Режимы работы современных сетей теплоснабжения
Введение
Система теплоснабжения - это совокупность
источников теплоты, транспортных сетей и теплоиспользующих установок
потребителя. Системы теплоснабжения подразделяется на 2 категории:
централизованные и децентрализованные.
Теплофикация - это комбинирование производства
тепловой и электрической энергии с последующей транспортировкой теплоты к
потребителям. Для современных сетей теплоснабжения характерны механические и
организационные проблемы, такие как: высокий износ оборудования источников и
тепловых сетей; повышение затрат на эксплуатацию и рост себестоимости
вырабатываемых электроносителей; дефицит финансовых ресурсов для замены
физически изношенного оборудования; низкие показатели тепловой экономичности.
Стратегия развития энергетики РФ до 2020 года
предусматривает следующие направления реформирования систем теплоснабжения:
проведение активной энергосберегающей политики направленную на ликвидацию
различных потерь; внедрение передовых технологий в производстве
энергоносителей; внедрение новых конструкторских тепловых сетей обеспечивающих
высокую надежность и экономичность; утепление зданий производственного и ЖКХ
назначения.
Содержание
Введение
. Расчет тепловой сети на нормальном
режиме
. Расчет тепловой сети на аварийном
режиме
. Расчет расхода воды и напора в
зависимости от характеристик насоса
Заключение
Список использованных
источников
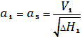
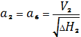
1.
Расчет тепловой сети на нормальном режиме
Найдем сопротивления отдельных магистральных
участков и перемычки (подающей и обратной труб вместе):

(1)
где 
=0,04418 c2/м6 -
удельное сопротивление (по приложению 6 [1]).

(2)
где 
=0,1506 c2/м6
- удельное сопротивление (по приложению 6 [1]).

(3)
где 
c2/м6
- удельное сопротивление (по приложению 6 [1]).
Определим расходы воды на
магистральных участках при нормальном режиме работы:
Определим потери напора на
магистральных участках при нормальном режиме работы:

(4)

(5)

(6)

(7)
Определим разности напоров
(располагаемые напоры) в местах ответвлений при нормальном режиме работы:

(5)

(6)

(7)

(8)
Полученные данные сведем в таб.1 и
построим график напоров 1-й магистрали для нормального режима (Рис. 1).
Таблица 1 - Данные по напорам 1-ой
магистрали при нормальном режиме
|
Hобр, м
|
H прям, м
|
Разности напоров на участках, м
|
Потери напоров на участках, м
|
|
0
|
10
|
77
|
67
|
|
|
1
|
14,59
|
72,41
|
57,81
|
9,189
|
|
2
|
17,18
|
69,82
|
52,64
|
5,169
|
|
3
|
21,09
|
65,91
|
44,81
|
7,83
|
|
4
|
25,30
|
61,70
|
36,39
|
8,42
|

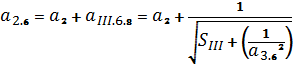
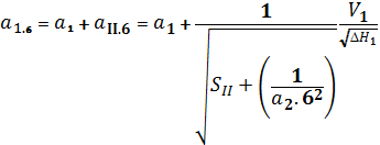
Определим проводимости ответвлений:

(9)

(10)

(11)
2. Расчет тепловой сети на аварийном
режиме
Определим проводимость участков 2-й
магистрали при аварийном режиме:

(12)

(13)
Определим проводимость участков сети
от точки 3 (включая ответвление до конечных точек):

(15)
Определим проводимость участков сети
от точки 2 до конечных точек:

(16)
Определим проводимость участков сети
от точки 1 до конечных точек:

(17)
Определим проводимость всей сети при
аварийном режиме:

(18)
Определим расходы воды при аварийном
режиме:

(19)

(20)

(21)

(22)

(23)

(24)

(25)

(26)

(27)
Определим потери напора на участках (в подающей
и обратной трубах вместе):

(28)

(29)

(30)

(31)

(32)

(33)

(34)
На основании полученных данных строим график
напоров при аварийном режиме (Рис. 2).
Рис. 2. График напоров для аварийного режима
работы сети
3. Расчет расхода воды и напора в зависимости от
характеристик насоса
Характеристика сети:
Найдем сопротивление сети:
∆H=S*V2,
где ∆H=67
м - разность напоров в сети, V=0,8,
м3/с - расход сети,
S=∆H/
V2=104,69
м*с2/м6.
Таблица 2 - Данные для построения характеристики
сети по точкам
|
V, м3/с
|
0,1
|
0,2
|
0,3
|
0,4
|
0,5
|
0,6
|
0,7
|
0,8
|
0,9
|
|
∆H, м
|
1,05
|
4,18
|
9,42
|
26,17
|
37,7
|
51,3
|
67
|
104,69
|
Увеличение работы насоса на 30%:
H=H0-SнV2,
где H0=1,3*H=67*1,3=87,1
м - напор при нулевой подаче,
Сопротивление насоса:
V=0,8 м3/с,
Sн=(H0-
H)/ V2=(87,1-67)/0,82=31,40
м*с2/м6.
Таблица 3 - Данные для построения характеристики
насоса по точкам (работа насоса увеличена на 30%)
|
V, м3/с
|
0,1
|
0,2
|
0,3
|
0,4
|
0,5
|
0,6
|
0,7
|
0,8
|
0,9
|
|
H, м
|
86,8
|
85,8
|
84,27
|
82,1
|
79,25
|
75,8
|
71,7
|
67
|
61,35
|
Увеличение работы насоса на 40%:
H=H0-SнV2;
H0=1,4*H=67*1,4=93,8
м
Sн=(H0-
H)/ V2=(93,8-67)/0,82=41,88
м*с2/м6.
Таблица 4 - Данные для построения характеристики
насоса по точкам (работа насоса увеличена на 40%)
|
V, м3/с
|
0,1
|
0,2
|
0,3
|
0,4
|
0,5
|
0,6
|
0,7
|
0,8
|
0,9
|
|
H, м
|
93,5
|
92,5
|
90,97
|
88,8
|
85,95
|
82,5
|
78,4
|
73,7
|
68,05
|
Увеличение работы насоса на 50%:
H=H0-SнV2;
H0=1,5*H=67*1,5=100,5
м
Sн=(H0-
H)/ V2=(100,5-67)/0,82=52,34
м*с2/м6.
Таблица 5 - Данные для построения характеристики
насоса по точкам (работа насоса увеличена на 50%)
|
V, м3/с
|
0,1
|
0,2
|
0,3
|
0,4
|
0,5
|
0,6
|
0,7
|
0,9
|
|
H, м
|
100,2
|
99,2
|
97,67
|
95,5
|
92,65
|
89,2
|
85,1
|
80,4
|
74,75
|
На основании полученных данных строим график
влияния работы насоса на располагаемый напор (Рис.3).
Рис.3. График совместной работы насоса и сети
тепловой сеть энергоноситель водяной
Заключение
Произведен расчет гидравлического режима
двухтрубной закрытой неавтоматизированной водяной сети с двумя магистралями.
Построен пьезометрический график. Построены совместные характеристики насоса и
сети. Учет характеристики насоса в рассматриваемом случае приводит к увеличению
расхода воды у потребителей и располагаемого напора.
Список использованных источников
1. Сафонов А.П. Сборник задач
по теплофикации и тепловым сетям: Учеб. Пособие для вузов. - 3-е изд., перераб.
- М.: Энергоатомиздат, 1985. - 232 с., ил.
. Соколов Е.Я. Теплофикация и
тепловые сети. М.: Энергоиздат,
1982. -360 с.
. Соколов Е.Я., Громов Н.К. и
Сафонов А.П. Эксплуатация тепловых сетей. М.:
Госэнергоиздат, 1955. - 352 с.