Электроснабжение цеха обработки корпусных деталей
ВВЕДЕНИЕ
Системой электроснабжения называют совокупность устройств производства,
передачи и распределения электроэнергии (далее ЭЭ). Системы электроснабжения
промышленных предприятий (далее ПП) создаются для обеспечения питания ЭЭ
промышленных приемников, к которым относятся электродвигатели разных машин и
механизмов, электрические печи, электролизные установки, аппараты и машины для
электрической сварки, осветительные установки и др.
Задача электроснабжения (ЭС) ПП возникла одновременно с широким внедрением
электропривода в качестве движущей силы различных машин и механизмов и
строительством электростанций. Первые электростанции сооружались в городах для
освещения и питания электрического транспорта, а также при фабриках и заводах.
Позднее появилась возможность сооружения электрических станций в местах залежей
топлива (торфа, угля, нефти) или местах использования энергии воды независимо
от мест нахождения потребителей ЭЭ - городов и ПП. Передача ЭЭ на большие
расстояния к центрам потребления стала осуществляться линиями электропередачи
(ЛЭП) высокого напряжения.
В настоящее время большинство потребителей получают ЭЭ от энергосистемы.
В то же время на ряде предприятий продолжается сооружение и собственных
теплоэлектростанций.
Необходимость в производстве ЭЭ на фабрично-заводских электростанциях
обуславливается следующими причинами:
потребность в теплоте для технологических целей и отопления, и
фиктивностью попутного производства при этом ЭЭ;
необходимостью резервного питания для ответственных потребителей (второй
независимый источник питания);
необходимость использования вторичных ресурсов;
большой удаленностью некоторых предприятий от энергосистем.
По мере развития электропотребления усложняются и системы
электроснабжения (СЭС) ПП. В них включаются сети высоких напряжений,
распределительные сети, а в ряде случаев и сети промышленных
теплоэлектростанций. Возникает необходимость внедрять автоматизацию СЭС ПП и
производственных процессов, осуществлять в широких масштабах диспетчеризацию
процессов производства с применением телесигнализации и телеуправления, и вести
активную работу по экономии ЭЭ.
Переход на автоматизированные системы управления может быть успешным
только при наличии средств автоматики и квалифицированных инженеров в области
автоматизированного электроснабжения.
1. КРАТКАЯ
ХАРАКТЕРИСТИКА ПРОИЗВОДСТВА И ПОТРЕБИТЕЛЕЙ ЭЛЕКТРОЭНЕРГИИ
Цех обработки корпусных деталей (ЦОКД) предназначен для механической и
антикоррозийной обработки изделий. Он содержит станочное отделение,
гальванический и сварочный участки. Кроме того, имеются вспомогательные,
бытовые и служебные помещения. Цех получает электроснабжение от ГПП. Расстояние
от ГПП до цеховой ТП - 0,8 км, а от энергосистемы до ГПП - 16 км. Низкое
напряжение на ГПП - 6 и 10 кВ. Количество рабочих смен - 2. Потребители цеха
относятся к 2 и 3 категории надежности ЭСН. Грунт в районе цеха - суглинок при
температуре +5 С. Каркас здания смонтирован из блоков-секций длиной 8 м каждый.
Размеры цеха АхВхН=48х30х8 м.
Все помещения, кроме станочного отделения, двухэтажные высотой 3,6 м.
Перечень оборудования цеха даны в таблице 1.1. Мощность электропотребления (РЭП) указана для
одного электроприемника.
Таблица 1.1 - Перечень ЭО цеха
|
№ на плане
|
Наименование ЭО
|
Кол-во
|
 , кВтПримечание
|
|
|
1-4
|
Сварочные аппараты
|
4
|
60 кВА
|
ПВ=60%
|
|
5-9
|
Гальванические ванны
|
5
|
37,5
|
|
|
10,11
|
Вентиляторы
|
2
|
18
|
|
|
12,13
|
Продольно-фрезерные станки
|
2
|
35
|
|
|
14,15
|
Горизонтально расточные станки
|
2
|
28,5
|
|
|
16,24,25
|
Агрегатно-расточные станки
|
3
|
25
|
|
|
17,18
|
Плоскошлифовальные станки
|
2
|
22
|
|
|
19,23
|
Краны консольные по поворотные
|
2
|
6
|
ПВ=25%
|
|
26
|
Токарно-шлифовальный станок
|
1
|
15,5
|
|
|
27-30
|
Радиально-сверильные станки
|
4
|
16
|
|
|
31,32
|
Алмазно-расточные станки
|
2
|
8
|
|
Распределим потребителей цеха обработки корпусных деталей по РП (таблица
1.3).
Таблица 1.3 - Распределение основного оборудования цеха обработки
корпусных деталей по РП
|
№ РП
|
№ на плане
|
Наименование ЭО
|
Кол-во
|
 , кВтПримечание
|
|
|
РП-1
|
1-4
|
Сварочные аппараты
|
4
|
60 кВА
|
ПВ=60%
|
|
РП-2
|
5-9
|
Гальванические ванны
|
5
|
37,5
|
|
|
10,11
|
Вентиляторы
|
2
|
18
|
|
|
РП-3
|
12,13
|
Продольно-фрезерные станки
|
2
|
35
|
|
|
14,15
|
Горизонтально расточные станки
|
2
|
28,5
|
|
|
16
|
Агрегатно-расточные станки
|
3
|
25
|
|
|
17,18
|
Плоскошлифовальные станки
|
2
|
22
|
|
|
РП-4
|
19
|
Краны консольные по поворотные
|
2
|
6
|
ПВ=25%
|
|
24,25
|
Агрегатно-расточные станки
|
3
|
25
|
|
|
26
|
Токарно-шлифовальный станок
|
1
|
15,5
|
|
|
27
|
Радиально-сверильные станки
|
4
|
16
|
|
|
РП-5
|
28-30
|
Радиально-сверильные станки
|
4
|
16
|
|
|
31,32
|
Алмазно-расточные станки
|
2
|
8
|
|
|
23
|
Краны консольные по поворотные
|
2
|
6
|
ПВ=25%
|
2.
ОПРЕДЕЛЕНИЕ КАТЕГОРИИ НАДЕЖНОСТИ ПОТРЕБИТЕЛЕЙ, ВЫБОР СХЕМ ЭЛЕКТРОСНАБЖЕНИЯ
Распределительные внутрицеховые сети - это сети, к которым
непосредственно подключаются различные ЭП цеха. Распределительные сети
выполняются с помощью распределительных шинопроводов (ШРА) и распределительных
пунктов. По своей структуре схемы внутрицеховых электрических сетей могут быть
радиальными, магистральными и смешанными. Радиальные схемы применяют при
наличии групп сосредоточенных нагрузок с неравномерным распределением их по
площади цеха, во взрыво-и пожароопасных цехах, в цехах с химически активной и
аналогичной средой. Схема внутрицеховой сети определяется технологическим
процессом производства, планировкой помещений цеха, взаимным расположением ТП,
ЭП и вводов питания, расчетной мощностью, требованиями бесперебойности
электроснабжения, технико-экономическими соображениями, условиями окружающей
среды. Внутрицеховые сети делятся на питающие и распределительные. Питающие
отходят от источника питания (ТП) к распределительным пунктам (РП), к
распределительным шинопроводам или отдельным крупным ЭП. Достоинством радиальных
схем является их высокая надежность, т.к. авария на одной линии не влияет на
работу ЭП, подключенных к другой линии. Недостатками радиальных схем являются:
малая экономичность, связанная со значительным расходом проводникового
материала, труб, распределительных пунктов; большое число защитной и
коммутационной аппаратуры.
На рисунке 2.1 показана схема электроснабжения приемников 2 категории по
бесперебойности.
Рисунок 2.1 - Схема внутреннего электроснабжения цеха обработки корпусных
деталей
. РАСЧЕТ
СИЛОВЫХ ЭЛЕКТРИЧЕСКИХ НАГРУЗОК
Дано:
Исходные данные расчета берем из таблиц 1.5.1 , 1.5.2 на странице 24-25
В.П Шеховцова и задания
Расчет выполняем для РП -3
Цех
обработки корпусных деталей: 
м2
Требуется:
Составить
схему электроснабжения цеха
Рассчитать
нагрузки и заполнить сводную ведомость нагрузок
Выбрать
трансформатор питающий
Разбиваем
электрооборудования на РП. Выбираем виды РУ. Составляем схему с учетом
распределения нагрузки. Расчет выполняем методом упорядоченных диаграмм.
Исходные данные для расчета берем для РП 3, остальные заполняем аналогично.
Согласно
распределению нагрузки по РУ заполняется “Сводная ведомость”
В
колонки 1, 2, 3 записываем перечень из задания.
Колонка
4:

=
+
+
+…

=70+57+25+44=196
кВт
Так
как на РП 1 электроприемники одного наименования, итоговых расчетов не
требуется.
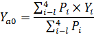
В
колонку 5 записываем средний коэффициент

= 
= 
= 0,17
|
где
|
 -средняя активная нагрузка
|
|
 -суммарная установленная активная мощность
|
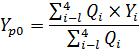
Определяем коэффициент мощности и коэффициент реактивной мощности,
записываем в колонки 6,7
сosц
= 
= 
= 0,65;
tgц = 
= 
= 1,17
Определяем
показатель силовой сборки и записываем в колонку 8
m=
m=
= 1,6
где 
-установленная
максимальная нагрузка

-установленная
минимальная нагрузка
Определяем среднюю активную нагрузку за смену однотипных эл. примеников и
записываем в колонку 9

= 
= 
= 11,9
кВт
где 
-установленная
активная нагрузка

-
коэффициент использования

= 11,9 +
9,6 + 4,2 + 7,4=33,2кВт
Определяем
среднюю реактивную нагрузку за смену и записываем в колонку 10

= 
= 
= 13,4
кВАр
где 
-средняя
активная нагрузка за смену

-коэффициент
реактивной мощности

=13,4
+11,3 + 4,9 + 8,75 = 38,8 кВАр
В
колонку 11 записываем полную мощность за смену

= 
= 51,15
кВА
где 
-средняя
активная нагрузка

-средняя
реактивная нагрузка
В колонку 12 определяем эффективное число электроприемников
при
таком сочетании 
не
определяется, а 
, где 
-
коэффициент загрузки = 0,9 (длительный режим)

= 176,4
кВт
Определяем

,
результат заносим в колонку 13
Принимаем

= 1,1
при 
; 
= 1 при 
,
записываем в колонку 14
В
колонку 15 записываем максимальную нагрузку активной мощности
В
колонку 16 записываем максимальную нагрузку реактивной мощности

= 1,17
196=206,4
кВАр
Определяем
максимальную нагрузку полной мощности и записываем в колонку 17

кВА
где 
-максимальная
нагрузка активной мощности

-максимальная
нагрузка реактивной мощности
В колонку 18 записываем максимальную нагрузку тока
Определяем потери в трансформаторе, результаты заносят в колонки 15, 16,
17
Определяем расчетную мощность трансформатора с учетом потерь, но без
компенсации реактивной мощности
Определяем методом удельной мощности нагрузку осветительной установки
(ОУ)

10-3
= 14,4 кВт
4.
КОМПЕНСАЦИЯ РЕАКТИВНОЙ МОЩНОСТИ
Реактивной мощностью дополнительно нагружаются питающие и
распределительные сети предприятия, соответственно увеличивается общее потребление
электроэнергии. Меры по снижению потребления реактивной мощности: естественная
компенсация без применения специальных компенсирующих устройств (КУ);
искусственная компенсация с применением КУ.
Для искусственной компенсации реактивной мощности применяются специальные
КУ, являющиеся источниками реактивной энергии емкостного характера.
К техническим средствам компенсации реактивной мощности относятся
следующие виды КУ: конденсаторные батареи (КБ), синхронные двигатели,
вентильные статические источники реактивной мощности (ИРМ).
Таблица 5.1 - Исходные данные для расчета
|
Параметр
|
|
|
|
|
|
|
без компенсирующего устройства
|
0,65
|
1,17
|
515,1
|
617,8
|
725
|
Определяется расчетная мощность компенсирующего устройства:
где

-
коэффициент, учитывающий повышение коэффициента мощности естественным способом,
принимается 
= 0,9,
/1/, с. 33;
tgφ и tgφ к- коэффициенты реактивной мощности
до и после компенсации.
Компенсацию реактивной мощности по опыту эксплуатации производят до
получения значения cosφk= 0,92…0,95.
Задавшись cosφk из этого промежутка, определяют tgφ
к.
Принимается cosφk = 0,95, тогда tgφ к = 0,33.
Окончательно выбираем установку по каталогу компании «Матик-Электро»
компенсации реактивной мощности с номинальной мощностью 50 кВар. Устанавливаем
УКМ 58-04-112,5-37,5 У3 с мощностями ступеней регулирования 1х37,5+1х75 кВар.
Определяются
фактические значения 
и 
после
компенсации реактивной мощности:
Определим
расчетную мощность с учетом компенсации и потерь

=73,93
кВА
5. ВЫБОР
НАПРЯЖЕНИЙ
Приёмники электрической энергии современных промышленных предприятий
могут быть подразделены на группы, различающиеся по мощности, режиму работы,
напряжению, роду тока.
Большая часть электроприемников - электродвигатели производственных
механизмов, электрическое освещение, электрические печи, электросварочные
установки - являются, как правило, потребителями трехфазного переменного тока
промышленной частоты - 50 Гц.
Согласно ГОСТ 721-62, номинальные линейные напряжения электрических сетей
в электроустановках до 1000 В должны соответствовать при трехфазном переменном
токе : 220, 380, 660 В
Наибольшее распространение промышленных предприятиях имеют установки
переменного напряжения 380/220 В с глухо- заземленной нейтралью. Выбор данного
напряжения и рода тока обеспечивает возможность использования общих трансформаторов
для питания силовой и осветительной нагрузки, а также снижение потерь
электроэнергии в цеховых сетях - по сравнению с напряжением 220/127 В.
Указанное напряжение следует применять во всех случая, где этому не
препятствуют какие-либо местные условия и если технико-экономическими расчетами
не доказана целесообразность применения более высокого напряжения. Наибольшая
мощность трехфазных электроприемников, питаемых от системы напряжением 380/220
В , не должна превышать величины, допускающей применение контакторов на ток 600
А.
В целях уменьшения опасности поражения электрическим током используют
малое напряжение - номинальное напряжение не более 42 В. Малые напряжение
применяют главным образом для ручных электрических инструментов, переносных
ламп и ламп местного освещения в помещениях, где требуются особые меры
безопасности.
В качестве источников малых напряжений служат обычно понижающие
трансформаторы. Чтобы исключить опасность перехода высшего напряжения на
сторону низшего или на корпус, вторичную обмотку и корпус понижающего
трансформатора заземляют или зануляют.
Исторически в сетях среднего напряжения Советского Союза получили
распространение напряжения 6 и 10 кВ.
Для промышленных предприятий напряжение 6 кВ может оказаться
целесообразным в двух случаях : при питании предприятия от ТЭЦ на генераторном
напряжении 6 кВ и при значительной доле электродвигателей 6 кВ в суммарной
нагрузке предприятия.
В настоящее время принято при новом строительстве сетй электроснабжения
применять напряжение 10 кВ, также осуществлять перевод сетей 6 кВ на напряжение
10 кВ. Основным преимуществом напряжения 10 кВ является более высокая
пропускная способность при практически одинаковой конструкции оборудования.
6. ВЫБОР МЕСТОПОЛОЖЕНИЯ
ЦЕНТРА ЭЛЕКТРИЧЕСКИХ НАГРУЗОК ЦЕХА
Нанесем
на план цеха центры электрических нагрузок каждого РП, масштаб плана 
Определим
радиусы кругов активных и реактивных нагрузок, исходя из масштаба плана.
Определим
масштаб активных 
нагрузок,
исходя из масштаба плана. Принимаем для наименьшей нагрузки (РП-4) радиус 
, тогда
Принимается


Определим
радиус наибольшей для наибольшей нагрузки при принятом масштабе
Остальные
РП определяем аналогически.
По
аналогичной формуле определим радиусы кругов для реактивных нагрузок
Результаты
занесем в сводную ведомость нагрузок РП (таблица 6.1)
Таблица
6.1 - Сводная ведомость нагрузок РП
|
Параметр
|
Номер РП
|
|
РП1
|
РП2
|
РП3
|
РП4
|
РП5
|
|
P, кВт
|
48
|
201,1
|
176,4
|
20,2
|
63
|
|
Rа, м
|
1,5
|
3,1
|
2,9
|
1
|
1,7
|
|
Q, кВар
|
62,4
|
150,8
|
206,4
|
28,4
|
75,6
|
|
Rр, м
|
2,1
|
5,3
|
7,2
|
1
|
2,6
|
Таблица 6.2 - Координаты РП
|
Параметр
|
Номер РП
|
|
РП1
|
РП2
|
РП3
|
РП4
|
РП5
|
|
Х,м
|
11
|
38,0
|
28,0
|
1,0
|
13
|
|
Y, м
|
29
|
25
|
10
|
10
|
10
|
Определим условные ЦЭН активной и реактивной:
;
;
;
.
Центры
активных и реактивных нагрузок показаны на рисунке 6.1.
Рисунок
6.1 - Картограмма нагрузок
7. ВЫБОР
ТРАНСФОРМАТОРОВ
Число и мощность трансформаторов выбирают с учетом перегрузочной
способности. Для этого по суточному графику выбирают продолжительность
максимальной нагрузки и рассчитывают коэффициент заполнения графика.
При проектировании санитарно-эпидемиологических станций (СЭС) установка
однотрансформаторных подстанций рекомендуется при полном резервировании ЭП 1 и
2 категорий по сетям низкого напряжения и для питания ЭП 3 категории, когда по
условиям подъездных дорог, а также по мощности и массе возможна замена
поврежденного трансформатора в течении не более одних суток и при наличии
централизованного резерва. Правильный выбор числа и мощности трансформаторов на
подстанциях промышленных предприятий является одним из основных вопросов
рационального построения системы электроснабжения. В нормальных условиях
силовые трансформаторы должны обеспечивать питание всех ЭП предприятия. Как
правило, трансформаторов на подстанциях должно быть не более двух.
Двухтрансформаторные подстанции применяются при значительном числе
потребителей 1 и 2 категорий, при сосредоточенных нагрузках на данном участке с
высокой удельной плотностью, а также если имеются ЭП особой группы. На крупных
трансформаторных подстанциях число трансформаторов не более двух.
Принимаем к установке один трансформатор.
Определим приближенно потери в трансформаторе
где
- мощность нагрузки цеха из табл. 3.4.
Результирующая
мощность на стороне высокого напряжения (ВН)
Определим
расчетную мощность трансформатора с учетом потерь, но без компенсации
реактивной мощности:
Выбираем
трансформатор с номинальной мощностью 400 кВА и сведем его параметры в таблицу
4.1
Таблица
4.1 - Технические данные трансформатора ТСЗ-400/10
|
Тип
|
Номинальная мощность Sном.Т, кВА
|
Номинальное высшее напряжение UВН, кВ
|
Номинальное низшее напряжение UНН, кВ
|
Потери ХХ ДРхх, кВт
|
Напряжение КЗ uк, %
|
Ток ХХ Iх,
%
|
|
ТСЗ
|
400
|
10
|
0,4
|
4,7
|
1,15
|
4
|
1,4
|
Определим потери активной мощности в трансформаторе
где

- потери
в стали, равны паспортным потерям ХХ, кВт;

- потери
в обмотках, равны паспортным потерям КЗ, кВт;
Определим
потери реактивной мощности в трансформаторе
где

- потери
реактивной мощности на намагничивание, кВар;
где

- потери
реактивной мощности рассеяния в трансформаторе при номинальной нагрузке, кВар;
где

- ток
холостого хода трансформатора, %;

-
напряжение короткого замыкания,%;

-
номинальная мощность трансформатора, кВА;
8. ВЫБОР
СЕЧЕНИЯ ПИТАЮЩИХ ЛИНИЙ
По назначению электрические сети делятся на питающие и распределительные.
Питающей сетью называют линии, идущие от вводно-распределительного
устройства до силовых распределительных пунктов.
Распределительные сети - это линии, идущие от распределительных пунктов
до силовых электроприемников в силовой сети и от групповых щитков освещения до
светильников в осветительной сети.
В качестве питающих линий принимаем кабели с алюминиевыми жилами типа
АВВГ.
В качестве распределительных линий принимаем провода типа АПВ,
четырехжильные (для трехфазных ЭП), двухжильные (для однофазных ЭП).Условие
выбора кабеля по нагреву:
где 
-
длительно допустимый ток кабеля или провода

-
расчетный ток группы электроприемников или одного электроприемника
Для трехфазных электроприемников с двигательной нагрузкой
где 
-
номинальная мощность, кВТ

-
номинальное напряжение, кВ
n- КПД
Для электроприемников с не двигательной нагрузкой
Для
однофазных электроприемников
После
расчета необходимых токов по справочнику выбираем кабели необходимого сечения.
Расчет сечения для остальных групп электроприемников аналогичен, результаты
расчета сведены в таблицу 7.1.
Таблица
7.1 - Сводная ведомость питающих и распределительных линий
|
№ потребителя
|
Расчетный ток РПЭП, А
|
Допустимый ток кабеля, А
|
Сечение, мм2
|
|
РП1
|
121,1
|
101
|
АВВГ 4х35
|
|
РП2
|
386,7
|
380
|
2хАВВГ 4х95
|
|
РП3
|
417,7
|
380
|
2хАВВГ 4х95
|
|
РП-4
|
53,5
|
310
|
2хАВВГ 4х70
|
|
РП-5
|
151,4
|
380
|
2хАВВГ 4х95
|
|
Сварочные аппараты №1-4
|
121,1
|
32
|
АПВ 4х6
|
|
Гальванические ванны №5-9
|
62,33
|
80
|
АПВ 4х25
|
|
Вентиляторы №10,11
|
23,98
|
32
|
АПВ 4х6
|
|
Продольно-фрезерные станки №12,13
|
66,388
|
80
|
АПВ 4х25
|
|
Горизонтально расточные станки №14,15
|
47,164
|
80
|
АПВ 4х25
|
|
Агрегатно-расточные станки №16,24,25
|
72,08
|
80
|
АПВ 4х25
|
|
Плоскошлифовальные станки №17,18
|
30,4
|
40
|
АПВ 4х8
|
|
Краны консольные по поворотные №19-23
|
4,933
|
19
|
АПВ 4х2,5
|
|
Токарно-шлифовальный станок №26
|
30,4
|
40
|
АПВ 4х8
|
|
Радиально-сверильные станки №27-30
|
66,388
|
80
|
АПВ 4х25
|
|
Алмазно-расточные станки №31,32
|
12,826
|
19
|
АПВ 4х2,5
|
ПРОВЕРКА ПО
ПОТЕРЕ НАПРЯЖЕНИЯ
Выбранные по длительно допустимому току сечения проводников внутрицеховых
электрических сетей должны быть проверены на потерю напряжения. Нормированных
значений потери напряжения нет, однако согласно ГОСТ 13109 - 87 в электрических
сетях до 1кВ в нормальном режиме допускается отклонение напряжения от
номинального в пределах от -5 до +5%
Потери напряжения в трехфазной линии переменного тока определяются по
формуле:
где 
-
расчетный ток линии, А
L- длина линии,
км

-
активное и индуктивное сопротивление 1м проводника (таблица 1.9.5, с. 62 В.П.
Шеховцов).
Расчеты сведем в таблицу 7.2
Таблица 7.2 - Расчет сетей по потерям напряжения
|
№ линии
|
Наименование ЭП
|
Pном, кВт
|
Iр, А
|
S,мм
|
L, км
|
r0, мОм/м
|
х0, мОм/м
|
U%
|
|
1
|
2
|
3
|
4
|
5
|
6
|
7
|
8
|
9
|
|
РП-1
|
Распределительный пункт-1
|
-
|
119,7
|
35
|
0,008
|
0,894
|
0,088
|
-
|
|
РП-2
|
Распределительный пункт-2
|
-
|
392
|
2х95
|
0,035
|
0,329/2
|
0,081/2
|
-
|
|
РП-3
|
Распределительный пункт-3
|
-
|
452,3
|
2х95
|
0,04
|
0,329/2
|
0,081/2
|
-
|
|
РП-4
|
Распределительный пункт-4
|
-
|
30
|
2х70
|
0,025
|
0,447/2
|
0,082/2
|
-
|
|
РП-5
|
Распределительный пункт-5
|
-
|
161,5
|
2х95
|
0,04
|
0,329/2
|
0,081/2
|
-
|
|
1
|
Сварочные аппараты
|
60кВа
|
29,4
|
6
|
0,006
|
5,21
|
0,1
|
0,32
|
|
2
|
Сварочные аппараты
|
60кВа
|
29,4
|
6
|
0,005
|
5,21
|
0,1
|
0,30
|
|
3
|
Сварочные аппараты
|
60кВа
|
29,4
|
6
|
0,008
|
5,21
|
0,1
|
0,37
|
|
4
|
Сварочные аппараты
|
60кВа
|
29,4
|
6
|
0,01
|
5,21
|
0,1
|
0,26
|
|
5
|
Гальванические ванны
|
37,5
|
62,3
|
25
|
0,006
|
1,25
|
0,091
|
0,86
|
|
6
|
Гальванические ванны
|
37,5
|
62,3
|
25
|
0,004
|
1,25
|
0,091
|
0,80
|
|
7
|
Гальванические ванны
|
37,5
|
62,3
|
25
|
0,004
|
1,25
|
0,091
|
0,80
|
|
8
|
Гальванические ванны
|
37,5
|
62,3
|
25
|
0,006
|
1,25
|
0,091
|
0,86
|
|
9
|
Гальванические ванны
|
37,5
|
62,3
|
25
|
0,008
|
1,25
|
0,091
|
0,92
|
|
10
|
Вентиляторы
|
18
|
23,4
|
6
|
0,006
|
5,21
|
0,1
|
0,99
|
|
11
|
Вентиляторы
|
18
|
23,4
|
6
|
0,01
|
5,21
|
0,1
|
1,19
|
|
12
|
Продольно-фрезерные станки
|
35
|
66,4
|
25
|
0,008
|
1,25
|
0,091
|
0,88
|
|
13
|
Продольно-фрезерные станки
|
35
|
66,4
|
25
|
0,01
|
1,25
|
0,091
|
0,95
|
|
14
|
Горизонтально расточные станки
|
28,5
|
46,4
|
25
|
0,015
|
1,25
|
0,091
|
0,97
|
|
15
|
Горизонтально расточные станки
|
28,5
|
46,4
|
25
|
0,02
|
1,25
|
0,091
|
1,09
|
|
16
|
Агрегатно-расточные станки
|
25
|
72,1
|
25
|
0,006
|
1,25
|
0,091
|
1,08
|
|
17
|
Плоскошлифовальные станки
|
22
|
30,4
|
8
|
0,01
|
3,12
|
0,099
|
1,25
|
|
18
|
Плоскошлифовальные станки
|
22
|
30,4
|
8
|
0,016
|
3,12
|
0,099
|
0,85
|
|
19
|
Краны консольные поворотные
|
6
|
4,8
|
0,01
|
12,5
|
0,116
|
0,37
|
|
20
|
Краны консольные поворотные
|
6
|
4,8
|
2,5
|
0,016
|
12,5
|
0,116
|
0,52
|
|
21
|
Краны консольные поворотные
|
6
|
4,8
|
2,5
|
0,008
|
12,5
|
0,116
|
0,42
|
|
22
|
Краны консольные поворотные
|
6
|
4,8
|
2,5
|
0,006
|
12,5
|
0,116
|
0,37
|
|
23
|
Краны консольные поворотные
|
6
|
4,8
|
2,5
|
0,016
|
12,5
|
0,116
|
0,62
|
|
24
|
Агрегатно-расточные станки
|
25
|
72,1
|
25
|
0,008
|
1,25
|
0,091
|
0,43
|
|
25
|
Агрегатно-расточные станки
|
25
|
72,1
|
25
|
0,012
|
1,25
|
0,091
|
0,58
|
|
26
|
Токарно-шлифовальный станок
|
15,5
|
29,7
|
8
|
0,016
|
3,12
|
0,099
|
0,74
|
|
27
|
Радиально-сверильные станки
|
16
|
66,4
|
25
|
0,022
|
1,25
|
0,091
|
0,90
|
|
28
|
Радиально-сверильные станки
|
16
|
66,4
|
25
|
0,03
|
1,25
|
0,091
|
1,18
|
|
29
|
Радиально-сверильные станки
|
16
|
66,4
|
25
|
0,008
|
1,25
|
0,091
|
0,50
|
|
30
|
Радиально-сверильные станки
|
16
|
66,4
|
25
|
0,012
|
1,25
|
0,091
|
0,64
|
|
31
|
Алмазно-расточные станки
|
8
|
12,5
|
2,5
|
0,016
|
12,5
|
0,116
|
1,25
|
|
32
|
Алмазно-расточные станки
|
8
|
12,5
|
2,5
|
0,02
|
12,5
|
0,116
|
1,51
|
. ВЫБОР
ЭЛЕКТРИЧЕСКОГО ОБОРУДОВАНИЯ
Для выборов аппаратов защиты нужно знать ток в линии, место установки и
тип автомата.
Ток в линии определяется по формуле:
где 
=0,4 кВ

-полная
мощность трансформатора
Линия и РП ток определяется по следующей формуле
где 
=0,38 кВ
Линия к одиночному электродвигателю переменного тока
где 
=380 В
Ток для двигателя работающего в повторно-кратковременном режиме
определяется по формуле
Автоматы выбираются по следующим условиям:
Для линии с одним электродвигателем
Для двигателя с несколькими электродвигателями
где 
-
номинальный ток автомата

-
номинальный ток расцепителя, берется по справочнику, вычисляется по формуле

-
длительный ток времени

-
максимальный ток линии, берется из сводной ведомости нагрузок
Для линии без электродвигателей
Для линии с одним электродвигателем
Для линии с несколькими электродвигателями
где 
-
кратность отсечки

- ток
отсечки

-
пусковой ток

- пиковый
ток

-
наибольший пусковой ток двигателя

-
наименьший пусковой ток двигателя
где 
-
кратность пускового тока. Принимается Kп=6,5-7,5 - для АД

-
номинальный ток, А;
где

-
пусковой ток наибольшего по мощности ЭД, А;

-
номинальный ток наибольшего в группе АД, А;

-
максимальный ток на группу.
Выберем
автомат для защиты РП-3.
Выбираем
автоматический выключатель с 
Пиковый
ток для РП-3
Принимаем

Согласование
расцепителя с защищаемым проводником
где

-
допустимый ток проводника, А;
Для
РП-3 выбран кабель 2хАВВГ 4х95 с 

,
следовательно расцепитель автомата согласуется с защищаемым проводником.
Окончательно
выбираем автоматический выключатель ВА-51-37 с характеристиками:

В

А

А

10

кА
Для
остальных РП и электроприемников расчет проводится аналогично по приведенным
выше формулам. Выбранные аппараты защиты сведены в таблицу 8.1.
Таблица
8.1 - Выбор аппаратов защиты
|
№ п/п
|
Наименование ЭП
|
Iном.р,А
|
Iном.а,А
|
Io
|
Iоткл, кА
|
Тип
|
|
1
|
Вводной выключатель низкого напряжение трансформатора
|
630
|
630
|
10
|
35
|
ВА51-39
|
|
2
|
РП 1
|
80
|
100
|
3
|
7
|
ВА51-31
|
|
3
|
РП 2
|
320
|
400
|
10
|
25
|
ВА51-37
|
|
4
|
РП 3
|
200
|
250
|
12
|
15
|
ВА51-35
|
|
5
|
РП 4
|
320
|
400
|
10
|
25
|
ВА51-37
|
|
6
|
ЭП №1-4
|
31,5
|
100
|
6
|
3
|
ВА51-31
|
|
7
|
ЭП №5-9
|
63
|
100
|
3
|
6
|
ВА51-31
|
|
8
|
ЭП №10,11
|
31,5
|
100
|
10
|
6
|
ВА51-31
|
|
9
|
ЭП №12,13
|
80
|
100
|
10
|
7
|
ВА51-31
|
|
10
|
ЭП №14,15
|
63
|
100
|
10
|
6
|
ВА51-31
|
|
11
|
ЭП №16,24,25
|
80
|
100
|
10
|
7
|
ВА51-31
|
|
12
|
ЭП №17,18
|
40
|
100
|
10
|
6
|
ВА51-31
|
|
13
|
ЭП №19-23
|
6,3
|
25
|
10
|
2
|
ВА51-25
|
|
14
|
ЭП №26
|
40
|
100
|
10
|
6
|
ВА51-31
|
|
15
|
ЭП № ЭП №27-30
|
80
|
100
|
10
|
7
|
ВА51-31
|
|
16
|
ЭП №31,32
|
16
|
25
|
10
|
3,8
|
ВА51-25
|
Линии высокого напряжения подвержены повреждениям в большей степени, чем
все остальное электрооборудование промышленных предприятий. На воздушных и
кабельных линиях возможны многофазные и однофазные короткие замыкания,
замыкания на землю, обрыв проводов и т.п.
В данном случае выбор для защиты линии условно высокого напряжения
применяем выключатель внутренней установки типа ВПМ-10-20/1000 У3.
Таблица 8.2 - Выбор высоковольтного оборудования
10. РАСЧЕТ
ТОКОВ КЗ
Расчет произведем для РП-3 электроприемника №7.
Для расчета строится расчетная схема
Рисунок 9.1 - Расчетная схема
По расчетной схеме строится схема замещения
Рисунок 9.2 - Схема замещения
-
переходное сопротивление на ступени распределения (/1/, таблица 1.9.4, )
Определяем
сопротивление элементов
1. Определяем полное сопротивление трансформатора:
где

-
напряжение короткого замыкания, с. 22;

-
номинальная мощность трансформатора, с. 22.

-
номинальное напряжение на низкой стороне.
Определяем активное сопротивление трансформатора:
где

- потери
короткого замыкания, с. 24.
Определим реактивное сопротивление трансформатора:
Определим сопротивление рубильников, автоматов и кабельных линий:
Автомат
А1 (ВА51-39 с 
) по
таблице 1.9.3 /1/:

Переходное сопротивление на ступени распределения по таблице 1.9.4 /1/:
Автомат
А2 (ВА51-37 с
) по таблице 1.9.3 /1/:

Кабельная линия КЛ-1 (2хАВВГ 4х95)
Определяем удельные сопротивления по таблице 1.9.5 /1/, с. 62.:
мОм/м;

Переходное сопротивление на ступени распределения
Автомат
А3 (ВА51-31 с 
) по
таблице 1.9.3 /1/:

Кабельная линия КЛ-2 (АПВ 4х25) 4 метров
мОм/м
;

Определяем эквивалентные сопротивления на участках
До точки К-1:
До точки К-2:
До точки К-3
Определяем токи КЗ в точках КЗ
х - фазный:
Ударный коэффициент
где

-
ударный коэффициент, который определяется по графику 
1.9.1, с
. 59
q
- коэффициент действующего значения ударного тока
;
Ударный
ток
Действующего
значения ударного тока
Двухфазные
токи КЗ
Вычислим
однофазные токи КЗ
Составим
схему замещения (рисунок 9.3).
Рисунок
9.3 - Схем замещения петли «фаза-ноль»
Определим
сопротивления петли «фаза-ноль»
При
расчете 1-фазных токов КЗ значение удельных индуктивных сопротивлений для КЛ до
1 кВ принимается
;
удельных активных сопротивлений 
КЛ-1:
КЛ-2:
Определим полные сопротивления участков для точек КЗ
Однофазный ток Кз определяется по формуле
где

- фазное
напряжение в точке КЗ, кВ;

- полное
сопротивление петли»фаза-ноль» до точки КЗ, Ом;

- полное
сопротивление трансформатора однофазному КЗ, Ом. Для трансформатора мощностью
400 кВА 
Занесем
вычисленные токи КЗ в сводную ведомость (таблица.9.1)
Таблица
9.1 - Сводная ведомость токов КЗ
|
Точка КЗ
|
RK
|
ХK
|
ZK
|
RK/ ХK
|
Ку
|
q
|
I(3) К
|
iуд
|
I(3) ∞
|
I(2) К
|
ZП
|
I(1) К
|
|
мОм
|
мОм
|
мОм
|
о.е.
|
о.е.
|
о.е.
|
кА
|
кА
|
кА
|
кА
|
мОм
|
кА
|
|
К1
|
25,07
|
15,42
|
29,432
|
1,62
|
1
|
1
|
7,85
|
10,62
|
7,85
|
6,8
|
20
|
2,71
|
|
К2
|
56,57
|
17,01
|
59,07
|
3,32
|
1
|
1
|
3,71
|
5,25
|
3,71
|
3,21
|
57,45
|
1,88
|
|
К3
|
63,62
|
18,65
|
66,30
|
3,41
|
1
|
1
|
3,31
|
4,68
|
3,31
|
2,86
|
67,47
|
1,73
|
Расчеты токов КЗ для остальных электроприемников проводятся аналогично
11. ВЫБОР И
РАСЧЕТ ЗАЩИТЫ
Линия ЭСН цехового трансформатора ТСЗ-250/10/04, имеет на ВН силовой
выключатель с пружинным приводом ВПМ-10-20/1000 У3.
. Составим схему РЗ. Так как требуется РЗ от токов и перегрузки,
то принимается ТО (участок сразу после Q доточкиК1) и МТЗ (далее до Т) на ВН. Так как выключатель
силовой имеет пружинный привод, к установке принимаем реле прямого действия
типа РТМ и РТВ. Для защиты от междуфазных КЗ принимается схема соединения ТТ и
вторичной нагрузки (реле) -на разность токов двух фаз. Так как сеть с BY на ВН, то замыкание одной фазы на
землю контролирует УКИ с включением сигнализации при нарушении. На НН сеть с
глухозаземленной нейтралью, 4-проводная, поэтому все виды защит обеспечивает
автомат А1. Так как трансформатор с сухой изоляцией, то газовая защита не
устанавливается.
. Выберем токовые трансформаторы.
Определим ток в линии
Так как в линии нет электродвигателей, то отстройка от пусковых токов не
требуется.
Принимаем
к установке HP трансформаторы тока типа ТЛ-10 с первичным током
=50 А и вторичным током
=5 А в
количестве 2 штук по таблице 1.12.1.
Определим
коэффициент трансформации
3. Выбираем реле ТО типа РТМ.
Определим ток срабатывания реле
где

-
коэффициент надежности отстройки, учитывающий погрешности реле и ТТ (таблица
1.12.3)принимается равным 1,8;

- коэффициент
схемы включения реле, принимается равным 1,73.
По
таблице 1.12.2 выберем реле РТМ-IV, 
Определим

и
надежность срабатывания ТО при наименьшем (2-фазном) токе КЗ вначале линии:
Где


Условие
надежности 
выполнено,
следовательно, ТО срабатывается надежно.
4. Выбираем реле МТЗ типа РТВ.
Определим ток срабатывания реле
где

-коэффицинт
самозапускаЭД, принимается равным 1;

-коэффициент
надежности отстройки, учитывающий погрешности реле и ТТ (таблица
1.12.3)принимается равным 1,25;

-
коэффициент схемы включения реле, принимается равным 1,73;

-коэффициент
возврата реле;

-
наибольший ток нагрузки защищаемого участка, А.
По
таблице 1.12.2 /1/ выбираем РТВ-I, 
=7,5 А.
Определим

и
надежность срабатывания МТЗ на остальном участке при 
(в конце
линии):
Условие
надежности выполнено
Релейная
защита цехового трансформатора состоит из
хТЛ-10,
I1=50 А, I2=5 А;
РТМ-IV, Iср=125 А;
РТВ-I, Iср=7,5 А.
12. ПРОВЕРКА
ЭЛЕМЕНТОВ СХЕМЫ ПО ТОКАМ КЗ
. Аппараты защиты проверяют:
) На надежность срабатывания, согласно условию

(для
автоматов с комбинированным расцепителем)
где

-
1-фазный ток КЗ, кА;

-
номинальный ток расцепителя автомата, А%
2) На отключающую способность
) На отстройку от пусковых токов, согласно условию

(для
электродвигателя);

(для
группы ЭД),
2. Кабели (провода) проверяют на термическую устойчивость, согласно
условию
где

-
фактическое сечение кабельной линии, мм2;

-
термически стойкое сечении кабельной линии, мм2
Минимальное
термическое стойкое сечение определяется по формуле
где

-
термический коэффициент, для алюминия
;

-
3-фазный ток КЗ в установившимся режиме, кА;

-
приведенное время действия тока КЗ. С
Проверим
защитные аппараты и проводники РП-3.
1. Согласно условиям по токам КЗ А1, А2, А3 проверяются:
· На надежность срабатывания:
А1
(ВА51-39): 
2,71>3∙0,63
кА;
А2
(ВА51-37): 
;
1,88>3∙0,32 кА;
А3
(ВА51-31): 
;
1,73>3∙0,063 кА.
Надежность
срабатывания автоматов обеспечена;
· На отключающую способность:
А1:

; 
;
А2:

; 
;
А3:

; 
.
Автомат при КЗ отключается не разрушаясь;
· На отстройку
от пусковых токов. Учтено при выборе К0 для 
каждого
автомата
2. Согласно условиям проводники проверяются:
· На термическую стойкость:
КЛ-1:

;
2х(4х95)>25,81 мм2,

КЛ2:

;
4х25>5,15 мм2,
По
термической стойкости кабели удовлетворяют.
Проверка
остальных элементов электрической схемы выполняется аналогично.
13. РАСЧЕТ
ЗАЗЕМЛЕНИЯ
Рассчитать заземляющее устройство в электроустановках с изолированной
нейтралью - это значит :
определить расчетный ток замыкания на землю;
определить расчетное сопротивление грунта;
выбрать количество вертикальных электродов.
Заземляющее устройство состоит из заземлителя и заземляющих проводников.
В качестве заземлителей используются в первую очередь естественные заземлители:
проложенные в земле стальные водопроводные трубы, стальная броня и свинцовые
оболочки силовых кабелей. Если естественных заземлителей недостаточно,
применяют искусственные заземлители: заглубленные в землю вертикальные
электроды из труб, уголков или прутковой стали и горизонтально проложенные в
земле на глубине не менее 0,7м полосы. Рекомендуется использовать прутковые заземлители
- стержни диаметром 12...16 мм и длиной 5 м, которые обеспечивают малое
сопротивление растеканию тока.
При использовании естественных заземлений:
где RИ - сопротивление искусственных
заземлителей, Ом;
RЕ
- сопротивление
естественных заземлителей, Ом.
где r - удельное
сопротивление грунта, r
= 100 Ом·м;
S -
площадь, ограниченная зданием, м2.
В любое время года согласно ПУЭ:
Расчетный ток замыкания на землю определяется приближенно:
где UН - номинальное напряжение сети, кВ;
LКЛ
- длина
кабельных линий, км;
В электроустановках с изолированной нейтралью напряжением до 1 кВ:
При
совмещении заземляющих устройств различных напряжений принимается 
наименьшее
из требуемых значений (/1/, таблица 1.13.1, с. 90).
Выбор
типа заземляющих электродов приводится в (/1/, таблица 1.13.4, с. 90).
Приближенно
сопротивление одиночного вертикального заземления:
Сопротивление горизонтального электрода (полосы):
где LП - длина полосы, м
b -
ширина полосы, м
t -
глубина заложения, м
Определение сопротивлений с учетом коэффициента использования:
где RВ и RГ - сопротивление вертикального и горизонтального электродов
с учетом КИ, Ом;
ηВ и ηГ - коэффициенты использования
вертикального и горизонтального электродов.
Необходимое сопротивление вертикальных заземлителей с учетом
горизонтального заземлителя:
Необходимое число вертикальных заземлителей определяется следующим
образом:
при использовании естественных и искусственных заземлителей:
при использовании только искусственных заземлителей:
Необходимое число вертикальных заземлителей:
где ηВ.ут - уточненное значение коэффициента использования вертикальных
заземлителей.
Произведем расчеты заземляющих устройств при LКЛ - 0.8км ; грунт r = 100 Ом м (суглинок); площадь цеха
- A х B = 48 х 30; t = 0,7 м; примем к установке заземляющее устройство
типа К; климатическая зона - III; размер
искусственных заземлителей: В - труба стальная S = 16 мм2; L = 5м; Г- труба стальная S = 16 мм2.
1) Определяем расчетное сопротивление 1-го вертикального электрода:
По
таблице 1.13.2 
(верт.,3)=1,5.
2) Определяем расчетное сопротивление совмещенных заземляющих
устройств подстанций
3)
По
таблице 1.13.1 /1/ для 
выбираем

Для
сети низкого напряжения, но допустимой при данном грунте определяется:
Следовательно
для расчета принимаем:
3) Определяется количество вертикальных электродов без экранирования
С учетом экранирования:

(типа
заземляющее устройство (ЗУ), вида заземления,
, 
)=
f(контурное,
вертикальный, 
, 
) по таблице
1.13.5 /1/.
4)