Электроснабжение района нагрузок
Аннотация
В дипломном проекте рассматриваются вопросы
электроснабжения микрорайона «Яблоневый посад» г. Ярославль.
Разработана схема внутри микрорайонного
электроснабжения (определены расчётные нагрузки, выбраны номинальные напряжения
распределительной сети, определено количество, местоположение и мощность
трансформаторных подстанций, на основании технико-экономического сравнения
вариантов предложена оптимальная конфигурация схемы электроснабжения, выбраны
сечения жил кабелей).
Предложены центры питания, определена суммарная
расчётная нагрузка микрорайона.
Рассчитана сеть наружного освещения микрорайона
(выбраны типы и мощности светильников, построена конфигурации сети наружного
освещения, решены вопросы по управлению наружным освещением).
Введение
Непрерывное развитие инфраструктуры городов
обуславливает рост электропотребления, требующего, в свою очередь,
систематического расширения электрических сетей, расположенных на территории
города.
Рост электропотребления связан не только с
увеличением числа жителей и расширением услуг комунально-бытовых сервисов, но и
с непрерывным проникновением электроэнергии во все сферы жизнедеятельности
населения.
Современная же ситуация в системе
электроснабжения городов характеризуется:
низким уровнем технического оснащения объектов
электроснабжения;
тем, что зачастую схема электроснабжения не
обеспечивает необходимую категорию надежности и качество электроэнергии;
износом сетей 10-0,4 кВ до 75 процентов;
недостаточностью инвестиций для модернизации
системы электроснабжения.
Предлагаемый вниманию дипломный проект посвящен
решению актуальной проблемы повышения качества и надежности электроснабжения
потребителей селитебной зоны г. Ярославля, обеспечения оптимального и
стабильного уровня освещения города, энергосбережения и повышения
энергоэффективности использования электроэнергии в городских электрических
сетях 10-0,4кВ и сетях наружного освещения.
Исходные данные для проектирования были собраны
в ходе преддипломной практики.
. Анализ существующего участка городских электрических
сетей и предпосылки реконструкции
заземление электрический нагрузка микрорайон
1.1 Краткая характеристика микрорайона города,
его потребителей
.1.1 Краткая характеристика города как
потребителя электрической энергии
В соответствии с существующими правилами и
нормами, в зависимости от численности населения, города подразделяются на
крупные, крупнейшие, большие, средние и малые. В зависимости от назначения,
территория городов делится на зоны: промышленную, селитебную,
коммунально-складскую и внешнего транспорта. Около 70% городской территории
занимает селитебная зона.
Основной структурной единицей селитебной зоны
города является микрорайон, на территории которого размещаются жилые дома,
учреждения и пункты повседневного обслуживания населения. Второй структурной
единицей селитебной зоны является жилой район, включающий несколько
микрорайонов, объединенных общественным центром, в состав которого входят
учреждения культурно-бытового обслуживания.
Город Ярославль - административный центр
Ярославской области, крупный промышленный и культурный центр, расположен в
центре Европейской части страны по обоим берегам р. Волги в устье ее правого
притока р. Которосль. Город является важным транспортным узлом, связывающим
четыре железнодорожных направления - Московское, Вологодское, Ленинградское и
Горьковское, несколько автомагистралей федерального и местного значения, а
также грузовые и пассажирские речные порты Волжского бассейна. Ярославль
относится к числу наиболее старых городов России. Его основание относится к началу
XI века. Город
вытянут вдоль берега р. Волги с северо-запада на юго-восток. Основная часть
города размещается на правом берегу р. Волги. Административно - город разделен
на шесть районов: Дзержинский, Заволжский, Кировский, Красноперекопский, Ленинский
и Фрунзенский. Население города составляет - 613,3 тыс. человек, жилой фонд -
13437 тыс.кв.метров общей полезной площади, средняя обеспеченность 21 кв.м на
жителя. Городской транспорт - трамвай, троллейбус, автобус.
Город Ярославль расположен в I
климатическом районе по гололеду и I
районе по скоростному напору ветра. Средне - годовая температура воздуха +5ОС,
глубина промерзания грунта 1,4 - 1,6 м., среднемесячная температура почвы в
осенне-зимний сезон на глубине прокладки кабеля +5ОС. Грунты - пески пылеватые
и мелкие средней плотности, супеси и суглинки. Грунтовые воды залегают на
глубине более двух метров. На отдельных пониженных участках рельефа имеется
верховодка.
Город Ярославль питается от Ярославской
энергосистемы. Основными опорными центрами питания города являются три ТЭЦ и
две ПС 220 кВ - Ярославская и Тверицкая.
Непрерывный рост и развитие городов, наблюдаемые
в последнее время и связанные с миграцией населения из сельской местности и
появлением в городах крупных магазинов, больших спортивных и
культурно-развлекательных комплексов, строительством многоэтажных домов с
квартирами повышенной комфортности, а также появлением новой бытовой
аппаратуры, приводит к значительному возрастанию потребления электроэнергии. В
связи с этим, особое внимание в городе уделяется обеспечению качественного и
надежного электроснабжения потребителей.
.1.2 Характеристика микрорайона города
Микрорайон "Яблоневый Посад"
расположен в Дзержинском районе, северной части города Ярославль. Площадь
микрорайона 18,25 га. Количество общей жилой площади 154 250м2, малоэтажная
застройка 26 269 м2, нежилые помещения 9 067 м2.
В «Яблоневом посаде» предусмотрено нескольких
типов жилья. Во-первых, это одноподъездные дома башенного типа этажностью 15-17
(1 комн. квартиры - 42-43 кв.м, 2 комн. квартиры 62-63 кв.м, 3 комн. квартиры -
86-87 кв.м). Во-вторых, это 8-9 этажные дома, состоящие из нескольких
подъездов, которые объединены общим первым этажом, на котором расположены
объекты инфраструктуры и паркинг. В северо-восточной части уже построен третий
тип жилья - это сблокированные коттеджи этажностью 3 этажа - таунхаусы, которые
предназначены для больших семей, имеют отдельный вход, гараж на первом этаже и
собственный участок земли. В северной части микрорайона расположена больница.
На территории микрорайона планируется разместить
31 жилое здание, высотой свыше 5 этажей (два дома высотой 17 этажей, два дома
высотой 15 этажей, три дома высотой 12 этажей, четыре дома высотой 9 этажей, и
20 домов высотой 8 этажей) с общим количеством квартир 3812, в том числе 180
квартир повышенной комфортности (площадью свыше 90м2). Кроме этого, на
территории микрорайона будет размещено восемь общественно-административных и
коммунально-бытовых предприятий: торговый центр, продовольственный магазин,
клуб, химчистка, два детских сада, две школы и концертно-зрелищный центр.
Полная информация о жилых и общественных зданиях
предполагаемых к строительству на территории микрорайона приведена в табл. 1.1
и 1.2. Генеральный план застройки и зонирование микрорайона представлено на
листе 1 графической части проекта.
Таблица 1.1 - Характеристика жилых зданий
|
№
п/п
|
№
на генплане
|
Количество
|
Кол-во
квартир общей площадью
|
Тип
плит для пищеприготовления
|
Кол-во
лифтов
|
Категория
ЭП по надежности эл. снабж.
|
|
|
этажей
|
подъездов
|
квартир
|
до
90 м2
|
Свыше
90 м2
|
|
пассаж.
|
груз.
|
|
|
|
nэт..
|
nпод.
|
Nкв.
|
|
|
|
nпас.
|
Pл
|
nгр.
|
Pл
|
|
|
1
|
2
|
12
|
1
|
60
|
-
|
60
|
ЭП
|
1
|
4,50
|
1
|
7,0
|
I
|
|
2
|
3
|
9
|
3
|
108
|
108
|
-
|
ГП
|
3
|
4,50
|
3
|
7,0
|
I
|
|
3
|
4
|
9
|
3
|
108
|
108
|
-
|
ГП
|
3
|
4,50
|
3
|
7,0
|
I
|
|
4
|
5
|
8
|
3
|
96
|
96
|
-
|
ГП
|
3
|
4,50
|
3
|
7,0
|
I
|
|
5
|
6
|
8
|
3
|
96
|
96
|
-
|
ГП
|
3
|
4,50
|
3
|
7,0
|
I
|
|
6
|
7
|
17
|
1
|
136
|
136
|
-
|
ЭП
|
1
|
4,50
|
1
|
7,0
|
I
|
|
7
|
8
|
15
|
1
|
120
|
120
|
-
|
ЭП
|
1
|
4,50
|
1
|
7,0
|
I
|
|
8
|
11
|
8
|
3
|
96
|
96
|
-
|
ГП
|
3
|
4,50
|
3
|
7,0
|
I
|
|
9
|
12
|
8
|
3
|
96
|
96
|
-
|
ГП
|
3
|
4,50
|
3
|
7,0
|
I
|
|
10
|
13
|
17
|
1
|
136
|
136
|
-
|
ЭП
|
1
|
4,50
|
1
|
7,0
|
I
|
|
11
|
14
|
15
|
1
|
120
|
120
|
-
|
ЭП
|
1
|
4,50
|
1
|
7,0
|
I
|
|
12
|
15
|
8
|
3
|
96
|
96
|
-
|
ГП
|
3
|
4,50
|
3
|
7,0
|
I
|
|
13
|
16
|
8
|
3
|
96
|
96
|
-
|
ГП
|
3
|
4,50
|
3
|
7,0
|
I
|
|
14
|
18
|
8
|
3
|
96
|
96
|
-
|
ГП
|
3
|
4,50
|
3
|
7,0
|
I
|
|
15
|
19
|
8
|
3
|
96
|
96
|
-
|
ГП
|
3
|
4,50
|
3
|
7,0
|
I
|
|
16
|
20
|
8
|
3
|
96
|
96
|
-
|
ГП
|
3
|
4,50
|
3
|
7,0
|
I
|
|
17
|
31
|
9
|
3
|
108
|
108
|
-
|
ГП
|
3
|
4,50
|
3
|
7,0
|
I
|
|
18
|
30
|
9
|
3
|
108
|
108
|
-
|
ГП
|
3
|
4,50
|
3
|
7,0
|
I
|
|
19
|
29
|
12
|
1
|
60
|
-
|
60
|
ЭП
|
1
|
4,50
|
1
|
7,0
|
I
|
|
20
|
24
|
8
|
9
|
288
|
288
|
-
|
ГП
|
9
|
4,50
|
9
|
7,0
|
I
|
|
21
|
23
|
8
|
9
|
288
|
288
|
-
|
ГП
|
9
|
4,50
|
9
|
7,0
|
I
|
|
22
|
22
|
8
|
9
|
288
|
288
|
-
|
ГП
|
9
|
4,50
|
9
|
7,0
|
I
|
|
23
|
26
|
8
|
3
|
96
|
96
|
-
|
ГП
|
3
|
4,50
|
3
|
7,0
|
|
24
|
27
|
8
|
3
|
96
|
96
|
-
|
ГП
|
3
|
4,50
|
3
|
7,0
|
I
|
|
25
|
28
|
8
|
3
|
96
|
96
|
-
|
ГП
|
3
|
4,50
|
3
|
7,0
|
I
|
|
|
|
всего
|
3080
|
2960
|
180
|
|
|
|
|
|
|
|
|
|
|
|
|
|
|
|
|
|
|
|
|
|
|
|
|
|
|
|
Таблица 1.2 - Характеристика
общественно-административных зданий и коммунально-бытовых предприятий
микрорайона
|
№
пп
|
№
на генплане.
|
Общественные
здания
|
Единица
измерения количественного показателя.
|
Количественный
показатель, М
|
Категория
ЭП по надежности электроснабжения
|
|
1
|
1
|
Концертно-зрелищный
центр
|
мест
|
600
|
II
|
|
2
|
9
|
Детский
сад
|
мест
|
250
|
II
|
|
3
|
10
|
Образовательная
школа
|
мест
|
500
|
II
|
|
4
|
17
|
Торговый
центр:
|
|
|
II
|
|
|
продовольственный
магазин
|
м2
торг. зала
|
560
|
|
|
|
промтоварный
магазин
|
м2
торг. зала
|
470
|
|
|
|
Парикмахерская
|
мест
|
20
|
|
|
|
Кафе
|
мест
|
80
|
|
|
5
|
21
|
Образовательная
школа
|
мест
|
1100
|
II
|
|
6
|
25
|
Продовольственный
магазин
|
м2
торг. зала
|
420
|
II
|
.2 Существующая система электроснабжения и
техническое состояние электрических сетей микрорайона
.2.1 Распределительная сеть 6-10 кВ
Электроснабжение потребителей микрорайона
(больницы и участка малоэтажной застройки) от центров питания осуществляется
через электрические сети ОАО «ЯГЭС».
Электроснабжение микрорайона осуществляется на
напряжении 6кВ. ТП микрорайона - 409,408, 535 питаются по двухзвеньевой схеме
через распределительную сеть от РП-30, который в свою очередь получает питание
от ПС 110/35/6 Павловская.
Здания ТП находятся в хорошем состоянии и могут
быть использованы для дальнейшей эксплуатации, но оборудование ТП 409, 408
вследствие своего большого физического и морального износа, требует своей
поэтапной модернизации (технического перевооружения ТП).
По своему конструктивному исполнению сети
выполнены кабельными линиями.
Схема построения кабельных сетей комбинированная
с включением в нее ТП с секционированными шинами 6-10 кВ. Кабели проложены
марок ААБ, ААШв, сечением 50-150 мм2, вследствие своего большого физического не
могут быть использованы для дальнейшей эксплуатации.
При существующей нагрузке линии 6 кВ имеют
достаточную пропускную способность, но при реализации планов застройки
необходимо увеличить пропускную способность сети и рассмотреть целесообразность
перевода электроснабжения микрорайона на другие центры питания.
Положение микрорайона относительно близлежащих
ЦП ПС 110/10 Брагино, и ПС 110/10 Перевал, а также РП ОАО «ЯГЭС».
.2.2 Распределительная сеть 0,4 кВ
В распределительных сетях до 1000 В используется
система напряжения 380/220 В.
Кабельные линии выполнены в районе клинической
больницы. Кабельные сети выполнены по петлевой и радиальным схемам, с
использованием кабелей различных марок.
Воздушные сети выполнены в районах малоэтажной
застройки имеют радиальную схему без резервных перемычек. Воздушные линии
выполнены на ж/б опорах проводом марки СИП 2.
.2.3 Сеть наружного освещения
Наружное освещение (НО) имеет большинство
существующих улиц и дорог, примыкающих к микрорайону. Для освещения
используются светильники с газоразрядными лампами типа ДРЛ.
Существующие установки НО, не в полной мере
обеспечивают требуемые значения освещенности улиц, дорог, проездов и т.п.
микрорайона.
В ночные часы спада интенсивности движения
транспорта отключение части светильников на магистральных улицах не
производится (отсутствует фаза вечернего режима), что приводит к
дополнительному расходу электроэнергии на нужды освещения города.
Для обеспечения оптимального и стабильного
уровня освещения улиц, дорог, проездов и т.п. микрорайона в соответствии с
действующими нормативами, обеспечения оперативного контроля и управления сетью
НО, повышения надежности работы сети НО, и ее энергоэффективности необходимо
выполнить работы по реконструкции существующих сетей НО и их модернизации
(техническому перевооружению).
.3 Надежность электроснабжения
На территории микрорайона находятся, потребители
с электроприемниками I и III категории, это клиническая больница и участок
малоэтажной застройки соответственно.
Питание потребителей с электроприемниками I
категории существующей схемой электрических сетей 6 кВ обеспечивается не в
полном объеме. Отсутствие в сетях устройств АВР в значительной степени снижает
надежность питания указанных потребителей, а в ряде случаев делает это
невозможным. Отсутствие сетевого резервирования питания потребителей без
перерыва в электроснабжении приводит к необходимости установки у потребителей
автономных источников питания, многие из которых в свою очередь не имеют
устройств АВР.
В составе новой застройки микрорайона большую
часть потребителей электрической энергии по надежности электроснабжения
составляют потребители первой категории - лифты многоэтажных жилых домов. Ко
второй категории относятся электроприемники концертно-зрелищного зала, детских
садов, школ, торгового центра, клуба, продовольственного магазина.
. Расчет электрических нагрузок микрорайона
города
.1 Существующие потребители
Расчетные электрические нагрузки существующих
коммунально-бытовых потребителей в микрорайоне города определены в соответствии
с [п. 2.4.2, 1] (по данным эксплуатационных замеров на шинах 0,4 кВ ТП в часы
их собственных максимумов нагрузок) на 2015 год с учетом роста на 5% в год.
Данные по электрическим нагрузкам разбиты по трансформаторным подстанциям и
сведены в табл. 2.1
Таблица 2.1 - Электрические нагрузки
существующих потребителей с разбивкой по ТП
|
№
п/п
|
№
ТП
|
Нагрузка
на шинах ТП, кВт
|
Кол-во
и мощность трансформаторов
|
Основной
потребитель
|
|
1
|
409
|
190
|
2х160
|
Больница
|
|
2
|
408
|
260
|
2х160
|
Больница
|
|
3
|
535
|
160
|
250
|
Малоэтажная
застройка
|
.2 Новые потребители
Расчет электрических нагрузок производится по
[1] от низших к высшим ступеням системы электроснабжения и включает два этапа:
определение нагрузки на вводе к каждому
потребителю;
расчет на этой основе нагрузок отдельных
элементов сети.
Расчетная нагрузка потребителя и отдельных
элементов сети принимается равной ожидаемой максимальной нагрузке за 30 минут.
.2.1 Расчет электрических нагрузок жилых зданий
Определение расчетных нагрузок жилых зданий
основывается на использовании нагрузки одного потребителя, в качестве которого
выступает семья или квартира, при посемейном заселении домов.
Определим расчетную нагрузку на вводе жилого
дома на примере двенадцати этажного 60 квартирного дома с квартирами повышенной
комфортности с электрическими плитами мощностью до 10.5 кВт (№2 на генплане).
Расчетная активная нагрузка квартир, приведенная
к вводу жилого здания, определяется, в зависимости от числа квартир и
применяемых кухонных плит по типу пищеприготовления, по выражению, кВт:
, (2.1)
где Nкв-число
квартир присоединенных к элементу сети, Nкв.=60;
руд.кв.-удельная расчетная нагрузка
квартиры, определяемая согласно [табл.2.1.1н , 1], кВт/квартира.
Тогда расчетная активная нагрузка
квартир, приведенная к вводу жилого здания равна:
Рр.кв=2,8
60=168 (кВт)
Расчетная активная нагрузка силовых
электроприемников определяется нагрузками лифтовых установок, насосов
водоснабжения, вентиляторов и других санитарно-технических установок. Мощность
резервных электродвигателей, а так же электроприемников противопожарных
устройств, при расчете электрических нагрузок не учитываются.
В домах данного микрорайона основу
силовой нагрузки составляют лифтовые установки, поэтому расчетная силовая
нагрузка определяется следующим образом, кВт:
, (2.2)
где Kc-коэффициент
спроса лифтовых установок, определяемый по [табл.2.1.2, 1] в зависимости от
этажности здания и количества лифтов, Kc=0,8;общее количество
лифтовых установок в жилом доме, Nл=2.
nпас, nгр
-количество пассажирских и грузопассажирских лифтов соответственно;
=4,5 кВт,
=7 кВт -
мощности электродвигателей лифтовых установок, соответственно пассажирских и
грузопассажирских;
Рр.л.=0,8
(4.5
1+7,0
1)=9,2(кВт)
Тогда расчетная активная нагрузка на
вводе жилого дома равна, кВт:
, (2.3)
где kу.- коэффициент участия в
максимуме нагрузки силовых электроприемников, принимаемый равным 0.9, тогда:
Рр.ж.д.=168+0,9
9,2=176,28(кВт)
Расчетная реактивная нагрузка на
вводе жилого дома, кВАр:
, (2.4)
где
кв.=0.2 -для квартир с
электрическими плитами, определяется по [табл.2.1.4, 1] ;
л.=1.17 -для лифтовых установок,
[табл.2.1.4, 1] .
Для жилого дома (№2 на генплане),
расчетная реактивная нагрузка на вводе, определяемая на основании выражения
(2.4), равна:р.ж.д.=168
0,2+0,9
9,2
1,17=43,29
(кВАр)
Полная расчетная нагрузка на вводе
жилого дома, кВА:
(2.5)
Аналогичные расчеты проводим для
других жилых домов микрорайона.
Результаты расчета заносим в табл.
2.2.
В случае, когда количество квартир в
доме не совпадает с указанным значением в [табл.2.1.1н ,1], тогда удельная
расчетная нагрузка, определяется методом интерполяции, по следующей формуле
кВт/кв:
(2.6)
где N'-ближайшее меньшее количества
квартир (Nкв.), стандартное табличное;"- ближайшее большее количества
квартир (Nкв.), стандартное табличное;
руд.ж.зд.(N') и
руд.ж.зд.(N")
-удельные расчетные нагрузки, [табл.2.1.1н ,1] соответственно для N' и N".
Таблица 2.2 - Расчет электрических нагрузок
жилых домов, намеченных к строительству
|
№,
п/п
|
№
на генплане
|
Кол-во
квартир:
|
Тип
плит для пищеприготовления
|
Удельная
нагрузка, кВт/кв.
|
Расчетная
нагрузка домов, кВт
|
Кол-во
лифтов
|
Коэф-т
спроса лифта
|
Расчетная
нагрузка лифтов
|
Коэф-ты
реактивной мощности
|
расчетная
нагрузка
|
|
|
|
|
|
|
пассаж.
|
груз.
|
|
|
|
Активная,
кВт
|
Реактивная,
квар
|
Полная,
кВА
|
|
-
|
-
|
Nкв.шт.
|
-
|
руд.кв.
|
-
|
nпас.
|
Pл
|
nгр.
|
Pл
|
Кс
|
Рр.л
кВт
|
 Рр.ж. д.Qр.ж. д.Sр.ж. д.
|
|
|
|
|
|
1
|
2
|
60
|
ЭП
|
2,8
|
168
|
1,00
|
4,50
|
1,00
|
7,00
|
0,8
|
9,2
|
0,2
|
1,17
|
176,28
|
43,29
|
181,52
|
|
2
|
3
|
108
|
ГП
|
0,84
|
90,72
|
3,00
|
4,50
|
3,00
|
7,00
|
0,65
|
22,425
|
0,2
|
1,17
|
110,90
|
41,76
|
118,50
|
|
3
|
4
|
108
|
ГП
|
0,84
|
90,72
|
3,00
|
4,50
|
3,00
|
7,00
|
0,65
|
22,425
|
0,2
|
1,17
|
110,90
|
41,76
|
118,50
|
|
4
|
5
|
96
|
ГП
|
0,87
|
83,52
|
3,00
|
4,50
|
3,00
|
7,00
|
0,65
|
22,425
|
0,29
|
1,17
|
103,70
|
47,83
|
114,20
|
|
5
|
6
|
96
|
ГП
|
0,87
|
83,52
|
3,00
|
4,50
|
3,00
|
7,00
|
0,65
|
22,425
|
0,29
|
1,17
|
103,70
|
47,83
|
114,20
|
|
6
|
7
|
136
|
ЭП
|
1,45
|
197,2
|
1,00
|
4,50
|
1,00
|
7,00
|
0,9
|
10,35
|
0,2
|
1,17
|
206,52
|
50,34
|
212,56
|
|
7
|
8
|
120
|
ЭП
|
1,47
|
176,4
|
1,00
|
4,50
|
1,00
|
7,00
|
0,9
|
10,35
|
0,2
|
1,17
|
185,72
|
46,18
|
191,37
|
|
8
|
11
|
96
|
ГП
|
0,87
|
83,52
|
3,00
|
4,50
|
3,00
|
7,00
|
0,65
|
22,425
|
0,29
|
1,17
|
103,70
|
47,83
|
114,20
|
|
9
|
12
|
96
|
ГП
|
0,87
|
83,52
|
3,00
|
4,50
|
3,00
|
7,00
|
0,65
|
22,425
|
0,29
|
1,17
|
103,70
|
47,83
|
|
10
|
13
|
136
|
ЭП
|
1,45
|
197,2
|
1,00
|
4,50
|
1,00
|
7,00
|
0,9
|
10,35
|
0,2
|
1,17
|
206,52
|
50,34
|
212,56
|
|
11
|
14
|
120
|
ЭП
|
1,47
|
176,4
|
1,00
|
4,50
|
1,00
|
7,00
|
0,9
|
10,35
|
0,2
|
1,17
|
185,72
|
46,18
|
191,37
|
|
12
|
15
|
96
|
ГП
|
0,87
|
83,52
|
3,00
|
4,50
|
3,00
|
7,00
|
0,65
|
22,425
|
0,29
|
1,17
|
103,70
|
47,83
|
114,20
|
|
13
|
16
|
96
|
ГП
|
0,87
|
83,52
|
3,00
|
4,50
|
3,00
|
7,00
|
0,65
|
22,425
|
0,29
|
1,17
|
103,70
|
47,83
|
114,20
|
|
14
|
18
|
96
|
ГП
|
0,87
|
83,52
|
3,00
|
4,50
|
3,00
|
7,00
|
0,65
|
22,425
|
0,29
|
1,17
|
103,70
|
47,83
|
114,20
|
|
15
|
19
|
96
|
ГП
|
0,87
|
83,52
|
3,00
|
4,50
|
3,00
|
7,00
|
0,65
|
22,425
|
0,29
|
1,17
|
103,70
|
47,83
|
114,20
|
|
16
|
20
|
96
|
ГП
|
0,87
|
83,52
|
3,00
|
4,50
|
3,00
|
7,00
|
0,65
|
22,425
|
0,29
|
1,17
|
103,70
|
47,83
|
114,20
|
|
17
|
31
|
108
|
ГП
|
0,84
|
90,72
|
3,00
|
4,50
|
3,00
|
7,00
|
0,65
|
22,425
|
0,2
|
1,17
|
110,90
|
41,76
|
118,50
|
|
18
|
30
|
108
|
ГП
|
0,84
|
90,72
|
3,00
|
4,50
|
3,00
|
7,00
|
0,65
|
22,425
|
0,2
|
1,17
|
110,90
|
41,76
|
118,50
|
|
19
|
29
|
60
|
ЭП
|
2,8
|
168
|
1,00
|
4,50
|
1,00
|
7,00
|
0,8
|
9,2
|
0,2
|
1,17
|
176,28
|
43,29
|
181,52
|
|
20
|
24
|
288
|
ГП
|
0,74
|
213,12
|
9,00
|
4,50
|
9,00
|
7,00
|
0,4
|
41,4
|
0,29
|
1,17
|
250,38
|
105,40
|
271,66
|
|
-
|
-
|
Nкв.шт
|
-
|
руд.кв.
|
-
|
nпас.
|
Pл
|
nгр.
|
Pл
|
Кс
|
Рр.л
кВт
|
 Рр.ж. д.Qр.ж.дSр.ж. д.
|
|
|
|
|
|
21
|
23
|
288
|
ГП
|
0,74
|
213,12
|
9,00
|
4,50
|
9,00
|
7,00
|
0,4
|
41,4
|
0,29
|
1,17
|
250,38
|
105,40
|
271,66
|
|
22
|
22
|
288
|
ГП
|
0,74
|
213,12
|
9,00
|
4,50
|
9,00
|
7,00
|
0,4
|
41,4
|
0,29
|
1,17
|
250,38
|
105,40
|
271,66
|
|
23
|
26
|
96
|
ГП
|
0,87
|
83,52
|
3,00
|
4,50
|
3,00
|
7,00
|
0,65
|
22,425
|
0,29
|
1,17
|
103,70
|
47,83
|
114,20
|
|
24
|
27
|
96
|
ГП
|
0,87
|
83,52
|
3,00
|
4,50
|
3,00
|
7,00
|
0,65
|
22,425
|
0,29
|
1,17
|
103,70
|
47,83
|
114,20
|
|
25
|
28
|
96
|
ГП
|
0,87
|
83,52
|
3,00
|
4,50
|
3,00
|
7,00
|
0,65
|
22,425
|
0,29
|
1,17
|
103,70
|
47,83
|
114,20
|
Таблица 2.3 - Расчет электрических нагрузок
общественных зданий, намеченных к строительству
|
№
п/п
|
№
на генплане
|
наименование
|
Количе-ственный
показатель, единиц
|
Удельная
расчетная нагрузка, кВт/ед
|
Активная
расчетная нагрузка, кВт
|
Коэф-т
реактив мощности:
|
Реактивная
расчетная нагрузка, квар
|
Полная
расчетная нагрузка, кВА
|
|
|
|
М
|
Руд.общ.
|
Рр.общ.
|
|
Qр.общ.
|
Sр.общ.
|
|
1
|
1
|
Концертно-зрелищный
центр
|
600
|
0,12
|
72
|
0,33
|
23,76
|
75,82
|
|
2
|
9
|
Детский
сад
|
250
|
0,46
|
115
|
0,25
|
28,75
|
118,54
|
|
3
|
10
|
Образовательная
школа
|
500
|
0,25
|
125
|
0,38
|
47,50
|
133,72
|
|
4
|
17
|
Торговый
центр:
|
|
|
317,2
|
|
156,84
|
353,86
|
|
|
продовольственный
магазин
|
560
|
0,23
|
128,8
|
0,75
|
96,60
|
161,00
|
|
|
промтоварный
магазин
|
470
|
0,16
|
75,2
|
0,48
|
36,10
|
83,41
|
|
|
парикмахерская
|
20
|
30
|
0,25
|
7,50
|
30,92
|
|
|
Кафе
|
80
|
1,04
|
83,2
|
0,2
|
16,64
|
84,85
|
|
5
|
21
|
Образовательная
школа
|
1100
|
0,25
|
275
|
0,38
|
104,50
|
294,19
|
|
6
|
25
|
Продовольственный
магазин
|
420
|
0,23
|
96,6
|
0,75
|
72,45
|
120,75
|
.2.2 Расчет электрических нагрузок общественных
зданий и учреждений
Определение расчетной нагрузки на вводе в
общественное здание покажем на примере продовольственного магазина с
кондиционированием воздуха( №25 на генплане). Основные характеристики данного
объекта приведены в табл. 1.2.
Расчетные нагрузки на вводе в общественные
здания и учреждения определяются по укрупненным удельным нагрузкам. Активная
расчетная нагрузка определяется по формуле, кВт:
(2.7)
где Руд.общ.-удельная расчетная
нагрузка единицы количественного показателя (рабочее место, посадочное место,
площадь торгового зала в м2 и т.п.), определяемая по [табл.2.2.1н ,1],
Руд.общ.=0,23 кВт/ м2
М - количественный показатель,
характеризующий пропускную способность предприятия, объем производства и т.д.,
М=420 м2.
Таким образом, активная расчетная
нагрузка будет:
Рр.прод.м=0,23
420=96,6
(кВт)
Расчетная реактивная нагрузка на
вводе в общественное здание и учреждение определяется по выражению, кВАр:
, (2.8)
где tgφ-расчетный
коэффициент реактивной мощности, определяемый по [табл.2.2.1н, 1], tgφ=0,75.р.прод.м=96,6
0,75=72,45(кВАр)
Полная расчетная нагрузка на вводе в
общественное здание определяется по формуле 2.5):
Аналогичные расчеты производим для
других общественных зданий и учреждений. Результаты расчета представлены в
табл. 2.3. Нагрузка торгового центра была определена как сумма нагрузок
электроприемников различных групп учреждений
.3 Расчет нагрузки наружного освещения
Удельная нагрузка для расчета наружного
освещения ориентировочно определяются исходя из норм яркости или освещенности
покрытия улиц и дорог для различных категорий улиц с учетом ширины дорожного
покрытия по [3]. Данные сведены в табл. 2.4.
Таблица 2.4 - Средние значение удельной нагрузки
наружного освещения для улиц и дорог
|
№
п/п
|
Наименование
улиц
|
Тип
улиц
|
Значение
удельной нагрузки, Руд.ул.о.
|
|
1
|
Южное
шоссе
|
Магистральные
улицы районного значения с усовершенствованным типом покрытия
|
от
20 до 30 кВт/км
|
|
2
|
ул.
Комсомольская
|
|
|
|
3
|
ул.
Покровского
|
|
|
|
4
|
ул.
Ленинградская
|
Улицы,
преулки и дороги местного значения с усовершенствованным типом покрытия
|
.
от 7 до 10 кВт/км
|
|
5
|
ул.
Клубная
|
|
|
|
6
|
ул.
Зеленая
|
|
|
|
7
|
ул.
Заводская
|
|
|
|
8
|
ул.
Советская
|
|
|
|
9
|
пер.
Светлый
|
|
|
|
10
|
-
|
Внутриквартальные
проезды с усовершенствованным типом покрытия
|
1,2
кВт/га
|
Расчетную нагрузку уличного освещения можно
определить по формуле:
, (2.9)
где Руд.ул.о,i-удельная
расчетная нагрузка уличного освещения, кВт/км, Руд.ул.о,1=25кВт/км;
Руд.ул.о,2=10кВт/км;
Lул,i-длина улицы
(или участка), км;
Расчетная нагрузка
внутриквартального освещения Рр.вк. определяется по выражению:
, (2.10)
где Руд.вк.- удельная расчетная
нагрузка внутриквартального освещения, кВт/га, Руд.вк.=1,2 кВт/га;
Fмкр.- общая
площадь внутриквартальной территории микрорайона, га.
Светильники на внутриквартальной
территории размещаются вдоль внутриквартальных проездов и по периметру
территории школ и детских садов. Расчет сведем в табл. 2.5
Таблица 2.5 - Расчет нагрузки
уличного освещения
|
№
п/п
|
Наименование
улиц
|
Ед.
измер
|
Кол-во
|
Среднее
значение удельной нагрузки, Руд.ул.о.
|
Расчетная
нагрузка Рр.вк
|
|
1
|
Южное
шоссе
|
км
|
1,4
|
25
|
35
|
|
2
|
ул.
Комсомольская
|
км
|
0,64
|
25
|
16
|
|
3
|
ул.
Покровского
|
км
|
1,35
|
25
|
33,75
|
|
4
|
ул.
Ленинградская
|
км
|
0,6
|
9
|
5,4
|
|
5
|
ул.
Клубная
|
км
|
0,58
|
9
|
5,22
|
|
6
|
ул.
Зеленая
|
км
|
0,6
|
9
|
5,4
|
|
7
|
ул.
Заводская
|
км
|
1,55
|
9
|
13,95
|
|
8
|
ул.
Советская
|
км
|
1,1
|
9
|
9,9
|
|
9
|
пер.
Светлый
|
км
|
0,5
|
9
|
4,5
|
|
10
|
Внутриквартальные
проезды
|
га
|
65
|
1,2
|
78
|
|
11
|
Всего
|
кВт
|
|
|
207,12
|
|
|
|
|
|
|
|
|
|
Расчетная нагрузка наружного освещения
микрорайона Рр.о.мкр определяется по выражению:
(2.11)
При расчете реактивной составляющей
учитывается что применяются светильники с газоразрядными лампами и
коэффициентом мощности ПРА не менее cos
=0,85 и
соответственно tg
=0,62 .
Расчетная реактивная составляющая
нагрузки наружного освещения микрорайона Qр.о.мкр.
определяется по формуле:
(2.12)
Полная расчетная электрическая
нагрузка наружного освещения микрорайона Sр.о.мкр.
определяется по формуле:
(2.13)
Выбор типов светильников и
источников света, мощности, шага и размещения будет сделан в дальнейшей части
работы.
2.4 Предварительный расчет электрической
нагрузки микрорайона
Расчет электрической нагрузки микрорайона
выполняется путем суммирования расчетных нагрузок отдельных групп однородных
потребителей с учетом коэффициента участия в максимуме наибольшей из нагрузок.
Расчетные активная и реактивная нагрузки
микрорайона определяются по выражениям:
, (2.14)
, (2.15)
где Рр.нб.- наибольшее значение
расчетной активной мощности одной из групп однородных потребителей, кВт;
Рр.i - расчетная
активная нагрузка остальных групп потребителей; кВт;
Kу.i
-коэффициент участия в максимуме нагрузки относительно выбранной наибольшей
нагрузки, определяемый по [табл.2.3.1, 1].
tgφзд.нб.-расчетный
коэффициент реактивной мощности, соответствующий группе потребителей с
наибольшей нагрузкой.
tgφзд.i-расчетный
коэффициент реактивной мощности, соответствующий остальным группам
потребителей.
В рассматриваемом микрорайоне можно
выделить по типу плит для пищеприготовления и типу домов (по комфортности) два
«условных дома». Принимая, что к шинам ТП в среднем будут подключено 400
квартир с ГП, и 100 с ЭП.
Объединим все дома с газовыми
плитами в первый условный дом, и рассчитаем его нагрузку по методике описанной
выше, принимая то, что к одной ТП будет подключено примерно 400 квартир. Всего
в микрорайоне 2388 квартир с газовыми плитами.
Удельная расчетная мощность
условного дома принимается по [табл.2.1.1н, 1], как для Nкв.=400,
Руд.кв =0,71
:
Согласно (2.1) определим
Рр.кв.(усл1.)=0,71
2388=1695,5
(кВт)
Силовая нагрузка лифтовых установок
по формуле (2.3)
где Кс1=0,65 - коэффициент спроса,
определяемый по [табл. 2.1.2, 1] для домов этажностью до 12 этажей, считая что
в среднем на дом приходится 6 лифтовых установок.
Расчетные активную и реактивную
мощности условного дома с квартирами ГП определим соответственно по формулам
(2.4) и (2.5):
Рр.ж.д.(усл1)= 1695,5 +0,9
717,6=2342(кВт)
Qр.ж.д.(усл.1)=1695,5
0,29+0,9
717,6
1,17=1247(кВАр)
Расчетная полная мощность первого
условного определяется по формуле (2.6):
Дома с электрическими плитами
объединим во второй условный дом
Удельная расчетная мощность
условного дома принимается по [табл.2.1.1н, 1], как для Nкв.=100,
Руд.кв =1,5
:
Согласно (2.1) определим
Рр.кв.(усл2.)=1,5
632=948(кВт)
Силовая нагрузка лифтовых установок
по формуле (3):
где Кс2=0,85 - коэффициент спроса,
определяемый по [табл. 2.1.2, 1], с помощью интерполяции;
Расчетные активную и реактивную
мощности условного дома определим соответственно по формулам (2.4) и (2.5):
Рр.ж.д.(усл2)=1038+0,9
68,4=1099,6(кВт)
Qр.ж.д.(усл.2)=1038
0,2+0,9
68,4
1,17=279,6(кВАр)
Расчетная полная мощность условного
дома с электрическими плитами определяется по формуле (2.6):
Расчетная нагрузка всего микрорайона
с учетом наружного освещения микрорайона определяемая по выражениям (2.14)
и(2.15) записывается следующим образом:
Рр.мкр.=Рр.ж.д.(усл1.)+Рр.ж.д.(усл2)
Ку.ж.д.(усл2)+Рр.конц
Ку.конц.+Рр.дет.сад1.
Ку.дет.сад1.+
+Рр.обр.шк1.
Ку.обр.шк.1+Рр.прод.м1
Ку.прод.м1+Рр.пром.м
Ку.пром..м.+Рр.парик.
Ку.парик.+Рр.кафе.
Ку.кафе.+
+Рр.обр.шк2.
Ку.обр.шк.2.+Рр.прод.м2
Ку.прод.м2+Рр.ул.о.
(2.16)
Qр.мк.р=(Рр.кв
tg
кв+0,9
Рр.л
tg
л)(усл1)+(Рр.кв
tg
кв+0,9
Рр.л
tg
л)(усл2)
Ку.ж.д.(усл2).+
Рр.конц
tg
конц
Ку.
конц.+Рр. дет.сад1
tg
дет.сад1
Ку.
дет.сад1+Рр.обр.шк1.
tg
обр.шк1
Ку.обр.шк1.+
+Рр. прод.м1.
tg
прод.м1
Ку. прод.м1.
+Рр. пром.м.
tg
пром.м
Ку. пром.м
+Рр. парик.
tg
парик
Ку. парик +
+Рр. кафе.
tg
кафе
Ку. кафе.+
Рр.обр.шк2.
tg
обр.шк2
Ку.обр.шк2.+Рр.
прод.2.
tg
прод.м2
Ку. прод.м2.
+ Qр.о.мкр.
(2.17)
По формуле (2.16) расчетная активная
нагрузка равна:
Рр.мкр.=2861+1099,6∙0,9+72∙0,9+115∙0,4+125∙0,3+128,8∙0,8+75,2∙0,8+30∙0,7+83,2∙0,7+
+275∙0,3+96,6∙0,8+207,12 =4608,3 (кВт)
Расчетная реактивная нагрузка
микрорайона согласно формулы (2.17) равна:
Qр.мкр.=1398+279,6∙0,9+23,76∙0,9+28,75∙0,4+47,5∙0,3+96,6∙0,8+36,1∙0,8+7,5∙0,7+16,64∙0,7++104,5∙0,3+72,45∙0,8+128,4
=2037,5 (кВАр)
Полная нагрузка микрорайона равна:
. Разработка и выбор варианта электроснабжения
микрорайона
.1 Трансформаторные подстанции
.1.1 Определение числа и мощности
трансформаторов и трансформаторных подстанций
Число и мощность трансформаторных подстанций
(ТП) оказывает существенное влияние на технико-экономические показатели системы
электроснабжения города в целом. От правильного выбора числа и мощности
трансформаторов ТП, а также от размещения ТП на территории микрорайона, зависит
эффективность функционирования системы электроснабжения.
Основой для выбора числа трансформаторов в ТП
является схема электроснабжения и категории электроприемников по надежности
электроснабжения.
Мощность трансформаторов, а, следовательно,
число и мощность ТП, непосредственно влияют на все последующие решения,
связанные с построением системы электроснабжения. В общем виде задача
определения мощности трансформаторов может быть решена путем нахождения
аналитической зависимости приведенных затрат, связанных с передачей энергии
через рассматриваемую систему, от мощности трансформаторов ТП. Однако
определение наивыгоднейшей мощности трансформаторов ТП требует перебора
большого числа вариантов, что в связи с большой трудоемкостью расчетов не
всегда может быть выполнено. Поэтому для ориентировочного определения
экономически целесообразной мощности трансформаторов ТП может быть применена
формула, полученная на основании многочисленных расчетов:
, (3.1)
где
-плотность нагрузки микрорайона
(кВА/км2), определяемая по формуле:
, (3.2)
где Sр.мк.р.-расчетное
значение полной нагрузки микрорайона, кВА;мк.р.-площадь микрорайона, км2.
Экономически целесообразная мощность
трансформаторов ТП:
Так как значительную долю
потребителей микрорайона составляют потребители 1-й и 2-й категории по
надежности электроснабжения, то, согласно требований ПУЭ, электроснабжение
необходимо производить от двух независимых источников питания имеющих, поэтому
принимаем количество трансформаторов в ТП равное двум, т.е. nтр=2.
Согласно [п. 4.4.3, 1] в районах
многоэтажной застройки (9 этажей и выше) при плотности нагрузки 8 МВт./км2 и
более оптимальная мощность двухтрансформаторных подстанций должна составлять 2∙630
кВА. Предварительно для расчетов принимаем двухтрансформаторную ТП с мощностью
каждого трансформатора 630 кВА.
Ориентировочное число ТП
определяется по выражению:
, (3.3)
где Kз - коэффициент загрузки
трансформаторов ТП в нормальном режиме, принимаем Kз=0,75, так как основную
долю потребителей микрорайона составляют потребители 2-й категории надежности.
В результате расчета необходимо
принять 6 трансформаторных подстанций, т.е. количество ТП nтп =6.
Объекты микрорайона распределяются
между ТП с учетом их загрузки и месторасположения в микрорайоне.
Результаты распределения
представлены в табл. 3.1.
Таблица 3.1 - Распределение объектов
электроснабжения микрорайона между ТП
|
№
ТП
|
Позиции
объектов
|
Предварительное
число и мощность трансформаторов Nтр.∙Sном.тр.,
кВА
|
|
601
|
1,2,3,5,6,7,8,9
|
2х630
|
|
602
|
13,14,15,16,17
|
2х630
|
|
603
|
4,10,11,12,18,19
|
2х630
|
|
604
|
20,21,29,30,31
|
2х630
|
|
605
|
22,23,24
|
2х630
|
|
606
|
25,26,27,28
|
2х400
|
Расчетная нагрузка каждой трансформаторной
подстанции определяется аналогично п. 2.4. Расчет электрических нагрузок ТП
покажем на примере расчета для ТП 601.
Наибольшую электрическую нагрузку
трансформаторной подстанции ТП 601 имеет 17 этажный дом с электроплитами. По
[табл.2.3.1, 1] находим коэффициенты участия Ку остальных групп потребителей в
максимуме нагрузки.
Расчетная нагрузка ТП с учетом коэффициента
участия по формулам (2.14), (2.15) равна:
Рр.ТП 601.=Рр.ж.д.7+ Рр.ж.д.8+ Рр.ж.д.2+
Ку.ж.д.(ГП) (Рр.ж.д.3+ Рр.ж.д.5+ Рр.ж.д.6)+ Рр.конц∙Ку.конц.+
Рр.дет.сад1.∙Ку.дет.сад1.+ Рр.ул.о.ТП601 (3.4)
Qр.мк.р=(Рр.кв∙tg
кв+0,9∙Рр.л∙tg
л)(
р.ж.д.7)+ (Рр.кв∙tg
кв+0,9∙Рр.л∙tg
л)(
р.ж.д.8)+(Рр.кв∙tg
кв+0,9∙Рр.л∙tg
л)( р.ж.д.2)
+ Ку.ж.д.(ГП)∙((Рр.кв∙tg
кв+0,9∙Рр.л∙tg
л)( р.ж.д.3)
+(Рр.кв∙tg
кв+0,9∙Рр.л∙tg
л)( р.ж.д.5)
+(Рр.кв∙tg
кв+0,9∙Рр.л∙tg
л)( р.ж.д.6)
)+ Рр.конц ∙tg
конц ∙Ку. конц.+Рр. дет.сад1∙tg
дет.сад1∙Ку.
дет.сад1+ Q
р.ул.о.ТП601. (3.5)
где Рр.ул.о.ТП601- расчетная
активная нагрузка освещения улиц и внутриквартальных территорий, запитываемых
от ТП 601, кВт.
На основании формул (3.4) (3.5)
получим:
Рр.тп1=206,52+176,28+185,72+0,9∙(99,81+93,33+93,33)+0,9∙64,80+0,4∙46+29=994,79(кВт)
Qр.тп1=50,43+43,29+46,18+0,9∙(37,58+43,05+43,05)+0,9∙21,38+11,5∙0,4+17,98=314,35(кВАр)
Полная нагрузка трасформаторной
подстанции равна:
Результаты расчетов электрических
нагрузок трансформаторных подстанций приведены в табл. 3.2.
Таблица 3.2 - Расчет электрических нагрузок
трансформаторных подстанций
|
№
ТП
|
№
на генплане
|
Тип
плит для пищеприготовления или наименование
|
нагузка
на вводе
|
Коэффициент
участия в максимуме нагрузки
|
нагрузка
на шинах ТП
|
|
|
|
Активная,
кВт
|
Реактивная,
квар
|
|
Активная,
кВт
|
Реактивная,
квар
|
Полная,
кВА
|
|
-
|
-
|
-
|
Рр.ж.
д.
|
Qр.ж.
д.
|
Kу.
|
Рр.ш.ТП.
|
Qр.ш.ТП
|
Sр.ш.ТП
|
|
601
|
2
|
ЭП
|
176,28
|
43,29
|
1
|
176,28
|
43,29
|
181,52
|
|
3
|
ГП
|
110,90
|
41,76
|
0,9
|
99,81
|
37,58
|
106,65
|
|
5
|
ГП
|
103,70
|
47,83
|
0,9
|
93,33
|
43,05
|
102,78
|
|
6
|
ГП
|
103,70
|
47,83
|
0,9
|
93,33
|
43,05
|
102,78
|
|
7
|
ЭП
|
206,52
|
50,34
|
1
|
206,52
|
50,34
|
212,56
|
|
8
|
ЭП
|
185,72
|
46,18
|
1
|
185,72
|
46,18
|
191,37
|
|
1
|
Концертно-зрелищный
центр
|
72
|
23,76
|
0,9
|
64,80
|
21,38
|
68,24
|
|
9
|
Детский
сад
|
115
|
28,75
|
46,00
|
11,50
|
47,42
|
|
освещение
|
ул.
Батова, внутрикварт.
|
|
|
|
29,00
|
17,98
|
34,12
|
|
всего
|
|
|
|
|
994,79
|
314,35
|
1043,27
|
|
-
|
|
|
|
|
|
|
|
|
|
602
|
13
|
ЭП
|
206,52
|
50,34
|
1
|
206,52
|
50,34
|
212,56
|
|
14
|
ЭП
|
185,72
|
46,18
|
1
|
185,72
|
46,18
|
191,37
|
|
15
|
ГП
|
103,70
|
47,83
|
0,9
|
93,33
|
43,05
|
102,78
|
|
16
|
ГП
|
103,70
|
47,83
|
0,9
|
93,33
|
43,05
|
102,78
|
|
17
|
Торговый
центр:
|
|
|
|
|
|
|
|
|
продовольственный
магазин
|
128,80
|
96,60
|
0,8
|
103,04
|
77,28
|
128,80
|
|
|
промтоварный
магазин
|
75,20
|
36,10
|
0,8
|
60,16
|
28,88
|
66,73
|
|
|
парикмахерская
|
30,00
|
7,50
|
0,8
|
24,00
|
6,00
|
24,74
|
|
|
кафе
|
83,20
|
16,64
|
0,7
|
58,24
|
11,65
|
59,39
|
|
освещение
|
внутрикварт.
|
|
|
|
13,00
|
8,06
|
15,30
|
|
всего
|
|
|
|
|
851,33
|
313,42
|
907,19
|
|
-
|
|
|
|
|
|
|
|
|
|
603
|
4
|
ГП
|
110,90
|
41,76
|
1
|
110,90
|
41,76
|
118,50
|
|
11
|
ГП
|
103,70
|
47,83
|
1
|
103,70
|
47,83
|
114,20
|
|
12
|
ГП
|
103,70
|
47,83
|
1
|
103,70
|
47,83
|
114,20
|
|
18
|
ГП
|
103,70
|
47,83
|
1
|
103,70
|
47,83
|
114,20
|
|
19
|
ГП
|
103,70
|
47,83
|
1
|
103,70
|
47,83
|
114,20
|
|
10
|
Образовательная
школа
|
125
|
47,50
|
0,3
|
37,50
|
14,25
|
40,12
|
|
освещение
|
внутрикварт.
|
|
|
|
13,00
|
8,06
|
15,30
|
|
всего
|
|
|
|
|
576,2
|
255,39
|
630,72
|
|
-
|
|
|
|
|
|
|
|
|
|
604
|
31
|
ГП
|
110,90
|
41,76
|
0,9
|
99,81
|
37,58
|
106,65
|
|
30
|
ГП
|
110,90
|
41,76
|
0,9
|
99,81
|
37,58
|
106,65
|
|
20
|
ЭП
|
176,28
|
43,29
|
1
|
176,28
|
43,29
|
181,52
|
|
29
|
ЭП
|
176,28
|
43,29
|
1
|
176,28
|
43,29
|
181,52
|
|
21
|
Образовательная
школа
|
275,00
|
104,50
|
0,4
|
110,00
|
41,80
|
117,67
|
|
освещение
|
ул.
Покровского, Советская, часть ул. Зеленой, пер. Светлый, внутрикварт.
|
|
|
|
63,85
|
39,59
|
75,13
|
|
всего
|
|
|
|
|
726,03
|
203,54
|
754,03
|
|
-
|
|
|
|
|
|
|
|
|
|
605
|
24
|
ГП
|
250,38
|
105,40
|
1
|
250,38
|
105,40
|
271,66
|
|
23
|
ГП
|
250,38
|
105,40
|
1
|
250,38
|
105,40
|
271,66
|
|
22
|
ГП
|
250,38
|
105,40
|
1
|
250,38
|
105,40
|
271,66
|
|
освещение
|
внутрикварт.
|
|
|
|
13,00
|
8,06
|
15,30
|
|
всего
|
|
|
|
|
764,14
|
324,26
|
740,09
|
|
606
|
26
|
ГП
|
103,70
|
47,83
|
1
|
103,70
|
47,83
|
114,20
|
|
27
|
ГП
|
103,70
|
47,83
|
1
|
103,70
|
47,83
|
114,20
|
|
28
|
ГП
|
103,70
|
47,83
|
1
|
103,70
|
47,83
|
114,20
|
|
25
|
Продовольственный
магазин
|
96,6
|
72,45
|
0,8
|
77,28
|
57,96
|
96,60
|
|
освещение
|
ул.
Бабича, Волгоградская, часть ул. Посадская, внутрикварт.
|
|
|
|
30,60
|
18,97
|
36,00
|
|
всего
|
|
|
|
|
464,9
|
212,97
|
511,43
|
|
|
|
|
|
|
|
|
|
|
.1.2 Проверка трансформаторов на систематическую
перегрузку
Систематическая перегрузка трансформатора
допустима за счет неравномерности нагрузки его в течении суток (года).
Определяется коэффициент перегрузки Кнз трансформаторов:
, (3.6)
где Sн.тр.-
номинальная мощность трансформатора, кВА;
nтр.-
количество трансформаторов в ТП.
Приведем расчет для ТП 601:
Проверка трансформаторов на
систематическую перегрузку не требуется, т.к. Кнз<1.
Проверка трансформаторов на других
ТП на систематическую перегрузку проводится аналогично, данные расчетов сведены
в табл. 3.3.
.1.3 Проверка трансформаторов на перегрузку в
послеаварийном режиме
Аварийная перегрузка допускается в
исключительных условиях (аварийных) в течение ограниченного времени, когда
перерыв в энергоснабжении потребителей недопустим.
Согласно [п. 4.3.13, 1] допускается перегрузка
трансформаторов для резервируемых распределительных сетей 0,38 кВ - аварийная -
до 1,7 - 1,8 номинальной мощности.
На аварийную перегрузку проверяются трансформаторы,
если на подстанции установлено не менее двух трансформаторов. В качестве
послеаварийного режима рассматривается режим с отключением одного
трансформатора.
Определяется коэффициент перегрузки К∙нтав
аварийном режиме для ТП 601:
(3.7)
По суточному графику нагрузки ТП,
питающую смешенную нагрузку [рис. 3.1, 4], определяется, по точкам пересечения
К∙нтав с двухступенчатым( эквивалентном в тепловом отношении) графиком
нагрузки, время перегрузки, tn=9 ч.
Рисунок 3.1 -Суточные графики
нагрузки ТП, питающей жилые дома (8 0%) и общественные здания (20%)
Определяется коэффициент начальной
загрузки
(3.8)
где К1 -приведенная ( в тепловом
отношении) загрузка до перегрузки, % ;
По [табл. 11, 5] в зависимости от
эквивалентной температуры охлаждающей среды Θохл, от системы охлаждения
трансформатора, от коэффициента начальной загрузки и от времени перегрузки,
определяется коэффициент допустимой аварийной перегрузки Кдоп.ав.
Θохл для Ярославля составляет
7,9ºС.
Система охлаждения трансформатора -
М - с естественной циркуляцией воздуха и масла.
Время перегрузки tn=9 часов.
К доп.ав=1,4
Проверка трансформатора на аварийную
перегрузку:
(3.9)
где К2 -приведенная ( в тепловом
отношении) загрузка во время перегрузки, % ;
;
кВА>824,1кВА;
Выбранные трансформаторы ТП 601
удовлетворяют условиям проверки на аварийную перегрузку.
Проверка остальных трансформаторов
на перегрузку проводится аналогично. Результаты расчетов сведены в табл. 3.3.
Таблица 3.3 - Проверка трансформаторов на
систематическую и послеаварийную перегрузку
|
№
ТП
|
К∙нтав Кдоп.авSнт∙Кдоп.ав,
кВАSm, кВА
|
|
|
|
|
|
|
601
|
0,82
|
0,60
|
0,76
|
1,4
|
882
|
824,2
|
|
602
|
0,82
|
0,60
|
0,76
|
1,4
|
882
|
824,5
|
|
603
|
0,86
|
0,58
|
0,79
|
1,4
|
882
|
858,8
|
|
604
|
0,60
|
0,84
|
-
|
-
|
-
|
-
|
|
605
|
0,87
|
0,57
|
0,80
|
1,4
|
882
|
870,4
|
|
606
|
0,78
|
0,64
|
0,72
|
1,4
|
494,3
|
Примечание: трансформаторы, установленные в ТП
604, исходя из эквивалентного в тепловом отношении графика, не перегружаются
Как видно из табл. 3.3 трансформаторы в
послеаварийном режиме загружены в допустимых пределах.
.1.4 Определение месторасположения ТП
Одним из условий построения экономичной системы
электроснабжения, то есть системы с малой стоимостью и малыми потерями
электроэнергии, является правильный выбор местоположения трансформаторных
подстанций. Место установки должно максимально приближенно к центру
электрических нагрузок, с учетом планировки жилых кварталов. Расположение
трансформаторных подстанций должно соответствовать градостроительным и
архитектурным соображениям и требованиям пожарной безопасности.
Местоположение и зона действия ТП на плане
микрорайона представлены на листе 1 графической части проекта.
Примечание:
Расчёты показали, что применение меньших
типоразмеров трансформаторов (например, 250 кВ
А)
значительно увеличивает их общее число, а также увеличивает протяжённость сети
10 кВ, таким образом такое решение экономически нецелесообразно. Применение
больших типоразмеров (например, 1000 кВ
А) уменьшает число
ЦТП, увеличивая общее число РУ до 1 кВ, что снижает надёжность схемы
электроснабжения; с другой стороны, данное решение приводит к значительному
увеличению протяжённости сети 0,4 кВ, что приводит к общему росту потерь, что
также экономически нецелесообразно. Таким образом, принятые типоразмеры 400 кВ
А
и 630 кВ
А
и принятое размещение ЦТП являются наиболее оптимальными с экономической точки
зрения и с точки зрения обеспечения требуемой надёжности электроснабжения.
.2 Выбор структуры системы электроснабжения
В системах электроснабжения городов (СЭГ)
наибольшее распространение получили трех - и четырехзвенные схемы, выполненные
по системе двух напряжений.
В качестве первого звена в системах СЭГ
выступают питающие сети высшего напряжения, в состав которых входят понижающие
подстанции (ПС) 110(220)/10 кВ, питающие их линии, а также линии, связывающие
сеть с источником питания, расположенные на территории города. Как правило,
питающая сеть высокого напряжения выполняется в виде кольца 110 либо 220кВ,
связывающего территорию города, с расположением вдоль него понижающих ПС
110(220)/10 кВ, размещаемых в центрах нагрузок районов города.
В качестве второго звена систем СЭГ выступают
питающие сети среднего напряжения 6(10)-20 кВ, представляющие собой
совокупность питающих линий среднего напряжения и распределительных пунктов
(РП).
Третьим звеном СЭГ является распределительные
сети среднего напряжения, состоящие из трансформаторных подстанций (ТП) и
питающих их линий среднего напряжения.
Четвертым звеном системы СЭГ является
распределительные сети низшего напряжения, которые соединяют ТП с вводами к
потребителям.
Выбор структуры системы СЭГ заключается в выборе
и обосновании схем питающей и распределительной сети выше 1000 В и определении
структуры сети:
питание ТП по распределительной сети от
имеющихся ЦП без сооружения РП;
сооружение РП, прокладка питающей сети от ЦП до
РП и распределительной сети от РП до ТП;
применение комбинированной схемы - питание ТП от
РП и от ЦП.
Выбор структуры системы СЭГ производится на
основании технико-экономического сопоставления возможных решений. Предпочтение
следует отдавать трехзвенной схеме.
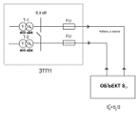
.2.1 Центры питания
Согласно [п.4.4.3, 1] в районах многоэтажной
застройки при плотности нагрузки 8 МВт/км2 и более оптимальная нагрузка РП
должна составлять: при напряжении 10 кВ - 12 МВт; при напряжении 6 кВ - 8 МВт.
Так как нагрузка микрорайона недостаточная для сооружения РП и составляет около
5 МВт, то принята трехзвенная схема.
В качестве центров питания можно рассмотреть три
подстанции: ПС 110/6 Павловская (от этой ПС существующая нагрузка получает
питание), ПС 110/10 Перевал, ПС 110/10 Брагино. Характеристика ЦП представлена
в табл. 3.4, а расположение ЦП относительно микрорайона на рис. 1.1. Как видно
из таблицы 3.4 трансформаторы на ПС 110/6 Павловская в ремонтном или
полеаварийном режиме не имеют резерва мощности. Согласно [1] напряжение 10 кВ
является предпочтительнее 6 кВ. В следствии этого, не смотря, на близость ПС
110/6 Павловская, и РП-30, электроснабжение потребителей микрорайона
предусматривается осуществить от двух существующих подстанций: ПС 110/10 кВ
Брагино, и ПС 110/10 кВ Перевал, с переводом существующей нагрузки на 10 кВ.
Таблица 3.4 - Характеристика близлежащих центров
питания
|
№
пп
|
Наименование
подстанции
|
№
тр-ра
|
Год
выпуска тр-ра
|
Тип
трансформатора, номинальная мощность
|
Напряжение
обмотки номинальное, кВ
|
Номинальный
ток, А
|
Максимальная
нагрузка по режиму 2009г.
|
Загрузка
каждого тр-ра (максимум 2009г.),кВА
|
Загрузка
каждого тр-ра (максимум 2009г.),%
|
Величина
свободной мощности при работе 1 тр-ра,кВА
|
Загрузка
при работе 1 тр-ра, %
|
I кз (3) на шинах нн, А
|
|
|
|
|
|
|
|
зима
(декабрь 2009)
|
лето
(июнь 2009)
|
|
|
|
|
|
|
1
|
Брагино
|
Т-1
|
2006
|
ТРДН
- 40,0
|
115
|
200,8
|
|
|
|
|
|
|
|
|
110
/ 10 кВ
|
|
|
по
трансформатору
|
10,5
|
2200
|
790
|
460
|
14366,94
|
35,91%
|
7638,12
|
80,91%
|
10363
|
|
|
|
|
по
секциям ( I, III )
|
10,5
|
1100
|
330
|
460
|
210
|
250
|
6001,38
|
8365,56
|
30,00%
|
41,82%
|
3455,34
|
4182,78
|
82,73%
|
79,09%
|
|
|
|
Т-2
|
2005
|
ТРДН
- 40,0
|
115
|
200,8
|
|
|
|
|
|
|
|
|
|
|
|
по
трансформатору
|
10,5
|
2200
|
990
|
540
|
18004,14
|
45,00%
|
7638,12
|
80,91%
|
|
|
|
|
|
по
секциям ( II, IV )
|
10,5
|
1100
|
580
|
410
|
420
|
120
|
10547,88
|
7456,26
|
52,73%
|
37,27%
|
3455,34
|
4182,78
|
82,73%
|
79,09%
|
|
|
2
|
Павловская
|
Т-1
|
1965
|
ТДТН
- 20,0
|
110
|
105
|
45
|
50
|
8573,4
|
42,86%
|
-3810,4
|
119,05%
|
|
|
110
/ 35 / 6 кВ
|
|
|
|
38,5
|
300
|
0
|
0
|
0
|
0,00%
|
10669,12
|
46,67%
|
11547
|
|
|
|
|
|
6,6
|
1749
|
750
|
600
|
8573,4
|
42,88%
|
5704,1688
|
71,47%
|
|
|
|
Т-2
|
1997
|
ТДТН
- 25,0
|
115
|
125,5
|
80
|
60
|
15934,4
|
63,75%
|
99,59
|
99,60%
|
|
|
|
|
|
|
38,5
|
375
|
140
|
110
|
9335,48
|
37,33%
|
15670,27
|
37,33%
|
|
|
|
|
|
|
6,6
|
2187
|
500
|
500
|
5715,6
|
22,86%
|
10711,0344
|
57,16%
|
|
|
3
|
Перевал
|
Т-1
|
|
ТНД
- 16
|
115
|
80,3
|
|
|
|
|
|
|
|
|
110/10
кВ
|
|
|
|
11
|
840
|
150
|
210
|
4000,92
|
25,00%
|
9526
|
40,48%
|
7258
|
|
|
Т-2
|
|
ТНД
- 16
|
115
|
80,3
|
|
|
|
|
|
|
|
|
|
|
|
|
11
|
840
|
110
|
130
|
2476,76
|
15,48%
|
9526
|
40,48%
|
|
.3 Выбор напряжения системы электроснабжения
Система напряжений выбирается с учетом
перспективы развития города в пределах расчетного срока, его генерального плана
и системы напряжений в данной энергосистеме.
При этом должен выполняться основной принцип
развития сети: повышение напряжения распределительной сети до оптимального
значения (0.38, 10, 110 кВ) и сокращение числа промежуточных трансформаций.
В распределительных сетях энергосистем
наибольшее распространение имеет напряжение 110 кВ и в меньшей степени
напряжение 220 кВ. Последнее развивается в отдельных крупных городах. Для
большинства городов, в том числе и для Ярославля, оптимальной является система
напряжений 110/10/0.38 кВ, которая и внедрятся в проекте.
Задача выбора оптимального напряжения каждой
ступени трансформации, а также их числа должна рассматриваться с учетом
дальности передачи мощности и величины передаваемой мощности. Дополнительно
должны учитываться характеристики и размещение источников питания, а также
плотность нагрузки.
В условиях роста электрических нагрузок
элементов городской распределительной сети основным и наиболее эффективным
мероприятием, обеспечивающим повышение пропускной способности линий и снижение
потерь электроэнергии, является перевод сети на повышенное напряжение. Перевод
сетей 6 кВ на напряжение 10 кВ позволит повысить пропускную способность линий в
полтора раза и одновременно снизить потери электроэнергии в 2 раза.
Городские электрические сети напряжением 10 кВ
должны выполняться трехфазными с изолированной или заземленной через
дугогасящие реакторы нейтралью, сети напряжением 380 В - трехфазными, с глухим
заземлением нейтрали, система TN-C-S.
3.4 Выбор и расчет схемы электроснабжения
микрорайона
К схемам распределительной сети на напряжение 10
кВ предъявляются следующие требования: обеспечение требуемой надёжности
снабжения потребителей; учёт перспективы развития предприятия (возможность
поэтапного расширения схемы); учёт требований устройств защиты и автоматики
(возможность широкого применения данных устройств); экономичность (возможно
более низкое значение потерь активной мощности и энергии). При этом необходим
учёт следующих положений: источник питания должен быть, по возможности,
приближен к центру электрических нагрузок; в схеме не должно быть «холодного»
резервирования; должно быть обеспечено секционирование сборных шин ЦП, РП, ТП и
применение АВР ( где данное устройство необходимо по условиям обеспечения
надёжности); желательна раздельная работа параллельных цепей для снижения токов
КЗ и упрощения схем релейной защиты.
К схемам питающей сети на напряжение 0,4 кВ
предъявляются следующие требования: обеспечение требуемой надёжности снабжения
потребителей; учёт перспективы развития предприятия (возможность поэтапного
расширения схемы); экономичность (возможно более низкое значение потерь
активной мощности и энергии); обеспечение требуемого качества электроэнергии;
удобство в эксплуатации и безопасность в обслуживании.
.4.1. Выбор схемы распределительной сети низкого
напряжения
Для выбора распределительной сети напряжением
0,4 кВ необходимо учесть требования, предъявляемые к электроснабжению
приемников электроэнергии согласно их категории по надежности электроснабжения
[пп. 1.2.18-1.2.20, 6].
Согласно [п. 4.27, 4] при двухлучевой схеме на
напряжении 10 кВ с двухтрансформаторными ТП сеть 0,4 кВ выполняется по
двухлучевой схеме с односторонним питанием от разных секций одной ТП. Схема
распределительной сети напряжением 0,4 кВ показаны на рис. 3.1
Согласно [п. 7.2, 2] в жилых домах ВРУ
рекомендуется размещать в средних секциях, а в общественных зданиях ГРЩ или ВРУ
должны располагаться у основного абонента независимо от числа предприятий,
учреждений и организаций, расположенных в здании.
Рисунок 3.1 Схема распределительной сети
напряжением 0,4 кВ (вместо рубильника с предохранителем могут выступать
автоматические выключатели): а) двухлучевая с АВР для потребителей с
электроприемниками I категории
надежности; б) двухлучевая без АВР для потребителей с электроприемниками II
категории надежности
.4.2 Расчет распределительных сетей низкого
напряжения 0,4 кВ.
Расчет распределительных сетей низкого напряжения
заключается в определении тока протекающего по кабелю в нормальном и
послеаварийном режиме, определение сечения кабельной линии, выборе аппаратов
защиты, с последующей проверкой надежности их срабатывания при однофазном
коротком замыкании, и проверкой на предельную отключающую способность при
трехфазном коротком замыкании.
Сечения проводов и кабелей должны выбираться по
длительно допустимому току в нормальном и послеаварийном режимах и допустимым
отклонениям напряжения. При проверке кабельных линий по длительно допустимому
току нагрева необходимо учитывать поправочные коэффициенты на число работающих
кабелей, лежащих рядом в земле; на фактическую температуру окружающей среды;
тепловое сопротивление грунта и на допустимую перегрузку в послеаварийном режиме.
Покажем выбор поправочных коэффициентов на
примере кабельной линии состоящей из двух кабелей, питающей ВРУ
концертно-зрелищного центра (№1 на генплане).
Поправочный коэффициент (К1н), учитывающий
количество работающих кабелей, лежащих рядом в земле в нормальном режиме
работы, принимается по [табл.1.3.26, 6] для расстояния между кабелями в свету
а=100 мм: К1н=0,9 (два кабеля);
Коэффициент (К1п.ав), учитывающий количество
работающих кабелей, лежащих рядом в земле в послеаварийном режиме работы (обрыв
одного кабеля рассматриваемой линии), принимается по [табл.1.3.26, 6] для
расстояния между кабелями в свету а=100 мм: К1п.ав=1,0 (один кабель).
Поправочный коэффициент (К2) для приведенного
теплового сопротивления Rгрунта=80 см·К/Вт и песчано-глинистой почвы с влажностью
(12-14)% по [табл.1.3.23, 6] равен К2=1,0
Так как для данной территории нагрузка
максимальна в осенне-зимний период, то температура земли на глубине прокладки
кабеля равна t=5°С
[табл.1.3.3, 6]. Следовательно поправочный температурный коэффициент (для
нормальной температуры при прокладке в земле t=15°C)
равен К3=1,08.
Коэффициент перегрузки в послеаварийном режиме
(К4) определяется по [табл.1.3.2, 6], К4=1,25.
Согласно ПУЭ при выборе поправочных
коэффициентов вычисляется значение суммарного коэффициента:
для нормального режима:
Кнобщ.=К1.н·К2·К3, (3.10)
Кнобщ.=0,9∙1,0∙1,08=0,972;
для послеаварийного режима:
Кп.авобщ.=К1.пав·К2·К3·К4, (3.11)
Кп.авобщ.=1,0∙1,0∙1,08∙1,25=1,35
Поправочные коэффициенты для остальных объектов
микрорайона приведены в табл. 3.5
Таблица 3.5 Поправочные коэффициенты для выбора
сечений КЛ по длительно допустимому току нагрева
|
Участок
сети
|
Коэф-т
учит-ий кол-во раб. кабелей в норм. режиме
|
Коэф-т
учит-ий кол-во раб. кабелей в ПАВ режиме
|
Коэф-т
учит-ий сопр-е грунта
|
Поправоч.
темпер-й коэф-т
|
Коэф-т
перегрузки в ПАВ режиме
|
Суммарный
поправоч. коэф-т в нормальном режиме
|
Суммарный
поправоч. коэф-т в ПАВ режиме
|
|
К1.н
|
К1.п.ав
|
К2
|
К3
|
К4
|
Кнобщ
|
Кп.авобщ
|
|
ТП
601
|
|
ТП
601-ВРУ1
|
0,9
|
1
|
1
|
1,08
|
1,25
|
0,972
|
1,350
|
|
ТП601-ВРУ2
|
0,9
|
1
|
1
|
1,08
|
1,25
|
0,972
|
1,350
|
|
ТП601-ВРУ3
|
0,9
|
1
|
1
|
1,08
|
1,25
|
0,972
|
1,350
|
|
ТП601-ВРУ5
|
0,8
|
0,85
|
1
|
1,08
|
1,25
|
0,864
|
1,148
|
|
ТП601-ВРУ6
|
0,8
|
0,85
|
1
|
1,08
|
1,25
|
0,864
|
1,148
|
|
ТП601-ВРУ7
|
0,9
|
1
|
1
|
1,08
|
1,25
|
0,972
|
1,350
|
|
ТП601-ВРУ8
|
0,9
|
1
|
1
|
1,08
|
1,25
|
0,972
|
1,350
|
|
ТП601-ВРУ9
|
0,9
|
1
|
1
|
1,08
|
1,25
|
0,972
|
1,350
|
|
ТП
602
|
|
ТП
602-ВРУ13
|
0,9
|
1
|
1
|
1,08
|
1,25
|
0,972
|
1,350
|
|
ТП
602-ВРУ14
|
0,9
|
1
|
1
|
1,08
|
1,25
|
0,972
|
1,350
|
|
ТП
602-ВРУ15
|
0,9
|
1
|
1
|
1,08
|
1,25
|
0,972
|
1,350
|
|
ТП
602-ВРУ16
|
0,9
|
1
|
1
|
1,08
|
1,25
|
0,972
|
1,350
|
|
ТП
602-ВРУ17
|
0,9
|
1
|
1
|
1,08
|
1,25
|
0,972
|
1,350
|
|
ТП
603
|
|
ТП
603-ВРУ4
|
0,9
|
1
|
1
|
1,08
|
1,25
|
0,972
|
1,350
|
0,8
|
0,85
|
1
|
1,08
|
1,25
|
0,864
|
1,148
|
|
ТП
603-ВРУ11
|
0,8
|
0,85
|
1
|
1,08
|
1,25
|
0,864
|
1,148
|
|
ТП
603-ВРУ12
|
0,9
|
1
|
1
|
1,08
|
1,25
|
0,972
|
1,350
|
|
ТП
603-ВРУ18
|
0,75
|
0,78
|
1
|
1,08
|
1,25
|
0,810
|
1,053
|
|
ТП
603-ВРУ19
|
0,75
|
0,78
|
1
|
1,08
|
1,25
|
0,810
|
1,053
|
|
ТП
604
|
|
ТП
604-ВРУ31
|
0,9
|
1
|
1
|
1,08
|
1,25
|
0,972
|
1,350
|
|
ТП
604-ВРУ30
|
0,9
|
1
|
1
|
1,08
|
1,25
|
0,972
|
1,350
|
|
ТП
604-ВРУ20
|
0,9
|
1
|
1
|
1,08
|
1,25
|
0,972
|
1,350
|
|
ТП
604-ВРУ29
|
0,9
|
1
|
1
|
1,08
|
1,25
|
0,972
|
1,350
|
|
ТП
604-ВРУ21
|
0,9
|
1
|
1
|
1,08
|
1,25
|
0,972
|
1,350
|
|
ТП
605
|
|
ТП
605-ВРУ24
|
0,9
|
1
|
1
|
1,08
|
1,25
|
0,972
|
1,350
|
|
ТП
605-ВРУ23
|
0,9
|
1
|
1
|
1,08
|
1,25
|
0,972
|
1,350
|
|
ТП
605-ВРУ22
|
0,9
|
1
|
1
|
1,08
|
1,25
|
0,972
|
1,350
|
|
ТП
606
|
|
ТП
606-ВРУ25
|
0,8
|
0,85
|
1
|
1,08
|
1,25
|
0,864
|
1,148
|
|
ТП
606-ВРУ26
|
0,9
|
1
|
1
|
1,08
|
1,25
|
0,972
|
1,350
|
|
ТП
606-ВРУ27
|
0,9
|
1
|
1
|
1,08
|
1,25
|
0,972
|
1,350
|
|
ТП
606-ВРУ28
|
0,8
|
0,85
|
1
|
1,08
|
1,25
|
0,864
|
1,148
|
Исходными данными для расчета сетей являются
длина и нагрузка элементов сети. Длина участков может быть получена из
генерального плана микрорайона. Нагрузка элементов сети определяется путем
суммирования нагрузок потребителей с учетом графиков их нагрузок.
Поэтому кабельные линии, соединяющие
электроприемники с трансформаторными подстанциями, выполняются двумя кабелями,
присоединенными к разным сборным шинам 0,4 кВ трансформаторных подстанций. Для
выбора сечения кабельных линий необходимо знать значение тока в линии, как в
нормальном, так и в послеаварийном режиме.
Мощность, передаваемая по каждому из кабелей в
нормальном и послеаварийном режимах, определяется на основании расчетных схем,
показанных на рис. 3.2.

а) б)
Рисунок 3.2 Расчетная схема для определения
мощностей на участках линий: а) нормальный режим, б) послеаварийный режим
Значение расчетного тока в нормальном режиме
определяется по выражению:
, (3.12)
где Sнр..-полная
расчетная мощность на участке сети в нормальном режиме, кВА;
Uн -
номинальное напряжение сети, Uн=0.38 кВ.
Так как питание концертно-зрелищного
центра производится по двум кабелям, то расчетная мощность на участке сети в
нормальном режиме определяется следующим образом:
, (3.13)
где Sр.конц-полная
расчетная мощность концертно-зрительного зала, согласно табл. 2.3, Sр.конц=75,82
кВА
По формуле (3.12):
В послеаварийном режиме (один кабель
вышел из строя) расчетный ток может быть определен по формуле:
, (3.14)
- полная расчетная мощность на
участке сети в послеаварийном режиме,
(3.15)
где 0,9 - поправочный коэффициент
для взаиморезервируемых линий, взятый согласно [п.2.3.3, 1].
.
Аналогичные расчеты проводятся для
остальных линий питающих жилые дома и общественные здания. Результаты расчетов
приведены в табл. 3.6.
Таблица 3.6 Определение расчетных
токов на участках линий от ТП до ВРУ
|
Участок
линии
|
Число
кабелей в линии n
|
Полная
расчетная нагрузка в норм. режиме.: Sнр
|
Полная
расчетная нагрузка в ПАВ режиме: Sрпав
|
Расчетный
ток одного кабеля: рн
|
Расчетный
ток кабеля в ПАВ: Iрп.ав
|
|
шт
|
кВА
|
кВА
|
А
|
А
|
|
ТП
601
|
|
ТП
601-ВРУ1
|
2
|
37,91
|
68,24
|
57,6
|
103,7
|
|
ТП601-ВРУ2
|
2
|
90,76
|
163,37
|
137,9
|
248,2
|
|
ТП601-ВРУ3
|
2
|
59,25
|
106,65
|
90,0
|
162,0
|
|
ТП601-ВРУ5
|
2
|
57,10
|
102,78
|
86,8
|
156,2
|
|
ТП601-ВРУ6
|
2
|
57,10
|
102,78
|
86,8
|
156,2
|
|
ТП601-ВРУ7
|
2
|
106,28
|
191,31
|
161,5
|
290,7
|
|
ТП601-ВРУ8
|
2
|
95,69
|
172,23
|
145,4
|
261,7
|
|
ТП601-ВРУ9
|
2
|
59,27
|
106,69
|
90,1
|
162,1
|
|
ТП
602
|
|
ТП
602-ВРУ13
|
2
|
106,28
|
191,31
|
161,5
|
290,7
|
|
ТП
602-ВРУ14
|
2
|
95,69
|
172,23
|
145,4
|
261,7
|
|
ТП
602-ВРУ15
|
2
|
57,10
|
102,78
|
86,8
|
156,2
|
|
ТП
602-ВРУ16
|
2
|
57,10
|
102,78
|
86,8
|
156,2
|
|
ТП
602-ВРУ17
|
2
|
176,93
|
318,47
|
268,8
|
483,9
|
|
ТП
603
|
|
ТП
603-ВРУ4
|
2
|
57,10
|
102,78
|
86,8
|
156,2
|
|
ТП
603-ВРУ10
|
2
|
66,86
|
120,35
|
101,6
|
182,9
|
|
ТП
603-ВРУ11
|
2
|
57,10
|
102,78
|
86,8
|
156,2
|
|
ТП
603-ВРУ12
|
2
|
57,10
|
102,78
|
86,8
|
156,2
|
|
ТП
603-ВРУ18
|
2
|
57,10
|
102,78
|
86,8
|
156,2
|
|
ТП
603-ВРУ19
|
2
|
57,10
|
102,78
|
86,8
|
156,2
|
|
ТП
604
|
|
ТП
604-ВРУ31
|
2
|
59,25
|
106,65
|
90,0
|
162,0
|
|
ТП
604-ВРУ30
|
2
|
59,25
|
106,65
|
90,0
|
162,0
|
|
ТП
604-ВРУ20
|
2
|
90,76
|
163,37
|
137,9
|
248,2
|
|
ТП
604-ВРУ29
|
2
|
90,76
|
163,37
|
137,9
|
248,2
|
|
ТП
604-ВРУ21
|
2
|
147,09
|
264,77
|
223,5
|
402,3
|
|
ТП
605
|
|
ТП
605-ВРУ24
|
2
|
135,83
|
244,49
|
206,4
|
371,5
|
|
ТП
605-ВРУ23
|
2
|
135,83
|
244,49
|
206,4
|
371,5
|
|
ТП
605-ВРУ22
|
2
|
135,83
|
244,49
|
206,4
|
371,5
|
|
ТП
606
|
|
ТП
606-ВРУ25
|
2
|
60,38
|
108,68
|
91,7
|
165,1
|
|
ТП
606-ВРУ26
|
2
|
57,10
|
86,8
|
156,2
|
|
ТП
606-ВРУ27
|
2
|
57,10
|
102,78
|
86,8
|
156,2
|
|
ТП
606-ВРУ28
|
2
|
57,10
|
102,78
|
86,8
|
156,2
|
Принимаем для прокладки на
территории микрорайона кабель с алюминиевыми жилами с бумажной пропитанной
изоляцией марки ААБл, прокладываемый в земле. Сечение данной марки кабеля
выбирается по [табл.1.3.16, 6] в графе четырехжильных кабелей до 1 кВ, и для
линии до ВРУ1, по значению
по [табл.1.3.16, 6] для принятой
марки кабеля и способа его прокладки выбирается сечение с учетом условия:
, (3.16)
где Iдоп - длительно допустимый ток
кабеля, определяемый по [табл. 1.3.16, 6] принимаем
и
соответствующее ему сечение F=10 мм2
А > 57,6А
Определяем фактический допустимый
ток и сравниваем его с током нормального режима:
., (3.17)
(3.18)
где Кнобщ. -суммарный поправочный
коэффициент для нормального режима работы сети, по табл. 3.5, Кнобщ.=0,972
Если условие (3.18) выполняется, то
сечение выбрано верно и необходимо проверить послеаварийный режим, если же не
выполняется, то необходимо увеличить сечение на одну ступень и снова сделать
проверку.
I'д.=0,972∙65=63,2
А.
,2 А>57,6 А
Т.к. условие выполняется, то
осуществим проверку в послеаварийном режиме работы распределительной сети
низкого напряжения.
Проверку в послеаварийном режиме
работы осуществляют по выражению:
(3.19)
(3.20)
где Кп.авобщ. - суммарный
поправочный коэффициент в послеаварийном режиме работы сети по табл. 3.5,
Кп.авобщ=1,35.
Iр.п.ав -
расчетный ток линии в послеаварийном режиме определяемый по табл. 3.6, Iр.п.ав=103,7
А. Если данное условие не выполняется то необходимо увеличить сечение жилы
кабеля F еще на одну
ступень; если же условие выполняется, то принимаем выбранное сечение жилы.
Iд.п.ав=1,35∙65=87,8
А.
,8 A>103,7 А.
Т.к. условие не выполняется, то
увеличиваем сечение на одну ступень и принимаем F=16 мм2, Iдоп.=90 А.
Iд.п.ав=1,35∙90=121,5
А.
,5 A>103,7 А.
Видим, что условия (3.18) и (3.20)
выполняются, следовательно дальнейший расчет прекращаем и принимаем
окончательно сечение жилы F=16 мм2, Iд.т.=90 А.
Аналогичные расчеты произведены и
для других участков линий распределительной сети и представлены в табл. 3.7.
Таблица 3.7 - Расчетная таблица для
определения сечения жил кабеля
|
Участок
сети
|
Суммарный
поправоч. коэф-т в нормальном режиме
|
Суммарный
поправоч. коэф-т в ПАВ режиме
|
Расчетный
ток одного кабеля:
|
Расчетный
ток кабеля в ПАВ:
|
Сечение
жил:
|
Длит.доп.ток:
|
I'д=Iд.т´Кнобщ
|
Iд.п.ав=Iд.т´Кп.авоб
|
|
-
|
Кнобщ
|
Кп.авобщ
|
Iрн
|
Iрп.ав
|
F
|
Iдоп
|
-
|
-
|
|
-
|
-
|
-
|
А
|
А
|
мм2
|
А
|
А
|
А
|
|
ТП
601
|
|
ТП
601-ВРУ1
|
0,972
|
1,350
|
57,6
|
103,7
|
16
|
90
|
87,5
|
121,5
|
|
ТП601-ВРУ2
|
0,972
|
1,350
|
137,9
|
248,2
|
70
|
200
|
194,4
|
270,0
|
|
ТП601-ВРУ3
|
0,972
|
1,350
|
90,0
|
162,0
|
35
|
135
|
131,2
|
182,3
|
|
ТП601-ВРУ5
|
0,864
|
1,148
|
86,8
|
156,2
|
50
|
165
|
142,6
|
189,3
|
|
ТП601-ВРУ6
|
0,864
|
1,148
|
86,8
|
156,2
|
50
|
165
|
142,6
|
189,3
|
|
ТП601-ВРУ7
|
0,972
|
1,350
|
161,5
|
290,7
|
95
|
240
|
233,3
|
324,0
|
|
ТП601-ВРУ8
|
0,972
|
1,350
|
145,4
|
261,7
|
70
|
200
|
194,4
|
270,0
|
|
ТП601-ВРУ9
|
0,972
|
1,350
|
90,1
|
162,1
|
35
|
135
|
131,2
|
182,3
|
|
-
|
Кнобщ
|
Кп.авобщ
|
Iрн
|
Iрп.ав
|
F
|
Iдоп
|
-
|
-
|
|
-
|
-
|
-
|
А
|
А
|
мм2
|
А
|
А
|
А
|
|
ТП
602
|
|
ТП
602-ВРУ13
|
0,972
|
1,350
|
161,5
|
290,7
|
95
|
240
|
233,3
|
324,0
|
|
ТП
602-ВРУ14
|
0,972
|
1,350
|
145,4
|
261,7
|
70
|
200
|
194,4
|
270,0
|
|
ТП
602-ВРУ15
|
0,972
|
1,350
|
86,8
|
156,2
|
35
|
135
|
131,2
|
182,3
|
|
ТП
602-ВРУ16
|
0,972
|
1,350
|
86,8
|
156,2
|
35
|
135
|
131,2
|
182,3
|
|
ТП
602-ВРУ17
|
0,972
|
1,350
|
268,8
|
483,9
|
185
|
345
|
335,3
|
485,8
|
|
ТП
603
|
|
ТП
603-ВРУ4
|
0,972
|
1,350
|
86,8
|
156,2
|
35
|
135
|
131,2
|
182,3
|
|
ТП
603-ВРУ10
|
0,864
|
1,148
|
101,6
|
182,9
|
50
|
165
|
142,6
|
189,3
|
|
ТП
603-ВРУ11
|
0,864
|
1,148
|
86,8
|
156,2
|
50
|
165
|
142,6
|
189,3
|
|
ТП
603-ВРУ12
|
0,972
|
1,350
|
86,8
|
156,2
|
35
|
135
|
131,2
|
182,3
|
|
ТП
603-ВРУ18
|
0,810
|
1,053
|
86,8
|
156,2
|
50
|
165
|
133,7
|
173,7
|
|
ТП
603-ВРУ19
|
0,810
|
1,053
|
86,8
|
156,2
|
50
|
165
|
133,7
|
173,7
|
|
ТП
604
|
|
ТП
604-ВРУ31
|
0,972
|
1,350
|
90,0
|
162,0
|
35
|
135
|
131,2
|
182,3
|
|
ТП
604-ВРУ30
|
0,972
|
1,350
|
90,0
|
162,0
|
35
|
135
|
131,2
|
182,3
|
|
ТП
604-ВРУ20
|
0,972
|
1,350
|
137,9
|
248,2
|
70
|
200
|
194,4
|
270,0
|
|
ТП
604-ВРУ29
|
0,972
|
1,350
|
137,9
|
248,2
|
70
|
200
|
194,4
|
270,0
|
|
ТП
604-ВРУ21
|
0,972
|
1,350
|
223,5
|
402,3
|
150
|
305
|
296,5
|
411,8
|
|
ТП
605
|
|
ТП
605-ВРУ24
|
0,972
|
1,350
|
206,4
|
371,5
|
150
|
305
|
296,5
|
411,8
|
|
ТП
605-ВРУ23
|
0,972
|
1,350
|
206,4
|
371,5
|
150
|
305
|
296,5
|
411,8
|
|
ТП
605-ВРУ22
|
0,972
|
1,350
|
206,4
|
371,5
|
150
|
305
|
296,5
|
411,8
|
|
ТП
606
|
|
ТП
606-ВРУ25
|
0,864
|
1,148
|
91,7
|
165,1
|
50
|
165
|
142,6
|
189,3
|
|
ТП
606-ВРУ26
|
0,972
|
1,350
|
86,8
|
156,2
|
35
|
135
|
131,2
|
|
ТП
606-ВРУ27
|
0,972
|
1,350
|
86,8
|
156,2
|
35
|
135
|
131,2
|
182,3
|
|
ТП
606-ВРУ28
|
0,864
|
1,148
|
86,8
|
156,2
|
50
|
165
|
142,6
|
189,3
|
|
|
|
|
|
|
|
|
|
|
|
|
Выполним проверку выбранных кабелей по
отклонению напряжения у приемников электрической энергии. Согласно [п. 5.2.2,
1] должны быть обеспечены отклонения напряжения у приемников электрической
энергии, не превышающие ±5 % номинального напряжения сети в нормальном режиме.
Примем, что падение напряжения во внутридомовой сети не должно превышать 1,0%.
(%) (3.21)
Определение потери напряжения в
кабельных линиях покажем на примере линии ТП 601-ВРУ1. Эта линия состоит из
двух кабелей сечением 16 мм2.
Потери напряжения в нормальном
режиме работы определяются по формуле:
, (3.22)
где I нр- расчетный ток в нормальном
режиме работы из таблицы 13; 
- определяемый по [табл.2.2.1н, 1]
-для общественных зданий, и по [табл. 2.1.4, 1]-для жилых зданий, cos
=0,95;ном -
номинальное напряжение сети, Uн=380 В;и x0 -удельные сопротивления кабеля,
которые зависят от сечения жилы, и определяется по табл. 3.8; r0=1,95Ом/км;
х0=0,06 Ом/км.
Таблица 3.8 - Удельное активное
сопротивление кабеля
|
F,
мм2
|
16
|
25
|
35
|
50
|
70
|
95
|
120
|
150
|
185
|
|
r0,
Ом/км
|
1,95
|
1,28
|
0,92
|
0,64
|
0,46
|
0,34
|
0,27
|
0,21
|
0,17
|
|
х0,
Ом/км
|
0,06
|
0,06
|
0,06
|
0,06
|
0,06
|
0,06
|
0,06
|
0,06
|
0,06
|
- длина линии, L=0,08 км;
Тогда потери в нормальном режиме по формуле
(3.22) будут:
.
Проверяем полученные потери по
допустимой потере напряжения:
,7+1% ≤ 5%
Таким образом, предварительно
принятое сечение, в нормальном режиме работы удовлетворяет требованиям качества
электрической энергии. Аналогичные расчеты проводятся для всех линий сети, а
результаты сводятся в табл. 3.9. Расчеты показали что потери напряжения в
кабелях до ВРУ 3,4,29 превышают допустимые, вследствие чего было принято
решение увеличить сечение этих линий на одну ступень.
Таблица 3.9 - Расчет потерь
напряжения распределительной сети 0,4 кВ
|
Участок
линии
|
Сечение:
F
|
Расчетные
коэффициенты
|
Длина:
L
|
Удельное
сопротивление линии
|
Суммарные
потери напряжения. в норм. режиме.
|
|
|
cosφ
|
sinφ
|
|
r0
|
x0
|
∆Uсум
|
|
-
|
мм2
|
-
|
-
|
км
|
мОм/м
|
%
|
|
ТП
601
|
|
ТП
601-ВРУ1
|
16
|
0,95
|
0,31
|
0,08
|
1,95
|
0,06
|
4,73
|
|
ТП601-ВРУ2
|
70
|
0,98
|
0,20
|
0,06
|
0,46
|
0,06
|
2,66
|
|
ТП601-ВРУ3
|
50
|
0,98
|
0,20
|
0,12
|
0,64
|
0,06
|
3,99
|
|
ТП601-ВРУ5
|
50
|
0,98
|
0,20
|
0,14
|
0,64
|
0,06
|
4,36
|
|
ТП601-ВРУ6
|
50
|
0,96
|
0,28
|
0,1
|
0,64
|
0,06
|
3,37
|
|
ТП601-ВРУ7
|
95
|
0,96
|
0,28
|
0,035
|
0,34
|
0,06
|
1,84
|
|
ТП601-ВРУ8
|
70
|
0,98
|
0,20
|
0,1
|
0,46
|
0,06
|
3,91
|
|
ТП601-ВРУ9
|
35
|
0,97
|
0,24
|
0,1
|
0,92
|
0,06
|
4,54
|
|
ТП
602
|
|
ТП
602-ВРУ13
|
95
|
0,98
|
0,20
|
0,08
|
0,34
|
0,06
|
2,93
|
|
ТП
602-ВРУ14
|
70
|
0,98
|
0,20
|
0,03
|
0,46
|
0,06
|
1,87
|
|
ТП
602-ВРУ15
|
35
|
0,96
|
0,28
|
0,06
|
0,92
|
0,06
|
3,03
|
|
ТП
602-ВРУ16
|
35
|
0,96
|
0,28
|
0,08
|
0,92
|
0,06
|
3,71
|
|
ТП
602-ВРУ17
|
185
|
0,90
|
0,44
|
0,1
|
0,17
|
0,06
|
3,08
|
|
ТП
603
|
|
ТП
603-ВРУ4
|
50
|
0,96
|
0,28
|
0,16
|
0,64
|
0,06
|
4,80
|
|
ТП
603-ВРУ10
|
50
|
0,93
|
0,36
|
0,02
|
0,64
|
0,06
|
1,55
|
|
ТП
603-ВРУ11
|
50
|
0,96
|
0,28
|
0,06
|
0,64
|
0,06
|
2,42
|
|
ТП
603-ВРУ12
|
35
|
0,96
|
0,28
|
0,1
|
0,92
|
0,06
|
4,38
|
|
ТП
603-ВРУ18
|
50
|
0,96
|
0,28
|
0,15
|
0,64
|
0,06
|
4,56
|
|
ТП
603-ВРУ19
|
50
|
0,96
|
0,28
|
0,1
|
0,64
|
0,06
|
3,37
|
|
ТП
604
|
|
ТП
604-ВРУ31
|
35
|
0,98
|
0,20
|
0,08
|
0,92
|
0,06
|
3,85
|
|
ТП
604-ВРУ30
|
35
|
0,98
|
0,20
|
0,08
|
0,92
|
0,06
|
3,85
|
|
ТП
604-ВРУ20
|
70
|
0,98
|
0,20
|
0,11
|
0,46
|
0,06
|
4,04
|
|
ТП
604-ВРУ29
|
95
|
0,98
|
0,20
|
0,16
|
0,34
|
0,06
|
4,30
|
|
ТП
604-ВРУ21
|
150
|
0,93
|
0,36
|
0,06
|
0,21
|
0,06
|
2,26
|
|
ТП
605
|
|
ТП
605-ВРУ24
|
150
|
0,96
|
0,28
|
0,17
|
0,21
|
0,06
|
4,32
|
|
ТП
605-ВРУ23
|
150
|
0,96
|
0,28
|
0,06
|
0,21
|
0,06
|
2,17
|
|
ТП
605-ВРУ22
|
150
|
0,96
|
0,28
|
0,1
|
0,21
|
0,06
|
2,95
|
|
ТП
606
|
|
ТП
606-ВРУ25
|
50
|
0,80
|
0,60
|
0,12
|
0,64
|
0,06
|
3,61
|
|
ТП
606-ВРУ26
|
35
|
0,96
|
0,28
|
0,04
|
0,92
|
0,06
|
2,35
|
|
ТП
606-ВРУ27
|
35
|
0,96
|
0,28
|
0,04
|
0,92
|
0,06
|
2,35
|
|
ТП
606-ВРУ28
|
50
|
0,96
|
0,28
|
0,1
|
0,64
|
0,06
|
3,37
|
3.4.4 Выбор сечения жил кабелей 10 кВ
Для выбора сечения жил кабелей необходимо
произвести расчёт потокораспределения мощности в установившемся нормальном
режиме.
Согласно [п. 2.4.1, 1] расчетные электрические
нагрузки городских сетей 10 кВ определяются
где
расчетная
нагруза трансформаторов отдельных ТП, присоединенных к данному элементу сети
(ЦП, РП, линии и др.),
коэффициент, учитывающий совмещение
максимумов их нагрузок (коэффициент участия в максимуме нагрузок), принимаемый
по [табл. 2.1.1, 1] в зависимости от количества трансформаторов. Коэффициент
мощности для линий 10 кВ в период максимума нагрузки принимается равным 0,92
(коэффициент реактивной мощности 0,43). Расчет потокораспределения представлен
в табл. 3.10
Таблица 3.10 - Расчет потокораспределения
|
Номер
фидера
|
Участок
|
Суммарная
нагрузка по трансформаторам, кВт
|
Кол-во
трансформаторов
|
коэффициент
участия в максимуме нагрузок
|
расчетная
нагрузка
|
|
|
|
|
|
Активная,
кВт
|
Реактивная,
квар
|
Полная,
кВА
|
-
|
|
n
|
|
Рр.л.
|
Qр.л.
|
Sр.л.
|
|
1
|
ТП
602-ТП601
|
426
|
1
|
1
|
426
|
183,2
|
463,2
|
|
ТП
601-ТП603
|
923
|
2
|
0,9
|
830,7
|
357,2
|
904,2
|
|
ТП
603-ТП604
|
1211
|
3
|
0,85
|
1029,3
|
442,6
|
1120,4
|
|
ТП
604-ТП605
|
1574
|
4
|
0,85
|
1338
|
575,3
|
1456,4
|
|
ТП
605-ТП606
|
1956
|
5
|
0,85
|
1662,6
|
714,9
|
1809,7
|
|
ТП
606-ТП408
|
2191
|
6
|
0,8
|
1752,8
|
753,7
|
1907,9
|
|
ТП
408-ТП409
|
2321
|
7
|
0,8
|
1856,8
|
798,4
|
2021,2
|
|
ТП
409-ЦП
|
2416
|
8
|
0,8
|
1932,8
|
831,1
|
2104
|
|
2
|
ТП
409-ТП408
|
95
|
1
|
1
|
95,0
|
40,9
|
103,4
|
|
ТП
408-ТП606
|
225
|
2
|
0,9
|
202,5
|
87,1
|
220,4
|
|
ТП
606-ТП605
|
460
|
3
|
0,85
|
391
|
168,1
|
425,6
|
|
ТП
605-ТП604
|
842
|
4
|
0,85
|
715,7
|
307,7
|
779
|
|
ТП
604-ТП603
|
1205
|
5
|
0,85
|
1024,3
|
440,4
|
1115
|
|
ТП
603-ТП601
|
1493
|
6
|
0,8
|
1194,4
|
513,6
|
1300
|
|
ТП
601-ТП602
|
1990
|
7
|
0,8
|
1592
|
684,5
|
1733
|
|
ТП
602-ТП535
|
2416
|
8
|
0,8
|
1932,8
|
831,1
|
2104
|
|
ТП
535-ЦП
|
2576
|
9
|
0,8
|
2060,8
|
886,1
|
2243,3
|
При этом находится расчётный ток, протекающий по
участку
, (3.24)
где
-
расчётная нагрузка, питаемая участком схемы, кВ
А;
U - напряжение
участка схемы, кВ.
Сечения жил кабелей 10 кВ выбираются по
экономической плотности тока. Экономически целесообразное сечение
, (3.25)
где Jэк
- нормированное значение экономической плотности тока, А/мм2 (по [табл. 1.3.36,
6]). Принимается в зависимости от марки кабеля и числа часов использования
максимума активной нагрузки Tма=3100
ч.
Экономически целесообразное сечение округляется
до ближайшего стандартного, исходя из которого выбирается марка кабеля.
Проверка кабеля производится:
по механической прочности (выполняется
автоматически при выборе по каталогу);
по нагреву в послеаварийном режиме, коэффициент
предварительной нагрузки 0,6, допустимая перегрузка по отношению к номинальной
при длительности максимума 3 часа.
по термической стойкости к токам КЗ (проверка
производится в разделе 3.4.6).
Пример выбора сечения жил кабелей для участка
сети ТП602-ТП601 линии 1 первого варианта:
А;
19,14 мм2.
Принимается кабель ААБл 3
25
с Iдоп=90 А.
Проверка кабеля в послеаварийном режиме:
;
определяется
по (3.11)
;
;
А.
;
Условие выполняется.
Расчеты для других линий сведены в табл. 3.11.
Таблица 3.11 - Расчёт и выбор марок кабелей
|
Номер
фидера
|
Участок
|
Расчетная
полная нагрузка, кВА
|
Расчетный
ток, А
|
Экономически
целесообразное сечение, мм2
|
Стандартное
сечение,
мм2
|
Допустимый
ток,
А
|
Суммарный
поправоч. коэф-т в ПАВ режиме
|
|
Послеаварийный
ток,А
|
|
-
|
-
|
Sр.л.
|
Iр
|
Fэ
|
Fст
|
Iдоп
|
|
-
|
|
|
1
|
ТП
602-ТП601
|
463,2
|
26,8
|
19,14
|
25
|
90
|
1,35
|
121,5
|
54,86
|
|
ТП
601-ТП603
|
904,2
|
52,3
|
37,3
|
35
|
115
|
1,35
|
155,25
|
104,5
|
|
ТП
603-ТП604
|
1120,4
|
64,7
|
46,2
|
50
|
145
|
1,35
|
195,75
|
129,5
|
|
ТП
604-ТП605
|
1456,4
|
84,1
|
60,1
|
70
|
165
|
1,35
|
222,75
|
168,7
|
|
ТП
605-ТП606
|
1809,7
|
104,6
|
74,7
|
70
|
165
|
1,35
|
222,75
|
209,2
|
|
ТП
606-ТП408
|
1907,9
|
110,3
|
78,7
|
70
|
165
|
1,35
|
222,75
|
220,56
|
|
ТП
408-ТП409
|
2021,2
|
116,8
|
83,4
|
95
|
205
|
1,35
|
276,75
|
233,33
|
|
ТП
409-ЦП
|
2104
|
121,6
|
86,8
|
95
|
205
|
1,35
|
276,75
|
243,2
|
|
2
|
ТП
409-ТП408
|
103,4
|
5,97
|
4,26
|
16
|
75
|
1,35
|
101,25
|
10,75
|
|
ТП
408-ТП606
|
220,4
|
12,73
|
9,09
|
16
|
75
|
1,35
|
101,25
|
24,04
|
|
ТП
606-ТП605
|
425,6
|
24,6
|
17,5
|
16
|
75
|
1,35
|
101,25
|
49,2
|
|
ТП
605-ТП604
|
779
|
45,02
|
32,16
|
35
|
115
|
1,35
|
155,25
|
90,05
|
|
ТП
604-ТП603
|
1115
|
64,5
|
46
|
50
|
145
|
1,35
|
195,75
|
128,9
|
|
ТП
603-ТП601
|
1300
|
75,1
|
53,6
|
50
|
145
|
1,35
|
195,75
|
150,3
|
|
ТП
601-ТП602
|
1733
|
100,2
|
71,55
|
70
|
165
|
1,35
|
222,75
|
200,34
|
|
ТП
602-ТП535
|
2104
|
121,6
|
86,8
|
95
|
205
|
1,35
|
276,75
|
243,2
|
|
ТП
535-ЦП
|
2243,3
|
129,7
|
92,6
|
95
|
205
|
1,35
|
276,75
|
259,3
|
Таким образом, для всех выбранных кабелей 10 кВ
выполняется условие возможности работы (по условиям нагрева) при перегрузке в
послеаварийном режиме.
.4.6 Расчёт токов КЗ. Проверка сечений жил
кабельных линий 10 кВ на термическую стойкость к токам КЗ
Для проверки сечений жил кабелей 10 кВ на
термическую стойкость необходимо рассчитать начальные значения периодических
составляющих токов КЗ для всех проверяемых элементов. При проверке кабелей на
термическую стойкость расчетной точкой КЗ является для одиночных кабелей одной
строительной длины - точка КЗ в начале кабеля; при проверке проводников и
электрических аппаратов на термическую стойкость расчетным видом КЗ в общем
случае является трехфазное КЗ.
Расчёт токов КЗ выполняется на ПЭВМ в программе
«Энергия» (Energy TKZ)
на основании данных Филиала ОАО «МРСК Центра» - «Ярэнерго»: значение тока
трехфазного КЗ на шинах 10 кВ ПС 110/10 Перевал по табл. 3.4 данного проекта.
Для расчётов используется полная схема
замещения, построенная в соответствии со схемой электроснабжения приложения 2.
Схема с параметрами, рассчитанными в программе «Энергия» приведена в приложении
4.
Принимается, что в качестве защиты линий
используется токовая отсечка со временем срабатывания 0,1 с, выключатель
срабатывает со временем отключения 0,025 с. (среднее время срабатывания для
вакуумных выключателей BB/TEL согласно [13]).
Тепловой импульс (интеграл Джоуля) определяется
по формуле:
(3.35)
где tрз
- время срабатывания релейной защиты (токовой отсечки; первоначально
принимается 0,1 с);
tов - собственное
время отключения выключателя (токовой отсечки; первоначально принимается 0,025
с).
Минимально допустимое сечение кабеля по условию
термической стойкости к токам КЗ:
, (3.36)
где С - параметр, характеризующий допустимый
нагрев кабеля; зависит от напряжения и вида изоляции кабеля (для использованных
в проекте кабелей ААБл на напряжение 10 кВ С=90 Ас1/2/мм2).
Для примера приводится расчёт минимально
допустимого сечения жил кабелей по термической стойкости к токам КЗ для
расчётной точки К1 -секция шины РУ НН ПС 110/10 Перевал. Для этой расчётной
точки, IКЗ=7,258 кА.
А2
с;
28,5 мм2.
В табл. 3.19 приведены действующие значения
периодических составляющих токов трёхфазного КЗ в расчётных точках для всех
проверяемых кабелей 10 кВ, а также сечения жил, рассчитанные и проверенные по
нагреву в части 3.4.4 данной работы, и иные параметры (тепловой импульс,
минимальное допустимое сечение кабеля), необходимые для проверки на термическую
стойкость.
Таблица 3.19 - Проверка кабелей 10 кВ на
термическую стойкость
|
Номер
линии
|
Участок
|
Марка
кабеля
|
F, мм2
|
Bк, А2с 106
|
Fmin, мм2
|
|
1
|
ПС
110/10 Перевал-ТП409
|
ААБл
3*95
|
95
|
7,258
|
6,5
|
28,5
|
|
ТП
409-ТП408
|
ААБл
3*95
|
95
|
5,85
|
4,28
|
23,0
|
|
ТП
408-ТП606
|
ААБл
3*95
|
70
|
5,68
|
4,03
|
22,3
|
|
ТП
606-ТП605
|
ААБл
3*95
|
70
|
5,42
|
3,67
|
21,3
|
|
ТП
605-ТП604
|
ААБл
3*70
|
70
|
5,04
|
3,18
|
19,8
|
|
ТП
604-ТП603
|
ААБл
3*50
|
50
|
4,66
|
2,71
|
18,3
|
|
ТП
603-ТП601
|
ААБл
3*35
|
35
|
3,97
|
1,97
|
15,6
|
|
ТП
601-ТП602
|
ААБл
3*25
|
25
|
3,5
|
1,53
|
13,7
|
|
2
|
ПС
110/10 Перевал-ТП535
|
ААБл
3*120
|
95
|
7,258
|
6,58
|
28,5
|
|
ТП535-ТП602
|
ААБл
3*95
|
95
|
5,7
|
4,06
|
22,4
|
|
ТП
602-ТП601
|
ААБл
3*95
|
70
|
5,03
|
3,16
|
19,8
|
|
ТП
601-ТП603
|
ААБл
3*70
|
50
|
4,66
|
2,71
|
18,3
|
|
ТП
603-ТП604
|
ААБл
3*50
|
50
|
4,34
|
2,35
|
17,0
|
|
ТП
604-ТП605
|
ААБл
3*35
|
35
|
3,72
|
1,73
|
14,6
|
|
ТП
605-ТП606
|
ААБл
3*16
|
16
|
3,29
|
1,35
|
12,9
|
|
ТП
606-ТП408
|
ААБл
3*16
|
16
|
2,48
|
0,77
|
9,7
|
|
ТП
408-ТП409
|
ААБл
3*16
|
16
|
2,14
|
0,57
|
8,4
|
Как видно из таблицы 3.19 все кабельные линии 10
кВ выдерживают нагрев токами короткого замыкания - являются термически стойкими
к действию токов КЗ.
4. Проект КТП
.1 Выбор типа ТП
ТП принимаются выполненными в виде комплектных
блочных подстанций в бетонной оболочке на 2 трансформатора, отдельно стоящими,
так как данное размещение ТП является, в общем случае, наиболее экономически и
экологически целесообразным. РУВН для двух трансформаторных ТП выполнено в виде
одиночной секционированной системы. РУНН для двух трансформаторных ТП выполнено
в виде одиночной секционированной системы шин с фиксированным подключением
каждого трансформатора к своей секции через автоматический выключатель,
рассчитанный на выдачу мощности трансформатора с учетом его перегрузочной
способности. Секционный автоматический выключатель в нормальном режиме
отключен. На сборных шинах предусмотрено устройство АВР, если от ТП питаются
потребители I-II категорий по надёжности.
При лучевой схеме питания ТП обязательна
установка отключающего аппарата перед трансформатором. Принимается на всех КТП
установка масляных трансформаторов типа ТМГ (предполагается, что особо
опасных/активных условий среды, требующих установки трансформаторов с сухой
изоляцией (ТС, ТСЗ и т.п.) нет). Согласно [п.3.1.10, 1] в городских
распределительных сетях следует применять трансформаторы со схемой соединения
обмоток звезда-зигзаг или треугольник-звезда.
К установке принимаются ТП, производства ПКФ
«Автоматика» г. Тула [14], типа 2БКТП-АТ-250...1000/6(10)/0,4-У1. На рис. 4.1
представлена структура условного обозначения.
Рисунок 4.1 Структура условного обозначения КТП.
Двух трансформаторная подстанция 2БКТП-АТ со
стоит из трех отдельных блоков:
блок устройства стороны высшего напряжения -
УВН;
отсек силовых трансформаторов Т1 и Т2;
блок распределительного устройства стороны
низшего напряжения- РУНН.
Распределительное устройство со стороны высшего
напряжения реализовано на камерах серии КСО 393АТ с выключателями нагрузки
ВНА-10/630.
В блоке силовых трансформаторов могут быть
установлены масляные трансформаторы серий ТМ, ТМГ или сухие серии ТСГЛ, ТСЛ;
Вентиляция в блоке силовых трансформаторов -
естественная и осуществляется через жалюзийные решётки которые установлены в
воротах.
Распределительное устройство со стороны низшего
напряжения реализовано на пане лях серии ЩО70, как с устройством АВР, так и без
него. В блоке РУНН установлен ящик собственных нужд ЯВ-СН-АТ, который
предназначен для:
внутреннего освещения всех блоков;
внутреннего освещения камер КСО;
внешнего освещения подстанции;
питания схемы управления обогревом.
Блоки УВН и РУНН комплектуются
электроконвекторами мощностью 1 кВт, которые предназначены для поддержания
температуры в зимнее время в автоматическом режиме.
В комплект поставки подстанции входят:
модуль подстанции;
силовой трансформатор;
измерительные приборы и приборы учета;
монтажный комплект;
эксплуатационная документация.
БКТП-АТ транспортируются на автомобилях,
железнодорожных платформах.
Подстанция устанавливается на бетонный
фундамент, изготовленный с учетом габаритных размеров. Подключение силовых
трансформаторов по сторонам высшего и низшего напряжений выполняется кабельными
перемычками (гибкая ошиновка) или с помощью шин.
Блоки УВН, РУНН и трансформаторов имеют места
соединения внутреннего контура заземления с внешним.
Подстанция устанавливается на кирпичный или
бетонный фундамент (имеющий кабельные каналы), изготовленный с учетом
габаритных размеров. В двух трансформаторных подстанциях производится стыковка
блоков, подключение силового трансформатора к блокам УВН и РУНН. После монтажа
БКТП-АТ на фундамент производится установка и подключение приборов измерения и
учета, подключение заземляющих проводников.
Выбор конкретного типа ТП и трансформаторов , в
них установленных, отражён в табл. 4.1.
Таблица 4.1- ТП 10/0,4 кВ и их характеристики
|
№
ТП
|
Тип
ТП
|
Тип
установленных трансформаторов
|
Ток
электродинамической стойкости, ВН/НН, кА
|
Ток
термической стойкости ВН, кА
|
Тип
камер на стороне ВН
|
Тип
панелей на стороне НН
|
Назначение
шкафов РУНН
|
Номинальный
ток вводных панелей РУНН, А
|
|
601
|
2БКТП-АТ-630/10/0,4-У1
|
2*ТМГ630/10
|
51/50
|
20
|
КСО
393АТ
|
ЩО70
|
2
в, 4 л, 1с
|
2х
1000
|
|
602
|
2БКТП-АТ-630/10/0,4-У1
|
2*ТМГ630/10
|
|
|
|
|
2
в, 4 л, 1с
|
2х
1000
|
|
603
|
2БКТП-АТ-630/10/0,4-У1
|
2*ТМГ630/10
|
|
|
|
|
2
в, 4 л, 1с
|
2х1000
|
|
604
|
2БКТП-АТ-630/10/0,4-У1
|
2*ТМГ630/10
|
|
|
|
|
2
в, 4 л, 1с
|
2х1000
|
|
605
|
2БКТП-АТ-630/10/0,4-У1
|
2*ТМГ630/10
|
|
|
|
|
2
в, 2 л, 1с
|
2х1000
|
|
606
|
2БКТП-АТ-400/10/0,4-У1
|
2*ТМГ400/10
|
|
|
|
|
2
в, 4 л, 1с
|
2х630
|
Примечание:
. В табл. 4.1 в столбце назначение шкафов РУ НН
буквой «в» обозначены вводные шкафы, буквой «л» - линейные, «с» - секционные,
без учета панелей АВР.
. Габариты КТП: длинна 9600 мм., ширина 5950
мм., высота 2900 мм., согласно [14].
. Время протекания тока термической стойкости на
стороне ВН: для главных ножей 3 с, для заземляющих ножей 1 с.
4.2 Выбор параметров оборудования ТП
Для заказа трансформаторной подстанции
необходимо заполнить опросные листы на оборудование подстанции. В качестве примера
рассмотрим подготовку данных для заполнения опросных листов на ТП 601.
.2.1 Выбор параметров РУВН - камер КСО 393АТ
На рис. 4.2 представлена структура условного
обозначения.
Рисунок 4.2 Структура условного обозначения КСО
393АТ
Для определения номинального тока камер
воспользуемся данными таблицы 3.11 данного проекта. Рассмотрим на примере 1й
камеры, она является вводной камерой 1й(условно) секции РУВН ТП 601, она
получает питание от ТП 603 по первой линии ЦП. Номинальный ток камеры
определяется максимальным длительным током который может протекать через нее,
т.е. току в послеаварийном режиме:
(4.1)
Из таблицы 3.11
=105
А, тогда по (4.1) и шкалы номинальных токов из рисунка 4.2
т.е
цифра 6 в условном обозначении. Аналогично и для камер 3,5,7.
Во всех ячейках кроме секционной установлена
сигнализация о сгорании предохранителей.
Номинальный ток вводных камер трансформаторов
определится исходя из тока максимальной загрузки трансформатора. Согласно [п.
4.3.13, 1] допускается перегрузка трансформаторов для резервируемых
распределительных сетей 0,38 кВ - аварийная - до 1,7 - 1,8 номинальной
мощности, тогда
(4.2)
тогда
,
т.е цифра 4 в условном обозначении камер.
Полученные данные на КСО 393АТ представлены в
табл. 4.2.
Таблица 4.2 Параметры РУВН на базе камер КСО
393АТ
.2.2 Выбор параметров РУНН - панелей ЩО70
На рис. 4.3 представлена структура условного
обозначения.
Рисунок 4.3 Структура условного обозначения
панелей ЩО70
Для защиты отдельных элементов распределительных
сетей напряжением 0,4 кВ в городских электрических сетях широко применяются
предохранители и автоматические выключатели, чувствительные элементы которых
включаются последовательно с сетью. Предохранители и автоматические выключатели
выполняют функции защиты сети от теплового и динамического действия тока,
которое возникает при его увеличении выше допустимого значения, например, при
перегрузке. В связи с простотой конструкции, малой стоимостью и высокой
надежностью в работе, преимущественное распространение в сетях 0,4 кВ городов
получили предохранители.
В настоящее время для надежного электроснабжения
качественной электроэнергией в городских условиях рекомендуется принимать к
установке аппараты защиты, выполняемые плавкими предохранителями типа ПН-2.
Выбор тока плавкой вставки по нормальному режиму
работы осуществляется согласно следующих неравенств:
а) в случае если защищаемый объект (кабель) не
питает силовую нагрузку (электродвигатели лифтовых установок), ток плавкой
вставки предохранителя Iв выбирается из условия:
в ≥ Iр.н , (4.3)
б) в случае если кабель питает силовую нагрузку:
, (4.4)
где Iр.н - максимальный расчетный
ток нормального режима, определяемый по табл. 3.6, Iр.н=137,9 А;
Кп - кратность пускового тока
электродвигателя;
α - коэффициент, учитывающий
условия запуска электродвигателя, a=2,5
т.к. запуск электродвигателя лифтовой установки легкий.н.дв. - номинальный ток
электродвигателя лифтовой установки, определяемый по формуле:
, (4.5)
где Рн.дв - номинальная мощность
электродвигателя лифта, кВт;н.дв - номинальное напряжение электродвигателя
лифта кВ, Uн.дв.=0,38кВ.
Вычисления по формуле (3.39)
проводим для наибольшего по мощности (грузового) лифта согласно донным таблицы
2.2 данного проекта:
; тогда по
.
Выбираем Iв.ном=200А, ток
предохранителя Iпред.=250А, предельный ток отключения Iпр.отк.=40 кА.
Проверим выбранный номинальный ток
плавкой вставки предохранителя в послеаварийном режиме по выражению:
, (4.6)
где Iмах(пав) - максимальный ток через
защищаемый объект в послеаварийном режиме, определяемый по табл. 3.6, Iмах(пав)=248,2
А;
,4 - коэффициент, учитывающий, что плавкая
вставка не перегорит при токе равном 1,4×Iв.ном в течение
3-х часов; это условие допустимо, т.к. расчетное время максимума нагрузки
составляет 30 минут.
Если данное условие выполняется, то ток плавкой
вставки считается выбранным верно; если же условие не выполняется, то следует
взять следующую ступень тока плавкой вставки по отношению к ранее выбранному.
Получаем:
,
А >177,3 А.
Проверим согласование защитных
характеристик предохранителя с тепловыми характеристиками кабеля. Данное
согласование достигается путем сопоставления защитной характеристики аппарата с
характеристикой нагрева защищаемого объекта. При этом последняя должна
находиться выше характеристики защитного аппарата. Данное согласование
проверяется по выражению:
'д ³ 1,0×Iв.ном , (4.7)
где I'д - допустимый ток кабеля с
учетом поправочных коэффициентов определяется по табл. 3.7 I'д=270 А.
А>200 А.
Видно, что условие выполняется,
следовательно, предохранитель выбран правильно.
Аналогичные расчеты проводятся для
остальных кабельных линий отходящих от ТП 601, а результаты расчетов приведены
в табл. 4.3
Для окончательного выбора защитного
аппарата необходима проверка чувствительности. Проверка надежности срабатывания
защитных аппаратов- предохранителей типа ПН-2 - производится по току
однофазного КЗ, определяемого в наиболее удаленной точке сети.
В качестве примера рассматривается
проверка правильности выбора плавкой вставки предохранителя, защищающего кабельную
линию, которая питает жилой дом (№3 на генпалне).
ТП1 ПН-2
ААБл 4х50 К(1)
D Y0
10 кВ 2*630кВА 0,4 кВ L=120м
ВРУ3
Рисунок 4.4 Расчетная схема для определения тока
однофазного КЗ
Согласно ПУЭ ток однофазного КЗ определяется по
формуле, в которой пренебрегают переходными сопротивлениями коммутационных
аппаратов:
(4.8)
где Uф.ср. - фазное среднее
напряжение сети, Uф.ср.=230 В;
- полное сопротивление
трансформатора при однофазном КЗ,
=0,042 Ом
=0,014 Ом;
- полное сопротивление петли
фаза-нуль, которое включает в себя сопротивление шин, шинопроводов, проводов и
кабелей, аппаратов и контактов, определяемое по выражению:
п=Zп.0×L (4.9)
здесь Zп.0 - удельное сопротивление
петли фаза-нуль, Zп.0=1,42 Ом/км;- длина линии до точки КЗ, L=0,12 км.
Таким образом, ток однофазного КЗ в
точке К(1):
Чувствительность защитного аппарата
к данному току определяется коэффициентом чувствительности, который
определяется по формуле:
(4.10)
где Iв.ном - номинальный ток плавкой
вставки предохранителя установленного на рассматриваемой линии в РУНН ТП.
Для предохранителя кабеля ТП 601 -
ВРУ 3:
.9>3
Полученное значение коэффициента
чувствительности сравнивается с минимально допустимым значением Кч.мин.доп.=3.
Можно сказать, что предохранитель линии ПН-2 с номинальным током плавкий
вставки 125 А при однофазном токе КЗ отключит поврежденную линию. Если же
получается, что Кч<3, то в этом случае необходимо увеличить сечение фазной
жилы кабеля F на один шаг и снова сделать проверку.
Согласно [п. 1.7.79, 6] В цепях,
питающих распределительные, групповые, этажные и др. щиты и щитки, время
автоматического отключения не должно превышать 5 с.
Для определения времени отключения
необходимо воспользоваться время-токовыми характеристиками плавкой вставки.
Время-токовые характеристики семейства плавких вставок для предохранителя ПН-2
приведены на рис. 4.5
Рисунок 4.5 Время-токовые
характеристики плавких вставок предохранителя ПН-2
Из рисунка видно, что время отключения
тока однофазного КЗ
1247,3
плавкой вставкой с Iв.ном=125 А, равно примерно 0,25 с.
,25<5, это можно считать
достаточными для обеспечения электробезопасности.
Проверка правильности выбора плавких
вставок предохранителей, защищающих кабельные линии, отходящие от ТП 601
производится аналогично. Результаты расчетов представлены в табл. 4.4.
Таким образам были выбраны
предохранители типа ПН-2 с номинальным током 250 А. Такими предохранителями
комплектуются линейные панели типа ЩО 70 - 1А - 02У3. Основное оборудование
панели: предохранители (250А), амперметры (200/5А), рубильники (250А),
трансформаторы тока (200/5А). В скобках указаны номинальные токи оборудования.
Вводные панели ЩО 70 - 1А - 44У3,
секционная ЩО 70 - 1А - 72У3, панель АВР ЩО 70 - 1А - 90У3, ошиновка
определяются типоразмером трансформатора.
Параметры РУНН на безе панелей ЩО-70
представлены табл. 4.5.
Схема электрических соединений ТП
представлена на листе 3, компоновка ТП на листе 4 графической части проекта.
Таблица 4.3 Определение тока плавкой вставки и
согласования его с защищаемым проводником
|
Участок
линии
|
Расчетный
ток участка в нормальном режима работы: Iр.н
|
Расчетный
ток участка в ПАВ режиме работы: Iмах(ав)
|
Фактически
допустимый ток: I'д
|
Расчетный
ток плавкой вставки : Iв.расч.
|
Ном
ток плавкой вставки Iв.н.
|
Ном
ток предохранителя: Iпр.
|
Пред
отк ток при 500В Iпр.отк
|
Iмах 1.4
|
1,0´Iв.н
|
|
---
|
А
|
А
|
А
|
А
|
А
|
А
|
кА
|
А
|
А
|
|
ТП
601-ВРУ1
|
57,6
|
103,7
|
121,5
|
-
|
60(не
уд) 80
|
250
|
40
|
74,1
|
80
|
|
ТП601-ВРУ2
|
137,9
|
248,2
|
270,0
|
175,7
|
200
|
250
|
40
|
177,3
|
200
|
|
ТП601-ВРУ3
|
90,0
|
162,0
|
182,3
|
124,1
|
125
|
250
|
40
|
115,7
|
125
|
|
ТП601-ВРУ5
|
86,8
|
156,2
|
189,3
|
120,6
|
125
|
250
|
40
|
111,6
|
125
|
|
ТП601-ВРУ6
|
86,8
|
156,2
|
189,3
|
120,6
|
125
|
250
|
40
|
111,6
|
125
|
|
ТП601-ВРУ7
|
161,5
|
290,7
|
324,0
|
203,5
|
250
|
250
|
40
|
207,3
|
|
ТП601-ВРУ8
|
145,4
|
261,7
|
270,0
|
185,6
|
200
|
250
|
40
|
186,6
|
200
|
|
ТП601-ВРУ9
|
90,1
|
162,1
|
182,3
|
-
|
100
(не уд) 125
|
250
|
40
|
115.8
|
125
|
Таблица 4.4 - Расчет токов однофазного КЗ и
проверка коэффициента чувствительности для распределительной сети 0,4 кВ
|
Участок
линии
|
Длина:
L
|
Сечение
жил: 4´F
|
Удельное
сопротивление: Zп.(ф-о).о.
|
Сопротивление
петли фаза-нуль Zп(ф-о).
|
Сопротивление
трансформатора: Z1т/3
|
Ток
однофазного КЗ: I1к
|
Ток
плавкой вставки: Iв.ном
|
Коэф-т
чувствиительности: Кч
|
tоткл
|
|
---
|
км
|
мм2
|
Ом/км
|
Ом
|
Ом
|
А
|
А
|
---
|
c
|
|
ТП
601-ВРУ1
|
0,08
|
4´16
|
3,36
|
0,269
|
0,014
|
813,3
|
80
|
10,17
|
0,05
|
|
ТП601-ВРУ2
|
0,06
|
4´70
|
1,07
|
0,064
|
0,014
|
2941,2
|
200
|
14,71
|
0,05
|
|
ТП601-ВРУ3
|
0,12
|
4´50
|
1,42
|
0,170
|
0,014
|
1247,3
|
125
|
9,98
|
0,25
|
|
ТП601-ВРУ5
|
0,14
|
4´50
|
1,42
|
0,199
|
0,014
|
1080,8
|
125
|
8,65
|
0,3
|
|
ТП601-ВРУ6
|
0,1
|
4´50
|
1,42
|
0,142
|
0,014
|
1474,4
|
125
|
11,79
|
0,2
|
|
ТП601-ВРУ7
|
0,035
|
4´95
|
0,84
|
0,029
|
0,014
|
5299,5
|
250
|
21,20
|
,04
|
|
ТП601-ВРУ8
|
0,1
|
4´70
|
1,07
|
0,107
|
0,014
|
1900,8
|
200
|
9,50
|
,2
|
|
ТП601-ВРУ9
|
0,1
|
4´35
|
1,85
|
0,185
|
0,014
|
1155,8
|
125
|
9,25
|
0,25
|
Таблица 4.4 Параметры РУНН на безе панелей ЩО-70
. Электрические расчеты установившихся режимов
работы выбранного варианта электроснабжения
Электрические расчеты режимов работы системы
электроснабжения производятся на ЭВМ с помощью программного комплекса
«Энергия», модуль «Enrgy UR», в соответствии с методикой изложенной в [8].
Расчет установившегося режима электрической сети
выполняется для определения:
) загрузки элементов сети, соответствия
пропускной способности сети ожидаемым потокам мощности, проверки сечений
проводов и кабелей и мощностей трансформаторов;
) нормированного коэффициента реактивной
мощности;
) уровней напряжений в узлах и элементах сети и
мероприятий, обеспечивающих поддержание напряжения в допустимых пределах;
) потерь мощности и энергии для оценки
экономичности работы сети и эффективности способов снижения потерь.
В данной работе производится расчет режимов
максимальных и минимальных нагрузок, а также послеаварийного режима. Режимы
максимальных и минимальных нагрузок используются для выявления наибольших
значений длительных расчетных потоков мощности. Математическая модель для
расчёта установившихся режимов в программе «Энергия» составляется в
соответствии с принятой схемой электроснабжения.
В режиме минимальных нагрузок все нагрузки приняты
равными 0,7 от максимальных нагрузок (снижены на 30%, согласно п. 5.2.3, 1).
Наличие некоторого расхождения обусловлено
разницей в методах расчёта («Энергия» использует численные методы, не
производит совмещение максимумов нагрузки), ограниченной точностью расчётов
(так ПК «Энергия» проводит расчет итерационным методом, тогда как при расчёте
вручную производится лишь одна итерация).
Схемы с рассчитанными режимами максимальных и
минимальных нагрузок приведены в приложениях 5, 6 (режимы отрегулированные),
послеаварийного в в приложении 7. Напряжения балансирующего узла (системы)
принимаются 1,05
Uн - в режиме
максимальных нагрузок и послеаварийном (10,5 кВ); 1,0
Uн
- в режиме минимальных нагрузок (10 кВ)).
Согласно [п. 5.2.2, 1], в электрических сетях
должны быть обеспечены отклонения напряжения у приемников электрической
энергии, не превышающие ±5 % номинального напряжения сети в нормальном режиме и
±10 % в послеаварийном режиме. Примем, что отклонение напряжения во
внутридомовой и распределительной сети 0,4 кВ составляют не более 5 %. Таким
образом, напряжение на шинах НН ТП в нормальном режиме должно лежать в пределах
0,380..0,399 кВ, в послеаварийном режиме в пределах 0,369..0,399 кВ. Для
обеспечения необходимых уровней напряжения используются устройства
регулирования напряжения типа ПБВ с пределом регулирования
2
2,5%
на трансформаторах ТП. Обычно ПБВ используют для сезонного регулирования
напряжения.
Коэффициенты трансформации трансформаторов ТП
для разных положений отпаек устройств регулирования приведены в табл. 5.1.
Значения коэффициента трансформации определяются по формуле
, (5.1)
где
-
номинальное напряжение на стороне НН трансформатора ( 0,4 кВ для ТП);
- номинальное
напряжение на стороне ВН трансформатора (10,0 кВ для ТП);
n - номер отпайки;
D,% - ступень регулирования.
Таблица 5.1 - Коэффициенты трансформации с
учётом устройств регулирования напряжения
|
№
отпайки
|
Кт
ЦТП
|
|
-2
|
0,042
|
|
-1
|
0,041
|
|
0
|
0,04
|
|
1
|
0,039
|
|
2
|
0,038
|
Отклонение напряжения у потребителей при нулевых
отпайках ПБВ выходят за допустимые пределы, поэтому принимается решение о
регулировании напряжения.
Регулирование напряжения осуществляется
посредством изменения номеров отпаек ПБВ.
Выбранные номера отпаек ПБВ представлены в табл.
5.2.
Таблица 5.2 - Номера отпаек ПБВ трансформаторов
ТП
|
№
ТП
|
Режим
максимальных нагрузок
|
Режим
минимальных нагрузок
|
|
ТП
409
|
1
трансформатор
|
+1
|
+1
|
|
2
трансформатор
|
+1
|
+1
|
|
ТП
408
|
1
трансформатор
|
+1
|
+1
|
|
2
трансформатор
|
+1
|
+1
|
|
ТП
606
|
1
трансформатор
|
+1
|
+1
|
|
2
трансформатор
|
+1
|
+1
|
|
ТП
605
|
1
трансформатор
|
+1
|
+1
|
|
2
трансформатор
|
+1
|
+1
|
|
ТП
604
|
1
трансформатор
|
+1
|
+1
|
|
2
трансформатор
|
+1
|
+1
|
|
ТП
603
|
1
трансформатор
|
+1
|
+1
|
|
2
трансформатор
|
+1
|
+1
|
|
ТП601
|
1
трансформатор
|
+1
|
+1
|
|
2
трансформатор
|
+1
|
+1
|
|
ТП
602
|
1
трансформатор
|
+1
|
+1
|
|
2
трансформатор
|
+1
|
+1
|
|
ТП
535
|
+1
|
+1
|
а) Режим максимальных нагрузок
В режиме максимальных нагрузок отклонения
напряжения получаются в пределах допустимого (с учетом регулирования):
на шинах НН ТП: Uмакс=0,397
кВ, Uмин=0,384 кВ.
Загрузка элементов системы электроснабжения не
превышает допустимой и составляет:
для КЛ 10 кВ - Кмакс=0,85; Кмин=0,06 (столь
низкие значения объясняются выбором кабелей по экономическому сечению, а кроме
того необходимостью завышать сечения некоторых кабелей до минимально
существующего 16 мм2 на напряжении 10 кВ);
для трансформаторов - Кмакс=0,89; Кмин=0,63 ;
Суммарные потери мощности составляют: DP=241
кВт; DQ=437
квар.
б) Режим минимальных нагрузок
В режиме минимальных нагрузок отклонения
напряжения получаются в пределах допустимого (с учетом регулирования):
на шинах НН ТП: Uмакс=0,381
кВ, Uмин=0,372 кВ.
Загрузка элементов системы электроснабжения не
превышает допустимой и составляет:
для КЛ 10 кВ - Кмакс=0,62; Кмин=0,058;
для трансформаторов - Кмакс=0,63; Кмин=0,43;
Суммарные потери мощности составляют: DP=136
кВт; DQ=306
квар.
в) Послеаварийный режим
В качестве послеаварийного режима рассматриваем
обрыв (отключение) питающей линии № 1 на участке ТП 605 - ТП 604. Для
обеспечения напряжения на шинах НН ТП предполагаем срабатывание АРВ.
В послеаварийном режиме отклонения напряжения
получаются в пределах допустимого:
на шинах НН ТП: Uмакс=0,4
кВ, Uмин=0,369 кВ.
Загрузка элементов системы электроснабжения не
превышает допустимой и составляет:
для КЛ 10 кВ - Кмакс=1,29; Кмин=0,06;
для трансформаторов - Кмакс=1,82; Кмин=0,63;
Наличие расхождения обусловлено разницей в
методах расчёта.
Результаты расчета минимального и максимального
режимов представлены на листе 6 графической части проекта.
. Вопросы учета и контроля электропотребления
Учет и контроль потребления электроэнергии в ОАО
«Ярэнерго» осуществляется с помощью счетчиков «Меркурий PLC»,
а в сооружаемых объектах будет установлена измерительная интегральная
автоматизированная система управления энергосбережением (ИАСУЭ).
.1 Характеристика Счетчики «Меркурий PLC»
Счетчик ватт-часов активной энергии переменного
тока электронный «Меркурий-201»:
предназначен для учета активной электрической
энергии в двухпроводных сетях переменного тока с напряжением 220 В, частотой 50
Гц, номинальным/максимальным током 5/50 А или 10/80 А;
обеспечивает регистрацию и хранение значений
потребляемой электроэнергии по одному тарифу с момента ввода счетчика в
эксплуатацию;
может эксплуатироваться как самостоятельно, так
и в составе автоматизированных систем контроля и учета электроэнергии;
счетчик с электромеханическими отсчетными
устройствами имеют 5 черных барабанов отображающих целые значения потребленной
электроэнергии в кВт.ч и один красный, показания которого соответствуют десятым
долям кВт.ч.
счетчики с жидкокристаллическими индикаторами
отображают в 6 разрядах до запятой целые значения, и в двух разрядах после
запятой - сотые доли потребленной электроэнергии в кВт.ч.
Счетчик электрической энергии тарифный
статический «Меркурий 230АМ»:
предназначен для учета электрической энергии в
трехфазной трех- или четырех проводной сети переменного тока с напряжением
3х57,7/10 В или 3х220/380 В, частотой (50+/-2,5) Гц, номинальный/максимальным
током в соответствии с табл. 7.1;
счетчик обеспечивает регистрацию значений
потребляемой электроэнергии по одному тарифу с момента ввода счетчика в
эксплуатацию;
счетчик может эксплуатироваться автономно или в
составе автоматизированных систем контроля и учета электроэнергии.
Таблица 6.1 - Модификации счетчика, выпускаемые
предприятием-изготовителем
|
Модификация
счетчика
|
Класс
точности
|
Номинальный
(максимальный) ток, А
|
Номинальное
напряжение, В
|
|
«Меркурий
230АМ-00»
|
0,5
|
5(7,5)
|
57,7
|
|
«Меркурий
230АМ-01»
|
1,0
|
5(10)
|
220
|
|
«Меркурий
230АМ-02»
|
1,0
|
10(100)
|
220
|
|
«Меркурий
230АМ-03»
|
0,5
|
5(7,5)
|
220
|
Считывание показаний потребления электроэнергии
с отчетных устройств в различных вариантах исполнения счетчика
черных барабана отображают целые значения потребления
электроэнергии в кВт.ч, 2 барабана после запятой отображают сотые доли кВт.ч
черных барабанов отображают целые значения
потребления электроэнергии в кВт.ч, 1 барабан после запятой отображает десятые
доли кВт.ч
черных барабанов отображают целые значения
потребления электроэнергии в кВт.ч
черных барабанов отображают целые значения
потребления электроэнергии кВт.ч, 1 барабан после запятой отображает десятые
доли кВт.ч
Сейчас эти счетчики устанавливаются в домах
вместо индукционных счетчиков с истекшим сроком службы. Также счетчики
устанавливаются в строящихся домах.
6.2 Возможности развития системы учета на основе
счетчиков «Меркурий PLC»
.2.1 Возможности системы на основе счетчиков
«Меркурий PLC»
Система Меркурий PLC
- современная автоматизированная система учета потребления электроэнергии легко
адаптируемая к установке как в многоквартирных домах, так и в коттеджах -
везде, где доступ к электричеству затруднен.
Все счетчики системы (Меркурий-200,
Меркурий-201, Меркурий-230) имеют встроенный модем для передачи данных по
силовой сети.
Концентратор располагается в электрощитовой
жилого дома или на силовой подстанции, и накапливает информацию о потреблении
электроэнергии. Сменный интерфейсный модуль концентратора обеспечивает передачу
данных до диспетчерского пункта с использованием каналов GSM,
TCP/IP
и т.д.
Затраты времени и средств на проектирование,
монтаж и эксплуатация системы минимальны.
Основные элементы системы учета представлены на
рис. 6.1.
Рисунок 6.1 Основные элементы системы учета на
основе счетчиков «Меркурий PLC»
6.2.2 Технология системы на основе счетчиков
«Меркурий PLC»
Распределительная силовая сеть 220В/Гц как
средства передачи данных характеризуется следующими основными параметрами:
Модуль характеристического импеданса в полосе
пропускания от долей до единиц и десятков Ом.
Помехи непредсказуемой формы и мощности как
широкополосные, так и с концентрированным спектром.
Сигнальная неравномерность частотной
характеристики с резкими провалами и пиками.
Непредсказуемые изменения импеданса во времени и
вдоль линии передачи.
В основу обмена информацией в системе положен
принцип передачи данных с использование всех известных видов разделения
сигналов - временного, частотного и кодового, что позволяет осуществлять
передачу данных в самых неблагоприятных условиях.
.2.3 Характеристика системы на основе счетчиков
«Меркурий PLC»
Пиковая мощность излучения передатчика - 0,5 Вт
Ток потребления модемом составляет - 7 мА
Количество счетчиков поддерживаемых концентратором
- более 3.000
Стоимость системы на одну точку учета в 2 раза
меньше аналогичных.
Помехоустойчивость системы в несколько раз
превышает помехоустойчивость лучших аналогов (по амплитуде). Для передачи
данных используются современные широкополосные цифровые технологии. Модульное
исполнение модема позволяет встраивать его в счетчики разных типов. Работа по
настройке системы не требует высокой квалификации, и сводятся к установке
индивидуальных адресов счетчиков в пределах сети, поддерживаемой данным концентратором.
При много-тарифном учете, встроенные в счетчиках
часы синхронизируются от периодически корректируемых часов концентратора.
. Применение СИП в городских электрических сетях
.1 Современные проблемы
Анализ технического состояния городских электрических
сетей вынуждает раз за разом возвращаться к проблеме надежности ВЛ. В последнее
десятилетие ежегодный объем нового строительства, технического перевооружения и
реконструкции ВЛ 0,4-10 кВ не превышает 30% от нормативного, который
обеспечивал бы необходимый уровень надежности и благоприятную возрастную
структуру сетей. В неудовлетворительном и непригодном состоянии находятся в
эксплуатации более 125 тыс. км ВЛ 0,4 кВ и 130 тыс. км ВЛ 6-10 кВ. В общем
сейчас требуют замены провода в объеме, превышающем 400 тыс. км.
Весь многолетний опыт строительства и
эксплуатации ВЛ 0,4-10 кВ, систематически проявлявшиеся недостатки традиционных
линий с подвешенными на них неизолированными проводами, необходимость
постоянной разработки мероприятий по устранению их органических дефектов и
предотвращению аварийных отключений, высокие эксплуатационные расходы
подчеркивают преимущества ВЛИ.
Два главных достоинства характеризуют такие
линии: они обеспечивают высокую надежность электроснабжения и незначительные
затраты на обслуживание.
Очевидные преимущества СИП,
технико-экономическая эффективность их применения, особенно в зонах интенсивных
и регулярных гололедно-ветровых воздействий, в схемах электроснабжения
потребителей, предъявляющих высокие требования к надежности электроснабжения,
эстетика сетевых сооружений открывают дальнейшие широкие перспективы применения
изолированных проводов в городских сетях.
Учитывая высокую эффективность СИП на ВЛ 0,4 кВ,
в главе 2.4 ПУЭ изменены требования к применяемым проводам. При проектировании
нового строительства и реконструкции линий следует отдавать безусловное
предпочтение СИП.
.2 Самонесущие изолированные провода - для
воздушных линий электропередачи на напряжение до 0,6 / 1 кВ включительно
.2.1 Достоинства
По сравнению с воздушными линиями, сооруженными
с применением голого провода (А или АС) ВЛИ 0,38 кВ с самонесущими
изолированными проводами имеет следующие достоинства:
провода защищены от схлестывания;
на проводах практически не образуется гололед;
существенно ограничен несанкционированный отбор
электроэнергии;
исключено воровство проводов, так как они не
подлежат вторичной переработке;
безопасность обслуживания, возможность
подключения абонентов и новых ответвлений под напряжением;
нет необходимости в вырубке просеки перед
прокладкой и в процессе эксплуатации;
простота монтажных работ и соответственно
уменьшение сроков их проведения;
высокая механическая прочность проводов;
невозможность короткого замыкания между
проводами и землей, исключение короткого замыкания при схлестывании, что
повышает пожаробезопасность линии, а также бесперебойность электроснабжения;
снижение потерь напряжения вследствие малого
реактивного сопротивления СИП (0,1 Ом/км по сравнению с 0,35 Ом/км для
неизолированных проводов);
возможность прокладки СИП по фасадам зданий, а
также совместной подвески с проводами низкого, высокого напряжения, линиями
связи, что дает существенную экономию на опорах;
возможность применения существующих опор или
новых опор меньшей высоты, а также уменьшение безопасных расстояний до зданий и
других инженерных сооружений;
уменьшение не менее чем на 30%
гололедно-ветровых нагрузок на опору;
сокращение эксплуатационных расходов;
увеличение длины пролета до 60м.;
Список можно продолжать, но и этого уже
достаточно для того, чтобы обосновать безоговорочную необходимость
использования СИП. Но здесь-то и возникает сложность, обоснованная тем, что
существует слишком широкий выбор систем СИП. Какая из них необходима в каждом
конкретном случае.
СИП предоставляет собой провод с алюминиевыми
токопроводящими жилами, с изоляцией из светостабилизированного сшитого
полиэтилена, скрученными в жгут. Понятие общее и охватывает одновременно все
системы.
.2.2 Системы СИП
В соответствии с новыми требованиями,
предъявляемыми к развитию линий электропередач, разработан национальный
стандарт России ГОСТ Р 52373-2005, на самонесущие изолированные и защищенные
провода, напряжением 0,4 и 6-35 кВ, который вступил в действие с 01.07.2006 г.
Стандартом определены основные типы и
конструктивное исполнение СИП для сооружения магистральных линий
электропередачи:
СИП-1 - вокруг неизолированной несущей нулевой
жилы скручены изолированные основные токопроводящие жилы. Несущая нулевая жила
выполнена из алюминиевого сплава АВЕ высокой прочности. Изоляция выполнена из
светостабилизированного сшитого полиэтилена.
СИП-2 - вокруг изолированной нулевой несущей
жилы скручены изолированные основные токопроводящие жилы. Несущая нулевая жила
выполнена из алюминиевого сплава АВЕ высокой прочности. Изоляция выполнена из
светостабилизированного сшитого полиэтилена.
СИП-4 - без несущей жилы представляет собой
скрученные в жгут основные токопроводящие и нулевая жилы, покрытые изоляцией из
светостабилизированного сшитого полиэтилена.
ГОСТ Р 52373-2005 допускает применение СИП-4
только на ввода в дом или прокладку по фасадам зданий (сечением: 2х16, 2х25,
4х16, 4х25). На магистральном участке ВЛ 0,4 кВ необходимо использовать только
СИП с изолированной (СИП-2) или с неизолированной (СИП-1) несущей нулевой жилой
из алюминиевого сплава.
Сравнение параметров различных систем приведены
в табл. 7.1.
Таблица 7.1 Сравнение параметров СИП-1, СИП-2,
СИП-4
|
Параметр
|
СИП-4
|
СИП-1
|
СИП-2
|
|
Конструкция
СИП
|
|
|

|
4
изолированных алюминиевых жилы без нулевой несущей жилы из сплава (СИП-4)
|
3
изолированных термопластичным сшитым полиэтиленом Изолированные основные
токопроводящие жилы + 1 неизолированная несущая нулевая жила из алюминиевого
сплава (СИП-1)
|
3
изолированных термопластичным сшитым полиэтиленом изолированные основные
токопроводящие жилы + 1 изолированная несущая нулевая жила из алюминиевого
сплава (СИП-2)
|
|
Распределение
механических нагрузок между нулевой и токопроводящими жилами
|
Не
симметричное распределение механических нагрузок между нулевой и
токопроводящими жилами. Высокая механическая нагрузка на изоляцию всех жил.
|
Отсутствует
механическая нагрузка на токопроводящие жилы
|
Отсутствует
механическая нагрузка на токопроводящие жилы
|
|
Устойчивость
к атмосферным перенапряжениям
|
Высокая
|
Средняя
|
Высокая
|
|
Трудоемкость
выполнения ответвлений
|
Средняя
|
Малая
|
Малая
|
|
Возможность
прокладки по стенам зданий
|
Есть
|
Нет
|
Есть
|
|
Антикоррозионные
свойства
|
Высокие
|
Средние
|
Высокие
|
|
Возможность
соединения СИП в пролете
|
Нет,
соединение СИП осуществляется в шлейфах на опорах.
|
Есть,
надежное герметичное соединение выполняется при помощи соединительных зажимов
типа MJPT.
|
Есть,
надежное герметичное соединение выполняется при помощи соединительных зажимов
типа MJPT.
|
|
Стоимость
линейной арматуры выполненной по Европейскому стандарту CENELEC
|
Стоимость
выше на 30-40% по сравнению с арматурой для СИП-1 и СИП-2. Также требуется
больше арматуры из-за невозможности Соединения СИП-4 в пролете.
|
Стоимость
ниже чем для СИП-4, но немного выше, чем для СИП-2.
|
Стоимость
ниже, чем для СИП-4 и СИП-1. Арматура для СИП-2 Наиболее технологичная и не
требует применения специального инструмента для монтажа.
|
|
Трудоемкость
монтажа
|
Сложнее,
чем для СИП-1 и СИП-2. Труднее определить нулевую жилу. Требуется
динамометрический ключ
|
Легко
и просто монтировать, так как вся анкерная и подвесная арматура крепит одну
несущую жилу. Требуется динамометрический ключ.
|
Легко
и просто монтировать, так как вся анкерная и подвесная арматура крепит одну
несущую жилу.
|
.3 Защищенные провода - для воздушных линий
электропередачи на напряжение 10 - 20 и 35 кВ
На воздушных линиях электропередач
распределительных сетей 6-35 кВ в России уже долгое время традиционно
применяются неизолированные ("голые") провода. И многие не знают о
том, что и для этого класса напряжения существуют защищенные провода - СИП-3.
.3.1 Преимущества СИП-3
Как и для СИП-1 и СИП-2, надежность и
эксплуатационная привлекательность СИП-3 складывается из следующих условий:
провода защищены от схлестывания;
на таких проводах практически не образуется
гололед;
исключено воровство проводов, так как они не
подлежат вторичной переработки;
существенно уменьшены габариты линии и
соответственно требования к просеке для прокладки и в процессе эксплуатации;
простота монтажных работ и соответственно
уменьшения их сроков;
высокая механическая прочность проводов и
соответственно невозможность их обрыва;
пожаробезопасность таких линий, основанная на исключении
КЗ при схлестывании;
сравнительно небольшая стоимость линии (примерно
на 35 % дороже "голых"). При этом происходит значительное сокращение
эксплуатационных расходов (реальное сокращение доходит до 80 %).
Список можно продолжать далее, но и этого уже
достаточно для того, чтобы обосновать необходимость использования СИП-3.
.3.2 Технические характеристики
СИП-3 - это одножильный самонесущий
изолированный провод. Жила выполнена из алюминиевого сплава высокой прочности
(ABE).
Изоляция выполнена из сшитого
светастабелизированного полиэтилена. В изоляцию добавляют около 2 % сажи для
достижения стойкости полиэтилена к ультрафиолетовому излучению.
Рисунок 7.1 Общий вид СИП-3
Рисунок 7.2 Разрез СИП-3
Изоляционный слой имеет толщину около 2,5 мм,
поэтому такой слой можно считать только защитным. Несмотря на то, что изоляция
и выдерживает 60 кВ на пробой, провод необходимо подвешивать пофазно на
отдельные изоляторы. При схлестывании проводов или падении на линию, например,
дерева, когда провода собираются в пучок, защитный покров выдерживает рабочее
напряжение и линия может работать достаточно долго.
Свойства провода таковы, что экономия при
строительстве достигается не только уменьшением материалоемкости траверс
(межфазное расстояние всего 400 мм), но и, что немаловажно, уменьшением
габаритов просеки в лесных массивах. Просека требуется в шесть раз меньше, чем
для линий с голыми проводами. И ее ширина в 3,5 метра определена лишь необходимостью
организации подъезда техники для проведения работ по строительству линии.
Основные технические характеристики:
Токопроводящая жила скручена из круглых проволок
из алюминиевого сплава, имеет круглую форму, уплотненная.
Изоляция черного цвета.
Провод стоек к изгибу при температуре минус
40°С.
Срок службы провода не менее 25 лет.
Условия эксплуатации:
Прокладка и монтаж проводится при температуре
окружающей среды не ниже минус 20°С.
Допустимое усилие притяжении провода не более 35
Н на 1 мм2 сечения жилы.
Минимальный радиус изгиба провода при монтаже не
менее 10 наружных диаметров провода.
Температурные характеристики такой изоляции -
90о С в долговременном режиме, 130о С в режиме длительной перегрузки (до 8
часов в сутки) и 250о С в режиме токов короткого замыкания.
.4 Применение СИП в сетях наружного освещения
Практика применения СИП в различных городах
России и сельских районах подтвердила целесообразность использования СИП в
сетях освещения. Это нашло свое отражение и в седьмой редакции [п. 6.3.25, 6]
"Сети наружного освещения рекомендуется выполнять кабельными или
воздушными с использованием самонесущих изолированных проводов...".
Линии распределительной сети наружного освещения
(НО), как правило, имеют протяженность не более 600 м в городе и не более 1000
м в сельской местности, при этом расстояния между соседними светильниками в
городах составляют 30-40 м, в сельских населенных пунктах - 40...70 м.
Особенностью сетей НО является наличие на одной
распределительной линии большого числа светильников - однофазных потребителей
электроэнергии и обеспечение возможности пофазного отключения потребителей. В
соответствии с [п. 6.3.37, 6] такие распределительные линии НО, в которых
используются светильники с газоразрядными источниками света и индивидуальной
компенсацией реактивной мощности, необходимо выполнять с равными сечениями
токопроводящих жил и нулевого рабочего проводников.
Сети НО городов выполняются 3-фазными с глухо
заземленной нейтралью, в них применяются 4 и 5-проводные линии. Пятипроводные
линии, в которых реализуется система заземления TN-S, рекомендуется применять
на улицах с интенсивным пешеходным движением и на территориях детских
учреждений, т.е. в местах, где требуется повышенная электробезопасность сети.
Однако, ввиду того, что распределительные линии от пункта питания до ближайшей
опоры часто требуется прокладывать в земле, то в этих случаях приходится
применять систему заземления TN-C-S из-за отсутствия в ассортименте
отечественной кабельной продукции 5-жильных кабелей. Прокладка же СИП в земле
не допускается. Необходимость применения комбинированных кабельно-воздушных
линий требует решения задачи обеспечения высокой надежности кабельно-воздушных
соединений. Такой переход с участка распределительной линии, выполненного
кабелем в земле, на участок, выполненный с применением СИП-2 (старое название
СИП 2А), монтируется в цоколе опоры НО или в приставном кабельном ящике, а
подъем наверх выполняется СИП-2 в теле опоры с выходом их на внешнюю сторону
опоры через специальные отверстия.
В месте соединения кабеля с СИП рекомендуется
производить зануление брони кабеля и опоры (или приставного кабельного ящика)
при помощи ответвительного зажима Р 71 фирмы Нилед. Применение СИП с
неизолированной нулевой несущей жилой СИП-1 (старое название СИП 2) в условиях
большого города не рекомендуется из-за высокой химической агрессивности внешней
среды, вызывающей интенсивную коррозию неизолированной жилы.
Распределительные линии НО дворовых территорий,
как правило, имеют небольшую протяженность (до 300 м) и питают ограниченное
число маломощных светильников. Для таких линий в ряде случаев оправдано
использование жгутов из несущих изолированных токопроводящих жил и нулевой
рабочей жилы с сечением 16 и 25 мм2. Ответвления от распределительных линий к
светильникам выполняется по 3-проводной схеме. В цепи питания каждого
светильника необходима установка предохранителя или автомата индивидуальной
защиты. Следует также предусматривать защитное заземление каждой опоры и
кронштейна для креплениярсветильника.
Подключение установки освещения с двумя
светильниками показано на рис. 7.3
а)
б)
Рисунок 7.3 Подключение установки освещения с
двумя светильниками: а) для линии с совмещенными рабочим и защитным нулевыми
проводниками; б) для линии с разделенными рабочим и защитным нулевыми
проводниками
К линиям распределительных сетей НО, выполненных
с применением СИП, возможно, подключение иллюминационных и рекламных установок.
Для такого подключения требуется наличие соответствующего резерва пропускной
способности линии. На улицах и магистралях с большим числом иллюминационных и
световых рекламных установок, подключаемых к сети НО, следует предусматривать
отдельную линию питания. СИП могут применяться для питания светильников,
подвешиваемых на тросовых растяжках.
В каждой линии с применением СИП должна быть
предусмотрена возможность подключения переносного защитного заземления.
Для защиты сети от КЗ в сетях, где на одну фазу
приходится боле 20 светильников, необходимо устанавливать в цепь фазного
провода каждого светильника ограничитель мощности. Ограничитель мощности фирмы
НИЛЕД состоит из корпуса PF под провода сечением 1,5-4мм2 и предохранителя FG
106 (сила тока 6 А) или FG 110 (сила тока 10 А).
8. Расчет уличного освещения микрорайона
.1 Существующая сеть наружного освещения и ее
техническое состояние
В настоящее время освещение присутствует только
ул. Блюхера и ул. Тутаевское шоссе, также освещение выполнено в районе
малоэтажной застройки и клинической больницы.
Отсутствует освещение тротуаров и местного
проезда вдоль ул. Тутаевское шоссе.
На освещаемых улицах микрорайона (участках улиц)
согласно проведенным расчетам уровень освещенности (яркости) значительно не
соответствует действующим нормам (ул. Тутаевское шоссе, расчет приведен в п.
8.2 данной работы).
В микрорайоне для освещения улиц установлены
светильники с газоразрядными лампами ДРЛ ( 250 Вт). Для освещения территории
малоэтажной застройки используются светильники с газоразрядными лампами ДНАТ
(100 Вт).
Светильники в районе малоэтажной застройки
установлены недавно и находятся в хорошем состоянии. Остальные светильники
имеют сверхнормативный срок эксплуатации (более 10 лет).
Светильники установлены на самостоятельных
металлических и железобетонных опорах и опорах контактной сети ТТУ.
Сеть наружного освещения выполнена кабелем
разных марок и сечений и воздушной, неизолированным алюминиевым проводом
сечением 16 и 25 мм2, в районе малоэтажной застройки с помощью СИП.
Сеть наружного освещения в районе малоэтажной
застройки находятся в хорошем состоянии. Остальная часть кабельных и воздушных
линий сети НО, проложены 25 лет назад и более, имеют большую степень износа,
что приводит к большому числу мелких аварий (отключению нескольких единиц
светильников), ликвидация которых влечет дополнительные эксплуатационные
расходы (расход на транспорт и т.д.).
Часть линий имеют большую протяженность, что
приводит к потерям напряжения в сети превышающим допустимые нормы.
Питание сети наружного освещения улиц, дорог и
т.п. осуществляется от пунктов питания (ПП) наружной установки.
Установленные в сетях НО пункты питания не
заводского изготовления, с ограниченным количеством отходящих линий (не более
2х трехфазных линий). Оборудование значительной части ПП физически и морально
устарело.
Хотя и управление наружным освещением выполнено
централизованным телемеханическим из диспетчерского пункта с использованием
установки УТУ-4М по каскадной схеме, не применяется вечерний и ночной(с
частичным отключением) режимы работы.
Сеть праздничной иллюминации расположенная на
опорах сети НО в настоящее время отсутствует.
.2 Светотехническая часть
Светотехнический расчет выполнен в программе
Light-in-Night Road 4.0 фирмы ЗАО НПСП Светосервис
.2.1 Методология расчета яркости в программном
комплексе Light-in-Night Road 4.0
Яркость дорожного покрытия зависит от положения
наблюдателя (водителя транспортного средства), поэтому расчет производится для
положения наблюдателя по каждой полосе движения отдельно. Регламентируемое
положение наблюдателя, принимаемое при расчете, характеризуется следующими
параметрами:
расстояние от границы расчетного поля 60 м,
расположение по оси (центральной линии) полосы
движения,
глаз наблюдателя расположен на высоте 1.5 м над
полотном проезжей части,
линия зрения ориентирована в расчетную точку.
Яркость Li,k (кд/м2) в i-той точке расчетного
поля, видимая наблюдателем при его расположении на k-той полосе движения,
определяется по (8.1)
(8.1)
где Ii,j - сила света j-того ОП в i-тую точку,
кд; ri,j,k - коэффициент яркости в i-той точке от j-того ОП относительно
наблюдателя, расположенного на k-той полосе движения; δi,j
- угол падения луча от j-того ОП в i-тую точку; Кз - коэффициент запаса ОУ; hj
- высота расположения j-того ОП над полотном дороги, м; M - число осветительных
приборов, учитываемых при расчете.
Рисунок 8.1 Расчет яркости в точке
Коэффициенты яркости ri,j,k определяются путем
интерполяции табличных значений этих коэффициентов rтаб, определенных в ГОСТ
26824-86 Здания и сооружения. Методы измерения яркости в зависимости от типа
дорожного покрытия (мелкозернистое и шероховатое асфальтобетонные покрытия).
Количество светильников M, учитываемых в расчете
яркости Li,k в расчетной точке, определяется значимой областью коэффициентов
яркости ri,j,k относительно этой точки. В данной программе для каждого ряда
учитываются семь осветительных приборов: два - образующих расчетное поле, один
- перед ним и четыре - за ним.

Рисунок 8.2 Поле учитываемых осветительных
приборов
Средняя яркость. Средняя яркость расчетного поля
Lav,k для наблюдателя, расположенного на k-той полосе, определяется как среднее
арифметическое яркостей Li,k, взятое по N точкам расчетного поля:
(8.2)
Из найденных k средних значений яркости Lav,k
для наблюдателя каждой полосы выбирается наименьшее (как наихудшее) значение
Lav,min.
.2.2 Расчет существующего участка
Исходными данными для проверки соответствия
существующих установок нормам яркости и освещенности по [16] являются: тип и
мощность лампы, кривая силы света светильника, ширина проезжей части, тип
покрытия, высота повеса светильника, расположение светильника. Существующие
светильники типа РКУ16. Результаты расчет сведены в табл. 8.1.
Таблица 8.1 - Результаты расчета существующих
установок наружного освещения
|
№
п/п
|
Наименование
улиц
|
Ширина
проезжей части, м
|
Схема
размещения светильников
|
Тип
светильников
|
Высота
подвеса светильников, м
|
Расстояние
между фонарями, м
|
Средняя
яркость, кд/м2
|
|
Магистральные
улицы районного значения с усовершенствованным типом покрытия с
интенсивностью движения транспорта св. 1000 до 2000 ед/час. Нормируемая
средняя яркость покрытия 0,8 кд/м2.
|
|
1
|
Ул.
Тутаевское шоссе
|
15
|
Односторонняя
|
РКУ-250
|
10
|
30
|
0,48
|
|
2
|
ул.
Батова
|
7,5
|
Односторонняя
|
РКУ-250
|
10
|
30
|
0,71
|
|
3
|
ул.
Блюхера
|
15
|
Двусторонняя
|
РКУ-250
|
10
|
42
|
0,75
|
Из таблицы 8.1 следует, что на перечисленных
улицах необходимо увеличить яркость покрытия. Наиболее экономичным решением
является замена существующих осветительных приборов на новые типа ЖКУ. В
светильниках ЖКУ используется лампы типа ДНАТ, они имеют больший световой поток
при той же мощности по сравнению с лампами ДРЛ, используемыми в светильниках
РКУ. Это позволит не только повысить яркость дорожного покрытия, но и уменьшить
электрические потери.
8.2.3 Расчет проектируемого наружного освещения
Расчет выполняется с учетом замены существующих
осветительных приборов на ул. Тутаевское шоссе, ул. Батова, ул. Блюхера, и
установки на остальных улицах светильников с газоразрядными источниками света
(лампами ДНАТ) и индивидуальной компенсацией реактивной мощности типа ЖКУ16.
Для освещения аллей парков использованы ЖТУ08-70 «Пушкинский». Результаты
расчет сведены в табл. 8.2.
Таблица 8.2 - Результаты расчета новых установок
наружного освещения
|
№
п/п
|
Наименование
улиц
|
Ширина
проезжей части, м
|
Схема
размещения светильников
|
Тип
светильников
|
Высота
подвеса светильников, м
|
Расстояние
между фонарями, м
|
Средняя
яркость, кд/м2
|
|
I. Улицы, дороги категории
«Б»
|
|
Магистральные
улицы районного значения с усовершенствованным типом покрытия с
интенсивностью движения транспорта св. 1000 до 2000 ед/час. Нормируемая
средняя яркость покрытия 0,8 кд/м2.
|
|
1
|
Ул.
Тутаевское шоссе
|
|
|
|
|
|
|
|
проезжая
часть
|
15
|
Односторонняя
|
ЖКУ-250
|
10
|
30
|
1,3
|
|
Местный
проезд 0,3 кд/м2
|
4
|
Односторонняя
|
ЖКУ-70
|
9
|
30
|
0,4
|
|
2
|
ул.
Батова
|
7,5
|
Односторонняя
|
ЖКУ-150
|
10
|
30
|
1,1
|
|
3
|
ул.
Блюхера
|
15
|
Двусторонняя
|
ЖКУ-150
|
10
|
42
|
1,07
|
|
II. Улицы и дороги категории
«В».
|
|
II-1. Улицы и дороги местного
значения с усовершенствованным типом покрытия с интенсивностью движения
транспорта 500 ед/час и более. Нормируемая средняя яркость покрытия 0,4
кд/м2.
|
|
1
|
ул.
Бабича
|
7,0
|
Односторонняя
|
ЖКУ-100
|
10
|
35
|
0,64
|
|
2
|
ул.
Волгоградская
|
7,0
|
Односторонняя
|
ЖКУ-100
|
10
|
35
|
0,64
|
|
3
|
ул.
Панина
|
10
|
Односторонняя
|
ЖКУ-100
|
10
|
30
|
0,55
|
|
4
|
ул.
Посадская
|
7,0
|
Односторонняя
|
ЖКУ-100
|
10
|
35
|
0,64
|
|
5
|
ул.
Садовая
|
7,0
|
Односторонняя
|
ЖКУ-100
|
10
|
35
|
0,64
|
|
6
|
пер.
Светлый
|
7,0
|
Односторонняя
|
ЖКУ-100
|
10
|
35
|
0,64
|
|
II-2. Внутриквартальные
проезды с усовершенствованным типом покрытия с интенсивностью движения
транспорта - одиночные автомобили. Нормируемая средняя яркость покрытия 0,2
кд/м2.
|
|
-
|
-
|
4..6
|
Односторонняя
|
ЖКУ-70
|
8
|
35..38
|
0,3..0,4
|
|
III. Аллеи парков. Нормируемая
средняя горизонтальная освещенность 2-4 лк.
|
|
-
|
-
|
3..4
|
Односторонняя
|
ЖТУ-70
|
3,5
|
20
|
0,35..0,4
|
.3 Электротехническая часть
.3.1 Типы опор и кронштейны для установки
светильников
Светильники НО предусматривается монтировать на
существующих и новых самостоятельных опорах, а также на существующих опорах
контактной сети.
Новые самостоятельные опоры запроектированы
железобетонными на базе стоек марки СЦс-1,2-10, СВ105, с воздушной подводкой
питания.
Установка новых опор предусмотрена на улицах,
где отсутствует освещение.
В скверах используются специальные металлические
опоры для установки венчающих светильников ЖТУ (торшеры).
Опоры установок освещения улиц, дорог, площадей
устанавливаются на расстоянии не менее 1 м от лицевой грани бортового камня до
внешней поверхности цоколя опоры на магистральных улицах и дорогах с
интенсивным движением и не менее 0,6 м на других улицах, дорогах и площадях.
Для установки светильников используются
металлические кронштейны типа: КО, КС-1, консольного типа.
Консольные светильники для освещения проезжей
части улиц, дорог, следует, как правило, устанавливать под углом 15О к
горизонту. Характеристика наружного освещения улиц и др. объектов представлена
в табл. 8.3.
8.3.2. Напряжение и питание сети наружного
освещения.
Напряжение в сети наружного освещения принято
380/220 В. Электроснабжение установок наружного освещения района осуществляется
от ТП 10/0,4 кВ, запроектированных в данной работе. Линии наружного освещения
выполнены по системе TN-C.
Подключение сетей наружного освещения
запроектировано от проектируемых пунктов питания, установленных, как правило, у
стен ТП с наружной стороны. Пункты питания (ПП) наружной установки выполнены в
виде отдельных шкафов.
В качестве новых ПП используются шкафы типа
И-710 с тремя отходящими трехфазными линиями с двумя контакторами вечернего и
ночного освещения, с отсеками счетчика и аппаратуры для телеуправления.
Общее число пунктов питания составляет 4 шт.
Список пунктов питания приведен в табл. 8.3.
Таблица 8.3 - Характеристики пунктов питания.
|
№
п/п
|
Наименование
ПП
|
Количество
отходящих линий
|
Наименование
освещаемых улиц
|
Назначение
контакторов
|
Тип
контроллера пункта питания *
|
|
1
|
601
|
1
|
Ул.
Батова, пер. Светлый
|
Вечерний,
Ночной
|
SPC-3
|
|
2
|
604
|
3
|
Ул.
Блюхера, ул. Садовая, часть ул. Панина
|
Вечерний,
Ночной
|
SPC-3
|
|
3
|
606
|
2
|
Ул.
Бабича, ул. Волгоградская, часть ул.Посадская
|
Ночной
|
SPC-3
|
|
4
|
535
|
5
|
Тутаевское
шоссе, часть ул. Панина, ул.Посадская, улицы и проезды в районе малоэтажной
застройки
|
Вечерний,
Ночной
|
SPC-3
|
*Примечание: в качестве системы управления
принята СУНО «Луч-2» ООО «ЛМТ», более подробно рассмотрено в 8.4 данной работы
.3.3 Способы прокладки распределительной сети и
конструктивное выполнение
Согласно [п. 7.44*, 16] в ночное время
предусмотрено снижение уровня наружного освещения улиц путем выключения 1/3
светильников, исключая при этом выключение подряд расположенных. Отключение
будет производиться на улицах категории «Б»: ул. Тутаевское шоссе, ул. Батова,
ул. Блюхера. Для этого часть светильников на этих улицах будут подключены к «вечерней»(отключаемой
в ночной период) фазе, а часть к «ночной»(не отключаемой в ночной период). Это
мероприятие позволит экономить электроэнергию в ночные часы.
Распределительные сети наружного освещения
выполняются, в основном, воздушными. Сети освещения прокладываются на
существующих и новых железобетонных опорах, существующих опорах контактной
сети.
Воздушные сети запроектированы одно, двух и
трехфазными, с использованием самонесущих изолированных проводов (СИП4 без
несущего провода, подробнее см. 7.2 данной работы). Кабельные линии с
прокладкой в земле (в траншее) используются на тротуарах, скверах, где
предлагается установка торшеров. Кабельные линии НО выполняются по системе
«заход - выход».
Кроме того, кабелем предусматривается ввод от
пунктов питания до ТП и выводы из пунктов питания до опор воздушных линий.
Кабельные линии предусматривается выполнить
кабелем марки АВББшВ разных сечений.
Так как г. Ярославль расположен в в I
климатическом районе по гололеду с толщиной стенки 10 мм. то, согласно [табл. 2.4.1,
6] минимальное допустимое сечение по механической прочности составляет 25 мм. В
соответствии с [п. 6.3.37, 6] распределительные линии НО, в которых
используются светильники с газоразрядными источниками света и индивидуальной
компенсацией реактивной мощности, необходимо выполнять с равными сечениями
токопроводящих жил и нулевого рабочего проводников.
Выбранные сечения были проверенны на допустимые
длительные токовые нагрузки по условию нагрева в нормальном режиме; допустимое
отклонение напряжения; обеспечение надежного срабатывания плавких
предохранителей при однофазных и межфазных КЗ и перегрузках.
Рассмотрим на примере линии отходящей от ПП 601.
Линия питает светильники по ул. Батова и пер. Светлый. Освещение по ул. Батова
имеет вечерний и ночной режимы. Для этого часть светильников (которую
планируется отключать в ночное время) подключается к вечерней фазе, остальные к
ночной. Также к ночной фазе подключаются и светильники по пер. Светлый. На пер.
Светлый расположено 14 светильников ЖКУ-100, на ул. Батова 22 ЖКУ-150, тогда
расчетная мощность линии равна
, Вт (8.3)
Кпра - коэффициент, учитывающий потери мощности
в пускорегулирующей аппаратуре (для ЭМПРА
=1.2).
Расчетный ток на головном участке определится
для светильников
составляет не менее 0,85
Для провода СИП4 сечением 25 мм2 длительная
допустимая токовая нагрузка составляет 130 А.
>10, условие выполнено.
Определения отклонение напряжения удобнее вести
по электрическому моменту
, тогда:
(8.4)
где с - вспомогательный коэффициент(3ф+0 с=46,
2ф+0 с=20,5, 1ф+0 с=7,7);
F- сечение, мм2
Согласно [п. 5.2.2, 1] должны быть обеспечены
отклонения напряжения у приемников электрической энергии, не превышающие ±5 %
номинального напряжения сети в нормальном режиме.
>3,05, условие выполнено.
В сетях наружного освещения с глухим заземлением
нейтрали должно быть обеспечено надежное отключение защитным аппаратом
однофазного короткого замыкания. Проверка надежности срабатывания защитных
аппаратов- предохранителей типа ПН-2 - производится по току однофазного КЗ,
определяемого в наиболее удаленной точке сети по (4.8)
Чувствительность защитного аппарата
к данному току определяется коэффициентом чувствительности по (4.10). В
распределительных линиях, питающих светильники с газоразрядными лампами,
номинальный ток плавкой вставки предохранителя в пунктах питания предусмотрен
не менее 1,25 величины рабочего тока линии. Номинальный ток плавкой вставки
рассматриваемой линии равен 31,5 А, предохранитель типа ПН2-100.
Полученное значение коэффициента
чувствительности сравнивается с минимально допустимым значением Кч.мин.доп.=3.
4>3, Можно сказать, что предохранитель отключит поврежденную линию.
Аналогично рассмотрены и остальные
линии.
Максимальная величина потери
напряжения в сети не превышает 5% номинального напряжения сети. Предельные
длины воздушных и кабельных линий освещения выбраны по условию отключения
однофазных коротких замыканий.
Заключение
В данном дипломном проекте рассматривался вопрос
электроснабжения микрорайона г. Ярославль. После анализа объема нового
строительства было принято решение о коренной реконструкции существующей сети.
Произведен расчет нагрузок на вводах к
потребителям (ВРУ зданий). После чего выбраны кабели на напряжение 0,4 кВ.
Проверка показала, что выбранные кабельные линии выдерживают перегрузку в
послеаварийном режиме, и суммарные потери напряжения не превышают 5%, что
находится в пределах нормы.
Предусматривается перевод существующей сети на
территории микрорайона с 6 на 10 кВ. Предложено два варианта построения схемы
электроснабжения микрорайона на напряжении 10кВ. В первом варианте ТП запитаны
по двухлучевой схеме с двухсторонним питанием от одного центра питания - ПС
110/10 кВ Перевал. Во втором варианте ТП запитаны по двух лучевой схеме с
двухсторонним питанием от разных ЦП, одна секция подключаются к РП -52, который
получает питание от ПС 110/10 кВ Брагино, вторая секция к ПС 110/10 кВ Перевал.
На основании технико-экономического расчета и
рациональной загрузки ЦП к дальнейшему рассмотрению принят первый вариант.
Для канализации электроэнергии на напряжение 10
кВ использованы кабели марки ААБл. Выбор сечения кабельных линий 10 кВ
произведен по экономической плотности тока с проверкой по нагреву в
послеаварийном режиме. Кабели проверены по термической стойкости к токам
короткого замыкания.
При разработке новой ТП 601 произведен выбор
оборудования, устанавливаемого на данной подстанции. К установке приняты камеры
КСО 393 и распределительные панели типа ЩО 70.
Также в проекте рассмотрен вопрос внедрения
системы учета за расходом электроэнергии на основе счетчиков «Меркурий PLC».
Данное мероприятие необходимо не только в рассматриваемом микрорайоне, но и во
всей системе электроснабжения города. Внедрение данной системы позволит
увеличить точность и оперативность контроля за электропотреблением, что
позволит сократить коммерческие потери электроэнергии.
Произведен анализ представленных на рынке систем
самонесущих изолированных проводов, выявлены достоинства по сравнению с голыми
проводами.
Рассмотрены вопросы наружного освещения
микрорайона. Светотехнический расчет был проведен в программе Light-in-Night
Road 4.0. Предусмотрена замена существующих светильников с ртутными
газоразрядными лампами на светильники ЖКУ с лампами типа ДНАТ, у которых выше
коэффициент светоотдачи. Питание сети НО предусматривается от существующих и
намечаемых к строительству ТП 10/0,4 кВ, через новые пункты питания НО (ПП) 0,4
кВ наружной установки, выполняемых в виде отдельных шкафов. Электротехнический
расчет был проведен с учетом того, что на улицах с высокой интенсивностью
движения, в ночное время, при снижении потока транспорта, для экономии
электроэнергии отключается часть светильников. Для повышения надежности работы
сетей НО и снижения количества
аварийного отключения НО, воздушные сети выполняются проводом СИП4. В качестве
системы управления была принята СУНО «Луч-2».
В экономической части по укрупненным показателям
была составлена смета сооружения ТП, составлен сетевой график работ по монтажу
оборудования распределительного устройства высокого напряжения.
В части экологичности и безопасности проекта
были изложены вопросы:
виды инструктажей работников по охране труда,
порядок их проведения и оформления;
аспекты анализа травматизма;
назначение, принцип действия и область
применения защитного заземления;
экологические проблемы при сооружении и
эксплуатации кабельных линий.
Таким образом, задачи, поставленные в данном
проекте, решены, а возникшие при проектировании вопросы раскрыты.
Дипломный проект был выполнен в соответствии с
действующими нормативными документами.
Список литературы
1. РД
34.20.185-94. Инструкция по проектированию городских электрических сетей, с
изменениями от 29.06.1999.
2. СП
31-110-2003. Проектирование и монтаж электроустановок жилых и общественных
зданий.
. Пособие
по расчету и проектированию естественного, искусственного и совмещенного
освещения (к СНиП II-4-79)
. Пособие
по проектированию городских и поселковых электрических сетей (к ВСН 97-83), М
1987
. ГОСТ
14209-85. Трансформаторы силовые масляные общего назначения. Допустимые нагрузки
. Правила
устройства электроустановок.-6-е изд., перераб. и доп. Министерство топлива и
энергетики РФ -М.: Главгосэнергонадзор России, 1998.-608 с.
. Бушуева
О. А., Кулешов А. И. Электрическая сеть района нагрузок: Учебное пособие к
курсовому проекту. - Иваново, 2006. - 72 с.
. Кулешов
А. И., Прахин Б. Я. Расчёт и анализ установившихся режимов
электроэнергетических систем на персональных компьютерах: Учебное пособие. -
2-е изд., стереотип. - Иваново, 2005. - 172 с.
. ГОСТ
13109-97. Электрическая энергия. Совместимость технических средств
электромагнитная. Нормы качества электрической энергии в системах
электроснабжения общего назначения М.: Издательство стандартов,1998.
. ГОСТ
Р 52373-2005. Самонесущие изолированные и защищенные провода, напряжением 0,4 и
6-35 кВ
. Прайс-лист
ООО "Связь-Сервис", г. Ярославль поставщик кабельно-проводниковой
продукции производства ОАО "Завод Сарансккабель".
12. Прайс-лист
ООО «Элснаб» г. Самара, www.elinsvo.ru <http://www.elinsvo.ru/>
. Каталог
продукции компании «Таврида Электрик». Выключатели вакуумные.
. Каталог
продукции фирмы «ПКФ Автоматика»
. Каталог
продукции фирмы «НИЛЕД»
. СНиП
23-05-95*. Естественное и искусственное освещение, с изменениями от 29.05.2003.
. МУ
И.О. Волкова В.И. Колибаба О.И. Рыжов: Оценка экономической эффективности
инвестиций в электроэнергетике. - ИГЭУ, 2001;
. Приложение
к постановлению правления департамента топлива, энергетики и регулирования
тарифов Ярославской области от 23 декабря 2009 года №ППр-231-П/ЭЭ