Тепловой, кинематический, динамический и прочностной расчет двигателя внутреннего сгорания
Введение
Современное развитие транспортного флота характеризуется
созданием высокопроизводительных грузовых, буксирных и пассажирских судов;
повышением их мощности и скорости хода; оборудованием высокоэффективными и
экономичными механизмами, устройствами, системами, средствами автоматизации и
механизации; стандартизацией и унификацией отдельных механизмов и судовых
энергетических установок в целом. С ростом грузоподъёмности и скорости хода
судов увеличивается их энергооснащённость и мощность главных двигателей. В
связи с этим судовые энергетические установки, затраты на которые составляют
около 35 % общей строительной стоимости судов, оказывают большое влияние на
технико-эксплуатационные и экономические показатели флота.
Большое значение в повышении эффективности работы речного
транспорта имеет техническая эксплуатация флота; на неё приходится около 50 %
расходов, отнесённых на себестоимость перевозок грузов и пассажиров.
Судовая энергетическая установка состоит из комплекса
оборудования (тепловых двигателей, механизмов, аппаратов, магистралей, систем),
предназначенного для преобразования энергии топлива в механическую,
электрическую и тепловую энергию и транспортировки её к потребителям. Указанные
виды энергии обеспечивают: движение судна с заданной скоростью; безопасность и
надёжность плавания; работу механизмов машинного помещения, палубных механизмов
и устройств; электрическое освещение; действие средств судовождения, управления
механизмами, сигнализации и автоматики; общесудовые и бытовые нужды экипажа и
пассажиров; выполнение различных производственных операций на транспортных
судах, судах технического флота и специального назначения.
Судовая энергетическая установка должна удовлетворять
следующим основным технико-экономическим и эксплуатационным требованиям:
быть экономичной, т. е. строительная стоимость и
эксплуатационные затраты на неё должны быть оптимальными;
ГСЭУ должна обеспечивать заданную скорость хода судна,
обладать достаточными маневренными качествами на всех режимах его движения и
иметь высокий моторесурс;
снабжать потребителей различными видами энергии и холодом при
высокой экономичности процессов превращения тепловой энергии в механическую и
электрическую;
процессы управления и регулирования должны быть
автоматизированы;
быть надёжной, т. е. иметь оптимальную вероятность
безотказной работы, требовать минимальное время на устранение неисправностей и
сохранять работоспособность в аварийных ситуациях;
при работе не оказывать вредного воздействия на обслуживающий
персонал, пассажиров и не загрязнять окружающую среду;
иметь малые габариты и массу.
В качестве главных и вспомогательных двигателей в ДЭУ
применяются поршневые ДВС дизели, работающие по отрытому циклу. Дизельные
энергетические установки получили широкое распространение на судах различного
назначения вследствие ряда положительных особенностей:
возможности создания большого диапазона агрегатных мощностей
на базе стандартных типоразмеров цилиндров;
доступности использования различных типов передач;
сравнительно высокой экономичности;
относительной простоты автоматизации управления.
На морских транспортных судах новой постройки в качестве
главных и вспомогательных двигателей устанавливают исключительно дизели. В
морском флоте в большинстве случаев в качестве главных применяют четырёхтактные
дизели с наддувом, реверсивные среднеоборотные и нереверсивные повышенной
оборотности.
Широкому распространению дизелей в СЭУ способствует
непрерывное улучшение их технико-экономических показателей путём
совершенствования наддува и рабочего процесса, применения тяжёлых сортов
топлива, использования двухконтурной системы охлаждения, повышения надёжности и
моторесурса, автоматизации процессов управления, контроля и диагностирования.
Серия 32/40 производится фирмой MAN B&W более двух десятилетий и
постоянно совершенствуется. Это свидетельствует о том, что данная модель
обладает широким потенциалом, поэтому двигатель MAN 9L 32/40 и был выбран в
качестве прототипа для модернизации в данном проекте.
1. Описание двигателя MAN 9L 32/40
Двигатели с обозначением типа L 32/40 являются
четырехтактными, рядными двигателями с турбонаддувом. Диаметр цилиндра
составляет 320 мм и ход поршня 400 мм. Они используются как в качестве главных
двигателей на морских судах, так и в качестве приводных двигателей на
электростанциях. Двигатель вобрал в себя все характерные особенности машин
типов MAN B&W, исходя из богатого опыта, полученного приблизительно из 550
разработок.
Характерные особенности
двигателя.
У двигателя два распределительных вала.
Один из них используется для приведения в действие впускных / выпускных
клапанов, второй служит для приведения в действие топливных насосов высокого
давления. Гидравлически приводимый в действие механизм настройки позволяет
регулировать и время открытия-закрытия клапанов, и время впрыска, в зависимости
от условий работы и от заказа проекта.
Турбокомпрессоры и холодильники воздуха
расположены со стороны соединительной муфты гребного вала, а насосы охлаждающей
воды и смазочного масла находятся на свободном торце двигателя и приводятся в
действие шестеренной передачей.
В двигателе используется тяжелое топливо,
но, если потребуется, то система может быть приспособлена к операциям на легком
топливе.
У двигателей типа L 32/40 большое отношение
шаг/диаметр и высокая степень сжатия. Эти особенности улучшают качество
сгорания, способствуют хорошему распылу и распределению нагрузки, а так же
обеспечивают высокую производительность.
Двигатели оборудованы MAN B&W турбонагнетателем типа NR.
Машинный картер двигателя отлит из чугуна
для придания большей жесткости. Анкерные связи простираются от нижней части
висящего коренного подшипника до верхнего края картера двигателя и от верхнего
края крышки цилиндра к жесткой диафрагме. Крышка подшипника коленчатого вала,
кроме того, жестко закреплена с корпусом. Привод контроля и кожух успокоителя
колебаний объединены в картере двигателя.
Охлаждение воды, смазочных материалов.
В картере двигателя нет никаких камер для
воды. Смазочные материалы подаются на двигатель через трубопровод в картер.
Сверления для анкерных связей и сами анкерные болты выполняют двойную задачу:
они связывают компоненты двигателя, и они также помогают в маслораспределении.
К частям передаточного механизма можно
легко получить доступ через большие лючки на продольных сторонах. У закрытий
картера двигателя на выхлопном борту есть предохранительные клапаны (только на
судовых двигателях, на стационарных двигателях встречаются только в редких
случаях).
Маслосборник сварен из стальных пластин. В
нем скапливается масло, стекающее с приводных шестерен, после чего оно уходит в
цистерну циркуляционного масла.
Рамовые подшипники. Крышки подшипников
коленчатого вала расположены в вывешенном положении. Они удерживаются
соединительными тягами фундаментной рамы, которые через них проходят.
Поперечное натяжение дополнительными соединительными тягами используется, чтобы
держать форму тела подшипника устойчивой. Они предотвращают боковое смещение
картера двигателя под эффективными давлениями сгорания.
Подшипник, который определяет осевое
положение коленчатого вала расположен на первом внутреннем крепежном узле. Он
состоит из фланца, подогнанного к коленчатому валу в осевом направлении, при
этом только верхняя половина фланца подшипника закреплена жестко.
Внешний подшипник поглощает радиальные
силы, которые преодолевают сцепление фланца с коленчатым валом.
Корпуса всех рамовых подшипников состоят
из двух частей: прочный стальной слой обоймы и слой-вкладыш из легкого металла.
Коленчатый вал изготовлен из
специализированной стали. Он находится в подвешенном состоянии и имеет два
противовеса, уравновешивающих колеблющиеся массы. Колесо для привода вала
состоит из 2 сегментов. Они скрепляются 4 призонными болтами.
Маховик сделан из сфероидального
углеродистого железа, закреплен на фланце коленчатого вала на его торце. Через
маховик или его приспособленную оправу, двигатель может быть провернут во время
технического обслуживания валоповоротным устройством.
Крутильные колебания, которым подвержен коленчатый вал,
уменьшены, посредством успокоителя колебаний, размещенного на свободном конце
коленчатого вала. Колебания передаются на пакеты пружин, и под действием их
амортизирующих свойств, заглушаются. Внутренняя часть устроена так, чтобы
охлаждение воды и масляных насосов производилось при помощи приспособленной
оправы.
Для проекта был отобран так называемый
шатун морского типа. Линия разделения находится выше головного подшипника. При
натяжении поршня головной подшипник не должен быть открытым. У этого есть
преимущества для эксплуатационной безопасности (никакое изменение в положении,
никакие новые регуляторы), и эта постройка уменьшает поршневую высоту удаления.
Вкладыши подшипника идентичны вкладышам
рамовых подшипников. Используются тонкостенные корпуса со слоем легкого
металла.
Поршень состоит из двух частей. Нижняя
часть состоит из сфероидальное углеродистого железа. Поршневая корона
изготовлена от высококачественной стали. Выбор материала и конструкции поршня
обусловлен высоким сопротивлением давлениям воспламенения, которые происходят,
что позволяет небольшое радиальное разрешение поршневого кольца. Небольшое
радиальное разрешение и постройка многоступенчатого поршня уменьшают
механическую нагрузку на поршневые кольца, предотвращают попадание твердых
частиц и защищают масляную пленку от продуктов сгорания.
Специальная форма поршневой короны
позволяет добиться эффективного охлаждения. Охлаждение производится методом
разбрызгивания во внутренние полости поршня. Для дополнительного охлаждения
используются сверления в теле поршня. Кольцевые канавки индуктивно укреплены,
что позволяет сохранить срок службы поршня.
Поршень охлаждается маслом, которое подается через шатун.
Масло подается от колеблющегося шатуна к верхней части поршня, посредством
трубы на пружинных подшипника, которая скользит на внешнем контуре вдоль
шатуна.
Поршневая корона имеет несколько меньший
диаметр, чем остальная подвижная часть. Этот проект поршня называют
многоступенчатым поршнем.
Верхняя и нижняя части связаны друг с
другом посредство подрез болтов. Чтобы уплотнить поршень в рабочей втулке
цилиндра, есть три компрессионных кольца и одно маслосъемное кольцо. У первого
компрессионного кольца имеется хромово-керамическое покрытие. Вторые и третьи
кольца - плакированный хром. Все кольца имеют хорошую износостойкость и хорошо
охлаждаются от стальной короны поршня.
Поршневой палец закреплен неподвижно
посредством стопорных колец.
Рабочие втулки цилиндра сделаны из
специального чугуна и имеют сфероидальную железную кольцевую прокладку графита
в верхней части. Это сосредоточено в картере двигателя. Более низкая область
рабочей втулки цилиндра управляется диафрагмой картера двигателя. Есть так
называемое главное кольцо на муфте рабочей втулки цилиндра.
Подразделяется на три компонента, то есть
на рабочую втулку цилиндра, кольцевую прокладку и главное кольцо, что дает самый
лучший результат для охлаждения, относительной защиты от деформации, и
гарантирует минимальные температурные напряжения определенных частей.
Охлаждающаяся вода достигает рабочей втулки цилиндра через
трубу, которая связана с кольцевой прокладкой. Дальше вода через сверления
главного кольца и каналы в кольцевой прокладке поступает в зарубашечное
пространство крышек цилиндра.
Используя сверления в кольцевой прокладке,
главное кольцо и крышка цилиндра могут быть опрессованы и проверены на утечки
охлаждающей жидкости.
Крышки цилиндра сделаны из сфероидального углеродистого
железа. Они прижаты к главному кольцу. Сверления в корпусе крышки цилиндра
обеспечивают ее надежное охлаждение, а усиленные внутренние жесткости
обеспечивают ее достаточную прочность.
В крышке цилиндра крышка цилиндра есть два
входных отверстия для впускных клапанов и два для выхлопных, пусковой клапан,
индикаторный кран и (если двигатель используется, как судовой) один
предохранительный клапан. Форсунка располагается в центре между клапанами, в
специальном рукаве, который обеспечивает ее охлаждение.
Для связи в крышки с коллектором выхлопных
газов, воздушным коллектором, трубопроводами пускового воздуха и охлаждающей
воды, используются замки быстрого крепления, которые облегчают обслуживание и
ремонт элементов двигателя.
Крышка цилиндра накрыта сверху
легкосъемным кожухом, что облегчает доступ к форсункам, коромыслам и клапанам.
2. Выбор и обоснование исходных данных для
теплового расчета двигателя
Эксплуатационная мощность прототипа
= 4320 кВт. Согласно
заданию увеличиваем мощность на 5 %.
= 4536.
Частота вращения n = 750 мин-1.
Согласно заданию увеличиваем на 2,5 %, получаем n = 770 мин-1.
Степень сжатия е = 14,5.
Скорость поршня vp = 10,7 м/с.
Число цилиндров i = 9.
Отношение хода поршня к диаметру цилиндра S/D = 1.25
Температура и давление окружающей среды (Т0,
р0). Давление и температура окружающей среды (атмосферного воздуха)
принимается соответственно р0=0,1 МПа и Т0=288 К. У
двигателей с наддувом параметры окружающей среды принимают равными
соответствующим параметрам воздуха на выходе из компрессора, а при наличии
промежуточного охлаждения воздуха - давлению и температуре воздуха за
охладителем. Согласно эксплуатационным данным р0 = 0,39 МПа, Т0
= 323 К.
Давление остаточных газов в цилиндре двигателя р r зависит от числа,
размеров и расположения клапанов, сопротивления впускного и выпускного
трубопроводов, фаз газораспределения, степени наддува, быстроходности двигателя
и других факторов. Для двигателей с наддувом при наличии газовой турбины на
выпуске Крr = (0,76…0,98), возьмем 0,9. Отсюда рr = 0,9
р0 = 0,9
0,39 = 0,351 МПа.
Температура остаточных газов = 780 К.
Степень подогрева заряда на впуске для
четырехтактных дизелей с наддувом ∆Т = 5…10 К, принимаем ∆Т = 5.
Коэффициент сопротивления с=в2
+ овп учитывающий падение скорости свежего заряда после входа его в
цилиндр и гидравлические сопротивления впускной системы двигателя, изменяется в
пределах 2,5…4,0. Основное влияние на величину с оказывает частота вращения
коленчатого вала. При увеличении n коэффициент увеличивается. Принимаем с = 3.
Средняя скорость воздуха в проходных
сечениях впускных клапанов дизелей щвп = 30…70 м/с. Принимаем щвп
= 50 м/с.
Показатель политропы сжатия n1. Расчет параметров
процесса сжатия производится по условному среднему за процесс сжатия политропы n1, изменяющемуся в
пределах n1 = 1,32…1,4. Принимаем n1 = 1,4.
Коэффициент эффективного
теплоиспользования оz представляет собой параметр, который учитывает
потери теплоты в процессе сгорания. Для дизелей величина оz изменяется на
номинальном режиме в пределах - 0,7…0,85. Возьмем оz = 0,75.
Степень повышения давления л = pz/pc. Согласно
эксплуатационным данным pz = 19 МПа, pc = 16 МПа, отсюда л =
1.19.
Коэффициент полноты индикаторной диаграммы
для дизелей ц = 0,92…0,95. Примем ц = 0,93.
Коэффициент избытка топлива б = 2,1.
Топливо - мазут состава С = 0,865 и Н =
0,122; низшая теплота сгорания Hu = 40000 кДж/кг; молекулярный вес mт = 300.
3. Тепловой расчет
Процесс газообмена.
Теоретически необходимое количество
воздуха для полного сгорания 1 кг жидкого нефтяного топлива определяется по
формуле:
где L0 - количество
необходимого воздуха, кмоль
Плотность воздуха определяется по формуле:
где Rb - газовая постоянная.
Потери давления за счет сопротивления
впускной системы можно определить из уравнения Бернулли, приняв нулевую
скорость заряда на входе и пренебрегая изменением плотности заряда:
=
=0,0158 МПа
Давление в конце процесса впуска:
=
МПа = 0,374 МПа
Коэффициент остаточных газов,
характеризует качество очистки цилиндра от продуктов сгорания и определяется
как отношение числа молей остаточных газов к числу молей свежего заряда. Без
учета продувки и дозарядки цилиндра коэффициент остаточных газов для
четырехтактных двигателей определяется с помощью зависимости:
Температура в конце процесса впуска:
Коэффициент наполнения является важнейшим
показателем качества процессов газообмена при впуске и определяется отношением
действительного количества свежего заряда, поступившего в цилиндр, к тому
количеству заряда, которое могло бы поместиться в цилиндре при давлении и
температуре среды, из которой поступает заряд. Без учета продувки и дозарядки
цилиндра для четырехтактных двигателей коэффициент наполнения равен:
Процесс сжатия
В реальном двигателе теплоемкость заряда в
цилиндре изменяется в зависимости от температуры, происходит теплообмен со
стенками цилиндра, на характер протекания процесса оказывают влияние утечка
газов через неплотности клапанов и поршневых колец, дозарядка цилиндра до
закрытия впускного клапана, сгорание топлива в конце сжатия. В связи с этим
точное термодинамическое описание процесса сжатия в реальном двигателе
затруднено. На практике считают, что процесс сжатия происходит по политропе с
показателем n1 величина которого обеспечивает получение такой
же работы в процессе сжатия, как и при переменном показателе, имеющем место в
действительном процессе.
Давление в конце сжатия:
Температура в конце сжатия:
Процесс сгорания.
Уравнение сгорания для дизелей имеет вид:
где M1 - общее количество
горючей смеси, кмоль/(кгтопл);
Hu - низшая теплота
сгорания топлива, кДж/кг;
- средняя мольная
теплоемкость рабочей смеси в конце процесса сжатия, кДж/(кмоль
К);
- средняя мольная
теплоемкость продуктов сгорания, кДж/(кмоль
град);
м - коэффициент молекулярного изменения;
л - степень повышения давления;
гr - коэффициент остаточных
газов;
- коэффициент
эффективного теплоиспользования;
tc и tz - соответственно
температуры в конце сжатия и в конце сгорания, Со.
коэффициент молекулярного изменения свежей
смеси:
Подставляем вышеприведенные величины:
после вычислений получаем квадратное
уравнение относительно tz:
отсюда:
Теоретическое давление в конце сгорания:
Степень предварительного расширения:
Процесс расширения.
Давление в конце расширения для дизелей:
где д - степень предварительного
расширения, для дизелей:
Температура в конце расширения для
дизелей:
Процесс выпуска
При расчете процесса впуска были
ориентировочно приняты значения давления рr и температуры Тr газов в конце выпуска.
Точность выбора этих величин можно проверить, вычислив температуру остаточных
газов с помощью формулы:
Ошибка составляет:
Погрешность не превышает 10 %, что вполне
приемлемо для данного типа вычислений.
Индикаторные показатели
цикла.
Среднее индикаторное давление для дизелей:
=2,692 МПа
Действительное среднее индикаторное
давление цикла несколько меньше теоретического вследствие отличия действительной
индикаторной диаграммы от теоретической. Указанное отличие учитывается
коэффициентом полноты индикаторной диаграммы. С учетом коэффициента ц
действительное среднее индикаторное давление цикла равно:
Индикаторный КПД для двигателей,
работающих на жидком нефтяном топливе:
Удельный индикаторный расход жидкого
топлива:
Эффективные показатели
двигателя
Среднее давление механических потерь
представляет собою мощность, затрачиваемую на преодоление трения в КШМ, привод
вспомогательных механизмов, совершение впуска и выпуска, отнесенную к единице
рабочего объема цилиндра. Для определения величины рm используется эмпирическая
формула, имеющая общий вид:
где vп.ср. - средняя скорость
поршня. В зависимости от конструктивных особенностей двигателей, коэффициенты Ар
и Вр для дизелей с неразделенной камерой сгорания: Ар
= 0,105; Вр = 0,012.
Среднее эффективное давление рабочего
цикла определяется как разность среднего индикаторного давления цикла pi и среднего давления
механических потерь рm
Механический КПД двигателя определяется
как отношение среднего эффективного давления к среднему индикаторному:
Эффективный КПД:
Удельный расход жидкого топлива:
Определение основных
размеров двигателя.
Литраж двигателя:
где ф - коэффициент тактности, в данном
случае ф = 4.
Рабочий объем цилиндра:
где i - число цилиндров.
Диаметр цилиндра:
Ход поршня:
Полученные значения D и S округляем в большую
сторону до целого значения: D = 323 мм, S = 404 мм.
Уточняем основные параметры и показатели
двигателя:
рабочий объем цилиндра:
литраж двигателя:
эффективную мощность:
крутящий момент:
часовой расход топлива:
среднюю скорость поршня:
ошибка составляет:
погрешность не превышает 5 %, что вполне
приемлемо для данного типа расчетов.
Построение индикаторной
диаграммы
Индикаторная диаграмма строится с целью
проверки полученного аналитическим путем значения среднего индикаторного
давления и наглядного представления протекания рабочего цикла в цилиндре
рассчитываемого двигателя.
объем камеры сгорания:
полный объем цилиндра
При применении аналитического способа
рабочий объем делится на части и определяется промежуточное значение объемов Vi. Промежуточное значение
давлений определяется по формулам:
На линии сжатия:
на линии расширения:
для дизелей, где с - степень
предварительного расширения.
. Кинематический расчет
КШМ
Задача кинематического расчета - нахождение перемещений,
скоростей и ускорений в зависимости от угла поворота коленчатого вала. На
основе кинематического расчета проводятся динамический расчет и уравновешивание
двигателя.
Рис. 4.1. Схема кривошипно-шатунного
механизма
При расчетах кривошипно-шатунного
механизма (рис. 4.1) соотношение между перемещением поршня Sx и углом поворота
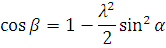
коленчатого вала б определяется следующим образом:
Отрезок
равен длине шатуна
, а отрезок
- радиусу кривошипа R. С учетом этого, а также
выразив отрезки
и
через произведение
и R соответственно на косинусы
углов б и в, поучим:
Из треугольников
и
находим
или
, откуда
Разложим это выражение в ряд с помощью
бинома Ньютона, при этом получим
Для практических расчетов необходимая
точность вполне обеспечивается двумя первыми членами ряда, т. е.
С учетом того, что
его можно записать в виде
Из этого получим приближенное выражение
для определения величины хода поршня:
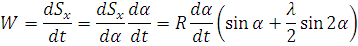
Продифференцировав полученное уравнение по
времени получим уравнение для определения скорости поршня:
При кинематическом анализе
кривошипно-шатунного механизма считают, что скорость вращения коленчатого вала
постоянна. В этом случае
где щ - угловая скорость коленчатого вала.
С учетом этого получим:
Продифференцировав его по времени, получим
выражение для определения ускорения поршня:
S - ход поршня (404 мм);
Sx - путь поршня;
a - угол поворота коленчатого вала;
b - угол отклонения оси шатуна от оси цилиндра;
R - радиус кривошипа
- длина шатуна = 980 мм;
л - отношение радиуса кривошипа к длине шатуна;
щ - угловая скорость вращения коленчатого вала.
5. Динамический расчет КШМ
Динамический расчет кривошипно-шатунного механизма
выполняется с целью определения суммарных сил и моментов, возникающих от
давления газов и от сил инерции. Результаты динамического расчета используются
при расчете деталей двигателя на прочность и износ.
В течение каждого рабочего цикла силы,
действующие в кривошипно-шатунном механизме, непрерывно изменяются по величине
и направлению. Поэтому для характера изменения сил по углу поворота коленчатого
вала их величины определяют для ряда различных положений вала через каждые 15
град ПКВ.
При построении схемы сил, исходной
является удельная суммарная сила
, действующая на палец -
это алгебраическая сумма сил давления газов
, действующих на днище
поршня, и удельных сил инерции
масс деталей, движущихся
возвратно-поступательно.
Значения давления газов в цилиндре
определяются из
индикаторной диаграммы, построенной по результатам теплового расчета.
Рисунок 5.1 - двухмассовая схема КШМ
Приведение масс кривошипа
Для упрощения динамического расчета,
заменим действительный КШМ динамически эквивалентной системой сосредоточенных
масс
и
(рисунок 5.1).
совершает
возвратно-поступательное движение
где
- масса поршневого
комплекта,
;
- часть массы шатунной
группы, отнесенная к центру верхней головки шатуна и движущаяся
возвратно-поступательно вместе с поршнем,
совершает вращательное
движение
где
- часть массы шатунной
группы, отнесенная к центру нижней (кривошипной) головки и движущаяся
вращательно вместе с центром шатунной шейки коленчатого вала
- неуравновешенная часть
кривошипа коленчатого вала,
при этом:
где
- плотность материала
коленчатого вала, 
- длина шатунной шейки,
- геометрические размеры
щеки. Для облегчения расчетов примем щеку как параллелепипед с размерами: длина
щеки
, ширина
, толщина
Отсюда:
Силы и моменты,
действующие на кривошип
Удельная сила инерции деталей КШМ,
движущихся возвратно-поступательно определяются из зависимости:
Полученные данные с шагом
заносим в таблицу 5.1.
Эти силы действуют по оси цилиндра и как и силы давления
газов считаются положительными, если направлены к оси коленчатого вала, и
отрицательными, если направлены от коленвала.
Рисунок 5.2. Схема сил и моментов, действующих на КШМ
Силы
давления газов
Силы давления газов в цилиндре двигателя в зависимости от
хода поршня определяются по индикаторной диаграмме, построенной по данным
теплового расчета.
Сила давления газов на поршень действует по оси цилиндра:
где
- давление газов в цилиндре двигателя,
определяемое для соответствующего положения поршня по индикаторной диаграмме,
полученной при выполнении теплового расчета; для переноса диаграммы из
координат
в координаты
, используем метод
Брикса.
Для этого строим вспомогательную полуокружность. Точка
соответствует ее
геометрическому центру, точка
смещена на величину
(поправка Брикса). По
оси ординат в сторону НМТ. Отрезок
соответствует разнице
перемещений, которые совершает поршень за первую и вторую четверть поворота
коленчатого вала.
Проведя Из точек пересечения ординаты с индикаторной
диаграммой линии, параллельные оси абсцисс до пересечения с ординатами при угле
, получим точку величины
в координатах
(см. диагр. 5.1).
- давление в картере;
- площадь поршня.
Результаты заносим в таблицу 5.1.
Суммарная
сила:
Суммарная сила - это алгебраическая сумма сил, действующих в
направлении оси цилиндра:
Сила
перпендикулярная оси цилиндра.
Эта сила создает боковое давление на стенку цилиндра.
- угол наклона шатуна относительно оси цилиндра,
Сила,
действующая вдоль оси шатуна

Сила,
действующая вдоль кривошипа:
Сила,
создающая крутящий момент:
Крутящий
момент одного цилиндра:
Вычисляем силы и моменты, действующие в КШМ через каждые15° поворота кривошипа.
Результаты вычислений заносим в таблицу 5.1
Построение полярной диаграммы сил, действующих на
шатунную шейку
Строим координатную систему
и
с центром в точке 0, в
которой отрицательная ось
направлена вверх.
В таблице результатов динамического расчёта каждому значению
б=0, 15°, 30°…720° соответствует точка с координатами
. Наносим на плоскость
и
эти точки.
Последовательно соединяя точки, получаем полярную диаграмму. Вектор,
соединяющий центр
с любой точкой диаграммы, указывает направление
вектора
и его величину в
соответствующем масштабе.
Строим новый центр
отстоящий от
по оси
на величину удельной
центробежной силы от вращающейся массы нижней части шатуна
. В этом центре условно
располагают шатунную шейку с диаметром
.
Вектор, соединяющий центр
с любой точкой
построенной диаграммы, указывает направление действия силы
на поверхность шатунной
шейки и ее величину в соответствующем масштабе.
Для определения средней результирующей за цикл
, а так же ее
максимального
и минимального
значений полярной диаграммы
перестраивают в прямоугольную систему координат в функции угла поворота
коленчатого вала. Для этого на ось абсцисс откладываем для каждого положения
коленчатого вала углы поворота кривошипа, а на оси ординат - значения
, взятые из полярной
диаграммы, в виде проекций на вертикальную ось. При построении диаграммы все
значения
считаются
положительными.
двигатель тепловой показатель прочность
6. Расчет на прочность
Расчет поршня
В процессе работы поршень находится под
воздействием сил давления газов и высокой температуры. В результате в нем
возникают механические и тепловые напряжения.
Механические напряжения в днище поршня достигают
максимального значения при наибольшем давлении сгорания
. Методов точного расчета
пока не имеется в виду сложности и быстротечности протекающих процессов.
Поэтому расчет проводится по приближенным расчетным соотношениям. При этом
днище поршня рассматривается как пластина постоянной толщины, заделанная по
контуру и нагруженная равномерно (рисунок 6.1)
Рисунок 6.1. Схема напряжений изгиба в
днище поршня
Большая часть головок судовых дизелей
выполняется без каких-либо ребер, так как благодаря этому днище может свободно
деформироваться при нагреве. При указанной конструкции, днище можно условно
рассматривать как круглую пластину постоянной толщины, жестко заделанную по
контуру, у которой прогибы малы по сравнению с толщиной, и нагруженную
наибольшим равномерно-распределенным давлением газов при сгорании pz (рисунок 6.1, а).
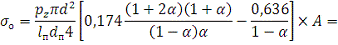
Наибольшие напряжения на контуре днища:
в тангенциальном направлении
в радиальном направлении
в центре днища
двигатель тепловой показатель прочность
где м - коэффициент Пуассона, для чугуна и
стали м = 0,3;
- расстояние от центра
пластины до места защемления,
_;
- толщина цилиндрической
части головки поршня:
;
- толщина донышка поршня
;
- радиальная толщина
кольца
.
Направление положительных моментов указано
на рис. 6.1, а.
Положительные моменты вызывают на огневой
поверхности днища (АС) положительные напряжения растяжения, а на внутренней -
охлаждаемой поверхности днища (BD) - отрицательные напряжения сжатия.
Знаки напряжений
и
на огневой и охлаждаемой
поверхностях днища могут быть определены по эпюрам, представленным на рисунке
6.1, б.
Наибольшие эквивалентные механические
напряжения наблюдаются в точке С (на контуре огневой поверхности днища)
Наибольший прогиб в
центре днища при х = 0 и равномерной нагрузке (pz = const)
где
- жесткость круглой
пластины.
- модуль упругости. Для
стали
Прогиб днища, свободно опертого по
контуру, примерно в четыре раза превосходит прогиб днища, заделанного по
контуру. Эксперименты по определению прогиба днища показывают, что
действительным условиям работы поршня ближе всего соответствует допущение о
заделке днища поршня по контуру.
При осевом перепаде температур, имеющем
место у дизелей с охлаждаемыми поршнями, разность температур
между наружной
(нагреваемой газами) и внутренней (охлаждаемой водой или маслом) поверхностями
днища может быть определена экспериментально или из основного выражения для
передачи тепла через плоскую стенку.
где q - удельная тепловая
нагрузка днища, кДж/м2ч;
л - коэффициент теплопроводности
материала, для стали л = 189 кДж/м
ч
.
Тепловая нагрузка определяется количеством
теплоты
, отведенной в
охлаждающую жидкость:
где
- доля общего количества
тепла, отведенного через днище (при охлаждении маслом
), примем
;
- цилиндровая мощность
;
- удельный эффективный
расход топлива
- низшая теплотворная
способность топлива
Удельная тепловая нагрузка определяется
как:
где
- площадь донышка поршня
0,082 м2
При жесткой заделке днища по контуру
радиальные напряжения
и тангенциальные напряжения
(сжатия на огневой
стороне и растяжения на охлаждаемой стороне днища) от осевого перепада
температур
постоянны и численно равны
где б - коэффициент линейного
расширения, для стали б =
Допустимые суммарные напряжения для днищ
стальных поршней равны 196…392.
Полученные данные находятся в пределах
допустимых напряжений для стальных поршней.
Расчет на прочность поршневого
пальца
Поршневой палец служит для передачи сил
давления газов от поршня к шатуну КШМ. Поршневой палец при работе изгибается,
подвергается деформации сдвига и, кроме того, овализируется. В эксплуатации у
толстостенных пальцев наблюдаются поломки от изгибающих напряжений; у
тонкостенных пальцев, наоборот, наблюдаются поломки от касательных напряжений,
а также от овализации.
Рисунок 6.2. Виды деформаций поршневого
пальца:
а - изгиб в
продольном направлении; б - срез; в-овализация.
Размеры пальца:
Внешний диаметр
Диаметр внутреннего отверстия
Общая длина пальца
Длина опорной части пальца
может быть приравнена к
длине пальца под втулкой верхней головки шатуна, то есть
Рисунок 6.3. Расчетные схемы нагружения
поршневого пальца:
.
Расстояние между серединами опорных частей
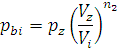
Вначале определяется давление на опорные
поверхности бобышек:
Расчет пальца на изгиб проводят, рассматривая
палец как балку, лежащую на двух опорах, нагруженную равномерно распределенной
нагрузкой на длине
.
В данном случае в среднеоборотных дизелях
напряжения изгиба в опасном сечении определяются по уравнению
где
- отношение внутреннего
диаметра пальца к внешнему
Напряжение пальца от среза определяют по
уравнению
где
- площадь поперечного
сечения пальца
Наибольшая срезывающая сила действует на
палец в сечениях между опорой пальца и головкой шатуна
Наибольшее касательное напряжение
определяют по уравнению
Деформация овализации пальца, т. е.
увеличение его диаметра имеет место в средней, наиболее нагруженной части
пальца (на длине около 0,22), а далее она уменьшается к концам пальца.
Возникающие напряжения от овализациии
имеют. особое значение для пальцев с относительно малой жесткостью. Вследствие
неравномерного распределения нагрузки по длине пальца они в разных сечениях
различны, причем наибольшие напряжения имеют место в средней части пальца.
Коэффициент
учитывает влияние на
деформацию жесткости пальца и определяется по уравнению
Деформация овализации рассчитывается по
уравнению:
Расчет на прочность
поршневых колец
Для обеспечения необходимой прочности,
достаточно высокого моторесурса, эффективной работы, кольца должны иметь вполне
определенные размеры. Их величина зависит от диаметра цилиндра, степени
теплонапряженности его деталей, частоты вращения вала и т. д.
Радиальная толщина кольца
.
От толщины кольца зависят напряжения,
возникающие в кольце. Пределом увеличения
являются наибольшие напряжения
при надевании кольца на поршень.
Высота кольца
.
Целесообразно применять относительно
невысокие кольца, они обеспечивают меньшие потери на трение, скорее
прирабатываются.
Влияние на величину напряжений оказывает величина
зазора в замке.
зазор в замке после установки в цилиндр
Величина перемещения концов разрезанного
кольца при установке его в канавку поршня
определяется как
Деформация кольца при надевании его на
поршень
определится по
соотношению:
Учитывая это, можно определить изгибающие
напряжения в сечении конца, противоположного замку
где
- модуль упругости
материала кольца. Для чугуна
или
Напряжения изгиба при надевании кольца на
поршень определяются как
Данные, полученные при расчетах на прочность,
находятся в пределах допустимых значений.
Список использованной
литературы
1. Белоусов Е.В. Методическое пособие к выполнению курсового
проекта по дисциплине «Судовые двигатели внутреннего сгорания».
. И.В. Возницкий Судовые Двигатели внутреннего сгорания: М. Моркнига,
2008. 282 с.
. Расчет на прочность деталей машин: Справочник/
И.А. Биргер, Б.Ф. Шорр, Г.Б. Иосилевич. - 4-е изд., перераб. и доп. - М.:
Машиностроение, 1993. - 640 с: ил.
. А.А. Каминер, Б.В. Кузнецов, Проектирование судовых
двигателей внутреннего сгорания, Издательство «Судостроение», Ленинград, 1967
г.
. Двигатели внутреннего сгорания: Конструирование и
расчет на прочность поршневых и комбинированных двигателей. Учебник для
студентов втузов, обучающихся по специальности «Двигатели внутреннего
сгорания»/ Д.Н. Вырубов, С.И. Ефимов, Н.А. Иващенко и др.; Под ред. А.С.
Орлина, М.Г. Круглова. - 4-е изд., перераб. и доп.-М.: Машиностроение, 1984. -
384 с, ил.
. Техническая документация по двигателю MAN 9L 32/40.
. Самсонов В.И., Худов Н.И. Двигатели внутреннего сгорания
морских судов. Учебник для высших учебных заведений. 2-е изд. перераб. и доп.
М.: Транспорт, 1990.
. Ваншейдт В.А. Конструирование и расчеты прочности судовых
дизелей. Л.: Судостроение, 1969 г.
. Справочник судового механика (в двух томах). Изд. 2-е
перераб. и доп. Под общей редакцией канд. тех. наук Л.Л. Грицая. М., Транспорт,
1973 г.