Автоматизація діяльності приймальної комісії

  • Вид работы:
    Курсовая работа (т)
  • Предмет:
    Информационное обеспечение, программирование
  • Язык:
    Украинский
    ,
    Формат файла:
    MS Word
    247,6 Кб
  • Опубликовано:
    2015-05-18
Вы можете узнать стоимость помощи в написании студенческой работы.
Помощь в написании работы, которую точно примут!

Автоматизація діяльності приймальної комісії

Зміст

Вступ

1. Опис предметного середовища та постанова задачі

1.1 Опис предметного середовища

1.2 Постановка задачі

2. Концептуальна модель бази даних

3. Логічна модель бази даних

4. Фізична модель бази даних

5. Опис реалізації проекту бази даних

5.1 Опис функцій та взаємодії користувачів із системою

5.2 Опис метаданих, що зберігаються на сервері БД       

Висновки по роботі

Список використаних джерел


Вступ

автоматизація інформація база

Предметним середовищем даного курсового проекту є діяльність приймальної комісії, зокрема автоматизація діяльності приймальної комісії. Для вирішення поставленої задачі необхідно було створити програмне забезпечення.

Призначенням створеного програмного забезпечення є автоматизація робочого місця секретарів приймальної комісії шляхом надання в їх розпорядження зручних та ефективних механізмів для обробки та представлення інформації, і, як наслідок, підвищення рівню контролю та ефективності роботи, зменшення кількості ручної праці співробітників.

В даному випадку використання БД необхідно для зберігання інформації і подальшого її використання та обробки. Також слід відмітити підвищення рівню захисту інформації, зручність методів маніпулювання даними та тісну інтеграцію з клієнтським застосуванням. Цей підхід дозволяє скоротити час на розробку, отримавши при цьому більше якісне програмне забезпечення.

Для розробки БД використовувалась СУБД Interbase XE3, а програмне забезпечення створене з використанням інструментів мови програмування Java.

. Опис предметного середовища та постанова задачі

.1 Опис предметного середовища

Предметною областю є робота приймальної комісії, зокрема автоматизація роботи приймальної комісії.

Основною метою роботи приймальної комісії є регулювання процесу переходу учнів від середньої загальноосвітніх сходинок до вищої. Таким чином, бажаючі отримати вищу освіту перетворюються з школярів абітурієнтів, які подали заяву про прийом і інший набір необхідних документів і, нарешті, у студентів у разі успішної здачі іспитів та проходження за конкурсом. Приймаючи до уваги те, що в процесі роботи накопичується велика кількість даних, які треба зберігати та оброблювати, автоматизація цих процесів дозволить підвищити ефективність приймальної комісії.

До приймальної комісії коледжу подають заявку випускники 9-х класів. Для цього вони спочатку вибирають спеціальність на яку хочуть поступити та дізнаються у секретаря всю детальну інформацію про іспити та конкурс на цю спеціальність. Секретар заводить особову справу на кожного випускника, де фіксує інформацію про майбутнього абітурієнта: номер особової справи, ПІБ абітурієнта, стать, дата народження, домашня адреса, документ про здобуту освіту (його номер і дата видачі), середній бал атестату, назва навчального закладу, що закінчив, потреба у гуртожитку. Також до особової справи додається заява на вступ до певної спеціальності. Абітурієнт має право подати по одній заяві на різні спеціальності для підвищення шансів вступу до цього коледжу. Після здачі іспитів секретар додає до даних про абітурієнта дані про іспити та його оцінки. Секретар вводить дані абітурієнтів до інформаційної системи.

Кожна спеціальність відноситься до певного відділення. На кожну спеціальність кожного року дають певну кількість бюджетних місць. Отже виходить, що можливий конкурс для того, щоб поступити на бюджет. Кожен абітурієнт складає лише 2 іспити. Рейтинг абітурієнта буде вираховуватися за такою системою : середній бал атестату + оцінка за 1 іспит + оцінка за 2 іспит. Після такого підрахунку буде формуватися таблиця, де буде сортування за рейтингом и можна буде побачити хто пройшов, а хто ні.

.2 Постановка задачі

Отже, необхідно розробити ПЗ для забезпечення автоматизації приймальної комісії.

Функції системи:

Введення, перегляд, редагування та видалення інформації.

Пошук інформації.

Контроль доступу до даних.

Формування списків.

Типи користувачів та їх права доступу:

Адміністратор. Має повний доступ до всіх даних та всі привілеї.

Секретар. Має доступ до двох таблиць: Заява та Абітурієнт. Працює з існуючими даними, вносить, редагує та видаляє дані.

Вхідні дані:

Інформація про абітурієнта.

Інформація про спеціальності.

Інформація про відділення, куди входять вибрані спеціальності.

Інформація про іспити.

Інформація про дисципліни.

Інформація про заяви.

Вихідні дані :

Список: Рейтинг абітурієнтів.

В рамках даного курсового проекту буде створена лише можливість формування рейтингу абітурієнтів з певної спеціальності на основі введених даних.

Опис семантичних тверджень:

Стать абітурієнта може бути жіноча або чоловіча.

Оцінки за іспити ставлять від 1 до 12 балів.

Потреба в гуртожитку: так чи ні.

2. Концептуальна модель бази даних

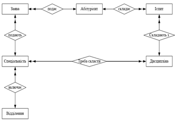
В результаті вивчення предметної області та постановки задачі було виявлено основні сутності та їх атрибути (таблиця 2.1). На рисунках 2.1-2.7 представлені моделі сутність-зв'язок 1-го рівня для сутностей даного предметного середовища.

Таблиця 2.1 - Основні сутності та їх атрибути

Сутність

Атрибути

Відділення

Код відділення  Назва відділення  ПІБ зав. Відділення

Спеціальність

Код спеціальності  Назва спеціальності Кількість місць

Заява

Код заяви Код абітурієнта Код абітурієнта Дата

Абітурієнт

Код  ПІБ абітурієнта  Стать Дата народження Домашня адреса Документ про освіту Середній бал атестату Мобільний телефон Потреба в гуртожитку

Дисципліна

Код дисципліни Назва дисципліни Вид контролю

Іспит

Код іспиту  Код абітурієнта Код дисципліни Дата іспиту  Оцінка



Рисунок 2.1 - ER-діаграма 1-го рівня для сутності «Відділення»

Рисунок 2.2 - ER-діаграма 1-го рівня для сутності «Спеціальність»

Рисунок 2.3 - ER-діаграма 1-го рівня для сутності «Заява»

Рисунок 2.4 - ER-діаграма 1-го рівня для сутності «Абітурієнт»

Рисунок 2.5 - ER-діаграма 1-го рівня для сутності «Іспит»

Рисунок 2.6 - ER-діаграма 1-го рівня для сутності «Дисципліна»

Наступним етапом створення моделі сутності-зв'язок є виявлення зв'язків між сутностями. На рисунку 2.7 представлена модель сутність-зв'язок 0-го рівня. В таблиці 2.2 представлений опис цих зв'язків.

Рисунок 2.7 - ER-діаграма 0-го рівня

Таблиця 2.2 - Взаємозв’язки між сутностями

Сутності

Тип зв’язку

Опис

Відділення Спеціальність

1:М

Одне відділення включає декілька спеціальностей.

Спеціальність Дисципліна

N:M

На кожну спеціальність треба здати певні дисципліни.

Спеціальність Заява

1:М

На одну спеціальність подають багато заяв.

Заява  Абітурієнт

М:1

Один абітурієнт може подати декілька заяв.

Абітурієнт Іспит

1:М

Абітурієнт складає декілька іспитів.

Іспит  Дисципліна

М:1

Одна дисципліна може повторюватися в різних іспитах.



3. Логічна модель бази даних

На основі розробленої концептуальної моделі було розроблено логічну модель бази даних. На рисунку 3.1 наведено логічну модель бази даних. Нижче представлені схеми відношень.

Відділення (VIDDILENYA): Код відділення (Kod_Vid), Назва відділення (Nazva_Vid), ПІБ зав.відділення (PIB_zv).

Спеціальність (SPECIALNIST): Код спеціальності (Kod_Sp), Назва спеціальності (Nazva_Sp), Кількість місць (Kilk_m).

Заява (ZAJAVA): Код заяви (Kod_z), Код абітурієнта (Kod_ab), Код спеціальності (Kod_sp), Дата (Data).

Абітурієнт (ABITURIENT): Код абітурієнта (Kod_Ab), ПІБ абітурієнта (PIB_Ab), Стать (Pol), Дата народження (Data_rojd), Домашня адреса (Dom_adres), Документ про освіту (Dok_osvita), Середній бал (Sr_bal), Мобільний номер (Mob_nomer), Потреба в гуртожитку (Obshaga).

Іспит (ISPUT): Код іспиту (Kod_is), Код абітурієнта (Kod_Ab), Код дисципліни, Дата іспиту (Data_is), Оцінка (Ocinka).

Дисципліна (DUSCIPLINA): Код дисципліни (Kod_d), Назва дисципліни (Nazva), Вид контролю (Vud_k).

Контроль (CONTROL): Код контролю (Kod_c), Код дисципліни (Kod_d), Код спеціальності (Kod_Sp).

Рисунок 3.1 - Логічна модель

4. Фізична модель бази даних

На основі аналізу атрибутів сутностей бази даних кожному атрибуту був назначений відповідний тип даних та обмеження на значення, де це було потрібно. В таблицях 4.1-4.7 наведено опис структур таблиць бази даних.

Таблиця 4.1 - Опис структури таблиці «Відділення»

Ідентифікатор поля

Ознака ключа

Тип даних

Обмеження

0

1

2

3

Kod_vid

PK

INTEGER

NOT NULL

Nazva_vid

 

VARCHAR(100)

NOT NULL

PIB_zv

 

VARCHAR(50)

NOT NULL


Таблиця 4.2 - Опис структури таблиці «Спеціальність»

Ідентифікатор поля

Ознака ключа

Тип даних

0

1

2

3

Kod_sp

PK

INTEGER

NOT NULL

Nazva_sp

 

VARCHAR(100)

NOT NULL

Kilk_m

 

INTEGER

NOT NULL

Kod_vid

FK

INTEGER

NOT NULL

_vid - зв'язок з таблицею «Відділення».

Таблиця 4.3 - Опис структури таблиці «Заява»

Ідентифікатор поля

Ознака ключа

Тип даних

Обмеження

0

1

2

3

Kod_z

PK

INTEGER

NOT NULL

Kod_ab

FK

INTEGER

NOT NULL

Kod_sp

FK

INTEGER

NOT NULL

Data_z

 

DATE

 

_ab - зв'язок з таблицею «Абітурієнт»._sp - зв'язок з таблицею «Спеціальність».

Таблиця 4.4 - Опис структури таблиці «Абітурієнт»

Ідентифікатор поля

Ознака ключа

Тип даних

Обмеження

0

1

2

3

Kod_ab

PK

INTEGER

NOT NULL

PIB_ab

 

VARCHAR(50)

NOT NULL

Pol

 

VARCHAR(2)

NOT NULL

Data_rojd

 

NOT NULL

Dom_adres

 

VARCHAR(60)

 

Dok_osvita

 

INTEGER

 

Sr_bal

 

FLOAT

NOT NULL

Mob_nomer

 

VARCHAR(40)

 

Obchaga

 

VARCHAR(40)

NOT NULL


Таблиця 4.5 - Опис структури таблиці «Іспит»

Ідентифікатор поля

Ознака ключа

Тип даних

Обмеження

0

1

2

3

Kod_is

PK

INTEGER

NOT NULL

Kod_ab

FK

INTEGER

NOT NULL

Kod_d

FK

INTEGER

NOT NULL

Data_is

 

DATE

NOT NULL

Ocinka

 

INTEGER

CHECK (Ocinka BETWEEN 1 AND 12)

_ab - зв'язок з таблицею «Абітурієнт»._d - зв'язок з таблицею «Дисципліни».

Таблиця 4.6 - Опис структури таблиці «Дисципліна»

Ідентифікатор поля

Ознака ключа

Тип даних

Обмеження

0

1

2

3

Kod_d

PK

INTEGER

NOT NULL

Nazva_d

 

VARCHAR(100)

NOT NULL

Vud_k

 

 



Таблиця 4.6 - Опис структури таблиці «Контроль»

Ідентифікатор поля

Ознака ключа

Тип даних

Обмеження

0

1

2

3

Kod_c

PK

INTEGER

NOT NULL

Kod_d

FK

INTEGER

NOT NULL

Kod_sp

FK

INTEGER

NOT NULL

_d - зв'язок з таблицею «Дисципліна»._sp - зв'язок з таблицею «Спеціальність».

Для полів первинних та зовнішніх ключів доцільно створити домен. Також часто використовується поле ПІБ та поле назва, тому й для нього доцільно створити домен. Скрипт створення доменів наведений нижче:DOMAIN "KEYS" AS INTEGER NOT NULL;DOMAIN "NAZVA" AS VARCHAR(100) NOT NULL;DOMAIN "PIB" AS VARCHAR(50) NOT NULL;

5. Опис реалізації проекту бази даних

.1 Опис функцій та взаємодії користувачів із системою

Запускаючи програму користувач бачить перед собою вікно авторизації (рисунок 5.1), в якому йому надається можливість обрати свою посаду та ввести пароль. Існує можливість авторизуватись в якості одного з користувачів: Адміністратор (SYSDBA), секретар (WORKER).

Рисунок 5.1.1 - Вікно авторизації

Для кожного користувача системи у середовищі визначені права доступу. Користувач адміністратор має повний доступ до всіх таблиць та представлень, права на виконання всіх збережених процедур, генераторів даної БД. Секретарю відкритий повний доступ до таблиць : заява та абітурієнти.

У випадку коректної авторизації в залежності від обраної ролі, у розпорядження користувача потрапляє форма, представлена сукупністю вкладок, на яких знаходяться таблиці та елементи керування в залежності від типу таблиці, розташованої на активній таблиці.

На кожній з них знаходиться однойменна таблиця з відповідним вмістом. На всі таблиці розповсюджується обмеження, що накладені на відповідну у БД. Спільними елементами кожної вкладки є кнопка «Додати запис», «Редагувати запис», «Видалити запис», «Оновити».

Кнопка «Додати запис» - додає новий запис до таблиці з заповнених полів.

Кнопка «Редагувати запис» - змінює запис згідно з заповненими полями.

Кнопка «Видалити запис» - видаляє з таблиці запис, згідно з заповненим ключовим полем.

Кнопка «Оновити» - оновлює таблицю.

Кнопка «Рейтинг абітурієнтів» - формує список абітурієнтів з їх рейтинговим балом та можливістю обрати спеціальність для перегляду рейтингового балу.

Поле пошуку надає можливість вибирати з таблиць лише ті рядки, в яких зустрічається послідовність символів введена в це поле. Пошук відбувається одночасно з введенням інформації, що дозволяє швидше отримати шукані результати. Щоб знов відобразити усі записи таблиці необхідно лише видалити запит пошуку.

Якщо користувач є адміністратор, то на головній формі будуть розташовані шість вкладок під назвами : «Відділення», «Спеціальність», «Заява», «Абітурієнт», «Іспит», «Дисципліна» (Рисунок 5.1.2).

Рисунок 5.1.2 - Форма головного меню адміністратора

Якщо користувач є секретар, то на головній формі будуть розташовані дві вкладки під назвами : «Заява» та «Абітурієнт» (Рисунок 5.1.3).

Рисунок 5.1.2 - Форма головного меню секретаря

Адміністратор, як і всі інші користувачі може редагувати лише ті дані, на які розповсюджуються його права. Хоча даний користувач і має найбільш привілейований доступ, йому не потрібно мати абсолютно всі права: деякі дані автоматично генеруються на стороні БД і зайве втручання може ненавмисно порушити цілісність БД.

На рисунку 5.1.3 та 5.1.4 представлені схеми взаємодії екранних форм даного програмного забезпечення.

Рисунок 5.1.3 - Взаємодія екранних форм для cекретаря.

Рисунок 5.1.4 - Взаємодія екранних форм для адміністратора.

.2 Опис метаданих, що зберігаються на сервері БД

Скрипти створення таблиць

ВідділенняTABLE "VIDDILENYA"

(

"KOD_VID"        "KEYS",

"NAZVA_VID"   "NAZVA",

"PIB_ZV"   "PIB","PK_VIDDILENYA" PRIMARY KEY ("KOD_VID")

);

СпеціальністьTABLE "SPECIALNIST"

(

"KOD_SP" "KEYS",

"NAZVA_SP"     "NAZVA",

"KILK_M" INTEGER NOT NULL,

"KOD_VID"        "KEYS","PK_SPECIALNIST" PRIMARY KEY ("KOD_SP")

);TABLE "SPECIALNIST" ADD CONSTRAINT "FK_SPECIALNIST_VIDDILENYA" FOREIGN KEY ("KOD_VID") REFERENCES "VIDDILENYA" ("KOD_VID");

ЗаяваTABLE "ZAJAVA"

(

"KOD_Z"   "KEYS",

"KOD_AB"         "KEYS",

"KOD_SP" "KEYS",

);TABLE "ZAJAVA" ADD CONSTRAINT "FK_SPECIALNIST_ZAJAVA" FOREIGN KEY ("KOD_SP") REFERENCES "SPECIALNIST" ("KOD_SP");TABLE "ZAJAVA" ADD CONSTRAINT "FK_ZAJAVA_ABITURIENT" FOREIGN KEY ("KOD_AB") REFERENCES "ABITURIENT" ("KOD_AB");

АбітурієнтTABLE "ABITURIENT"

(

"KOD_AB"         "KEYS",

"PIB_AB"  "PIB",

"POL"        VARCHAR(2) NOT NULL,

"DATA_ROJD"  DATE NOT NULL,

"DOM_ADRES" VARCHAR(60),

"DOK_OSVITA" INTEGER,

"SR_BAL" FLOAT NOT NULL,

"MOB_NOMER"          VARCHAR(40),

"OBCHAGA"      VARCHAR(40) NOT NULL,"PK_ABITURIENT" PRIMARY KEY ("KOD_AB")

);

ІспитTABLE "ISPUT"

(

"KOD_IS"  "KEYS",

"KOD_AB"         "KEYS",

"KOD_D"  "KEYS",

"DATA_IS"         DATE NOT NULL,

"OCINKA" INTEGER,"PK_ISPUT" PRIMARY KEY ("KOD_IS")

);TABLE "ISPUT" ADD CONSTRAINT "FK_ISPUT_ABITURIENT" FOREIGN KEY ("KOD_AB") REFERENCES "ABITURIENT" ("KOD_AB");TABLE "ISPUT" ADD CONSTRAINT "FK_ISPUT_DUSCIPLINA" FOREIGN KEY ("KOD_D") REFERENCES "DUSCIPLINA" ("KOD_D");TABLE "ISPUT" ADD(Ocinka BETWEEN 1 AND 12);

ДисциплінаTABLE "DUSCIPLINA"

(

"KOD_D"  "KEYS",

"NAZVA"  "NAZVA",

"VUD_K"  VARCHAR(40),"PK_DUSCIPLINA" PRIMARY KEY ("KOD_D")

);

КонтрольTABLE "CONTROL"

(

"KOD_C"   INTEGER NOT NULL,

"KOD_D"  INTEGER NOT NULL,

"KOD_SP" INTEGER NOT NULL,KEY ("KOD_C")

);TABLE "CONTROL" ADD CONSTRAINT "cont_dis_FK" FOREIGN KEY ("KOD_D") REFERENCES "DUSCIPLINA" ("KOD_D") ON DELETE CASCADE;TABLE "CONTROL" ADD CONSTRAINT "cont_sp_FK" FOREIGN KEY ("KOD_SP") REFERENCES "SPECIALNIST" ("KOD_SP") ON DELETE CASCADE;

Скрипти створення генераторів

АбітурієнтGENERATOR "AB_GENERATOR";

ДисциплінаGENERATOR "D_GENERATOR";

ІспитGENERATOR "IS_GENERATOR";

СпеціальністьGENERATOR "SP_GENERATOR";

ВідділенняGENERATOR "VID_GENERATOR";

ЗаяваGENERATOR "Z_GENERATOR";

Скрипти створення переглядів

Перегляд таблиці «Контроль».

CREATE VIEW "CONTROL_JT" (

"KOD_C",

"NAZVA_SP",

"NAZVA_D"

) ASB."KOD_C", F."NAZVA_SP", C."NAZVA""SPECIALNIST" F, "CONTROL" B, "DUSCIPLINA" CC."KOD_D" = B."KOD_D" and B."KOD_SP" = F."KOD_SP"by B."KOD_C", C."NAZVA", F."NAZVA_SP";

Перегляд таблиці «Іспит».VIEW "ISPUT_JT" (

"KOD_IS",

"ABITURIENT",

"DUSCIPLINA",

"DATA_IS",

"OCINCA"

) ASC."KOD_IS", A."PIB_AB", B."NAZVA", C."DATA_IS", C."OCINKA""ISPUT" C, "DUSCIPLINA" B, "ABITURIENT" AB."KOD_D" = C."KOD_D" and C."KOD_AB"= A."KOD_AB"by C."KOD_IS", A."PIB_AB", B."NAZVA", C."DATA_IS", C."OCINKA";

Перегляд таблиці «Рейтинг».VIEW "REITING" (

"SPEC",

"DISC",

"ABIT",

"OCINKA"

) ASC."NAZVA_SP", C."NAZVA_D", I."ABITURIENT", I."OCINCA""ISPUT_JT" I, "CONTROL_JT" CC."NAZVA_D" like I."DUSCIPLINA" by C."NAZVA_SP", C."NAZVA_D", I."ABITURIENT", I."OCINCA";

Перегляд таблиці «Спеціальність».VIEW "SPECIALNIST_JT" (

"KOD_SP",

"NAZVA_SP",

"KILK_M",

"VIDDILENYA"

) ASE."KOD_SP", E."NAZVA_SP", E."KILK_M", F."NAZVA_VID""VIDDILENYA" F, "SPECIALNIST" EE."KOD_VID" = F."KOD_VID"BY E."KOD_SP", E."NAZVA_SP", E."KILK_M", F."NAZVA_VID";

Перегляд таблиці «Заява».VIEW "ZAJAVA_JT" (

"KOD_Z",

"ABITURIENT",

"SPECIALNIST",

) ASG."KOD_Z", A."PIB_AB", E."NAZVA_SP", G."DATA_Z""ABITURIENT" A, "SPECIALNIST" E, "ZAJAVA" GG."KOD_AB" = A."KOD_AB" and G."KOD_SP" = E."KOD_SP"by G."KOD_Z", A."PIB_AB", E."NAZVA_SP", G."DATA_Z";

Скрипти створення збережених процедур

Процедура додавання нової дисципліни.

COMMIT WORK;AUTODDL OFF;TERM ^ ;

/* Stored procedures */PROCEDURE "ADDDUSCIPLINA"

(

"NAZVA" VARCHAR(100),

"VUD_K" VARCHAR(30)

)EXIT; END ^

PROCEDURE "ADDDUSCIPLINA"

(

"NAZVA" VARCHAR(100),

"VUD_K" VARCHAR(30)

)INTO "DUSCIPLINA" (Kod_d, NAZVA,vud_k) VALUES

(GEN_ID(d_generator,1),:nazva, :vud_k);

^TERM ; ^WORK;

SET AUTODDL ON;

Процедура додавання спеціальності.

COMMIT WORK;AUTODDL OFF;TERM ^ ;

/* Stored procedures */PROCEDURE "ADDSPECIALNIST"

(

"NAME" VARCHAR(40),

"KIL_M" INTEGER,

"KOD_O" INTEGER

)EXIT; END ^PROCEDURE "ADDSPECIALNIST"

(

"NAME" VARCHAR(40),

"KIL_M" INTEGER,

"KOD_O" INTEGER

)INTO SPECIALNIST(Kod_sp,Nazva_sp,Kilk_m,Kod_vid) VALUES

(GEN_ID(sp_generator,1),:Name,:kil_m,:KOD_o);

^TERM ; ^WORK;

SET AUTODDL ON;

Висновки по роботі

В результаті роботи над курсовим проектом було спроектована та реалізована база даних і клієнтське застосування до неї. Результуюче програмне застосування дозволяє автоматизувати роботу секретарів приймальної комісії. Воно реалізує більшу частину запланованої функціональності та може використовуватись в реальному житті за умови доробки програмного забезпечення за потребами кінцевих користувачів.

Список використаних джерел

Доманецька І.М. Промислові системи управління базами даних: Конспект лекцій.-К:КНУБА, 2012.-64с.

Data Definition Guide InterBase XE3,Update 3[]; Embarcadero Technologies, 2013, - Режим доступу

Похожие работы на - Автоматизація діяльності приймальної комісії

 

Не нашли материал для своей работы?
Поможем написать уникальную работу
Без плагиата!
Без нейросетей!