ликвидных финансовых инструментов на
рынке FORTS. Подробная информацию о рассматриваемых финансовых инструментах
представлена в Приложении 1 таблицы П.1.1, П.1.2 и П.1.3, а также на сайте
биржи РТС. Попробуем проанализировать факторы влияющий на ценообразование
рассматриваемых опционов.
Безрисковая процентная
ставка, используемая для проведения исследований должны иметь схожую доходность
с казначейскими облигациями, которые наиболее близко соответствует длине
анализируемого периода. Таким образом, процентная ставка для краткосрочных
казначейских облигаций является наиболее подходящим для этого исследования,
согласно информации представленной на сайте Банка России, средняя краткосрочная
ставка ГКО-ОФЗ была равна 5.78, хотя стоит отметить, что уровень ставки также
подвержен колебаниям, что является дополнительным фактором неопределенности для
трейдеров. Так на графике П.2.6 мы можем увидеть динамику изменения
краткосрочной ставки в течении срока действия фьючерса.
Доходность казначейских
облигаций находится в прямой зависимости от срока облигации, поэтому процентные
ставки по долгосрочным облигациям выше, чем по краткосрочным облигациям. Если
бы мы использовали бы процентные ставки по среднесрочным или долгосрочным
облигациям для расчета волатильности, то рассчитанная подразумеваемая
волатильность отклонялась бы от реальной волатильности в силу завышенной
безрисковой процентной ставки. Очевидно, что колебания ставки являются
дополнительным фактором неопределенности, вносящим свою лепту в ценообразование
опциона.
В России правительство
все еще владеет большой долей акций крупнейших компаний и, следовательно, права
инвесторов во многих случаях остаются проигнорированными. Так мы, например,
довольно таки часто видим, что компании с большой долей участия государства не
платят дивидендов. Даже если есть выплаты по дивидендам то, только очень
небольшое количество этих выплат идут в пользу акционеров.
.2 Нормальность
распределения
Модель Блэка-Шоулза
предполагает, что доходности по базовому активу имеют логнормальное
распределение, и, следовательно, логарифмические доходность базового актива
имеет нормальное распределение. Напомним, что случайная величина 
называется логнормально
распределенной, если 
имеет нормальное
распределение.
Доходности базового
актива в промежутке между временем 
и 
могут быть определены
следующим образом:
где 
, цена базового актива в
момент времени 
и 
.
Также напомним, что
распределение имеет ассиметрию(skewness),
когда его пик находится не в центре, а смещен в одну из сторон. Когда пик
находится справа, относительно центра, распределение имеет отрицательный
перекос (ассиметрию) и его хвост находится слева. Когда пик находится слева,
распределение имеет положительные ассиметрию (skewness)
и хвосты находится справа. Как показано на рисунке, при отрицательной
асимметрии больший вес имеет левый хвост, в то время как при положительной
асимметрии(skewness) больший вес имеет правый хвост. Когда нет явной ассиметрии (skewness) распределение является симметричным.
График 5. Ассиметрия(skewness)распределения
Коэффициент асимметрии(skewness) Пирсона обеспечивает числовую характеристику асимметрии(skewness), которая обозначается SK. Значение SK варьируется от -3 до+3.
Распределение имеющее положительную асимметрию (skewness)
имеет положительное значение SK, в то время как распределение имеющее
отрицательную асимметрию (skewness)
имеет отрицательное SK. Для нормального или идеально симметричного
распределения, SK имеет значение
0. Значения показателя асимметрии(skewness)
выходящие за диапазон -1 и 1 указывают на значительную степень асимметрии(skewness).
Под куртозисом(kurtosis) мы понимаем степень островершиности распределения
вероятностей случайной величины. Для нормально распределенной случайной
величины куртозис(kurtosis) равен 3,
независимо от его среднего (mean) или стандартного отклонения (standard
deviation). Когда значение куртозиса(kurtosis)
отклоняется от 3, то вероятностное распределение начинает сильно отличаться от
нормального. Если куртозис(kurtosis)
больше 3, то случайная величина имеет более остроконечное вероятностное
распределение в центре и имеет более тяжелые хвосты, чем у нормального
распределения с тем же стандартным отклонением (standard deviation), а значение
показателя куртозиса(kurtosis)
меньшее 3 показывает, что вероятностное распределение является более плоским в
центре и имеет меньшие хвосты, чем у нормального распределения. Чем больше
куртозис, тем большим по сравнению с нормальным, предполагается стандартное отклонение.
График 6. Куртозис(kurtosis) распределения
Статистика Жака-Бера
(JB) является некоторой мерой, которая определяет степень отклонения значения
асимметрии(skewness) и куртозиса (kurtosis)
некоторого ряда от нормального распределения. Нулевая гипотеза Жака-Бера
состоит в том, что распределение некоторого ряда является нормальным, то есть
асимметрия(skewness) равна 0 и куртозис (kurtosis)
равен 3. Любое отклонение от нулевой гипотезы увеличивает статистику JB.
С помощью EViews можно
также узнать значение вероятности (уровень значимости), с помощью которой мы
сможем понять можно ли принять нулевую гипотезу о нормальном распределении.
Нулевая гипотеза должна быть отвергнута, когда значение вероятности (уровня значимости)
будут низки, в то время как высокая вероятность (уровень значимости) указывает
на то, что наш ряд, скорее всего, имеет нормальное распределение.
Из графика П.2.1 видно,
что показатель асимметрии(skewness)
равен 0.36, значит, что распределение имеет более длинный правый хвост,
значение куртозиса(kurtosis)
оказалось равным 4.57, откуда следует, что наше распределение более
островершинное, чем нормальное распределение доходностей базового актива, т.е.
фьючерсного контракта на индекс РТС. Сравнительный график П.2.2 показывает, что
график полученный при помощи ядерного сглаживания достаточно похож на график
нормального распределения. Кроме того, значение вероятности, представленные на
графике П.2.1 довольно небольшие (0.000077), что означает, что нулевая гипотеза
о нормальном распределении доходностей должна быть отвергнута. Эти результаты
показывают, что предположение о нормальном распределении доходностей базового
актива на нашем рынке может быть отвергнуто.
.3 Принятие риска
трейдерами
Одной из основных
особенностей модели Блэка-Шоулза является то, что трейдеры нейтральны к риску.
Как отмечалось ранее, ухмылка волатильности на рынке ценных бумаг вызвана
частично давлением хеджеров. То есть можно предположить, что инвесторы все же
склонны к риску. Хеджеры покупают опционы вне денег для защиты своих портфелей
от возможного обвала фондового рынка. Такие покупки повышают цены опционов с
низкими страйками и, следовательно, их подразумеваемую волатильность,
вследствие чего и возникает наблюдаемый перекос.
Довольно, таки сложно
придумать метод для проверки гипотезы о том, что трейдеры являются нейтральными
к риску. Возможно, стоит обратить внимание на торговые объемы put опционов и цены на их базовые активы, эти показатели можно
попробовать исследовать при помощи корреляционного анализа. Если трейдеры
склонны к риску и, следовательно, приобретают опционы put
в качестве страховки от падения рынка, то объемы торгов опционами put должны повышаться, когда цены на акции понижаются, то есть,
должна быть отрицательная взаимосвязь между торговыми объемами опционов put, и ценами на базовые активы. Если предположение о том, что цена
опциона не зависит от предпочтения трейдера к риску правильно, то не должно
быть никакой связи между объемом торгов опционами put
и ценами на базовые активы.
Коэффициент корреляции
может быть использован для количественного анализа взаимосвязи между объемами
торгов опционами и ценами на базовые активы. Значение коэффициента равное +1
представляет собой идеальную положительную корреляцию. Это означает, что две
переменные точно связаны между собой и что, если значения одной переменной
увеличиваются, то и значения другой также будут повышаться. И наоборот,
значение коэффициента равное -1 представляет собой абсолютную отрицательную
корреляцию. Это означает, что две переменные связаны между собой, однако, когда
значения одной переменной увеличиваются, то значения другой уменьшаются.
Коэффициенты корреляции между -1 и +1 представляют собой слабые положительные и
отрицательные взаимоотношения, значение коэффициента равное 0 означает, что
переменные идеально независимы.
Рассмотрим результаты,
представленные в таблицах П.2.1, П.2.2 и П.2.3. Здесь под рядом s1 мы обозначаем число совершенных сделок, s2
объем торгов в контрактах, s3
объем открытых позиций для соответствующих опционов, s4
котировки фьючерса RTS-3.13. Мы можем
сделать вывод о том, что присутствует положительная корреляция между объемами
торгов икотировками на фьючерс, что не подтверждает нашу теорию о принятии
рисков трейдерами. Однако то, что наша проверка не увенчалась успехом отнюдь не
говорит о риск-нейтральности агентов.
.4 Существование
арбитражных возможностей
Модель Блэка-Шоулза
предполагает отсутствие арбитражных возможностей для трейдеров, стремящихся
получить прибыль без риска(riskless).
Попробуем проверить эту гипотезу при помощи двух методов.
Первый способ
заключается в использовании суточных значения котировок опционов и цен базовых
активов для проверки, описанного ранее, put-call паритета. Put-call паритет представляет собой правильное соотношение между ценами на
опционы put и call, которые имеют
один и тот же базовый актив, время до экспирации и страйки. Если паритет
нарушается, то опционы недооценены и возникают арбитражные возможности. Этот
метод имеет некоторые преимущества.
С одной стороны, пять
переменных в уравнении put-call паритета, а именно, стоимости put
и call опционов, цена исполнения, цена базового актива и безрисковая
процентная ставка, могут быть получены непосредственно из рыночных данных. То
есть, все они не зависят от выбора модели оценки опционов и, следовательно, на
результаты этого теста не влияют недостатки используемых моделей.
С другой стороны,
факторы, которые могут послужить возникновению арбитражной возможности, такие
как настроения инвесторов, неполнота информации и транзакционные издержки и
т.д., уже включены в рыночные цены опциона и базового актива. Таким образом,
этот тест может отражать совокупное воздействие этих факторов на
ценообразование опциона.
Второй способ проверки
заключается в том, что европейские put
и call опционы с одним и тем же базовым активом, с одинаковым временем
до экспирации должны иметь одинаковую подразумеваемую волатильность. С учетом
этого утверждения, мы использовали таблицы с подразумеваемой волатильности для
опционов, затем мы рассчитали цену put
опциона и сравнили ее с рыночной стоимостью. Если они равны, то арбитражные
возможности исключены. В противном случае, трейдеры могут заработать прибыль
без риска. Результаты проверки наличия арбитражных возможностей при помощи
второго способа дают нам возможность утверждать, что все же спекулятивные
возможности есть, но они не всегда очевидны, так как рынок стремится их
сокращать.
.5 Улыбка и ухмылка
волатильности
Графики П.1.6, П.1.8 и
П.1.75 в Приложении 1 отображают взаимосвязь между страйком и подразумеваемой
волатильностью. Очевидно, что график подразумеваемой волатильности имеет
отрицательный наклон, то есть волатильность уменьшается по мере увеличения
страйка. Подразумеваемая волатильность используемая для определения цены опциона
с низкими страйками (т.е. для опционов put
глубоко вне денег, или для опционов call
глубоко в деньгах) выше, чем используемая для определения цены опционов с
высокими страйками (т.е. для опционов call
глубоко вне денег, или для опционов put
глубоко в деньгах).
Модель Блэка-Шоуза
предполагает, что опционы для одного и того же базового актива с одинаковой
датой экспирации должны иметь одинаковую подразумеваемую волатильность. При
уровне фактической волатильности более высоком, чем предполагалось в модели
Блэка-Шоуза, опцион становится более дорогим, чем предсказывает наша модель. В
противоположность этому, когда фактическая волатильность меньше, чем
предполагает модель Блэка-Шоуза, опцион становится менее дорогостоящими, чем
предсказывает модель Блэка-Шоуза.
Однако можно заметить,
что для опционов RTS-3.13M150113CA и RTS-3.13M150213CA ATM
(около денег) опционами являются контракты со страйками в 160000, это можно
также заметить на графиках П.1.6, П.1.8. Для контракта RTS-3.13M150313CA
опционом ATM (около денег) является контракт со страйком 175000, что также
можно заметить из графика П.1.10. Для данных контрактов характерны относительно
небольшие изменения волатильности, что можно увидеть из графиков П.2.3, П.2.4 и
П.2.5. Так для контракта RTS-3.13M150113CA
160000 мы видим, что волатильность колеблется вокруг значения 20%, для
контракта RTS-3.13M150213CA волатильность колеблется также вокруг значения 20%,
однако для контракта RTS-3.13M150313CA
волатильность уже колеблется вокруг значения 25%. В силу того, что
волатильность почти постоянная, ее можно вполне использовать использовать для
оценки значений стоимости опционов. Также отметим тот факт, что обычно
историческая волатильность отличается от ожидаемой. Можно сказать, что
историческая волатильность - это некий взгляд в прошлое, а подразумеваемая
волатильность в будущее. Так 60 дневная историческая волатильность на 19.08.12
составила 19,52%, что довольно таки близко к подразумеваемой волатильности для
опциона RTS-3.13M150113CA 1600000, на тот момент она составляла 23%.
.6 Поверхность
волатильности
Поверхность
волатильности является одним из важнейших инструментов, используемых при
анализе стоимости опциона. Она получается путем отображения временной структуры
зависимости уровня волатильности от страйка. Это позволяет увидеть изменения
волатильности для произвольного страйка и для любого срока действия. На
графиках П.1.7, П.1.9 и П.1.11 мы можем увидеть поверхности волатильности для
исследуемых нами опционов. Из графиков видно, что уровень волатильности возрастает
с течением времени. Это можно объяснить тем, что трейдеры ожидают увеличения
уровней волатильности. Также можно увидеть, что эффект улыбки(ухмылки)
волатильности становится все более и более выраженным с уменьшением времени до
экспирации. Это можно частично объяснить увеличением объемов торгов и
количества открытых позиций по опционам с течением времени. На графике П.2.7,
П.2.8 и П.2.9 мы как раз таким видим, что с течением времени объемы торгов
постепенно увеличиваются. Из рисунков видно, что примерно за 15-20 дней до
экспирации опционов на рынке появляется ликвидность, и сразу же начинает
проявляться улыбка волатильности. Отметим, что приведенные в Приложении 1
графики П.1.7, П.1.9 и П.1.11 являются интерполированными графиками, так как в
силу невысокой ликвидности рынка FORTS
невозможно построить поверхность использую лишь рыночные данные. Заметим, что
наиболее ликвидными опционами являются опционы со страйками близкими к страйку
опциона около денег(ATM). Из графиков
П.2.10, П.2.11 и П.2.12 мы можем увидеть динамику торгов даны опционов, однако
стоит упомянуть, что опционы глубоко в деньках и вне денег, как правило, вообще
не торгуются. Как было отмечено выше, приведенные в пример графики поверхностей
волатильности получаются путем интерполирования недостающих данных. У биржи РТС
есть собственная методология построения соответствующих поверхностей.
Ввиду важности
поверхности волатильности как инструмента оценивания цен опционов, возник
интерес построения поверхности собственными силами.
Из-за малой ликвидности
довольно таки трудно построить соответствующую поверхность. Мы рассмотрели
изменение цены оциона RTS-3.13M150113CA для 7 страйков
(135000-165000). Данные страйки были выбрани в силу того, что соответствующие
им контракты обладали ликвидностью. Контракты с другими страйками имели очень
малые объемы торгов.
Используя данные по
котировкам, мы получили значения подразумеваемой волатильности, путем
численного обращения формулы Блэка-Шоуза. Для этого использовались метод
Ньютона и метод бисекции нахождения локального минимума. Затем с помощью
интерполирования мы получили пропущенные данные и сгладили поверхность. На
рисунках П.2.13-П.2.15 показаны основные этапы построения поверхности.
Представленные поверхности являются грубой интерполяцией, очевидно, что на
бирже применяются более сложные методы. Однако по построенным графикам также
можно судить о временной структуре волатильности.
Заключение
Как было отмечено ранее,
цель данной работы заключается в исследовании ценообразования опционов на рынке
FORTS. Данные исследования проводились на основе данных по 3 опционам
на фьючерс на индекс РТС. Мы рассмотрели некоторые гипотезы, относительно
возникновения описанного выше эффекта улыбки волатильности. Например, гипотезы
о стохастических пузырях и гипотезы о влиянии финансовых и операционных
рычагов. Также мы проанализировали влияние некоторых факторов на
ценообразование опционов. Рассмотрели гипотезы о постоянной безрисковой ставке,
о нормальности распределения доходностей базового актива, гипотеза об отсутствии
арбитражных возможностей и принятии риска трейдерами. Исходя из проведенных
исследований, можно сделать выводы о некоторых отличиях идеализированного мира
предпосылок теории Блэка-Шоуза и реального мира.
Список используемой литературы
1 Cox, John
C., Rubinstein Mark, Option Markets, Englewood Cliffs, NJ: Prentice Hall, 2014.
Hull, John
C., Options, Futures and Other Derivatives, Pearson Education, Upper Saddle
River, New Jersey, 2010.
Natenberg,
Sheldon, Option Volatility & Pricing. Advanced Trading Strategies and
Techniques, McGraw-Hill, New York, 1994.
Shreve,
Steven E., Stochastic Calculus for Finance. Volume I: The Binomial Asset
Pricing Model, Springer-Verlag, 2014.
Shreve,
Steven E., Stochastic Calculus for Finance. Volume II: Continuous-Time Models,
Springer-Verlag, 2010.
Taleb,
Nassim Nicholas, Dynamic Hedging: Managing Vanilla and Exotic Options, John
Wiley and Sons, New York, 1997.
Thorp,
Edward O., Kassouf, Sheen T., Beat the Market, New York, Random House, 1967.
Triana,
Pablo, Lecturing Birds on Flying: Can Mathematical Theories Destroy the
Financial Markets? John Wiley and Sons, Hoboken, New Jersey, 2009.
Wilmott,
Paul, Paul Wilmott on Quantitative Finance, John Wiley and Sons, Chichester,
West Sussex, 2006.
Статьи
1 Black,
Fischer; Myron Scholes, The Pricing of Options and Corporate Liabilities,
Journal of Political Economy 81 (3), 1973.
Gordin,
Investigation of the mechanisms for effective use of the
Black-Scholes-Merton,2012.
Merton,
Robert C., Theory of Rational Option Pricing, Bell Journal of Economics and
Management Science (The RAND Corporation) 4 (1), 1973.
Quing Mao,
Is Black-Scholes Model an appropriate Option Pricing Tool in Chinese Stock
Market,2007.
Vasicek,
Oldrich, An Equilibrium Characterisation of the Term Structure, Journal of
Financial Economics 5, p. 177-188, 1977.
Yong-Jin
Kim, Option Pricing under Stochastic Interest Rates: an Empirical
Investigation, ASIA-PACIFIC FINANCIAL MARKETS Vol. 9, №1, p. 23-44, 2002.
7 Hentschel, L. (2003)
“Errors in Implied Volatility Estimation”. Journal of Financial and
Quantitative Analysis. 38 (4): 779-810.
Huang, Y.C. and Chen,
S.C. (2002) “Warrants Pricing: Stochastic Volatility vs Black-Scholes”.
Pacific-Basin finance Journal. 10 (4): 393-409.
Приложение 1
График П.1.1. Динамика индекса РТС с
11.03.2012-15.03.2013.
График П.1.2. Динамика фьючерса на индекс РТС(RTS-3.13)
с 11.03.2012-15.03.2013.
График П.1.4. Динамика индекса РТС и его
фьючерса (RTS-3.13) с
20.11.2012-15.02.2013.
График П.1.5. Динамика фьючерса на индекс РТС(RTS-3.13)
и его опциона(RTS-3.13M150213CA) с
20.11.2012-15.02.2013.
График П.1.6. Ухмылка волатильности опциона(RTS-3.13M150113CA) на 08.01.13.
График П.1.7. Поверхность волатильности опциона
(RTS-3.13M150113CA).
График П.1.8. Ухмылка волатильности опциона(RTS-3.13M150213CA) на 08.02.13.
График П.1.9. Поверхность волатильности опциона
(RTS-3.13M150213CA).
График П.1.10. Ухмылка волатильности опциона(RTS-3.13M150313CA) на 12.03.13.
График П.1.11. Поверхность волатильности опциона
(RTS-3.13M150313CA).
Приложение 2
График П.2.1. Основные характеристики
вероятностного распределения доходностей фьючерса на индекс РТС (RTS-3.13)
с 08.08.12 по 15.03.13.
График П.2.2. Сравнительный график
вероятностного распределения доходностей фьючерса на индекс РТС (RTS-3.13)
с 08.08.12 по 15.03.13.
График П.2.3. Изменение волатильности для
опциона RTS-3.13M150113CA.
График П.2.4. Изменение волатильности для
опциона RTS-3.13M150213CA.
График П.2.5. Изменение волатильности для
опциона RTS-3.13M150313CA.
График П.2.6. Изменение краткосрочной ставки
ГКО-ОФЗ
График П.2.7. Изменение объемов торгов для
опциона RTS-3.13M150113CA.
График П.2.8. Изменение объемов торгов для
опциона RTS-3.13M150213CA.
График П.2.9. Изменение объемов торгов для
опциона RTS-3.13M150313CA.
График П.2.10 Изменение объемов торгов для трех
страйков опциона RTS-3.13M150113CA.
График П.2.11 Изменение объемов торгов для трех
страйков опциона RTS-3.13M150213CA.
График П.2.12 Изменение объемов торгов для трех
страйков опциона RTS-3.13M150313CA.
График П.2.13 Поверхность волатильности опциона RTS-3.13M150313CA.
График П.2.14 Сглаженная поверхность
волатильности опциона RTS-3.13M150313CA.
График П.2.15 Сглаженная поверхность
волатильности опциона RTS-3.13M150313CA.
Листинг используемой в Scilab программы
function [xx, yf]=picture(x, y,
colore)
m=50 a = x(1); b = x(length(x));=
linspace(a,b,m)'; yf = interp(xx, x, y, splin(x,y,"fast"));yf=pic2(x,
y, colore, t)= x=zeros(int(length(x)/t))
y2=zeros(int(length(x)/t))i=1:length(x)
if (int(i/t)=(i/t))
x2(i/t)=x(i) y2(i/t)=y(i)
end(1)=x(1) y2(1)=y(1)
y2(length(y2))=y(length(y)) x2(length(y2))=x(length(y))= interp(xx, x2, y2,
splin(x2,y2,"fast"));BS=BlackScholes(S, K, r, T, v)
d1=(log(S/K)+(r+0.5*v^2)*T)/(v*sqrt(T))
d2=d1-v*sqrt(T)
BS=S*cdfnor("PQ",d1,0,1)-K*cdfnor("PQ",d1,0,1)*exp(-r*T)differ=differ(S,
K, r, T, v, Call)
differ=(Call-BlackScholes(S,K,r,T,v))^2y=Bisection(S,
K, r, T, Call)
a=0.01 b=0.98 eps=0.000001
while(abs(differ(S,K,r,T,b,Call)-differ(S,K,r,T,a,Call))>eps)
midpt=(b+a)/2
if
(differ(S,K,r,T,a,Call)-differ(S,K,r,T,midpt,Call)<0)
b=midpt
else
a=midpt
end end=midptv1=metoda(S, K, r, T,
Call)=[0.96:-0.01:0.01] s1=1000000 v1=0i=1:length(v0)
s2=differ(S,K,r,T,v0(i),Call)
if(s2<s1)
s1=s2 v1=v0(i)
end
endfun()=[1:1:length(S)]=pic2(xx,x135,"green",5)
y2=pic2(xx,x140,"green",5) y3=pic2(xx,x145,"green",5)
y4=pic2(xx,x150,"green",5)=pic2(xx,x155,"green",5)
y6=pic2(xx,x160,"green",5) y7=pic2(xx,x165,"green",5)
y=[y1;y2;y3;y4;y5;y6;y7]=zeros(length(K),1) iv4=zeros(length(K),1)j=1:length(K)
iv3(j)=Bisection(S(1)/1000,K(1),r,T(1),y(j,1)/1000)
iv4(j)=metoda(S(1)/1000,K(j),r,T(1),y(j,1)/1000)
[x1,y21]=picture(K,iv4',"green")
[x2,y22]=picture(K,iv3',"red")=y21
z2=y22i=2:length(S)=zeros(length(K),1) iv4=zeros(length(K),1)j=1:length(K)
iv3(j)=Bisection(S(i)/1000,K(j),r,T(i),y(j,i)/1000)
iv4(j)=metoda(S(i)/1000,K(j),r,T(i),y(j,i)/1000)
[x1,y21]=picture(K,iv4',"green")
[x2,y22]=picture(K,iv3',"red")=[z1,y21] z2=[z2,y22]=[135:0.61:165]
T=[38:-1:1]=pic2([1:38],z1(1,:),"red",3)i=2:length(z1(:,1))
ys2=pic2([1:38],z1(i,:),"red",3)
ys=[ys;ys2]= k; y = [1:38]; m = 50; = linspace(80,190,m); = y; [XX,YY] =
ndgrid(xx,yy);= interp2d(XX,YY, x, y, splin2d(x, y, ys,
"monotone"));d(xx, yy, zz3)