Расчет двигателя внутреннего сгорания
Содержание
Введение
Задание
.
Анализ основных параметров двигателя прототипа
.
Определение индикаторных показателей рабочего цикла прототипа двигателя
.1
Определение индикаторных показателей рабочего цикла прототипа двигателя
.2
Определение индикаторных показателей рабочего цикла рассчитываемого двигателя
.
Расчет процесса впуска
.
Расчет процесса сжатия
.
Расчет процесса сгорания
.
Расчет процесса расширения
.
Определение индикаторных показателей цикла
.
Определение эффективных показателей цикла
.
Определение экономических показателей
.
Оценка влияния продолжительности сгорания на индикаторные показатели рабочего
цикла
Литература
Приложение
ВВЕДЕНИЕ
Основными задами курса является улучшение
показателей топливной экономичности, повышение мощности двигателей и крутящего
момента, снижение показателей токсичности двигателя.
Выполнение данных задач требует от специалистов,
связанных с производством и эксплуатацией автомобильных и тракторных
двигателей, глубокого знания теории, конструкции и расчета двигателей
внутреннего сгорания.
В основе теплового расчета двигателей
внутреннего сгорания заложены представления о закономерном характер скорости
сгорания топлива. Тепловой расчет двигателя позволяет определить индикаторный и
эффективные показатели и основные показатели и основные размеры цилиндров
проектируемого двигателя.
При выполнении теплового расчета студенты
углубляют свои знания по теории рабочего цикла и приобретают практические
навыки в выборе исходных данных в проведении расчетов.
ЗАДАНИЕ
на курсовую работу по теории рабочих процессов
двигателей
студента группы АТ - 441
1. Тема курсовой работы - «Расчет двигателя
внутреннего сгорания» 2/+10/0/4,6/17
2. Исходные данные к работе:
- двигатель прототип - КамАЗ-740;
- требуется увеличить эффективную мощность
на 10 кВт;
увеличить частоту вращения двигателя не
требуется;
модернизация осуществляется путем увеличения
рабочего объёма цилиндра;
требуется оценить влияние угла опережения
воспламенения на показатели рабочего процесса.
1. Анализ основных
параметров двигателя прототипа
КамАЗ-740 представляет собой четырехтактный
восьмицилиндровый V-образный
дизельный двигатель, с углом развала цилиндров 90°.
Техническая характеристика:
Марка КамАЗ-740
Эффективная мощность, кВт 154
Частота вращения при номинальной мощности, мин-1
2600
Удельный расход топлива, г/кВт∙ч 178
Диаметр цилиндра, мм 120
Ход поршня, мм 120
Рабочий объем цилиндров, л 10,85
Степень сжатия 17
2. Определение
индикаторных показателей рабочего цикла прототипа двигателя
.1 Определение индикаторных показателей рабочего
цикла прототипа двигателя
Среднее эффективное давление:
(2.1)
где Nе -
эффективная мощность, кВт;
τ - тактность двигателя;
Vh - рабочий
объём одного цилиндра, л;
n -
номинальная частота вращения, мин-1;
i - число
цилиндров.
;
Давление механических потерь:
(2.2)
где а, в - эмпирические коэффициенты
[1, стр. 43], а = 0,04 и в = 0,0135;
Сп - средняя скорость
поршня;
м/с (2.3)
тогда
рм = 0,04+0,0135∙10,4
= 0,1804;
Среднее индикаторное давление:
рi = рм
+ рe, МПа (2.4)
рi =
0,655+0,1804 = 0,8354;
Индикаторная мощность:
кВт (2.5)
;
Индикаторный расход топлива:
г/кВт∙ч (2.6)
Выбор исходных данных для теплового
расчёта
Расчет выполняем применительно к
использованию двигателя в нормальных атмосферных условиях:
. Давление окружающей среды р0 =
0,1013 МПа;
. Давление перед впускными клапанами
рк, учитывая относительно небольшие потери во впускной трассе, для
двигателя без наддува можно принять равным атмосферному рк = р0
= 0,1013 МПа;
. Температура окружающей среды Т0
= 293 К;
. Температура свежего заряда перед
впускными клапанами также может быть принята равной температуре окружающей
среды Тк = Т0 = 293 К;
. Степень сжатия принимаем ε = 17 [1];
6. Коэффициент наполнения ηv для
дизельных двигателей находится в пределах ηv = 0,8…0,9.
Примем ηv = 0,86;
. Для четырехтактных безнаддувных
дизелей давление остаточных газов принимаем рr = 0,11 МПа
[1];
. Применительно к номинальному
режиму работы температура остаточных газов Тr для
четырехтактных дизельных двигателей колеблется в пределах 700…800 К, принимаем
Тr = 750 К
[1];
. Величина подогрева свежего заряда
от нагретых деталей двигателя ΔТ зависит, главным образом, от типа
двигателя и скоростного режима, для четырехтактных дизелей ΔТ = 10…20
градусов, принимаем ΔТ = 15
градусов;
. Массовая доля углерода в топливе С
= 0,855;
. Массовая доля водорода в топливе Н
= 0,13
. Массовая доля кислорода в топливе
О = 0,01
. Коэффициент избытка воздуха
принимаем a = 1,8;
. отношение радиуса кривошипа к
длине шатуна λ
= R/Lш. λ = 1/3,8
= 0,263 [1];
15. Средний показатель политропы
сжатия n1 выберем
равным n1 = 1,37[1];
. Для принятого элементарного
химического состава дизельного топлива полагаем низшую теплотворную способность
Hu равной 42,5
МДж/кг.
. Характер сгорания m в дизельных
двигателях находится в пределах m = 0,03…3, примем m = 0,3;
. Условная продолжительность
сгорания φz для дизелей
находится в пределах 80…120 град. ПКВ. Примем φz = 100 град.
ПКВ;
. Средний показатель политропы
расширения n2 выберем
равным n2 = 1,4;
. Коэффициент использования теплоты ψ учитывает
потери теплоты в стенки, на перетекание газов, для дизельных двигателей ψ =
0,8…0,9. Выбираем
ψ
= 0,86;
21. Понижение температуры в
охладителе надувочного воздуха ΔТохл. Так как охладитель
надувочного воздуха отсутствует, примем ΔТохл = 0;
. Показатель политропы сжатия
воздуха в компрессоре примем nн = 1, т.к.
компрессор отсутствует;
. Угол опережения зажигания Θ выберем по
номограмме, Θ
= 10 град.
ПКВ [1, стр. 23, рис. 2.1];
. Шаг расчета процессов сжатия и
расширения примем
;
. Шаг расчета процесса сгорания
примем
.
.2 Определение индикаторных
показателей рабочего цикла рассчитываемого двигателя
Среднее эффективное давление:
Давление механических потерь:
где а, в - эмпирические коэффициенты ([1]
стр.43), а = 0,04 и в=0,0135;
Сп - средняя скорость поршня;
Сп = S
n/30, [м/с]
Сп = 0,12∙2600/30 = 10,4;
тогда
рМ = 0,09+0,0135∙10,4 = 0,1804;
Индикаторное давление:
рi
=
рм + рe,
[МПа]
рi=0.1804+0,5941=0,7745;
Индикаторная мощность:
;
Индикаторный расход топлива:
3. Расчет процесса
впуска
Давление рабочего тела в конце такта впуска:
, [МПа](3.1)
где ε - степень
сжатия двигателя;
ηv -
коэффициент наполнения;
рк - давление перед
впускными клапанами, МПа;
Тк - температура перед впускными
клапанами, МПа;
рr - давление
остаточных газов, МПа;
Коэффициент остаточных газов:
(3.2)
Температура рабочего тела в конце
впуска:
Та = (Тк+ΔТ+γТr)/(1+γ), [К] (3.3)
Ta =
(293+15+0,0331∙750)/(1+ 0,0331) = 322,1615 [K]
Теоретически необходимое количество
воздуха для сгорания одного килограмма ДТ:
(3.4)
Удельный объем рабочего тела в конце
такта впуска:
(3.5)
4. Расчет процесса
сжатия
Параметры рабочего тела в процессе сжатия
определяются по уравнениям политропного процесса.
Текущие давления (с шагом Δα=10
град ПКВ):
(4.1)
где V - текущие
значения удельного объема, определяемые по зависимости:
(4.2)
где σ = S/r
кинематическая функция перемещения поршня ([1],стр. 65);
Таблица
4.1
Расчёт процесса сжатия
|
α,
град
ПКВ
|
V,
м3/кг
|
р,
МПа
|
Т,
К
|
|
180
|
1,068
|
0,087
|
322,2
|
|
190
|
1,062
|
0,087
|
322,8
|
|
200
|
1,045
|
0,089
|
324,7
|
|
210
|
1,017
|
0,093
|
328
|
|
220
|
0,978
|
0,098
|
332,9
|
|
230
|
0,927
|
0,105
|
339,4
|
|
240
|
0,867
|
0,115
|
348
|
|
250
|
0,796
|
0,129
|
359,1
|
|
260
|
0,718
|
0,149
|
373,2
|
|
270
|
0,633
|
0,178
|
391
|
|
280
|
0,543
|
0,219
|
413,7
|
|
290
|
0,453
|
0,281
|
442,6
|
|
300
|
0,364
|
0,378
|
479,6
|
|
310
|
0,281
|
0,538
|
527,6
|
|
320
|
0,208
|
0,815
|
590,3
|
|
330
|
0,147
|
1,314
|
671,5
|
|
340
|
0,101
|
2,196
|
771,4
|
|
350
|
0,072
|
3,457
|
871.9
|
Удельная работа сжатия:
(4.3)
lay =
тепловой
параметр сгорание цикл
5. Расчет процесса
сгорания
Для дизельных двигателей с коэффициентом избытка
воздуха больше единицы, δ=1;
Тогда коэффициент эффективности сгорания:
, (5.2)
где δ - коэффициент
выделения теплоты;
ψ - коэффициент использования
теплоты.
Общая удельная использованная
теплота сгорания:
(5.3)
Максимальное значение химического
коэффициента молекулярного изменения (при α<1)
, (5.4)
Максимальное значение
действительного коэффициента молекулярного изменения:
(5.5)
;
Давление в конце участка 1-2 (при
к=1.29):
; (5.6)
Температура:
; (5.7)
Доля выгоревшего топлива:
; (5.8)
Коэффициент молекулярного изменения:
; (5.9)
Приращение коэффициента
молекулярного изменения:
; (5.10)
Отвлеченная скорость сгорания:
; (5.11)
Максимальная скорость нарастания
давления газов:
; (5.12)
Таблица
5.1
Расчет процесса сгорания
|
φ
|
α,
град
ПКВ
|
v2,
м3/кг
|
v1,
м3/кг
|
Кv2
|
Кv2-v1
|
Кv1-v2
|
p1,
МПа
|
|
1
|
2
|
3
|
4
|
5
|
6
|
7
|
8
|
|
0
|
350
|
0,072
|
--
|
--
|
--
|
--
|
--
|
|
5
|
355
|
0,065
|
0,072
|
0,4589
|
0,3869
|
0,44332
|
3,456
|
|
10
|
360
|
0,063
|
0,065
|
0,44478
|
0,37978
|
0,3959
|
4,917
|
|
15
|
365
|
0,065
|
0,063
|
0,4589
|
0,3959
|
0,37978
|
6,286
|
|
20
|
370
|
0,072
|
0,065
|
0,50832
|
0,44332
|
0,3869
|
6,939
|
|
25
|
375
|
0,084
|
0,072
|
0,59304
|
0,52104
|
0,42432
|
6,77
|
|
30
|
380
|
0,101
|
0,084
|
0,71306
|
0,62906
|
0,49204
|
6,05
|
|
35
|
385
|
0,122
|
0,101
|
0,86132
|
0,76032
|
0,59106
|
5,126
|
|
40
|
390
|
0,147
|
0,122
|
1,03782
|
0,91582
|
0,71432
|
4,226
|
|
45
|
395
|
0,147
|
1,24256
|
1,09556
|
0,86182
|
3,451
|
|
50
|
400
|
0,208
|
0,176
|
1,46848
|
1,29248
|
1,03456
|
2,818
|
|
55
|
405
|
0,243
|
0,208
|
1,71558
|
1,50758
|
1,22548
|
2,316
|
|
60
|
410
|
0,281
|
0,243
|
1,98386
|
1,74086
|
1,43458
|
1,921
|
|
65
|
415
|
0,322
|
0,281
|
2,27332
|
1,99232
|
1,66186
|
1,611
|
|
70
|
420
|
0,364
|
0,322
|
2,56984
|
2,24784
|
1,90932
|
1,366
|
|
75
|
425
|
0,408
|
0,364
|
2,88048
|
2,51648
|
2,16184
|
1,172
|
|
80
|
430
|
0,453
|
0,408
|
3,19818
|
2,79018
|
2,42748
|
1,017
|
|
85
|
435
|
0,498
|
0,453
|
3,51588
|
3,06288
|
2,70018
|
0,892
|
|
90
|
440
|
0,543
|
0,498
|
3,83358
|
3,33558
|
2,97288
|
0,79
|
|
95
|
445
|
0,588
|
0,543
|
4,15128
|
3,60828
|
3,24558
|
0,707
|
|
100
|
450
|
0,633
|
0,588
|
4,46898
|
3,88098
|
3,51828
|
0,639
|
|
p1(Kv1-v2)
|
x2
|
Δx=x2-x1
|
2qzΔx
|
[9]+[12]
|
p2,
МПа
|
β1-2
|
T2,
К
|
|
9
|
10
|
11
|
12
|
13
|
14
|
15
|
16
|
|
0
|
|
|
|
3,456
|
1,0025
|
883,3
|
|
1,53211392
|
0,1311
|
0,1311
|
0,3253
|
0,4328
|
4,917
|
1,0075
|
1108,3
|
|
1,9466403
|
0,2926
|
0,1614
|
0,4004
|
0,5109
|
6,286
|
1,013
|
1344,4
|
|
2,38729708
|
0,4437
|
0,1510
|
0,3746
|
0,4817
|
6,939
|
1,018
|
1529,1
|
|
2,6846991
|
0,5736
|
0,1299
|
0,3221
|
0,4057
|
6,77
|
1,022
|
1651,9
|
|
2,8726464
|
0,6799
|
0,1063
|
0,2637
|
0,3228
|
6,05
|
1,0255
|
1719,1
|
|
2,976842
|
0,7640
|
0,0840
|
0,2084
|
0,2499
|
5,126
|
1,0285
|
1743,2
|
|
3,02977356
|
0,8287
|
0,0646
|
0,1604
|
0,1987
|
4,226
|
1,0305
|
1737,3
|
|
3,01871632
|
0,8774
|
0,0486
|
0,1207
|
0,1604
|
3,451
|
1,032
|
1712
|
|
2,97414082
|
0,9133
|
0,0359
|
0,0891
|
0,1316
|
2,818
|
1,0335
|
1675
|
|
2,91539008
|
0,9395
|
0,0261
|
0,0648
|
0,1144
|
2,316
|
1,034
|
1631,8
|
|
2,83821168
|
0,9582
|
0,0187
|
0,0463
|
0,1016
|
1,921
|
1,0345
|
1585,9
|
|
2,75582818
|
0,9714
|
0,0132
|
0,0327
|
0,0923
|
1,611
|
1,035
|
1539,8
|
|
2,67725646
|
0,9806
|
0,0092
|
0,0228
|
0,0858
|
1,366
|
1,035
|
1494,9
|
|
2,60813112
|
0,987
|
0,0063
|
0,0157
|
0,0842
|
1,172
|
1,035
|
1452,1
|
|
2,53367648
|
0,9913
|
0,0043
|
0,0107
|
0,0820
|
1,017
|
1,035
|
1412
|
|
2,46874716
|
0,9943
|
0,0029
|
0,0072
|
0,0814
|
0,892
|
1,0355
|
1374,8
|
|
2,40856056
|
0,9962
|
0,0019
|
0,0048
|
0,0823
|
0,79
|
1,036
|
1340,6
|
|
2,3485752
|
0,9975
|
0,0013
|
0,0032
|
0,0825
|
0,707
|
1,036
|
1309,3
|
|
2,29462506
|
0,9984
|
0,0008
|
0,0021
|
0,0828
|
0,639
|
1,036
|
1280,7
|
|
2,24818092
|
0,9990
|
0,0005
|
0,0013
|
0,0834
|
0,582
|
1,032
|
1254,9
|
Таблица
5.3
|
φ
|
w0
|
v2,м3/кг
|
v1,м3/кг
|
v2-v1
|
p2,
МПа
|
p1,
МПа
|
Δp/2
|
[5]∙[8]
|
|
0
|
0
|
0,072
|
|
0,072
|
3,456
|
|
1,728
|
0,124416
|
|
5
|
0,131
|
0,065
|
0,072
|
-0,007
|
4,917
|
3,456
|
4,1865
|
-0,02931
|
|
10
|
0,293
|
0,063
|
0,065
|
-0,002
|
6,286
|
4,917
|
5,6015
|
-0,0112
|
|
15
|
0,444
|
0,065
|
0,063
|
0,002
|
6,939
|
6,286
|
6,6125
|
0,013225
|
|
20
|
0,574
|
0,072
|
0,065
|
0,007
|
6,77
|
6,939
|
6,8545
|
0,047981
|
|
25
|
0,68
|
0,084
|
0,072
|
0,012
|
6,05
|
6,77
|
6,41
|
0,07692
|
|
30
|
0,764
|
0,101
|
0,084
|
0,017
|
5,126
|
6,05
|
5,588
|
0,094996
|
|
35
|
0,829
|
0,122
|
0,101
|
0,021
|
4,226
|
4,676
|
0,098196
|
|
40
|
0,877
|
0,147
|
0,122
|
0,025
|
3,451
|
4,226
|
3,8385
|
0,095963
|
|
45
|
0,913
|
0,176
|
0,147
|
0,029
|
2,818
|
3,451
|
3,1345
|
0,090901
|
|
50
|
0,94
|
0,208
|
0,176
|
0,032
|
2,316
|
2,818
|
2,567
|
0,082144
|
|
55
|
0,958
|
0,243
|
0,208
|
0,035
|
1,921
|
2,316
|
2,1185
|
0,074148
|
|
60
|
0,971
|
0,281
|
0,243
|
0,038
|
1,611
|
1,921
|
1,766
|
0,067108
|
|
65
|
0,981
|
0,322
|
0,281
|
0,041
|
1,366
|
1,611
|
1,4885
|
0,061029
|
|
70
|
0,987
|
0,364
|
0,322
|
0,042
|
1,172
|
1,366
|
1,269
|
0,053298
|
|
75
|
0,991
|
0,408
|
0,364
|
0,044
|
1,017
|
1,172
|
1,0945
|
0,048158
|
|
80
|
0,994
|
0,453
|
0,408
|
0,045
|
0,892
|
1,017
|
0,9545
|
0,042953
|
|
85
|
0,996
|
0,498
|
0,453
|
0,045
|
0,79
|
0,892
|
0,841
|
0,037845
|
|
90
|
0,998
|
0,543
|
0,498
|
0,045
|
0,707
|
0,79
|
0,7485
|
0,033683
|
|
95
|
0,998
|
0,588
|
0,543
|
0,045
|
0,639
|
0,707
|
0,673
|
0,030285
|
|
100
|
0,999
|
0,633
|
0,588
|
0,045
|
0,582
|
0,639
|
0,6105
|
0,027473
|
Удельная работа газов в процессе сгорания:
[МДж/кг](5.13)
6. Расчет процесса
расширения
Давление рабочего тела в конце расширения:
[МПа], (6.1)
Температура рабочего тела в конце
расширения:
[К], (6.2)
Текущие величины давления и
температуры:
;(6.3)
(6.4)
Таблица
6.1
Расчет процесса расширения
|
α,
град
ПКВ
|
v, м3/кг
|
р,
МПа
|
Т,
К
|
|
450
|
0,633
|
0,582
|
1237
|
|
455
|
0,676
|
0,53
|
1204,7
|
|
460
|
0,718
|
0,487
|
1176
|
|
465
|
0,758
|
0,451
|
1150,6
|
|
470
|
0,796
|
0,421
|
1128,1
|
|
475
|
0,833
|
0,396
|
1108,2
|
|
480
|
0,867
|
0,374
|
1090,6
|
|
485
|
0,898
|
0,356
|
1075
|
|
490
|
0,928
|
0,34
|
1061,4
|
|
495
|
0,954
|
0,327
|
1049,5
|
|
500
|
0,978
|
0,316
|
1039,3
|
|
505
|
0,999
|
0,307
|
1030,4
|
|
510
|
1,017
|
0,299
|
1023
|
|
515
|
1,033
|
0,293
|
1016,8
|
|
520
|
1,045
|
0,288
|
1011,9
|
|
525
|
1,055
|
0,284
|
1008,1
|
|
530
|
1,062
|
0,282
|
1005,4
|
|
535
|
1,066
|
0,28
|
1003,8
|
|
540
|
1,068
|
0,279
|
1003,3
|
Удельная работа в процессе расширения:
(6.4)
7. Определение
индикаторных показателей цикла
Удельная работа цикла:
(7.1)
Среднее индикаторное давление цикла:
(7.2)
Индикаторный КПД цикла:
(7.3)
Удельный индикаторный расход
топлива:
(7.4)
8. ОПРЕДЕЛЕНИЕ ЭФФЕКТИВНЫХ ПОКАЗАТЕЛЕЙ ЦИКЛА
Давление механических потерь:
рМ = а+в∙сп , МПа;
(8.1)
рМ = 0,09+0,0135∙10,4 = 0,1804
Среднее эффективное давление
ре = рi
- pм ,
МПа (8.2)
ре = 0,783 - 0,1804 = 0,6026
Эффективный КПД:
(8.3)
Удельный эффективный расход топлива:
(8.4)
Диаметр цилиндра:
(8.5)
Ход поршня:
, дм (8.6)
Рабочий объём:
(8.7)
Эффективная мощность:
(8.8)
Таблица
8.1
Сравнение показателей
|
Показатель
|
Рассчитываемый
двигатель
|
Двигатель-прототип
|
|
Nе,
кВт
|
164,09
|
154
|
|
n, мин-1
|
2600
|
2600
|
|
D, мм
|
126
|
120
|
|
pе,
МПа
|
0,655
|
0,6026
|
|
gе,
г/кВт∙ч
|
223
|
178
|
АНАЛИЗ ТЕПЛОВОГО
РАСЧЕТА
В результате
увеличения рабочего объёма цилиндра с 1,356 л до 1,592 л. произошло повышение
мощности двигателя с 154 кВт до 164,09 кВт. Удельный эффективный расход топлива
повысился значительно. Считаю данное мероприятие нецелесообразным.
.1 Определение мощностных показателей
nmin=600
мин-1; nн=2600
мин-1;
Таблица
8.1
|
n1
|
n2
|
n3
|
n4
|
n5
|
n6
|
n7
|
n8
|
|
600
|
900
|
1200
|
1500
|
1800
|
2100
|
2400
|
2600
|
Изменение среднего эффективного давления:
(8.9)
где реМАХ - максимальное
значение среднего эффективного давления по внешней характеристике:
реМАХ = КМ∙рЕН,
[МПа](8.10)
РеМАХ = 0,6026∙1,15
= 0,6926;
где Км - коэффициент
приспособляемости по крутящему моменту (Км=1,15);
рен - среднее эффективное
давление на номинальном режиме;
ар - постоянная величина,
ар = РЕН(Км-1)/(nн-nм)2=2,79∙10-7
nн ,nм - частоты
вращения на номинальном и максимальном режиме работы (nн*0,7=nм);
nm = 1820 мин-1
Механический КПД:
(8.11)
Крутящий момент:
(8.12)
.2 Определение экономических
показателей
К экономическим показателям
двигателя относятся удельный эффективный расход топлива и эффективный КПД.
Эффективный удельный расход топлива:
пу = Пе . Туб
хг.кВт∙чъ (9ю1)
где Gt
- часовой расход топлива может быть найден:
[кг/ч] (9.2)
Цикловой расход топлива можно
допустить пропорциональным среднему индикаторному давлению:
(9.3)
где GТЦН, рiН - цикловой
расход топлива и среднее индикаторное давление на номинальном режиме работы;
Величина циклового расхода на
номинальном режиме:
(9.4)

;
Удельный эффективный расход топлива
по скоростной характеристике, для карбюраторного двигателя:
(9.5)
Часовой расход топлива:
Gt = ge ∙Ne / 1000,
[кг/ч] (9.6)
8.3 Внешняя скоростная характеристика
Для оценки динамических качеств и экономичности
проектируемого автомобиля необходимо знать внешнюю скоростную характеристику
двигателя. Эту характеристику можно получить расчетным путем, используя
результаты теплового расчета.
Внешняя характеристика определяется для
интервала от минимальной частоты вращения вала до номинальной. Шаг расчета
выбирается так, чтобы получить восемь расчетных режимов по характеристике. Для
дизельных двигателей минимальная частота вращения выбирается из интервала
600-700 об/мин.
Определение показателей по ВСХ
|
n,
мин-1
|
600
|
900
|
1200
|
1500
|
1800
|
2100
|
2400
|
2600
|
|
ре,
МПа
|
0,4847
|
0,6639
|
0,7928
|
0,8714
|
0,8999
|
0,8781
|
0,7303
|
|
рм,
МПа
|
0,0697
|
0,08455
|
0,0994
|
0,11425
|
0,1291
|
0,14395
|
0,1588
|
0,1687
|
|
рi,
МПа
|
0,5544
|
0,7484
|
0,8922
|
0,9857
|
1,0290
|
1,0221
|
0,9649
|
0,8990
|
|
Ne,
кВт
|
18,032
|
37,043
|
58,981
|
81,043
|
100,428
|
114,332
|
119,954
|
117,717
|
|
М,
Н∙м
|
287,012
|
393,068
|
469,389
|
515,974
|
532,824
|
519,939
|
477,318
|
432,385
|
|
ηм
|
0,874
|
0,887
|
0,889
|
0,884
|
0,875
|
0,859
|
0,835
|
0,812
|
|
Gt,
кг/ч
|
5,233
|
9,781
|
14,397
|
18,668
|
22,375
|
25,319
|
27,147
|
27,428
|
|
ge,г/кВт∙ч
|
277,760
|
252,722
|
233,622
|
220,460
|
213,236
|
211,949
|
216,600
|
223,000
|
9. ОЦЕНКА ВЛИЯНИЯ УСЛОВНОЙ ПРОДОЛЖИТЕЛЬНОСТИ
СГОРАНИЯ НА ОСНОВНЫЕ ПАРАМЕТРЫ ПРОЕКТИРУЕМОГО ДВИГАТЕЛЯ
|
,
град ПКВ ,
МДж/кг , МПа ,
г/КВт*ч ,
К ,
МПа
|
|
|
|
|
|
|
|
80
|
0,7959
|
0,4989
|
0,7920
|
169,787
|
1857,9
|
7,557
|
|
85
|
0,7932
|
0,4972
|
0,7893
|
170,371
|
1829,4
|
7,385
|
|
90
|
0,7897
|
0,4950
|
0,7857
|
171,137
|
1804,6
|
7,225
|
|
95
|
0,7854
|
0,49,23
|
0,7815
|
172,056
|
1779,9
|
7,077
|
|
100
|
0,7807
|
0,4893
|
0,7768
|
173,107
|
1755
|
6,77
|
|
105
|
0,7754
|
0,4861
|
0,7716
|
174,273
|
1730,6
|
6,811
|
|
110
|
0,7699
|
0,4826
|
0,7660
|
175,536
|
1706,3
|
6,692
|
|
115
|
0,7640
|
0,4789
|
0,7602
|
176,891
|
1683,1
|
6,581
|
|
120
|
0,7578
|
0,4750
|
0,7541
|
178,320
|
1661,3
|
6477
|
ВЫВОД
При уменьшении продолжительности
сгорания происходит снижение максимального давления цикла, максимальной
температуры цикла, удельного индикаторного расхода топлива. Индикаторная работа
цикла, индикаторный КПД и среднее индикаторное давление цикла повышаются при
уменьшении продолжительности сгорания. Исходное значение
=100 град
ПКВ считаю наиболее оптимальным для данного двигателя.
Рисунок 1. График
зависимости доли сгоревшего топлива и отвлеченной скорости сгорания от угла
поворота коленчатого вала в процессе сгорания
Рисунок 2 - График
зависимости удельного эффективного расхода топлива и часового расхода топлива
от частоты вращения коленчатого вала
Рисунок 3 - График
зависимости эффективной мощности и крутящего момента от частоты вращения
коленчатого вала
Рисунок 4 - График
зависимости давления и температуры от угла поворота коленчатого вала в процессе
сгорания
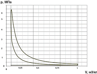
Рисунок 1- Индикаторная
диаграмма двигателя в Р-V координатах
БИБЛИОГРАФИЧЕСКИЙ СПИСОК
1.
Фарафонтов М.Ф. Автомобильные двигатели: Учебное пособие для
студентов-заочников.
Челябинск:
ЧГТУ, 1990. - 70с.
.
Колчин А.И. Демидов В.П. Расчет автомобильных и тракторных двигателей: Учеб.
Пособие
для
вузов. - 2-е изд., перераб. и доп. - М.: Высшая школа, 1980. - 400с.
.
Вибе И.И. Теория двигателей внутреннего сгорания: Конспект лекции. - Челябинск:
ЧПИ, 1974. - 252.
.
Теория рабочих процессов ДВС: Методические указания по выполнению курсовой
работы/ Составители: Шароглазов Б.А., Кавьяров С.И. Челябинск: - ЧГТУ, 1997. -
12с.
.
Конструирование и расчет ДВС: Методические указания по курсовому проекту /
Составители: Бунов В.М., Галичин В.Г. - Челябинск: ЧПИ, 1989. - 32с.