Способы программирования и возможности в программе MathCAD

  • Вид работы:
    Курсовая работа (т)
  • Предмет:
    Информационное обеспечение, программирование
  • Язык:
    Русский
    ,
    Формат файла:
    MS Word
    748,27 Кб
  • Опубликовано:
    2016-05-13
Вы можете узнать стоимость помощи в написании студенческой работы.
Помощь в написании работы, которую точно примут!

Способы программирования и возможности в программе MathCAD

Министерство общего и профессионального образования

Свердловской области

Учебно-технический центр ООО «Омега-1»








ПРОГРАММИРОВАНИЕ В MATHCAD

Способы программирования и возможности в программе MathCAD



Исполнитель: Черушев

Никита Сегреевич

группа ВМ-304

Руководитель: Дружинина Е. Л.





Екатеринбург 2015

Содержание

1. Введение

. Краткая историческая справка и описание современной версии системы

. Основные возможности современной версии MathCad

. Типы данных

. Приемы работы

.1 Ввод и редактирование выражений

. Состав системы MathCAD

. Интерфейс MathCAD

. Средства повышения эффективности вычислений и их оптимизация

. Программирование

.1. Обзор программных операторов

. Практическая часть

Заключение

Литература

mathcad интерфейс вычисление оператор

.Введение

Сегодня мы разберем программирование в такой системе, как MathCAD. Мы узнаем про возможности MathCAD, про приемы работы и средства повышения производительности и оптимизации. Разберем интерфейс и состав системы. Так же узнаем про приемы работы с формулами.Узнаем про панельProgrammingи для чего она нужна.Для примера разберем задачи и решим их.

. Краткая историческая справка и описание современной версии системы

Как уже говорилось во введении, MathCad - программное средство, среда для выполнения на компьютере разнообразных математических и технических расчетов, предоставляющая пользователю инструменты для работы с формулами, числами, графиками и текстами, снабженная простым в освоении графическим интерфейсом.был задуман и первоначально написан в конце 80-х годов 20 - го века Алленом Раздовом из Массачусетского технологического института (MIT), соучредителем компании Mathsoft, которая с 2006 года является частью корпорации PTC (ParametricTechnologyCorporation).относится к системам автоматизации математических расчетов. В этом классе программного обеспечения существует много аналогов различной направленности и принципа построения. Наиболее часто Mathcad сравнивают с такими программными комплексами, как Maple, Mathematica, MATLAB, MuPAD, Scilab, Maxima и др. Впрочем, объективное сравнение осложняется в связи с разным назначением программ и идеологией их использования. В частности, Mathcad, в отличие от Maple, изначально создавался для численного решения математических задач, он ориентирован на решение задач именно прикладной, а не теоретической математики, когда нужно получить результат без углубления в математическую суть задачи. Если требуется большой объем символьных вычислений, как раз и используют Maple (с версии 14 - MuPAD). Особенно это полезно, когда речь идет о создании интерактивных пакетов образовательного назначения, когда необходимо продемонстрировать построение математической модели, исходя из физической картины процесса или явления.

При разработке новых версий авторы Mathcad сделали ставку на расширение системы в соответствии с потребностями пользователя. Для этого создаются дополнительные библиотеки и пакеты расширения с дополнительными функциями, которые при необходимости можно приобрести отдельно, а также электронные книги с описанием методов решения специфических задач, с примерами действующих алгоритмов и документов, которые можно использовать непосредственно в собственных расчетах.

Несмотря на то, что эта программа, в основном, ориентирована на пользователей-непрограммистов, Mathcad также используется в сложных проектах, чтобы визуализировать результаты математического моделирования путем использования распределённых вычислений и традиционных языков программирования. Также Mathcad часто используется в крупных инженерных проектах, где большое значение имеет трассируемость и соответствие стандартам.

Самая последняя версия Mathcad на сегодняшний день 15. Кроме этого, разрабатывалась и совершенно новая система MathcadPrime, но она еще не получила широкого распространения.

Количество лицензионных пользователей Mathcad в мире - более 2 млн.

. Основные возможности современной версии MathCad

Основное отличие MathCad от других программных средств этого класса состоит в том, что математические выражения на экране компьютера представлены в общепринятой математической нотации - имеют точно такой вид, как в книге, тетради, на доске. Для ввода формул и данных можно использовать как клавиатуру, так и специальные панели инструментов. Работа осуществляется в пределах рабочего листа, на котором уравнения и выражения отображаются графически, в противовес текстовой записи в языках программирования. При создании документов-приложений используется принцип WYSIWYG (WhatYouSeeIsWhatYouGet - «что видишь, то и получаешь»).содержит сотни операторов и встроенных функций для решения различных технических задач. Программа позволяет выполнять численные и символьные вычисления, производить операции со скалярными величинами, векторами и матрицами, автоматически переводить одни единицы измерения в другие.изначально задумывался как средство «программирования без программирования», но, если потребность программирования все же возникает - например, если не имеется нужной функции, решить задачу аналитически невозможно, необходимо выполнить серийные расчеты - имеются довольно простые инструменты программирования, однако, позволяющие, строить достаточно сложные алгоритмы.

Отдельно следует отметить возможность использования в расчетах Mathcad величин с размерностями, причем можно выбрать систему единиц: СИ, СГС, МКС, английскую или даже построить собственную. Результаты вычислений также получают соответствующую размерность.

Среди основных возможностей Mathcad можно выделить:

·Решение дифференциальных уравнений, в том числе и численными методами.

·Построение двумерных и трёхмерных графиков функций (в разных системах координат, контурные, векторные и т.д.).

·Использование греческого алфавита как в уравнениях, так и в тексте.

·Выполнение вычислений в символьном режиме.

·Выполнение операций с векторами и матрицами.

·Символьное решение систем уравнений.

·Аппроксимация кривых.

·Создание и выполнение пользовательских программ.

·Поиск корней многочленов и функций.

·Проведение статистических расчётов и работа с распределением вероятностей.

·Поиск собственных чисел и векторов.

·Вычисления с единицами измерения.

·Интеграция с САПР-системами, использование результатов вычислений в качестве управляющих параметров и т.д.

Дополнения Mathcad 15.0 включают 25 новых функций для расчетов по планированию экспериментов, помогающих сократить время, затраченное на натурные эксперименты, за счет понимания общей тенденции при испытаниях, улучшенные расчетные библиотеки и расширенную интеграцию с решениями сторонних производителей, например с MicrosoftExcel 2010 и. Mathcad 15.0 поддерживает работу многих систем автоматизированного проектирования, а также позволяет осуществить интеграцию с базами данных с различными справочным материалами, позволяющими найти критические факторы и оптимальные условия при моделировании сложных процессов. Предусматривается поддержка операционной системы MicrosoftWindows 7 в полном объеме.

Далее рассмотрим основные возможности Mathcad и приемы работы с ним, которые требуются для проведения большинства инженерных расчетов.

. Типы данных

В Mathcad используются следующие типы данных:

числа (действительные, комплексные, встроенные константы) - все числа в формате двойной точности (17 знаков) с плавающей точкой;

строки - любой текст, заключенный в кавычки (или с пробелом);

массивы (ранжированные переменные, векторы и матрицы) - упорядоченные последовательности чисел или строк.

Любое выражение, начинающееся с цифры, Mathcad определяет как число. Комплексное число является суммой действительного и мнимого числа,получающегося путем умножения любого действительного числа на мнимую единицу.

Для числовых форматов существуют следующие варианты:(Общий) - принят по умолчанию. Числа отображаются с порядком. Число знаков перед запятой определяется в пункте Exponentialthreshold (Порог экспоненты).(Десятичный) - десятичное представление чисел с плавающей запятой: 12,2564.(Научный) - числа отображаются только с порядком: 1,22.105.(Инженерный) - числа отображаются только с порядком, кратным 3: 1,22.106.(Дробь) - числа отображаются в виде обыкновенной дроби.

Массивами (Arrays) называют упорядоченные последовательности чисел, или элементов массива. В Mathcad условно выделяются следующие типы массивов:векторы (одномерные массивы), матрицы (двумерные), тензоры (многомерные),ранжированные переменные (Rangevariables) - векторы, элементы которых определенным образом зависят от индекса. Простейший пример ранжированной переменной - это массив с числами, лежащими в некотором диапазоне с заданным шагом. Для ввода используется либо кнопка панели инструментов, либо точка с запятой.

. Приемы работы

.1 Ввод и редактирование выражений

Перед началом работы курсор имеет вид красного крестика. В момент ввода выражения курсор приобретает вид синего уголка, окаймляющего часть вводимого выражения. Ввод начинается с имени переменной, после нее ставится знак присваивания (знак:), а затем само выражение или константа. Имя выражения (та часть, которая левее оператора присваивания) может состоять из латинских, русских, греческих букв и цифр, знаков подчеркивания (_), штриха (`), процента (%), бесконечности?, вводимых с клавиатуры.

Имена переменных и функций не могут начинаться с цифры, подчеркивания, штриха, процента (%), не могут включать пробелы. Символ бесконечности может быть только первым в имени переменной. Mathcad воспринимает прописные и строчные буквы, а также введенные разными шрифтами как различные.

Редактирование введенных выражений производится следующими способами:

. ?Курсор перемещается по экрану клавишами со стрелками или левой кнопкой мыши ставится в нужное место экрана.

. ?Для выделения одного символа синим уголком курсора нужно установить курсор так, чтобы он охватывал этот символ слева или справа.

. ?Для расширения выделения на часть или выражение целиком удобнее использовать клавиши со стрелками или пробел. Для перехода из оператора на уровень выше можно также использовать пробел. Уголок курсора должен охватывать все выражение или его часть, над которой надо выполнить действие.

. Для выделения части или всего выражения надо щелкнуть левой кнопкой мыши в начале или в конце выделяемого выражения и переместить курсор до другого края с нажатой левой кнопкой мыши. Можно использовать клавиши Shift+? или Shift+?. Выделенная часть выражения черного цвета. Выделение в Mathcad используется для вырезания или копирования части выражения, изменения шрифта, а также для выполнения некоторых видов символьных вычислений.

Если надо удалить, вырезать или скопировать выделенную часть выражения, выделенный объект целиком или группу выделенных объектов, используются такие же команды, как и в других приложениях Windows.

Некоторые латинские и греческие буквы зарезервированы в качестве констант. Так, латинская буква е внутри математического выражения является основанием натурального логарифма е = 2,718. Это значение можно отменить, присвоив ей любое другое значение, используя знак локального присваивания:=.

Знак бесконечности ? можно вставить с математической панели Calculus.

Если какой-либо константе или переменной не присвоено никакого значения левее и выше ее на экране, то она будет окрашена в красный цвет, указывая на ошибку. Все переменные и функции должны быть предварительно определены.

Если константы в правой части функции пользователя не заданы непосредственно перед использованием этой функции их значения берутся такими, какие были в последний раз перед этим расчетом.

Для ввода простого текста можно выбрать команду InsertTextRegion (Вставить Текстовую область) в главном меню, но удобнее ввести с клавиатуры символ кавычки и далее сам текст. На экране появится текстовая область, в которой можно печатать. Также, сменив латинский шрифт на русский, начать печатать текст в любом месте документа. Как только будет напечатано первое слово, при нажатии пробела эта область автоматически превращается в текстовую.

В Mathcad на точность расчета повлиять нельзя, но можно изменить формат вывода результатов. В Mathcad 11 вычисления совершаются с точностью 12 знаков, а в Mathcad 15 - до 17 знаков.

. Состав системы MathCAD

Как интегрированная система Mathcad 2000 содержит следующие основные компоненты: 1. Редактор документов - редактор с возможностью вставки математических выражений, шаблонов графиков и текстовых комментариев; 2. MathConnex - системный интегратор, обеспечивающий интеграцию Mathcad с рядом иных программных продуктов; 3. Центр ресурсов - система управления ресурсами системы; 4. Электронные книги - электронные книги с описанием типовых расчетов в различных областях науки и техники; 5. Справочная система - система для получения справочных данных по тематическому и индексному каталогу, а также для поиска нужных данных по ключевому слову или фразе; 6.Быстрые шпаргалки QuickSheets - короткие примеры с минимальными комментариями, описывающие применение всех встроенных операторов и функций системы; 7. Броузер Интернета - собственное средство выхода в Интернет. Системы реализуют типовые и весьма обширные возможности Windows 95/98/NT, включая доступность множества шрифтов, работу со всеми типами принтеров, одновременное выполнение нескольких разнохарактерных задач и (в последних версиях) реализацию технологии обмена объектами OLE2. В режиме редактирования возможна одновременная работа с рядом документов и перенос объектов из одного окна в другое. Предусмотрен также импорт любых графических изображений - от простых и специальных графиков функций до многокрасочных репродукций художественных произведений. Введены средства анимации рисунков и воспроизведения видеофайлов со звуковым стереофоническим сопровождением. Это наряду с улучшенной визуализацией сложных расчетов позволяет пользователю готовить электронные статьи и книги высокого качества. Начиная с версии Mathcad 8.0, было предусмотрено упрощенное построение двумерных графиков и вращение трехмерных графиков мышью. Теперь в версию Mathcad 2000 введено упрощенное построение и трехмерных графиков. Особый интерес представляют встраиваемые в систему электронные книги, содержащие справки и примеры применений системы по ряду разделов математики, механики, физики, электротехники и радиотехники, а также по интерфейсу системы. Справки содержат математические формулы и иллюстрации. Можно выделить нужную справку (формулу или рисунок) и перенести ее в текст документа. Библиотеки и пакеты расширений системы Mathcad 2000 - еще одно мощнейшее средство расширения возможностей системы и ее профессиональной ориентации на решение задач в различных предметных областях. Особо надо отметить системный интегратор MathConnex. По существу это отдельное приложение, обеспечивающее использование в составе одного документа блоков из разных систем, например Mathcad, Excel, MATLAB и др. Интеграции различных математических и графических систем, несомненно, принадлежит будущее компьютерной математики, и MathConnex - хорошее начало этому.

. Интерфейс MathCAD

.1 Элементы интерфейса Mathcad

В Mathcad реализован пользовательский интерфейс стандартного для операционной системы Windows оконного вида. Обсуждая интерфейс программной среды, будем ориентироваться на адаптированную русскоязычную версию(рис. 1.1).

Рис. 1.1

Документ системы Mathcad называют рабочим листом (WorkSheet), и он создается или изменяется в окне редактирования, которое доступно сразу после загрузки программы. Окно редактирования содержит два объекта: курсор в виде красного крестика, определяющего позицию ввода новых компонентов документа, и вертикальную прерывистую черту - границу страницы.

Перемещение курсора производится стрелками на клавиатуре или щелчком мыши в области окна редактирования. Изменить ориентацию и поля страницы можно через пункт меню Файл - Настройка страницы.

Верхнюю часть окна программы занимают панели:

строка заголовка с именем программы и текущего документа;

строка меню, открывающая доступ к подменю с различными камандами;

стандартная панель инструментов;

панель форматирования;

панель инструментов "Математика" (Math) для ввода математических объектов - панель с кнопками, открывающими палитры специальных математических знаков и греческих букв (рис. 1.2).

Рис. 1.2. Интерфейс программы MathCAD

Отсутствующие на экране панели можно легко восстановить через пункт меню Вид - Панели - Имя панели.

Как уже отмечалось, отличительной особенностью программы Mathcad является возможность описания решаемой задачи в виде, близком к обычной математической записи. Программа не только выполняет вычисления по введенным формулам, решает уравнения различных типов, позволяет легко строить разнообразные графики, но и выполняет преобразования в символическом виде. Встроенные возможности форматирования текста предоставляют средства для оформления документа в стиле программы MS Word.

Для реализации таких богатых возможностей в меню системы появились функции

Вставить - для вставки объектов и их шаблонов, включая графические элементы;

Формат - для изменения формата объектов;

Инструмент - для управления процессом вычислений;

Символика - для выбора операций символьного процессора.

Компоненты документа Mathcad создаются не только вводом символов с клавиатуры, но и с использованием наборов специальных математических символов, размещенных на палитрах панели "Математика".

Кнопками панели Математика можно открыть панели Калькулятор (1), создания графиков Графики (2), работы с матрицами Матрица (3), записи выражений Вычисление (4), вычислений Исчисление (5), формирования логических выражений Булевые (6), программирования Программирование (7), ввода греческих букв Греческие (8) и символьных операций Символика (9) (см. рис. 1.2).

. Средства повышения эффективности вычислений и их оптимизация

Как отмечалось, входной язык системы Mathcad - интерпретируемый. В интерпретаторах, например, в Бейсике, листинг программы пользователя анализируется системой сверху вниз(а в пределах строки - слева направо), и любые указания в программе тут же выполняются. Так же просматриваются блоки в системе Mathcad. Как только блок опознается, система автоматически запускает внутренние подпрограммы для выполнения необходимых действий, например, вычисления по формуле, вывода таблицы значений вектора, построения рисунка по его шаблону и т. д.Интерпретаторы работают медленно, поэтому не случайно, что пользователи,работавшие со старыми версиями Mathcad, отмечали медлительность систем,особенно при сложных вычислениях и при построении графиков. Медлительность является и следствием работы системы в графическом режиме, когда малейшее изменение содержания экрана требует его полной перерисовки.В последние версии Mathcad введена экспертная система SmartMath. Эта система старается использовать при численных вычислениях конечные формулы,полученные в результате символьных (аналитических) преобразований. Часто (хотя и не всегда) это дает значительное ускорение вычислений в сравнении сих

реализацией численными методами.Операция оптимизации вычислений с помощью системы SmartMath вводится специальными атрибутами (знак * у формул) и словами - директивами. Их число в новых версиях Mathcad значительно увеличено, и для ввода операторов и директив символьной математики добавлена специальная палитра. Таким образом системаSmart Math превратилась в полноправного члена семьи Mathcad. Наиболее развит этот подход в самом мощном варианте системы - Mathcad 2000 Premium, в состав которой введено оптимизирующее расширение TheExpertSolver, автоматически включающее «на всю катушку» средства SmartMath.

. Программирование

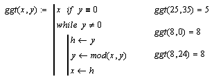
9.1 Обзор программных операторов

Рисунок 1. Программные операторы в MathCAD

Вплоть до появления 7 версии системы MathCAD возможности программирования в них были крайне ограниченными. Фактически MathCAD позволяла реализовать лишь линейные программы, в основе которых лежит понятие функции. Функция if и ранжированные переменные в отдельных случаях могли заменить условные выражения и циклы, но с серьезными ограничениями. Отсутствовала возможность задания завершенных программных модулей.

Эти возможности в расширенном варианте появились в MathCAD 7.0 Pro и имеются в описываемой версии MathCAD 2001 PRO. Они сосредоточены в наборной панели программных элементов Programming (показана на рисунке), включаемой кнопкой  на панели Math

Отметим, что возможность составлять программы реализована только в версии Professional. Все эти MathCAD-программы с точки зрения программиста представляют собой подпрограммы-функции, которые могут возвращать в качестве результата число, вектор или матрицу. Функции могут вызывать сами себя (рекурсивно определенные функции) или другие подпрограммы-функции, определенные выше в том же MathCAD-документе.

Эти подпрограммы-функции составляются так же, как и определения функций. Рассмотрим простой пример вычисления суммы:Sum(n)=1+2+3+..+n:

Задайте сначала имя функции Sum, вслед за которым введите список параметров (n) и оператор присваивания :=

Введите начальное значение s <-- 0 и отметьте его целиком. Стрелка служит оператором присваивания в теле программы, вводитя клавишей { (открывающая фигурная скобка) или выбором кнопки со срелкой с панели.

Создайте новую строку программы (вставка вертикальной черты) при помощи кнопки AddLine ( клавиша -] (закрывающая квадратная скобка)). На экране появится вертикальная черта и пустая ячейка.

Выполните щелчок на кнопке for, чтобы ввести оператор цикла. Перед символом принадлежности введите переменную i, а после него - промежуток изменения переменной 1..n. В находящейся ниже ячейке введите присваивание s <- s+i. Программа готова.

Ниже в таблице приведены операторы, находящиеся на кнопках панели программирования.

Таблица 1. Команды панели Symbolic

Команды панели Symbolic (символы)

Команда

Функция

Пример

AddLine

Добавляет новую строку под/над (зависит от выделения) текущей строкой.


Присваивание значения локальной переменной.

if

Условный оператор (оператор ветвления)if; условие должно стоять после if, а оператор, который исполняется, если выполнено заданное условие,- перед if.

otherwise

Обозначает оператор, который должет быть исполнен, если условие оператора if не выполняется.

for

Цикл for; за ключевым словом for следует переменная-счетчик, а после символа принадлежности вводится промедуток изменения этой переменной. Внутренние операторы цикла сдвинуты немного вправо.

while

Цикл  while;внутренние операторы цикла будут исполняться до тех пор, пока будет истинным условие, следующее за ключевым словом while. Пример показыветприменение цикла для нахождения нулей функции методом касательных Ньютона.

break

Служит для преждевременного завершения цикла, чтобы, например, избежать зацикливания или слишком продолжительных вычислений.

continue

Служит для преждевременного завершения текущей итерации цикла; сам цикл при этом продолжается.

retutn

Преждевременное завершение программы; указанное в ячейке значение будет возвращено.

onerror

Если при вычислении выражения expr2 возникла ошибка, вычисляется выражение expr1.




10. Примеры программ

Условный оператор if и оператор otherwise.Рассмотрим пример программного блока, вычисляющего факториал с использованием рекурсии

В данном примере 1 возвращается, только если n=0 или n=1. Обратите внимание на задание некольких условий - со знаком плюс, каждое условие в скобках. В остальных случаях, учитывая формулу n!=n*(n-1)!, вызывается fakt(n-1) и умножается на n. При помощи функции error можно вывести сообщение об ошибке при неправильном вводе аргумента.


Для демонстрации работы цикла for рассмотрим ту же задачу, но вычисление факториала осуществим при помощи цикла.

Если n=0 или n=1, возвращается 1, в противном случае при помощи цикла for вычисляется произведениеn!=1*2*3...*n. Вычисленное последним значение pвозвращается автоматически.


В следующем примере при помощи алгоритма Евклида определяется наибольший общий делитель. Для реализации алгоритма используется цикл с ключевым словом while


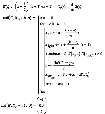
Прерывание цикла при помощи операторов break и continue. Оператор return .Первый пример - релизация метода касательных Ньютона для определения нулей функции. На основе начального значения x вычисляется новое улучшенное значение x, расположенное ближе к искомому нулю функции. При этом итерации повторяются до тех пор, пока значение функции не станет меньше заданной точности (в примере 10-6).

При помощи оператора return организовано завершение программы в нужный момент. В данном примере если число итераций больше или равно 10, то происходит прерывание программы и выдается сообщение о том, что слишком много итераций. Здесь также отслеживаются случаи, когда производная в знаменателе близка к нулю и выдается об этом сообщение.


Кроме ключевого слова break имеется ключевое слово continue с похожей функцией. В то время как break прерывает цикл и осуществляет переход к следующему за циклом оператору, continue прерывает выполнение только текущей итерации. В примере справа ключевое слово continue используется для выявления всех нулей функции на заданном интервале. При этом в примере производится разбиение интервала на n равных подинтервалов и ищутся те из них, на которых функия меняет знак. При обнаружении такого поинтервала вызывается функия, реализующая метод касательных Ньютона, с начальным значением, находящимся в середине подинтервала.


Обратите внимание, по завершении работы программы выдается вектор значений.

Ниже приводится программа, вычисляющая коэффициенты Фурье функции, причем в результате выдается матица значений: нулевая по счету строка содержит коэффициенты Аn, а первая - коэффициенты Bn. Для выделения этих коэффициентов выдавемая матрица транспонируется и из нее выбирается нулевой столбец для коэффициентов Аn, и первый - для Bn.



10. Практическая часть

Задание: написать функцию условия, определенную с помощью программы.

Решение:


Рассуждения: несмотря на принципиальную эквивалентность определения функций и переменных через встроенные функции MathCAD или программные модули, программирование имеет ряд существенных преимуществ, которые в ряде случаев делают документ более простым и читаемым:

возможность применения циклов и условных операторов;

простота создания функций и переменных, требующих нескольких простых шагов

возможность создания функций, содержащих закрытый для остального документа код, включая преимущества использования локальных переменных и обработку исключительных ситуаций (ошибок).

Вывод: мы решили задачу и рассмотрели для чеговообще нужны условные операторы в MathCAD.

Заключение

Мы разобрали программирование в среде MathCAD, посмотрели на примеры решения задач. Увидели интерфейс и разобрали его. Рассмотрели программные операторы и их способы применения. Узнали про средства повышения эффективности и производительности, про примемы работы с формулами.

Литература

1. Очков В.Mathcad 14 для студентов и инженеров. Русская версия [Текст] / Очков В. СПб.:, БХВ-Петербург, 2009 г. - 512 с.

. Любимов Э.В.Mathcad. Теория и практика проведения электротехнических расчетов в среде Mathcad и Multisim (+ DVD-ROM) [Текст] / Любимов Э.В. М: Наука и техника, 2012. - 400 стр. ISBN 978-5-94387-692-9.

. Охорзин В.А. Прикладная математика в системе Mathcad [Текст] / Охорзин В.А. - М: Лань, 2009. - 352 стр. ISBN 978-5-8114-0814-6.

. Шушкевич Г.Ч. Шушкевич С.В. Компьютерные технологии в математике. Система Mathcad 14. В 2 частях. [Текст] / Шушкевич Г.Ч., Шушкевич С.В. - М: Издательство Гревцова, 2010. - 288 стр. ISBN 978-985-6826-81-1, 978-985-6826-86-6.

Похожие работы на - Способы программирования и возможности в программе MathCAD

 

Не нашли материал для своей работы?
Поможем написать уникальную работу
Без плагиата!
Без нейросетей!