Особенности профессионального самоопределения старшеклассников из неблагополучных семей

  • Вид работы:
    Дипломная (ВКР)
  • Предмет:
    Психология
  • Язык:
    Русский
    ,
    Формат файла:
    MS Word
    130,73 Кб
  • Опубликовано:
    2015-12-18
Вы можете узнать стоимость помощи в написании студенческой работы.
Помощь в написании работы, которую точно примут!

Особенности профессионального самоопределения старшеклассников из неблагополучных семей

Реферат

Дипломная работа 55 страниц, 42 источника, 7 таблиц, 5 рисунков

Ключевые слова: профессиональное самоопределение, старшеклассники, неблагополучные семьи, деформации профессионального самоопределения, профессиональная идентичность, личностное самоопределение.

Объект исследования: профессиональное самоопределение старшеклассников.

Предмет исследования: особенности профессионального самоопределения старшеклассников из неблагополучных семей.

Методы исследования: теоретический анализ литературных источников, психодиагностические методы, методы статистической обработки данных.

Цель дипломной работы: выявить особенности профессионального самоопределения старшеклассников из неблагополучных семей.

Задачи дипломной работы: 1) раскрыть проблему профессионального самоопределения старшеклассников в психолого-педагогической литературе; 2) описать факторы профессионального самоопределения старшеклассников из неблагополучных семей; 3) охарактеризовать социальные последствия деформаций профессионального самоопределения старшеклассников из неблагополучных семей; 4) раскрыть сущность психолого-педагогического сопровождения процесса выбора профессии старшеклассниками из неблагополучных семей; 5) на основании данных эмпирического исследования охарактеризовать особенности профессионального самоопределения старшеклассников из неблагополучных семей; 6) на основании полученных данных разработать программу профориентационного тренинга для старшеклассников из неблагополучных семей.

Полученные результаты: на основании обзора научной литературы и данных экспериментального исследования были выявлены деформации профессионального самоопределения у старшеклассников из неблагополучных семей, которые проявляются в недостаточном учете значимых факторов при выборе профессии, отсутствии осознанного выбора на основании имеющихся склонностей и способностей, отсутствии учета потребностей рынка труда, слабо сформированной профессиональной идентичности. В связи с этим актуальной явилась разработка программы социально-психологического тренинга по устранению деформаций профессионального самоопределения у учащихся из неблагополучных семей.

Область применения: возрастная и педагогическая психология.

Практическая значимость определяется возможностью использования полученных результатов в деятельности практических психологов в сфере образования с целью профилактики и коррекции деформаций профессионального самоопределения старшеклассников из неблагополучных семей.

Содержание

Введение

. Теоретические аспекты проблемы профессионального самоопределения старшеклассников из неблагополучных семей

.1 Проблема профессионального самоопределения старшеклассников в психолого-педагогической литературе

.2 Факторы профессионального самоопределения старшеклассников из неблагополучных семей

.3 Социальные последствия деформаций профессионального самоопределения старшеклассников из неблагополучных семей

.4 Психолого-педагогическое сопровождение процесса выбора профессии старшеклассниками из неблагополучных семей

. Экспериментальное исследование особенностей профессионального самоопределения старшеклассников из неблагополучных семей

.1 Характеристика методик исследования

.2 Анализ и интерпретация результатов исследования

.3 Коррекция деформаций профессионального самоопределения старшеклассников из неблагополучных семей

Заключение

Список использованных источников

Приложения

Введение

Актуальность изучения проблемы профессионального самоопределения старшеклассников из неблагополучных семей заключается в том, что социальная ситуация развития в старшем школьном возрасте характеризуется в первую очередь тем, что учащийся стоит на пороге вступления в самостоятельную жизнь. Ему предстоит выйти на путь трудовой деятельности и определить свое место в жизни. Выбор профессии необходимо осуществлять в соответствии с учетом множества факторов, как внешних, так и внутренних. Воспитание в условиях семейного неблагополучия оказывает определенное влияние на профессиональное самоопределение старшеклассников, так как данный процесс в основном протекает стихийно. Общественная значимость проблемы профессионального самоопределения старшеклассников проявляется в необходимости преодоления противоречия между объективно существующими потребностями общества в сбалансированной структуре кадров и неадекватно этому сложившимися субъективными профессиональными устремлениями молодежи. То есть по своему назначению система профориентации должна оказать существенное влияние на рациональное распределение трудовых ресурсов, выбор жизненного пути молодежью, адаптации ее к профессии. Подготовка к выбору профессии важна еще и потому, что она является неотъемлемой частью всестороннего и гармоничного развития личности, и ее следует рассматривать в единстве и взаимодействии с нравственным, трудовым, интеллектуальным, эстетическим и физическим совершенствованием личности, то есть со всей системой учебно-воспитательного процесса. Адекватность выбора профессии влияет на все стороны и общее качество жизни. Поэтому так важно для старшеклассника, вступающего в мир профессий, сделать правильный выбор. В Национальной стратегии устойчивого социально-экономического развития Республики Беларусь на период до 2020 г. особое место отведено совершенствованию системы профессионального самоопределения молодежи на уровень, соответствующий мировым стандартам [1]. Регламентации механизмов обеспечения качества профессионального образования на уровне государства посвящены отдельные статьи Кодекса Республики Беларусь об образовании [2].

Существенный вклад в развитие теоретических основ профессионального самоопределения и профориентации внесли исследования таких ученых, как Е.А. Климов, Ю.Е. Забродин (теоретические и методические основы профконсультации молодежи); Б.А. Федоришин (система профориентации, обеспечивающая школьников необходимыми знаниями для ориентации в мире профессий); В.Д. Шадриков (диагностические методики изучения личности школьников в целях оказания индивидуальной помощи в выборе профессии); К.М. Гуревич, В.Д. Небылицин, Б.М. Теплов (установление взаимосвязи профессиональной пригодности с индивидуальными особенностями основных свойств нервной системы); Н.С. Пряжников (профессиональное и личностное самоопределение) и других. Среди теоретических разработок профориентационной проблематики в Беларуси - психологическая готовность к деятельности (Л.А. Кандыбович); психология трудового обучения и профессионального самоопределения (Ф.И. Иващенко); профессиональная пригодность (А.Г. Ростунов) и др.

В научной литературе проблема профессионального самоопределения старшеклассников рассматривается с точки зрения построения своей жизненной перспективы, жизненных планов, с точки зрения личностного самоопределения. Отечественные авторы [3; 4], сходятся во мнении о том, что обычно в подростковом или даже юношеском возрасте учащиеся начинают не только задумываться, но и самостоятельно выстраивать свою перспективу будущего, формулировать собственные планы, намерения, выбирать, кем и каким ему быть в будущем. Поиск профессии - важнейшая проблема юности и старшего подросткового возраста. В этот относительно короткий срок необходимо создать жизненный план - решить вопросы, кем быть (профессиональное самоопределение) и каким быть (личностное и моральное самоопределение). Социальная ситуация развития характеризуется в первую очередь тем, что старший школьник стоит на пороге вступления в самостоятельную жизнь. Ему предстоит выйти на путь трудовой деятельности и определить свое место в жизни (следует заметить, что эти процессы весьма вариативны) [4, с. 67].

Проблеме профессионального самоопределения учащихся посвящено много исследований. Однако, несмотря на очевидный интерес ученых, профориентационная работа в современных условиях не в полной мере достигает своих главных целей - профилактики и коррекции деформаций профессионального самоопределения у старшеклассников. В связи с этим возникает необходимость в изучении особенностей профессионального самоопределения старшеклассников из неблагополучных семей.

Объект исследования: профессиональное самоопределение старшеклассников.

Предмет исследования: особенности профессионального самоопределения старшеклассников из неблагополучных семей.

Цель исследования: выявить особенности профессионального самоопределения старшеклассников из неблагополучных семей.

Задачи исследования: 1) раскрыть проблему профессионального самоопределения старшеклассников в психолого-педагогической литературе; 2) описать факторы профессионального самоопределения старшеклассников из неблагополучных семей; 3) охарактеризовать социальные последствия деформаций профессионального самоопределения старшеклассников из неблагополучных семей; 4) раскрыть сущность психолого-педагогического сопровождения процесса выбора профессии старшеклассниками из неблагополучных семей; 5) на основании данных эмпирического исследования охарактеризовать особенности профессионального самоопределения старшеклассников из неблагополучных семей; 6) на основании полученных данных разработать программу профориентационного тренинга для старшеклассников из неблагополучных семей.

Теоретико-методологической основой исследования послужили научные подходы Е.А. Климова и Н.С. Пряжникова к анализу проблемы профессионального самоопределения в старшем школьном возрасте, подходы Л.А. Кандыбович и Ф.И. Иващенко к коррекции деформаций профессионального самоопределения учащихся.

Методы исследования: анализ и обобщение научной и учебно-методической литературы. В качестве эмпирических методов применялись тестирование, количественный анализ данных, статистические методы обработки данных.

Научная новизна и область применения полученных результатов: дано теоретическое обоснование проблемы профессионального самоопределения старшеклассников из неблагополучных семей. На основании теоретического обзора публикаций и проведенного исследования в дипломной работе охарактеризованы особенности профессионального самоопределения старшеклассников из неблагополучных семей. В рамках темы дипломного исследования разработана авторская программа профориентационного тренинга для учащихся из неблагополучных семей.

Практическая значимость исследования заключается в том, что результаты могут быть использованы в деятельности практических психологов в профориентационной работе, с целью профилактики и коррекции деформаций профессионального самоопределения у старшеклассников из неблагополучных семей. Научно-теоретические и эмпирические результаты исследования могут быть использованы для более эффективной организации профориентационной деятельности практических психологов в системе образования.

1. Теоретические аспекты проблемы профессионального самоопределения старшеклассников из неблагополучных семей

.1 Проблема профессионального самоопределения старшеклассников в психолого-педагогической литературе

Проблема профессионального самоопределения - одна из важнейших в жизни человека. Профессиональное самоопределение, является способом самоактуализации личности в сфере профессиональной деятельности, важнейшей линией ее жизненного и личностного самоопределения несмотря на давний и непреходящий интерес к проблеме профессионального самоопределения, до сих пор не существует единства мнения в определении содержания профессионального самоопределения, в определении закономерностей этого процесса.

В настоящее время выделяют два основных подхода к понятию профессионального самоопределения. С позиции первого под профессиональным самоопределением подразумевается выбор профессии [5, с. 43]. При этом круг исследовательских задач ограничивается возрастными границами (от этапов, предшествующих выбору, до самого акта выбора). С позиции второго подхода, под профессиональным самоопределением понимается одну из форм самоопределения личности в целом [6, с. 51].

Понятие «профессиональное самоопределение» акцентирует внимание на активности личности в процессе профессионализации. Выбирая профессию, человек в значительной степени выбирает жизненный путь и стиль жизни. Выбор профессии определяет и место жительства, и уровень материального благосостояния, и степень свободы для творчества. От успешности карьеры зависит уровень удовлетворенности жизнью в целом. Важнейшим критерием осознания и продуктивности профессионального становления личности является её способность находить личностный смысл в профессиональном труде, самостоятельно проектировать, творить свою профессиональную жизнь, ответственно принимать решения о выборе профессии, специальности и места работы. Эти проблемы встают перед личностью в течение всей её жизни. Постоянное уточнение места в мире профессий, осмысление своей социально-профессиональной роли, отношения к профессиональному труду, коллективу и самому себе становятся важными компонентами жизни человека. Перед личностью постоянно возникают проблемы, требующие от неё определения своего отношения к профессиям, иногда анализа и рефлексии собственных профессиональных достижений, принятия решения о выборе профессии или её смене [7, с. 109].

Рассмотрим подходы различных авторов к проблеме профессионального самоопределения для определения собственной позиции по этому вопросу.

А.М. Кухарчук рассматривает самоопределение как способность человека строить самого себя, свою индивидуальную историю, как умение переосмысливать собственную сущность [6, с. 27].

Е.А. Климов понимает самоопределение как важное проявление психического развития, как активный поиск возможностей развития, формирования себя как полноценного участника сообщества «делателей» чего-то полезного, сообщества профессионалов. Профессиональное самоопределение не сводится к одномоментному акту выбора профессии и не заканчивается завершением профессиональной подготовки по избранной специальности, оно продолжается на протяжении всей профессиональной жизни. [5, с. 19].

Профессиональное самоопределение стало предметом исследования Н.С. Пряжникова, который существенно обогатил теорию и практику профессионального самоопределения. Он постоянно подчёркивал неразрывную связь профессионального самоопределения с самореализацией человека в других важных сферах жизни [3, с. 30].

Исследуя профессиональное самоопределение личности, Н.С. Пряжников обосновал содержательно-процессуальную модель:

) осознание ценности общественно-полезного труда и необходимости профессиональной подготовки;

) ориентировка в социально-экономической ситуации и прогнозирование престижности выбираемого труда;

) общая ориентировка в мире профессионального труда и выделение профессиональной цели-мечты;

) определение ближних профессиональных целей как этапов и путей к дальней цели;

) информирование о профессиях и специальностях, соответствующих профессиональных учебных заведениях и местах трудоустройства;

) представление о препятствиях, осложняющих достижение профессиональных целей, а так же знание своих достоинств, способствующих реализации намеченных планов и перспектив;

) наличие системы резервных вариантов выбора на случай неудачи по основному варианту самоопределения;

) начало практической реализации личной профессиональной перспективы и постоянная корректировка намеченных планов по принципу обратной связи [3, с. 31].

Близкими по смыслу к понятию «профессиональное самоопределение» являются «профессиональное становление» и «профессиональное развитие», основной сутью которого является закономерное изменение индивида и личности в ходе профессиональной деятельности. Профессиональное становление представляет собой процесс, включающий определенные этапы, стадии, каждая из которых характеризуется специфическими психофизиологическими и социально-психологическими особенностями, которые обеспечивают успешное осуществление профессиональной деятельности. Главной чертой понятия профессионального становления является нечто, что уже возникло, но еще не приобрело завершенного вида, формы [8, с. 11].

Профессиональное развитие - это процесс, который характеризуется количественными, качественными и структурными преобразованиями, обеспечивающими нормальное функционирование человека, как субъекта труда. Идентификация личности с профессией предполагает такое слияние жизни профессионала с его деятельностью, при котором приобретенные им типичные черты начинают проявляться во всех других сферах жизнедеятельности и определяют его отношение к действительности. Все рассмотренные выше определения процесса вхождения в профессиональную деятельность недостаточно учитывают активность самой личности. Понятие «профессиональное самоопределение» личности лишено этого недостатка, и, напротив, акцентирует внимание на особом характере активности индивида в данном процессе [9, с. 37].

Исследование профессионального самоопределения осуществляется в рамках нескольких направлений, среди которых следует выделить социологическое (И.С. Кон [10]), профориентационное (Е.А. Климов [5], Н.С. Пряжников [3]), жизнедеятельностное (Л.И. Божович [4]), направление профессионального развития (Э.Ф. Зеер [11]). Большое внимание отечественных психологов уделяется анализу структуры профессионального самоопределения (Е.А. Климов [5]). Активно исследуются разнообразные факторы профессионального самоопределения (Л.И. Анциферова [12]).

Психологический подход обращает основное внимание на процесс самоопределения, на психологические механизмы процесса самоопределения, которые обуславливают вхождение в социальные структуры и сферы жизни и формируют определенное состояние самоопределения личности [13, с. 62].

С точки зрения социологического подхода самоопределение рассматривается по отношению к поколению в целом и характеризует его вхождение в определенные социальные структуры и сферы жизни и его стабилизацию в этих социальных структурах и сферах. Критериями самоопределения являются включения в те или иные сферы жизни, а жизненные события, такие, как поступление в высшее учебное заведение, поступление на работу, вступление в брак и т.д., которые фиксируют эти включения и с социологической точки зрения, являются этапами самоопределения [14, с. 24].

С точки зрения профессионального развития процесс профессионального самоопределения охватывает длительный период жизни человека - от появления зачатков профессиональных интересов и склонностей в детском возрасте до окончательного утверждения в избранной сфере профессиональной деятельности в годы зрелости. На протяжении этого периода происходит не только собственно профессиональное, но и социальное, а вместе с тем и жизненное самоопределение личности. В понятии самоопределения, которое получило широкое распространение в социологической литературе, подчеркнут тот важный момент понимания проблемы развития личности, который связан с ее самостоятельным выбором профессионального и жизненного пути. Действительно, на личность воздействует столь широкий спектр различных, нередко противоположных по направленности факторов внешней среды, что только при условии активного освоения и осмысления всех этих влияний возможен выбор профессионального и жизненного пути, соответствующий потребностям и интересам личности. Самоопределение предполагает акцент на самодетерминации личности, в которой ключевую позицию занимает детерминация будущим - жизненными целями, планами и ориентациями [15, с. 58].

А. Маслоу предложил концепцию профессионального развития и выделил в качестве центрального понятия самоактуализацию как стремление человека совершенствоваться, выражать, проявлять себя в значимом для него деле. В его концепции близкими к понятию «самоопределение» являются такие понятия как «самоактуализация», «самореализация» и «самоосуществление» [16, с. 30].

Решение о выборе профессии принимается в течение нескольких лет, проходя ряд стадий. На стадии фантастического выбора (до 11 лет) ребёнок, размышляя о будущем, ещё не умеет связывать цели и средства. Первичный выбор производится в условиях малодифференцированного представления о профессиях, при отсутствии выраженных интересов и склонностей. По мере интеллектуального развития подросток или юноша всё больше интересуется условиями реальности, но ещё не уверен в своих способностях - стадия пробного выбора (до 16-19 лет). Из множества вариантов постепенно выделяются несколько наиболее реальных и приемлемых вариантов, между которыми и предстоит выбирать. Стадия реалистического выбора (после 19 лет) включает обсуждение вопросов с осведомлёнными лицами, осознание возможности конфликта между способностями, ценностями и объективными условиями реального мира [17, с. 21].

В.С. Мухина отмечает, что младшие школьники имеют дело в основном с настоящим, с тем, что существует «здесь и сейчас», представления подростка распространяются на сферу возможного будущего. Объектом самых важных его размышлений становятся будущие возможности, связанный с ними личный выбор профессии, ориентировка на супружество, стремление научиться взаимодействовать с социальными группами, такими как семья, друзья, профессиональные и прочие группы. Подросток живёт в настоящем времени, но для него большое значение имеют его прошлое и будущее - область предполагаемого. Мир его понятий и представлений переполнен неоформленными до конца теориями о самом себе и о жизни, планами на своё будущее и будущее общества [18, с. 415].

Г.С. Абрамова выделяет следующие особенности принятия решений о будущей профессии в юношеском и подростковом возрасте. Прежде всего, это необходимость прояснения для себя самого своей же собственной цели. Г.С. Абрамова констатирует, что нравственная цель вызывает огромную мобилизацию сил на долгое время. Конкретные цели таким свойством не обладают, после достижения их быстро наступает спад активности, чреватый депрессией и скукой [19, с. 517].

Таким образом, обобщая проведённый анализ сущности понятия «профессиональное самоопределение», выделим основные моменты этого процесса: профессиональное самоопределение - это избирательное отношение индивида к миру профессий в целом и к конкретной выбранной профессии. Ядром профессионального самоопределения является осознанный выбор профессии с учётом своих особенностей и возможностей, требований профессиональной деятельности и социально-экономических условий. Профессиональное самоопределение осуществляется в течение всей профессиональной жизни: личность постоянно рефлексирует, переосмысливает своё профессиональное бытие и самоутверждается в профессии. Профессиональное самоопределение является важной характеристикой социально-психологической зрелости личности, её потребности в самореализации и самоактуализации.

На основании обзора и анализа научной литературы в данной работе мы будем придерживаться следующего подхода к проблеме профессионального самоопределения, согласно которому профессиональное самоопределение рассматривается не только как конкретный выбор профессии, но как непрерывный процесс поиска смысла в выбираемой, осваиваемой и выполняемой профессиональной деятельности. При таком понимании профессиональное самоопределение - это процесс чередующихся выборов, каждый из которых рассматривается как важное жизненное событие, определяющее дальнейшие шаги на пути профессионального развития личности. Главная (идеальная) цель профессионального самоопределения - сформированная внутренняя готовность самостоятельно и осознанно планировать, корректировать и реализовывать перспективы своего развития (профессионального, жизненного и личностного). Профессиональное самоопределение - это многомерный и многоступенчатый процесс, в котором происходит выделение задач общества и формирование индивидуального стиля жизни, частью которой является профессиональная деятельность. В процессе профессионального самоопределения устанавливается баланс личных предпочтений и склонностей и существующей системы разделения труда.

.2 Факторы профессионального самоопределения старшеклассников из неблагополучных семей

Изучением факторов профессионального самоопределения старшеклассников занимались такие отечественные ученые, как Э.Ф. Зеер, Е.А. Климов, Н.С. Пряжников, Е.И. Головаха, Е.М. Иванова, Т.В. Кудрявцев, И.Ю. Кузнецов, В.Ф. Сафин, Ю.К. Стрелков, С.Н. Чистякова, В.Д. Шадриков, и др. Факторы профессионального самоопределения старшеклассников из неблагополучных семей описаны в научных исследованиях М.С. Ковалевич, А.М. Прихожан, Н.В. Чурило, Однако в результате анализа научной литературы мы пришли к выводу о недостаточной систематизации факторов, детерминирующих профессиональное самоопределение старшеклассников из неблагополучных семей, что позволило обосновать необходимость разработки данного вопроса.

По мнению Е.А. Климова, профессиональный выбор определяется следующими основными факторами: позиция старших, семьи; позиция сверстников; позиция школьного педагогического коллектива (учителя, классные руководители и т.д.); личные профессиональные и жизненные планы; способности и их проявления; притязание на общественное признание; информированность о той или иной профессиональной деятельности; склонности [5, с. 124]. Е.А. Климов предлагает модель «восьмиугольник основных факторов выбора профессии», которые характеризуют ситуацию профессионального самоопределения и определяют само качество профессиональных планов подростка:

) учет своих склонностей (по сравнению с интересами, склонности более устойчивы);

) учет способностей, внешних и внутренних возможностей;

) учет престижности выбираемой профессии;

) учет информированности о ней;

) учет позиции родителей;

) учет позиции одноклассников, друзей и сверстников;

) учет потребностей производства («рынка»);

) наличие личной профессиональной перспективы (ЛПП) - то есть определенной программы действий по выбору и достижению профессиональных целей [5, с. 128].

Н.С. Пряжников выделяет основные факторы, влияющие на выбор профессии, которые обычно объединяют в две группы: субъективные и объективные. К субъективным факторам относят интересы, способности, особенности темперамента и характера. К объективным факторам - уровень подготовки (успеваемости), состояние здоровья и информированность о мире профессий. К объективным факторам тесно примыкают социальные характеристики, например такие, как образовательный уровень родителей, социальное окружение и др. [3, с. 57].

Анализ исследований позволил выделить ряд факторов, влияющих на профессиональный выбор старшеклассников из неблагополучных семей ([20], [21], [22], [23] и др.). Рассмотрим их более подробно.

Позиция членов семьи. Часто семья является доминирующим фактором при выборе той или иной специальности. Семья может относиться уважительно или неуважительно к выбору специальности и учебного заведения. Методы влияния семьи на выбор могут быть самыми разными: от мягких (совет) до жестких (строгое указание с угрозами). Родители разными способами оказывают свое воздействие: прямое наследование профессии родителей, продолжение семейного бизнеса; родители оказывают влияние, обучая своей профессии; родители влияют на интересы и занятия детей с самого раннего возраста, поощряя или осуждая их интересы и увлечения, воздействуя своей семейной атмосферой; родители воздействуют своим примером; родители направляют, или ограничивают выбор своих детей, настаивая на продолжении или прекращении обучения, на определенной школе или вузе, определенной специализации (внутренние мотивы родителей могут быть при этом различны: неосознанное желание родителей осуществить свои профессиональные мечты через детей; неверие в возможности ребенка; материальные соображения; желание, чтобы ребенок достиг более высокого социального статуса и пр.); на выбор детей оказывает влияние также то, как родители оценивают тот или иной вид деятельности, определенные профессии. Когда уровень образования матери или профессиональный статус отца достаточно высоки, это способствует согласию детей с их мнением по поводу выбора профессии [20, с. 52].

Учебные заведения, представленные на территории проживания. Часто в небольших городах и тем более в сельской местности нет достаточного спектра учебных заведений, а, следовательно, и спектра тех специальностей, которые могли бы получать молодые люди. В такой ситуации родители выпускника должны решить вопрос о том, чтобы отправить его на обучение в то место, где выбор специальностей широк, либо сделать выбор из имеющихся альтернатив [21, с. 47].

Позиция друзей. Иногда выбор учебного заведения или специальности осуществляется «за компанию». Фактически большинство молодых людей согласуют свои профессиональные планы и с родителями, и с друзьями (под влиянием друзей могут за компанию идти в то или иное учебное профессиональное учреждение). 39% опрошенных отмечают, что на их профессиональный выбор оказали влияние учителя в старших классах. Но влияние родителей сильнее, чем влияние учителей [21, с. 48].

Престиж. Часто выпускники школ стремятся овладевать теми специальностями, которые являются модными. Но не всегда в них есть потребность на рынке труда той территории, на которой проживает человек. Престижность является важнейшим критерием профессионального выбора. Отличительной чертой престижности является степень уважения к данному объекту, а также влиянием человека, который овладел данным объектом или данной деятельностью. Влияние престижности на выбор профессии проявляется в том, что в основном молодой человек выбирает именно эту профессию не потому, что его привлекает трудовой процесс и его содержимое (он еще толком не знает, не прочувствовал всех достоинств и недостатков выбираемых профессий), молодой человек скорее выбирает определенный образ жизни, где профессия - это лишь одно из средств достижения определенного социального статуса. Именно этим и объясняется выбор многими подростками и молодыми людьми профессий типа юрист или экономист: сами по себе эти профессии вряд ли могут заинтересовать большинство молодых людей (работа с нормативными актами и финансовыми отчетами - это все-таки «на любителя»), но именно эти профессии пока еще позволяют человеку много зарабатывать и строить определенный, «богатый», «комфортный», а самое необходимое - «престижный» образ жизни.

У старшеклассника, который самоопределяется, есть риск ошибиться в своем выборе, когда меняется престижность профессий: ориентировался на престиж и «элитарность», а оказался среди так называемых неудачников, в массе огромного количества невостребованных специалистов. Всего лишь навести подростков на размышления о будущем - этого недостаточно. Надо снабдить их средством размышления над этими непростыми проблемами. А ведь эти проблемы, действительно, являются самыми сложными и важными, поскольку речь идет о социальном прогнозировании [22, с. 30].

Позиция учителей и школьных педагогов. Педагоги могут увидеть задатки и склонности школьника, но, к сожалению, не всегда ими даются профессиональные рекомендации.

Информированность. Наличие достаточного количества доступной для выпускников школ информации о структуре рынка труда той или иной территории, где планирует в дальнейшем работать выпускник школы (очень важна прогнозная информация о том, какова будет структура рынка труда на момент окончания учебного заведения) [22, с. 31].

Личная профессиональная перспектива является ментальной проекцией мотивационной сферы человека. Она представляет собой в разной мере осознанные надежды, планы, проекты, стремления, опасения, притязания, связанные с более или менее отдаленным профессиональным будущим. Личная профессиональная перспектива формируется через интериоризацию ценностных установок родителей, их ожиданий в отношении данного ребенка, через усвоение обшекультурных, социальных паттернов, наконец, через развитие всей мотивационной сферы. Сформировавшись таким образом, личная профессиональная перспектива приобретает собственную побудительную силу, оказывая мощное обратное влияние на развитие личности человека. Обычно лишь в подростковом или даже юношеском возрасте человек начинает не только задумываться, но и самостоятельно выстраивать свою перспективу будущего, формулировать собственные планы, намерения, выбирать, кем и каким ему быть в будущем. Но и эта чрезвычайно важная работа делается обычно урывками, не систематически, от случая к случаю, становясь часто в результате не просто бесполезной, но и вредной, поскольку приобретает форму пустых, бездейственных фантазий [23, с. 130].

Способности, склонности. Наличие особых задатков и особенностей личности, которые помогают ей в той или иной деятельности наиболее эффективно справляться с поставленными задачами, порождает особый интерес к деятельности. Важное значение имеет уровень умственных способностей. Важным фактором профессионального выбора являются умственные способности, уровень интеллекта молодого человека, который определяет его способность принимать решения. Многие юноши делают нереалистические выборы, мечтают о высокопрестижных профессиях, для которых у них нет необходимых данных. Способность человека достичь успеха в выбранной работе зависит от уровня его интеллекта. Ряд специалистов считают, что для каждой профессии существуют свои критические параметры интеллекта, поэтому люди с более низким интеллектом успешно справиться с данной профессией не смогут. Но высокий коэффициент интеллекта еще не гарантия профессионального успеха. Интерес, мотивация, другие способности и личные качества определяет его успех не в меньшей степени, чем интеллект. Различные профессии требуют специфических способностей. Наличие определенных способностей может оказаться решающим фактором для достижения быстрого успеха в избранной сфере деятельности, дает возможность получить хорошие результаты после соответствующего обучения и приобретения необходимого опыта [23, с. 131].

Полоролевые стереотипы. На выбор молодыми людьми специальности в значительной степени влияют ожидания общества по поводу того, какую работу должны осуществлять мужчины, а какую - женщины. Полоролевые стереотипы могут способствовать тому, что юноши проявляют больший интерес к научно-техническим дисциплинам, а девушки более склонны к сфере искусства или обслуживания.

Структура интересов старшеклассника. Интерес является еще одним важным фактором успеха в профессиональной деятельности. Вероятность успеха при прочих равных условиях выше у тех из начинающих свою карьеру работников, чьи интересы в большей степени подобны интересам тех, кто уже добился признания в данной области. На этом основано тестирование интереса к профессии: для предсказания успеха оценивается сходство групп интересов тестируемых с интересами людей, добившихся успеха в какой-либо области. С интересом к избранной области должны сочетаться и интеллект, и способности, и возможности, и другие факторы. Например, заинтересованность в той или иной деятельности еще не означает, что существуют вакансии, позволяющие ею заниматься, т.е. наличие интереса и свободных рабочих мест не всегда совпадают. В условиях рыночной экономики необходимо учитывать социально-экономический спрос на ту или иную профессию, реальные возможности обучения и трудоустройства по данной профессии, ее материальную и социальную значимость [23, с. 132].

Как правило, перечисленные факторы влияют на выбор будущей специальности примерно в той последовательности, в которой они перечислены. То есть чем выше расположен фактор, тем большую силу он имеет.

На основании данных ряда исследований Н.В. Чурило выделила две основные модели выбора профессии старшеклассниками из неблагополучных семей:

) обоснованное самоопределение - рациональный выбор на основе индивидуальной, предрасположенности к профессии и ориентации на ее реальную востребованность со стороны общества;

) «мнимое» самоопределение, при котором собственная активность личности при выборе профессии подменяется некритичным принятием господствующих в общественном мнении ценностей отдельных профессий [24, с. 65].

Причем у старшеклассников из неблагополучных семей доминирует вторая модель самоопределения. Старшеклассники из неблагополучных семей, не ощущая помощи со стороны семьи в самоопределении, выбирают будущую профессию самостоятельно. Не имея соответствующих навыков самоопределения, они ориентируются при данном выборе на ценности, связанные со стремлением к достатку и карьере. При этом многие из них считают, что именно к таким профессиям у них есть способности, не имея четкой информации о требованиях профессии к личности, содержании и условиях труда. Такая «спекуляция» ценностями индивидуальности создает иллюзию самоопределения у молодежи [24, с. 66].

М.С. Ковалевич, проанализировав состояние самоопределения старшеклассников из неблагополучных семей, пришла к выводу о том, что данный процесс в настоящее время носит неорганизованный характер. В сознании старшеклассников сочетаются ориентация на высокую доходность выбираемой профессии, и мнение о наличии способностей к занятию именно ей. Это указывает на необходимость поиска эффективных способов оказания помощи молодым людям в обоснованном выборе соответствующей целому ряду требований (как личности, так и общества) профессиональной деятельности [25, с. 21].

Таким образом, основными факторами профессионального самоопределения старшеклассников из неблагополучных семей являются мнение родственников, позиция друзей, товарищей, наличие того или иного учебного заведения в населенном пункте. При этом личные профессиональные планы старшеклассников из неблагополучных семей, его способности и склонности часто не учитываются при выборе специальности. Способности, склонности и личностные профессиональные планы стоят в этом списке на последних местах. На первых местах стоят мнение окружающих и вынужденная необходимость (отсутствие учебного заведения или необходимой специальности).

1.3 Социальные последствия деформаций профессионального самоопределения старшеклассников из неблагополучных семей

Воспитание в условиях неблагополучной семьи оказывает определенное влияние на процесс социального развития старшеклассника, в рамках которого и осуществляется процесс профессионального самоопределения. Профессиональный выбор старшеклассника опосредован влиянием фактора семейного воспитания в условиях семейного неблагополучия.

По определению В.М. Целуйко, неблагополучная семья - это такая семья, в которой нарушена структура, обесцениваются или игнорируются основные семейные функции, имеются явные или скрытые дефекты воспитания, в результате чего дети, воспитывающиеся в ней, попадают в категорию «трудных» [23, с. 57].

Согласно классификации В.М. Целуйко, неблагополучные семьи можно условно разделить на три группы:

) семьи с открытой формой неблагополучия: асоциальные (в том числе - с алкогольной либо наркотической зависимостью), конфликтные, аморально-криминальные, неполные (семьи с недостатком воспитательных ресурсов);

) семьи со скрытой формой неблагополучия: внутренне неблагополучные семьи («недоверчивая» семья, «легкомысленная» семья, «хитрая» семья); семьи, ориентированные на успех ребёнка; «псевдовзаимные» и «псевдовраждебные»; семьи известных людей; семьи состоятельных людей;

) пограничные семьи: семьи с недееспособными членами (в том числе с родителями-инвалидами, хронически больными взрослыми, хронически больными детьми и детьми-инвалидами), семьи с нарушением структуры семейных ролей [23, с. 58].

Деформации профессионального самоопределения - это нарушения процесса выбора профессии, приводящие к неправильному выбору профессии, не соответствующему интересам, способностям личности, а также потребностям рынка труда [26, с. 25].

Деформации профессионального самоопределения проявляются следующим образом:

) рассогласование идеального и реального образа профессии и самооценки: «Я-реального», «Я-возможного» и «Я-деформированного»;

) несоответствие профессиональной квалификации уровню притязаний в области карьеры, материального и морального поощрения;

) неправильный, вынужденный выбор профессии, места работы и должности;

) противоречия между осознаваемыми и неосознаваемыми составляющими профессионального сознания [27, с. 8].

Причины деформаций профессионального самоопределения старшеклассников:

) одной из причин деформаций профессионального самоопределения старшеклассников является отсутствие адекватных экономических представлений у современных школьников, некомпетентность в области предпринимательской и управленческой деятельности;

) серьезной общественной проблемой является предубеждение учеников и их родителей в отношении престижности профессий, основанное на стереотипах. Часто следствием этого становится низкая культура труда в непрестижных профессиях;

) недостаточное внимание к проблемам развития системы самоопределения личности при выборе профессии со стороны общества приводит к обострению противоречия между информированностью школьников о мире профессий и теми реальными требованиями, которые предъявляет к работнику современный рынок труда. Огромный информационный поток зачастую не только не помогает старшекласснику при выборе профессии, но и приводит его в состояние растерянности, неопределенности [28, с. 15].

Все это говорит о том, что проблему выбора профессии нельзя рассматривать отдельно, вне контекста формирования гражданской позиции личности, развития целостной системы социальных представлений, картины мира у молодого поколения.

В процессе профессионального становления личности постоянно возникают проблемы самоопределения: при выборе профессионального учебного заведения, профессии, специальности, при включении в профессиональный коллектив и т.п. - и всегда самоопределение принимает характер конфликта, который становится основой кризисных явлений [28, с. 16].

Выбор профессии не является сугубо личным делом отдельного ученика и его родителей. Выделяются следующие социально-экономические последствия деформаций профессионального самоопределения старшеклассников для общества в целом: низкая производительность труда, производственный брак, нехватка кадров в отдельных отраслях, травматизм, низкий профессионализм, снижение роста благосостоянии, моральная составляющая - неудовлетворенность, стресс, фрустрация. В целом деформации профессионального самоопределения старшеклассников ведут к экономическому и морально-нравственному обеднению общества [29, с. 36].

Для личности также существуют печальные последствия деформаций профессионального самоопределения старшеклассников. Это невыполнение норм выработки, должностных обязанностей, выпуск брака, чрезмерное утомление, ухудшение здоровья, травматизм, замедление профессионального роста, так как человек не может реализовать свои способности, частая смена мест работы, отсев на первых курсах учебных заведений, чувство неудовлетворенности, разочарование, психические расстройства [30, с. 38].

Деформации профессионального самоопределения старшеклассников приводят к формированию внутриличностного конфликта. Сторонами внутриличностного конфликта самоопределения являются различные составляющие структуры личности. Можно выделить конфликты, обусловленные следующими факторами:

) рассогласованием составляющих направленности: противоречиями между социально-профессиональными экспектациями и профессиональной действительностью, между мотивами профессионального роста, успеха и материального благополучия, между высоким уровнем притязаний (самооценки) и самоуважением, между неосознаваемыми мотивами (стремление к власти, подчинению) и ценностными ориентациями и др.;

) несовпадением характера профессиональной деятельности и уровня профессиональной компетентности, порождающим внутриличностные конфликты между осознанной необходимостью в повышении квалификации и недостаточной профессиональной активностью, между неудовлетворенностью содержанием труда и нежеланием сменить профессию, между отсутствием перспектив карьеры и уровнем профессиональной компетентности и др.;

) противоречием между направленностью личности на достижение успеха, карьеру, высокие материальные блага и недостаточным уровнем развития социально-профессиональных способностей, качеств, психофизиологических свойств, состоянием здоровья и др.;

) несовпадением представления о своих профессиональных достоинствах и реальных профессиональных возможностей: противоречиями между «Я-возможным» и «Я-реальным», между «Я-идеальным» и «Я-деформированным». Важнейшим конфликтообразующим фактором выступает мотив соответствия самому себе. Этот мотив связан с самооценкой и обеспечивает непротиворечивость «Я-образов»;

) противоречиями между профессиональными возможностями, потенциалом, способностями и социальными ограничениями, обусловленными возрастом, полом, этнической принадлежностью, внешностью; между необходимостью профессиональной мобильности и отчетливо выраженной возрастной ригидностью; между потребностью в продолжении профессиональной карьеры и вынужденным уходом на пенсию и др. [31, с. 5].

Первая группа противоречий характерна для лиц, находящихся на стадии оптации, вторая проявляется на стадиях профессиональной подготовки и профадаптации, третья и четвертая - на стадиях профессионализации и мастерства, пятая группа порождает конфликты на завершающей стадии профессионального становления [31, с. 6].

Внутриличностные конфликты, в отличие от межличностных, человеком не всегда осознаются. Как правило, они проявляются в виде астенических эмоциональных переживаний, подавленного настроения, фрустрации, повышенной раздражительности, агрессивности, тревожности и др. Симптомы эмоционального неблагополучия побуждают человека к поиску путей снятия психического напряжения. Разрешение внутриличностного конфликта профессионального самоопределения требует высокой психологической компетентности и не всегда под силу самому человеку. Психологическую помощь и поддержку в разрешении этих конфликтов может оказать специально подготовленный практический психолог. Способы разрешения внутриличностных конфликтов зависят от характера противоречий, рассогласований, возникающих в процессе профессионального развития человека.

Преодоление внутриличностных конфликтов профессионального самоопределения возможно путем развития психологической компетентности, разработки альтернативных сценариев профессиональной жизни, повышения профессиональной активности, создания оптимистической профессиональной перспективы, усиления «авторства» своей профессиональной жизни, определения новых смыслов профессиональной деятельности, согласования амбивалентных установок и отношений, постоянного повышения своей квалификации, снижения уровня притязаний, самосохранения профессиональной целостности личности, предвидения возможных трудностей и потерь вынужденного увольнения или смены профессии, предупреждения возможных деформаций, кризисов и др. [32, с. 18].

В современном белорусском обществе создалась стихийная система поиска молодежью ценностей, ориентирующих их профессиональный выбор, что приводит к возникновению неудовлетворенности личности уже на этапе получения профессионального образования и далее в процессе работы по специальности, что отражается на результатах труда. Недостаточный социальный опыт, и отсутствие помощи в самоопределении при выборе профессии не позволяет молодым людям чувствовать себя уверенными при вхождении во взрослую жизнь. Они дезориентированы в своих целях, склонны к социальной апатии, им легче следовать внешним декларируемым ценностям и целям; которые часто оказываются идеями пиар-кампаний и рекламы. На современном, рынке образовательных услуг рекламируемые программы повышения квалификации в основном покрывают направления бизнес-администрирования и финансов. Соответственно, те, кто эти услуги предоставляют, внедряют в медиа-пространство идеи о востребованности данных профессий, которые передаются не только целевой аудитории (профессионалам), но и подросткам, только планирующим получать будущую профессию. Кроме того, в современных условиях рыночной экономики существенно сократилось производство отечественных товаров, и снизилась ценность работников данной производственной сферы. Увеличение сегмента продаж импортных товаров, а также развитие сферы услуг обусловили ценность работников, занимающихся их распространением. В итоге, при перенасыщенности рынка труда экономистами, менеджерами старшеклассники и абитуриенты, не имея информации о реально востребованных на рынке труда профессиях, продолжают выбирать эти направления высшего образования [27, с. 8].

Ситуацию также осложняет наличие у молодежи стереотипа, удачно сочетающегося, с приоритетом материальных ценностей, о том, что для того чтобы добиться успехов в карьере направление первого (основного) высшего образования не имеет большого значения. Этот стереотип отчасти связан с тем, что краткие биографические справки, о многих известных топ-менеджерах, бизнесменах озвучиваются в СМИ, в Интернете. Их высшее образование часто не связано с той сферой деятельности, в, которой они добились, карьерных успехов (историки, философы занимаются продажами, маркетингом; инженеры - туристическим бизнесом). Ценность высшего образования как одного из основных элементов профессионального самоопределения, таким образом; нивелируется.

Продолжение образования после школы старшеклассники часто не связывают непосредственно, с получением будущей профессии. Большинство из них ориентированы на получение образования, считающегося престижным, либо на получение любого бесплатного высшего образования, что связано с потребностью многих молодых людей в «универсальном высшем образовании», дающем некие универсальные навыки (менеджмент, коммуникативные навыки, иностранные языки), которые впоследствии позволят выбирать сферу деятельности из целого ряда профессий. Тем самым старшеклассники как бы отодвигают еще на несколько лет момент выбора ими своей будущей профессии, так как на этапе окончания школы и поступления в учреждения профессионального образования у них нет необходимых для этого навыков самоопределения, достаточной информации о рынке труда и мире профессий [6, с. 78].

Таким образом, недостаточное внимание к проблемам развития системы самоопределения личности при выборе профессии со стороны общества, государства приводит к обострению противоречия между информированностью школьников о мире профессий и теми реальными требованиями, которые предъявляет к работнику современный рынок труда.

В современной школе основной акцент в учебном процессе ставится на подготовку к тестированию и профилизацию образования, которую сами педагоги сводят лишь к углубленному изучению профильных предметов, не учитывая функцию профориентации. Исследование показало наличие противоречия между созданием целостной системы профильного обучения с элементом профориентации и реальным содержанием учебных занятий в профильных классах.

Сегодня в системе образования, таким образом, произошли некие функционально-ценностные изменения, когда школьное (общее) образование сделалось профилизированным (в направлении предметов для сдачи тестирования), а высшее образование стремится к универсальности («гибкий специалист»). С этим отчасти связаны падение популярности техникумов, средне-специальных учебных заведений (у них есть конкретная профессиональная направленность) и трудности в выборе профессии молодежью.

Родители, осознавая необходимость выбора своими детьми профессии, соответствующей способностям, ориентируют их на освоение высокооплачиваемых профессий. Мотивы старшего поколения связаны с представлением о материальной основе жизни, как необходимой для реализации основных социальных потребностей человека (образование, здравоохранение, досуг и т.п.). Другая причина связана с отсутствием у родителей знаний о способах целенаправленного развития навыков самоопределения у детей при выборе ими профессии. Родители нуждаются в помощи школы, других государственных структур, но таковую не получают, так как в условиях рыночной экономики исчезли те организации, которые прежде целенаправленно занимались профориентацией, а новые не возникли. Бизнес в настоящее время не занимается в систематической форме работой с теми, кто может прийти после окончания школы, учреждения профессионального образования на производство [6, с. 80].

Таким образом, социальные последствия деформаций профессионального самоопределения старшеклассников сводятся к невыполнению норм выработки, должностных обязанностей, выпуску брака, производственному травматизму, замедлению профессионального роста, так как человек не может реализовать свои способности, частая смена мест работы. Деформации профессиональнго самоопределения неизбежно порождают столкновение различных целей, интересов, позиций, несовпадение потребностей в самоосуществлении и реальных возможностей, противоречия между «Я-реальным», «Я-отраженным» и «Я-возможным». Преодоление деформаций профессионального самоопределения старшеклассников, как правило, требует помощи психолога. В дипломной работе мы будем опираться на классификацию В.М. Целуйко при выделении различных групп неблагополучных семей.

1.4 Психолого-педагогическое сопровождение процесса выбора профессии старшеклассниками из неблагополучных семей

Психологическое сопровождение - это система организационных, диагностических, обучающих и развивающих мероприятий для педагогов, учащихся, администрации и родителей, направленных на создание оптимальных условий развития и обучения. Сущностной характеристикой психологического сопровождения является создание условий для перехода личности и (или) семьи к самопомощи. Условно можно сказать, что в процессе психологического сопровождения специалист создает условия и оказывает необходимую и достаточную (но ни в коем случае не избыточную) поддержку для перехода от позиции «я не могу» к позиции «я могу сам справляться со своими жизненными трудностями» [33, с. 12].

Согласно подходу Р.В. Краснощекова, психологическое сопровождение - это особая форма осуществления пролонгированной социальной и психологической помощи - патронажа. В отличие от коррекции оно предполагает не «исправление недостатков и переделку», а поиск скрытых ресурсов развития человека или семьи, опору на его (её) собственные возможности и создание на этой основе психологических условий для восстановления связей с миром людей. Психологическое сопровождение - это во-первых, один из видов социального патронажа как целостной и комплексной системы социальной поддержки и психологической помощи, осуществляемой в рамках деятельности социально-психологических служб; во-вторых, интегративная технология, сердцевина которой - создание условий для восстановления потенциала развития и саморазвития семьи и личности и в результате - эффективного выполнения отдельным человеком или семьей своих основных функций; в-третьих, процесс особого рода бытийных отношений между сопровождающим и теми, кто нуждается в помощи [34, с. 18].

Согласно подходу М.М. Врублевской, в качестве основных характеристик психологического сопровождения выступают его процессуальность, пролонгированность, недирективность, погруженность в реальную повседневную жизнь человека или семьи, особые отношения между участниками этого процесса, что в психоанализе называется «положительный перенос». Главными принципами психологического сопровождения являются гуманное отношение к личности и вера в ее силы; квалифицированная помощь и поддержка естественного развития психологическое сопровождение. Психологическая работа с учащимися призвана развить у них интегральные характеристики личности, создать возможность продуктивного решения центральных задач возраста, психологически грамотно ввести школьников в смысл, назначение, ценности, содержание разных типов профессиональной деятельности и способствовать превращению учащегося из объекта педагогических воздействий в субъект общего и профессионального образования, а значит, обеспечить условия личностного и профессионального развития личности на всех этапах жизненного пути [35, с. 14].

Психологическое сопровождение может реализовываться по различным направлениям деятельности практического психолога. При работе с учащимися старших классов психологическое сопровождение в основном реализуется в рамках профориентационной работы со старшеклассниками. Профориентация - это научно обоснованная система подготовки молодежи к свободному и самостоятельному выбору профессии, призванная учитывать как индивидуальные особенности каждой личности, так и необходимость полноценного распределения трудовых ресурсов в интересах общества [35, с. 17].

Психологическое сопровождение в рамках профориентационной работы педагога-психолога со старшеклассниками из неблагополучных семей включает в себя деятельность по следующим направлениям:

) профессиональное просвещение, включающее профинформацию, профпропаганду и профагитацию;

) предварительная профессиональная диагностика, направленная на выявление интересов и способностей личности к той или иной профессии;

) профессиональная консультация, нацеленная в основном на оказание индивидуальной помощи в выборе профессии со стороны специалистов-профконсультантов;

) профессиональный отбор (подбор) с целью выбора лиц, которые с наибольшей вероятностью смогут успешно освоить данную профессию и выполнять связанные с нею трудовые обязанности;

) социально-профессиональная адаптация;

) профессиональное воспитание, которое ставит своей целью формирование у учащихся чувства долга, ответственности, профессиональной чести и достоинства [36, с. 235].

Условно Н.С. Пряжников выделяет следующие основные группы задач профессионального самоопределения: информационно-справочные, просветительские, диагностические (в идеале - помощь в самопознании), морально-эмоциональная поддержка клиента, помощь в выборе, в принятии решения. Каждая из этих задач может решаться на разных уровнях сложности. Во-первых, проблема может решаться «вместо» клиента (клиент занимает пассивную позицию и ещё не является «субъектом» выбора. Во-вторых, проблема может решаться «вместе» (совместно) с клиентом - диалог, взаимодействие, сотрудничество, к которому ещё надо прийти. В-третьих, постепенное формирование у клиента готовности самостоятельно решать свои проблемы (клиент становится подлинным субъектом). Например, при решении информационно-справочной задачи на первом уровне клиенту просто сообщается нужная информация, на втором уровне - психолог вместе с клиентом анализирует определённую информацию, на третьем уровне - психолог объясняет клиенту, как самостоятельно получить необходимую информацию (куда обращаться, какие задавать вопросы) [3, с. 18].

Главная (идеальная) цель профессионального самоопределения - постепенно сформировать у клиента внутреннюю готовность самостоятельно и осознанно планировать, корректировать и реализовывать перспективы своего развития (профессионального, жизненного и личностного). Идеальной данную цель Н.С. Пряжников называет потому, что достичь её удаётся очень редко, но идеалы, как известно, существуют не для того, чтобы их достигать, а для того, чтобы указывать направление своих стремлений [3, с. 26].

Психологическое сопровождение в рамках профориентационной работы педагога-психолога включает в себя работу со старшеклассниками, их родителями и педагогами. Рассмотрим данные направления деятельности более подробно.

Психологическая профориентационная работа со старшеклассниками. Можно выделить следующие направления работы педагога-психолога: проведение информационно-просветительской работы, направленной на развитие психологической культуры учащихся старших классов, углубление их знаний по психологии; проведение индивидуальных консультаций, предусматривающих диагностику, коррекцию и собственно консультацию [37, с. 90].

Работа по профпросвещению включает в себя профинформацию, профпропаганду и профагитацию. Знания о профессиях учащиеся получают не только в школе. Источниками знаний по этому вопросу служат средства массовой информации, родственники, знакомые. При этом сведения о содержании профессии и их значимости иногда могут быть даны не всегда верно, вследствие чего возможно создание картины неоправданной привлекательности одних профессий и атмосферы недоброжелательности к другим.

Планировать работу по профессиональному просвещению в школе, в частности по профпропаганде и последующей профагитации, следует в соответствии с предварительной профдиагностикой. Только на основе такого подхода можно проводить соответствующую работу со школьниками, направленную на формирование сознательного отношения к выбору профессии. Исходя из того, что профпросвещение - процесс активный, следует больше опираться на такие методы работы, которые требуют непосредственного участия школьников в самом процессе получения информации. Чтобы работа по профпросвещению имела положительные результаты, она должна проводиться умело и с большим педагогическим тактом. Главный принцип, которым следует руководствоваться в работе по профпросвещению, - связь его с жизнью. Составной частью профпросвещения является профпропаганда, а основными формами ее проведения - встречи с представителями различных профессий, лекции о различных отраслях народного хозяйства, производствах и профессиях [37, с. 91].

Необходимым компонентом профориентационой работы со старшеклассниками является проведение индивидуальных консультаций, предусматривающих диагностику, коррекцию и собственно консультацию. Педагог-психолог может на основе диагностики психологических проблем помочь человеку в совершении профессионального выбора, или обеспечить предпосылки к совершению этого выбора в будущем. Для решения психологических проблем в профессиональном самоопределении личности недостаточно дать рекомендации о том, какая профессия подходит, а какая не подходит индивиду. Педагог-психолог должен обеспечить условия, стимулирующие рост человека, в результате чего консультируемый сам мог бы взять на себя ответственность за тот или иной профессиональный выбор.

Для диагностики психологических проблем, связанных с профессиональным самоопределением, иногда бывает достаточно беседы психолога с консультируемым, но в большинстве случаев требуется проведение комплексного диагностического обследования с помощью психологических методик, позволяющих определить: ценностные ориентации и установки; ближайшие и перспективные жизненные планы и профессиональные намерения; уровень сформированности представлений о профессии; уровень развития самооценки; способности, склонности и интересы; уровень развития профессиональной мотивации; личностные особенности; реальные жизненные условия (семейные отношения, здоровье, материальное обеспечение).

Информации, полученной в результате такого комплексного обследования, как правило, бывает достаточно, чтобы определить специфику психологических проблем данного индивида. Иногда предварительная беседа с консультируемым позволяет ограничить круг необходимых диагностических методик для выявления предполагаемой психологической проблемы. Здесь важным является наблюдение за поведением консультируемого во время общения и обследования (что ему интересно, что неинтересно, что трудно, что непонятно, в чем проявляется его познавательная активность, эмоциональное отношение, отказы) [25, с. 21].

Психологическая профориентационная работа с родителями. Построить работу со старшеклассниками в рамках профориентации без участия родителей невозможно. В большинстве случаев именно родители оказывают наибольшее влияние на принятие ими решения о выборе профессии. Для этого у родителей есть разные механизмы: убеждение, собственный пример, принуждение, семейные традиции и мифы. Во-вторых родители принимают ответственность за профессиональный выбор ребенка, в том числе и финансовую [38, с. 67].

Методы работы с родителями могут быть самыми разнообразными: проведение различных тематических занятий, направленных на осознание родителями собственного влияния на будущий профессиональный выбор старшего школьника; организация Дня профессии, где родители смогут рассказать о своей профессиональной деятельности ребятам; консультирование и разработка совместно с родителями возможных профессиональных образовательных маршрутов ребенка.

Психологическая профориентационная работа с педагогами. Так как эта работа проводится в рамках школьного пространства, ее невозможно организовать без поддержки и заинтересованности педагогов, которые могут не только организовывать данную деятельность, но и оказывать информационную поддержку. Кто лучше педагога знает способности ребенка, его сильные и слабые стороны, особенности его поведения. Если обратиться к любому классному руководителю, он без труда расскажет о том, кто из его учеников уже выбрал профессию, кто уходит из школы, а с кем из учащихся вообще непонятно, что делать. Участие классного руководителя и педагогов-предметников в такой работе необходимо, так как невозможно организовать психологическую профориентационную работу отдельно от процессов, происходящих в школьной жизни старшеклассников. Здесь методами могут стать тематические семинары, совместные психолого-педагогические консилиумы, индивидуальные консультации.

Психологическое сопровождение в рамках профориентационной работы педагога-психолога со старшеклассниками из неблагополучных семей предполагает использование различных групп профориентационных методов в соответствии с основными задачами профориентации [39, с. 57]. Рассмотрим их более подробно.

Информационно-справочные, просветительские методы. При использовании данных методов педагоги-психологи используют: профессиограммы - краткие описания профессий; справочную литературу; информационно-поисковые системы; профессиональную рекламу и агитацию; экскурсии школьников на предприятия и в учебные заведения; встречи школьников со специалистами по различным профессиям; познавательные и просветительские лекции о путях решения проблем самоопределения; профориентационные уроки со школьниками как система занятий; учебные фильмы и кинофильмы; использование средств массовой информации (СМИ).

Методы профессиональной психодиагностики: беседы-интервью закрытого типа; открытые беседы-интервью; опросники профессиональной мотивации; опросники профессиональных способностей; «личностные» опросники; проективные личностные тесты; методы наблюдения; сбор косвенной информации об учащемся от знакомых, от родителей и товарищей, от педагогов и других специалистов; психофизиологические обследования, «профессиональные пробы» в специально организованном учебном процессе; использование различных игровых и тренинговых ситуаций, где моделируются различные аспекты профессиональной деятельности [39, с. 58].

Методы морально-эмоциональной поддержки старшеклассников: группы общения (в профориентации чаще используются для создания благоприятной атмосферы взаимодействия); тренинги общения (иногда позволяют клиентам освоить некоторые коммуникативные навыки поведения при приеме на работу, на экзаменах и при различных деловых контактах); сложные методы индивидуальной и групповой психотерапии (НЛП, гештальтгруппы, логотерапия и др.); профориентационные и профконсультационные активизирующие методы (игры) с элементами психотренинга; различные положительные (успешные) примеры самоопределения, на которые может ссылаться профконсультант для повышения уверенности старшеклассников в принципиальной возможности разрешения своих проблем; «праздники труда», повышающие престиж конкретных профессий [39, с. 59].

Методы оказания помощи в конкретном выборе и принятии решения: построение «цепочки» основных ходов (последовательных действий), обеспечивающих реализацию намеченных целей и перспектив, позволяющих наглядно (на бумаге) представить старшекласснику и самому психологу возможные жизненные перспективы (траектории) самоопределяющегося человека; построение системы различных вариантов действий старшеклассников (в виде своеобразных «деревьев» и «ветвей»), ведущих к определенной цели, позволяющих выделить наиболее оптимальные варианты профессиональных перспектив (траекторий); использование различных схем альтернативного выбора из уже имеющихся вариантов выбора профессии, учебного заведения или специальности в конкретном заведении (обычно используются на заключительных этапах консультации) [39, с. 60].

Профориентационное консультирование. Данный метод работы психолога прежде всего помогает старшекласснику увидеть и осознать свои проблемы, стимулирует развитие личности, очерчивает зону возможных действий для разрешения проблем, высвечивает сильные и слабые стороны индивидуальности, намечает реальные шаги к успеху. Важнейшим моментом профессионального консультирования является поиск индивидуального воздействия, адекватного конкретной психологической проблеме каждого учащегося [39, с. 61].

Подводя итог, можно сформулировать следующие выводы. Психологическое сопровождение в рамках профориентационной работы педагога-психолога со старшеклассниками предполагает использование следующих основных групп профориентационных методов в соответствии с основными задачами профориентации: информационно-справочные, диагностические, методы морально-эмоциональной поддержки клиента, методы принятия решения и построения перспектив профессионального развития клиента. Также используют методы профессионального консультирования. Знание и владение этими методами во многом обеспечивают эффективность профессионального самоопределения старшеклассников. Своевременная помощь педагога-психолога, оказанная школьнику в выборе профессии, не только помогает ему организовать непосредственно учебную деятельность (когда он осознанно изучает школьные предметы, которые могут ему пригодиться в будущей взрослой трудовой жизни), но и привносит элементы спокойствия в отношение старшего школьника к своему будущему. Такая работа побуждает школьника задуматься о себе, о своем будущем, дает толчок к активизации самопознания, способствует профессиональному самоопределению личности. Психологическая профориентационная работа в школе должна быть организована на трех уровнях: со старшеклассниками, которые находятся в поисках собственной идентичности; с родителями, которые воспитывают их; с педагогами, которые знают способности ребенка, его сильные и слабые стороны, особенности его поведения.

2. Экспериментальное исследование особенностей профессионального самоопределения старшеклассников из неблагополучных семей

2.1 Характеристика методик исследования

Цель исследования: выявить особенности профессионального самоопределения старшеклассников из неблагополучных семей.

В ходе исследования были поставлены следующие задачи:

- определить профессиональные предпочтения, факторы и мотивы выбора профессии у старшеклассников из неблагополучных и благополучных семей;

провести сравнительный анализ особенностей профессионального самоопределения у старшеклассников из двух типов семей;

разработать и внедрить программу коррекции деформаций профессионального самоопределения старшеклассников из неблагополучных семей.

Гипотеза исследования: существуют различия в особенностях профессионального самоопределения у старшеклассников из неблагополучных и благополучных семей; проведение социально-психологического тренинга способствует устранению деформаций профессионального самоопределения у старшеклассников из неблагополучных семей.

Выборку исследования составили 120 учащихся старшего школьного возраста общеобразовательных школ. Из них 60 старшеклассников воспитываются в неблагополучных семьях, 60 учащихся - в благополучных семьях.

В нашем исследовании мы будем опираться на классификацию В.М. Целуйко при выделении различных групп неблагополучных семей.

При проведении эмпирического исследования мы опирались на основные методологические принципы.

Принцип развития: профессиональное самоопределение необходимо рассматривать в его развитии, динамике. На разных возрастных этапах профессиональное самоопределение имеет различные особенности.

Принцип детерминизма: адекватно объяснить результаты, полученные в результате эксперимента можно только, выявив определённые закономерности, причины. В результате тестирования, анкетирования и беседы с педагогами были установлены причины профессионального выбора отдельных испытуемых.

Принцип системности: профессиональное самоопределение имеет системный характер, поэтому адекватное представление о данном феномене можно получить, лишь рассмотрев различные его аспекты. Профессиональное самоопределение должно рассматриваться в системе его компонентов, то есть не просто имеющее отдельные элементы, но и определённую организацию этих элементов, структуру. Поэтому в изучении профессионального самоопределения большую роль играет системный подход.

Принцип единства сознания и деятельности: профессиональное самоопределение можно адекватно охарактеризовать только изучив его проявления в деятельности, особенности этой деятельности, с другой стороны изменить поведение, деятельность человека можно только путём изменения его отношения, то есть сознания. Поэтому в данном исследовании большое значение имело проведение беседы с учащимися и с педагогами.

В качестве методов исследования применялись: тестирование, метод беседы с учащимися и педагогами, анкетирование учащихся.

Для достижения поставленной цели и задач исследования применялись следующие психодиагностические методики:

1 Методика «Исследование познавательных интересов в связи с задачами профессиональной ориентации». Автор А.Е. Голомшток. Для проведения исследования используются карта интересов - опросник, отражающий направленность интересов в 29 сферах деятельности, и бланк для ответов, представляющий собой матрицу из 6 строк и 29 колонок. Чем больше положительных ответов в каком-нибудь столбце, тем больше выражен у школьника интерес к данному роду занятий [40, с. 78].

2 Методика изучения статусов профессиональной идентичности (А.А. Азбель, А.Г. Грецов). Методика позволяет выявить уровень профессионального самоопределения. Можно выделить четыре уровня профессионального самоопределения и соответственно четыре статуса профессиональной идентичности, на которых человек находится в процессе профессионального самоопределения. Неопределенная профессиональная идентичность: выбор жизненного пути не сделан, четкие представления о карьере отсутствуют, но человек даже и не ставит перед собой такую задачу. Соответствует низкому уровню профессионального самоопределения. Навязанная профессиональная идентичность: человек имеет сформированные представления о своем профессиональном будущем, но они навязаны извне (например, родителями) и не являются результатом самостоятельного выбора. Соответствует уровню развития профессионального самоопределения ниже среднего. Мораторий (кризис выбора) профессиональной идентичности: человек осознает проблему выбора профессии и находится в процессе ее решения, но наиболее подходящий вариант еще не определен. Соответствует среднему уровню профессионального самоопределения. Сформированная профессиональная идентичность: профессиональные планы определены, что стало результатом осмысленного самостоятельного решения. Соответствует высокому уровню профессионального самоопределения [40, с. 98].

3 Методика изучения факторов привлекательности профессии. Методика впервые была предложена В.А. Ядовым. В данной работе использовался модифицированный вариант методики (модификация И. Кузьминой, А. Реана), который применяется во многих социально-педагогических и психолого-педагогических исследованиях. Методика позволяет выявить 11 факторов привлекательности профессии. По каждому из 11 факторов подсчитывается коэффициент значимости (КЗ). Коэффициент значимости определяется как:

КЗ= ( n - m )/ N ,

где: N - объем выборки (количество обследуемых), n - количество обследуемых, которые отметили данный фактор в колонке А, m - количество обследуемых, которые отметили данный фактор в колонке Б. Коэффициент значимости может изменяться в пределах от-1 до +1. Низкий коэффициент значимости фактора (близкий к нулю) нельзя автоматически трактовать как проявившуюся в данной выборке незначимость определенного фактора. Необходимо, прежде всего, оценить, каким образом этот низкий коэффициент получился. Совершенно ясно, что два невысоких коэффициента значимости хотя и равны между собой количественно, но качественно отражают разную реальность. Во втором случае коэффициент значимости действительно свидетельствует о низкой значимости данного фактора в определенной выборке: 90 % респондентов вообще не назвали его в числе значимых - не обратили на него внимания. Низкий КЗ в этом случае говорит не о низкой значимости фактора, а о его противоречивой оценке респондентами: для одних он позитивно значим (привлекает в профессии), а для других - негативно значим (не привлекает в профессии) [40, с. 65].

4 Методика «Мотивы выбора профессии». Автор Р.В. Овчарова. Цель методики: выявление ведущих мотивов при выборе профессии. Текст опросника состоит из двадцати утверждений, характеризующих любую профессию. Необходимо оценить, в какой мере каждое из них повлияло на выбор профессии. С помощью методики можно выявить преобладающий вид мотивации (внутренние индивидуально-значимые мотивы, внутренние социально-значимые мотивы, внешние положительные мотивы и внешние отрицательные мотивы). Методика позволяет выявить следующие мотивы: внутренние индивидуально значимые мотивы, внутренние социально значимые мотивы, внешние положительные мотивы, внешние отрицательные мотивы. Внутренние мотивы выбора той или иной профессии - ее общественная и личная значимость; удовлетворение, которое приносит работа благодаря ее творческому характеру; возможность общения, руководства другими людьми и т.д. Внутренняя мотивация возникает из потребностей самого человека, поэтому на ее основе человек трудится с удовольствием, без внешнего давления. Внешняя мотивация - это заработок, стремление к престижу, боязнь осуждения, неудачи и т.д. Внешние мотивы можно разделить на положительные и отрицательные. К положительным мотивам относятся: материальное стимулирование, возможность продвижения по службе, одобрение коллектива, престиж, т.е. стимулы, ради которых человек считает нужным приложить свои усилия. К отрицательным мотивам относятся воздействия на личность путем давления, наказаний, критики, осуждения и других санкций негативного характера. Преобладание внутренних мотивов наиболее эффективно с точки зрения удовлетворенности трудом и его производительности. То же самое можно сказать и относительно положительной внешней мотивации [41, с. 182].

Выбор именно этих диагностических методик обусловлен тем, что данные методики относятся к числу наиболее известных и давно применяемых методов в профессиональной ориентации молодежи.

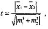
Статистическая обработка данных производилась с использованием t-критерия Стьюдента для независимых выборок и критерия знаков.

Описание этапов исследования. На первом этапе исследования необходимо было изучить профессиональные предпочтения, сформированность профессиональной идентичности, выявить основные факторы и мотивы профессионального выбора у старшеклассников из неблагополучных и благополучных семей.

На втором этапе исследования необходимо было провести сравнительный анализ особенностей профессионального самоопределения в двух группах учащихся. На основании данных сравнительного анализа и статистической обработки данных необходимо было описать особенности профессионального самоопределения старшеклассников из неблагополучных семей.

На третьем этапе исследования необходимо было составить программу коррекции деформаций профессионального самоопределения у старшеклассников из неблагополучных семей и оценить ее эффективность на основании данных итогового исследования.

2.2 Анализ и интерпретация результатов исследования

В результате эмпирического исследования нами были получены следующие данные. Обработка данных методики «Исследование познавательных интересов в связи с задачами профессиональной ориентации» А.Е. Голомштока позволила выявить особенности профессиональных предпочтений в старшем школьном возрасте. Индивидуальные результаты испытуемых представлены в приложении А. Среди сфер профессиональной деятельности были выделены ведущие сферы интересов у учащихся старших классов из неблагополучных и благополучных семей. Результаты старшеклассников из неблагополучных семей представлены следующим образом:

интерес к техническим наукам выражен у 10% учащихся (6 человек);

интерес к математике и экономическим наукам выражен у 20% учащихся (12 человек);

интерес к профессиям в сфере «человек-человек» выражен у 47% учащихся (28 человек);

интерес к управленческой сфере деятельности выражен у 18% учащихся (11 человек);

интерес к творческой сфере деятельности выражен у 5% учащихся (3 человека).

Результаты старшеклассников из благополучных семей представлены следующим образом:

интерес к техническим наукам выражен у 13% учащихся (8 человек);

интерес к математике и экономическим наукам выражен у 25% учащихся (15 человек);

интерес к профессиям в сфере «человек-человек» выражен у 27% учащихся (16 человек);

интерес к управленческой сфере деятельности выражен у 23% учащихся (14 человек);

интерес к творческой сфере деятельности выражен у 12% учащихся (7 человека).

Процентное распределение старшеклассников из двух типов семей в зависимости от профессиональных предпочтений наглядно представлено на рисунке 2.1.

Рисунок 2.1 - Особенности профессиональных предпочтений старшеклассников из неблагополучных и благополучных семей

Из рисунка 2.1 видно, что наибольшие различия между старшеклассниками из двух типов семей заметны по таким сферам профессиональной деятельности, как «человек-человек» и творческая деятельность. Сравнивая результаты исследования, мы выяснили, что выбор старшеклассников из неблагополучных семей в основном является узконаправленным и ориентирован прежде всего на профессии, связанные со взаимодействием с людьми. А среди учащихся из благополучных семей профессиональные предпочтения распределены более равномерно и направлены на различные профессиональные сферы.

На следующем этапе исследования была проведена статистическая обработка данных с помощью t-критерия Стьюдента для независимых выборок. Расчеты представлены в приложении Б. Наглядно полученные данные статистической обработки представлены в таблице 2.1.

Таблица 2.1 - Результаты статистической обработки данных по методике «Исследование познавательных интересов в связи с задачами профессиональной ориентации»

Профессиональная сфера

Коэффициент t

Уровень значимости

Достоверность различий

Техника

0,921

p>0,05

Различия недостоверны

Математика / экономика

1,103

p>0,05

Различия недостоверны

Человек-человек

5,026

p<0,01

Различия достоверны

Управление

0,799

p>0,05

Различия недостоверны

Творчество

3,842

p<0,01

Различия достоверны


На основании полученных данных можно заключить, что установлены достоверно значимые различия между старшеклассниками из двух типов семей по типу профессиональной деятельности «творчество» (t = 3,8 при p<0,01). У старшеклассников из неблагополучных семей показатели по этой шкале достоверно ниже по сравнению с их сверстниками из благополучных семей.

Установлены достоверно значимые различия между старшеклассниками из двух типов семей по типу профессиональной деятельности «человек-человек» (t = 4,6 при p<0,01). У старшеклассников из неблагополучных семей показатели по этой шкале достоверно выше по сравнению с их сверстниками из благополучных семей. Это свидетельствует о том, что старшеклассники из неблагополучных семей достоверно чаще предпочитают профессии, связанные с взаимодействием с людьми по сравнению с их сверстниками из благополучных семей. По остальным типам профессиональной деятельности достоверно значимых различий между старшеклассниками двух групп установить не удалось.

Таким образом, в профессиональном выборе старшеклассников из неблагополучных семей достаточно явно проявляются узконаправленные профессиональные предпочтения, связанные с выбором профессий, связанных с тесным взаимодействием с людьми.

В результате обработки данных методики изучения статусов профессиональной идентичности был выявлен уровень сформированности профессионального самоопределения у старшеклассников из двух типов семей. Результаты старшеклассников из неблагополучных семей представлены следующим образом:

         - низкий уровень профессионального самоопределения (неопределенная профессиональная идентичность) выявлен у 27% учащихся (16 человек);

         - уровень ниже среднего профессионального самоопределения (навязанная профессиональная идентичность) выявлен у 46% учащихся (28 человек);

         - средний уровень профессионального самоопределения (кризис выбора) выявлен у 22% учащихся (13 человек).

         - высокий уровень профессионального самоопределения (сформированная профессиональная идентичность) выявлен у 5% учащихся (3 человека).

Результаты старшеклассников из благополучных семей представлены следующим образом:

         - низкий уровень профессионального самоопределения (неопределенная профессиональная идентичность) выявлен у 15% учащихся (9 человек);

         - уровень ниже среднего профессионального самоопределения (навязанная профессиональная идентичность) выявлен у 25% учащихся (15 человек);

         - средний уровень профессионального самоопределения (кризис выбора) выявлен у 37% учащихся (22 человека).

         - высокий уровень профессионального самоопределения (сформированная профессиональная идентичность) выявлен у 23% учащихся (14 человек).

Процентное распределение старшеклассников из двух типов семей с различным уровнем сформированности профессиональной идентичности наглядно представлено на рисунке 2.2.

Рисунок 2.2 - Процентное распределение старшеклассников из неблагополучных и благополучных семей по уровню сформированности профессиональной идентичности

Из приведенных данных видно, что у старшеклассников из неблагополучных семей более выражен низкий и ниже среднего уровень профессиональной идентичности. А у большего количества старшеклассников из благополучных семей сформирован средний и высокий уровень профессиональной идентичности.

На следующем этапе исследования была проведена статистическая обработка данных с помощью t-критерия Стьюдента для независимых выборок. Расчеты представлены в приложении Б. Наглядно полученные данные статистической обработки представлены в таблице 2.2.

Таблица 2.2 - Результаты статистической обработки данных по методике изучения статусов профессиональной идентичности

Коэффициент t

Уровень значимости

Достоверность различий

5,428

p<0,01

Различия достоверны


На основании полученных данных можно заключить, что установлены достоверно значимые различия между старшеклассниками из двух типов семей по уровню сформированности профессиональной идентичности (t = 5,428 при p<0,01). У старшеклассников из неблагополучных семей показатели достоверно ниже, по сравнению с их сверстниками из благополучных семей.

Таким образом, у многих старшеклассников из неблагополучных семей отмечается недостаточно высокий уровень сформированности профессионального самоопределения, что выражается в том, что выбор жизненного пути не сделан, четкие представления о карьере отсутствуют, учащиеся имеют недостаточно четко сформированные представления о своем профессиональном будущем, чаще всего они навязаны извне (например, значимыми людьми либо влиянием социальной престижности) и не являются результатом самостоятельного выбора. В связи с этим актуальной является разработка программы социально-психологического тренинга по устранению деформаций профессионального самоопределения у старшеклассников из неблагополучных семей.

На следующем этапе исследования были изучены факторы и мотивы, влияющие на профессиональные предпочтения в старшем школьном возрасте. Для этого применялась методика изучения факторов привлекательности профессии В.А. Ядова и методика «Мотивы выбора профессии» Р.О. Овчаровой. На данном этапе исследования необходимо было выявить достоверно значимые различия в факторах и мотивах профессионального выбора у старшеклассников из неблагополучных и благополучных семей.

Обработка данных методики изучения факторов привлекательности профессии В.А. Ядова позволила выявить основные причины профессионального выбора у старшеклассников двух групп. Методика не предполагает анализ индивидуальных ответов испытуемых, а предусматривает подсчет группового индекса. Поэтому индивидуальные данные испытуемых не представлены в приложении. Средние коэффициенты по каждому фактору представлены в таблице 2.3.

Таблица 2.3 - Коэффициенты значимости факторов привлекательности профессии у старшеклассников

Факторы привлекательности профессии

Коэффициент значимости профессии

1. Профессия одна из важнейших в обществе

0,8

2. Работа с людьми

0,5

3. Работа требует постоянного творчества

0,3

4. Работа не вызывает переутомления

0,2

5. Большая зарплата

0,7

6. Возможность самосовершенствования

0,6

7. Работа соответствует моим способностям

0,5

8. Работа соответствует моему характеру

0,3

9. Небольшой рабочий день

0,1

10. Отсутствие частого контакта с людьми

0,1

11. Возможность достичь социального признания, уважения

0,7


Из представленных данных видно, что у старшеклассников наиболее значимы следующие факторы выбора профессии:

профессия одна из важнейших в обществе,

большая зарплата,

возможность достичь социального признания и уважения.

Наименее значимыми у старшеклассников являются следующие факторы выбора профессии:

возможность самосовершенствования,

отсутствие частого контакта с людьми,

работа требует постоянного творчества,

работа соответствует моему характеру.

В соответствии с инструкцией по обработке данных методики были подсчитаны коэффициенты значимости в группах старшеклассников из двух типов семей. Коэффициенты значимости по каждому фактору привлекательности профессии в группах испытуемых представлены в таблице 2.4.

Таблица 2.4 - Коэффициенты значимости факторов привлекательности профессии у старшеклассников из двух типов семей

Факторы привлекательности профессии

Старшеклассники из неблагополучных семей (коэффициент значимости)

Старшеклассники из благополучных семей (коэффициент значимости)

1. Профессия одна из важнейших в обществе

0,4

0,9

2. Работа с людьми

0,7

0,6

3. Работа требует постоянного творчества

0,1

0,4

4. Работа не вызывает переутомления

0,6

0,3

5. Большая зарплата

0,9

0,8

6. Возможность самосовершенствования

0,3

0,6

7. Работа соответствует моим способностям

0,5

0,7

8. Работа соответствует моему характеру

0,4

0,8

9. Небольшой рабочий день

0,8

0,2

10. Отсутствие частого контакта с людьми

0,2

0,1

11. Возможность достичь социального признания, уважения

0,9

0,7


На основании полученных данных можно заключить, что для старшеклассников из неблагополучных семей наиболее значимы следующие факторы выбора профессии:

большая зарплата,

возможность достичь социального признания и уважения,

небольшой рабочий день.

Наименее значимыми для старшеклассников из неблагополучных семей являются следующие факторы выбора профессии:

работа требует постоянного творчества,

отсутствие частого контакта с людьми,

возможность самосовершенствования.

Для старшеклассников из благополучных семей наиболее значимы следующие факторы выбора профессии:

профессия одна из важнейших в обществе,

работа соответствует моим способностям,

работа соответствует моему характеру.

Наименее значимыми для старшеклассников из благополучных семей являются следующие факторы выбора профессии:

отсутствие частого контакта с людьми,

небольшой рабочий день,

работа не вызывает переутомления.

Таким образом, для старшеклассников из неблагополучных семей в большей степени значимы внешние материальные факторы выбора профессии. А для старшеклассников из благополучных семей - социальные факторы и внутренние факторы, связанные со способностями. Следует отметить, что для старшеклассников из неблагополучных семей такие важные факторы выбора профессии, как «работа соответствует моим способностям» и «работа соответствует моему характеру» не имеет высокого коэффициента значимости. То есть старшеклассники этой группы в большей степени ориентируются на внешние факторы выбора профессии, а не на внутренние.

Таким образом, исследование выявило доминирование мотива оплаты труда и снижение мотивов выбора профессии по интересам и склонностям у старшеклассников из неблагополучных семей. До 85% профессиональных выборов старшеклассников ориентированы на достижение высокого уровня материальной оплаты и построение карьеры. Мотивы личностного развития при этом выражены значительно слабее. Подавляющее большинство учащихся рассчитывают на высокооплачиваемые, руководящие должности. Полученные данные свидетельствуют о слабой сформированности профессионального самоопределения у учащихся старших классов, что проявляется в недостаточном учете значимых факторов при выборе профессии. В связи с этим актуальной является разработка программы социально-психологического тренинга по устранению деформаций профессионального самоопределения у старшеклассников из неблагополучных семей.

Обработка данных методики «Мотивы выбора профессии» Р.В. Овчаровой позволила выявить ведущие мотивы профессионального выбора у старшеклассников. В соответствии с инструкцией по обработке данных методики были выделены ведущие типы мотивов у каждого испытуемого. Было подсчитано количество испытуемых с различными типами мотивов. Индивидуальные данные испытуемых представлены в приложении А. Результаты старшеклассников из неблагополучных семей представлены следующим образом: у наибольшей части испытуемых данной группы (55%) доминируют внешние положительные социально значимые мотивы выбора профессии. То есть для этих старшеклассников наиболее важны следующие мотивы выбора профессии: материальное стимулирование, возможность продвижения по службе, одобрение коллектива, престиж профессии.

Менее выражены у старшеклассников из неблагополучных семей внутренние социально значимые мотивы (25%). То есть для этих старшеклассников более важны следующие мотивы выбора профессии: общественная значимость профессии, удовлетворение, которое приносит работа благодаря ее творческому характеру; возможность общения с другими людьми и т.д.

Наименее выражены у старшеклассников из неблагополучных семей внутренние индивидуально-значимые мотивы (15%). То есть для этих старшеклассников наиболее важны следующие мотивы выбора профессии: интерес к профессии, соответствие требований профессии имеющимся способностям, склонности к определенному виду деятельности.

Самую немногочисленную группу среди старшеклассников из неблагополучных семей составили учащиеся с внешними отрицательными мотивами (5%). То есть эти старшеклассники выбрали профессию под воздействием на них давления со стороны окружающих (например, родителей), страха наказания, критики, осуждения и других санкций негативного характера.

Результаты старшеклассников из благополучных семей представлены следующим образом: у многочисленной группы учащихся (42%) выражены внутренние социально значимые мотивы. То есть для этих старшеклассников более важны следующие мотивы выбора профессии: общественная значимость профессии, удовлетворение, которое приносит работа благодаря ее творческому характеру; возможность общения с другими людьми и т.д.

Также выражены у старшеклассников из благополучных семей внутренние индивидуально-значимые мотивы (30%). То есть для этих старшеклассников наиболее важны следующие мотивы выбора профессии: интерес к профессии, соответствие требований профессии имеющимся способностям, склонности к определенному виду деятельности.

Менее выражены у старшеклассников из благополучных семей (25%) внешние положительные мотивы выбора профессии. То есть для этих старшеклассников наиболее важны следующие мотивы выбора профессии: материальное стимулирование, возможность продвижения по службе, одобрение коллектива, престиж профессии.

Самую немногочисленную группу среди старшеклассников из благополучных семей составили учащиеся с внешними отрицательными мотивами (3%). То есть эти старшеклассники выбрали профессию под воздействием на них давления со стороны окружающих (например, родителей), страха наказания, критики, осуждения и других санкций негативного характера.

Наглядно процентное распределение испытуемых по доминирующим группам мотивов профессионального выбора представлено на рисунке 2.3.

Рисунок 2.3 - Процентное распределение старшеклассников с различными мотивами профессионального выбора

На основании полученных данных можно заключить, что для старшеклассников из неблагополучных семей наибольшую значимость при выборе профессии приобретают внешние положительные мотивы. То есть эти учащиеся при выборе профессии руководствуются следующими мотивами: материальное стимулирование, возможность продвижения по службе, одобрение коллектива, престиж, то есть стимулы, ради которых человек считает нужным приложить свои усилия.

Для старшеклассников из благополучных семей наиболее значим внутренний социально значимый тип мотивов и внутренний индивидуально значимый тип мотивов. То есть для этих учащихся наиболее важны следующие мотивы выбора профессии: общественная значимость профессии, удовлетворение, которое приносит работа благодаря ее творческому характеру; возможность общения с другими людьми, а также интерес к профессии, соответствие требований профессии имеющимся способностям, склонности к определенному виду деятельности.

С целью установления достоверно значимых различий в типе ведущих мотивов при выборе профессии была проведена статистическая обработка данных с помощью t-критерия Стьюдента для независимых выборок. Расчеты представлены в приложении Б. Наглядно полученные данные статистической обработки представлены в таблице 2.5.

Таблица 2.5 - Результаты статистической обработки данных по методике изучения мотивов выбора профессии

Мотивы выбора профессии

Коэффициент t

Уровень значимости

Достоверность различий

Внутренние индивидуально значимые мотивы

0,821

p>0,05

Различия недостоверны

Внутренние социально значимые мотивы

4,502

p<0,01

Различия достоверны

Внешние положительные мотивы

4,646

p<0,01

Различия достоверны

Внешние отрицательные мотивы

0,822

p>0,05

Различия недостоверны


На основании полученных данных можно заключить, что установлены достоверно значимые различия между старшеклассниками из двух типов семей по доминированию внутренних социально значимых мотивов при выборе профессии (t = 4,502 при p<0,01). У старшеклассников из неблагополучных семей показатели достоверно ниже, по сравнению с их сверстниками из благополучных семей.

Установлены достоверно значимые различия между старшеклассниками из двух типов семей по доминированию внешних положительных мотивов при выборе профессии (t = 4,646 при p<0,01). У старшеклассников из неблагополучных семей показатели достоверно выше, по сравнению с их сверстниками из благополучных семей.

Таким образом, старшеклассники из неблагополучных семей при выборе профессии достоверно чаще руководствуются внешними положительными мотивами, такими как материальное стимулирование, возможность продвижения по службе, одобрение коллектива, престиж профессии. И достоверно реже руководствуются внутренними социально значимыми мотивами, такими как общественная значимость профессии, удовлетворение, которое приносит работа благодаря ее творческому характеру; возможность общения с другими людьми и т.д.

Сопоставление результатов двух методик - методики изучения факторов привлекательности профессии В.А. Ядова и методики «Мотивы выбора профессии» Р.О. Овчаровой, позволяет заключить, что факторы профессионального выбора у большинства испытуемых совпадают с типом ведущей профессиональной мотивации. Это свидетельствует о достоверности полученных данных и надежности результатов.

Полученные данные свидетельствуют о том, что профессиональное самоопределение старшеклассников из неблагополучных семей отличается определенной рассогласованностью компонентов: противоречивым сочетанием ценностных ориентаций, завышенными притязаниями к оплате труда, неумением учитывать время и условия обретения профессии. Выявлена тенденция к снижению привлекательности профессий технической сферы и увеличение доли гуманитарных и управленческих специальностей. Большинство старшеклассников из неблагополучных семей при выборе профессии ориентируются на высокий заработок, престижность профессии, не учитывая потребности рынка труда, а также свои способности и склонности.

профессиональный самоопределение старшеклассник неблагополучный

2.3 Коррекция деформаций профессионального самоопределения старшеклассников из неблагополучных семей

Полученные данные экспериментального исследования свидетельствуют о наличии деформаций в процессе профессионального самоопределения у старшеклассников из неблагополучных семей, что проявляется в недостаточном учете значимых факторов при выборе профессии, отсутствии осознанного выбора на основании имеющихся склонностей и способностей, учет потребностей рынка труда, слабо сформированной профессиональной идентичности. В связи с этим актуальной является разработка программы социально-психологического тренинга по устранению деформаций профессионального самоопределения у учащихся из неблагополучных семей.

Основная цель социально-психологического тренинга: актуализировать процесс профессионального самоопределения учащихся за счет специальной организации их деятельности, включающей получение знаний о себе, о мире профессионального труда.

Задачи социально-психологического тренинга:

сформировать знания и умения объективно осуществлять самоанализ уровня развития своих профессиональных качеств;

сформировать положительное отношение к самому себе, осознание своей индивидуальности, уверенность в своих силах применительно к реализации себя в будущей профессии;

выявить интересы и склонности, способности школьников;

сформировать способность принимать адекватное решение о выборе дальнейшего направления образования;

повысить уровень психологической компетентности учащихся, расширения границ самовосприятия, пробуждение потребности в самосовершенствовании;

сформировать навыки целеполагания, жизненного планирования и личностной ответственности за счет освоения технологий личностного и профессионального самоопределения.

Программа социально-психологического тренинга по устранению деформаций профессионального самоопределения старшеклассников строится на нормах и законах психического развития человека. Одной из фундаментальных для психологии развития является категория возраста (Л.С. Выготский, Д.И. Фельдштейн и др.). Период выбора профессии хронологически совпадает с подростковым и юношеским возрастами. Характерные для этого периода жизни становление нового уровня развития самосознания, выработка собственного мировоззрения, определение позиции в жизни активизируют процессы личностного самоопределения и самопознания, проектирования себя в профессии. Психологическое сопровождение призвано создать учащимся возможность продуктивного решения центральных задач возраста и обеспечить условия профессионального развития личности. С учетом данных психологических основ построена программа социально-психологического тренинга.

Критерии, позволяющие сделать заключение об успешной реализации социально-психологического тренинга:

развитие у учащихся интегральных личностных характеристик (направленность, компетентность, гибкость), которые составляют личностный фундамент, обеспечивающий учащимся успешную ориентацию в мире профессий и эффективное вхождение в рынок труда;

полученные знания должны быть спроецированы на конкретную профессиональную деятельность и перейти из своей потенциальной формы в актуальную;

понимание учащимися назначения, ценности, содержания разных типов профессиональной деятельности;

формирование у школьников готовности к выбору профессии,

формирование у учащихся способности соотносить свои индивидуально-психологические особенности и возможности с требованиями выбираемой профессии;

выраженность ценностных ориентаций, связанных с соответствующими им направлениями послешкольного образования;

представленность индивидуально выраженных целей профессионального обучения;

информационная подготовленность в отношении значимости дальнейшего продолжения образования, жизненного, социального и профессионального самоопределения;

наличие опыта приложений усилий по освоению образовательного материала, освоению ключевых компетенций, востребованных в послешкольном обучении.

Тематический план программы социально-психологического тренинга представлен в таблице 2.6.

Таблица 2.6 - Тематический план программы социально-психологического тренинга

№ п/п

Цель занятия

Упражнения

1.

Знакомство участников группы; введение в проблему профессиональных представлений личности; создание групповой атмосферы способствующей открытости, сплоченности группы.

1. «Как тебя зовут?» 2. «Круг знакомств» 3. «Двадцать Я» 4. «Плюс, минус, интересно» 5. «Войди в круг»

2.

Развитие содержания профессиональных представлений участников тренинга.

1. «У дяди Абрама» 2. «Угадай профессию» 3. «День из жизни» 4. «Стажеры» 5. «Маскарад»

3.

Развитие представлений участников о профессионально значимых сенсорно-перцептивных свойствах и свойствах внимания.

1. «Атомы и молекулы» 2. «Понятийно-терминологическая игра» 3. «Профессиограмма» 4. «Чужие коленки» 5. «Слова»

4.

Развитие представлений участников о профессионально значимых мнемонических (свойства памяти) и мыслительных свойствах.

1. «Встреча» 2. «Понятийно-терминологическая игра» 3. «Профессиограмма» 4. «Заблудший рассказчик» 5. «Что нового» 6. «Сходство и различие»

5.

Развитие представлений участников о профессионально значимых психомоторных свойствах личности, особенностей темперамента и способностях.

1. «Поза» 2. «Понятийно-терминологическая игра» 3. «Профессиограмма» 4. «Волшебная рука» 5. «Кто это?» 6. «Фоторобот»

6.

Развитие представлений участников о профессионально значимых социально-психологических свойствах личности.

1. «Меняющаяся комната» 2. «Понятийно-терминологическая игра» 3. «Профессиограмма» 4. «Организация» 5. «Магазин»

7.

Развитие позитивного эмоционального отношения к избранной профессии и себе как субъекту труда.

1. «Пожелание» 2. «Проективный рисунок» 3. «Волшебная рука - 2» 4. «Колпак»

8.

Формирование представлений участников тренинга о профессиональном пути личности, о возможностях профессионального роста.

1. «Рукопожатие» 2. «Эпитафия» 3. «Стрела жизни» 4. «Мой жизненный путь» 5. «Восточные стихи»

9.

Формирование умения адекватно соотносить свои профессиональные планы и возможности.

1. «Меняются местами» 2. «Пять шагов» 3. «Ресурсы» 4. «Притча «про ворону и павлина»» 5. «Подарок»

10.

Актуализация потребности в профессиональном саморазвитии.

1. «Достоинства» 2. «Ловушки-капканчики» 3. «Чемодан» 4. «Волшебный сундук» 5. «Проективный рисунок «Дорога в жизнь»»


Оценка эффективности тренинга производилась по схеме «до и после», то есть сравнивались результаты старшеклассников по психодиагностическим методикам до и после проведения тренинга. Экспериментальную группу учащихся составили 10 старшеклассников из неблагополучных семей.

Результаты старшеклассников по методике изучения статусов профессиональной идентичности после проведения программы тренинга представлены следующим образом:

         - низкий уровень профессионального самоопределения (неопределенная профессиональная идентичность) сформирован у 20% учащихся (2 человек);

         - уровень ниже среднего профессионального самоопределения (навязанная профессиональная идентичность) сформирован у 20% учащихся (2 человек);

         - средний уровень профессионального самоопределения (кризис выбора) сформирован у 50% учащихся (5 человек).

         - высокий уровень профессионального самоопределения (сформированная профессиональная идентичность) имеют 10% учащихся (1 человек).

Результаты до и после проведения тренинга по показателю профессиональной идентичности показаны на рисунке 2.4.

Рисунок 2.4 - Результаты старшеклассников до и после проведения тренинга по методике изучения статусов профессиональной идентичности

С целью оценки достоверности различий между результатами старшеклассников до и после тренинга был применен метод статистической обработки данных - G-критерий знаков. На основании данных статистического анализа были установлены достоверно значимые различия между результатами первичного и итогового обследований в сторону повышения показателей развития профессионального самоопределения. На основании полученных данных можно утверждать, что проведение социально-психологического тренинга способствует повышению уровня профессионального самоопределения.

Обработка данных методики изучения факторов привлекательности профессии В.А. Ядова позволила выявить основные факторы профессионального выбора у старшеклассников экспериментальной группы до и после тренинга. Средние коэффициенты по каждому фактору представлены в таблице 2.7.

Таблица 2.7 - Коэффициенты значимости факторов привлекательности профессии у старшеклассников экспериментальной группы до и после тренинга

Факторы привлекательности профессии

До тренинга (коэффициент значимости)

После тренинга (коэффициент значимости)

1. Профессия одна из важнейших в обществе

0,4

0,8

2. Работа с людьми

0,7

0,7

3. Работа требует постоянного творчества

0,1

0,4

4. Работа не вызывает переутомления

0,6

0,1

5. Большая зарплата

0,9

0,7

6. Возможность самосовершенствования

0,3

0,5

7. Работа соответствует моим способностям

0,5

0,8

8. Работа соответствует моему характеру

0,4

0,6

9. Небольшой рабочий день

0,8

0,3

10. Отсутствие частого контакта с людьми

0,2

0,2

11. Возможность достичь социального признания, уважения

0,9

0,9

На основании полученных данных можно заключить, что после внедрения программы тренинга у старшеклассников из неблагополучных семей изменились коэффициенты значимости факторов выбора профессии. В частности, после внедрения программы учащиеся экспериментальной группы стали отдавать приоритет следующим факторам выбора профессии:

возможность достичь социального признания и уважения,

профессия одна из важнейших в обществе,

работа соответствует моим способностям.

Менее значимыми для старшеклассников из неблагополучных семей стали следующие факторы выбора профессии:

работа не вызывает переутомления,

отсутствие частого контакта с людьми,

небольшой рабочий день.

Таким образом, для старшеклассников из неблагополучных семей, принимавших участие в программе тренинга, стали менее значимы внешние материальные факторы выбора профессии. Они стали в большей степени учитывать социальные факторы и внутренние факторы, связанные со способностями.

Обработка данных методики «Мотивы выбора профессии» Р.В. Овчаровой позволила выявить ведущие мотивы профессионального выбора у старшеклассников экспериментальной группы до и после программы тренинга. Наглядно процентное распределение испытуемых по доминирующим группам мотивов профессионального выбора представлено на рисунке 2.5.

Рисунок 2.5 - Процентное распределение старшеклассников экспериментальной группы с различными мотивами профессионального выбора до и после тренинга

На основании полученных данных можно заключить, что после тренинга у старшеклассников экспериментальной группы большую значимость при выборе профессии приобрели внутренние социально значимые мотивы и индивидуально значимые мотивы. Внешние положительные мотивы наоборот стали менее значимыми при выборе профессии.

С целью оценки достоверности различий между результатами старшеклассников до и после тренинга был применен метод статистической обработки данных - G-критерий знаков. На основании данных статистического анализа были установлены достоверно значимые различия между результатами первичного и итогового обследований в сторону изменения показателей доминирующих мотивов выбора профессии. На основании полученных данных можно утверждать, что проведение социально-психологического тренинга способствует изменению мотивов выбора профессии у старшеклассников из неблагополучных семей. Данные изменения проявляются следующим образом: для старшеклассников становится более значимой общественная значимость профессии, удовлетворение, которое приносит работа благодаря ее творческому характеру; возможность общения с другими людьми, интерес к профессии, соответствие требований профессии имеющимся способностям, склонности к определенному виду деятельности. И менее значимыми становятся внешние мотивы выбора профессии, такие как материальное стимулирование, возможность продвижения по службе, одобрение коллектива, престиж профессии.

На основании полученных данных можно утверждать, что проведение социально-психологического тренинга способствует повышению уровня профессионального самоопределения, что проявляется в том, что старшеклассники из неблагополучных семей стали более осознанно подходить к выбору профессии, стали учитывать большее количество факторов и руководствоваться внутренними мотивами выбора профессии.

На основании данных эмпирического исследования были сформулированы следующие выводы:

В соответствии с целью и задачами дипломной работы было проведено исследование, направленное на выявление особенностей профессионального самоопределения старшеклассников из неблагополучных семей. В исследовании приняли участие 120 учащихся старшего школьного возраста общеобразовательной школы. Из них 60 старшеклассников воспитываются в неблагополучных семьях, 60 учащихся - в благополучных семьях. В ходе исследования были выявлены профессиональные предпочтения, факторы и мотивы выбора профессии у старшеклассников из неблагополучных и благополучных семей; был проведен сравнительный анализ особенностей профессионального самоопределения у старшеклассников из двух типов семей.

Результаты сравнительного анализа позволили выделить следующие особенности профессионального самоопределения старшеклассников из неблагополучных семей: у большинства учащихся был выявлен недостаточно высокий уровень сформированности профессиональной идентичности, что выражается в том, что выбор жизненного пути не сделан, четкие представления о карьере отсутствуют, учащиеся имеют сформированные представления о своем профессиональном будущем, но они навязаны извне и не являются результатом самостоятельного выбора. При выборе профессии старшеклассники из неблагополучных семей руководствуются внешними факторами, такими как престижность профессии, высокий заработок, непродолжительный рабочий день. Профессиональный выбор в основном сделан на основании внешних положительных мотивов (престиж, материальные стимулы в профессии). В связи с этим актуальной явилась разработка программы социально-психологического тренинга по устранению деформаций профессионального самоопределения у старшеклассников из неблагополучных семей.

Оценка эффективности тренинга производилась по схеме «до и после», то есть сравнивались результаты старшеклассников по психодиагностическим методикам до и после проведения тренинга. С целью оценки достоверности различий между результатами старшеклассников до и после тренинга был применен метод статистической обработки данных - G-критерий знаков. На основании данных статистического анализа были установлены достоверно значимые различия между результатами первичного и итогового обследований в сторону повышения показателей развития профессиональной идентичности и изменения ведущих мотивов выбора профессии.

На основании полученных данных можно утверждать, что гипотеза исследования была подтверждена, поставленные цель и задачи исследования реализованы.

Заключение

В данной дипломной работе были выявлены особенности профессионального самоопределения старшеклассников из неблагополучных семей. В научной психологической литературе понятие «профессиональное самоопределение» рассматривается как избирательное отношение индивида к миру профессий в целом и к конкретной выбранной профессии. Главная (идеальная) цель профессионального самоопределения - сформированная внутренняя готовность самостоятельно и осознанно планировать, корректировать и реализовывать перспективы своего развития (профессионального, жизненного и личностного). В процессе профессионального самоопределения устанавливается баланс личных предпочтений и склонностей и существующей системы разделения труда.

Основными факторами профессионального самоопределения старшеклассников из неблагополучных семей являются мнение родственников, позиция друзей, товарищей, наличие того или иного учебного заведения в населенном пункте. При этом личные профессиональные планы старшеклассников из неблагополучных семей, его способности и склонности часто не учитываются при выборе специальности.. Если на первых местах стоят мнение окружающих и вынужденная необходимость (отсутствие учебного заведения или необходимой специальности), а способности, склонности и личностные профессиональные планы стоят в этом списке на последних местах, то это свидетельствует о деформациях профессионального самоопределения.

Социальные последствия деформаций профессионального самоопределения старшеклассников сводятся к невыполнению норм выработки, должностных обязанностей, выпуску брака, производственному травматизму, замедлению профессионального роста, так как человек не может реализовать свои способности, частая смена мест работы. Деформации профессионального самоопределения неизбежно порождают столкновение различных целей, интересов, позиций, несовпадение потребностей в самоосуществлении и реальных возможностей, противоречия между «Я-реальным», «Я-отраженным» и «Я-возможным». Преодоление деформаций профессионального самоопределения старшеклассников, как правило, требует помощи психолога.

Психологическое сопровождение в рамках профориентационной работы педагога-психолога со старшеклассниками предполагает использование следующих основных групп профориентационных методов в соответствии с основными задачами профориентации: информационно-справочные, диагностические, методы морально-эмоциональной поддержки клиента, методы принятия решения и построения перспектив профессионального развития клиента. Также используются методы профессионального консультирования.

В соответствии с целью и задачами дипломной работы было проведено исследование, направленное на выявление особенностей профессионального самоопределения старшеклассников из неблагополучных семей. При проведении исследования мы опирались на классификацию В.М. Целуйко при выделении различных групп неблагополучных семей. В ходе исследования были выявлены профессиональные предпочтения, факторы и мотивы выбора профессии у старшеклассников из неблагополучных и благополучных семей; был проведен сравнительный анализ особенностей профессионального самоопределения у старшеклассников из двух типов семей. Результаты сравнительного анализа позволили выделить следующие особенности профессионального самоопределения старшеклассников из неблагополучных семей: у большинства учащихся был выявлен недостаточно высокий уровень сформированности профессиональной идентичности, что выражается в том, что выбор жизненного пути не сделан, четкие представления о карьере отсутствуют, учащиеся имеют сформированные представления о своем профессиональном будущем, но они навязаны извне и не являются результатом самостоятельного выбора. При выборе профессии старшеклассники из неблагополучных семей руководствуются внешними факторами, такими как престижность профессии, высокий заработок, непродолжительный рабочий день. Профессиональный выбор в основном сделан на основании внешних положительных мотивов (престиж, материальные стимулы в профессии).

С целью устранения деформаций профессионального самоопределения у старшеклассников из неблагополучных семей была разработана и внедрена программа социально-психологического тренинга. Оценка эффективности тренинга производилась по схеме «до и после», то есть сравнивались результаты старшеклассников по психодиагностическим методикам до и после проведения тренинга. С целью оценки достоверности различий между результатами старшеклассников до и после тренинга был применен метод статистической обработки данных - G-критерий знаков. На основании данных статистического анализа были установлены достоверно значимые различия между результатами первичного и итогового обследований в сторону повышения показателей развития профессиональной идентичности и изменения ведущих мотивов выбора профессии. На основании полученных данных можно утверждать, что гипотеза исследования была подтверждена, поставленные цель и задачи исследования реализованы.

Список использованных источников

1 Национальная стратегия устойчивого социально-экономического развития Республики Беларусь на период до 2020 г. - Минск : ГНУ НИЭИ, 2012. - 144 с.

Кодекс Республики Беларусь об образовании от 13.01.2011 г. № 243-З: принят Палатой представителей 2 дек. 2010 г.: одобр. Советом Респ. 22 декабря 2010 г.: включен в Национальный реестр правовых актов Республики Беларусь 17 января 2011 г. № 2/1795. - Минск: Амалфея, 2011. - 496 с.

Пряжников, Н.С. Методы активизации профессионального и личностного самоопределения / Н.С. Пряжников. - М. : Издательство Московского психолого-социального института; Воронеж: Издательство НПО «МОДЭК», 2002.- 400 с.

Божович, Л.И. Проблемы формирования личности / Л.И. Божович. - М.: Просвещение, 1995. - 345 с.

Климов, Е.А. Психология профессионального самоопределения / Е.А. Климов. - М.: Академия, 2004. - 304 с.

Кухарчук, А.М. Человек и его профессия / А.М. Кухарчук, В.В. Лях, А.Б. Широкова. - Минск: Соврем. Слово, 2006. - 544с.

Старостенкова, Т.А. Психолого-педагогические проблемы выбора будущей профессии учащимися старших классов // Инновации в образовании. - 2006. - № 2. - С. 108-118.

Елфутина, Л.А. Особенности профессионального самоопределения современных подростков / Л.А. Елфутина // Автореф. дисс.канд. психол.наук. - М.: МГУ, 2007. - 25 с.

Логинова, Н.А. Развитие личности и ее жизненный путь. Принцип развития в психологии / Под ред. Л.И. Анцыферовой. - М. : Аспект-Пресс, 2008. - 280 с.

Кон, И.С. Проблемы формирования личности / И.С. Кон. - М. : Просвещение, 1999. - 175с.

Зеер, Э.Ф. Психология профессий / Э.Ф. Зеер. - М. : Академический проект, 2003. - 380 с.

Анциферова, Л.И. Психологические закономерности развития личности взрослого человека и проблема непрерывного образования / Л.И. Анциферова // Психологический журнал. - 2006. - № 2. - С. 52-60.

Климов, Е.А. Психология профессионала: избранные психологические труды / Е.А. Климов. - М. : Институт практической психологии; 2006. - 400с.

Психология современного подростка / Под ред. Д.И. Фельдштейна. - М.: Приори, 2007. - 240 с.

Семеняка, О.Н. Особенности профессиональной направленности в структуре личности профессионала / О.Н. Семеняка // Психологический журнал (РБ). - 2007. - № 3. - С.57-67.

Маслоу, А. Психология бытия / А. Маслоу. - М. : Рефлбук; К. : Ваклер, 1997. - 300 с.

Чистякова, С.Н. Проблема самоопределения старшеклассников при выборе профиля обучения / С.Н. Чистякова // Педагогика. - 2009. - №1. - С. 19-26.

Мухина, В.С. Возрастная психология / В.С. Мухина. - М.: Академия, 2007. - 456 с.

Абрамова, Г.С. Возрастная психология / Г.С. Абрамова. - Екатеринбург: Деловая книга, 2006. - 624 c.

Кутугина, В.И. Факторы профессионального самоопределения личности в современных условиях / В.И. Кутугина // Современные проблемы науки и образования. - 2007. - № 1 - С. 51-53.

Бычковский Д.А. Профессиональное самоопределение школьников из неблагополучных семей на современном этапе / Д.А. Бычковский // Технологическое образование. - 2011. - № 3. - С.46-52

Обносов, В.И. Динамика профессиональных представлений учащихся / В.И. Обносов// Вопросы психологии. - 2006. - №6. - С. 28-32.

Проблемы семьи, отягощенной алкогольной зависимостью: актуальность, диагностика, коррекция / Под ред. И.А. Кибальченко. - Ростов н/Д : Феникс, 2007. - 478 с.

Чурило, Н.В. Субъективное благополучие юношей и девушек в контексте реализации индивидуальной жизненной стратегии // Психологический журнал (РБ). - 2009. - №2. - С. 63-70.

Ковалевич М.С. Модели содержания и технологии информационно-педагогической поддержки социально-профессионального самоопределения личности / М.С. Ковалевич // Адукацыя і выхаванне. - 2012. - № 2. - С. 14-22.

Круглова И.В. Профориентационная работа в современных экономических условиях / Материалы городской научно-практической конференции "Профессиональная ориентация в современном социально-экономическом и информационно-технологическом пространстве" / Отв. редактор Л.Е. Курнешова. - М: Центр «Школьная книга», 2010. - С. 24-39.

Игнатович, Е.С. Система информационно-педагогической поддержки старшеклассников профессионального самоопределения cтаршеклассников / Е.С. Игнатович : автореф. дис. … канд. пед. наук / Е.С. Игнатович;. - Минск : БГПУ им.М. Танка, 2010. - 26 с.

Сметанин, Е.А. Адаптация населения к современной экономической ситуации / Е.А. Сметанин // Социологические исследования. - 2011. - № 9. - С. 12-19.

Журавлева, Н.А. Динамика ценностных ориентаций молодежи в условиях социально-экономических изменений // Психологический журнал. - 2006. - № 1. - С. 35-44.

Пастушеня, А.Н. Индивидуальная профессиональная концепция специалиста : структурно-функциональная и содержательная характеристика / А.Н. Пастушеня // Психологический журнал (РБ). - 2007. - № 3. - С.38-48.

Галерова, О.Н. На кризисном перекрестке / О.Н. Галерова, Е.И. Гурова // Школьный психолог. - 2007. - №2. - С. 4-8.

Молчанов, С.В. Особенности ценностных ориентаций личности в подростковом и юношеском возрастах // Психологическая наука и образование. - 2005. - № 3. - С. 16-25.

Психологическое сопровождение выбора профессии / под ред. Л.М. Митиной. - Минск : Соврем. Слово, 2010. - 544 с.

Краснощеков, Р.В. Психологическое сопровождение профессиональной ориентации в школе: практическое руководство/ Р.В. Краснощеков; М-во образования РБ, Гомельский гос. ун-т им. Ф. Скорины. - Гомель : ГГУ им. Ф. Скорины, 2009. - 196с.

Врублевская, М.М. Профориентационная работа в школе: Методические рекомендации / М.М. Врублевская, О.В. Зыкова. - Магнитогорск: МаГУ, 2004. - 80 с.

Родичев, Н.Ф. Обоснование концепции педагогической поддержки профессионального самоопределения школьников / Н. Ф. Родичев // Новые ценности образования. - 2006. Выпуск 1-2 / 25-26 «Образовательная деятельность». - С. 234-251.

Пряжникова, Е.Ю. Профориентация: Учеб. пособие для студ. высш. учеб. заведений / Е.Ю. Пряжникова, Н.С. Пряжников. - М.: Издательский центр «Академия», 2005. - 496 с.

Резапкина, Г.В. Психология и выбор профессии : Программа профессионального самоопределения / Г.В. Резапкина. - М. : Генезис, 2007. - 180 с.

Тумакова, С.Г. Психологические основы психолого-педагогического сопровождения выбора профиля обучения и профессии. - М.: Аспект-Пресс, 2010. - 180 с.

Кухарчук, А.М. Психодиагностика в профессиональном самоопределении учащихся. - Мн.: Тэсей, 2004. - 320 с.

Овчарова, Р.В. Технологии практического психолога образования / Р.В. Овчарова. - М.: Проспект, 2010. - 212 с.

Резапкина, Г.В. Я и моя профессия : Программа профессионального самоопределения для подростков / Г.В. Резапкина. - М. : Генезис, 2004. - 192 с.

Приложения

Приложение А

Результаты испытуемых по психодиагностическим методикам

Таблица А1 - Данные методики «Исследование познавательных интересов в связи с задачами профессиональной ориентации» (А.Е. Голомшток)

Старшеклассники из благополучных семей

Предпочитаемый тип профессии

Старшеклассники из неблагополучных семей

Предпочитаемый тип профессии

1

Математика, экономика

1

Человек-человек

2

Техника

2

Иностранный язык

3

Техника

3

Человек-человек

4

Математика, экономика

4

Человек-человек

5

управление

5

Человек-человек

6

Математика, экономика

6

Иностранный язык

7

Техника

7

управление

8

управление

8

управление

9

Техника

9

Человек-человек

10

Техника

10

Человек-человек

11

Техника

11

Управление

12

управление

12

Человек-человек

13

Математика, экономика

13

Человек-человек

14

управление

14

управление

15

управление

15

управление

16

Техника

16

Иностранный язык

17

Математика, экономика

17

Математика, экономика

18

управление

18

Управление

19

Техника

19

Иностранный язык

20

управление

20

Математика, экономика

21

Человек-человек

21

Математика, экономика

22

Человек-человек

22

техника

23

Творчество

23

управление

24

Творчество

24

Математика, экономика

25

Человек-человек

25

техника

26

Человек-человек

26

управление

27

Человек-человек

27

Человек-человек

28

Творчество

28

Математика, экономика

29

Математика, экономика

29

Человек-человек

30

Техника

30

31

Техника

31

Человек-человек

32

Математика, экономика

32

Иностранный язык

33

управление

33

управление

34

Математика, экономика

34

управление

35

Человек-человек

35

Человек-человек

36

Творчество

36

Человек-человек

37

Человек-человек

37

Управление

38

Человек-человек

38

Иностранный язык

39

Техника

39

Иностранный язык

40

управление

40

управление

41

Математика, экономика

41

управление

42

управление

42

управление

43

управление

43

Математика, экономика

44

Техника

44

Управление

45

Математика, экономика

45

Иностранный язык

46

творчество

46

творчество

47

Техника

47

творчество

48

управление

48

техника

49

Человек-человек

49

Человек-человек

50

творчество

50

Человек-человек

51

Человек-человек

51

техника

52

Человек-человек

52

управление

53

Человек-человек

53

техника

54

Человек-человек

54

управление

55

Человек-человек

55

Человек-человек

56

Иностранный язык

56

техника

57

творчество

57

управление

58

Человек-человек

58

Человек-человек

59

Человек-человек

59

творчество

60

творчество

60

Человек-человек

Таблица А2 - Данные методики изучения статусов профессиональной идентичности (А.А. Азбель, А.Г. Грецов)

Старшеклассники из благополучных семей

Уровень профессиональной идентичности

Старшеклассники из неблагополучных семей

Уровень профессиональной идентичности

1

Средний

1

низкий

2

Ниже среднего

2

Ниже среднего

3

Ниже среднего

3

Низкий

4

Высокий

4

Высокий

5

Низкий

5

Высокий

6

Средний

6

Ниже среднего

7

Средний

7

Низкий

8

Высокий

8

Ниже среднего

9

Низкий

9

Ниже среднего

10

Высокий

10

Низкий

11

Низкий

11

Ниже среднего

12

Низкий

12

Низкий

13

Ниже среднего

13

Низкий

14

Высокий

14

Ниже среднего

15

Низкий

15

Ниже среднего

16

Высокий

16

Низкий

17

Высокий

17

Ниже среднего

18

Низкий

18

Ниже среднего

19

Ниже среднего

19

Низкий

20

Низкий

20

Ниже среднего

21

Высокий

21

Ниже среднего

22

Высокий

22

Низкий

23

Высокий

23

Низкий

24

Низкий

24

Низкий

25

Низкий

25

Низкий

26

Средний

26

Ниже среднего

27

Средний

27

средний

28

Средний

28

Низкий

29

Средний

29

Низкий

30

Средний

30

средний

31

Ниже среднего

31

Высокий

32

Средний

32

Низкий

33

Ниже среднего

33

Низкий

34

Ниже среднего

34

Средний

35

Средний

35

Средний

36

Ниже среднего

36

Средний

37

Ниже среднего

37

Средний

38

Ниже среднего

38

Средний

39

Ниже среднего

39

Средний

40

Ниже среднего

40

Средний

41

Средний

41

Средний

42

Ниже среднего

42

Ниже среднего

43

Ниже среднего

43

средний

44

Ниже среднего

44

Ниже среднего

45

Высокий

45

Ниже среднего

46

Высокий

46

Ниже среднего

47

Средний

47

Ниже среднего

48

Средний

48

Ниже среднего

49

Средний

49

Ниже среднего

50

Высокий

50

средний

51

Высокий

51

Ниже среднего

52

Средний

52

Ниже среднего

53

Средний

53

Ниже среднего

54

Средний

54

Ниже среднего

55

Средний

55

Ниже среднего

56

Средний

56

Ниже среднего

57

57

Ниже среднего

58

Высокий

58

средний

59

Средний

59

Ниже среднего

60

Средний

60

Ниже среднего

Таблица А3 - Данные методики «Мотивы выбора профессии» Р.В. Овчаровой

№ п/п

Ведущие мотивы выбора профессии у старшеклассников из благополучных семей

№ п/п девушки

Ведущие мотивы выбора профессии у старшеклассников из неблагополучных семей

1

Внешние положительные

1

Внешние отрицательные

2

Внешние положительные

2

Внутренние индивидуально значимые

3

Внутренние индивидуально значимые

3

Внешние положительные

4

Внешние положительные

4

Внешние положительные

5

Внутренние социально значимые

5

Внешние положительные

6

Внутренние социально значимые

6

Внутренние индивидуально значимые

7

Внутренние индивидуально значимые

7

Внутренние индивидуально значимые

8

Внутренние социально значимые

8

Внешние положительные

9

Внутренние индивидуально значимые

9

Внешние положительные

10

Внешние положительные

10

Внешние положительные

11

Внутренние индивидуально значимые

11

Внутренние индивидуально значимые

12

Внутренние социально значимые

12

Внешние отрицательные

13

Внутренние индивидуально значимые

13

Внешние положительные

14

Внешние положительные

14

Внутренние индивидуально значимые

15

Внутренние индивидуально значимые

15

Внешние положительные

16

Внутренние индивидуально значимые

16

Внешние положительные

17

Внутренние индивидуально значимые

17

Внутренние социально значимые

18

Внешние положительные

18

Внутренние индивидуально значимые

19

Внешние положительные

19

Внешние положительные

20

Внешние положительные

20

Внешние положительные

21

Внешние положительные

21

Внешние отрицательные

22

Внешние положительные

22

Внешние положительные

23

Внешние положительные

23

Внешние положительные

24

Внешние положительные

24

Внутренние социально значимые

25

Внутренние социально значимые

25

Внутренние социально значимые

26

Внутренние социально значимые

26

Внутренние социально значимые

27

Внешние положительные

27

Внутренние социально значимые

28

Внешние положительные

28

Внешние положительные

29

Внешние положительные

29

Внутренние социально значимые

30

Внешние положительные

30

Внутренние социально значимые

31

Внешние положительные

31

Внутренние социально значимые

32

Внешние отрицательные

32

Внешние положительные

33

Внешние положительные

33

Внутренние социально значимые

34

Внешние отрицательные

34

Внутренние социально значимые

35

Внешние положительные

35

Внутренние социально значимые

36

Внешние положительные

36

Внутренние социально значимые

37

Внешние положительные

37

Внутренние социально значимые

38

Внешние положительные

38

Внешние отрицательные

39

Внешние положительные

39

Внешние положительные

40

Внешние положительные

40

Внутренние социально значимые

41

Внешние положительные

41

Внешние отрицательные

42

Внешние положительные

42

Внутренние индивидуально значимые

43

Внутренние индивидуально значимые

43

Внешние положительные

44

Внешние положительные

44

Внешние положительные

45

Внутренние социально значимые

45

Внешние положительные

46

Внутренние социально значимые

46

Внутренние индивидуально значимые

47

Внутренние индивидуально значимые

47

Внутренние индивидуально значимые

48

Внутренние социально значимые

48

Внешние положительные

49

Внутренние индивидуально значимые

49

Внешние положительные

50

Внешние положительные

50

Внешние положительные

51

Внутренние индивидуально значимые

51

Внутренние индивидуально значимые

52

Внутренние социально значимые

52

Внешние отрицательные

53

Внутренние индивидуально значимые

53

Внешние положительные

54

Внешние положительные

54

Внутренние индивидуально значимые

55

Внутренние индивидуально значимые

55

Внешние положительные

56

Внутренние индивидуально значимые

56

Внешние положительные

57

Внутренние индивидуально значимые

57

Внутренние социально значимые

58

Внешние положительные

58

Внутренние индивидуально значимые

59

Внешние положительные

59

Внешние положительные

60

Внешние положительные

60

Внешние положительные

Приложение Б

Результаты статистической обработки

Статистическая обработка данных с помощью t-критерия Стьюдента для независимых выборок по методике «Исследование познавательных интересов в связи с задачами профессиональной ориентации»

Вычисление наблюдаемого значения

  Дисперсия S² = ∑ (Хi-Хср) ² / n-1

По психодиагностической методике данные были представлены в количественном выражении, то есть каждой выбранной профессиональной сфере соответствовал определенный балл. Именно по этим показателям и производилась статистическая обработка.

Таблица Б.1 - Промежуточные переменные


Группа

Среднее

Станд. Отклон.

Станд. ошибка

Техника

1 2

60 60

2,7250 2,9000

1,48475 1,51573

0,23476 0,23966

Чел.-человек

1 2

60 60

3,9750 2,1750

1,18727 1,46738

0,18772 0,23201

Матем.-эконом

1 2

60 60

4,3500 4,1750

0,92126 1,03497

0,14566 0,16364

Управление

1 2

60 60

4,4500 4,2250

0,74936 1,04973

0,11848 0,16598

Творчество

1 2

60 60

2,3500 3,9000

1,47718 1,19400

0,23356 0,18879

Таблица Б.2 - Итоговые коэффициенты

Сфера профессиональной деятельности

Коэффициент t

Уровень значимости

Достоверность различий

Техника

0,921

p>0,05

Различия недостоверны

Математика / экономика

1,103

p>0,05

Различия недостоверны

Человек-человек

5,026

p<0,01

Различия достоверны

Управление

0,799

p>0,05

Различия недостоверны

Творчество

3,842

p<0,01

Различия достоверны


Статистическая обработка данных с помощью t-критерия Стьюдента для независимых выборок по методике А.А. Азбеля и методике Р.В. Овчаровой

По психодиагностическим методикам данные были представлены в количественном выражении, то есть каждому показателю соответствовал определенный балл. Именно по этим показателям и производилась статистическая обработка.

Таблица Б3 - Промежуточные переменные


Группа

Среднее

Станд. Откл.

Ошибка станд. Средн.

Проф. идентичность

1 2

60 60

2,6000 2,9000

1,83787 2,28279

0,58119 0,72188

Внутр. индивид. значимые мотивы

1 2

60 60

2,0000 3,0000

1,05409 1,88562

0,3333 0,59628

Внутр. соц.значимые мотивы

1 2

60 60

3,9000 3,5000

0,56667 0,71880

Внешние положительные мотивы

1 2

60 60

4,5000 3,6000

1,43372 2,17051

0,45338 0,68638

Внешние отрицательные мотивы

1 2

60 60

1,9000 2,9000

0,87560 1,96921

0,27689 0,62272


Таблица Б4 - Итоговые коэффициенты

Показатель

Коэффициент t

Уровень значимости

Достоверность различий

Профессиональная идентичность

5,428

p<0,01

Различия достоверны

Внутренние индивидуально значимые мотивы

0,821

p>0,05

Различия недостоверны

Внутренние социально значимые мотивы

4,502

p<0,01

Различия достоверны

Внешние положительные мотивы

4,646

p<0,01

Различия достоверны

Внешние отрицательные мотивы

0,822

p>0,05

Различия недостоверны


Приложение В

Программа тренинга для старшеклассников из неблагополучных семей

Основная цель тренинга: актуализировать процесс профессионального самоопределения учащихся за счет специальной организации их деятельности, включающей получение знаний о себе, о мире профессионального труда.

Задачи тренинга:

·   сформировать знания и умения объективно осуществлять самоанализ уровня развития своих профессиональных качеств;

·        сформировать положительное отношение к самому себе, осознание своей индивидуальности, уверенность в своих силах применительно к реализации себя в будущей профессии;

·        выявить интересы и склонности, способности школьников;

·        сформировать способность принимать адекватное решение о выборе дальнейшего направления образования;

·        повысить уровень психологической компетентности учащихся, расширения границ самовосприятия, пробуждение потребности в самосовершенствовании;

·        сформировать навыки целеполагания, жизненного планирования и личностной ответственности за счет освоения технологий личностного и профессионального самоопределения.

Первое занятие

Цель: знакомство участников группы; введение в проблему профессиональных представлений личности; создание групповой атмосферы способствующей открытости, доверительности, сплоченности группы.

Задачи:

§  создание условий для знакомства участников группы;

§  обсуждение и принятие правил работы группы;

§  введение в проблему профессиональных представлений.

Необходимое оборудование: тетради для записи и выполнения заданий, с которыми участники будут приходить на каждое занятие, ручки, листы белой бумаги, булавки.

Ход занятия

Вступительное слово ведущих

Вступление посвящено ознакомлению участников группы с принципами организации тренинговых занятий, основными правилами работы в группе, формированию мотивации учащихся на работу по самопознанию и на активное участие в ней. Вначале ведущие должны представиться.

Одним из вариантов вступительного слова может быть следующий: «Цикл наших встреч рассчитан на 10 занятий по 2 - 2,5 часа. Встречаться мы с вами будем один раз в неделю. У таких групп, как наша, существуют определенные правила. Их соблюдение будет способствовать успешности работы:

активность всех участников в работу группы;

общение по принципу «здесь и теперь»;

выявление положительных качеств личности каждого участника;

искренность и доверительность в общении;

недоступность непосредственных оценок человека;

конфиденциальность всего происходящего в группе

выработка ритуала приветствия.

Во время обсуждения правил, тренер должен дать возможность высказаться всем желающим, выслушать все предложения, замечания и обсудить их».

Упражнение 1. «Как тебя зовут»

Участники сидят в кругу.

Участникам предлагается представиться: назвать свое имя, рассказать, почему его так назвали, нравиться ли свое имя, как зовут дома, в школе и сказать, каким именем ему хотелось бы, чтобы его называли в группе.

Обычно мы не задумываемся о том, что связано с нашим именем. Всегда интересно узнать что-то новое о нем, о других именах. Рассказывая о том, почему его так назвали, человек чуточку раскрывает сам себя. Между участниками устанавливается чувство эмпатии, создается благоприятная атмосфера для общения.

Примечание: некоторые участники недовольны своим именем. Они предпочитают, чтобы их называли в группе их полным или другим именем.

Упражнение 2. «Круг знакомств»

Все становятся в круг, и ведущий объясняет правила игры.

Инструкция: «Сейчас мы с вами продолжим знакомство и сделаем это так. Каждый по очереди делает шаг к центру круга, называет свое имя и демонстрирует движения и жесты, выражающее либо его отношение к людям, либо отношение к себе. Назвав и «показав себя», участник возвращается на место. Все остальные участники по возможности точно повторяют названное имя (важна интонация) и движение. Затем тоже проделывает каждый участник».

Обсуждение: участники разбредаются по классу и беседуют кто с кем хочет: «Я запомнил(а) твое движение (короткая пантомима). Мне кажется, что оно выражает то-то … Правильно ли я тебя понял(а)?» Или «Ты запомнил(а) мое движение (короткое напоминание)? Мне интересно знать, как ты его понял(а)? Спасибо, это любопытно, но я хотел(а) бы сказать еще вот что …».

Упражнение 3. «Двадцать Я»

Цель: развитие атмосферы открытости и доверия.

Каждому члену группы дается карандаш и бумага.

Инструкция: «Двадцать раз ответьте на вопросы «Кто Я? Какой Я?». Используйте характеристики, черты, интересы, чувства для описания себя, начиная каждое предложение с местоимения «Я» …

Если вы уже закончили, приколите листок бумаги на грудь. Затем начинайте медленно ходить по комнате, подходите к другим членам группы и внимательно читайте то, что написано на листке у каждого. Пожалуйста, ходите молча и лишь читайте, что написано у остальных. Когда я скомандую «стоп!» вы можете остановиться рядом с кем-нибудь из участников и рассказать друг другу о своих ответах».

Возможный вариант проведения: «Можете не показывать свой список всем, но дайте прочитать свой список тому, кому захотите».

Примечание: Упражнение может использоваться и как диагностическое. Тренер может отметить какие характеристики преобладают у каждого участника (положительные, отрицательные, нейтральные), их количественное соотношение. Также стоит обратить внимание на описанные социальные роли (сын, дочь, студент, учащийся, друг, подругу и т.д.), наличие ролей связанных с профессиональной деятельностью.

Психологическая суть профессиональных представлений

Участникам тренинга повествуется о важности профессиональных представлений в профессиональном становлении личности, о их структуре и содержании. Данную информацию можно найти в соответствующей главе.

Упражнение 4. «Плюс, минус, интересно»

Цель: актуализация профессиональных представлений участников.

Инструкция: «Вы сейчас обучаетесь профессии … . Давайте вспомним особенности вашей будущей профессиональной деятельности. Для этого запишите в своих тетрадях таблицу. В первой колонке таблицы запишите как можно больше плюсов, которые у вас появятся, после окончания школы, когда вы будете работать. Во второй колонке проставьте как можно больше минусов этой же ситуации. В третью колонку запишите, что интересного вы хотели узнать о вашей будущей профессиональной деятельности. Старайтесь, чтобы в каждой колонке было не меньше десяти вариантов».

Оценка профессии

Плюс

Минус

Интересно

1.




2.




3.




4.




5.




6.




7.








На работу отводится 15 минус. По окончании составляется обобщенная таблица, характеризующая приобретаемую профессию. Один участник группы зачитывает свои характеристики профессии. Остальные члены группы могут задавать вопросы, уточнять, дополнять. Все дополнения участниками заносятся в таблицу.

После обсуждения каждый член группы отвечает на вопросы: «Что нового об избранной профессии я понял или узнал?», «Чем могут быть полезны эти знания в дальнейшем?», «Как можно приобрести недостающие знания?».

Упражнение 5. «Войди в круг»

Цель: проводится на заключительном этапе первого занятия с целью отреагирования негативных эмоций, которые могут возникнуть во время занятия.

Инструкция: «Сейчас мы все встанем в круг, взявшись за руки. Один участник (по желанию) находится вне круга. Его задача попасть внутрь круга».

При этом ему не дается никаких инструкций по поводу того, как это сделать, он сам выбирает тактику поведения. Остальные члены группы также не получают никаких жестких указаний, т.е. они могут либо сопротивляться "прорыву", либо помочь человеку войти в круг. Обычно упражнение проходит весело. Упражнение проводится пока все участники не побывают в роли активного участника, либо пока не пропадет интерес к упражнению.

Обсуждение:

Почему вы поступали именно так (впускали либо нет)? Что вы ожидали (что вас впустят или нет)? Оправдались ли ваши ожидания?

Рефлексия занятия.

Цель: отработка навыков самоанализа эмоциональных состояний. Тренер предлагает каждому участнику группы выразить свое эмоциональное состояние в данный момент и попытаться определить, с чем оно связано.

Заканчивается первое занятие выработкой ритуала прощания.

Таким ритуалом, например, может быть следующий. Группа встает в круг, все берутся за руки и взглядами благодарят друг друга за совместную работу, хором говорят: "Спасибо. До встречи".

Либо можно предложить следующий вариант: «Участники становятся в круг, берутся за руки и крепко пожимают их. Все вместе говорят: «Спасибо за хорошее занятие».

Второе занятие

Цель: развитие содержания профессиональных представлений участников тренинга.

Задачи:

§  ознакомление участников тренинга с основными характеристиками избранной профессии;

§  ознакомление участников со схемой анализа профессии;

§  формирование знаний о типичном и специфичном в профессиональной деятельности.

Необходимое оборудование: тетради для записи и выполнения заданий, ручки, листы белой бумаги формата А4, доска, мел.

Ход занятия

Ритуал приветствия

Рефлексия прошлого занятия

Желательно каждое занятие начинать с рефлексии прошлого занятия, основной целью которой является осмысление содержания прошлого занятия, переосмысления своего мнения о себе, о других участниках тренинга.

Участникам предлагается ответить на вопросы касающиеся настроения, самочувствия, отношения к тренингу и т.д.

Формы проведения этой процедуры можно изменять. Ответы на вопросы ведущего могут даваться в вербальной и невербальной формах, в виде проективного рисунка, диаграммы и т.п.

Ведущий анализирует свое состояние вместе со всеми, желательно одним из последних. Процедура не должна быть растянута во времени и продолжаться более 10-15 минут.

Упражнение 1. «У дяди Абрама»

Цель: снятие напряженности, усиление сплоченности группы.

Участники сидят в круге и хором говорят: «У дяди Абрама было восемь сыновей. Они не ели, они не пили и не курили никогда». Второй раз повторяют, хлопая руками в ритм по коленям. Через некоторое время ведущий говорит: «А теперь добавим правую ногу, надо сильно топать правой ногой, давай топнем правой ногой». Таким образом, теперь все говорят туже фразу, хлопают руками в ритм по коленям и топают правой ногой. Через некоторое время ведущий говорит: «А теперь добавим еще и левую ногу, надо сильно топать левой ногой, давайте топнем левой ногой». Так же по очереди добавляются еще «правое плечо» (поднимается вверх), «левое плечо» (поднимается вверх), «голова» (вращение головой). Движения только дополняются, и, таким образом, к концу упражнения, хлопается, топается, поднимается и крутится все.

Упражнение 2. «Угадай профессию»

Цель - познакомить участников со схемой анализа профессии.

Процедура игры включает следующие этапы:

1.      Ведущий просит назвать учащихся в группе профессию, которую все хорошо знают.

2.      Далее ведущий обращается к группе со следующим заданием: «Представьте, что я «свалился с Луны» и ничего не знаю о земных профессиях, хотя по-русски все понимаю … попробуйте объяснить мне, что это за профессия такая». Обычно участники называют 8 - 12 характеристик профессий, которые являются далеко не исчерпывающими и сами признаются, что вроде бы и знают о чем рассказать, но забыли. Смысл данного этапа - сформировать желание у учащегося познакомиться со схемой анализа, которая позволила бы им, не путаясь, рассказать о любой профессии.

3.      Ведущий предлагает учащимся записать в свои тетради схему анализа профессии. Сразу же, по ходу записи ведущий показывает, как можно было бы анализировать только что обсуждающуюся профессию.

4.      После первого знакомства со схемой анализа профессии каждый участник индивидуально работает над «кодировкой» приобретаемой им профессией. Дальнейшее обсуждение профессии может быть проведено методом «Снежного кома». Цель использования данного метода заключается в согласовании представлений участников о своей будущей профессиональной деятельности. Непосредственному общему обсуждению основных характеристик профессиональной деятельности предшествует несколько этапов:

§  Индивидуальная работа каждого участника (формирование собственной позиции);

§  Обмен мнениями в парах (предъявление позиции) с целью выработки некоторого стандарта, который принимается обеими партнерами;

§  Выработка позиции четверки, составленной из двух согласованных пар;

§  Согласование в общей группе (см. рис 2).

Рис. 2 Схема проведения методики «Снежный ком»

Схема анализа профессий

Предмет труда:

-животные, растения (природа)

-материалы и заготовки

-люди (дети, взрослые)

-техника, транспорт

-знаковые системы

-художетсвенный образ

Цели труда:

-контролирование, оценивание, постановка диагноза

-преобразование

-изобретатение

-транспортирование

-обслуживание

-собственное развитие

Средства труда:

-ручные и простые приспособления

-механические

-автоматические

-функциональные (речь, зрение, слух)

-теоретические (знания, способы мышления)

-переносные или стационарные

Условия труда:

1-бытовой микроклимат

- большие помещения с людьми

-обычный производственный цех

-необычные производственные условия (особый режим влажности, стерильность и т.д.)

-экстремальные условия (риск для жизни и здоровья)

-работа на открытом воздухе

-домашний кабинет, лаборатория, мастерская

Характер общения в труде:

1-минимальное общение (индивидуальный труд)

-клиенты, посетители

-обычный коллектив (одни и те же лица)

-работа с аудиториями

-выраженная дисциплина, субординация в труде

-небольшой коллектив в замкнутом пространстве

Характер подвижности в труде:

1-преимущественно сидя

- преимущественно стоя

-множество разнообразных движений

-длительная ходьба

-вынужденные статичные позы

-высокая избирательная подвижность определенных групп мышц

Ответственность в труде:

1-материальная

-моральная

-за жизнь и здоровье людей

-невыраженная ответственность

Особенности труда:

1-высокий престиж работы

-льготы

- “соблазны”

-изысканные отношения, встречи со знаменитостями

-частые командировки

-законченный результат труда

-возможность работы по совместительству

-большая официальная зарплата-

Типичные трудности:

1-нервное напряжение

-профзаболевания

-распространены мат и сквернословие

-возможность преступить закон

-невысокий престиж работы

-маленькая зарплата

Минимальный уровень образования для работы:

1-без специального образования (после школы)

-краткосрочные курсы

-начальное профессиональное образование

-среднее профессиональное образование

-высшее профессиональное образование

-ученая степень

-дополнительное профессиональное образование

Упражнение 3. «День из жизни»

Цель: повысить уровень осознания участниками типического и специфического в будущей профессиональной деятельности

Упражнение проводится в кругу.

Инструкция: «Сейчас мы общими усилиями постараемся составить рассказ о типичном трудовом дне продавца (представителя приобретаемой учащимися профессии). Это будет рассказ только из существительных. Важное условие: прежде, чем назвать новое существительное, каждый участник должен повторить все, что было названо до него. Тогда ваш рассказ будет восприниматься как единое целое произведение. Чтобы лучше было запомнить названное существительное, советую внимательно смотреть на всех говорящих, как бы связывая слово с конкретным человеком».

Тренер может назвать первое слово, например, звонок, а остальные игроки по очереди называют существительные, обязательно повторяя все, что было названо до них. Если игроков немного (6 - 8 человек), то можно пройти два круга, тогда каждому игроку придется назвать по два существительных.

Обсуждение: при подведении результатов можно спросить у участников получился ли целостный рассказ или нет? Не испортил ли кто-то общий рассказ своим неудачным существительным? Если рассказ получился путанным или сумбурным, то можно попросить кого-то из игроков своими словами рассказать, о чем же был составленный рассказ, что там происходило? Можно также обсудить, насколько правдиво и типично был представлен трудовой день рассматриваемого профессионала.

Упражнение 4. «Стажеры»

Цель: ознакомление участников с основными структурными подразделениями предприятий, развитие умения сопоставлять требования профессий с качествами специалистов.

Процедура игры:

1.      Объявляется название игры и из группы выбираются 2 главных участника.

2.    Дается общая инструкция: «Представьте, что недавно наша земная цивилизация установила контакт с инопланетной цивилизацией. Ученые обеих цивилизаций начали интенсивно изучать неизвестный им образ жизни по различным направлениям. Два профессора-инопланетяне исследуют земные профессии. Они решили изучить их не только по книгам, но, по возможности, попробовав поработать по некоторым из этих профессий (как бы пройти стажировку). С этой целью они выбрали одно обычное земное предприятие. Мы с вами являемся представителями данного предприятия - руководителями различных служб, отделов, цехов. (Выбор предприятия зависит от приобретаемой участниками профессии). Нас всех собрали на ответственное совещание для того, чтобы мы подобрали нашим гостям несколько подходящих профессий, с учетом того, что инопланетяне сильно от нас отличается. Сейчас инопланетяне выйдут из комнаты и продумают, как они выглядят, а мы с вами распределим производственные службы. Через 5 -7 минут стажеры-инопланетяне познакомят нас со своим обликом, нарисовав его на доске и сделав некоторые пояснения, после чего руководители подразделений скажут, найдется ли в их цехах и отделах работа, пригодная для наших гостей».

3.      Гостям дается дополнительная инструкция, и они выходят на 5 -7 минут в коридор. Ведущий предлагает им бумагу и ручку с тем, чтобы они могли сделать набросок своего облика. Каждому участнику группы (или каждой паре, если игроков много) в случайном порядке раздаются инструкции для руководителей подразделений, где указывается его название, основные функции и главные требования к рядовому работнику. Играющие знакомятся со своими инструкциями, после чего ведущий вводит следующие условия: «Когда стажеры-инопланетяне познакомят нас со своим обликом, каждый руководитель должен решить, смогут ли стажеры работать в его подразделении или нет. Ведущий будет давать слово каждому руководителю, который перед своим решением должен вслух зачитать свою инструкцию или кратко рассказать о главных требованиях к типичному работнику в его подразделении. В случае, когда позиция руководителя вызовет возражения, он должен обосновать ее».

.        Стажеры приглашаются в помещение. Они знакомят всех со своим обликом - рисуют его на доске, кратко отвечают на вопросы. Большое количество вопросов нежелательно, т.к. игра может пойти в другом направлении. Данный этап следует закончить за 5 - 7 минут.

.        Ведущий дает высказаться руководителям подразделений. Если нет желающих, ведущий может сам предоставить кому-либо слово. Выступление каждого руководителя недолжно превышать 2 минут.

.        После каждого выступления организуется краткое обсуждение. Ведущий предлагает самим стажерам согласиться или нет с мнением руководителя, а также высказаться по этому поводу другим руководителям. В конце игры ведущий официально благодарит всех руководителей за участие в важном совещании.

Обсуждение: основное обсуждение проходит в ходе СА мой игры, а в конце можно подвести итог: напомнить о подразделениях, охарактеризовать не упоминавшиеся в игре, обратить внимание группы на общую структуру предприятия и место в ней обсуждавшихся подразделений. Важно обратить внимание, что на предприятии могут найти себе работу люди с самыми разными интересами и способностями, т.к. даже инопланетяне могут выполнять некоторые работы.

Упражнение 5. «Маскарад»

Цель: осознание специфических моментов определенной трудовой деятельности.

Инструкция: «Необходимо придумать наиболее интересный и необычный маскарадный костюм для избранной профессии. Необходимо также обосновать почему именно такой костюм больше всего подойдет для данной профессии».

На выполнение задания отводится 5 минут. Затем каждый представляет свой костюм. При этом ведущий или другой участник могут задавать уточняющие вопросы. Такие вопросы играют дополнительную активизирующую роль, поскольку заставляют участников более ответственно и обоснованно предлагать свои варианты костюмов.

Обсуждение: Обсуждение, чьи костюмы оказались более интересными.

Примечание. Можно предложить другой вариант проведения упражнения, когда участники разбиваются на микрогруппы (по 3 -5 человек) и уже там обсуждают варианты костюмов. Далее выясняется, чей костюм был лучше.

Аналогично можно организовать игровые упражнения «Подарок» (обсуждают какой подарок можно подарить представителю приобретаемой участниками профессии, отражающий его профессиональную деятельность), «Любимое блюдо» (обсуждают любимое блюдо представителей каких-либо профессий).

Упражнение 6. «Дождик»

Цель: снятие напряжения и развитие групповой сплоченности.

Участникам группы предлагается стать по кругу друг за другом и положить открытые ладони на спину впереди стоящего. Легкими прикосновениями каждый участник имитирует капли начинающего дождика. Капли падают чаще, дождь становится сильнее и превращается в ливень. Большие потоки стекают по спине. Потоки становятся меньше, капли падают все реже и совсем прекращаются.

Рефлексия занятия

Ритуал прощания

Третье занятие

Цель: развитие представлений участников о профессионально значимых сенсорно-перцептивных свойствах и свойствах внимания.

Задачи:

§  ознакомление участников тренинга с целями и задачами профессиографии, ее значения для развития личности специалиста;

§  развитие представлений участников о требованиях, предъявляемых приобретаемой участниками профессией, к сенсорно-перцептивным свойствам и вниманию специалиста;

§  изучение представлений участников о собственных сенсорно-перцептивных свойствах и свойствах внимания, необходимых для будущей профессиональной деятельности, и их развитии.

Необходимое оборудование: тетради для записи и выполнения заданий, ручки.

Ход занятия

Ритуал приветствия

Рефлексия прошлого занятия

Упражнение 1. «Атомы и молекулы»

Цель: снятие напряжения и формирование группового сплочения

Участники стоят по кругу.

Инструкция: «Представим себе, что все мы - атомы. Атомы выглядят так (тренер показывает, согнув руки в локтях и прижав кисти к плечам). Атомы постоянно двигаются и время от времени объединяются в молекулы. Число атомов в молекуле может быть разное, оно будет определяться тем, какое число я назову. Мы все сейчас начнем быстро двигаться по этой комнате, и время от времени я буду говорить какое-то число, например 3. И тогда атомы должны объединяться по 3 атома в каждой. Молекулы выглядят так (тренер вместе с двумя участниками группы показывают, как выглядит молекула: они стоят лицом друг к другу в кругу, касаясь друг друга предплечьями)».

Во время выполнения упражнения, в котором тренер принимает вместе с группой, он не называет таких чисел, когда один участник группы может остаться вне молекулы, например 3 при общей (вместе с тренером) численности 10 человек. В конце упражнения тренер называет число, равное количеству всех участвующих в упражнении.

Обсуждение: Что вы чувствовали во время выполнения упражнения? Как вы себя чувствуете сейчас? Можем ли мы приступить к работе? И т.д.

Упражнение 2. «Понятийно-терминологическая игра»

Цель: совершенствование умения пользоваться понятийным аппаратом психологической терминологии.

Участники группы делятся на три дискуссионные группы по 4 - 6 человек. Каждой группе предлагается дать определение (устно) понятиям: первой группе - ощущение и восприятие (виды), второй - внимание и его виды (непроизвольное, произвольное и послепроизвольное), третьей - свойства внимания (объем, концентрация, распределение, устойчивость, переключение).

После того как содержательные и другие необходимые признаки данных понятий обсуждены внутри группы (10 минут), представитель группы озвучивает результаты работы, причем представители других групп могут вносить свои дополнения, коррективы, аргументировано выражать свое несогласие. «Хранитель информации» (выбирается по желанию из участников группы на предыдущем занятии), работавший до этого с толковыми, энциклопедическими словарями, комментирует итоги работы каждой группы.

Упражнение 3. «Профессиограмма»

Цель: развитие представлений подростков о сути профессиографической работы, диагностика профессиональной самооценки учащихся.

Совместно с группой составляется перечень профессионально значимых сенсорно-перцептивных свойств и свойств внимания.

Обсуждение профессионально значимых свойств личности может проходить по следующей схеме:

1.    Выделяются и обсуждаются сенсорно-перцептивные свойства и свойства внимания, необходимые для успешной профессиональной деятельности. Определяется, в каких ситуациях данные свойства вовлекаются в работу.

2.      Учащимся предлагается, опираясь на опыт, знание относительной частоты повторяемости разных трудовых ситуаций, операций, оценить по пятибалльной шкале частоту, с какой наблюдается каждый из видов ощущений, восприятий и внимания (1 - не наблюдается, 2 - наблюдается редко, 3 - средне, 4 - часто, 5 - постоянно).

.        На следующем этапе участникам предлагается, на основании полученных оценок расположить виды ощущений, восприятия и внимания в порядке убывания и сделать заключение о том, равномерно ли загружены в обсуждаемой работе разные «сенсорные каналы», не перегружены ли некоторые из них. Обсуждается также вопрос о том, нельзя ли уменьшить долю одних анализаторов за счет включения в деятельность других. Например, в профессиональной деятельности продавцов значительная роль отведена зрительному анализатору. Уменьшение обилия зрительных сигналов, ориентирующих признаков можно достигнуть введением увеличения доли слуховых или осязательных, например, посредством введения рельефных, хорошо различимых на ощупь, а не «безликих» кнопок и т.д.

.        Участниками в тетради зарисовывается таблица.

Качества

Оценка

Группа

Разность

Дома

Примечания


себе

Хорошему знакомому





1. 2. …








Каждый участник в таблице в первой графе записывает проранжированные качества, выделенные в предыдущем задании.

. Затем каждый участник в оценочной таблице I, в графе «Себе» в пятибалльной системе проставляет оценки по всем качествам.

5 - качество развито в высшей мере;

- качество развито высоко;

- качество развито средне;

- качество развито недостаточно;

I - качество отсутствует.

. В графе "Хорошему знакомому" участник проставляет баллы по всем качествам реальному /знакомому/ человеку, которого он считает для себя примером. Это может быть и участник группы.

. В графу «Группа» вносятся баллы, которые в результате обсуждения, выставляет группа каждому участнику по этим же качествам. При обсуждении качеств участника и выставлении ему баллов должны соблюдаться следующие ограничения:

. Должно быть не более трех пятерок;

. не менее четырех троек;

. не менее 1 двойки.

После группового обсуждения и принятия оценок, участник в графе "Разность" записывает разность оценок в графе "Себе" и в графе «Группа». Внизу записывается:

Сумма всех +;

сумма вcex - ;

сумма всех 0 .

Если у подростка преобладает сумма "+", то, скорее всего у него завышенная самооценка своих профессиональных возможностей.

Преобладание суммы "-" указывает на склонность к недооценке своих профессиональных качеств.

В случае преобладания суммы "0" можно говорить об адекватной профессиональной самооценке участника группы.

8. Завершая упражнение, ведущий может предложить подросткам вернуться к таблице еще раз дома, через некоторое время и заполнить графу "Дома", записав в «Примечания» наблюдения за своим поведением.

Обсуждение: Что было легче оценивать себя или других? Что вы чувствовали, когда оценивали вас? На какие профессионально значимые свойства личности (сенсорно-перцептивные, свойства внимания) вам необходимо обратить особое внимание?

Упражнение 4. «Чужие коленки»

Цель: развитие произвольного внимания, концентрации внимания.

Участники садятся в тесный круг. Каждый участник кладет свои руки на колени соседям. Правая рука оказывается на левой коленке соседа справа, а левая рука на правой коленке соседа слева.

Инструкция: «Сейчас мы с вами сядем в тесный круг. Правую руку положите на левую коленку соседа справа, а левую на правую коленку соседа слева. По команде «Начали!» по очереди, начиная с ….. будем хлопать по коленкам. Кто ошибается - выбывает из игры».

Игра продолжается до тех пор, пока не определиться победитель.

Обсуждение: Какие особенности психики помогали вам правильно выполнять задание? Почему получилось или не получилось выиграть? Что мешало, что помогало?

Упражнение 5. «Слова»

Цель: развитие концентрации внимания, словарного запаса.

Участники сидят по кругу.

Инструкция: «Сейчас мы с вами поиграем в игру, в которой необходимо будет вспомнить слова, содержащие одинаковые буквы. Первый участник должен сказать слово, содержащее три буквы «А». Это должно быть имя существительное в единственном числе, именительном падеже. Затем он указывает на любого участника, тот должен назвать слово в котором 2 буквы «Б» и т.д. Если вам выпала гласная буква, то слово должно содержать 3 такие буквы, если согласная - 2. Выбрасываются из игры буквы ё, й, ь, ы, ъ, щ, э, ю, я».

Игра продолжается пока не закончится алфавит.

Примерные слова: сарафан, барабан, воровка, гогот, дудочка, переезд, жжение, заноза, дисциплина, колокол, лилипут, мимоза, ненависть, поворот, парапет, раритет, сосна, титул, фурункул, философия, хохот, царица, чучело, шишка.

Обсуждение: Какие особенности психики помогали вам правильно выполнять задание? Что мешало, что помогало?

Упражнение 6. «Пишущая машинка»

Цель: развитие переключения внимания.

Участники сидят по кругу.

Инструкция: «Давайте представим себе, что все мы - большая пишущая машинка. Каждый их нас - буквы на клавиатуре (немного позже мы распределим буквы, каждому достанется по три буквы алфавита. Наша машинка может печатать разные слова и делает это так: я говорю слово, например, «поезд», и тогда тот, кому достается буква «п», хлопает в ладоши, потом мы все вместе хлопаем в ладоши, затем хлопает в ладоши тот, у кого буква «о», и снова общий хлопок и т.д. (Тренер распределяет буквы). Если наша машинка сделает ошибку, то мы будем печатать слово с самого начала».

Тренер приступает к проведению упражнения, подбирая такие слова, чтобы все члены группы могли принять в нем участие.

В процессе выполнения упражнения можно усложнить задачу: предложить в одном слове всем вместе хлопать в ладоши между буквами два раза, а в следующем - 1 раз после согласных и два раза после гласных, можно заменить хлопки на вставание.

В результате проведение упражнения мобилизуется внимание, улучшается настроение, повышается активность участников занятий. Упражнение позволяет осознать необходимость постоянной включенности в процесс совместной деятельности, что в определенной степени интегрирует группу.

Если в ходе упражнения было много ошибок, то после его окончания можно задать вопрос: «Какие трудности у вас были?».

Рефлексия занятия

Ритуал прощания

Четвертое занятие

Цель: развитие представлений участников о профессионально значимых мнемонических (свойства памяти) и мыслительных свойствах.

Задачи:

§  ознакомление участников тренинга с требованиями, предъявляемыми будущей профессией к мнемоническим и мыслительным свойствам личности специалистов;

§  изучение представлений участников о собственных мнемонических (свойства памяти) и мыслительных свойствах, необходимых для будущей профессиональной деятельности, и их развитии;

§  развитие профессионально значимых мнемонических и мыслительных свойствах личности;

§  формирование потребности в профессиональном самопознании.

Необходимое оборудование: тетради для записи и выполнения заданий, ручки, доска, мел.

Ход занятия

Ритуал приветствия

Рефлексия прошлого занятия

Упражнение 1. «Встреча»

Цель: активизация участников тренинга, снятие напряжения.

Инструкция: «Сейчас мы разделимся на две равные группы. Каждая группа выстраивается в круг так, чтобы получилось два концентрических круга - внешний и внутренний. Все поворачиваемся в затылок друг другу так, чтобы круги могли вращаться в противоположные стороны, например, внешний - по часовой стрелке, а внутренний - против. По моей команде вы остановитесь и повернетесь лицом друг к другу, разбиваясь на пары. Как только пары выстроятся, я дам команду, что надо делать, это будет ситуация приветствия».

Возможные варианты приветствия, предлагаемые тренером:

o        вы встретились после долгой разлуки, а до этого вы были в добрых, но не очень близких отношениях;

o   вы были самыми добрыми друзьями в детстве. Вы давно не видели друг друга.

o   Человек, стоящий перед тобой, очень робеет, ему предстоит трудный и важный разговор. Подбодри его. Поменяйтесь местами.

o   Этот человек сделал для тебя нечто очень приятное и непростое. Ты только что об этом узнал.

Обсуждение: каждый делится с группой, чей комплимент был самым приятным, самое удачное подбадривание.

Упражнение 2. «Понятийно-терминологическая игра»

Цель: совершенствование умения пользоваться понятийным аппаратом психологической терминологии.

Участники группы делятся на три дискуссионные группы по 4 - 6 человек. Каждой группе предлагается дать определение (устно) понятиям: первой группе - память и ее виды, второй - мышление и его виды, третьей - речь.

После того как содержательные и другие необходимые признаки данных понятий обсуждены внутри группы (10 минут), представитель группы озвучивает результаты работы, причем представители других групп могут вносить свои дополнения, коррективы, аргументировано выражать свое несогласие. «Хранитель информации» (выбирается по желанию из участников группы на предыдущем занятии), работавший до этого с толковыми, энциклопедическими словарями, комментирует итоги работы каждой группы. Желательно, чтобы на каждом занятии в качестве «Хранителя информации» побывали различные участники группы.

Цель: развитие представлений подростков о профессионально значимых мнемонических и мыслительных свойствах личности, диагностика профессиональной самооценки учащихся.

Упражнение выполняется аналогично, как и на третьем занятии, но обсуждаются особенности памяти и мышления, необходимые для будущей успешной профессиональной деятельности.

Упражнение 4. «Заблудший рассказчик»

Цель: развитие памяти и внимания учащихся.

Участники садятся в круг.

Инструкция: «Сейчас мы с вами будем вести беседу на какую-либо тему. Например, профессионально значимые свойства продавца (профессия, приобретаемая участниками). Один из участников, по желанию, начнет развивать заданную тему, а затем, следуя за случайными ассоциациями, уведет разговор в сторону, то есть будет перескакивать с одной темы на другую, затем на третью, стремясь как можно больше запутать свое повествование. Затем говорящий жестом передаст слово другому человеку, на его выбор. Тот, на кого пал выбор должен «распутать» рассказ, то есть кратко пройти по всем ассоциациям от конца к началу. Затем уже он запутывает рассказ».

В результате проведение упражнения мобилизуется внимание и память, улучшается настроение, повышается активность участников занятий. Упражнение позволяет осознать необходимость постоянной включенности в процесс совместной деятельности.

Обсуждение: Какие особенности психики помогали вам правильно выполнять задание? Что мешало, что помогало?

Упражнение 5. «Что нового?»

Цель: развитие гибкости мышления, способности преодолевать стереотип действий.

Участники садятся в круг.

Инструкция: «Сейчас мы с вами попытаемся придумать, открыть необычные свойства, способы использования самых обычных предметов, например, карандаша. Для этого, в течение пяти минут самостоятельно напишите всевозможные варианты использования, применения карандаша».

После пятиминутной работы над заданием организуется обсуждение предложенных вариантов. Ответы могут зачитываться поочередно и записывать на доске. Затем отмечаются наиболее оригинальные (отмеченные одним - двумя участниками), многочисленные и разнообразные ответы. В конце можно устроить дискуссию о правильности сделанных предложений.

Обсуждение: Какие особенности психики помогали вам правильно выполнять задание? Что мешало, что помогало? Каким образом вы сможете использовать полученные навыки в будущей профессиональной деятельности?

Упражнение 6. «Сходство и различие»

Цель: развитие логических операций мышления.

Участники садятся в круг.

Инструкция: «Я вам буду предлагать по два случайных выбранных слова. Ваша задача придумать как можно больше общих признаков, объединяющих эти слова».

Примерный перечень слов: тарелка и лодка, дерево и дом, солнце и рубашка, самолет и ложка.

После пятиминутной работы над заданием организуется обсуждение предложенных вариантов. Ответы могут зачитываться поочередно и записывать на доске. Затем отмечаются наиболее оригинальные (отмеченные одним - двумя участниками), многочисленные и разнообразные ответы. В конце можно устроить дискуссию о правильности сделанных предложений.

Обсуждение: Какие особенности психики помогали вам правильно выполнять задание? Что мешало, что помогало? Каким образом вы сможете использовать полученные навыки в будущей профессиональной деятельности?

Упражнение 7. «Зоопарк»

Цель: развитие самопознания участников, снятие эмоционального напряжения, возникшего в процессе выполнения предыдущих заданий.

Участники садятся в круг.

Инструкция: «Сейчас каждый из нас придумает животное, которое ему очень нравится, и которое он хотел бы изобразить, показать группе. Может получить так, что одно и тоже животное выберут несколько участников группы, в этом нет ничего страшного. Определившись с животным, оставьте его в тайне, никому не говорите, кого вы будете нам показывать».

После того как каждый участник выбрал себе животное, он показывает его всей группе. Группа должна отгадать, кого он изобразил.

Обсуждение: Почему вы выбрали именно это животное? Возникли ли трудности при его показе?

При обсуждении обращается внимание на чувства и особенности взаимодействия участников.

Рефлексия занятия

Ритуал прощания

Пятое занятие

Цель: развитие представлений участников о профессионально значимых психомоторных свойствах личности, особенностей темперамента и способностях.

Задачи:

§  ознакомление участников тренинга с требованиями, предъявляемыми будущей профессией к психомоторным свойствам личности, темпераменту и способностям специалистов;

§  изучение и развитие представлений участников о собственных психомоторных свойствах, склонностях и способностях, необходимых для будущей профессиональной деятельности;

§  формирование позитивного самовосприятия.

Необходимое оборудование: тетради для записи и выполнения заданий, ручки, листы белой бумаги формата А 4.

Ход занятия

Ритуал приветствия

Рефлексия прошлого занятия

Упражнение 1. «Поза»

Цель: снижение напряжения, активизация участников группы.

Участники садятся по кругу.

Инструкция: «Начнем сегодняшний день так: бросая друг другу мяч, будем называть имя того, кому бросаем. Тот, кто получит мяч, принимает такую позу, которая отражает его внутреннее состояние, а все остальные, воспроизводя позу, стараются почувствовать, понять состояние этого человека. После этого тот, у кого находится мяч (и чью позу мы только что воспроизвели), бросает мяч следующему и так далее до тех пор, пока мяч не побывает у каждого из нас».

Обсуждение: «Как вам кажется, какое состояние у каждого из нас?» После того как относительно каждого высказывается несколько гипотез, следует обратиться к самому человеку с тем, чтобы он сам сказал, какое у него состояние.

Это упражнение хорошо использовать, если далее предлагается работа, связанная с познанием состояния собеседника или своего состояния в общении, с вербализацией этого состояния.

Упражнение 2. «Понятийно-терминологическая игра»

Цель: совершенствование умения пользоваться понятийным аппаратом психологической терминологии.

Участники группы делятся на три дискуссионные группы по 4 - 6 человек. Каждой группе предлагается дать определение (устно) понятиям: первой группе - психомоторные свойства, второй - темперамент и его виды, третьей - способности.

После того как содержательные и другие необходимые признаки данных понятий обсуждены внутри группы (10 минут), представитель группы озвучивает результаты работы, причем представители других групп могут вносить свои дополнения, коррективы, аргументировано выражать свое несогласие. «Хранитель информации» (выбирается по желанию из участников группы на предыдущем занятии), работавший до этого с толковыми, энциклопедическими словарями, комментирует итоги работы каждой группы.

Упражнение 3. «Профессиограмма».

Цель: развитие представлений подростков о профессионально значимых психомоторных свойствах личности, особенностях темперамента и способностях, диагностика профессиональной самооценки учащихся.

Упражнение выполняется аналогично, как и на третьем, четвертом занятии, но обсуждаются особенности психомоторики, темперамента, склонностей и способностей, необходимых для будущей успешной профессиональной деятельности.

Упражнение 4. «Волшебная рука»

Цель: активизация процесса самопознания.

Участники садятся по кругу.

Инструкция: «На листе бумаги обводим свою руку. На пальчиках пишем свои хорошие качества, а на ладошке - то, что мы хотим изменить. Из написанных качеств, определяем профессионально значимые, и какие необходимо развивать в первую очередь».

На выполнение задания отводится 5 - 7 минут. После заполнения ладошки, каждый участник представляет группе рисунок с комментариями. Остальные члены группы могут его дополнять, задавать уточняющие вопросы.

Обсуждение: «Какие трудности возникали при выполнении задания?» «Что было легче записывать положительные качества или качества, которые хотели бы изменить?»

Упражнение 5. «Кто это?»

Цель: развитие позитивного самовосприятия.

Участники садятся по кругу.

Инструкция: «Для выполнения упражнения нам потребуется доброволец. (Тренер ждет пока, кто-либо не выскажет желания участвовать в упражнении.) Доброволец должен выйти на некоторое время за дверь. Теперь (после того как вышел доброволец) мы должны выбрать любого участника, которого будем описывать, когда вернется коллега. Высказываться должны все по очереди. Описание может включать качества личности, профессионально значимые свойства личности, описание также может быть метафоричным, например, если бы это была книга, то это была бы энциклопедия и т.д. Нельзя только называть по имени. Подумайте несколько минут как более точно и полно описать задуманного участника».

Когда возвращается выходящий, ему дается следующая инструкция: «Мы загадали одного участника группы. Сейчас каждый по очереди будет предлагать тебе какую-либо его характеристику. Твоя задача отгадать, кого мы задумали». Участник, которого выбрала группа для характеристики, также принимает участие в своем описании.

Упражнение можно повторить с несколькими участниками как выходящими, так и описываемыми.

Обсуждение: В заключении, каждому, чей портрет сделала группа, предлагается высказать свои впечатления.

Упражнение 6. «Фоторобот»

Цель: активизация знаний учащихся о профессионально значимых свойствах личности.

Участники садятся по кругу.

Инструкция: «Сейчас мы с вами должны составить собирательный фоторобот группы - хорошего профессионала. Изображение строится из 12 - 15 элементов. Сюда входят (сверху вниз): голова, шея, правая рука, левая рука, туловище, левая и правая нога, левый глаз, правый глаз, нос, рот, уши, волосы».

Тренер сначала зачитывает названия соответствующих частей, а потом спрашивает: «Какая у нашего фоторобота будет голова?». Участники должны ответить: «Пусть это будет голова Сидорова, потому что …». В заключении роботу дается имя.

Тренер должен обращать внимание, чтобы участники при определении соответствия частей тела и представителей руководствовались знаниями как требований, предъявляемых профессией, так и качеств личности претендентов. Например, Сидоров пусть будет «головой», потому что он лучше всех владеет профессиональными знаниями, у него хорошо развито мышление» и т.д. имя фоторобота тоже должно ассоциироваться с будущей профессией. Тренер должен напоминать это участникам.

Обсуждение: Все ли довольны получившимся портретом, может быть, кто-то хотел, что-нибудь заменить и почему?

Рефлексия занятия

Ритуал прощания

Шестое занятие

Цель: развитие представлений участников о профессионально значимых социально-психологических свойствах личности.

Задачи:

§  ознакомление участников тренинга с требованиями, предъявляемыми будущей профессией к социально-психологическим свойствам личности;

§  изучение и развитие социально-психологических свойств личности будущего профессионала;

§  развитие навыков адекватного эмоционального отреагирования в напряженных производственных ситуациях.

Необходимое оборудование: тетради для записи и выполнения заданий, ручки.

Ход занятия

Ритуал приветствия

Рефлексия прошлого занятия

Упражнение 1. «Меняющаяся комната»

Цель: снижение напряжения, активизация участников группы.

Участники стоят по кругу.

Инструкция: «Давайте сейчас все будем медленно ходить по комнате … А теперь представьте, что комната наполнена жвачкой и вы продираетесь сквозь нее … А теперь пошел дождь, все вокруг стало голубым и серым. Вы идете печально, грустно, усталые … А теперь комната стала оранжевой - оранжевые стены, пол и потолок, вы чувствуете себя наполненными энергией, веселыми, легкими, как пузырьки в «Фанте» …».

Обсуждение: «Как вы себя чувствуете?»

Упражнение 2. «Понятийно-терминологическая игра»

Цель: совершенствование умения пользоваться понятийным аппаратом психологической терминологии.

Участники группы делятся на три дискуссионные группы по 4 - 6 человек. Каждой группе предлагается дать определение (устно) понятиям: первой группе - нравственные свойства личности, второй - интеллектуальные свойства личности, третьей - эмоционально-волевые свойства личности.

После того как содержательные и другие необходимые признаки данных понятий обсуждены внутри группы (10 минут), представитель группы озвучивает результаты работы, причем представители других групп могут вносить свои дополнения, коррективы, аргументировано выражать свое несогласие. «Хранитель информации» (выбирается по желанию из участников группы на предыдущем занятии), работавший до этого с толковыми, энциклопедическими словарями, комментирует итоги работы каждой группы. Желательно, чтобы на каждом занятии в качестве «Хранителя информации» побывали различные участники группы.

Упражнение 3. «Профессиограмма».

Цель: развитие представлений подростков о профессионально значимых социально-психологических свойствах личности, диагностика профессиональной самооценки учащихся.

Упражнение выполняется аналогично, как и на третьем, четвертом занятии, но обсуждаются особенности социально-психологических свойств личности, необходимых для будущей успешной профессиональной деятельности.

В результате выполнения аналогичных упражнений на третьем, четвертом, пятом и шестом занятиях у участников тренинга в итоге должен быть составлен список профессионально значимых свойств личности. Желательно на шестом занятии провести его некоторую коррекцию, связанную с ранжированием уже готового полного списка выделенных профессионально значимых свойств личности.

Упражнение 4. «Организация»

Цель: ознакомление с основными профессиональными действиями специалистов, особенностями поведения в конфликтных ситуациях.

Упражнение проводится в виде ролевой игры.

Инструкция: «Вначале нам необходимы два добровольца - два главных действующих лица. Первый участник - посетитель организации (покупатель, пациент, клиент, пострадавший и т.д.), второй - служащий той организации, в которую направляется первый участник (продавец, врач, психолог, милиционер и т.д.)».

После того, как группа определилась с главными участниками, им предлагается определиться кто они.

Инструкция посетителю: «Сейчас ты должен сам определиться кто ты, сколько тебе лет, какая у тебя цель посещения».

Инструкция служащему: «Сейчас ты должен придерживаться соответствующей роли (продавец, врач, психолог, милиционер и т.д.), ты можешь использовать имидж роли, ее атрибуты».

Инструкция группе: «Во время проигрывания ситуации профессиональной деятельности, вы должны наблюдать за действиями игроков, определить соответствует ли поведение посетителя и служащего ожиданиям и представлениям о данных ролях, отметить особенности внешности, позы, мимики, речи (громкость, тембр, выражения), содержания диалога».

В данном упражнении для тренера важно акцентировать внимание на целеполагании, целенаправленных усилиях для успешного решения вопроса.

После выполнения нескольких сценок, второму участнику дается скрытое задание - уходить от роли служащего (продавца, врача, психолога, милиционера и т.д.). Так, например, врач не выслушивает жалобы больного, а предлагает сыграть в шахматы. Наблюдатели отмечают - насколько посетитель удерживается в рамках заданной роли, преследует ли свои цели, что ему помогает, а что мешает разобраться в ситуации, особенности его поведения.

Обсуждение: Поведение каких участников вам показалось не соответствующим ожиданиям от роли? Что чувствовали посетители, когда служащие не соответствовали своей роли? Удалось ли посетителям достичь своих целей? Если бы в жизни было как в сценке - перепутанные роли, что было бы, как бы себя чувствовали?

В последующих сценках можно сосредоточиться на конфликтах, когда у участников есть противоположные цели. При обсуждении важно иметь в виду, что конфликт может быть конструктивным, это возможность активизации перестройки. Не обязательно уходить от конфликта или сразу же грубить. Это развивающая ситуация, развивающая дивергентность нашего мышления и поведения в сложных ситуациях.

Упражнение 5. «Магазин»

Цель: развитие навыков эмоционального реагирования, умения разрешать конфликтные ситуации в профессиональной деятельности.

Упражнение проводится в виде ролевой игры.

Инструкция: «Вначале необходимо определить с двумя добровольцами, которые будут выполнять роли кассира и покупателя. (Тренер ждет пока группа определится с представителями)».

Инструкция кассиру: «Сейчас тебе нужно будет сыграть роль кассира, который будет обвинять покупателя в том, что тот взял из магазина перчатки. При этом у покупателя отсутствует чек, который бы доказал, что перчатки куплены в другом магазине».

Инструкция покупателю: «Сейчас тебе нужно будет сыграть роль покупателя. Тебе необходимо будет доказать кассиру, что находящиеся у тебя перчатки куплены в другом магазине, хотя чек из другого магазина у тебя отсутствует».

Инструкция группе: «Наблюдая за сценкой вам необходимо отметить, какими стратегиями, тактиками, способами общения пользуются главные герои».

Примечание для ведущего: если покупатель не справляется со своей задачей, ему могут помочь другие члены группы, если сразу отступает кассир, то его заменяют другим членом группы.

Обсуждение: в процессе обсуждения проводится анализ позиций, стратегий, тактик, стилей общения игроков. Следует обратить внимание на наиболее приемлемые в данной ситуации способы выхода из конфликта, на техники аргументации своей позиции.

Упражнение 6. «Саймон сказал …»

Цель: снятие психического напряжения, повышение сплоченности группы.

Участники садятся по кругу.

Инструкция: «Мы будем выполнять различные движения, действия. При этом необходимо соблюдать одно условие: выполнять только те действия, сообщение о которых я буду предварять словами: «Саймон сказал». Например, если я говорю: «Саймон сказал: поднимите правую руку», то вы делаете это. Если я скажу: «Поднимите руку» или «Я прошу вас поднять руку», - то это действие совершать не надо».

Характер действий, предлагаемых тренером, может быть различным: ходьба, повороты, поднимание рук, прыжки и т.д. при этом тренер может провоцировать группу: например, тренер говорит: «Давайте встанем» и сам встает или : «Поднимите правую руку» и сам поднимает и т.д.

Упражнение надо проводить в быстром темпе. Обычно оно проходит весело, в результате чего снижается напряжение, усталость, улучшается настроение. В то же время оно способствует мобилизации внимания.

Рефлексия занятия

Ритуал прощания

Седьмое занятие

Цель: развитие позитивного эмоционального отношения к избранной профессии и себе как субъекту труда.

Задачи:

§  осознание участниками тренинга собственного эмоционального отношения к избранной профессии;

§  обсуждение влияния эмоционального отношения к деятельности на успешность деятельности и удовлетворенность ею;

§  развитие позитивного восприятия себя в учебно-профессиональной и будущей профессиональной деятельности.

Необходимое оборудование: тетради для записи и выполнения заданий, ручки, простые карандаши, стандартные листы бумаги (формат А 4).

Ход занятия

Ритуал приветствия

Рефлексия прошлого занятия

Упражнение 1. «Пожелание»

Цель: создание работоспособности, активизация участников группы.

Все участники сидят в кругу.

Инструкция: «Давайте начнем сегодняшний день с того, что выскажем друг другу пожелания на день, и сделаем это так. Первый участник встанет, подойдет к любому, поздоровается с ним, и выскажет ему пожелание на сегодняшний день. Тот, к кому подошел первый участник, в свою очередь, подойдет к следующему и так далее, пока каждый из нас не получит пожелание на день».

Обсуждение: «Как вы себя чувствуете?» либо «Расскажите, что вы чувствовали, когда высказывали пожелание кому-то из нас и какие у вас были чувства, состояния, когда к вам обращались с пожеланиями на день?»

Если во время выполнения упражнения тренер замечает, что многие участники группы испытывают трудности, то после завершения упражнения можно спросить группу именно о них. Вопрос может звучать так: «Какие у вас были трудности в ходе выполнения задания?». Такого рода вопрос выполняет двоякую функцию: с одной стороны, отвечая на него, человек получает возможность отреагировать негативные эмоции, снять напряжение, возникшее в ходе упражнения, с другой стороны, ответы на этот вопрос позволяют осознать свой опыт и расширить его за счет мнений других участников. Осознание своего опыта в данном случае - это осознание тех барьеров, которые мешают людям быть более открытыми, искренними, лучше понимать и чувствовать других людей, их истинные потребности.

Упражнение 2. «Проективный рисунок»

Цель: осознание собственного эмоционального отношения к избранной профессии.

Каждый участник выполняет рисунок на тему: «Эмоции (мысли), которые возникают у меня, когда я думаю об избранной профессии».

Рисунок делается простым карандашом на листе бумаги обычного формата (формат А4). Никаких пояснений в инструкции не делается. Можно лишь пояснить, что это не обязательно должно быть изображение человеческого лица.

Для интерпретации и последующего обсуждения важно, чтобы ведущие (тренер) хотя бы приблизительно заметили время, затраченное на рисунок. Длительность процесса рисования или латентного периода до рисования прямо пропорциональна трудности темы для участников группы.

Рисунки необходимо подписать (можно по имени) и отдать ведущим.

Обсуждение происходит следующим образом: по кругу пускается один рисунок. Каждый из членов группы (или по два человека) должен сказать, что он видит на рисунке и каково его впечатление. Ведущие могут задавать вопросы:

Что из изображенного на рисунке ближе его автору (если нарисовано несколько вариантов отношения к профессии)?

Что позволяет сделать такой вывод?

Как можно описать изображенное отношение?

При этом каждый из участников группы должен высказать свое суждение. Таким образом, каждый член группы получит обратную связь от каждого товарища и сможет сопоставить мнение большого числа людей о своем отношении к профессии.

Завязавшуюся дискуссию ведущие должны направлять на достижение всеми понимания роли позитивных и негативных эмоций в деятельности (а также эмоций нерешительности, неуверенности и т.д.). Предположить заранее, какой комплекс отношений окажется в группе, очень трудно. Поэтому ведущие должны обладать общими сведениями о влиянии отношений на успешность деятельности.

Второй темой дискуссии должно стать обсуждение причин, составляющих основу отношений. Только разобравших в причинах, можно управлять эмоциями и отношениями.

Зачастую рисунок отражал не только отношение к профессии, но и основные жизненные цели. Например, как отмечает А.П. Чернявская, одним из вариантов рисунка может быть темная дорога, сужающаяся кверху (нередко ее изображали извилистой, петляющей), в конце дороги - признаки материального благополучия. Темная дорога обычно олицетворяет долгую жизнь при самоограничении с целью иметь к определенному возрасту (обычно 30 - 40 лет) материальный достаток. Для обсуждения можно выбрать тему: «Стоит ли в течение многих лет «откладывать жизнь на завтра»?» Девушки иногда рисуют себя в нескольких ролях - на работе и в кругу семьи. Причины подобного разделения жизни также могут стать темой обсуждения.

Иногда встречаются рисунки, отражающие негативное отношение к профессии. Например, участники изображают надломленные цветки, себя за решеткой и т.д. В подобных случаях необходимо обсудить, чем вызваны данные рисунки, и обязательно рассмотреть пути разрешения подобной ситуации, изменения рисунка на позитивный. Каждый участник, в том числе и автор, принимает участие в обсуждении возможностей разрешения проблемы негативного отношения к профессии. В конце автору рисунка предлагается при его желании изменить имеющийся рисунок или нарисовать новый. Если такового желания нет, то не стоит настаивать.

Иногда рисунок говорит не об отношении к профессии, а о не желании человека раскрывать это отношение (либо целиком зачеркнутый, либо весь исчерканный линиями, либо поверхностное, ни о чем не говорящее изображение). Такие рисунки в числе остальных пускаются по кругу. Работа с ними ведется в зависимости от настроения, возникающего у рисовавшего. Если автор устно высказывает свое отношение либо выражает желание сделать новый рисунок, это стоит поддержать. Если такого желания не возникает, его оставляют в покое.

Чисто фактологические рисунки (например, изображение сути или атрибутов профессии) необходимо обсуждать в терминах эмоций и отношений.

Интерпретацию отдельных деталей рисунков следует проводить с большой осторожностью (даже ведущим для самих себя). Данные о возможности интерпретировать некоторые стандартные детали (например, фигуру человека) в рисунках подобного типа еще не получены. Поэтому рисунки могут служить лишь основой для групповой дискуссии и сравнения мнений.

В ходе обсуждения можно выйти на более общие темы, например: «Как настроение и установка на успех или неуспех влияют на выполнение задуманного дела?». Эмоциональный компонент зрелости личности в целом проявляется в следующем:

o   в положительном эмоциональном настроении;

o   в жизненном оптимизме;

o   в эмоциональной уравновешенности;

o   в переносимости неудач.

Можно попросить группу подумать над вопросами: «Как постоянно поддерживать у себя эти качества?», «Что влияет на их возникновение и существование?» [23].

Упражнение 3. «Волшебная рука - 2»

Цель: развитие позитивного профессионального самопознания участников группы.

Участники сидят в кругу.

Инструкция: «Перед Вами лежат листки бумаги, подпишите, пожалуйста, сверху свое имя, и обведите свою руку (ладошку) карандашом. Затем на каждом пальце напишите какое-либо свои профессионально значимые качества. После того как это задание будет выполнено, мы пустим листки по кругу, и другие участники между пальцами могут написать другие профессионально значимые качества, присущие тому, чья ладошка».

Если возникнут вопросы с написанием профессионально значимых свойств личности, можно разрешить отметить просто присущие данному участнику качества личности, но при обсуждении обратить внимание на их возможное использование в будущей профессиональной деятельности.

Обсуждение: «Что нового ты узнал о себе?», «Какие профессионально значимые свойства личности тебе необходимо еще развивать?» При обсуждении акцент можно ставить на том, что есть доля правды о нас и в том, как мы себя воспринимаем, и в том, как видят нас другие люди.

Упражнение 4. «Колпак»

Цель: снятие психического напряжения, повышение сплоченности группы.

Участники стоят по кругу.

Инструкция: Тренер произносит детское стихотворение.

«Колпак мой треугольный,

Треугольный мой колпак,

а если не треугольный,

то это не мой колпак».

Участники группы повторяют стихотворение за ведущим. Затем каждое слово стихотворения по очереди заменяется невербальным жестом, и стихотворение произносится группой всякий раз, как только осуществлена замена. Например, слово «колпак» заменяется на движение «рукой дотрагиваетесь до головы», «мой» - «рукой показываете на себя», слово «треугольный» можно заменять за два раза - первый раз вместо «тре» показываете «три пальца», второй раз вместо «угольный» демонстрируете локоть.

Упражнение продолжается до тех пор, пока все слова не заменятся жестами. Конечный вариант - группа демонстрирует стихотворение невербально.

Упражнение носит разминочный характер, а также способствует отработке навыков невербального общения.

Рефлексия занятия

Ритуал прощания

Восьмое занятие

Цель: формирование представлений участников тренинга о профессиональном пути личности, о возможностях профессионального роста.

Задачи:

§  формирование знаний участников о возможностях личностного и профессионального становления и их роли в успешности будущего специалистов;

§  развитие умения выстраивать жизненные и профессиональные перспективы, формулировать этапы профессионального развития, планировать карьеру;

§  формирование потребности в профессиональном саморазвитии.

Необходимое оборудование: тетради для записи и выполнения заданий, ручки, листы бумаги формата А4.

Ход занятия

Ритуал приветствия

Рефлексия прошлого занятия

Упражнение 1. «Рукопожатие»

Цель: создание работоспособности, активизация участников группы.

Инструкция: «Мы все сейчас будем перемещаться по комнате (2 - 5 минут). Задача: обменяться рукопожатиями как с можно большим количеством участников за это время. Каждый считает при этом, сколько рукопожатий он совершил».

Обсуждение: «Насколько активен, общителен ты был в процессе выполнения упражнения, при рукопожатиях с теми, кто сам подходил к тебе?», «Связано ли поведение в упражнении с поведением в реальной жизни?».

Упражнение направлено на «разогрев» группы. Кроме того, данное упражнение обеспечивает возможность контакта и взаимодействия участников тренинга.

Упражнение 2. «Эпитафия»

Цель: повысить у участников готовность осознанно выстраивать свои личностные и профессиональные перспективы.

.        Участники рассаживаются в круг и тренер «загадочным голосом» рассказывает примерно такую притчу: «Говорят, где-то на Кавказе есть старое кладбище, где на могильных плитах можно встретить примерно такие надписи: «Сулейман Бабашидзе. Родился в 1820 году, умер в 1858 году. Прожил 3 года…», или «Нугзар Гаприндашвили. Родился в 1840 году, умер в 1865 году. Прожил 120 лет …»

Далее ведущий может спросить у группы: «Что на Кавказе считать не умеют? Может со смыслом делались эти приписки на могильных плитах? А с каким смыслом?» смысл приписок в том, что таким образом односельчане оценивали насыщенность и общую ценность жизни данного человека.

2.    Общая инструкция: «Сейчас мы совместными усилиями составим рассказ о некотором человеке, который в наше время (например, в 2000 году) закончил школу и стал жить дальше, прожив ровно до 75 лет. Каждый должен будет по очереди назвать важное событие в жизни данного человека - из этих-то событий и сложится его жизнь. Обращаю особое внимание на то, что события могут быть внешними (поступил туда-то …, проработал там-то …, сделала то-то …), а могут быть и внутренними, связанными с глубокими размышлениями и переживаниями (например, некоторые люди стали великими, почти не выходя из своего дома …). Желательно предлагать события, соответствующие реальности (без всяких встреч с инопланетянами и прочими «веселыми ребятами-суперменами» …). В конце игры каждый попробует оценить, насколько удалась жизнь главного героя, насколько она оказалась интересной и ценной: каждый как бы сделает приписку на могильной плите нашего главного героя, сколько же лет он прожил не по паспорту, а по-настоящему …».

3.      Ведущий называет первое событие, например, «наш герой окончил среднюю школу с двумя тройками». Далее, остальные игроки по очереди называют свои события. Ведущий должен проследить за тем, чтобы никто не подсказывал и не мешал очередному участнику. Если участников игры немного (всего 6 - 8 человек), целесообразно пройтись по второму кругу, т.е. дать каждому участнику возможность назвать и по второму событию.

.        Когда последний игрок называет свое событие, предполагается, что главный игрок умирает в 75 лет, согласно условиям игры.

.        Ведущий предлагает всем немного подумать и по очереди, и пока без каких-либо комментариев, просто сказать, сколько лет можно было бы приписать на могильном плите героя …

.        Все по очереди называют свои варианты (лет, прожитых не напрасно…).

.        Далее ведущий предполагает прокомментировать названные годы тем игрокам, которые назвали наибольшее и наименьшее количество лет для главного героя. Здесь возможна небольшая дискуссия, в которой ведущему совсем не обязательно высказывать свою точку зрения (или хотя бы подождать с этим, дав возможность высказывать остальным участникам). Довольно часто, как отмечает Н.С. Пряжников, многие участники оценивают судьбу первого героя не очень высоко, называя 20, 30, 45 лет (а по паспорту 75 лет!). Нередко группа выказывает желание «еще разок попробовать». Но часто и после второго проигрывания (даже с несколько иным героем) получается не очень-то интересно. Обычно при втором проигрывании группа начинает излишне фантазировать и многие потом сами заявляют, что все это не похоже на правду. Таким образом, построить интересную жизнь даже в воображении оказывается совсем непросто.

.        Завершить упражнение можно напоминанием о том, что события бывают внешние и внутренние (нередко упражнение получается неинтересным как раз потому, что называются в основном внешние события, и жизнь оказывается похожей на биографию для отделов кадров …). Ведущий предлагает каждому по очереди назвать какое-либо действительно интересное и достойное событие, которое могло бы украсить любую жизнь.

.        Немного подумав, участники упражнения по очереди называют такие события. Задача ведущего - не столько критиковать (а многие по прежнему называют внешние события), сколько хвалить игроков, поощряя их вообще размышлять об этом.

10.     Можно также предложить участникам задание на дом: «Если у вас будет соответствующее настроение, то, пожалуйста, спокойно подумайте, какие события могли бы украсить конкретно ваш будущий профессиональный и личностный путь?».

11.    Если позволяет время, после завершения упражнения попросите участников на отдельных листочках выписать 15 - 20 основных событий жизни некого воображаемого героя (мальчика или девочки - определяет сам игрок), который также учится в школе в настоящее время и прожил (по паспорту) 75 лет, после чего внизу каждый должен просто написать, сколько же лет он прожил в психологическом смысле. Это дополнительное задание выполняется большинством игроков очень серьезно и заинтересовано.

Н.С. Пряжников отмечает, что типичный сценарий жизни примерно такой (для девушек): после школы поступает в институт (часто экономический или юридический); в институте знакомится с парнем, встречается (иногда появляется ребенок); ссорится с парнем; знакомится с иностранцем (реже с «новым русским») и, почти всегда, - уезжает за границу (Европа - Америка); как не удивительно возвращается через некоторое время на Родину; далее очень просто - устраивается на работу, работает …; иногда - снова выходит замуж, создает семью; очень часто - появляются внуки; часто ближе к смерти - пишет мемуары; умирает обычно в окружении любящих детей или внуков. Для молодых людей (парней) жизненный сценарий такого же плана, только чаще едут не за границу, а в Сибирь или на Дальний Восток, а потом «открывают свое дело» и зарабатывают огромные деньги. Иногда случается, что главный герой получает богатое наследство, но часто его «проматывает». Нередко на каком-то этапе (ближе к зрелому возрасту) спиваются, ссорятся с сыном, но потом обычно мирятся в окружении любящих родственников … Таким образом, можно предположить, что даже в коллективном рассказе часто проецируются (проявляются) реальные проблемы, присутствующие в типичных отношениях подростков с родителями и сверстниками. И хотя упражнение служит не столько для проекции и рефлексии этих отношений, но совсем не учитывать (недооценивать) этого при ее проведении не следует.

Упражнение 3. «Стрела жизни»

Цель: осознание этапности и варьирования профессионального и личного развития.

Участники сидят в кругу.

Каждому раздается лист бумаги формата А4, на котором изображены различные варианты стрелок: прямые, зигзагообразные, витиевые.

Инструкция: «Внимательно посмотрите на предложенные вам стрелки. Выберите, какой из этих рисунков соответствует вашему профессиональному пути. Если из предложенных вариантов вы не найдете подходящей для себя, то можете нарисовать собственный».

Обсуждение: «Почему вы выбрали именно эту стрелку?», «Где сейчас вы находитесь на этой стреле?», «Хотели бы вы изменить стрелу своей карьеры?».

Возможные варианты стрелок:





Упражнение 4 . «Мой жизненный путь»

Цель: осознание собственных жизненных планов.

Инструкция: «Путник шел по дороге, которая называлась «Жизнь». Дорога привела его к перекрестку. Путник остановился, осмотрелся и задумался. По какому пути идти дальше?

Представьте себя на месте путника … О чем вы думаете, что вы чувствуете?

Перед вами чистый лист бумаги. Возьмите карандаш и изобразите на листе свою прошлую историю, свое положение в настоящий момент и варианты своей будущей жизни. Используйте свои воспоминания, переживания, фантазии и мечты.

Куда вы хотите придти? Что вы возьмете с собой в дорогу? С чем встретитесь на своем профессиональном пути? Чему вам предстоит научиться?

Обсуждение: Какие пути получились? В какой части своего жизненного пути путник наиболее счастлив, переживает радость? Что этому способствует? Важно обратить внимание на связность прошлого и настоящего, настоящего и будущего. Чем отличается прошлый путь от настоящего и будущего? Что общего между ними? Какова цель этого пути? Как вы узнаете, что ваша цель достигнута? Что вам необходимо для того, чтобы ваша цель была достигнута? Каковы условия, средства, возможности? Очень важно постоянно обращать внимание участников на взаимосвязь личностного и профессионального пути человека, постоянно делать акцент на профессиональном становлении учащихся.

Упражнение 5. «Восточные стихи»

Цель: снятие психического напряжения, повышение сплоченности группы.

Участники группы сидят по кругу.

Инструкция: «Сейчас мы с вами будем поэтами и попытаемся самостоятельно составить восточные стихи. Для этого нам необходимо усвоить основные правила восточного стихосложения:

Главное слово (существительное),

Прилагательное, прилагательное,

Глагол, глагол, глагол,

Фраза, выражающая отношение,

Существительное.

Сейчас каждый (может быть и групповое сочинение) постарается составить свое стихотворение, главное условие, чтобы оно соответствовало основным правилам и было связано с избранной профессией».

В конце при индивидуальной работе участники по желанию зачитывают свои стихи.

Например:

Выбор

Долгий, важный,

Мучает, гнетет, интересует,

Кто поможет

Психолог!

Рефлексия занятия

Ритуал прощания

Девятое занятие

Цель: формирование умения адекватно соотносить свои профессиональные планы и возможности.

Задачи:

§  развитие умения выделять приоритеты при планировании своих жизненных и профессиональных перспектив;

§  развитие знаний участников тренинга о собственных ресурсах, необходимых для успешного профессионального становления;

§  формирование потребности в профессиональном саморазвитии.

Необходимое оборудование: тетради для записи и выполнения заданий, ручки, листы бумаги формата А 4.

Ход занятия

Ритуал приветствия

Рефлексия прошлого занятия

Упражнение 1. «Меняются местами»

Цель: создание работоспособности, активизация участников группы.

Участники группы сидят по кругу.

Инструкция: «Сейчас у нас будет возможность еще лучше узнать друг друга. Сделаем это так: стоящий в центре круга (для начала это буду я) предлагает поменяться местами (пересесть) всем тем, кто обладает каким-то умением, качеством, интересами, способностями (желательно профессионально значимыми). Это умение он называет. Например, я скажу: «Пересядьте все те, кто умеет водить автомобиль». При этом тот, кто стоит в центре круга, постарается в момент пересаживания занять одно из освободившихся мест, а тот, кто останется в центре круга без места, возьмет на себя роль ведущего. Используем эту ситуацию для того, чтобы побольше узнать друг о друге. Кроме того, надо быть очень внимательным и постараться запомнить, кто пересаживался, когда называли то или иное умение. Это нам понадобится немного позже».

В ходе упражнения тренер побуждает участников называть разнообразные умения, отмечая особенно оригинальные и интересные. Необходимо обращать внимание участников на то, чтобы они отмечали профессионально значимые свойства личности, качества, способности и т.д.

После того названо примерно 12 - 15 умений, тренер устанавливает упражнение и продолжает инструкцию: «Сейчас у нас будет пять минут, в течение которых каждый напишет рассказ о нашей группе, используя ту информацию, которую вы сейчас узнали о каждом из нас. Рассказ о группе можно написать в стихах, в виде репортажа, притчи, сказки и т.д.».

Через пять минут тренер предлагает каждому прочитать получившийся у него рассказ. При этом тренер проявляет активность и при каждой подходящей ситуации дает участникам группы позитивную обратную связь.

В ходе выполнения данного упражнения происходит существенное изменение групповой атмосферы, появляется эмоциональная свобода, снижается напряженность.

Упражнение 2. «Пять шагов»

Цель: повышение готовности участников тренинга выделять приоритеты при планировании своих жизненных и профессиональных перспектив, а также готовность соотносить свои профессиональные цели и возможности.

Упражнение проводится в кругу.

Процедура включает следующие этапы:

1.    Тренер предлагает группе определить какую-либо интересную профессиональную цель, например, оформиться на интересную работу, совершить в перспективе что-то выдающееся на работе, стать руководителем высшего звена и т.д. Эта цель, так как ее сформулировала группа, выписывается на доске.

2.      Тренер предлагает группе определить, что за воображаемый человек должен достичь эту цель. Участники должны назвать его основные (воображаемые) характеристики по следующим позициям: пол, возраст (желательно, чтобы этот человек был сверстником играющих), приобретаемую профессию, учебное заведение (желательно, соответствующие данным участников), успеваемость в школе, материальное положение и социальный статус родителей и близких людей. Это все так же кратко записывается на доске.

.        Каждый участник на отдельном листочке должен выделить основные пять этапов (пять шагов), которые обеспечили бы достижение намеченной цели. На это отводится примерно 5 минут. Следует обратить внимание участников на то, что этапами могут быть не только внешние действия, например, закончить школу на отлично, но и внутренние, например, формирование у героя определенных качеств (целеустремленности, трудолюбия и т.д.).

.        Далее все делятся на микрогруппы по 3 - 4 человека.

.        В каждой микрогруппе организуется обсуждение, чей вариант этапов достижения выделенной цели наиболее оптимальный и интересный (с учетом особенностей обозначенного выше человека). В итоге обсуждения каждая группа на новом листочке должна выписать самые оптимальные пять шагов. На все отводится около 10 минут.

.        Представитель от каждой группы кратко сообщает о наиболее важных пяти этапах, которые выделены в групповом обсуждении. Остальные участники могут задать уточняющие вопросы. Возможна небольшая дискуссия при наличии времени. Желательно чтобы тренер также принимал участие в задавании вопросов, чтобы активизировать деятельность группы.

.        При общем подведении итогов игры можно посмотреть, насколько совпадают варианты, предложенные разными микрогруппами (нередко совпадение бывает значительным). Также в итогов дискуссии можно оценить совместными усилиями, насколько учитывались особенности человека, для которого и выделялись, пять шагов достижения профессиональной цели. Важно также определить, насколько выделенные этапы (шаги) реалистичны и соответствуют конкретной социально-экономической ситуации в стране, то есть насколько общая ситуация в обществе позволяет (или не позволяет) осуществлять те или иные профессиональные и жизненные мечты.

Вполне возможно проведение данного игрового упражнения и по другим процедурным схемам. Например, сначала каждый выделяет пять этапов на своих листочках, затем 2 - 3 желающих (добровольца) выходят к доске и выписывают свои предложения, после чего в общем обсуждении рассматриваются по порядку этапы, выписанные этими участниками и выделяется наиболее оптимальный вариант.

В другом случае, можно сразу разбить участников на группы и предложить им (без предварительной индивидуальной работы) составить общий вариант программы достижения намеченной цели (выписать пять шагов-этапов) для данного человека.

Упражнение 3. «Ресурсы»

Цель: развитие представлений участников о собственных ресурсах (возможностях) в достижении поставленных профессиональных планах

Инструкция: «Подумайте, пожалуйста, над вопросами: какие профессиональные цели ты ставишь перед собой? Что тебе может помочь достичь твоих целей? Чем ты уже обладаешь, чтобы достичь этих целей: черты характера, друзья? Напиши свои четыре сильных качества (стороны), изобрази их в виде каких-то символов. Это твои ресурсы, которые помогут в жизни»

Обсуждение: Каждый по очереди показывает свои рисунки и объясняет что изображено на них. Каким образом данные качества помогут им в достижении поставленных целей? Что тебе необходимо еще приобрести, чтобы быстрее их достичь?

При обсуждении, возможно, задавать уточняющие вопросы.

Упражнение 4. «Притча «про ворону и павлина»»

Цель: развитие профессионального самопознания участников тренинга.

Инструкция: «Сейчас я вам рассказу одну восточную притчу, которую мы с вами потом обсудим, поэтому слушайте внимательно. «В парке дворца на ветку апельсинового дерева опустилась черная ворона. По ухоженному газону шествовал павлин. Ворона прокаркала: «Как вообще можно позволять этой странной птице входить в этот парк. Он выступает так важно, что можно подумать - это сам султан, а при этом у него невероятно некрасивые ноги. А его перья, что за жуткий голубой цвет! Такой цвет я бы никогда не надела. Он тянет за собой свой хвост, как будто он лиса». Ворона прекратила делать замечания и выжидательно замолчала. Павлин некоторое время ничего не говорил, а затем начал, грустно улыбаясь: «Я думаю, твои слова не соответствуют действительности. То, что ты видишь во мне плохого, основывается на неправильном понимании, ты говоришь, я важничаю, потому что я прямо держу свою голову, так что перья на плечах топорщатся и на шее появляется второй подбородок. В действительности я совсем не важничаю. Я знаю свои недостатки, и я знаю, что мои ноги покрыты сморщенной кожей. Это меня сильно огорчает, поэтому я и держу голову так высоко, чтобы не видеть своих ужасных ног. Ты видишь только мои недостатки, а на мои достоинства и мо. Красоту ты закрываешь глаза. Ты не задумывалась над этим? То, что ты называешь ужасным, людям очень нравится во мне» (П. Этессами).

Обсуждение: При обсуждении обращается внимание группы на то, все имеют негативные и позитивные стороны, что у каждого есть качества, способствующие его успешной профессиональной деятельности. Участники учатся видеть в себе и друг в друге не только «ужасные ноги», но и «красивые перья».

Можно провести ролевое обыгрывание притчи. Задать вопросы: «Как вела себя Ворона? Побудьте Воронами. А как вел себя Павлин? Побудьте Павлинами». Можно разделить участников на две группы, одни будут Павлинами, а другие - Воронами, и предложить участникам походить как эти птицы. Можно выбрать пару участников, один будет Павлином, а другой - Вороной. Ворона спрашивает: «А что в тебе хорошего?» И павлин отвечает, что хорошего он в себе видит. Затем они меняются ролами. Важно, что участники при этом могут вербализовать свои положительные качества и почувствовать гордость.

Упражнение 5. «Подарок»

Участники стоят по кругу.

Инструкция: «Сейчас мы будем делать подарки друг другу. Начиная с ведущего, каждый по очереди средствами пантомимы изображает какой-либо предмет и передает его своему соседу справа (мороженое, конфету, цветы, котенка и т.д.».

Рефлексия занятия

Ритуал прощания

Десятое занятие

Цель: актуализация потребности в профессиональном саморазвитии.

Задачи:

§  Осознание участниками возможных препятствий на пути профессионального развития;

§  Формирование направленности на профессиональное будущее;

§  формирование потребности в профессиональном саморазвитии;

§  получение обратной связи от участников тренинга.

Необходимое оборудование: тетради для записи и выполнения заданий, ручки, листы бумаги формата А 4, простые карандаши.

Ход занятия

Ритуал приветствия

Рефлексия прошлого занятия

Упражнение 1. «Достоинства»

Цель: создание положительного эмоционального настроя в группе, получение личностной обратной связи.

Все участники сидят по кругу.

Инструкция: «Давайте начнем сегодняшнее занятие с того, что обратим внимание друг на друга, подумаем друг о друге и сделаем это так». Тренер делает паузу, ждет, пока все участники группы закроют глаза. Потом продолжает: «И мысленно пройдем по кругу, остановимся перед каждым участником группы и подумаем над тем, какие у этого человека есть сильные профессиональные стороны, достоинства».

Тренер тоже участвует в упражнении, это, в частности, позволяет ему рассчитать время, которое нужно для того, чтобы все успели выполнить задание и мысленно подойти к каждому.

«Откройте глаза. Теперь пусть один из вас бросит мяч тому участнику группы, которого он выберет, и скажет, каким безусловным профессиональным достоинством или сильной стороной (профессиональным качеством) обладает этот человек. Тот, кому бросили мяч, передаст его следующему и скажет о присущем ему профессионально значимом качестве и т.д. до тех пор, пока мяч не побывает у каждого. Каждый должен узнать о своих сильных профессиональных сторонах».

После того как круг замкнулся, тренер может предложить взять мяч тому участнику группы, кто хотел бы обратиться к кому-то, но не смог этого сделать, так как к этому человеку обратились раньше, чем мяч оказался у него. Таких желающих может оказаться несколько.

Обсуждение: «Как вы себя сейчас чувствуете?». При ответе на этот вопрос необходимо фиксировать появляющиеся, как правило, в ходе выполнения упражнения положительные эмоции и чувства. Следует также учесть, что в ответ на данный вопрос кто-то из участников группы может сказать о трудностях, напряжении, которые возникли в тот момент, когда он говорил другому о его достоинствах или когда обращались к нему. Такой ответ побуждает перейти к более глубокому содержательному обсуждению.

Упражнение 2. «Ловушки - капканчики»

Цель: повышение уровня осознание возможных препятствий (ловушек) на пути к профессиональным целям и представления о путях преодоления этих препятствий.

Данное упражнение проводится в кругу.

Процедура включает следующие этапы:

1.    Совместно с группой определяется конкретная профессиональная цель (окончание конкретного учебного заведения, оформление на конкретное место работы или конкретное профессиональное достижение, включая построение карьеры и получение наград, премий и прочего …).

2.    В группе выделяется доброволец, который будет «представлять» какого-то вымышленного человека (если доброволец пожелает он может представлять и самого себя …). При этом для вымышленного человека необходимо сразу же определить его основные характеристики: пол, возраст (желательно, чтобы этот человек был сверстником играющих), образование, семейное положение. Но таких характеристик не должно быть слишком много. Это все так же кратко записывается на доске.

3.    Общая инструкция: «Сейчас каждый, уже зная, к каким целям стремится наш главный (вымышленный или реальный) герой, должен будет определить (или придумать) для него некоторые трудности на пути к профессиональной цели. Особое внимание обращаем на то, что трудности могут быть как внешними, исходящими от других людей, или от каких-то обстоятельств, так и внутренними, заключенными в самом человеке (герое) и именно об этих, внутренних трудностях многие часто забывают … Желательно определить даже две-три таких трудностей-ловушек на случай, если похожие трудности придумают другие участники (чтобы не повторяться). Выделяя такие трудности, каждый обязательно должен подумать и о том, как преодолеть их. Главному игроку также дается время, чтобы он выделил несколько наиболее вероятных трудностей на пути к своей цели и также подготовился ответить, как он собирается его преодолевать.

         После этого по очереди каждый будет называть по одной трудности-ловушке, а главный игрок сразу же (без размышления) должен будет сказать, как эту трудность можно будет преодолеть. Участник, назвавший данную трудность также должен будет сказать, как можно было бы ее преодолеть. Ведущий с помощью группы определит (с помощью голосования или других процедур), чей вариант преодоления трудности оказался наиболее оптимальным. Победителю (главному участнику или представителю группы) будет проставлен приз - знак «плюс». Если к концу игры у главного игрока окажется больше плюсов, то значит, он сумел преодолеть основные трудности на пути к своей цели».

4.    Далее участники, включая главного героя, выделяют на своих листочках трудности на пути намеченной цели. Напомним, что трудности бывают не только внешними, но и внутренними.

5.      Каждый по очереди называет свою трудность. Если оказывается, что какая-то трудность будет явно надуманной (например, разговор с самим Господом Богом накануне ответственного экзамена …), то сама группа должна решить, обсуждать подобную трудность или нет.

.        Сразу же главный герой говорит, как он собирается ее преодолеть.

.        После него о своем варианте преодоления трудности говорит участник, назвавший эту трудность.

.        Ведущий с помощью остальных участников определяет, чей вариант преодоления трудности оказался более оптимальным, интересным и реалистичным.

.        Наконец, подводится общий итог (сумел главный герой преодолеть названные трудности или нет). При общем подведении итогов можно также посмотреть, сумел ли еще на подготовительном этапе главный игрок выделить те трудности (на своем листочке), которые уже в игре предлагали ему остальные участники.

         В ходе данного упражнения могут возникать интересные дискуссии, у участников часто появляется желание поделиться своим жизненным опытом и т.д. Конечно, ведущий должен поощрять такой обмен опытом, но одновременно следить и за тем, чтобы упражнение проходило динамично и не увязало в несущественных деталях.

Упражнение 3. «Чемодан».

Цель: развитие направленности на профессиональное будущее.

Все участники садятся по кругу.

Инструкция: «Наша работа подходит к концу. Мы расстаемся. Однако перед тем, как разойтись, мы соберем чемодан. Мы работали вместе, поэтому и собирать чемодан мы будем вместе. Содержимое чемодана будет особым. Так как мы занимались проблемой профессиональных представлений, туда мы «положим» то, что каждому из нас поможет в профессиональной деятельности и то, что будет мешать. Чемодан мы будем собирать в отсутствии человека, а когда мы закончим, то мы пригласим его и вручим чемодан. Он должен его взять и унести с собой, не задавая вопросов.

Собирая чемодан, мы будем придерживаться некоторых правил:

1.       В чемодан надо положить одинаковое количество помогающих и мешающих качеств.

2.      Каждое качество будет укладываться в чемодан только с согласия всей группы. Если кто-нибудь из нас, хотя бы один, не согласен, то группа может попытаться его убедить в правильности своего решения, а если это не удастся сделать, качество в чемодан не кладется.

.        Положить в чемодан можно только те качества, которые проявились в ходе работы группы.

.        Положить в чемодан можно только те качества, которые поддаются коррекции.

.        Руководить сбором чемодана будет каждый из нас по очереди. Допустим, ты, Михаил, начнешь, а дальше продолжит Люба и так далее. Просьба не забывать те правила, о которых мы говорили».

Тренер может предложить использовать для временного ориентира опят обсуждения участника, которому первому собирают чемодан. Переходить к обсуждению качеств следует только тогда, когда руководитель сбора чемодана выслушает предложения. Во время сбора чемодана тренер сидит за кругом.

Для того чтобы сделать эту процедуру более доброжелательной, не вызывающей обиды участников, не следует разрешать вручать собранный чемодан в виде записей.

Упражнение 4. «Волшебный сундук».

Цель: развитие направленности на профессиональное будущее.

Все участники садятся по кругу.

Инструкция: Ведущий руками изображает, как он с неба опускает сундук и открывает его. «Сейчас я с неба достала Волшебный сундук. В нем лежат самые разные сокровища и подарки, которые могут пригодиться в вашей дальнейшей профессиональной деятельности. Каждый по очереди подойдет к сундуку и выберет для себя понравившийся подарок. Этот подарок вы изображаете невербально, руками. Задача остальных участников отгадать, что вы выбрали».

После того, как все участники получили подарки, тренер сообщает, что там осталось еще очень много сокровищ, закрывает его и вся группа вместе поднимает Волшебный сундук небо».

Упражнение 5. «Проективный рисунок «Дорога в жизнь»».

Цель: развитие направленности на профессиональное будущее.

Все участники садятся по кругу.

На больших листах бумаги (по числу членов группы) рисуется символическая дорога, уходящая к горизонту. Листы подписываются, и все участники группы рисуют на каждом листе пожелания для автора рисунка и свое представление о его жизни. Желательно, чтобы они касались всего профессионального пути. Пожелания могут быть двоякие: чего достичь и чего избежать. Если хозяин листа захочет, рисовавшие могут дать пояснения.

1.       Что я ожидал(а), начиная ходить в группу?

2.      Насколько совпали мои ожидания, с тем, что я увидел(а)?

.        Что нового я узнал(а) на занятиях?

.        Что в ходе моих занятии изменилось в моих представлениях о профессии?

.        В чем мне помогла группа?

.        Было ли на занятиях то, что меня удивило?

.        Что мне больше всего понравилось?

.        Что мне на занятиях не понравилось?

.        Хотел(а) бы я снова ходить на подобные занятия?

Ритуал прощания

Похожие работы на - Особенности профессионального самоопределения старшеклассников из неблагополучных семей

 

Не нашли материал для своей работы?
Поможем написать уникальную работу
Без плагиата!
Без нейросетей!