Организация поточного производства
Нижегородский
государственный технический университет им. Р.Е. Алексеева
Автозаводская
высшая школа управления и технологий
Практическая
работа
по
дисциплине «Производственный менеджмент и маркетинг»
Выполнил: Балакин А.С.
Проверил: Абрамов С.Б.
Нижний
Новгород 2014
Расчет длительности производственного цикла
изготовления заказа при трех видах движения предметов труда
Задание:
В цех поступил заказ на изготовление n
изделий. Изделия с операции на операцию будут передаваться по p
шт. На первой операции предполагается три рабочих места, на четвертой - два, на
всех остальных - по одному. Между каждой операцией межоперационное время tмо
мин,
общая длительность естественных процессов Тест мин. Рабочие работают
в 2 смены по 8 часов. Коэффициент сменности f=0,7.
Определить длительность технологического и
производственного циклов при всех трех видах движения предметов труда и
построить графики.
Таблица 1. Исходные данные
|
№
операции
|
Первая
цифра варианта
|
|
0
|
1
|
2
|
3
|
4
|
5
|
6
|
7
|
8
|
9
|
|
Норма
времени tшт,мин
|
|
1
|
12
|
6
|
15
|
18
|
9
|
12
|
6
|
15
|
6
|
21
|
|
2
|
8
|
4
|
10
|
7
|
3
|
7
|
8
|
11
|
10
|
2
|
|
3
|
6
|
8
|
9
|
2
|
4
|
6
|
3
|
9
|
9
|
8
|
|
4
|
10
|
5
|
6
|
5
|
16
|
8
|
4
|
8
|
8
|
9
|
|
5
|
5
|
7
|
12
|
10
|
8
|
15
|
11
|
6
|
5
|
7
|
|
6
|
3
|
9
|
4
|
6
|
5
|
3
|
5
|
7
|
2
|
3
|
|
7
|
4
|
3
|
8
|
4
|
6
|
5
|
9
|
5
|
7
|
12
|
Таблица 2. Исходные данные
|
Показатель
|
Вторая
цифра варианта
|
|
0
|
1
|
2
|
3
|
4
|
5
|
6
|
7
|
8
|
9
|
|
размер
заказа n, шт
|
250
|
150
|
135
|
140
|
120
|
100
|
160
|
180
|
90
|
120
|
|
размер
передаточной партии p,
шт
|
25
|
15
|
15
|
20
|
15
|
10
|
20
|
20
|
10
|
20
|
|
межоперационное
время tмо,
мин
|
5
|
3
|
2
|
4
|
6
|
3
|
4
|
5
|
2
|
4
|
|
длительность
естественных процессов Тест, мин
|
400
|
450
|
500
|
550
|
600
|
650
|
700
|
750
|
800
|
850
|
Последовательность выполнения работы:
. Выполнить предварительные расчеты и
данные занести в табл.3.
|
№
операции
|
tшт, мин
|
С
(раб.места)
|
|
|
1
|
18
|
3
|
=18/3
= 6
|
|
2
|
7
|
1
|
=
7/1 = 7
|
|
3
|
2
|
1
|
=
2/1 = 2
|
|
4
|
5
|
2
|
=
5/2 = 2,5
|
|
5
|
10
|
1
|
=
10/1 = 10
|
|
6
|
6
|
1
|
=
6/1 = 6
|
|
7
|
4
|
1
|
=
4/1 = 4
|
|
Итого
|
=
52 мин
|
=
10
|
=37,5
|
. Рассчитать технологические и
производственные циклы для трех видов движения предметов труда.
. Построить графики технологических
циклов.
. Сделать выводы.
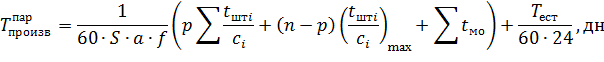
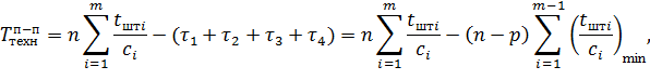
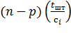
Длительность производственного процесса, то есть
календарный период времени, в течение которого выполняется производственный
процесс, называется производственным циклом.
Основу производственного цикла составляет
технологический цикл, который в свою очередь состоит из операционных циклов.
Операционный цикл, т.е. продолжительность обработки партии деталей (мин) на
одной операции процесса, равен:
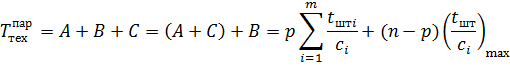
,
где n
- размер заказа, шт.; n
= 140.
tшт
- норма штучного времени на i-й
операции, мин; из таблицы;
сi
- количество оборудования или рабочих мест на i-й
операции, из таблицы.
Выполним расчет:
При последовательном виде движения
Операции производственного процесса над
отдельным изделием или количеством изделий (партией) передается с одного
рабочего места на другое после окончания обработки над всей партией, эти
изделия передаются на следующую операцию, причем все вместе.
m - количество
технологических операций, m
= 7.
p - размер
передаточной партии, р = 20.
Основу производственного цикла составляет
технологический цикл, который в свою очередь состоит из операционных циклов.
Операционный цикл - это продолжительность обработки партии деталей на 1-й
операции процесса.
Строим график технологического цикла при
последовательном виде движения предметов труда:
Средние временные затраты на один
технологический цикл, но большие простои оборудования, т.к. первое оборудование
снова начинает использоваться только после того, как закончиться последняя
операция.
При параллельном виде движения. Передаточная
партия - это количество изделий, одновременно обрабатываемых на одном рабочем
месте. Полностью загружена в этом случае наиболее трудоемкая операция с самым
длительным операционным циклом, менее трудоемкие имеют перерывы. Правило
построения графика:
1 Строим
график для первой передаточной партии как при последовательном виде движения.
2 От
максимального главного времени откладываем вправо остальные передаточные партии
и достраиваем график симметрично первой передаточной партии вверх и вниз.
где p
- размер передаточной партии;
max
- цикл операций с максимал. продолжительностью, мин.
Вычисляем А,В и С.
А = 840 + 980 + 350 + 1400 = 3570 мин = 59,5
час.
В = 1400 + 840 + 560 + 840 = 3640 мин = 60,6
час.
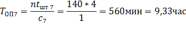
С = 560 мин = 9,33 час
Ттех пар = 3570 + 3640 +
560 = 7770 мин = 129,5 час
Строим график технологического цикла при
параллельном виде движения предметов труда.
Некоторое сокращение времени на обработку, но
появление простоев. Применяется в массовом, крупносерийном производстве, в том
числе на поточных линиях при синхронизации операций.
При последовательно-параллельном (смешанном)
виде движения. Сущность его в том, что детали с операции на операцию передаются
поштучно или передаточными партиями, но на каждой операции весь заказ изделий
обрабатывается без перерывов. Строим график технологического цикла при
последовательно-параллельном виде движения предметов труда.
поточный производительный цикл конвейер
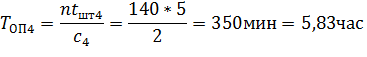
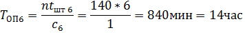
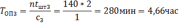
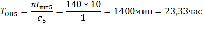
Вычисляем все
= 840*2 = 1680 мин
= 28 час
= 280 = 4,6 час
= 350*2 = 700 мин
= 11,6 час
= 840 = 14 час
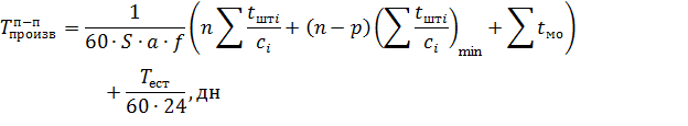
Рассчитаем длительность производственного цикла
по следующим формулам:
где S
- количество смен работы в сутки S=2
смены;
а - продолжительность смены а= 8 часов.
f - коэффициент
календарности:
Тест - естественных процессов в
минутах; Тест =550 мин
tмо
- межоперационное время между двумя соседними операциями. tмо
=4
При последовательном построении технологического
цикла общее время равно 8,5 дней (100%), при параллельном построении - 10,544
дней (увеличение относительно последовательного построения на 27,8%, появление
простоя оборудования), при смешанном технологическом цикле - 17,23 дня
(увеличение относительно последовательного построения на 102,7%). Полученные
графики отображают эту зависимость.
Расчет поточных линий. Многопредметные линии
На многопредметной поточной линии
изготавливаются детали А, В и С. Линия работает 21 день в месяц.
Продолжительность смены составляет 8.2 ч. Определить частные такты поточной
линии. Остальные исходные данные представлены в табл. 4.1 и 4.2.
Таблица 4.1. Исходные данные
|
Показатель
|
Первая
цифра варианта
|
|
0
|
1
|
2
|
3
|
4
|
5
|
6
|
7
|
8
|
9
|
|
Месячная
программа запуска, тыс. шт.
|
А
|
8
|
7,2
|
2
|
2,2
|
6
|
3
|
1,9
|
4
|
7
|
2
|
|
В
|
5,6
|
4
|
4
|
9,1
|
3,3
|
8,3
|
9,4
|
6,4
|
7,8
|
3,8
|
|
С
|
3
|
1,8
|
6,5
|
5
|
8,7
|
4,5
|
6
|
2
|
3,1
|
9
|
|
Коэффициент
допустимых потерь времени на переналадку
|
0,04
|
0,05
|
0,03
|
0,08
|
0,07
|
0,06
|
0,11
|
0,09
|
0,1
|
0,04
|
|
Количество
смен
|
2
|
2
|
1
|
3
|
2
|
1
|
3
|
2
|
2
|
1
|
Таблица 4.2. Исходные данные
|
№
операции
|
Изделия
|
Вторая
цифра варианта
|
|
|
0
|
1
|
2
|
3
|
4
|
5
|
6
|
7
|
8
|
9
|
|
|
Норма
времени, мин
|
|
1
|
А
|
1,2
|
1,1
|
1,09
|
1,6
|
3,2
|
7,5
|
3,6
|
8,5
|
1,9
|
|
В
|
1,2
|
1,15
|
1,21
|
1,35
|
1,35
|
1,5
|
8,6
|
3,4
|
5,7
|
1,3
|
|
С
|
1,2
|
1,22
|
1,03
|
1,4
|
1,21
|
2,0
|
5,8
|
3,3
|
7,1
|
3,2
|
|
2
|
А
|
5,7
|
7,15
|
5,8
|
5,2
|
3,65
|
3,15
|
1,8
|
2,0
|
3,9
|
1,15
|
|
В
|
8,4
|
6,0
|
8,3
|
6,9
|
3,0
|
3,5
|
3,0
|
1,5
|
3,5
|
1,1
|
|
С
|
7,2
|
8,45
|
6,95
|
7,0
|
3,2
|
3,7
|
1,5
|
2,9
|
3,35
|
1,2
|
|
3
|
А
|
3,2
|
3,1
|
4,0
|
1,9
|
7,1
|
1,22
|
3,72
|
1,2
|
2,85
|
3,3
|
|
В
|
3,4
|
3,0
|
3,5
|
1,8
|
5,6
|
1,1
|
3,4
|
1,1
|
2,0
|
3,3
|
|
С
|
3,7
|
3,64
|
3,6
|
1,3
|
8,4
|
1,3
|
3,16
|
1,12
|
1,4
|
3,6
|
|
4
|
А
|
1,9
|
2,0
|
1,8
|
3,7
|
7,2
|
7,2
|
1,3
|
5,8
|
1,1
|
5,8
|
|
В
|
3,1
|
1,5
|
3,0
|
3,1
|
5,7
|
8,3
|
1,2
|
8,2
|
1,25
|
8,3
|
|
С
|
1,3
|
3,2
|
1,2
|
3,2
|
8,4
|
5,8
|
1,2
|
7,2
|
1,2
|
7,4
|
Решение. Пусть трудоемкость детали А принимаем
за единицу (1), тогда рассчитаем для других деталей коэффициент приведения:
,
где k
- коэффициент приведения i-й
детали к условной единице;
ti
- трудоемкость i-й детали;
ty
- трудоемкость условной детали.
операция
операция
операция
операция
Определим программу в приведенных единицах:
Nпрi=Ni
× kпрi,
где Nпрi
- приведенная программа по i-й
детали;
Ni
- программное задание по i-й
детали.
опер. NпрА=2,2
× 1 = 2,2 NпрВ=9,1
× 0,9 = 8,19 NпрС=5
× 0,93 = 4,65
опер. NпрА=2,2
× 1 = 2,2 NпрВ=9,1
× 1,32 = 12,01 NпрС=5
× 1,34 = 6,7
опер. NпрА=2,2
× 1 = 2,2 NпрВ=9,1
× 0,94 = 8,55 NпрС=5
× 0,68 = 3,4
опер. NпрА=2,2
× 1 = 2,2 NпрВ=9,1
× 0,83 = 7,55 NпрС=5
× 0,86 = 4,3
На основании этих данных рассчитаем условный
общий такт линии:
где FД
- действительный фонд времени работы линии; Д =21*8,2= 172,2 час
j- коэффициент потерь времени на переналадку
линии; j
= 0,08
Тогда частные (рабочие) такты обработки
отдельных изделий будут равны
операция
операция
операция
операция
В цехе выпускается изделия А, В, С с различной
трудоемкостью изготовления. Цех работает в 2 смены по 8 часов 20 дней в месяц.
Плановые простои оборудования 7%. Определить скорость движения конвейера при
изготовлении каждого изделия.
Таблица 4.3. Исходные данные (первая цифра
варианта)
|
Показатели
|
0
|
1
|
2
|
3
|
|
А
|
В
|
С
|
А
|
В
|
С
|
А
|
В
|
С
|
А
|
В
|
С
|
|
Трудоемкость
изготовления, н мин
|
17
|
12
|
20
|
16
|
9
|
14
|
21
|
17
|
12
|
19
|
11
|
8
|
|
Программа
выпуска отливок, тыс. шт.
|
3
|
4
|
5
|
8
|
12
|
19
|
6
|
8
|
14
|
7
|
18
|
6
|
Таблица 4.4. Исходные данные (вторая цифра
варианта)
|
Показатели
|
0
|
1
|
2
|
3
|
4
|
5
|
6
|
7
|
8
|
9
|
|
Шаг
конвейера, м
|
1,2
|
0,9
|
1,1
|
0,8
|
1,3
|
0,7
|
1,2
|
1,4
|
0,9
|
1,1
|
Скорость конвейера (ленточного) определим по
формуле
V = L
/ r
где L
- общий такт линии.
r - шаг конвейера r
= 0.8
Потери
Действительный фонд времени Д = 20*2*8 = 320
часов.
Коэффициент приведения
Программа в приведенных единицах
NпрА=7
× 1 = 7,000ед.NпрВ=18
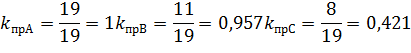
× 0,957 = 17,226ед. NпрС=6
× 0,421 = 2,526
Тогда:
Скорость движения конвейера V
= 5.986 / 0.8 = 7.482 м/мин или »449 м/час.
Рассчитать параметры поточной линии по
производству изделия и необходимое количество рабочих при следующих исходных
данных. Цех работает в 2 смены по 8 часов. В месяце 20 рабочих дней. Плановые
простои оборудования 5%. Одну единицу оборудования обслуживает 1 рабочий, на
остальных рабочих местах норма численности 0,5. Шаг конвейера 0,8 м.
Таблица 4.9. Исходные данные (первая цифра
варианта)
|
Операции
технологического процесса
|
0
|
1
|
2
|
3
|
4
|
5
|
6
|
7
|
8
|
9
|
|
Норма
штучного времени, tшт,
мин
|
|
1-я
операция Токарная обработка
|
1,8
|
1,7
|
2,8
|
2,9
|
1,7
|
3,1
|
3,7
|
1,9
|
1,1
|
1,7
|
|
2-я
операция Сверление / Тэфф
|
0,4
|
1,6
|
0,7
|
0,5
|
0,6
|
0,5
|
0,6
|
1,1
|
0,7
|
0,4
|
|
3-я
операция Фрезерование
|
1,1
|
1,3
|
0,6
|
0,7
|
0,7
|
0,5
|
0,8
|
1,3
|
0,5
|
0,6
|
|
5-я
операция Промывка
|
1,3
|
1,2
|
1,3
|
2,1
|
2,3
|
0,7
|
1,5
|
2,3
|
1,1
|
0,6
|
|
6-я
операция Термообработка
|
36
|
32
|
40
|
60
|
68
|
20
|
44
|
60
|
36
|
48
|
|
7-я
операция Приемка БТК
|
0,5
|
0,4
|
0,4
|
0,5
|
0,6
|
0,3
|
0,4
|
0,6
|
0,4
|
0,2
|
Таблица 4.10. Исходные данные (вторая цифра
варианта)
|
Показатели
|
0
|
1
|
2
|
3
|
4
|
5
|
6
|
7
|
8
|
9
|
|
Выпуск
годных отливок в месяц, тыс. шт.
|
33
|
34
|
39
|
29
|
26
|
58
|
33
|
24
|
41
|
Расчетное число единиц оборудования опред. по
формуле:
Х = Тгод / Тэфф
где Тгод - годовой объем работ, Тэфф
- эффективный годовой фонд оборудования (в случае при 2-х сменной работе Тэфф
= 3975 часов.)
Тгод = Вып. в месяц тыс. шт *12
месяцев * трудоемкость на 1 шт.
Выпуск в 1 месяц = 29 тыс. шт.
Действительный фонд времени Д = 20*2*8 = 320 час
Простои - 0,05
Принимаем 6 операцию «Термообработка» за одну
единицу трудоемкости.
Тогда:
операция токарная
операция сверление
операция фрезерование
операция промывка
операция термообработка
операция приемка
Определи программу в определенных единицах
операция Nпр1=29
× 0,048 = 1,392
операция Nпр2=29
× 0,008 = 0,232
операция Nпр3=29
× 0,011 = 0,319
операция Nпр5=29
× 0,035 = 1,015
операция Nпр6=29
× 1 = 29
операция Nпр7=29
× 0,008 = 0,232
Тогда:
В месяц 29 тыс. единиц продукции
Тгод = 29000 шт*12 мес* 9,538час =
3,319224 тыс. час.
Х = 3319224 / 3975 = 835 ед. оборуд.
Если на 1 единицу оборудования нужен 1 рабочий,
то всего потребуется при заданном плане работы 835 рабочих.
Организация поточного производства.
Прерывно-поточные линии (прямоточные)
На прямоточной линии обрабатывается корпус
изделия. Определить такт линии; рассчитать число рабочих мест и число рабочих
на линии; составить план-график работы оборудования и рабочих; рассчитать
межоперационные заделы и построить график их движения. Исходные данные для
расчета приведены в табл. 5.2 и 5.3.
Таблица 5.2. Исходные данные
|
№
операции
|
Первая
цифра варианта
|
|
0
|
1
|
2
|
3
|
4
|
5
|
6
|
7
|
8
|
9
|
|
Норма
времени на операции tшт,
мин
|
|
1
|
2,9
|
4,9
|
1,2
|
3,0
|
2,8
|
4,8
|
5,1
|
3,0
|
1,2
|
2,5
|
|
2
|
2,3
|
2,1
|
5,2
|
2,4
|
2,2
|
2,2
|
2,3
|
1,3
|
5,3
|
1,2
|
|
3
|
2,7
|
1,0
|
2,5
|
2,8
|
2,6
|
2,0
|
2,5
|
2,7
|
2,1
|
2,3
|
|
4
|
5,1
|
1,5
|
2,9
|
1,8
|
5,0
|
0,9
|
1,0
|
1,8
|
0,6
|
1,6
|
|
5
|
2,3
|
3,0
|
2,3
|
5,2
|
1,1
|
1,4
|
3,0
|
5,2
|
3,2
|
2,9
|
|
6
|
1,7
|
2,2
|
2,6
|
2,6
|
1,5
|
2,6
|
1,8
|
2,3
|
2,3
|
5,2
|
Таблица 5.3. Исходные данные
|
Показатель
|
Вторая
цифра варианта
|
|
0
|
1
|
2
|
3
|
4
|
5
|
6
|
7
|
8
|
9
|
|
Количество
смен
|
1
|
2
|
3
|
1
|
2
|
3
|
1
|
2
|
3
|
1
|
|
Суточная
программа выпуска,шт
|
190
|
350
|
550
|
185
|
375
|
510
|
175
|
365
|
535
|
180
|
Определим такт определяется по формуле:
где Fд
- действительный фонд времени работы линии за период выполнения задания, мин; Fд
= 20дней*1 смену*8 час = 160 час.
fp
- регламентированные перерывы в работе линии для отдыха рабочих; Возьмем
средние физические нагрузки (30 мин в день) и время на обед (45 мин), тогда
регламентированные перерывы fp
= 75 мин*20 дней = 1500 мин = 25 час в месяц.
NГ -
программа запуска деталей на рассчитываемый период, шт;
NГ =
185шт. * 20 дней = 3700 шт. в мсяц.
Тогда такт:
Расчетное количество рабочих мест на каждой
операции поточной линии:
На 1 операции
На 2 операции
На 3 операции
На 4 операции
На 5 операции
На 6 операции
Для полного использования фонда времени рабочего
разработаем и зададим оптимальный и постоянный режим обслуживания с периодом
работы оборудования и рабочих, порядком и временем переходов рабочих,
обслуживающих несколько станков на протяжении смены.
Выбор рационального периода комплектования и
установление режима работы линии производится при составлении плана-графика.
План-график работы оборудования и рабочих на
прямоточной линии
|
№
|
Штучная
норма времени ti,
мин
|
Ср
|
Спр
|
№
станка
|
Загрузка
станка, %
|
Исполнитель
|
Период
комплектования задела R=
60 мин*8 час = 480 мин
|
|
1
|
3,0
|
15,24
|
2
|
1
2
|
100
40
|
А
Б
|
100%
40% 60% 70%
|
|
2
|
2,4
|
12,2
|
2
|
1
2
|
60
70
|
Б
С
|
|
|
3
|
2,8
|
14,23
|
2
|
1
2
|
30
100
|
С
D
|
30%
100%
|
|
4
|
1,8
|
9,15
|
1
|
1
|
50
|
E
|
50%
|
|
5
|
5,2
|
26,42
|
3
|
1 2
3
|
50 40
40
|
E G
G
|
50%
40% 40%
|
|
6
|
2,6
|
13,21
|
2
|
1 2
|
20 100
|
G F
|
20%
100%
|
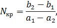
Вследствие различной производительности смежных
операций между ними на линии образуются оборотные заделы. Максимальная величина
оборотного задела определяется:
где Т - период совместной работы неизменного
числа оборудования на смежных операциях;
Сi,
Сi+1
- количество оборудования, работающих на смежных операциях в течение периода Т;
ti,
ti+1
- нормы времени на смежных операциях.
-2 операция
нет
задела
-3 операция
-4 операция
-5 операция
нет
задела
-6 операция
нет
задела
Использование оборудования и план-график работы
необходимо перераспределить. Движение оборотных заделов на линии может быть
показано графически в виде эпюр.
Примерный график движения межоперационных
оборотных заделов.
|
№
операции
|
R=480 мин
|
|
1
|
40%
100%
60%
|
|
Задел
между операциями 1 и 2
|
|
|
2
|
|
Экономическое обоснование технологического
процесса
Для детали сложной формы можно выбрать в
качестве заготовки отливку из ковкого чугуна (1 вариант) или пруток
углеродистой стали (2 вариант). Косвенные расходы составляют по литейному цеху
140%, по механическому 200% от заработной платы. Определить критическую
программу, и какой вариант заготовки экономически целесообразен при
изготовлении 1000 шт.
Таблица 13.1. Исходный вариант
|
Первая
цифра варианта
|
1
вариант
|
|
Расход
металла, кг
|
Цена
металла, руб.
|
Зарплата
на 1 шт., руб.
|
Расход
энергии на 1 шт., руб.
|
Годовые
затраты на оснастку, тыс. руб.
|
|
|
|
по
литейному цеху
|
по
механическому цеху
|
|
|
|
0
|
3,8
|
1,76
|
0,12
|
0,03
|
0,34
|
50
|
|
1
|
4,18
|
1,94
|
0,13
|
0,03
|
0,37
|
55,00
|
|
2
|
4,60
|
2,13
|
0,15
|
0,04
|
0,41
|
60,50
|
|
3
|
5,06
|
2,34
|
0,16
|
0,04
|
0,45
|
66,55
|
|
4
|
5,56
|
2,58
|
0,18
|
0,04
|
0,50
|
73,21
|
|
5
|
6,12
|
2,83
|
0,19
|
0,05
|
0,55
|
80,53
|
|
6
|
6,73
|
3,12
|
0,21
|
0,05
|
0,60
|
88,58
|
|
7
|
7,41
|
3,43
|
0,23
|
0,06
|
0,66
|
97,44
|
|
8
|
8,15
|
3,77
|
0,26
|
0,06
|
0,73
|
107,18
|
|
9
|
8,96
|
4,15
|
0,28
|
0,07
|
0,80
|
117,90
|
Таблица 13.2. Исходный вариант
|
Вторая
цифра варианта
|
2
вариант
|
|
Расход
металла, кг
|
Цена
металла, руб.
|
Зарплата
на 1 шт., руб.
|
Расход
энергии на 1 шт., руб.
|
Годовые
затраты на оснастку, тыс. руб.
|
|
|
|
по
литейному цеху
|
по
механическому цеху
|
|
|
|
0
|
5
|
0,89
|
-
|
0,2
|
0,26
|
80
|
|
1
|
5,5
|
0,98
|
0,18
|
0,22
|
0,29
|
88,00
|
|
2
|
6,05
|
1,08
|
0,2
|
0,24
|
0,31
|
96,80
|
6,66
|
1,18
|
-
|
0,27
|
0,35
|
106,48
|
|
4
|
7,32
|
1,30
|
0,21
|
0,29
|
0,38
|
117,13
|
|
5
|
8,05
|
1,43
|
-
|
0,32
|
0,42
|
128,84
|
|
6
|
8,86
|
1,58
|
0,22
|
0,35
|
0,46
|
141,72
|
|
7
|
9,74
|
1,73
|
-
|
0,39
|
0,51
|
155,90
|
|
8
|
10,72
|
1,91
|
0,23
|
0,43
|
0,56
|
171,49
|
|
9
|
11,79
|
2,10
|
-
|
0,47
|
0,61
|
188,64
|
По заданию имеется два варианта технологического
процесса. зависимость технологической себестоимости от объема производства
записана уравнением:
С1=а1N+b1
С2=а2N+b2
Причем b2<b1
и a2<a1.
где а - постоянные затраты на единицу продукции;
Для ковкого чугуна (1 вар):
а лит цех =5,06*2,34 + 0,16 + 0,45 +
66,55 = 79
а мех цех =5,06*2,34 + 0,04 + 0,45 +
66,55 = 73,99
а1= 79 + 73,99 = 153
N - объем
производства продукции; N
=1000 шт.
Косвенные расходы К1лит = 0,16*140%=
0,224
К1мех = 0,04*200%= 0,08
b - постоянные
затраты на весь выпуск продукции.
b1 =
1000*(74,11+73,99+0,224+0,08)= 148404 руб.
Для прутка углеродистой стали (2 вар):
а мех цех =6,65*1,18 + 0,27 + 0,35 +
106,48 = 114,94
N - объем
производства продукции; N
=1000 шт.
Косвенные расходы К2мех = 0,27*200%=
0,54
b - постоянные
затраты на весь выпуск продукции.
b1 =
1000*(114,94+0,54)= 115487 руб.
Определим зависимость технологической
себестоимости от объема производства:
С1=а1N+b1
= 153*1000 + 148404 = 301404
С2=а2N+b2
= 114,94*1000 + 115487 = 230427
Существует такой объем производства, при котором
себестоимость продукции по вариантам одинаковая, т.е. С1=С2.
а1×N+b1=
а2×N+b2,×(a1-a2)=b2-b1,
где Nкр
- критическая программа производства, при которой варианты экономически
однозначны.
*N
+ 148404 = 114,94*N + 115487N
= 864.87 шт.
Можно представить и графическое решение:
Оптимальное количество выпуска N
= 864.87 шт.