Циклы двигателей внутреннего сгорания

  • Вид работы:
    Курсовая работа (т)
  • Предмет:
    Физика
  • Язык:
    Русский
    ,
    Формат файла:
    MS Word
    124,95 Кб
  • Опубликовано:
    2015-06-13
Вы можете узнать стоимость помощи в написании студенческой работы.
Помощь в написании работы, которую точно примут!

Циклы двигателей внутреннего сгорания

Высшее государственное учебное заведение

Донецкий национальный технический университет

Кафедра прикладной экологии и охраны окружающей среды










Курсовая робота

Циклы двигателей внутреннего сгорания











Донецк, 2015

Реферат

Страниц - 27, рисунков - 6, формул - 44, источников - 6

Цель: рассмотреть строение, принцип действия и термодинамические процессы циклов двигателей внутреннего сгорания.

В курсовой работе описаны идеальные и реальные циклы двигателей внутреннего сгорания. Рассмотрены термодинамические процессы, происходящие в циклах. Приведены формулы для расчета энергетических характеристик циклов и параметров в характерных точках цикла.

Двигатель, процесс, цикл, энергия, теплота, поршень, давление, сжатие, адиабата, диаграмма.

цикл двигатель сгорание энергетический

Abstract

- 28, pictures - 11, formulas - 28, sources - 6.: To examine the structure, operation and thermodynamic processes cycles of internal combustion engines.term paper describes the ideal and real cycles of internal combustion engines. The thermodynamic processes occurring in cycles. The formulas for calculating the energy performance of cycles and parameters in the characteristic points of the cycle., process, cycle, energy, heat, priston, pressure, squeezing, adiabatic, chart.

Содержание

Введение

. Общие сведения о циклах двигателей внутреннего сгорания

. Цикл с подводом теплоты при постоянном объеме (цикл Отто)

.1 Расчет параметров в характерных точках цикла

.2 Расчет энергетических характеристик цикла

. Цикл с подводом теплоты при постоянном давлении (цикл Дизеля)

.1 Расчет энергетических параметров цикла

. Цикл со смешанным подводом теплоты (цикл Тринклера)

.1 Расчет параметров в характерных точках цикла

.2 Расчет энергетических характеристик цикла

.3 Анализ эффективности цикла

. Индикаторная диаграмма цикла двигателя внутреннего сгорания

. Эффективность реальных циклов

Выводы

Список источников

Введение


Тепловой двигатель - машина для преобразования тепловой энергии в механическую работу. В тепловом двигателе происходит расширение газа, который давит на поршень, заставляя его перемещаться, или на лопатки колеса турбины, сообщая ему вращение. Примерами поршневых двигателей являются паровые машины и двигатели внутреннего сгорания (карбюраторные и дизельные).

Двигатель внутреннего сгорания (ДВС) - это тепловая машина, в которой подвод теплоты к рабочему телу осуществляется за счет сжигания топлива внутри самого двигателя. Рабочим телом в таких двигателях является на первом этапе воздух или смесь воздуха с легковоспламеняемым топливом, а на втором этапе - продукты сгорания. В таких двигателях рабочее тело можно рассматривать как идеальный газ.

В настоящее время двигатель внутреннего сгорания является основным видом автомобильного двигателя.

1. Общие сведения о циклах двигателей внутреннего сгорания


В реальном поршневом двигателе внутреннего сгорания преобразование тепловой энергии, выделяющейся при сгорании топлива, в механическую работу происходит через ряд последовательных физико-химических и термодинамических преобразований, составляющих в совокупности круговой необратимый и незамкнутый цикл. Такой цикл принято называть рабочим, или действительным циклом. Однако непосредственное изучение рабочего цикла затруднено сложностью всей совокупности факторов, влияющих на протекание процесса в целом. К таким факторам относятся следующие: режим работы двигателя; состав смеси; способ смесеобразования и воспламенения; степень сжатия и многие конструктивные факторы. Кроме того, в поршневых двигателях имеет место одновременное протекание термодинамических, газодинамических и теплообменных процессов, кратких по времени и накладывающихся друг на друга, что еще больше усложняет картину явлений в действительном рабочем цикле поршневого двигателя [1].

Ввиду сложности явлений, происходящих в цилиндре двигателя, оценку влияния отдельных факторов на рабочий процесс целесообразно осуществлять последовательно, рассматривая в цикле главные процессы в простейшей форме. При этом не должны приниматься во внимание явления и потери энергии, которые сопутствуют основным процессам и вызываются не термодинамическими требованиями, а влиянием на главные процессы действительных реальных условий. При такой схематизации протекающих в цилиндре двигателя сложных явлений преобразования теплоты в механическую работу рабочие циклы превращаются в идеальные, в которых методом абстракции возможно уложить все процессы в рамки чисто термодинамической задачи [2].

Следовательно, идеальным циклом двигателя внутреннего сгорания называется такой замкнутый и обратимый цикл, в котором отсутствуют какие-либо потери энергии, не обусловленные согласно второму закону термодинамики необходимостью отдачи теплоты холодному источнику [1].

Основные условия идеального цикла заключаются в следующем:

1.      Рабочим телом в цикле служит идеальный газ, неизменный по весу, химическому составу, теплоемкости, а процесс горения заменяется мгновенным подводом тождественного количества теплоты Q от горячего источника и отдачей теплоты Q2 холодному источнику [3];

2.      Мгновенный подвод теплоты может осуществляться при постоянном объеме (V = const) либо при постоянном давлении (р = const), либо но смешанному циклу (V = const и р - const)[3];

3.      При совершении обратимых процессов превращение теплоты в механическую работу является максимальным, т.е. величина термодинамического к. п. д. цикла по сравнению с индикаторным к. п.д. двигателя - максимальная [3];

4.      Все типы циклов в одинаковых условиях сравнимы между собой и есть возможность получить максимально достижимый предел использования теплоты в том или другом цикле, наглядно выявить основные параметры, влияющие на их экономичность, и наметить пути дальнейшего совершенствования двигателей [3].

Следовательно, исходя из абстрактно поставленной задачи, с помощью сравнительного анализа можно получить практически ценные выводы. В этом надо видеть смысл исследования идеальных циклов [2].

В теории рабочих процессов поршневых и турбопоршневых двигателей внутреннего сгорания в зависимости от принятых исходных условий и целевого назначения исследования кроме идеального цикла рассматриваются также теоретический и рабочий (действительный) циклы [2].

Теоретический цикл отличается от идеального тем, что в нем рабочим телом являются реальные газы переменного состава по мере сгорания топлива и с переменной теплоемкостью. Принимается допущение, что сгорание топлива мгновенное и полное - без потерь (теплоотдача отсутствует) [1].

Как отмечалось выше, рабочий (действительный) цикл совершается в цилиндрах современных реальных двигателей, где сгорание топлива происходит по сложным физико-химическим законам. В течение всего времени протекания цикла имеет место теплообмен с внешней средой. Рабочим телом являются реальные газы переменного состава с переменной теплоемкостью, учитывающие также изменение количества и диссоциацию продуктов сгорания.

Из сравнения этих циклов следует, что теоретический цикл представляет собой следующую после идеального цикла ступень приближения к рабочему (действительному) циклу [2].

Различные требования, предъявляемые к двигателям внутреннего сгорания, привели к созданию самых разнообразных типов этих двигателей. Однако с точки зрения осуществляемого в рабочем цилиндре термодинамического цикла они могут быть подразделены на три основные группы:

1)      двигатели, работающие по циклу с подводом теплоты при постоянном объеме;

2)      двигатели, работающие по циклу с подводом теплоты при постоянном давлении;

3)      двигатели, работающие по смешанному циклу с подводом теплоты при постоянном объеме, а потом при постоянном давлении [2].

2. Цикл с подводом теплоты при постоянном объеме (цикл Отто)


Это цикл бензиновых ДВС с внешним смесеобразованием и принудительным искровым зажигание горючей смеси. Такие ДВС применяют на легковом автотранспорте [2].

Идеальный газ с начальными параметрами p1, v1,T1 сжимается по адиабате 1-2. В изохорном процессе 2-3 рабочему телу от внешнего источника теплоты передается количество теплоты q1. В адиабатном процессе 3-4 рабочее тело расширяется до первоначального объема v4=v1. В изохорном процессе 4-1 рабочее тело возвращается в исходное состояние с отводом от него теплоты q2 в теплоприемник.

Рабочая и тепловая диаграммы цикла Отто представлены на рис. 2.1.

Рис. 2.1. Цикл Отто. Рабочая (p-v) и тепловая (T-s) диаграммы. (1-2 - адиабатное сжатие, 2-3 - изохорный подвод теплоты, 3-4 - адиабатное расширение, 4-1 - изохорный отвод теплоты)

 - степень сжатия

λ= - степень повышения давления.

Расчет цикла заключается в определении:

         параметров состояния рабочего тела в характерных точках цикла (p, T, v),

         энергетических характеристик цикла: подводимой удельной теплоты q1, отводимой удельной теплоты q2, цикловой работы Lц и термического КПД цикла ηt [2].

.1 Расчет параметров в характерных точках цикла

Для определения параметров состояния в точке 2 рассмотрим процесс 1-2 - адиабатное сжатие. Запишем уравнение адиабатного процесса в следующем виде:

 или  (2.1.)

Выразим из уравнения давление в т.2:

 (2.2.)

Для определения температуры в т.2 запишем уравнение адиабатного процесса в виде:

или  (2.3.)

Отсюда:

 (2.4.)

Для определения параметров состояния в точке 3 рассмотрен процесс 2-3 - изохорный процесс с подводом теплоты, при этом давление возрастает пропорционально температуре:


Давление в т.3 можно рассчитать по формуле:


Температура в т.3:

 (2.7.)

Определим параметры состояния в точке 4. Рассмотрен процесс 3-4 - адиабатное расширение. Используя уравнение адиабатного процесса, получено выражение для абсолютного давления в т.4:

Объем в т. 4

 (2.8)

Давление в т.4:


Температура в т.4:



2.2 Расчет энергетических характеристик цикла

Подводимая теплота:

 (2.11.)

Отводимая теплота:

 (2.12.)

Работа цикла:

 (2.13.)

Термический КПД цикла:

 (2.14)

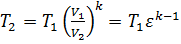
Чем больше степень сжатия ε, тем выше эффективность цикла. Увеличение ε в карбюраторных двигателях ограничено наступлением детонации (взрывного сгорания), которая зависит от температуры самовоспламенения горючей смеси иконструктивных особенностей камеры сгорания, поэтому ε = 6~12 [6].

3. Цикл с подводом теплоты при постоянном давлении (цикл Дизеля)


Это цикл компрессорных дизелей - ДВС тяжелого топлива (дизельного, солярного и др.) с внутренним смесеобразованием и самовоспламенением горючего от сжатого до высокой температуры воздуха. Горючее распыляется воздухом, подаваемым в цилиндр компрессором. Из-за больших габаритов и веса компрессорные дизели применяются на судах и в качестве стационарных установок электростанций. Рабочая и тепловая диаграммы цикла Дизеля представлены на рис. 3.1 [6].

Рис. 3.1. Цикл Дизеля. Рабочая (p-v) и тепловая (T-s) диаграммы. (1-2 - адиабатное сжатие, 2-3 - изобарный подвод теплоты, 3-4 - адиабатное расширение, 4-1 - изохорный отвод теплоты)

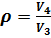
Характеристики цикла:

 - степень сжатия

 - степень предварительного расширения

Параметры состояния рабочего тела в характерных точках цикла определяются аналогично рассмотренному ранее циклу Отто.

3.1 Расчет энергетических параметров цикла

Подводимая теплота:

 (3.1.)

Отводимая теплота:

 (3.2.)

Работа цикла:

 (3.3.)

Термический КПД цикла:

  (3.4.)

Верхний предел ε ограничивается в дизелях быстрым увеличением давления. Применяют значения ε = 14~25. Увеличение ρ отрицательно влияет на повышение эффективности цикла. По мере совершенствования процессов смесеобразования и горения ρ уменьшается [6].

Двигатели, в основу работы которых положен цикл с подводом теплоты при постоянном давлении (с постепенным сгоранием), имеют ряд преимуществ по сравнению с двигателями, работающими по циклу с подводом теплоты при постоянном объеме. Они связаны с тем, что в двигателях с постепенным сгоранием осуществляется раздельное сжатие топлива и воздуха. Поэтому здесь можно достигать значительно более высоких степеней сжатия. Воздух при высоких давлениях имеет настолько высокую температуру, что подаваемое в цилиндр топливо самовоспламеняется без всяких специальных запальных приспособлений. Кроме того, раздельное сжатие воздуха и топлива позволяет использовать любое жидкое дешевое топливо - нефть, мазут, смолы и т.д.

В двигателях с постепенным сгоранием топлива воздух сжимается в цилиндре, а жидкое топливо распыляется сжатым воздухом от компрессора. Раздельное сжатие позволяет применять высокие степени сжатия (до  =20), исключая преждевременное самовоспламенение топлива [5].

4. Цикл со смешанным подводом теплоты (цикл Тринклера)


Цикл со смешанным подводом теплоты - цикл Тринклера - характерен для так называемых бескомпрессорных двигателей тяжелого топлива.

Особенности: механическое распыление горючего (с помощью плунжерного насоса), внутреннее смесеобразование, самовоспламенение от сжатого до высокой температуры воздуха [5].

Это теоретический цикл всех современных транспортных и стационарных дизелей [5].

Цикл изображен на рабочей и тепловой диаграмме. Рис. 4.1.

Рис. 4.1. Цикл Тринклера. Рабочая (p-v) и тепловая (T-s) диаграммы.

Термодинамические процессы цикла:

-2 - адиабатное сжатие,

-3 - изохорный подвод теплоты,

-4 - изобарный подвод теплоты,

-5 - адиабатное расширение,

-1 - изохорный отвод теплоты.

Характеристики цикла:

 - степень сжатия (отношение объемов в начале и конце процесса сжатия 1-2.

 - степень повышения давления (отношение давлений в процессе изохорного подвода теплоты.

 - степень предварительного расширения (отношение объемов в процессе изобарного подвода теплоты.

При анализе считают известными: состояние рабочего тела в т. 1 (Т1, p1) и характеристики цикла ε, λ, ρ. Вместо одной из характеристик может быть задана максимальная температура или максимальное давление 5].

.1 Расчет параметров в характерных точках цикла

Для определения параметров состояния в точке 2 рассмотрим процесс 1-2 - адиабатное сжатие. Запишем уравнение адиабатного процесса в следующем виде:

 или  (4.1.)

Выразим из уравнения давление в т.2:

 (4.2.)

Для определения температуры в т.2 запишем уравнение адиабатного процесса в виде:

или  (4.3.)

Отсюда:

 (4.4.)

Для определения параметров состояния в точке 3 рассмотрен процесс 2-3 - изохорный процесс с подводом теплоты, при этом давление возрастает пропорционально температуре:

 (4.5.)

Давление в т.3 можно рассчитать по формуле:

 (4.6.)


 (4.7.)

Для определения параметров состояния в точке 4 рассмотрен процесс 3-4 - изобарное расширение с подводом теплоты, при этом удельный объем возрастает пропорционально температуре:

 (4.8.)

Давление в т.4 p4=p3

Температура в т.4:

 (4.9.)

Определим параметры состояния в точке 5. Рассмотрен процесс 4-5 - адиабатное расширение. Используя уравнение адиабатного процесса, получено выражение для абсолютного давления в т.5:

 или  (4.10.)

 (4.11.)

Для определения абсолютной температуры в т.5 рассмотрен изохорной процесс 5-1. Для изохорного процесса:

 (4.12.)

Отсюда:

 (4.13.)

Определив таким образом давление и температуру в характерных точках, можно рассчитать удельный объем v в каждой точке, используя уравнение Клапейрона[5].

 (4.14.)

.2 Расчет энергетических характеристик цикла

Подводимая теплота.

В цикле Тринклера теплота подводится в двух процессах: 2-3 (v=const) и 3-2 (p=const), поэтому она будет равна сумме:

 (4.15.)

Подставляя значения температур, получено:

 (4.16.)

Отводимая теплота.

 (4.17.)

Подставляя значения температур, получено:

 (4.18)

Разница между подводимой и отводимой теплотой:

(4.19)

Работа цикла.

Работа цикла равна разнице между подводимой и отводимой теплотой[5]:

 (4.20.)

Термический КПД цикла. Термический КПД цикла равен отношению цикловой работы к подводимой теплоте[5]:

 (4.21.)

 (4.22.)

.3 Анализ эффективности цикла

Термический коэффициент полезного действия (КПД) цикла зависит от характеристик цикла ε, λ, ρ и от свойств рабочего тела (.


Показатель адиабаты k определяется составом продуктов сгорания и изменяется незначительно от 1,33 до 1,37.

Проанализировать влияние характеристик цикла ε, λ, ρ на КПД удобнее всего по тепловой диаграмме. Известно, что чем шире температурный диапазон цикла (разница между средними температурами подвода и отвода теплоты), тем больше его термический КПД[2].

) При увеличении степени сжатия конечная точка процесса 1-2 сместится в т.2' (рис. 4.2.).

Рис. 4.2. К анализу эффективности цикла Тринклера

Средняя температура подвода теплоты  при этом увеличивается, следовательно, термический КПД также увеличится.

; 1 - 2’; .

Для цикла Тринклера степень сжатия изменяется в пределах:


) С увеличением степени повышения давления конечная точка процесса 2-3 сместится в т.3'. Средняя температура подвода теплоты  при этом увеличивается, значит термический КПД также увеличится.

 2 - 32 -3’; .

Обычное значение λ

) Если увеличить степень предварительного расширения, то конечная точка процесса 3-4 сместится в т.4'. Надо отметить, что для замкнутости цикла т. 5 необходимо сместить в т. 5' [2].

Средняя температура подвода теплоты увеличивается . Но в этом случае увеличится и средняя температура отвода теплоты .

 - растет быстрее (по изохоре),  растет медленнее (по изобаре).

Температурный диапазон цикла сузится, значит термический КПД уменьшится [2].

 4 - 5 4’ - 5’; ; ;

Таким образом, увеличение степени предварительного расширения снижает термический КПД. На практике ρ стараются уменьшить: .

Конструкция двигателя, работающего по циклу Тринклера, включает "предкамеру" (рис. 4.3.). После сжатия воздуха в "предкамеру" подается под высоким давлением топливо и происходит быстрое сгорание приготовленной смеси при постоянном объеме, а потом происходит сгорание горючего при постоянном давлении по мере его поступления в камеру сгорания [2].

Рис.4.3. Схема ДВС, работающего по циклу Тринклера

(1  - впускной клапан, 2 - выпускной клапан)

5. Индикаторная диаграмма цикла двигателя внутреннего сгорания


Исследование работы реального поршневого двигателя проводят по диаграмме, в которой дается изменение давления в цилиндре в зависимости от положения поршня (объема) за весь цикл. Такую диаграмму, снятую с помощью прибора - индикатора, называют индикаторной диаграммой (рис. 5.1).

Рис. 5.1. Действительная индикаторная диаграмма четырехтактного двигателя

-1 - заполнение цилиндра воздухом (при внутреннем смесеобразовании) или рабочей смесью (при внешнем смесеобразовании) при давлении несколько ниже атмосферного из-за гидродинамического сопротивления впускных клапанов и всасывающего трубопровода,

-2 - сжатие воздуха или рабочей смеси,

-3'-3 - период горения рабочей смеси,

-4 - рабочий ход поршня (расширение продуктов сгорания), совершается механическая работа,

-5 - выхлоп отработавших газов, падение давления до атмосферного происходит практически при постоянном объеме,

-0 - освобождение цилиндра от продуктов сгорания.

В реальных тепловых двигателях преобразование теплоты в работу связано с протеканием сложных необратимых процессов (имеются трение, химические реакции в рабочем теле, конечные скорости поршня, теплообмен и др.) Термодинамический анализ такого цикла невозможен [4].

В связи с этим для выявления основных факторов, влияющих на эффективность работы установок, действительные процессы заменяют обратимыми термодинамическими процессами, допускающими применение для их анализа термодинамических методов. Такие циклы называют теоретическими.

Допущения, используемые для теоретических циклов:

) Рабочее тело - идеальный газ с постоянной теплоемкостью

) Подвод теплоты осуществляется от внешних источников теплоты, а не за счет сжигания топлива (аналогично отвод теплоты)

) Механические потери (трение, потери теплоты) отсутствуют.

) Процессы 0-1 и 5-0 исключают из рассмотрения, т.к. работа в них практически одинаковая, только имеет разный знак.

Анализ циклов тепловых двигателей проводится в два этапа: сначала анализируется эффективность теоретического (обратимого) цикла, а затем - реальный (необратимый) цикл с учетом основных источников необратимости [4].

6. Эффективность реальных циклов


Экономичность реальных поршневых ДВС всегда меньше теоретических, рассчитанных по идеальному циклу, где не учитываются потери на трение, гидравлические сопротивления потоку газов в клапанах, неполнота сгорания топлива, изменение состава и теплоемкости рабочей смеси, неадиабатность процессов сжатия и расширения, насосные потери и т. Д [3].

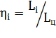
Экономичность реальных двигателей оценивают степенью превращения затраченной теплоты топлива в эффективную работу - так называемым эффективным КПД [4]

 (6.1.)

где Le - эффективная работа, которая передается внешнему потребителю (работа на валу двигателя);- теплота, выделяемая при полном сгорании топлива в цилиндре [3].

Эффективный КПД учитывает не только термодинамические потери цикла, определяемые термическим КПД ηt, но и механические потери на трение, определяемые механическим КПД ηм, и потери внутри двигателя, вызванные необратимостью процессов и несовершенством реального двигателя, определяемые индикаторным КПД ηi [3].

Индикаторный КПД оценивает величину потерь работы цикла, вызванных теплообменом между стенками цилиндра и рабочим телом, гидравлическими сопротивлениями в клапанах, несовершенством процесса сгорания топлива и пр.:

 (6.2.)

где Li - работа цикла реального двигателя, равная площади действительной индикаторной диаграммы (индикаторная работа);ц - работа цикла идеального двигателя [3].

В связи с наличием в двигателе узлов трения часть полученной полезной работы цикла расходуется на преодоление в них сил трения (механические потери). Вот почему работа на выходном валу двигателя Le меньше индикаторной работы цикла на величину механического КПД, определяемого выражением

 (6.3.)

Следует отметить, что механический КПД двигателей, работающих по циклу Тринклера, выше остальных в связи с отсутствием дополнительного компрессора, что и предопределило их широкое применение [4].

Таким образом, эффективный КПД выражается произведением:

= (6.4.)

Увеличение эффективного КПД двигателя связано с увеличением каждого из КПД, входящих в формулу [3].

Выводы


В результате анализа различных теоретических циклов двигателей внутреннего сгорания можно сделать следующие выводы:

Чем больше степень сжатия ε, тем больше степень полезного рабочего расширения, следовательно, больше полезная результирующая работа цикла. Чем больше степень повышения давления λ при данном ε , тем больше цикл будет приближаться к изохорному, т.к. будет увеличиваться подвод тепла при υ=const и сокращаться подвод тепла при p=const. Но при одной и той же степени сжатия ε изохорный цикл всегда экономичнее, чем изобарный цикл.

Смешанный газовый цикл можно рассматривать как наиболее общий случай из всех трех рассмотренных циклов.

Список источников


1.      Дьяченко Н.Х. Теория двигателей внутреннего сгорания / Н.Х. Дьяченко. - Н.: Машиностроение, 1974. - 551 с.

.        Кириллов И.И. Теория турбомашин / И.И. Дьяченко. - Л.: Машиостроение,1964. - 511 с.

.        Петриченко, Р.М. Рабочие процессы поршневых машин / Р.М. Петриченко. - М.: Машиностроение, 1972. - 164 с.

.        Баландин С.С. Бесшатунные поршневые двигатели внутреннего сгорания / C.C. Баландин. - М.: Машиностроение, 1972. - 168 с.

.        Алексеев В.П. Двигатели внутреннего сгорания / В.П. Алексеев. - М.: Машиностроение, 1990. - 254 с.

.        Архангельский В.М. Автомобильные двигатели / В.М. Архангельский. - М.: Машиностроение, 1977. - 591 с.

Похожие работы на - Циклы двигателей внутреннего сгорания

 

Не нашли материал для своей работы?
Поможем написать уникальную работу
Без плагиата!
Без нейросетей!