Тепловой расчет двигателя внутреннего сгорания Д-240
Курсовая
работа
По
дисциплине: "Термодинамика"
На
тему: "Тепловой расчет двигателя внутреннего сгорания Д-240"
Содержание
Введение
Глава I.
Термодинамические циклы двигателей внутреннего сгорания
1.1 Цикл двигателей с подводом
теплоты при постоянном объёме
.2 Цикл двигателей с подводом
теплоты при постоянном давлении
1.3 Цикл двигателей с подводом тепла
при постоянном объёме и постоянном давлении
Глава II.
Тепловой расчет двигателя внутреннего сгорания Д-240
.1 Исходные данные
.2 Расчёт процесса впуска
.3 Расчёт процесса сжатия
.4 Расчёт процесса сгорания
.5 Расчёт процесса расширения
.6 Эффективные показатели работы ДВС
Заключение
Список использованной литературы
Введение
Автотракторные двигатели - сложные технические
устройства. В результате длительного периода развития они в настоящее время
обладают достаточно высокой степенью совершенства и приемлемыми мощностными и
экономическими показателями, а также достаточно надежны в работе. Однако,
необходимость повышения эффективности использования тракторов, автомобилей и
других мобильных энергетических средств требует дальнейшего совершенствования
как самих машин, так и их силовых установок.
Особенности конструкций автомобильных и
тракторных двигателей и тенденции их развития полностью определяются
требованиями к автомобилям и тракторам в соответствии с потребностями народного
хозяйства страны. Кроме того, машины должны быть конкурентоспособными на
мировом рынке.
Тракторы, автомобили и самоходные
сельскохозяйственные машины используются для выполнения различных операций в
течении года. Эти различия определяют особые требования к типам силовых
установок, их ресурсу, экономичности и экологической безопасности. Поэтому
важное значение имеют вопросы правильной организации эксплуатации
автотракторных двигателей.
Объект исследования - двигатель внутреннего
сгорания Д-240.
Предмет исследования - тепловой расчет двигателя
внутреннего сгорания Д-240
Цель - расчет рабочих циклов двигателя
внутреннего сгорания Д-240
В соответствии с поставленной целью определены
следующие задачи:
. Проанализировать литературу по теме
исследования.
. Провести расчеты.
. Определить результаты исследования.
Глава I.
Термодинамические циклы двигателей внутреннего сгорания
Поршневым двигателем внутреннего сгорания
называют такую тепловую машину, в которой превращение химической энергии
топлива в тепловую, а затем в механическую энергию, происходит внутри рабочего
цилиндра. Превращение теплоты в работу в таких двигателях связано с реализацией
целого комплекса сложных физико-химических, газодинамических и
термодинамических процессов, которые определяют различие рабочих циклов и
конструктивного исполнения. Экономические
и мощностные показатели двигателей внутреннего сгорания, работающих по разным
циклам, трудно сравнить в реальных условиях. В этих условиях особенность
протекания отдельного процесса рабочего цикла или деталь конструкции двигателя
могут повлиять на конечные результаты сравнения. Поэтому основные показатели
разных циклов на первом этапе рассматривают в теоретических условиях, когда
каждый цикл осуществляется в наивыгоднейших условиях, в воображаемой тепловой
машине. На втором этапе в теоретические зависимости (т. е. в условиях
воображаемой тепловой машины) вводятся коэффициенты, учитывающие действительные
условия.
В
теоретических циклах введены следующие допущения:
1. В цикле используется в качестве
рабочего тела идеальный газ, состав которого в цикле не изменяется.
2. Циклы считаются замкнутыми,
происходящими при постоянном количестве идеального газа.
. Теплоемкость газа в течение всего цикла
постоянна, т. е. не зависит от температуры.
. Сгорание топлива в цилиндре заменяется
мгновенным подводом тепла, а выпуск - мгновенным отводом теплоты в холодный
источник.
. Процесс сжатия и расширения газа
происходит без теплообмена с окружающей средой, и называются адиабатическими.
В соответствии с этими допущениями теоретический
цикл представляет собой замкнутый цикл, осуществляемый в воображаемой тепловой
машине постоянной несменяемой порцией рабочего тела. Вследствие замкнутости процессы
сгорания и выпуска рабочего тела при действительном цикле заменяют подводом и
отводом теплоты. Процессы сжатия и расширения предполагаются адиабатическими,
т.к. это обеспечивает максимальное теплоиспользование.
Теоретические
циклы имеют минимальное количество потерь, находящихся в строгом соответствии
со вторым законом термодинамики. Существующие двигатели внутреннего сгорания
работают по одному из трех циклов, имеющих свои характерные особенности.
1.1 Цикл двигателей с подводом теплоты при
постоянном объеме
Автомобильные карбюраторные двигатели, а также
двигатели газогенераторные, газобаллонные и с впрыском легкого топлива работают
по циклу, в котором горючая смесь, вошедшая в цилиндр во время впуска,
сжимается, поджигается искрой и быстро сгорает в момент нахождения поршня около
ВМТ, т. е. при почти неизменяемом объеме.
Индикаторная диаграмма теоретического цикла
показана на рис. 1.1.
рис.1.1
Цикл с сообщением тепла при постоянном объеме
осуществляется следующим образом. При движении поршня от НМТ (точка а диаграммы
теоретического цикла) газ, заполняющий цилиндр, начинает сжиматься. Чтобы
довести потери тепла до минимума, стенки цилиндра должны быть абсолютно
нетеплопроводными, т. е. покрытыми идеальной тепловой изоляцией. В этом случае
процесс сжатия (линия ас индикаторной диаграммы) будет адиабатическим, а
внешняя механическая работа, затрачиваемая на сжатие, полностью пойдет на
увеличение внутренней энергии сжимаемого газа.
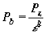
Давление газа в цилиндре в конце процесса сжатия
(точка с) равно:
,
где k - показатель адиабаты идеального газа.
Температура газа в цилиндре в конце процесса
сжатия (точка с) равна:
.
В конце сжатия, с приходом поршня в ВМТ,
происходит не процесс сгорания, как в действительном цикле, а простое
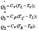
мгновенное сообщение теплоты Q1 рабочему телу; результатом этого будет
повышение его температуры и давления при постоянном объеме (изохоры сz). При
положении поршня в ВМТ (точка z диаграммы) сообщение теплоты прекращается.
Степень повышения давления газа в цилиндре в
конце процесса подвода теплоты
,
где Pz - давление газа в цилиндре в конце
процесса подвода теплоты.
Температура газа в цилиндре в конце процесса
подвода теплоты (точка z)
.
Температура газа в цилиндре в конце процесса
расширения
.
Для повторения цикла надо вернуть газ в
начальное состояние, характеризуемое точкой a индикаторной диаграммы. Для этого
необходимо охладить газ, заключенный в цилиндре, т.е. отнять теплоту,
представляющую собой долю Q2 от ранее введенной теплоты Q1. Таким образом, даже
при осуществлении теоретического цикла часть вводимой теплоты теряется и,
следовательно, не может быть полного превращения теплоты в работу.
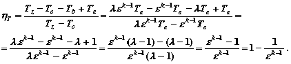
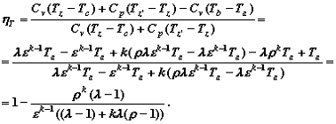
Степень преобразования теплоты в работу любого
теоретического цикла оценивается термическим КПД, который представляет собой
отношение теплоты, превращенной в полезную работу газов, к подведенной теплоте
Q1.
В
цикле какие-либо дополнительные тепловые потери, за исключением количества
теплоты Q2, отсутствуют.
Поэтому в полезную работу превращается разность
количеств теплоты Q1 - Q2, тогда термический КПД можно выразить формулой:
В цикле с сообщением теплоты при постоянном
объеме вводимое количество Q1 теплоты и отводимое Q2 пропорциональны его
изохорной теплоемкости Сν и
соответствующим разностям температур:
Термический КПД можно определять, подставив
найденные значения температур:
Согласно уравнению термического КПД,
экономичность цикла с подводом теплоты при постоянном объеме возрастает при
увеличении степени сжатия и показателя адиабаты идеального газа.
.2 Цикл двигателей с подводом теплоты при
постоянном давлении
По этому циклу работают стационарные и судовые
компрессорные двигатели с воспламенением от сжатия или компрессорные дизели.
В дизели в процессе впуска поступает воздух,
давление и температура которого повышаются в процессе сжатия. Вследствие
применения в дизелях высоких степеней сжатия (от 14 до 20) давление конца
сжатия приближается к 3-4 МПа и соответствующая температура значительно
превышает температуру самовоспламенения топлива. Топливо впрыскивается в конце
сжатия через форсунку, мелко распыляется и, приходя в соприкосновение с сильно
нагретым воздухом, начинает гореть.
В этих двигателях для обеспечения хорошего
распыливания топлива используют сжатый воздух с давлением около 6 МПа,
получаемый в специальных компрессорах, включенных в конструктивную схему
двигателя. Насос подает топливо в форсунку, в которую из компрессора подводится
сжатый воздух, и в нужный момент внутренняя полость форсунки сообщается с
цилиндром, куда поступает смесь распыляющего воздуха и топлива.
Ввиду постепенной подачи топлива через форсунку
нельзя получить резкого повышения давления при сгорании, как в цикле с
сообщением теплоты при V = const, где все топливо перед сгоранием находится в
цилиндре. В двигателях, работающих по циклу с подводом теплоты при P = const,
топливо горит постепенно по мере его поступления в цилиндр, в результате чего
процесс сгорания происходит при перемещающемся поршне, при почти постоянном
давлении.
При движении поршня от НМТ (точка a диаграммы
теоретического цикла) газ, заполняющий цилиндр, начинает сжиматься. В этом
случае процесс сжатия (линия ас индикаторной диаграммы) будет адиабатическим.
Давление и температура в конце этого процесса определяется так же, как и при
термодинамическом цикле с подводом теплоты при постоянном давлении.
В
конце сжатия, с приходом поршня в ВМТ, происходит, как в ранее рассмотренном
теоретическом цикле, мгновенное сообщение теплоты Q1 рабочему телу; результатом
этого будет повышение его температуры при постоянном давлении (изобара сz).
рис.1.2.
термодинамический
двигатель сгорание теплота
При положении поршня, когда объем надпоршневого
пространства равен VZ (точка z диаграммы), сообщение теплоты прекращается.
Степень предварительного расширения газа в
цилиндре в конце процесса подвода теплоты:
.
Тогда температура газа в цилиндре в конце
процесса подвода теплоты (точка z)
.
Затем газ адиабатически расширяется (линия zb
диаграммы).
Давление газа в цилиндре в конце процесса
расширения
.
Температура газа в цилиндре в конце процесса
расширения
.
Для повторения цикла необходимо охладить газ,
заключенный в цилиндре, т. е. отнять теплоту Q2 от введенной теплоты Q1 при
постоянном объеме Va.
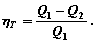
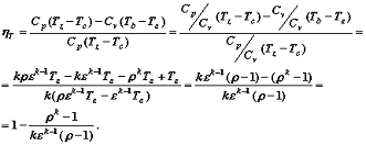
Термический КПД выражается формулой:
.
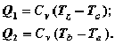
В цикле с сообщением теплоты при постоянном
объеме вводимое количество Q1 теплоты пропорционально его изобарной
теплоемкости СP, а отводимое Q2 пропорционально его изохорной теплоемкости Сν
и
соответствующим разностям температур:
Термический КПД можно определять подставив
значения температур с учетом того, что:
Двигатели этого типа в качестве транспортных не
использовались вследствие громоздкости установки, снабженной компрессором,
имевшим две или три ступени давления. Поэтому данный цикл в дальнейшем
рассматриваться не будет.
.3 Цикл двигателей с подводом тепла при
постоянном объеме и постоянном давлении (смешанный цикл)
Тракторные и автомобильные двигатели работают по
смешанному циклу на дизельном топливе. Для самовоспламенения впрыскиваемого
топлива степень сжатия должна быть не ниже 14. Индикаторная
диаграмма теоретического цикла представлена на рис. 1.3.
В
цикле кривая ас диаграммы изображает адиабатическое сжатие рабочего тела,
заключенного в цилиндре, сz и zz' - сообщение теплоты, z'b - адиабатическое
расширение и ba - отдачу части сообщенной теплоты холодному источнику в
соответствии со вторым законом термодинамики.
рис.1.3.
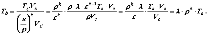
Значения температуры и давления в конце процесса
сжатия аналогичны предшествующим формулам:
;
.
Максимальное давление смешанного цикла:
.
Температура в ВМТ равна:
.
Температура в конце процесса подвода теплоты
равна:
.
Давление в конце адиабатного расширения равно:
.
Температура в конце адиабатного расширения
определяется формулой:
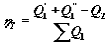
Термический КПД теоретического цикла можно
определить по разности количества теплоты: Q1' + Q1'', введенных соответственно
при V = const (по изохоре сz) и при р = const (по изобаре zz') и Q2, отданного
холодному источнику при V = const (по изохоре ba):
.
Теплота, сообщаемая соответственно по изохоре и
изобаре, и отводимая теплота равны
Подставляя Q1', Q1'' и Q2 в уравнение,
определяющее термический КПД смешанного цикла, заменяя все температуры через
температуру начала сжатия Tа, аналогично предшествующим выводам и учитывая, что
,
Получаем
Это уравнение позволяет утверждать, что
использование тепла в смешанном цикле зависит от степени сжатия,
предварительного расширения и повышения давления, а также показателя адиабаты.
В смешанном цикле повышение степени сжатия
улучшает экономические и мощностные показатели. Однако по мере увеличения
степени сжатия прирост использования теплоты постепенно замедляется и после
значений степени сжатия 10-12 становится малоощутимым. В дизельных двигателях
значении степени сжатия больше 15 объясняются желанием облегчить пуск холодных
двигателей. При повышении степени сжатия растет температура конца сжатия, что
обеспечивает самовоспламенение топлива даже при низких температурах стенок
цилиндра и засасываемого воздуха.
Глава II.
Тепловой расчет двигателя внутреннего сгорания Д-240
2.1 Исходные данные
Исходные данные:
тип ДВС 4Ч;
размерность диаметр цилиндра d
= 11 см
ход поршня S
= 12,5 см;
эффективная мощность Ne=55,1
кВт;
частота вращения коленвала n=2200
об/мин;
топливо - дизельное ЦЧ=45 ед;
компоновка двигателя - рядная;
тип системы охлаждения - жидкостная;
смесеобразование - объемное;
прототип - Д-240. Прототип:
двигатель тракторного типа Д-240 рядной компоновки с жидкостным охлаждением.
Размерность d / S
= 11 см/12,5 см, в дизеле применена неразделенная камера сгорания с
объемно-пленочным смесеобразованием; степень сжатия ε
= 16, коэффициент
избытка воздуха α=1,45.
.2 Расчёт процесса впуска
Найдем давление в конце процесса наполнения:
где Ро = 0,1 МПа - нормальное
атмосферное давление; А-коэффициент,
зависящий от частоты вращения коленвала;
Wвн
- скорость потока в проходном сечении впускного клапана.
Определяем коэффициент А:
Найдем скорость потока:

сп - средняя скорость
поршня.
Определяем скорость поршня:
Определяем скорость потока:
Итак,
давление в конце процесса наполнения:
Температура
газов в конце наполнения:
где Т0-температура
окружающей среды;
ΔТ- мера подогрева свежего заряда на впуске;
γr-коэффициент
остаточных газов;
Tr -
температура отработавших газов.
Принимаем
температуру окружающей среды Т0=15+273=288К.
Принимаем
меру подогрева ΔТ=15оС.
Коэффициент
остаточных газов:
где Рr -
давление отработавших газов.
Найдем
давление отработавших газов:
Найдем температуру отработавших
газов:
Принимаем Tr=900К.
Итак, температура заряда в конце
впуска:
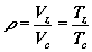
Определяем коэффициент наполнения:
2.3 Расчёт процесса сжатия
Определим показатель политропы:
где Тсв- температура
самовоспламенения; для дизельного топлива Тсв=690 К.
ΔТс - температурный
резерв. Для дизелей автотракторной размерности ΔТс=3000С=
= 573К.
Найдем давление в конце процесса
сжатия:
Температура в конце процесса сжатия:
.4
Расчёт процесса сгорания
2.4.1 Термохимический расчет
Теоретически необходимое количество
воздуха для сгорания 1 кг топлива
где С, Н, ОТ - элементный
состав топлива в массовых долях. Для дизтоплива С=0,870, Н=0,126, ОТ=0,004.
Количество свежего цилиндрового
заряда :
Количество продуктов сгорания:
углекислого газа:
-воды:
-остаточного кислорода:
-азота:
Общее количество продуктов сгорания:
Суммарное количество газообразных
компонентов:
Химический коэффициент молекулярного
изменения:
Действительный коэффициент
молекулярного изменения:
2.4.2 Термодинамический расчет
Найдем внутреннюю энергию остаточных
газов по формуле:
где коэффициенты "а" и
"в" для двигателя Д-240 при α=1,45 а=4466,8,
в=0,02555.
Внутренняя энергия свежего заряда:
Где
- теплоемкость свежего заряда
Определим
теплоемкость свежего заряда:
Находим
внутреннюю энергию свежего заряда:
Универсальное уравнение сгорания для
расчета количества теплоты, передаваемой газами при сгорании 1 кг топлива:
где Ни - теплотворность
топлива, кДж/кг. Для дизтоплива Ни = 42500 кДж/кг.
Внутренняя энергия рабочего тела:
для дизеля tg β=3,5 бар/0п.к.в.
Определяем усредненное значение угла
β
наклона
линии активного тепловыделения значение β=arctg3,5=74,050.
Уточняем угол β
Находим долю температурного
компонента в суммарной энергетической характеристике:
Определяем температуру сгорания по
линейной зависимости:
где А, В -коэффициенты двигателя
Д-240, А=0,03115, В=253.
Степень
предварительного расширения:
Определяем
давление сгорания:
Степень последующего расширения:
Степень повышения давления:
2.5 Расчёт процесса расширения
Показатель политропы расширения по
упрощенной зависимости
По методике И.И. Вибе для участка
диаграммы, прилегающего к точке z при условии k2=n2 и χ=kv=sin β
Аналогично для точки b с учетом
того, что χ=kv=1,0
Усредненное значение для процесса
расширения:
Принимая во внимание, что n2 ˂ k2 найдем
усредненное по двум методикам значение показателя политропы:
Давление в конце процесса
расширения:
Температура в конце процесса
расширения:
Уточним значение температуры при
выпуске:
Относительная погрешность
2.6 Эффективные показатели работы
ДВС
Определим механический КПД
двигателя:
где Рм - удельное
давление механических потерь.
где коэффициенты А,В для двигателя
Д-240 А=0,089 и В=0,0118.
Среднее эффективное давление
Эффективный КПД:
Удельный эффективный расход топлива:
Часовой расход топлива:
Литровая мощность:
Крутящий момент:
Список
использованной литературы
1. Тракторы МТЗ-80 МТЗ-82/ И.П.
Ксеневич, С.Л. Кустанович, П.Н. Степанюк и др.; -2-е изд., перераб. и доп. -
М.: Колос, 1983. -254 с., ил.
.Двигатели внутреннего сгорания:
Теория поршневых и комбинированных двигателей. Учебник для втузов по
специальности "Двигатели внутреннего сгорания" / Вырубов Д.Н.,
Иващенко Н.А., Ивин В.И. и др.; Под ред. Орлина А.С., Круглова. М.Г. - 4-е изд.,
перераб. и доп. - М.: "Машиностроение", 1983. - 372с.
4. Теория двигателей
внутреннего сгорания. Под ред. проф. д-ра техн. наук Дьяченко Н.Х. Л.:
"Машиностроение", 1974. - 552с.
. Хачиян А.С., Морозов К.А.,
Луканин В.Н. Двигатели внутреннего сгорания: Учебник для вузов. - М.:
"Высшая школа", 1978. - 280с.