Основы транспортной логистики

  • Вид работы:
    Контрольная работа
  • Предмет:
    Транспорт, грузоперевозки
  • Язык:
    Русский
    ,
    Формат файла:
    MS Word
    106,24 Кб
  • Опубликовано:
    2015-11-07
Вы можете узнать стоимость помощи в написании студенческой работы.
Помощь в написании работы, которую точно примут!

Основы транспортной логистики

Задача №1. Определение оптимальных параметров закупок

Задание. Для организации продаж в течение месяца фирме необходимо закупить i- видов продукции. Осуществление закупок можно производить один раз в месяц (исходный вариант) и несколькими партиями (предлагаемый вариант). Требуется для рассматриваемого периода времени по каждому виду ассортимента определить: 1) оптимальный объем закупаемых видов продукции; 2) оптимальное количество заказов; 3) оптимальные переменные затраты на хранение запасов; 4) сравнить переменные издержки рассматриваемых вариантов.

Основной целью закупочной логистики является удовлетворение потребностей потребителя в материальных ресурсах с максимально возможной экономической эффективностью. Такое достижение зависит от решения целого ряда вопросов. К некоторым из них относятся задачи по определению за искомый период времени следующих параметров:

Ø  оптимальный объем закупаемых видов продукции (Qo);

Ø  оптимальное количество заказов (Ч);

Ø  оптимальные переменные затраты на хранение запасов (Ио).

Исходные данные:

Таблица 1. Исходные данные

Разряд

Название параметра

№ вида

Вариант (шифр 0887)

1

Количество видов продукции

4

0

Потребность в продукции по видам, шт.

1

32



2

74



3

10



4

16

0

Издержки хранения единицы товара по видам, ден. ед.

1

73



2

54



3

105



4

92

0

Стоимость заказа партии товара по видам, ден. ед.

1

324



2

242



3

350



4

340


Решение:

Расчет перечисленных величин производим по формулам:

, шт.                                                                                               (1)

, заказов                                                                                          (2)

, руб.                                                                                        (3)

где - стоимость заказа партии, ден. ед.;

 - потребность в продукции в течение месяца, шт.;

 - издержки хранения единицы товара в течение месяца, ден. ед.

Определяем оптимальный объем закупаемых видов продукции:

, шт. , шт.

, шт. , шт.

Определяем оптимальное количество заказов:

, заказов. , заказов.

, заказов. , заказов.

Определяем оптимальные переменные затраты на хранение заказов:

, руб. , руб.

, руб. , руб.

На основании вышеприведенных расчетов производим сравнение переменных издержек варианта с оптимальными параметрами с ситуацией, когда приобретение всей партии товаров производится в первый день рассматриваемо периода. Различие в переменных издержках определяется по формуле:

, руб.                                                                            (4)

, руб.

, руб.

, руб.

, руб.

Так как все значения величины DИ оказались положительными, значит предлагаемый вариант является лучшим и обеспечивает минимальные издержки потребителя по закупкам.

транспортный закупка груз цикл


Задание. Компания, расположенная в городе М, осуществляет закупку широкого ассортимента товаров. Продукция может быть приобретена в пределах города М (1 вариант) или в городе К (2 вариант). Второй вариант сопряжен с дополнительными затратами: на транспортировку; создание страховых материальных запасов, гарантирующих бесперебойную работу; отвлечение финансовых ресурсов в запасы; платежи за экспедирование, таможенные пошлины и другие расходы. Закупочная цена изделий в городе М более высокая, чем в городе К.

Необходимо, по исходным данным (табл. 2,3):

Ø  для различных значений закупочных цен рассчитать дополнительные затраты по доставке 1 м3 товаров;

Ø  для рассматриваемых в предыдущем пункте значений цен определить доли дополнительных затрат в их стоимости;

Ø  дополнительных затрат в их стоимости;

Ø  пользуясь графиком определить, где выгоднее осуществлять закупки заданных товаров.

Исходные данные:

Таблица 2. Исходные данные

Разряд

Наименование параметра

Обозначение

Вариант (шифр 0887)

0

Ассортимент товаров


5 10 14

0

Транспортный тариф, ден. ед.

Т

2800

1

Время доставки, сутки

tдост

8

1

Страховой запас, сутки

tстр

6

1

Ставка банковского кредита, %

β

28

0

Ставка за экспедирование, %

δ

2,2

0

Таможенная пошлина, %

γ

-

0

Разница стоимости погрузочных работ, ден. ед.

ЗП/Р

-160


Таблица 3. Наименование и стоимость товара

№ п/п

Наименование товара

Удельная стоимость, ден. ед./м3

Цена за единицу, ден. ед.




город М

город К

5

Коньяк

120000

105

100

10

Консервы рыбные

12000

23

20

14

Макаронные изделия

17000

26

20


Решение:

Предпочтение удаленному поставщику отдается в том случае, если выполняется неравенство:

Д<∆С                                                                                                       (5)

где Д - доля дополнительных затрат в удельной стоимости поставляемого материалопотока, %;

∆С - превышение стоимости местного товара по отношению к поставляемому, %.

Определение доли дополнительных затрат осуществляется по формуле:

, %                                                                                                 (6)

где E - закупочная стоимость выбранной единицы измерения (ящик, коробка, мешок) поставляемого товара, ден. ед./м3;

∑Ri - сумма дополнительных расходов при доставке продукции из другого региона, ден. ед.;

∑Ri = Т + ЗП + ЗС + ЗЭ +ЗП/Р + ЗТ, руб          .                                              (7)

где Т - транспортный тариф, ден. ед./м3.;

ЗП - расходы на запасы в пути, ден. ед./м3.;

ЗС - издержки по созданию страховых запасов, ден. ед./м3.;

ЗЭ - оплата экспедиторских услуг, ден. ед./м3.;

ЗП/Р - различие в стоимости разгрузочных работ, ден. ед./м3.;

ЗТ - таможенные платежи, ден. ед./м3.;

Расходы на запасы в пути рассчитываем по формуле:

, ден. ед./ м3.                                                                 (8)

Издержки по созданию страховых запасов рассчитываем по формуле:

, ден. ед./ м3.                                                      (9)

Оплата экспедиторских услуг определяем по формуле:

, ден. ед./ м3.                                                                                   (10)

Таможенные платежи определяем по формуле:

, ден. ед./ м3.                                                                                              (11)

где β - процентная ставка банковского кредита, %;

δ - ставка за экспедирование, %;

γ - величина таможенных пошлин, %;

tдост - срок доставки груза, сутки;

tстр - время, на которое создаются страховые запасы у получателя, сутки.

Рассчитаем:

, ден. ед./ м3.

, ден. ед./ м3.

, ден. ед./ м3.

, ден. ед./ м3.

, ден. ед./ м3.

, ден. ед./ м3.

, ден. ед./ м3.

, ден. ед./ м3.

, ден. ед./ м3.

Так как для данного варианта γ - величина таможенных пошлин отсутствует значит, в расчетах таможенные платежи не участвует.

Подставим рассчитанные значения в формулу:

∑Ri1 = 2800+736,44+552,33+2640-160=6568,77 руб.;

∑Ri2 = 2800+73,64+55,23+264-160=3032,88 руб.;

∑Ri3 = 2800+104,33+78,25+374-160=3196,57 руб.

Процент дополнительных затрат будет равен:

 %

 %

 %

Процентное превышение стоимости местного товара по отношению к поставляемому определяем как:

 , %     (12)

Где СМ, СК - стоимость товара, соответственно, в городах М и К.

 %

 %

 %

Сравниваем полученные результаты, и делаем вывод, где предпочтительно закупать товар (в пределах своего города М или в удаленном городе К):

Д1>∆С1

Д2>∆С2

Д3<∆С3

Вывод:

Из расчетов видно, что предпочтительно закупать макаронные изделия в городе К, так как доля дополнительных затрат в удельной стоимости поставляемого материалопотока не превышает стоимости местного товара по отношению к поставляемому, а коньяк и консервы рыбные в городе М, так как условие не выполняется.

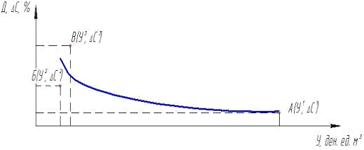
Целесообразность закупок в другом городе можно определить также с помощью построенной кривой выбора поставщика (рис.1). Названная кривая является графиком функциональной зависимости Д(У) и строится для различных значений закупочных цен.

Расчеты величины Д для различных значений параметра У производят в виде таблицы:

У, ден. ед./м3

Дополнительные расходы, ден. ед./ м3

SR , ден. ед./м3

Д, %


Т

Зп

Зс

Зэ

Зт

Зп/р



120000

2800

736,44

2640

0

-160

6568,767

5,47

12000

2800

73,64

55,23

264

0

-160

3032,877

25,27

17000

2800

104,33

78,25

374

0

-160

3196,575

18,80


Используя данные вышеприведенной таблицы, строим график и для заданных товаров наносим точки с координатами (У; DС).

Рис. 1. Кривая выбора поставщика

По построенному графику и наличии цен на товары в городах М и К можно принимать решение о закупках в рассматриваемом регионе.

Приоритет городу К отдается в случае с точкой В (макаронные изделия) с координатами (У2, DС2), которая находится выше кривой (рис. 1). Для точек А и Б условия не выполняются.

Задача №3 Определение места расположения распределительного центра

Задание. Фирма реализует продукцию на рынках сбыта Ki (i =1…n) и имеет постоянных поставщиков Пj (j =1…m) в разных регионах. Увеличение объема продаж заставляет фирму поднять вопрос о строительстве нового распределительного центра, обеспечивающего продвижение товара на новые рынки и бесперебойное обслуживание своих клиентов. Необходимо определить и указать на чертеже:

Ø  координаты места расположения распределительного склада (точка М);

Ø  как измениться месторасположение, если для некоторых поставщиков измениться тариф на перевозку или грузооборот (точка М Т);

Ø  место расположение центра, обслуживающего клиентов города (точка М Г).

Исходные данные:

Таблица 4. Исходные данные

Разряд

Название параметра

Вариант (шифр 0887)

0

Координаты поставщиков (X; Y), км.

А Б

800;1150 50;650

0

Координаты клиентов (X; Y), км.

1 2 3 4 5

250;100 350;200 400;750 150;300 50;450

1

Транспортный тариф на перевозку грузов поставщиков, руб./т·км.

47

1

Транспортный тариф на перевозку грузов клиента, руб./т·км.

16

0

Объемы перевозок j- го поставщика, т

QпА QпБ

1150 650

0

Объемы перевозок i- го клиента, т.

Qк1 Qк2 Qк3 Qк4 Qк5

100 200 750 300 450

0

Изменяемый параметр поставщиков

Тпj

1

Изменение параметров поставщиков (знак минус - уменьшение, плюс - увеличение), %

А Б

-5 -15


Решение:

При выборе места расположения склада наибольшее внимание уделяется транспортным расходам, связанных с доставкой грузов на склад и со склада потребителям. Чем ниже совокупные затраты, тем выше прибыль фирмы, а следовательно эффективнее вариант выбора. Затраты, связанные со строительством и дальнейшей эксплуатацией складского сооружения, в данном случае не учитываются. Условно считается, что они больше зависят от особенностей конструкции склада и его технической оснащенности, чем от месторасположения.

Минимизировать затраты можно, разместив склад в окрестностях центра тяжести грузопотоков. Для решения задачи используем метод наложения сетки координат на карту потенциальных мест расположения складов. Система сетки дает возможность оценить стоимость доставки от каждого поставщика до предлагаемого склада и от склада до конечного потребителя.


                                                  (12)

                                                    (13)

где ХМ, YМ - координаты центра масс, км.;Пj, YПj - координаты j-го поставщика, км.;Кi, YКi - координаты i-го клиента, км.;

ТПj, ТКi - транспортный тариф на перевозку грузов j-го поставщика и i-го клиента, соответственно, руб./т км.;Пj, QКi - объемы перевозок поставщика и клиента, соответственно, т.

Произведем расчеты:

;

.

Вычислим как изменится место расположение центра масс если поставщик А и Б изменить транспортный тариф на -5% и -15% соответственно.

;

.

При решении проблемы оптимального места расположения центра, снабжающего потребителей города, из формул (12), (13) исключим транспортный тариф на перевозку, так как внутри города он одинаков. Координаты центра массы в этом случае определяются как:

                                                                               (14)

                                                                                (15)

Произведем расчеты:

Строим график размещения координат поставщиков и потребителей.

Рис. 2. -

Похожие работы на - Основы транспортной логистики

 

Не нашли материал для своей работы?
Поможем написать уникальную работу
Без плагиата!
Без нейросетей!