Расчет системы электроснабжения ремонтно-механического цеха станкостроительного завода
ВВЕДЕНИЕ
Электроснабжение является
одной из составных частей обеспечения народного хозяйства страны. Без
электроснабжения в настоящее время не обходится ни одна промышленность, город и
т.д. Одной из задач электроснабжения является обеспечение электроэнергией
какого-либо объекта для нормальной работы и жизнедеятельности Основными
потребителями электрической энергии являются промышленные предприятия. Они
расходуют более половины всей энергии, вырабатывающейся в нашей стране.
Система распределения
столь большого количества электроэнергии на промышленных предприятиях должна
обладать высокими техническими и экономическими показателями и базироваться на
новейших достижениях современной техники. Поэтому электроснабжение промышленных
предприятиях должно основываться на использовании современного
конкурентоспособного электротехнического оборудования, надежных экономичных
аппаратах, прогрессивных конструкциях схем питания, широком применении
автоматизации.
Развитие и усложнение
структуры систем электроснабжения, возрастающие требования к экономичности и
надежности их работы в сочетании с изменяющейся структурой и характером
потребителей электроэнергии, широкое внедрение устройств управления
распределением электроэнергии на базе современной вычислительной техники ставят
проблему подготовки высококвалифицированных инженеров.
Важнейшим этапом в
развитии творческой деятельности будущих специалистов является курсовое и
дипломное проектирование, в ходе которого развивают навыки самостоятельного
решения инженерных задач практического применения теоретических знаний.
Основной задачей в
электроснабжении является автоматизация с целью обеспечения бесперебойной
работы предприятия. Автоматизация позволяет перевести большинство подстанций на
работу без постоянного дежурного персонала, что уменьшает эксплуатационные
расходы и способствует сокращению числа аварий по вине персонала.
На дипломный проект был
рассмотрен станкостроительный завод, в частности был произведен полный расчет
системы электроснабжения ремонтно-механического цеха.
1. ОБЩАЯ ЧАСТЬ
1.1 Описание
электрического оборудования и технологического процесса цеха и завода в целом
Завод предлагает
лесопильные рамы, прирезные многопильные станки, оборудование для переработки
древесных отходов, станки для подготовки и заточки дереворежущего инструмента,
запасные части для нужд деревообрабатывающих предприятий, многофункциональные
бытовые станки.
Авто гараж и пожарное
депо предназначены для остановки, стоянки автомобилей тем самым они служат для
транспортировки готовых изделий.
Завода управление и ЦЗЛ
предназначен для управлением всего завода. ЦЗЛ служит для проведения испытания
производимого оборудования.
Столовое помещение
предназначено для питание всех рабочих станка строительного завода.
Главный корпус это тот
корпус, в котором осуществляется весь процесс изготовления станков.
Компрессорная служит для
нагнетания воздуха.
Эстакада к главному
корпусу служит как переход из склада формовочных изделий в главный корпус.
Склад формовочных изделий
служит для хранения формовочных материалов.
Склад предназначен для
хранения изделий.
Склад готовых изделий
служит для хранения готовых изделий.
Главный магазин
находящийся на территории завода предназначенный для продаж выпускаемой
продукции.
Ремонтно-механический цех
предназначен для ремонта и проверки механических характеристик производимой
продукции.
Лесосушилка служит для
сушки леса.
Навес для склада
модельных комплектов служит для создания защиты от атмосферных осадков.
Склад комплектов моделей
предназначен для хранения моделей.
Пристройка к складу
комплектов моделей служит для увеличения площади склада.
Станция осветления воды
предназначен для очистки воды.
Модельный цех служит для
моделирование изделий.
Насосная предназначена
для перекачки воды.
Железнодорожная контора
предназначена для распределения и отправки в указанное место поезда.
Ремонтно-строительных цех
предназначен для сборки изделий.
Электрооборудование
ремонтно-механического цеха
Вентиляторы -
предназначены для вентиляции производственных помещений, отсасывания газов,
подачи воздуха или газа в камеры электропечей, в котельных и других установках.
Токарные автоматы
предназначены для обработки каждой последующей заготовки на которых после их
наладки не требует вмешательства оператора. Токарные автоматы используют в
массовом и крупносерийном производстве для многоинструментной обработки
заготовок
Сверлильные станки
предназначены для обработки отверстий сверлами, зенкерами, развертками, раскатниками
и осевыми комбинированными инструментами. Эти станки также используют при
нарезании внутренних резьб, при получении конических и цилиндрических
углублений.
На расточных станках
обрабатывают в основном базовые и корпусные детали, от точности обработки
которых зависит качество механизмов и машин. В основном на расточных станках
обрабатывают отверстия, точно координированные относительно друг к другу и
расположенные в одной или нескольких плоскостях.
Токарные станки
являются наиболее многочисленной группой металлорежущих станков, с их помощью
получают разнообразные профили на наружных, внутренних и торцовых поверхностях
вращающихся заготовок. На этих станках обрабатывают плоские, цилиндрические,
конические, резьбовые, фасонные поверхности, при чем в качестве режущих
инструментов используют не только резцы, но и осевые инструменты: сверла,
зенкеры, развертки, цековки и т.п.
В зависимости от
условий производства и для обработки заготовок различного вида могут
использоваться различные фрезерные станки. Они могут быть подразделены на
станки общего назначения и специальные. К станкам общего назначения относятся
консольно-фрезерные (вертикально-фрезерные, горизонтально-фрезерные,
универсальные и широкоуниверсальные станки); бесконсольно-фрезерные станки (с неподвижной
или поворотной шпиндельной головкой, с круглым столом, с копировальным
устройством); продольно-фрезерные (одностоечные горизонтальные и вертикальные);
двухстоечные с двумя или боле шпинделями; карусельно-фрезерные (с одним или
боле шпинделем). К специальным станкам относятся копировально-фрезерные, шлице-
и шпоночно-фрезерные, барабанно-фрезерные станки.
Плоскошлифовальные
станки. Станки этого типа весьма распространены и предназначены для шлифования
плоских поверхностей периферией шлифовального круга. В небольших пределах по
высоте, допускаемых кожухом шпинделя, возможно шлифовально-вертикальных
поверхностей.
Круглошлифовальные
станки выпускают повышенной, высокой и особо высокой точности (соответственно
класса П, В, А). Для станков соответствующих классов точности регламентированы
допуски на размеры шлифуемых заготовок и шероховатость их поверхности.
Направление главного
движения резания у строгальных станков горизонтальное. Строгальные станки
применяют как в единичном так и в серийном производстве для обработки
поверхности с прямолинейной образующей.
1.2 Классификация
помещений по взрыво-, пожаро- и электро- безопасности
Таблица 1 –
Характеристика помещений
|
Наименование
|
ВБ
|
ПБ
|
ЭБ
|
|
Авто гараж и пожарное
депо
|
ВО
|
ПБ
|
ЭБ
|
|
Завода управление и ЦЗЛ
|
ВО
|
ПО
|
ПО
|
|
Столовая
|
ВБ
|
ПБ
|
ЭБ
|
|
Главный корпус
|
ВБ
|
ПБ
|
ЭБ
|
|
Компрессорная
|
ВО
|
ПО
|
ЭО
|
|
Эстакада к главному
корпусу
|
ВБ
|
ПБ
|
ЭБ
|
|
Склад формовочных
изделий
|
ВБ
|
ПБ
|
ЭБ
|
|
Склад
|
ВБ
|
ПБ
|
ЭБ
|
|
Склад готовых изделий
|
ВБ
|
ПБ
|
ПО
|
|
Главный магазин
|
ВБ
|
ПБ
|
ЭБ
|
|
Ремонтно-механический
цех
|
ВБ
|
ПБ
|
ПО
|
|
Лесосушилка
|
ВБ
|
ПО
|
ЭБ
|
|
Навес для склада
модельных комплектов
|
ВБ
|
ПБ
|
ЭБ
|
|
Склад моделей
|
ВБ
|
ПБ
|
ЭБ
|
|
Пристройка к складу
модельных комплектов
|
ВБ
|
ПБ
|
ЭБ
|
|
Станция осветления воды
|
ВБ
|
ПБ
|
ЭБ
|
|
Модельный цех
|
ВБ
|
ПБ
|
ПО
|
|
Насосная
|
ВБ
|
ПБ
|
ПО
|
|
Железнодорожная контора
|
ВБ
|
ПБ
|
ЭБ
|
|
Ремонтно-строительных
цех
|
ВБ
|
ПБ
|
ПО
|
2.
РАСЧЕТНО-КОНСТРУКТИВНАЯ ЧАСТЬ
2.1 Надежность
электроснабжения завода и цеха
I категория – наиболее ответственные
электроприемники отключение которых может привести к гибели людей или большому
недоотпуску продукции. Питание от 2-х и более трансформаторов.
II категория – электроприемники
отключение которых приведет к простою производства. Они питаются от 2-х
трансформаторов.
III категория – электроприемники не
имеющие большого промышленного и хозяйственного значения. Питаются от 1-го
трансформатора
По надежности и
бесперебойности ЭСН оборудование относится к 3 категории.
2.2
Расчет электрических нагрузок завода, выбор компенсирующего устройства
Расчетная
нагрузка силовых приемников цеха определяется из соотношений
где Рн –
суммарная установленная мощность всех приемников цеха
Кс –
средний коэффициент спроса
Tgf – cоответствуюший характерному для
приемников данного цеха средневзвешанному значению коэффициента мощности
Расчетная
нагрузка осветительных приемников цеха определяется по установленной мощности и
коэффициенту спроса
где Ксо
– коэффициент спроса, для освещения
Рно –
установленная мощность приемников электрического освещения.
Полная
расчетная мощность силовых и осветительных приемников цеха определяется

²
²
Расчетная
активная и реактивная мощности групп приемников выше 1000 В определяются из
соотношений, а полная из выражения
²+
²
Активные
суммарные расчетные и реактивные нагрузки потребителей 0,38кВ/0,22кВ и 6 кВ в
целом по предприятию определяется суммированием соответствующих нагрузок цехов.
Пример:
Авто гараж
=172
КВт
=206,4 Квар
=71,75 КВт
²+
=29,80 КВА
Так как цеховых и главных
понизительных подстанций еще не выбраны, то приближенно потери мощности в них
определяется

²
²
²+
²=76303
=1526 КВ
=7630,3
Квар
Необходимая
мощность компенсирующего устройств по заводу в целом определяется
=Рст(tgfестг-tgfн)
где Рст активная
среднегодовая нагрузка завода
tgfестг соответствует
средневзвешанному естественному коэффициенту мощности за год
tgfн соответствует
нормативному значению коэффициента мощности
Рст=
где Тmax действительное
годовое число работы потребителей электро энергии
Рст=
кВт
По данным отдела главного
энергетика завода
Cosfн=0,95 значит
tgfн=0,33
Мощность компенсирующего
устройства
=930квар
Некомпенсированная
мощность на шинах 6кВ ГПП
Q=Qp-Qку
где Qр расчетная
реактивная мощность завода, отнесенная к шинам 6 кВ ГПП с учетом коэффициента
разновременности максимумов силовой нагрузки Крм=0,95
Qр
Qр
=(2546,65+3420)0,95+7630,5=13299,5
Q=13299.5-930=12369 квар
В качестве
компинсируешего устройств принимаем батареи статических конденсаторов суммарной
мощностью 950 квар
Определяем потери
активной мощности в них
Руд Qку
где Руд удельные потери
активной мощности 0,2% от Qку
0,2% 930=1729,8
Общая активная мощность с
учетом потерь в компенсирующих устройствах на шинах подстанций
Р=Рр
+
81963+1729,8=83693,2
где Рр
расчетная активная мощность
предприятия, отнесенная к шинам 6 кВ или ГПП с учетом коэффициента
разновременности максимума силовой нагрузки, Крм=0,95
Рр=(Рр+Р´р)Крм+Рро+
Рт
Рр=(3232+4560)0,95+73035+1526=81963
кВт
Расчетная нагрузка на
шинах 6 кВ ГПП или ГРП с учетом компенсации реактивной мощности равна
S´р=
²+
² (2.2.17)
S´р=84602,2 кВА
Предполагаем, что на
предприятие будет предусмотрена ГПП. Потери мощности в трансформаторах ГПП
ориентировочно определяются так
´
´
кВт
´
´
квар
Полная расчетная мощность
завода на стороне высшего напряжения ГПП
будет равна
Sp=
²+
²=87899
кВ А
2.3 Определение
нагрузок цеха, выбор трансформатора и компенсирующего устройства
P
=
(2.3.1)
P
-
мощность оборудования, кВт;
n - количество оборудования
(2.3.2)
m – коэффициент неравномерности.
H=
(2.3.3)
Н – неравномерность.
Кран мостовой
P
=
=40кВт
P
=
= 30
кВт
H =
=
P =
кВт
Сварочные агрегаты
Р=Р
кВт (2.3.4)
ПВ – продолжительность
включения.
Для щита освещения (ЩО)
P
=
Вт (2.3.5)
P
–
мощность освещения, кВт.
А и В – размер цеха.
P
–
удельная мощность, кВт.
Расчеты производятся для
ШМА1 и ШМА2.
Определяется
, результат заносим в колонку 8.
Определяются для
токарного автомата
кВт
(2.3.6)
K
-
коэффициент использования, берется из справочника;
-
активная мощность за смену, кВт
Q
Квар
(2.3.7)
Q
–реактивная
мощность за смену, Квар;
tg
-
берется из справочника.
S
(2.3.8)
-
полная мощность за смену,
результат заносят в
колонки 9,10,11 соответственно.
Определяются
кВт
(2.3.9)
квар
(2.3.10)

(2.3.11)
-
максимально активная мощность, КВт
-
максимально реактивная мощность, Квар
-
максимально полная мощность,
результат заносят в
колонки 15,16,17.
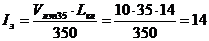
Определяется ток на РУ,
результат заносится в колонку 18.
–
максимальный расчетный ток в линии
А
(2.3.12)
А
А
А
Определяются потери в
трансформаторе, результаты заносятся в колонки 15,16,17.
=5,6
кВт (2.3.13)
-
потери активной мощности, кВт
=28,1
квар (2.3.14)
-
потери реактивной мощности, квар

Смотри сводную ведомость
таблица 4.
Определяется расчетная
мощность трансформатора с учетом потерь, но без компенсации реактивной
мощности.

(2.3.15)
Выбираем один
трансформатор типа ТМ-250/10
Схема и группа соединения
обмоток Д/У
-11
Мощность – 250 кВт.
Сочетание напряжения:
ВН – 10
НН – 0,69
Потери:
ХХ – 740 Вт
КЗ – 370 Вт
Vкз – 4,5%
Iхх – 2,3%
Выбор компенсирующего
устройства
Q
Квар
(2.3.16)
Q
Квар
(2.3.17)
S
(2.3.18)
I
(2.3.19)
Сosf=Pp/Sp=119/193.7=0.6 (2.3.20)
Коэффициент мощности
соответствует, выбираю компенсирующее устройство типа КС1-6,3-37,5-2У3
2.4 Расчет и выбор
элементов электроснабжения
2.4.1 Расчет защитной
аппаратуры электрооборудования цеха
Аппаратура зашиты должна
выбирается исходя из устойчивой работы в нормальном и аварийном режимах
системы.
Аппаратура зашиты и
управления выбирается для ответвлений на основании номинальных участков сетей -
исходя из расчетных нагрузок на защищаемый участок цепи. Исполнение аппарата
выбирается с учетом условий размещения аппаратов на объекте, также должна быть
обеспечена селективность работы зашиты, то есть соблюдение условий, при которых
в первую очередь срабатывает аппарат, ближайший со стороны питания к участку
цепи с нарушенным токовым режимом. Для зашиты сетей используется
предохранители, а также автоматические выключатели.
В данном случае будут
выбраны силовые сборки с автоматическим выключателем.
Определяем номинальный
ток (А)
I
=
, где
(2.4.1.1)
I
=
А
Аналогично номинальный
ток выбирается для других электроприемников.
Находим номинальный ток
расцепителя
I
,
где 1,25 – постоянное
значение (2.4.1.2)
I
А
Для последующих
электроприемников расчет производится аналогично и сводится в таблицу.
Таблица 2 - Расчет
защитной аппаратуры
|
Электроприемники
|
Рном КВт
|
Iном А
|
Iн.расц. А
|
Тип защитной аппаратуры
|
Католожные данные Iн/Iр
|
|
РП1
|
|
Краны мостовые
|
20
|
91,2
|
114
|
А3710Б
|
160/123
|
|
Сварочный агрегат
|
12
|
30,4
|
38
|
А3710Б
|
40/40
|
|
РП2
|
|
Заточные станки
|
2,5
|
7,6
|
9,5
|
А3710Б
|
40/20
|
|
Сверлильные станки
|
2,2
|
6,6
|
8,3
|
А3710Б
|
40/40
|
|
ШМА1
|
|
Вентилятор
|
30
|
57
|
71,2
|
А3710Б
|
80/80
|
|
Токарные автоматы
|
6
|
14
|
17,5
|
А3710Б
|
40/20
|
|
Зубофрезерные станки
|
10
|
23,4
|
29,2
|
А3710Б
|
40/40
|
|
Токарные станки
|
6
|
18,2
|
22,8
|
А3710Б
|
40/25
|
|
ШМА2
|
|
Круглошлифовальные
станки
|
6
|
18,2
|
22,8
|
А3710Б
|
40/25
|
|
Продолжение Таблицы 5
|
|
|
Плоскошлифовальные
станки
|
31,9
|
40
|
А3710Б
|
40/40
|
|
Строгательные станки
|
17,5
|
40,9
|
51,1
|
А3710Б
|
80/63
|
|
Фрезерные станки
|
8,5
|
25,8
|
32,3
|
А3710Б
|
40/40
|
|
Расточные станки
|
7,5
|
17,5
|
21,9
|
А3710Б
|
40/25
|
|
|
|
|
|
|
|
2.4.2 Выбор линий
электроснабжения электрооборудования
Проводники электрических
сетей от прохождения по ним тока нагреваются. Чрезмерно высокая температура
нагрева проводника может привести к преждевременному износу изоляции, ухудшению
контактных соединений и пожарной опасности. Значение максимально длительных
допустимых токов определены из условий допустимого теплового износа материала
изоляции проводов различных марок и сечений.
При расчете сетей по
нагреву сначала выбирают марку провода в зависимости от характеристики среды
помещений, его конфигурации и способа прокладки сети. Затем переходят к выбору
сечения проводников по условию допустимых длительных токов по нагреву – это
длительно протекающий ток по проводнику. При котором устанавливается наиболее
длительно допустимая температура нагрева проводника. Это имеет важное значение
для безопасной эксплуатации сети, так как перегрев может привести к выходу
проводника из строя.
Для выбора сечения
проводника по условиям нагрева токами нагрузки сравниваются с токами
расцепителя Iр, и допустимая Iдоп для проводника принятой марки и
условий его прокладки. При это
Iр
Iдоп
Выбираем марку провода
АПВ. Прокладка этого кабеля производится в трубе. Затем выбираем сечение по
т.П.2.1., Л-4.
Таблица 3 - Выбор линий
электроснабжения электрооборудования
|
Номер Эл/приемника
|
Pном
кВт
|
Iном А
|
Iн.расц. А
|
Марка провода
|
Сечение провода
мм²
|
Длина учатка
|
Iдоп А
|
|
РП1
|
|
39.Кран мостовой
|
20
|
31,3
|
114
|
АПВ
|
1х3
|
6600
|
32
|
|
38.Кран мостовой
|
20
|
31,3
|
114
|
АПВ
|
1х3
|
2860
|
32
|
|
3.Сварочный агрегат
|
12
|
30,4
|
38
|
АПВ
|
1х2,5
|
1540
|
29
|
|
4.Сварочный агрегат
|
12
|
30,4
|
38
|
АПВ
|
1х2,5
|
1600
|
29
|
|
5.Сварочный агрегат
|
12
|
30,4
|
38
|
АПВ
|
1х2,5
|
1700
|
29
|
|
РП2
|
|
15.Заточный станок
|
2,5
|
7,6
|
9,5
|
АПВ
|
1х2,5
|
550
|
34
|
|
16.Заточный станок
|
2,5
|
7,6
|
9,5
|
АПВ
|
1х2,5
|
1980
|
34
|
|
Продолжение таблицы 6
|
|
|
17.Заточный станок
|
2,5
|
7,6
|
9,5
|
АПВ
|
1х2,5
|
3080
|
34
|
|
18.Сверлильный станок
|
2,2
|
6,6
|
8,3
|
АПВ
|
1х2,5
|
880
|
34
|
|
19.Сверлильный станок
|
2,2
|
6,6
|
8,3
|
АПВ
|
1х2,5
|
5060
|
34
|
|
ШМА1
|
|
1.Вентилятор
|
30
|
57
|
71,2
|
АПВ
|
3х10
|
4950
|
70
|
|
2.Вентилятор
|
30
|
57
|
71,2
|
АПВ
|
3х10
|
3630
|
70
|
|
6.Токарный автомат
|
6
|
14
|
17,5
|
АПВ
|
3х2,5
|
6710
|
29
|
|
7.Токарный автомат
|
6
|
14
|
17,5
|
АПВ
|
3х2,5
|
8426
|
29
|
|
8.Токарный автомат
|
6
|
14
|
17,5
|
АПВ
|
3х2,5
|
10230
|
29
|
|
9.Зубофрезерный станок
|
10
|
23,4
|
29,2
|
АПВ
|
3х2,5
|
5060
|
29
|
|
10.Зубофрезерный ст-нок
|
10
|
23,4
|
29,2
|
АПВ
|
3х2,5
|
6600
|
29
|
|
11.Зубофрезерный ст-нок
|
10
|
23,4
|
29,2
|
АПВ
|
3х2,5
|
7920
|
29
|
|
20.Токарный станок
|
6
|
18,2
|
22,8
|
АПВ
|
3х2,5
|
2000
|
29
|
|
21.Токарный станок
|
6
|
18,2
|
22,8
|
АПВ
|
3х2,5
|
2090
|
29
|
|
22.Токарный станок
|
6
|
18,2
|
22,8
|
АПВ
|
3х2,5
|
2420
|
29
|
|
23.Токарный станок
|
6
|
18,2
|
22,8
|
АПВ
|
3х2,5
|
3850
|
29
|
|
24.Токарный станок
|
6
|
18,2
|
22,8
|
АПВ
|
3х2,5
|
3520
|
29
|
|
25.Токарный станок
|
6
|
18,2
|
22,8
|
АПВ
|
3х2,5
|
3740
|
29
|
|
ШМА2
|
|
12.Круглошлифовальный
станок
|
6
|
18,2
|
22,8
|
АПВ
|
3х2,5
|
1210
|
29
|
|
13.Круглошлифовальный
станок
|
6
|
18,2
|
22,8
|
АПВ
|
3х2,5
|
1210
|
29
|
|
14.Круглошлифовальный
станок
|
6
|
18,2
|
22,8
|
АПВ
|
3х2,5
|
1210
|
29
|
|
6.Плоскошлифовальный
станок
|
10,5
|
31,9
|
40
|
АПВ
|
3х2,5
|
2750
|
29
|
|
27.Плоскошлифовальный
станок
|
10,5
|
31,9
|
40
|
АПВ
|
3х2,5
|
4730
|
29
|
|
28.Строгальный станок
|
17,5
|
40,9
|
51,1
|
АПВ
|
3х2,5
|
1320
|
29
|
|
29.Строгальный станок
|
17,5
|
40,9
|
51,1
|
АПВ
|
3х2,5
|
2420
|
29
|
|
30.Строгальный станок
|
17,5
|
40,9
|
51,1
|
АПВ
|
3х2,5
|
3674
|
29
|
|
31.Фрезерный станок
|
8,5
|
25,8
|
32,9
|
АПВ
|
3х2,5
|
1980
|
29
|
|
32.Фрезерный станок
|
8,5
|
25,8
|
32,9
|
АПВ
|
3х2,5
|
1980
|
29
|
|
33.Фрезерный станок
|
8,5
|
25,8
|
32,9
|
АПВ
|
3х2,5
|
3410
|
29
|
|
34.Фрезерный станок
|
8,5
|
25,8
|
32,9
|
АПВ
|
3х2,5
|
3410
|
29
|
|
35.Расточной станок
|
7,5
|
17,5
|
21,9
|
АПВ
|
3х2,5
|
1254
|
29
|
|
36.Расточной станок
|
7,5
|
17,5
|
21,9
|
АПВ
|
3х2,5
|
2530
|
29
|
|
37.Расточной станок
|
7,5
|
17,5
|
АПВ
|
3х2,5
|
3740
|
29
|
|
|
|
|
|
|
|
|
|
2.5 Расчет токов КЗ и
проверка линии электроснабжения
2.5.1 Расчет токов
короткого замыкания
А
(2.5.1.1)
-
ток сети, А.
Линия от ЭСН до ГПП ВЛ
одноцепная АС – 3 х 35, I
= 175 А
удельное индуктивное
сопротивление
Ом
(2.5.1.2)
-
удельное индуктивное сопротивление
-
протяженность линии, км.
Ом/км
(2.5.1.3)
-
удельное активное сопротивление, Ом/км.
-
удельная проводимость материала, м/Ом.
S - сечение проводника,
R
Ом (2.5.1.4)
Сопротивление приводится
к Н:
Ом
(2.5.1.5)
-
сопротивление, приведенное к НН
-
сопротивление, приведенное к ВН
Ом
(2.5.1.6)
-
сопротивление, приведенное к НН
-
сопротивление, приведенное к ВН
и
- высокое и низкое напряжение
Для трансформатора
Ом;
Х
=27,2 Ом; Z
=28,7 Ом; Z
=312
Ом
Для автоматов
I н.р.=400 А ВА 51-37
1SF
Ом;
Ом;
Ом
I н.р.=150 А ВА 51-33
SF1
Ом;
Ом;
Ом
I н.р.= 25 А ВА 51-31-1
SF
Ом;
Ом;
Ом
Для кабельных линий
SF1 - КЛ1:
Ом/м:
0,091 Ом/м
Так как в схеме 3
параллельных кабеля, то
Ом/м
(2.5.1.7)
Ом/м
(2.5.1.8)
Ом/м
(2.5.1.9)
SF – КЛ2:
Ом/м:
0,116 Ом/м
Ом/м
(2.5.1.10)
Ом/м
(2.5.1.11)
Для шинопровода ШРА 250
Ом;
Ом
Ом;
Ом
(2.5.1.12)
(2.5.1.13)
Для ступеней
распределения
Ом;
Ом
Упрощается схема
замещения, вычисляются эквивалентные сопротивления на участках между точками КЗ
и наносятся на схему
Ом
(2.5.1.14)
Ом
(2.5.1.15)
Ом
(2.5.1.16)
Ом
(2.5.1.17)
Ом
(2.5.1.18)
Ом
(2.5.1.19)
Вычисляются сопротивления
до каждой точки КЗ и заносятся в «Сводную ведомость токов КЗ»
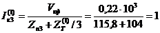
Ом;
Ом (2.5.1.20)
Ом
(2.5.1.21)
Ом
(2.5.1.22)
Ом
(2.5.1.23)
Ом
Ом
Ом
Ом
;
Определяются коэффициенты
К
и q:
q1=q3=1
Определяются 3-фазные и
2-фазные токи КЗ и заносятся в «Сводная ведомость токов КЗ»:

КА

КА

КА
КА
КА
КА
КА
КА
КА
КА
КА
КА
Таблица 4 - Сводная
ведомость токов КЗ
|
№
|
Ом
|
Ом
|
Ом
|
|
|
q
|
|
кА
|
А
|
кА
|
Ом
|
|
|
|
К1
|
83.7
|
458
|
97.3
|
1,6
|
1
|
1
|
2.3
|
3.2
|
2.3
|
2
|
20
|
1,8
|
|
|
К2
|
137.5
|
63.8
|
151.6
|
2,1
|
1
|
1
|
1,4
|
1.9
|
1,4
|
1,2
|
91.3
|
1.1
|
|
|
К3
|
156.6
|
65.6
|
169,8
|
2.3
|
1
|
1
|
1,2
|
1,6
|
1,2
|
1,04
|
115.8
|
1
|
|
Для кабельных линий
Ом
Ом
Ом
Ом

Ом
Ом
Ом
Ом
Ом
Ом
Ом
Ом
Ом
кА
кА
кА
Результаты расчета токов
КЗ предоставлены в «сводной ведомости токов КЗ»
2.5.2 Проверка линий
электроснабжения
Согласно условиям по
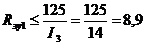
токам КЗ линии электроснабжения проверяются:
1. на надежность срабатывания:
Надежность срабатывания
автоматов обеспечена;
на отключающую
способность:


Автомат при КЗ
отключается не разрушаясь
на отстройку от пусковых
токов. Учтено при выборе
для
каждого автомата:
(для
ЭД)
(для
РУ)
Согласно условиям
проводники проверяются:
на термическую стойкость:
(2.5.2.1)
-
термический коэффициент, берется из справочника
-
установившейся 3-фазный ток КЗ
-
приведенное время действия тока КЗ
КЛ (ШНН-ШМА):
3 х
КЛ ( ШМА-П ):
3 х
1,7
По термической стойкости
кабельные линии удовлетворяют;
На соответствие
выбранному аппарату защиты:
учтено при выборе сечения
проводника
2.6 Картограмма
нагрузок и центр электрических нагрузок заводы и цеха
Для определения
местоположения ГПП, ГРН и ТП при проектировании системы электроснабжения на
генеральный план промышленного предприятия наносится картограмма нагрузок,
которая представляет собой размещенные на генеральном плане окружности, причем
площади, ограниченные этими окружностями, в выбранном масштабе равны расчетным
нагрузкам цехов. Для каждого цеха наносится своя окружность, центр которой
совпадает с центром нагрузок цеха.
Главную понизительную и
цеховые подстанции следует располагать как можно ближе к центру нагрузок, так
как это позволяет приблизить высокое напряжение к центру потребления
электрической энергии и значительно сократить протяженность как
распределительных сетей высокого напряжения, так и цеховых электрических сетей
низкого напряжения, уменьшить расход проводникового материала и снизить потери
электрической энергии.
Площадь круга в
определенном масштабе равна расчетной нагрузке соответствующего цеха Рi:
²
(2.6.1)
Из этого выражения радиус
окружности:
(2.6.2)
где Рi – мощность i –го
цеха; масштаб для определения площади круга (постоянный для всех цехов
предприятия).
Силовые нагрузки до и
выше 100 В изображаются отдельными кругами. Считаем, что нагрузка по цеху
распределена равномерно, поэтому центр нагрузок совпадает с центром тяжести
фигуры, изображающей цех в плане.
Осветительная нагрузка
наносится в виде сектора круга, изображающего нагрузку до 1000 В. Угол сектора
(α) определяется:
(2.6.3)
Для определения места ГПП
или ГРП находится центр электрических нагрузок отдельно для активной и
реактивной нагрузок, так как питание активных и реактивных нагрузок
производится от разных установок (генераторы и компенсирующие устройства).
На генплан завода
произвольно наносятся оси координат. Находим координаты центра электрических
нагрузок каждого цеха.
Координаты центра
электрических нагрузок завода определяются по формулам
(2.6.4)
В нашем случае
ХОА=52,9 м УОА=235 м
ХОР=429 мУОР=196 м
Таблица 5 – Определение
ЦЭН активной мощности
|
Наименование цеха
|
Рр+Рро
|
Рро
|
ri, мм
|
|
Xi, м
|
Yi, м
|
Pp Xi
|
Pp Yi
|
|
Потребители электроэнергии 380 и
220 В
|
|
Авто гараж
|
236,3
|
64,35
|
8,6
|
98
|
860
|
50
|
203218
|
11815
|
|
Заводоуправ-е
|
629,6
|
93,6
|
14,1
|
53
|
890
|
290
|
560344
|
182584
|
|
Столовая
|
251
|
27
|
8,9
|
38
|
900
|
360
|
225900
|
90360
|
|
Гл.корпус
|
1446
|
686,4
|
21,4
|
170
|
600
|
160
|
867600
|
231360
|
|
Продолжение таблицы 8
|
|
|
Компрессорная
|
261,6
|
21,8
|
9,1
|
30
|
570
|
350
|
149112
|
91560
|
|
Эстакада к гл. корпусу
|
39,42
|
21,42
|
3,5
|
195
|
480
|
290
|
189216
|
114138
|
|
Склад формовочных изделий
|
82,8
|
52,8
|
51
|
229
|
420
|
390
|
34776
|
30636
|
|
Склад
|
19,1
|
13,1
|
2,4
|
246
|
460
|
460
|
8786
|
8786
|
|
Склад готовых изделий
|
19
|
3
|
2,4
|
56
|
480
|
10
|
9120
|
190
|
|
Гл. магазин
|
80
|
55
|
5
|
247
|
350
|
160
|
28000
|
12800
|
|
Лесосушилка
|
224,1
|
74,2
|
8,4
|
119
|
80
|
70
|
17928
|
15860
|
|
Навес для склада
|
33,75
|
29,75
|
3,2
|
317
|
210
|
150
|
70875
|
50620
|
|
Склад моделей
|
30
|
24
|
3
|
288
|
150
|
150
|
4500
|
4500
|
|
Пристройка к складу моделей
|
40
|
36
|
3,5
|
324
|
80
|
160
|
3200
|
6400
|
|
Станция осветления воды
|
13,68
|
6,8
|
33
|
10
|
160
|
14868
|
23870
|
|
Модельный цех
|
503,6
|
143,6
|
12,6
|
102
|
160
|
230
|
80582,4
|
11583
|
|
Насосная
|
242,8
|
22,8
|
8,1
|
33
|
20
|
240
|
4856
|
58272
|
|
Железнодорожная контора
|
19,2
|
7,2
|
2,4
|
135
|
180
|
470
|
3456
|
9024
|
|
Ремонтно-строительный цех
|
267,8
|
117,8
|
9,2
|
158
|
110
|
310
|
29458
|
83018
|
|
Потребители электроэнергии 6 кВт
|
|
Гл. корпус
|
3270
|
686,4
|
32,2
|
75,5
|
600
|
160
|
196200
|
523200
|
|
Компрессорная
|
1397
|
21,6
|
21
|
5,5
|
570
|
350
|
796290
|
488950
|
|
Насосная
|
622,8
|
22,8
|
14
|
13,1
|
20
|
240
|
12456
|
149472
|
|
Итого
|
|
|
|
|
|
|
5270623
|
2341435
|
|
|
|
|
|
|
|
|
|
|
Таблица 6 – Определение
ЦЭН реактивной мощности
|
Наименование цеха
|
Qp, квар
|
Xi,м
|
Yi, м
|
Qpi Xi
кварм
|
Qpi Yi
кварм
|
|
Потребители Эл.эн.380 и 220 В
|
|
Авто гараж
|
206,4
|
860
|
50
|
177504
|
10320
|
|
Завода управ-е
|
402
|
890
|
290
|
357780
|
116580
|
|
Столовая
|
168
|
900
|
360
|
151200
|
60480
|
|
Гл.корпус
|
570
|
600
|
160
|
342000
|
91200
|
|
Компрессорная
|
180
|
570
|
350
|
102600
|
63000
|
|
Эстакада к гл. корпусу
|
17,6
|
480
|
290
|
8448
|
5104
|
|
Склад формовочных изделий
|
19,5
|
420
|
370
|
8190
|
7215
|
|
Склад
|
6,6
|
460
|
460
|
3036
|
3036
|
|
Склад готовых изделий
|
17,6
|
480
|
10
|
8448
|
176
|
|
Гл. магазин
|
16,25
|
350
|
100
|
5687,5
|
2600
|
|
Лесосушилка
|
120
|
80
|
70
|
9600
|
8400
|
|
Навес для склада
|
8,8
|
210
|
150
|
1848
|
1320
|
|
Склад моделей
|
6,6
|
210
|
150
|
1848
|
1320
|
|
Пристройка к складу моделей
|
8,8
|
80
|
160
|
704
|
1408
|
|
Станция осветления воды
|
119
|
10
|
160
|
1190
|
19040
|
|
Модельный цех
|
270
|
160
|
230
|
43200
|
62100
|
|
Насосная
|
192
|
20
|
240
|
3840
|
46080
|
|
Железнодорожная контора
|
9,6
|
180
|
470
|
1728
|
4512
|
|
Ремонтно-строительный цех
|
132
|
110
|
310
|
14520
|
40920
|
|
Потребители электроэнергии 6 кВт
|
|
Гл. корпус
|
570
|
600
|
160
|
342000
|
91200
|
|
Компрессорная
|
180
|
570
|
350
|
102600
|
63000
|
|
Насосная
|
192
|
20
|
240
|
3840
|
46080
|
|
Итого
|
|
|
|
1697028,5
|
775880
|
Определяются радиусы
кругов активных и реактивных нагрузок электроприемников цеха, исходя из
масштаба генплана.
Определяется масштаб
активных (
) нагрузок, исходя из масштаба генплана.
Принимается для
наименьшей нагрузки радиус
м, тогда
(2.6.5)
-
минимальная мощность, берется с таблицы 2, кВт.
Определяется радиус для
наибольшей нагрузки принятом масштабе
(2.6.6)
-
радиус активной нагрузки, м.
Нанесение нагрузок на
генплан в данном масштабе возможно, масштаб утверждается.
Определяются радиусы
кругов для остальных нагрузок:
(2.6.7)
Для токарных автоматов
Определяются реактивные
нагрузки каждого цеха из соотношения
(2.6.8)
Для вентиляторов
Определяются радиусы
кругов для реактивных нагрузок при том же масштабе, т.е. при
по формуле
(2.6.9)
Для сверлильного станка
-
радиус реактивной нагрузки, м.
Таблица 7 – ЦЭН для цеха
|
Наименование
электроприемника
|
P , КВт
|
,
м
|
,
Квар
|
,
м
|
|
Краны мостовые
|
20
|
3
|
34,6
|
15,7
|
|
Сварочные агрегаты
|
12
|
2,2
|
3,8
|
1,3
|
|
Токарные автоматы
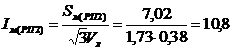
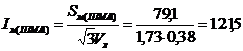
|
6
|
1,6
|
7,02
|
1,7
|
|
Зубофрезерные станки
|
10
|
2,1
|
11,7
|
2,3
|
|
Круглошлифовальные
станки
|
6
|
1,6
|
10,38
|
2,1
|
|
Заточные станки
|
2,5
|
1
|
4,3
|
1,4
|
|
Токарные станки
|
6
|
1,6
|
10,38
|
2,1
|
|
Плоскошлифовальные
станки
|
10,5
|
2,1
|
18,1
|
2,8
|
|
Строгальные станки
|
17,5
|
2,8
|
20,4
|
3
|
|
Фрезерные станки
|
8,5
|
1,9
|
14,7
|
2,5
|
|
Расточные станки
|
7,5
|
1,8
|
8,7
|
1,9
|
|
Вентиляторы
|
30
|
3,6
|
21,9
|
3,1
|
|
Сверлильные станки
|
2,2
|
0,7
|
3,8
|
1,3
|
Нагрузки кругами
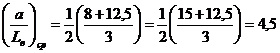
наносятся на генплан, активные - сплошной линией, реактивные - штриховой.
Определяются условные ЦЭН
активной и реактивной:
Вблизи точки А(2829;1392)
располагают ГПП.
Вблизи точки
В(21627;13670) располагают ККУ или синхронный компенсатор (СК).
2.7 Расчет
заземляющего устройства
Определяется расчетное
сопротивление одного вертикального электрода
Ом
(2.7.1)
Определяется предельное
сопротивление совмещенного ЗУ
Ом
(2.7.2)
А
(2.7.3)
Требуемое по НН
на НН.
Принимается
Ом (наименьшее из
двух).
Но так как
> 100 Ом • м, то
для расчета принимается
Ом
(2.4.4)
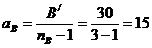
Определяется количество вертикальных электродов:
без учета экранирования (расчетное)
.
Принимается
с учетом экранирования
.
Принимается
= F(тип ЗУ, вид заземления,
,
) F (рядное, вертикальное, 3, 10) = 0,81.
Размещается ЗУ на плане и
уточняются расстояния, наносятся на план. Так как контурное ЗУ закладывается на
расстоянии не менее 1 м, то длина по периметру закладки равна
м
(2.7.5)
Тогда расстояние между электродами уточняется с учетом формы
объекта. По углам устанавливают по одному вертикальному электроду, а оставшиеся
- между ними.
Для равномерного распределения электродов окончательно
принимается
= 16, тогда
м;
м
где
- расстояние между
электродами по ширине объекта, м;
- расстояние между электродами
по длине объекта, м;
- количество
электродов по ширине объекта;
- количество электродов по
длине объекта.
Для уточнения принимается
среднее значение отношения
Тогда по справочнику
уточняются коэффициенты использования
Определяются уточненные значения сопротивлений вертикальных и
горизонтальных электродов
18,88
Ом
Определяется фактическое
сопротивление ЗУ
Ом
Следовательно,
заземляющее устройство эффективно.
2.8 Специальный вопрос
Автоматическая частотная
разгрузка. Характерной особенностью режима работы энергосистем является
равенство ч каждый момент времени мощности источников энергии Р1 сумме
мощностей нагрузки Рнаг и потерь Рнот: Р1 = Рнаг + Рнот
Изменение нагрузки
требует следящего изменения генерируемых мощностей, в противном случае
произойдет изменение частоты тока в энергосистеме. При аварийном отключении
генераторов на электростанциях или разделении энергосистемы по любой причине на
отдельные части может возникнуть дефицит генерируемой активной мощности, в
связи с чем снизится частота тока. Одновременно с этим напряжением может
достигнуть столь низкого значения, что начнется массовое затормаживание
электродвигателей, при котором возрастут их нагрузочные токи, и, как следствие,
произойдет еще большее снижение напряжения в энергосистеме. В результате
параллельно работающие генераторы выйдут из синхронизма и отключатся. Питание
потребителей прекратится.
При возникновении
дефицита мощности прежде всего используются имеющиеся в энергосистеме резервы,
автоматически вводимые в действие с помощью регуляторов частоты вращения
турбин. В первую очередь до полной мощности нагружаются паровые турбоагрегаты,
если же частота тока оказывается ниже определенного значения, то автоматически
запускаются резервные агрегаты на гидроэлектростанциях, длительность пуска
которых с полным набором нагрузки на современных автоматизированных
гидроэлектростанциях не превышает 30…50 с.
Для быстрейшего
восстановления частоты до определенного минимума кроме использования имеющегося
в энергосистеме резерва прибегают к загрузке энергосистемы путем отключения
части е приемников. При этом разгрузку производят автоматически с помощью
специальных устройств, называемых устройствами АЧР.
Электрическое устройство
АЧР подключают к трансформатору напряжения ТV. В состав устройства
входят реле частоты КF1, KF2, имеющие установки срабатывания в
диапазоне 48…45 Гц. Выключатели QF, подключенные к шинам
распределительного устройства через разъединители QS, отключают
приемники очередями. Обеспечивают эти отключения реле частоты, действующие
через промежуточные реле KL1, KL2. Число отключаемых питающих
линий устанавливается соответствующими расчетами и задается диспетчерской
службой энергосистемы.
3. ТЕХНИКА БЕЗОПАСНОСТИ В ЦЕХУ
Настоящие Правила должны соблюдаться при обслуживании
действующих электроустановок электрических станций, электрических и тепловых
сетей.
Настоящие Правила должны также соблюдаться при допуске
персонала специализированных для выполнения работ в электроустановках,
эксплуатируемых в соответствии с настоящими Правилами. Настоящие Правила могут
быть изменены и дополнены только органами их утвердившими.
Средства защиты, используемые в соответствии с настоящими
Правилами, должны удовлетворять требованиям государственных стандартов, а также
Правил применения и испытания средств защиты, не пользуемых в
электроустановках.
Правила являются обязательными. Инструкции по охране труда
для рабочих и служащих должны быть приведены в соответствии с настоящими
Правилами.
Каждый работник, если он не может принять меры к устранению
нарушений Правил, обязан немедленно сообщить вышестоящему руководству о всех
замеченных им нарушениях, а также о предоставляющих опасность для людей
неисправностях электроустановок и применяемых при работе машин, механизмов,
приспособлений, инструмента и средств защиты.
Запрещается выполнение распоряжений и заданий, противоречащих
требованиям настоящих Правил.
Для безопасного
проведения работ должны выполняться следующие организационные мероприятия:
назначение лиц, ответственных
на безопасное ведение работ;
выдача наряда или
распоряжения;
выдача разрешения на
подготовку рабочих мест и на допуск;
подготовка рабочего места
и допуск;
надзор при выполнении
работ;
перевод на другое рабочее
место;
оформление перерывов в
работе и ее окончание.
Ответственными за
безопасное ведение работ являются:
выдающие наряд, отдающий
распоряжение;
руководитель работ;
лицо, дающее разрешение
на подготовку рабочего места и на допуск;
лицо, подготавливающее
рабочее место;
допускающий;
производитель работ;
наблюдающий;
член бригады.
Выдающий наряд,
распоряжение устанавливает возможность безопасного выполнения работы. Он
отвечает за достаточность и правильность указанных в наряде мер безопасности,
за качественный и количественный состав бригады и назначение ответственных лиц,
а также за соответствие выполняемой работе групп по электробезопасности
перечисленных в наряде работников.
Правила выдачи нарядов и
распоряжений предоставляется работникам из административно-технического
персонала предприятия и его структурных подразделений.
При неотложных работах в
случае отсутствия лиц из административно-технического персонала, имеющих право
выдачи нарядов, допускается выдача нарядов и распоряжения работниками с группой
IV из дежурного персонала данной электроустановки.
Предоставление дежурному
персоналу правила выдачи нарядов в этих случаях должно быть оформлено
письменным указанием руководства предприятия.
Руководитель работ
отвечает за выполнение всех указанных в наряде мер безопасности и их
достаточность, полноту и качество инструктажа бригады, проводимого допускающим
и производителем работ, а также организацию безопасного ведения работ.
Руководителями работ
должны назначаться инженерно-технические работники с группой V. В тех случаях,
когда отдельные этапы работы необходимо выполнять под непрерывным надзором и
руководством руководителя работ, выдающий наряд должен делать запись об этом в
строке «отдельные указания» наряда.
Лицо, дающее разрешение
на подготовку рабочих мест и на допуск, несет ответственность за достаточность
предусмотренных для выполнения работы мер по отключению и заземлению
оборудования и возможность их осуществления, а также за координацию времени и
места работы допускаемых бригад.
Лицо, дающее разрешение
на подготовку рабочего места и их допуск, обязано сообщить дежурным или лицам
на оперативно-ремонтного персонала, подготавливающим рабочее место, а также
допускающим о предварительно выполненных операциях по отключению и заземлению
оборудования.
Давать разрешение на
подготовку рабочих мест имеют право работники из дежурного персонала с группой
IV в соответствии с должностными инструкциями, а также работники из
административно-технического персонала, уполномоченных на это указанием по
предприятию.
Лицо, подготавливающее
рабочее место, отвечает за правильное и точное выполнение мер по подготовке
рабочего места, указанных в наряде, а также требуемых по условию работы.
Подготавливать рабочие
места имеют право дежурные или работники из оперативно-ремонтного персонала,
допущенные к оперативным переключениям данной электроустановки.
Допускающий отвечает за
правильность и достаточность принятых мер безопасности и соответствии их мерам,
указанным в наряде, характеру и месту работы, за правильный допуск к работе, а
также за полноту и качество проводимого им инструктажа.
Производитель работ
отвечает:
за соответствие
подготовленного рабочего места указаниям наряда;
за четкость и полноту
инструктажа членов бригады;
за наличие, исправность и
правильное применение необходимых средств защиты, инструмента, инвентаря и
приспособлений;
за сохранность на рабочем
месте ограждений, знаков и плакатов безопасности, запирающих устройств;
за безопасное проведение
работы и соблюдение настоящих Правил.
Наблюдающий должен
назначаться для надзора за бригадами работников, не имеющих право
самостоятельно работать в электроустановках.
Наблюдающий отвечает:
за соответствие
подготовленного рабочего места указаниям нарядам;
за наличие и сохранность
установленных на рабочем месте заземлений, ограждений, плакатов и знаков
безопасности, запирающих устройств проводов;
за безопасность членов
бригады в отношении поражения электрическим током электроустановки.
Каждый член бригады
обязан выполнять настоящие Правила и инструктивные указания, полученные при
допуске к работе и во время работы, а также требования местных инструкций по
охране труда.
Трансформаторы тока.
Разрывать цепи, подключенные к вторичным обмоткам трансформатора тока,
запрещается. При необходимости разрыва этих цепей они должны быть
предварительно замкнуты перемычкой, установленной до предлагаемого места
разрыва (считая от трансформатора тока). Устанавливая перемычку, следует
применить инструмент с изолирующими рукоятками. При работе на трансформаторах
тока или в цепях, подключенных к их вторичным обмоткам, должны соблюдаться
следующие меры предосторожности:
зажимы вторичных обмоток
до окончания монтажа подключаемых к ним цепей должны быть замкнуты накоротко.
После присоединения смонтированных цепей к трансформаторам тока закоротка
должна переноситься на ближайшую сборку зажимов и сниматься только после
полного окончания монтажа и проверки правильности присоединения смонтированных
цепей;
при проверке полярности
до подачи импульсов тока первичную обмотку приборы должны быть присоединены к
зажимам вторичной обмотки.
Запрещается использовать
шины первичных обмоток в качестве токоведущих при монтажных и сварочных
работах.
4. ЭКОНОМИЧЕСКАЯ ЧАСТЬ
Сегодня состояние
электроэнергетики Казахстана сопоставимо с таковым в странах ЕС или, в Японии,
однако ВВП Казахстана существенно меньше, а выработка на киловатт-час на
порядок ниже, чем, например, в Англии. Удельная энергоёмкость ВВП Казахстана
почти в 8 раз выше среднего показателя стран ЕС и в 11 раз выше, чем в Японии.
Основной проблемой
является технологическая реструктуризация экономики. Причины такого положения
обуславливаются сформировавшей структурой производства, использующей остальные
энергоёмкие технологии. Казахстанский климат существенно влияет на
эффективность производства, повышая его издержки в промышленности и сельском
хозяйстве, удорожая транспортные услуги, увеличивая расходы на жизнеобеспечение
населения, а экономики в целом – на поддержание конкурентоспособности товаров в
международном торговом обмене. Результатом является стабильно высокое
теплопотребление в стране.
На выработку
электроэнергии расходуется четверть первичных энергоресурсов, все остальные -
на производство тепла. Развитие экономики Казахстана в 2004-2005 гг.
показывает, что если уменьшение энергоёмкости ВВП за счет составляющей,
связанной со структурной перестройкой, то снижение энергоёмкости ВВП за счет
составляющей технологического энергосбережения отстаёт от планируемой в 1,5
раза. Мероприятия по энергосбережению в энергоёмких отраслях, оцениваемые на
уровне от 20 до 50 долл. за тонну условного топлива, требуют значительных
инвестиций и времени. Тем не менее, использование высоких технологий в
электроэнергетике позволяет существенно ускорить этот процесс.
Стратегическими целями
развития отечественной энергетики до 2020 г. Следует считать:
надежное снабжение
экономики и населения страны электроэнергией;
повышение эффективности
функционирования и устойчивое развитие электроэнергетики на базе новых
современных технологий;
уменьшение вредного
воздействия отрасли на окружающую среду.
Новые технологии обеспечивают
резкий рост эффективности использования первичных энергоресурсов. Так, для
конденсаторных электростанций (КЭС) при всех возможных технологических
повышениях параметров теплового цикла эффективность не превышает 0,5, для КЭС с
комбинированным циклом при высоких параметрах пара эффективность не выше 0,6,
для газотурбинной электростанции с попутной выработкой электроэнергии на основе
теплопотребления уже сегодня достигает эффективность 0,875.
Поэтому основой
реструктуризации электроэнергетики Казахстана становится попутная выработка
электроэнергии на основе необходимого стране вынужденного производства тепла.
За счет электрификации котельных ими будет производиться 1800 млрд. кВт ч
тепла, что может стать основой самой эффективной 87,5%-й генерацией электроэнергии.
При полном вытеснении КЭС ежегодная экономия топлива в электроэнергетике
достигнет 23% или 58 млн. тонн условного топлива.
Кроме того, учитывая, что
электрификация котельных имеет капиталоёмкость ниже 400 долл. кВт, это даст
экономию в инвестициях не менее 15,5 млрд. долл.
4.1 Установление
режима работы цеха, определение бюджета времени рабочего
Под режимом работы цеха
понимается принятия количества рабочих дней в году, количество рабочих смен в
сутки и продолжительности рабочей смены в часах.
Количество рабочих дней в
году определяем вычитанием нерабочих дней из годового числа календарных дней.
Принимаем пятидневную рабочую неделю.
Наиболее целесообразным
режимом в энергетики является 2-х сменный.
Законом РК «О труде»
установлена 40 часовая рабочая неделя при нормальных условиях работы. Законом
не оговаривается сокращение предпраздничных рабочих дней в году.
Плановый эффективный фонд
времени рабочего определяем из бюджета одного рабочего в год
(4.1)
где: Fэ.раб – эффективный фонд времени 1
рабочего;
Дк – количество
календарных дней в году (365);
Дв – количество выходных
дней в году (104);
Дпр – количество
праздничных дней в году (10);
Дотп – отпуск (17 дней);
Тs – продолжительность рабочей смены (8,2);
а – процент потерь
времени на ремонт и регламентированные перерывы (3%).
4.2 Расчет затрат на
капитальный ремонт электрооборудования
Трудоемкость представляет
собой затраты рабочего времени на производство работ в натуральном выражении по
всей номенклатуре выполняемых работ. Нормы времени, разрядность работ берутся
из справочной литературы по ремонту электрооборудования.
Для расчета трудоемкости
заполняем таблицу.
Таблица 8 – Ведомость
объема работ капитального ремонта
|
Капитальный ремонт
|
|
№
|
Наименование операций
|
ед. изм
|
Кол-во
|
норма времени, н/час
|
разряд
|
профессия
|
Трудоемкость, ч/час
|
|
1
|
2
|
3
|
4
|
5
|
6
|
7
|
8
|
|
1
|
Замена кабеля
|
м.
|
5
|
0,2
|
3
|
Электромонтер
|
1
|
|
2
|
Замена лампочек
|
шт.
|
150
|
0,1
|
3
|
Электромонтер
|
25
|
|
3
|
Замена шины
|
м.
|
25
|
0,75
|
3
|
Электромонтер
|
16
|
|
4
|
Ремонт РУ
|
шт.
|
1
|
8
|
3
|
Электромонтер
|
16
|
|
5
|
Замена Высоковольтного
выключателя
|
шт.
|
1
|
16
|
3
|
Электромонтер
|
48
|
|
6
|
Ремонт трансформатор
|
шт.
|
1
|
20
|
3
|
Электромонтер
|
40
|
|
ИТОГО
|
146
|
4.3 Расчет численности
основных производственных рабочих
Определяем:
(4.2)
где: Апр -
количество основных производственных рабочих, чел;
Fэ.раб – эффективный фонд времени 1
рабочего, час;
Тнор –
трудоемкость работ, ч-час.
Определяем тарифные
разряды основным производственным рабочим согласно выполняемых операций
соответствующих разряду работ.
Таблица 9 – Основные
производственные рабочие
|
Наименование профессия
|
Количество рабочих
|
Тарифный разряд
|
|
1
|
2
|
3
|
|
Электромонтер
|
10
|
3
|
|
Электромонтер
|
2
|
4
|
4.4 Расчет численности
вспомогательных рабочих и административного персонала
К вспомогательному
персоналу относят рабочих (смазчиков, машинисты, разнорабочие и т.д.)
(4.3)
где: Авсп – количество
вспомогательных рабочих, чел.
Таблица 10 –
Вспомогательные рабочие
|
Наименование профессия
|
Количество рабочих
|
|
1
|
2
|
|
Наладчик
|
2
|
|
Смазчик
|
1
|
4.5 Расчет потребности
в основных материалах
Для определения
потребности в основных материалах для производства ремонтных работ заполняем
таблицу 4. Количество основных материалов согласно ремонта и их замены, цены
берутся согласно рыночным ценам данного года.
Таблица 11 – Основные
материалы
|
№ поз.
|
Наименование сырья,
материалов
|
ед. изм.
|
кол-во на 1 ремонт, шт.
|
цена за ед., тнг
|
Сумма, тнг
|
|
1
|
2
|
3
|
4
|
5
|
8
|
|
1
|
Кабель
|
м.
|
5
|
250
|
1250
|
|
2
|
Лампочки
|
шт.
|
150
|
30
|
4500
|
|
3
|
Шины
|
м.
|
25
|
400
|
10000
|
|
4
|
Выключателя нагревания
|
шт.
|
1
|
40000
|
40000
|
|
5
|
Высоковольтный
выключатель
|
шт.
|
1
|
12000
|
120000
|
|
6
|
Масло
|
литр.
|
100
|
300
|
30000
|
|
Итого основных
материалов
|
205750
|
4.6 Выбор системы
оплаты труда и расчет фонда заработной платы производственных рабочих
На предприятиях
энергетики в основном применяют сдельно-премиальную и повременно-премиальную заработную
плату, в данной курсовой работе применяется повременная форма оплаты труда, при
которой заработная плата начисляется работникам по установленной тарифной
ставке или окладу за фактически отработанное на производстве время.
Расчет заработной платы
основных рабочих – повременщиков
(4.4)
где: Апр -
количество основных производственных рабочих, чел;
Fэ.раб – эффективный фонд времени 1
рабочего, час;
Стп – тарифная
часовая ставка, тнг.
Таблица 12 – Расчет фонда
заработной платы основных рабочих-повременщиков
|
Профессия
|
Тарифный разряд
|
Тарифная часовая ставка
|
Действительный фонд
времени 1 рабочего
|
Заработная плата
основная
|
Отчисления
|
Премия
|
Всего з/п
|
Кол-во рабочих
|
Фонд заработной платы
|
|
1
|
2
|
3
|
4
|
5
|
6
|
7
|
8
|
9
|
10
|
|
Электромонтер
|
3
|
108
|
1861,23
|
200988
|
26726
|
50247
|
224509
|
10
|
2245090
|
|
Электромонтер
|
4
|
118,3
|
1861,23
|
220183,5
|
22800
|
55045
|
244662
|
2
|
489324
|
|
Итого
|
|
|
|
421171,5
|
49526
|
105292
|
469171
|
12
|
2734414
|
Отчисления складываются
из пенсионного и подоходного налогов. Пенсионные налоги равны 10% от заработной
платы основной. Следовательно пенсионный налог составит 20098. Подоходный налог
равен 10% от заработной платы за вычетом 10 месячных расчетных показателей.
Значит подоходный налог равен 6628. Значит отчисления будут равны 26726.
Премия составляет 25% от
заработной платы. Значит она равна 50247.
Всего з/п = зарплата
основная-отчисления+премия=200988-26726+50247=224509
Расчет зарплаты
вспомогательных рабочих и административного персонала
Определяем на основе
окладов и принятого количества работающих.
(4.5)
где: Авсп –
число вспомогательных рабочих, чел;
Ок. – месячный
оклад, тнг.
Таблица 13 – Расчет фонда
заработной платы вспомогательных рабочих
|
Профессия
|
Оклад месячный
|
Отчисления
|
Премия
|
Всего з/п
|
Кол-во рабочих
|
Фонд заработной платы
|
|
1
|
2
|
3
|
4
|
5
|
6
|
7
|
|
Наладчик
|
33000
|
5253
|
8250
|
35997
|
2
|
863928
|
|
Смазчик
|
33000
|
5253
|
8250
|
35997
|
1
|
431964
|
|
Итого
|
66000
|
10506
|
1650
|
71994
|
3
|
1295892
Премия составляет 25% от
оклада месячного. Значит она равна 8250.
Всего з/п = оклад
месячный-отчисления+премия=33000-5253+8250=35997
4.7 Расчет
среднемесячной заработной платы основного рабочего
(4.6)
где: Фполн. – полный
годовой фонд заработной платы, тнг;
Рсп – списочное число
основных рабочих, чел.
4.8 Составление сметы
цеховых расходов
Основной структурной
единицей энергетического предприятия является цех, представляющий собой
организационно и технически обособленное звено предприятия, выполняющее
определенную часть производственного процесса, либо изготовляющее какой-либо
вид продукции. Поэтому общецеховые расходы включают в калькуляцию себестоимости
оказанных услуг.
Таблица 14 – Смета
цеховых расходов
|
№ п/п
|
Наименование статей расходов
|
Сумма, тнг
|
|
Цеховые расходы
|
|
|
1
|
Затраты на силовую электроэнергию
|
6478365
|
|
2
|
Вода на технологические
цели и для производственных нужд
|
1250
|
|
3
|
Затраты на содержание и
эксплуатацию оборудования (амортизационные отчисления)
|
1495800
|
|
4
|
Затраты на вспомогательные
материалы
|
136720
|
|
Итого цеховых расходов
|
8112135
|
|
Общезаводские расходы
|
|
|
5
|
Фонд заработной платы
вспомогательных рабочих
|
35997
|
|
6
|
Отчисления на
социальное страхование
|
3957
|
|
7
|
Затраты на охрану труда
и обеспечение техники безопасности
|
54688
|
|
8
|
Прочие расходы
|
14196
|
|
Итого общезаводские
расходов
|
108838
|
|
Всего по смете
|
8220973
|
4.9 Расчет отдельных
статей сметы
1. Затраты на силовую электроэнергию
вычисляют по формуле
(4.7)
где: Цэ –
стоимость 1 кВт электроэнергии;
Wэ – годовой расход электроэнергии, кВт/ч
(4.8)
где: FД – эффективный годовой фонд производственного времени
оборудования, ч;
Nуст – установленная мощность станков,
кВт;
Кз – средний
коэффициент загрузки оборудования;
к – коэффициент одновременной
работы оборудования, к=0,75
Кс –
коэффициент потерь в электросети, Кс=0,95
п – КПД
электродвигателей, п=0,85-0,9
2. Затраты на воду на
технологические цели и производственных нужд вычисляют по формуле:
(4.9)
где: Цв –
стоимость 1 м3 водопроводной воды, тнг;
Qв – годовой расход воды на 1 станок, Qв=25 м3 ;
z – число смен работы оборудования, z=2 смены;
Кз -
коэффициент загрузки оборудования.
3. Затраты на содержание
и эксплуатацию оборудования (амортизационные отчисления)
В процессе производства
продукции основные фонды изнашиваются, утрачивая при этом свою потребительскую
стоимость. Процесс перенесения части стоимости основных фондов на создаваемую
продукцию и возвращение ее после реализации продукции предприятию называется
амортизацией.
Денежное выражение износа
основных фондов, отражающее степень их снашивания, устанавливается в плановом
порядке через норму амортизации, которая определяет годовой процент погашения
стоимости основных фондов, действуют единые для всех отраслей нормы
амортизации.
Основные средства цеха
составили 41550000.
Определяем размер годовых
амортизационных отчислений:
(22.10)
где: Сп – первоначальная
стоимость основных средств, тнг;
Л – ликвидационная
стоимость, 10% от Сп, тнг;
Тн – нормативный срок
службы основных фондов, год.
4. Затраты на
вспомогательные материалы принимают равными 5% от фонда заработной платы
основных производственных рабочих. Значит 5% от 2734414 это 136720.
5. Фонд заработной платы
вспомогательных рабочих 35997.
6. Расчет социального
налога согласно Налогового Кодекса РК на соответствующий год. Согласно
налогового кодекса РК это 11%, т.е. 11% от 35997 составит 3959.
7. Затраты на
охрану труда и обеспечение техники безопасности принимают равными 2% от фонда
заработной платы основных производственных рабочих. 2% от 2734414 составит
54688
8. Затраты на прочие
расходы (отопление производственных помещений, освещение и т.д.) принимают
равными 15% от суммы затрат по всем статьям сметы.
Сумма затрат по всем
статьям равна 94643. Значит затраты на прочие расходы составят 14196.
4.10 Расчет себестоимости ремонтных работ
по статьям калькуляции
Себестоимость продукции
или оказанных услуг является одним из основных показателей оценки
результативности работы внутрипроизводственных подразделений предприятия.
Калькуляция себестоимости
ремонтных работ – это документ, в котором в определенной последовательности
формируются и рассчитываются расходы на производство и выполнение работ.
Таблица 15 – Калькуляция
себестоимости ремонтных работ
|
№ п/п
|
Статьи калькуляции
|
Сумма, тнг.
|
|
1
|
Материалы основные
|
205750
|
|
2
|
Фонд заработной платы
основных производственных работников
|
18988,9
|
|
3
|
Отчисления на
социальное страхование
|
208817
|
|
4
|
Цеховые расходы
|
28167
|
|
5
|
Общезаводские расходы
|
377
|
|
6
|
Полная себестоимость
ремонтных работ
|
255371
|
|
7
|
Планируемая прибыль
(25%)
|
63842,9
|
|
8
|
НДС
|
38305,7
|
|
9
|
Цена реализации
|
357520,2
|
Цеховые расходы равны
8112135,так как мы выполняем один ремонт эту сумму надо разделить на 12 и на
24, следовательно цеховые расходы составят 28167.
Общезаводские расходы
составили 108838, значит расходы на один ремонт будут равны 377.
Полная себестоимость
работ равна сумме 1, 2, 3, 4 и 5 пунктов, что составит 255371.
Планируемая прибыль равна
25% от полной себестоимости ремонтных работ, что составит63842,9.
НДС равно 12% от полной
себестоимости работ плюс планируемая прибыль, что составит38305,7.
Цена реализации равна
сумме полной себестоимости ремонтных работ, планируемой прибыли и НДС, что
составит 357520,2.
ЗАКЛЮЧЕНИЕ
Входе дипломного проекта
было выполнено проектирование системы электроснабжения “деревообрабатывающего
цеха”. В результате был произведен выбор основного электрического оборудования:
трансформатора, автоматов, выключателей; линии электроснабжения. Произведены
соответствующие расчеты определяющие правильность выбора, а так же выполнена
схема электроснабжения и план расположения электрооборудования, с указанием
центра электрических нагрузок.
В результате выполнения
дипломного проекта, было установлено что для электроснабжения
“деревообрабатывающего цеха” по категории надежности необходимо установить 2
трансформатора типа ТМ-160/10, так как мощность всего цеха составляет 171,2 , в случае аварийной ситуации для
расширения производства необходимо наличие дополнительных мощностей.
Выбранные линии
электроснабжения, а так же аппаратура защиты, были проверены в результате
расчетов определяющие токи КЗ..
Для каждого оборудования
были определены активные и реактивные нагрузки, указанные на чертеже №1, 2. На
нем же указано место центра электрических нагрузок и компенсирующего
устройства. В результате установлено компенсирующего устройства (КУ)
КС1-0.66-22.5 3Т3.
Дипломное проектирование
выполнено в соответствии с заданием.
Похожие работы на - Расчет системы электроснабжения ремонтно-механического цеха станкостроительного завода
|