Расчет электроснабжения цеха
Реферат
Данный курсовой проект по курсу
«Электроснабжение промышленных предприятий» состоит из пояснительной записки
(49 страниц); графической части (2 листа формата А1); 28 таблиц; 3 рисунка.
СИЛОВОЙ ТРАНСФОРМАТОР, ТЕПЛОВОЙ ИМПУЛЬС, ПРЕДОХРАНИТЕЛЬ, сТРОБОСКОПИЧЕСКИЙ ЭФЕКТ,
ШИНОПРОВОД, ВАКУУМНЫЙ ВЫКЛЮЧАТЕЛЬ, СИНХРОННЫЙ ДВИГАТЕЛЬ, ОПОРНЫЙ ИЗОЛЯТОР.
Введение
электрический нагрузка трансформатор
кабель
Целью данного курсового проекта является
получение новых и закрепление имеющихся знаний, а также проявление творческих
способностей в области проектирования электроснабжения небольших цехов.
Данный курсовой проект (КП) является завершающим
этапом в изучении основного курса специальности «Электроснабжение
промпредприятий».
В процессе выполнения КП предстоит выбрать
вариант конфигурации сети цеха на 0,4кВ. В расчетном варианте необходимо
определить токи короткого замыкания и выбрать коммутационную аппаратуру, при
этом предусмотреть, чтобы система электроснабжения обладала высокими
технико-экономическими показателями и обеспечивала бы соответствующую степень
качества и требуемую степень надежности электроснабжения проектируемого
объекта.
Исходные данные на курсовой проект
Номер рисунка 1 (распределительная сеть 0,4 кВ)
Вариант № 2
Наименование электроприемников, их количество и
мощности
|
№
|
Наименование
ЭП
|
Номер
на плане
|
Мощность,кВт
|
шт.
|
|
1
|
Кругло-шлифовальный
|
1-13
|
21
|
13
|
|
2
|
Токарно-револьверный
|
14-18
|
17
|
5
|
|
3
|
Вертикально-сверлильный
|
19-24
|
29
|
5
|
|
4
|
Токарный
полуавтомат
|
25-28
|
23
|
14
|
|
5
|
Плоскошлифовальный
|
29-31
|
18
|
3
|
|
6
|
Токарный
с ЧПУ
|
32,33
|
44
|
2
|
|
7
|
Горизонтально-проточный
|
34-36
|
21
|
3
|
|
8
|
Горизонтально-расточный
|
37-40
|
23
|
4
|
|
9
|
Вентустановка
|
41,42
|
15
|
2
|
|
10
|
Радиально-сверлильный
|
43-45
|
42
|
3
|
|
11
|
Безцентро-шлифовальный
|
46,47
|
29
|
2
|
|
12
|
Токарно-винторезный
|
48,49
|
12
|
2
|
|
13
|
Точильно-шлифовальный
|
50-54
|
21
|
5
|
|
14
|
Нагревательная
печь
|
55,56
|
80
|
2
|
|
15
|
Термическая
печь
|
57,59
|
60
|
3
|
|
16
|
Электротермическая
печь
|
60-62
|
55
|
3
|
|
17
|
Вентустановка
|
63
|
12
|
1
|
|
18
|
Точечные
стационарные
|
64-67
|
120
|
4
|
|
19
|
Сварочные
стыковые
|
68-70
|
90
|
3
|
|
20
|
Сварочные
шовные роликовые
|
71-73,
кВА
|
100
|
3
|
|
21
|
Сварочные
точечные
|
74-76,
кВА
|
110
|
3
|
|
22
|
Вентустановка
|
77,78,
кВА
|
18
|
2
|
1. Расчёт трехфазных
электрических нагрузок в распределительной сети 0,4 кВ
Расчет электрических нагрузок производится
методом расчетного коэффициента. Данный метод расчета позволяет определить
электрические нагрузки электроприемников напряжением до 1000 В. Произведём
расчёт для электроприемника «кругло-шлифовальный» станок.
Алгоритм расчета
1) Номинальная мощность электроприёмника
) Количество электроприемников,
) По справочным данным определим значения
коэффициентов использования и мощности, а также по
;
) Суммарная мощность группы
электроприемников:
5) Определяем среднюю активную и реактивную
мощности данной группы электроприемников:
) Найдём значение величины
Аналогичный расчет выполняем для всех остальных
видов электроприемников, за исключением сварочной нагрузки. Полученные данные
сводим в таблицу №1
) Рассчитаем эффективное число
электроприемников:
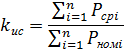
8) Определим средневзвешенный коэффициент
использования:
9) Определим значение расчетного
коэффициента
:
) для магистрального шинопровода имеем:
при
11) Определим значения
,
,
:
С учётом осветительной и сварочной нагрузок:
Полученные данные заносим в таблицу №1.1
|
Наименование
эп
|
N,шт
|
Pном,кВт
|
Pсум,кВт
|
Ки
|
cos
|
tg
|
Pср,кВт
|
Qср,кВт
|
n*
|
Nэ
|
Кр
|
Pр,кВт
|
Qр,квар
|
Sр,кВА
|
Iр,А
|
|
Кругло-шлифовальный
|
13
|
21
|
273
|
0,17
|
0,65
|
1,17
|
46.41
|
54.25
|
5733
|
|
|
|
|
|
|
|
Токарно-револьверный
|
5
|
17
|
85
|
0,18
|
0,65
|
1,17
|
15.3
|
17,88
|
1445
|
|
|
|
|
|
|
|
Вертикально-сверлильный
|
6
|
29
|
174
|
0,14
|
0,4
|
2.3
|
24.36
|
55.81
|
5046
|
|
|
|
|
|
|
|
Токарный
полуавтомат
|
4
|
23
|
92
|
0,2
|
0,65
|
1,17
|
18.4
|
21.51
|
2116
|
|
|
|
|
|
|
|
Плоскошлифовальный
|
3
|
18
|
54
|
0,17
|
0,65
|
1,17
|
9,18
|
10,74
|
972
|
|
|
|
|
|
|
|
Токарный
с ЧПУ
|
2
|
44
|
88
|
0,2
|
0,65
|
1,17
|
17,6
|
20,6
|
3872
|
|
|
|
|
|
|
|
Горизонтально-проточный
|
3
|
21
|
63
|
0,2
|
0,65
|
1,17
|
12,6
|
14,74
|
1323
|
|
|
|
|
|
|
|
Вентустановка
|
2
|
15
|
30
|
0,65
|
0,8
|
0.75
|
19,5
|
14,62
|
450
|
|
|
|
|
|
|
|
Радиально-сверлильный
|
3
|
42
|
126
|
0,14
|
0,4
|
2.3
|
17,64
|
40,6
|
5292
|
|
|
|
|
|
|
|
Безцентро-шлифовальный
|
2
|
29
|
58
|
0,2
|
0,65
|
1,17
|
11,6
|
13,6
|
1682
|
|
|
|
|
|
|
|
Токарно-винторезный
|
2
|
12
|
24
|
0,12
|
0,4
|
2.3
|
2,88
|
6,62
|
288
|
|
|
|
|
|
|
|
Точильно-шлифовальный
|
5
|
21
|
105
|
0,2
|
0,65
|
1,17
|
21
|
24,6
|
2205
|
|
|
|
|
|
|
|
Нагревательная
печь
|
2
|
80
|
160
|
0,8
|
0,95
|
0,33
|
128
|
42.1
|
12800
|
|
|
|
|
|
|
|
Термическая
печь
|
3
|
60
|
180
|
0,8
|
0,95
|
0,33
|
144
|
47.3
|
10800
|
|
|
|
|
|
|
|
Электротермическая
печь
|
3
|
55
|
165
|
0,8
|
0,95
|
0,33
|
132
|
43.4
|
9075
|
|
|
|
|
|
|
|
Вентустановка
|
1
|
12
|
12
|
0,65
|
0,8
|
0,75
|
7.8
|
5.85
|
144
|
|
|
|
|
|
|
|
Вентустановка
|
2
|
18
|
36
|
0,65
|
0,8
|
0,75
|
23,4
|
17,55
|
648
|
|
|
|
|
|
|
|
Кран
|
1
|
50
|
0,15
|
0,5
|
1.73
|
7,5
|
12,97
|
2500
|
|
|
|
|
|
|
|
Горизонтально-расточный
|
4
|
23
|
92
|
0,17
|
0,65
|
1.17
|
15,64
|
18,3
|
2116
|
|
|
|
|
|
|
|
ИТОГО
|
66
|
|
1867
|
0,36
|
|
|
674,8
|
483
|
68507
|
51
|
0,7
|
472,4
|
338,1
|
|
|
|
Осветительная
НГ
|
|
|
|
|
|
|
|
|
|
|
|
49,7
|
21,1
|
|
|
|
Сварочная
НГ
|
|
|
|
|
|
|
|
|
|
|
|
56,9
|
86,8
|
|
|
|
Итого
по цеху
|
|
|
|
|
|
|
|
|
|
|
|
579
|
446
|
731
|
1055
|
Таблица 1.1- Расчет нагрузок для выбора цехового
трансформатора и ШМА
2. Расчёт сварочной эквивалентной
трёхфазной нагрузки
Все машины контактной электросварки являются
однофазными с повторно-кратковременным режимом работы.
Расчет электрических нагрузок машин контактной
сварки производится по полной мощности, за расчетную нагрузку по нагреву
принимается среднеквадратичная нагрузка.
Таблица 2.1- Исходные данные для расчета
электрических нагрузок машин контактной сварки
|
Наименование ЭП
|
|
|
|
|
|
|
|
|
Точечные
стационарные
|
4
|
120
|
0,55
|
0,03
|
0,8
|
2,88
|
16,62
|
|
Сварочные
стыковые
|
3
|
90
|
0,55
|
0,02
|
0,8
|
1,44
|
10,18
|
|
Сварочные
шовные роликовые
|
3
|
100
|
0,55
|
0,04
|
0,8
|
3,2
|
16
|
|
Сварочные
точечные
|
3
|
110
|
0,55
|
0,04
|
0,8
|
3,52
|
17,6
|
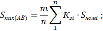
1. Распределение нагрузки по трем
парам фаз(отталкиваемся от номинальных значений):
2. Определим средние нагрузки каждой
машины:
- коэффициент
загрузки i-той сварочной машины;
- коэффициент
включения i-той сварочной машины.
. Определим среднюю мощность каждой
пары фаз:
. Определим среднеквадратическую
мощность каждой сварочной машины:
. Среднеквадратичная нагрузка каждой
пары фаз:
. Расчетная мощность всех сварочных машин
определяеться по двум наиболее загруженным парам фаз:
. Расчетную активную и реактивную нагрузки
находим по формулам:
Полученные значения заносим в таблицу №1.1
3. Расчет осветительной нагрузки
Освещение рассчитывается по удельной нагрузке на
единицу производственной площади:
Определим площадь цеха:
Расчетная активная нагрузка:
где
- удельная электрическая нагрузка на единицу производственной площади, кВт/
.
Примем, что
и освещение
производится люминесцентными лампами с cos
Расчетная реактивная нагрузка:
Полученные значения заносим в таблицу №1
4. Расчёт нагрузки крана
Кран имеет три
двигателя: тележки, моста, подъема.
Соотношения
мощностей 1:2:3. Мощность крана 50 кВт
Мощность тележки:
Мощность моста:
Мощность подъема:
Коэффициенты
включения:
для тележки
для моста
для подъема
Определим мощности двигателей:
Определим номинальную мощность крана:
Полученные значения заносим в таблицу №1.1
5. Выбор числа и мощности цехового
трансформатора с учётом компенсации реактивной мощности
Применяем однотрансформаторную подстанцию, т.к в
цехе приемники электроэнергии, допускающие перерыв электроснабжения на время
доставки складского резерва, т.е для потребителей II
и III категории, а также
они допустимы для небольшого количества (до 20%) потребителей I
категории.
Т.к взаиное резервирование присутствует, то
примем коэффициент загрузки
Выбор мощности силового трансформатора КТП
производится с учётом компенсации реактивной мощности.
Мощность
трансформатора определяется по активной расчётной нагрузке:
где
-
количество трансформаторов, равное 1;
- коэффициент
загрузки, равный 0,8
берется из таблицы
№1
Выбираем трансформатор
ТМ-1000/10-У1с параметрами:
;
;
;
;
Определим
реактивную мощность, которую целесообразно пропустить через трансформатор в
сеть с напряжением до 1 кВ:
Первая составляющая
мощности батареи конденсаторов в сети напряжением до 1000 В:
Вторая составляющая
мощности батареи конденсаторов, определяемая в целях оптимального снижения
потерь в трансформаторе и снижении потерь в сети 10 кВ:
где
- экономическое значение
=
0,25
Выбираем стандартные компенсирующие устройства
по
:
Определим реальный
коэффициент загрузки трансформатора с учётом КУ:
Определим потери в трансформаторе
Потери определяются по следующим формулам:
р
6. Выбор магистрального и
распределительных шинопроводов
Выбор ШМА
Выбираем магистральный
шинопровод по расчетному току
. Выбираем ШМА типа
ШМА-73 на
.
Выбор ШРА
Произведем расчет нагрузок для
выбора ШРА. Составим таблицу нагрузок для расчета ШРА1,2 (таблицы № 7.1-7.2)
Алгоритм расчета как и у ШМА, но расчетный
коэффициент находится по таблице 1 (спр. данные) где Кр
1,
реактивная мощность находиться из условия
для n
:
Qp = Qср
;
Pр = Кр
Pср
для n
10
: Qp =1,1
Qср
;
Pр = Кр
Pср
Исходя из значений таблицы № по расчетному току
.
выбираем ШРА1 типа ШРА-73 - 400
Исходя из значений таблицы № по расчетному току
.
выбираем ШРА2 типа ШРА-73 - 250
7. Выбор силовых пунктов
Произведем расчет
нагрузок для выбора СП. Составим таблицу нагрузок для расчета СП 1,2,3,4
(таблицы № 7.3-7.6)
Алгоритм расчета как и у
ШРА, расчетный коэффициент находится по таблице 1 (спр. данные) где Кр
1,
реактивная мощность находиться из условия
для n
10 : Qp
=1,1
Qср
; Pр =
Кр
Pср
Проверим
силовые
пункты на токи отходящих линий
Выбираем силовые пункты: № 1. : ШРС1
- 54УЗ на номинальный ток шкафа 320 А с числом отходящих линий 8 и номинальным
током предохранителей 100 А типа ПН2 - 100 (до 100 А)
Выбираем силовые пункты: № 2. : ШРС1
- 53УЗ на номинальный ток шкафа 250 А с числом отходящих линий 8 и номинальным
током предохранителей 60 А типа НПН - 60 (до 63А)
Сделаем проверку на токи
отходящих линий, возьмем самый мощный приемник с учетом tg
(точильно шлифовальный) и определим его
номинальный ток:
Выбираем силовой пункт: № 3 : ШРС1 -
28 УЗ на
номинальный ток шкафа 400 А с числом отходящих линий 8 и номинальным током
предохранителей: 2х60 + 4х100 + 2х250 А типа ПН2 - 100 (до 100 А), НПН2-60 (до
63А), ПН2-250 (до 250А)
Сделаем проверку на токи отходящих линий,
возьмем самый мощный приемник с учетом Ки (нагревательная печь) и определим его
номинальный ток:
Выбираем силовой пункт: № 4 : ШРС1 -
54УЗ на
номинальный ток шкафа 320 А с числом отходящих линий 8 и номинальным током
предохранителей 100 А типа ПН2 - 100 (до 100 А)
Сделаем проверку на токи отходящих линий,
возьмем самый мощный приемник с учетом tg
(Электротермическая
печь) и определим его номинальный ток:
Выбранные силовые пункты
выбраны верно
Таблица 7.1- Расчёт ШРА- 1.
|
Наименование
ЭП
|
|
|
|
|
φ
|
|
|
|
|
|
|
|
|
кВА
|
|
|
Кругло-шлифовальный
|
13
|
21
|
273
|
0,17
|
0,65
|
1,17
|
46,41
|
54,25
|
5733
|
|
|
|
|
|
|
|
Токарно-револьверный
|
5
|
17
|
85
|
0,18
|
0,65
|
1,17
|
15,3
|
17,88
|
1445
|
|
|
|
|
|
|
|
Вертикально
-сверлильный
|
6
|
29
|
174
|
0,14
|
0,4
|
2,3
|
24,36
|
55,81
|
5046
|
|
|
|
|
|
|
|
Вентустановка
|
2
|
15
|
30
|
0,65
|
0,8
|
0.75
|
19,5
|
14,62
|
450
|
|
|
|
|
|
|
|
ИТОГО
|
26
|
|
568
|
0,19
|
|
1,33
|
109,47
|
145,49
|
12872
|
26
|
1,1
|
120,42
|
145,49
|
188,8
|
272,5
|
Таблица 7.2- Расчёт ШРА- 2.
|
Наименование
ЭП
|
|
|
|
|
φ
|
|
|
|
|
|
|
|
|
кВА
|
|
|
Токарный
полуавтомат
|
4
|
23
|
92
|
0,2
|
0,65
|
1,17
|
18.4
|
21.51
|
2116
|
|
|
|
|
|
|
|
Плоскошлифовальный
|
3
|
18
|
54
|
0,17
|
0,65
|
1,17
|
9,18
|
10,74
|
972
|
|
|
|
|
|
|
|
Токарный
с ЧПУ
|
2
|
44
|
88
|
0,2
|
0,65
|
1,17
|
17,6
|
20,6
|
3872
|
|
|
|
|
|
|
Горизонтально-проточный
|
3
|
21
|
63
|
0,2
|
0,65
|
1,17
|
12,6
|
14,74
|
1323
|
|
|
|
|
|
|
|
Горизонтально-росточный
|
4
|
23
|
92
|
0,17
|
0,65
|
1.17
|
15,64
|
18,3
|
2116
|
|
|
|
|
|
|
|
ИТОГО
|
16
|
|
389
|
0,19
|
|
1,17
|
73,42
|
85,9
|
10399
|
15
|
1,26
|
92,5
|
85,9
|
126,2
|
182
|
Таблица 7.3 - Расчет СП-1.
|
Наименование
ЭП
|
|
|
|
|
φ
|
|
|
|
|
|
|
|
|
кВА
|
|
|
Радиально
-сверлильный
|
3
|
42
|
126
|
0,14
|
0,4
|
2.3
|
17,64
|
40,6
|
5292
|
|
|
|
|
|
|
|
Безцентро-шлифовальный
|
2
|
29
|
58
|
0,2
|
0,65
|
1,17
|
11,6
|
13,6
|
1682
|
|
|
|
|
|
|
|
Токарно
- винторезный
|
2
|
12
|
24
|
0,12
|
0,4
|
2.3
|
2,88
|
6,62
|
288
|
|
|
|
|
|
|
|
ИТОГО
|
7
|
|
208
|
0,154
|
|
2,06
|
32,12
|
60,82
|
7262
|
6
|
1,96
|
62,95
|
66,9
|
91,8
|
132,5
|
Таблица 7.4 - Расчет СП-2.
|
Наименование
ЭП
|
|
|
|
|
φ
|
|
|
|
|
|
|
|
|
кВА
|
|
|
Точильно-шлифовальный
|
5
|
21
|
105
|
0,2
|
0,65
|
1,17
|
21
|
24,6
|
2205
|
|
|
|
|
|
|
|
ИТОГО
|
5
|
|
105
|
0,2
|
|
1,17
|
21
|
24,6
|
2205
|
5
|
1,78
|
37,4
|
27,06
|
46,2
|
66,7
|
Таблица 7.5 - Расчет СП-3.
|
Наименование
ЭП
|
|
|
|
|
φ
|
|
|
|
|
|
|
|
|
кВА
|
|
|
Нагревательная
печь
|
2
|
80
|
160
|
0,8
|
0,95
|
0,33
|
128
|
42,1
|
12800
|
|
|
|
|
|
|
|
Термическая
печь
|
3
|
60
|
180
|
0,8
|
0,95
|
0,33
|
144
|
47,3
|
10800
|
|
|
|
|
|
|
|
ИТОГО
|
5
|
|
340
|
0,8
|
|
|
272
|
89,4
|
23600
|
5
|
1
|
272
|
98,34
|
289,2
|
417,4
|
Таблица 7.6 - Расчет СП-4.
|
Наименование
ЭП
|
|
|
|
|
φ
|
|
|
|
|
|
|
|
|
кВА
|
|
|
Электротермическая
печь
|
3
|
55
|
165
|
0,8
|
0,95
|
0,33
|
132
|
43,4
|
9075
|
|
|
|
|
|
|
|
Вентустановка
|
1
|
12
|
12
|
0,65
|
0,8
|
0,75
|
7,8
|
5,85
|
144
|
|
|
|
|
|
|
|
ИТОГО
|
4
|
|
179
|
0,78
|
|
0,35
|
139,8
|
49,25
|
9219
|
4
|
1
|
139,8
|
54,18
|
149,9
|
216,4
|
Выбор силовых пунктов сварочного отделения
Выбор силового пункта №5
Составим таблицу загрузок (таблица №
7,7)
Таблица 7.7- Расчет СП №5
|
Наименование ЭП
|
|
|
|
|
|
|
|
|
Точечные
стационарные
|
4
|
120
|
0,55
|
0,03
|
0,8
|
2,88
|
16,62
|
|
Сварочные точечные
|
3
|
110
|
0,55
|
0,04
|
0,8
|
3,52
|
17,6
|
Алгоритм расчета
1. Распределяем нагрузки по трем
парам фаз:
2. Определим средние нагрузки каждой
машины:
- коэффициент
загрузки i-той сварочной машины;
- коэффициент
включения i-той сварочной машины.
.Определим среднюю мощность каждой
пары фаз,например, АВ:

. Определим среднеквадратическую
мощность каждой сварочной машины:
.Среднеквадратичная нагрузка каждой
пары фаз, например, АВ, определяется по формуле:
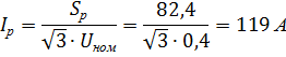
. Расчетная мощность всех сварочных машин
определяеться по 2-ум наиболее загруженным парам фаз:
7. Определим расчетную активную и реактивную и
полную мощность :
= 82,4 кВА
Выбираем силовой пункт №
5 : ШРС1 - 53УЗ на номинальный ток шкафа 320 А с числом отходящих линий 8 и
номинальным током предохранителей 60 А типа НПН2 - 60 (до 63А)
Проверим силовой пункт на токи отходящих линий:
Определим номинальный ток для одной машины -
точечный стационарный с максимальной
:
Силовой пункт выбран верно
Выбор силового пункта №6
Составим таблицу загрузок (таблица №
7.8)
Таблица 7.8 - Расчет СП №6
|
Наименование ЭП
|
|
|
|
|
|
|
|
|
Сварочные
стыковые
|
3
|
90
|
0,55
|
0,02
|
0,8
|
1,44
|
10,18
|
|
Сварочные шовные роликовые
|
3
|
100
|
0,55
|
0,04
|
0,8
|
3,2
|
16
|
Алгоритм расчета
1. Распределяем нагрузки по трем
парам фаз:
2. Определим средние нагрузки каждой
машины:
- коэффициент
загрузки i-той сварочной машины;
- коэффициент
включения i-той сварочной машины.
3.Определим среднюю мощность каждой
пары фаз,например, АВ:
4. Определим среднеквадратическую
мощность каждой сварочной машины:
.Среднеквадратичная нагрузка каждой
пары фаз, например, АВ, определяется по формуле:
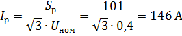
. Расчетная мощность всех сварочных машин
определяеться по 2-ум наиболее загруженным парам фаз:
7. Определим расчетную активную и реактивную и
полную мощность :
Кроме сварочной нагрузки к СП-6 подключена две
вентустановки, с
Суммируем
сварочную нагрузку и нагрузку вентустановок.
= 101 кВА
Выбираем силовой пункт №
6 : ШРС1 - 53УЗ на номинальный ток шкафа 320 А с числом отходящих линий 8 и
номинальным током предохранителей 60 А типа НПН2 - 60 (до 63А)
Проверим силовой пункт на токи отходящих линий:
Определим номинальный ток для одной машины -
сварочный - стыковой с максимальной
:
Силовой пункт выбран верно
8. Выбор кабелей и кабельных
перемычек
Сечение жил кабелей цеховой сети выбирают по
нагреву длительным расчетным током по условию:
где
расчётный
ток, А;
длительно
допустимый ток заданного сечения, А.
номинальная
мощность электроприёмника, кВт;
номинальный
коэффициент мощности электроприёмника.
Для асинхронных двигателей с короткозамкнутым
ротором должно выполнятся условие:
для печей и сварочных машин:
За расчетный ток для сварочных машин принимаем
среднеквадратический ток:
Таблица 8.1 - Выбор кабелей для ЭП, у которых АД
с К.З. ротором является привод.
|
Наименование ЭП
|
|
|
|
|
|
|
|
Кругло-шлифовальный
|
21
|
0,65
|
46,6
|
58,29
|
60
|
16
|
|
Токарно-револьверный
|
17
|
0,65
|
37,7
|
47,18
|
60
|
16
|
|
Вертикально-сверлильный
|
29
|
0,4
|
104,6
|
130,8
|
155
|
70
|
|
Токарный полуавтомат
|
23
|
0,65
|
51
|
63,84
|
80
|
25
|
|
Плоскошлифовальный
|
18
|
0,65
|
40
|
50
|
60
|
16
|
|
Токарный с ЧПУ
|
44
|
0,65
|
97,7
|
122,1
|
155
|
70
|
|
Горизонтально-проточный
|
21
|
0,65
|
46,6
|
58,3
|
60
|
16
|
|
Горизонтально-расточный
|
23
|
0,65
|
51
|
64
|
80
|
25
|
|
Вентустановка
|
15
|
0,8
|
27
|
34
|
46
|
10
|
|
Радиально-сверлильный
|
42
|
0,4
|
151,5
|
189,4
|
190
|
95
|
|
Бесцентро-шлифовальный
|
29
|
0,65
|
64,4
|
80,5
|
80
|
25
|
|
Токарно-винторезный
|
12
|
0,4
|
43,3
|
54,1
|
60
|
16
|
|
Точильно-шлифовальный
|
21
|
0,65
|
46,6
|
58,3
|
60
|
16
|
|
Вентустановка
|
12
|
0,8
|
21,65
|
27
|
29
|
4
|
|
Вентустановка
|
18
|
0,8
|
32,5
|
40,6
|
46
|
10
|
|
Кран
|
50
|
0,5
|
144,3
|
180,4
|
190
|
95
|
Таблица 8.2- Выбор кабелей для ЭП термического
отделения
|
Наименование ЭП
|
|
|
|
|
|
|
Нагревательная печь
|
80
|
0,95
|
121,54
|
155
|
70
|
|
Термическая печь
|
60
|
0,95
|
91,16
|
95
|
35
|
|
Электротермическая печь
|
55
|
0,95
|
83,56
|
95
|
35
|
Таблица 8.3 - Выбор кабелей для ЭП сварочного
отделения
|
Наименование ЭП
|
|
|
|
|
|
Точечные
стационарные
|
16,62
|
41,5
|
46
|
10
|
|
Сварочные точечные
|
17,6
|
44
|
46
|
10
|
|
Сварочные
стыковые
|
10,18
|
25,5
|
29
|
4
|
|
Сварочные шовные роликовые
|
16
|
40
|
46
|
10
|
Таблица 8.4- Выбор кабелей и кабельных перемычек
между ШМА и ШРА,СП,
|
Наименование шинопровода
|
|
|
|
|
ШМА- ШРА - 1
|
272,5
|
|
|
|
ШМА- ШРА - 2
|
182
|
|
|
|
ШМА- СП - 1
|
132,5
|
190
|
95
|
|
ШМА- СП - 2
|
66,7
|
95
|
35
|
|
ШМА- СП - 3
|
417,4
|
|
|
|
ШМА- СП - 4
|
216,4
|
220
|
120
|
|
ШМА- СП - 5
|
119
|
120
|
50
|
|
ШМА- СП - 6
|
146
|
155
|
70
|
Проверим кабель по допустимой потере напряжения:
Проверим кабель для кругло-шлифовального станка:
=
= 0,79
расчетный ток
кабельной линии, А;
длна кабельной
линии, км;
погонное активное и
реактивное сопротивление кабелей,
количество
параллельно проложенных кабелей.
Данные заносим в таблицы № 8
Таблица 8.5 Проверка кабельных линий по потере
напряжения.
|
Наименование
ЭП
|
|
|
|
|
|
|
|
|
|
|
|
Кругло-шлифовальный
|
21
|
3
|
0,65
|
46,6
|
1,94
|
0,0675
|
3,17
|
0,79
|
|
|
|
Токарно-револьверный
|
17
|
4.3
|
0,65
|
37,7
|
0,0625
|
1,26
|
0,31
|
|
|
|
Вертикально-сверлильный
|
29
|
3
|
0,4
|
104,6
|
0,443
|
0,0612
|
1,26
|
0,31
|
|
|
|
Вентустановка
|
15
|
9,5
|
0,8
|
27
|
3,1
|
0,0730
|
11,2
|
2,7
|
|
|
|
Токарный
полуавтомат
|
23
|
|
4
|
0,65
|
51
|
1,24
|
0,0662
|
3
|
0,75
|
|
|
Плоскошлифоваль-ный
|
18
|
3.2
|
0,65
|
40
|
1,94
|
0,0675
|
2,9
|
0,72
|
|
|
|
Токарный
с ЧПУ
|
44
|
2
|
0,65
|
97,7
|
0,443
|
0,0612
|
1,13
|
0,28
|
|
|
|
Горизонтально-проточный
|
21
|
4,5
|
0,65
|
46,6
|
1,94
|
0,0675
|
4,7
|
1,19
|
|
|
|
Горизонтально-росточный
|
23
|
4
|
0,65
|
51
|
1,24
|
0,0662
|
3,02
|
0,75
|
|
|
|
Радиально
- сверлильный
|
42
|
6,4
|
0,4
|
151,5
|
0,326
|
0,0602
|
3,1
|
0,77
|
|
|
|
Безцентро-шлифовальный
|
29
|
3.2
|
0,65
|
64,4
|
1,24
|
0,0662
|
3,05
|
0,76
|
|
|
|
Токарно
- винторезный
|
12
|
11
|
0,4
|
43,3
|
1,94
|
0,0675
|
6,9
|
1,7
|
|
|
|
Точильно-шлифовальный
|
21
|
14
|
0,65
|
46,6
|
1,94
|
0,0675
|
14,8
|
3,7
|
|
|
|
Нагревательная
печь
|
80
|
3.2
|
0,95
|
121,5
|
0,443
|
0,0612
|
2,95
|
0,73
|
|
|
|
Термическая
печь
|
60
|
3.2
|
0,95
|
91,16
|
0,89
|
0,0637
|
4,37
|
1,09
|
|
|
|
Электротермическая
печь
|
55
|
5.5
|
0,95
|
83,56
|
0,89
|
0,0637
|
6,8
|
1,7
|
|
|
|
Вентустановка
|
12
|
2.5
|
0,8
|
21,65
|
5,17
|
0,09
|
3,92
|
0,98
|
|
|
|
Вентустановка
|
18
|
8
|
0.8
|
32,5
|
5,17
|
0,09
|
18,8
|
4,7
|
|
|
Все кабели проверку проходят.
Таблица 8.6 Проверка кабельных линий от ШМА к СП
сварочного отделения
|
Наименование инопровода
|
|
|
|
|
|
|
|
|
|
ШМА-СП-5
|
119
|
0,55
|
0,835
|
21
|
0,62
|
0,0625
|
16,9
|
4,24
|
|
ШМА-СП-6
|
146
|
0,55
|
0,835
|
6
|
0,443
|
0,0612
|
4,4
|
1,1
|
Все кабели проверку проходят
Таблица 8.7 Проверка кабельных линий сварочного
отделения по потере напряжения.
|
Наименование ЭП
|
|
|
|
|
|
|
|
|
|
|
Точечные стационарные
|
16,62
|
41,5
|
0,55
|
0,83
|
16
|
3,1
|
0,073
|
20,2
|
5
|
|
Сварочные точечные
|
17,6
|
44
|
0,55
|
0,83
|
14
|
3,1
|
0,073
|
18,8
|
4,7
|
|
Сварочные стыковые
|
10,18
|
25,5
|
0,55
|
0,83
|
12
|
5,17
|
0,09
|
15,4
|
3,86
|
|
Сварочные шовные роликовые
|
16
|
40
|
0,55
|
0,83
|
11,5
|
3,1
|
0,073
|
14
|
3,5
|
Все кабели проверку проходят
9. Расчёт токов короткого замыкания
Расчёт ведём для двух наиболее электрически
удалённых электроприёмников. Это радиально-сверлильный
станок (№45) подключённая к СП-1, и вентустановка (№42), подключённая к ШРА-1.
Рисунок № 9.1 Однолинейная схема для
расчёта токов КЗ
Определим параметры схемы замещения
Сопротивление кабельный линий прямой
определяем по формуле:
погонное активное и реактивное
сопротивление кабельных линий соответственно,
.
длина кабельных линий, м.
количество параллельно проложенных
кабелей, шт.
Сопротивление нулевой
последовательности кабельных линий:
Таблица №9.1 Расчёт сопротивлений
прямой и нулевой последовательности кабельных линий
|
Наименование
КЛ
|
|
|
|
|
|
|
|
|
|
|
КЛ-8
|
185
|
14,1
|
1
|
0,167
|
0,0596
|
2,358
|
0,84
|
23,58
|
3,36
|
|
КЛ-10
|
10
|
9,5
|
1
|
3,1
|
0,073
|
29,45
|
0,69
|
294,5
|
2,774
|
|
КЛ-1
|
95
|
38
|
1
|
0,326
|
0,0602
|
12,4
|
2,28
|
124
|
9,12
|
|
КЛ-9
|
95
|
6,4
|
1
|
0,326
|
0,0602
|
2,08
|
0,385
|
20,8
|
1,54
|
Сопротивление прямой последовательности
магистрального и распределительного шинопровода:
Сопротивление нулевой последовательности
магистрального и распределительного шинопровода:
Таблица №9.2 Расчёт сопротивлений шинопроводов
прямой и нулевой последовательности для различных точек КЗ
|
Точка
|
Тип
|
|
|
|
|
|
|
|
|
К2,К3
|
ШМА
|
49
|
0,031
|
0,017
|
1,519
|
0,83
|
15,2
|
8,3
|
|
ШРА-1
|
54
|
0,15
|
0,1
|
8,1
|
5,4
|
81
|
54
|
|
К4,К5
|
ШМА
|
10,2
|
0,031
|
0,017
|
0,317
|
0,17
|
3,17
|
1,73
|
Сопротивление трансформатора определим по
формуле:
потери короткого
замыкания в трансформаторе, кВт;
номинальное
напряжение на вторичной обмотке, кВ;
номинальная мощность
трансформатора, кВА;
напряжение
короткого замыкания трансформатора, %.
Из справочника находим сопротивления
автоматических выключателей и предохранителей:
для выключателей
Электрон Э16В с
для выключателей ВА
0436 с
400
А
для выключателей ВА
0436 с
160
А
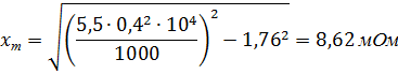
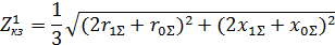
Сопротивление контактов соединений шинопроводов:
ШМА (К2,К3) 9 секции по 6 метров
ШМА(К4,К5) 1,7 секций по 6 метра
ШРА (К4,К5) 18 секций по 3 метра
Сопротивление контактов соединительных кабелей
(учитываем по 2 контакта на 1 кабель):
Рисунок №9.2 Схема замещения для
расчета токов к.з.
Расчёт токов однофазного и
трёхфазного КЗ
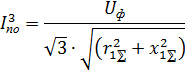
Ток трёхфазного короткого замыкания
определяем по формуле:
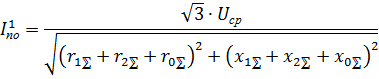
Ток однофазного короткого замыкание
определяется по формуле:
среднее номинальное
напряжение сети, В, где произошло КЗ;
суммарные
соответственно активное и индуктивное сопротивления схемы замещения прямой
последовательности относительно точки КЗ, включая сопротивления шинопроводов,
аппаратов и переходные сопротивления контактов, начиная от нейтрали понижающего
трансформатора, мОм;
то же, нулевой
последовательности.
Сопротивления нулевой последовательности трансформатора
с низшим напряжением до 1кВ при схеме соединения обмоток тр-11 принимаем
равными сопротивлениям прямой последовательности.
Рассчитываем ток трёхфазного КЗ в
точке К1.
Полагаем, что КЗ в начале ШМА т.к. необходимо
рассчитать максимальное значение тока КЗ
Суммарное активное сопротивление равно:
Суммарное реактивное сопротивление равно:
Ток трехфазного КЗ равен:
Рассчитываем ток однофазного КЗ в
точке К1.
Определяем ток однофазного короткого замыкания.
Находим сопротивления обратной (равно прямой т.к. нет вращающихся машин) и
нулевой последовательности. Следует заметить, что в сопротивлении прямой
последовательности нужно учитывать активное сопротивление дуги. Влияние
активного сопротивления дуги на то КЗ учтем путем умножения расчетного тока КЗ,
найденного без учета сопротивления дуги в месте КЗ на зависящей от
сопротивления цепи КЗ поправочный коэффициент Кс.
Для всех остальных точек мы находим ток КЗ без
учета дуги.
Полагаем, что КЗ в конце ШМА т.к. необходимо
рассчитать минимальное значение тока КЗ.
Тогда с учетом сопротивления дуги имеем ток
однофазного к.з.
Для всех остальных точек выполняем аналогичный
расчет. Результаты сводим в таблицу № 8.3
Таблица 9.3 Расчёт токов КЗ
|
№ точки
|
|
|
|
|
|
|
|
|
|
|
|
К1
|
1,91
|
8,7
|
25,9
|
3,453
|
9,533
|
17,12
|
17,03
|
14,4
|
0,68
|
10,88
|
|
К2
|
6,5
|
10,54
|
18,6
|
11,861
|
18,64
|
95,5
|
106,6
|
62,3
|
1,034
|
3,83
|
|
К3
|
41,57
|
19,33
|
5,01
|
41,4
|
19,33
|
390,1
|
113,51
|
165,5
|
0,94
|
1,3
|
|
К4
|
15,98
|
11,85
|
11,6
|
17,52
|
11,85
|
130,4
|
24,2
|
57,4
|
0,82
|
3,29
|
|
К5
|
18,18
|
12,24
|
10,5
|
19,73
|
12,24
|
151,4
|
25,75
|
65,8
|
0,84
|
2,94
|
10. Расчет пусковых и пиковых токов.
Расчет пусковых токов
Пусковой ток определяем для приемников имеющих
АД с короткозамкнутым ротором для проверки вставок предохранителей.
Пусковой ток приемника определяют по формуле:
, где
- нормальный ток ЭП, которой
определяется по следующей формуле:
- кратность пускового тока, т.к
отсутствуют данные примем:
=5
Таблица №10.1 Значения пусковых
токов для приемников с АД
|
Наименование ЭП
|
|
|
|

|
|
|
Кругло-шлифовальный
|
21
|
0,65
|
46,6
|
5
|
233
|
|
Токарно-револьверный
|
17
|
0,65
|
37,7
|
5
|
188,5
|
|
Вертикально-сверлильный
|
29
|
0,4
|
104,6
|
5
|
523
|
|
Токарный полуавтомат
|
23
|
0,65
|
51
|
5
|
255
|
|
Плоскошлифовальный
|
26
|
0,65
|
40
|
5
|
200
|
|
Токарный с ЧПУ
|
58
|
0,65
|
97,7
|
5
|
488,5
|
|
Горизонтально-проточный
|
15
|
0,65
|
46,6
|
5
|
233
|
|
Горизонтально-расточный
|
33
|
0,65
|
51
|
5
|
255
|
|
Вентустановка
|
18
|
0,8
|
27
|
5
|
135
|
|
Радиально-сверлильный
|
38
|
0,4
|
151,5
|
5
|
757,5
|
|
Бесцентро-шлифовальный
|
14
|
0,65
|
64,4
|
5
|
322
|
|
Токарно-винторезный
|
24
|
0,4
|
43,3
|
5
|
216,5
|
|
Точильно-шлифовальный
|
28
|
0,65
|
46,6
|
5
|
233
|
|
Вентустановка
|
12
|
0,8
|
21,6
|
5
|
108,25
|
|
Вентустановка
|
14
|
0,8
|
32,5
|
5
|
162,5
|
Расчет пиковых токов
Определение пиковых токов магистральных,
распределительных шинопроводов и СП
Для расчета пиковых токов магистральных,
распределительных шинопроводов и СП использеум следующую формулу:
где
Ip - расчетный
ток ШМА, ШРА, СП, А;
Iп.max - пусковой
ток наибольшего по мощности ЭП, подключаемого к ШМА, ШРА, СП,А;
Kи -
коэффициент использования наибольшего по мощности ЭП, А;
Iн.max -
номинальный ток наибольшего по мощности ЭП.
Расчет пикового тока ШМА
Определим номинальный ток наибольшего по
мощности приемника (в данном случае им является - токарный
с ЧПУ с Kи
= 0,2):
- максимальный
расчетный ток узла нагрузки(ШМА), с учетом компенсации реактивной мощности;
, тогда
Расчет пикового тока ШРА-1
Наибольшим по мощности электроприемником
является вертикально-сверлильный с
Максимальный расчетный ток ШРА-1
Расчет пикового тока ШРА-2
Наибольшим по мощности электроприемником
является токарный с ЧПУ с
Максимальный расчетный ток ШРА-2
Расчет пикового тока СП-1
Наибольшим по мощности электроприемником
является радиально-сверлильный станок с
Максимальный расчетный ток СП-1
Расчет пикового тока СП-2
Наибольшим по мощности электроприемником
является токарно-револьверный станок с
Максимальный расчетный ток СП-2
Расчет пикового тока СП-4
Кроме вентустановки, СП-4 питает
электротермические печи, пиковый ток которых практически не отличается от
номинального, поэтому используем мощность двигателя вентустановки с
Максимальный расчетный ток СП-4
Расчет пиковых токов машин
контактной электросварки
Машины контактной электросварки относятся к
потребителям с резкопеременным режимом работы и создают пиковые нагрузки с
большой частотой, вследствии чего в сети возникают колебания напряжения.
Пиковая мощность машины в момент сварки
определяется по формуле:
Расчетный пик любой пары фаз, например фазы АВ,
определяется по формуле:
Где
-
число одновременно работающих машин, определенных по кривым вероятности
- число машин,
подключенных к данной пары фаз
При определении
рассчитывается
средневзвешенное значение
Пиковая нагрузка для линейного
провода определяется по формуле, соответственно пикам двух пар фаз, например в
фазе В:
Где
,
- пиковая нагрузка для пары фаз АВ
и для пары фаз ВС
Пиковый линейный ток:
Где
- линейное напряжение, кВ
Расчёт пикового тока СП-5
Таблица 10.2 Расчет СП №5
|
Наименование ЭП
|
|
|
|
|
|
|
|
|
Точечные
стационарные
|
4
|
120
|
0,55
|
0,03
|
0,8
|
2,88
|
16,62
|
|
Сварочные точечные
|
3
|
110
|
0,55
|
0,04
|
0,8
|
3,52
|
17,6
|
Алгоритм расчета
1. Распределяем нагрузки по трем
парам фаз:
2. Определяем пиковую мощность каждой группы
машин:
. В каждой паре фаз находим средневзвешенный
коэффициент включения:
АВ:
BC:
CA:
по кривым определяется количество одновременно
работающих машин m из общего
числа n в каждой паре фаз:
АВ:
BC:
:
4. В каждой паре фаз машины разбиваются на
группы с одинаковой мощностью и одинаковыми коэффициентами включения и по
кривым вероятности определяем количество одновременно работающих машин в каждой
группе:
АВ:
BC:
CA:
. В каждой паре фаз выбираем машины с наибольшей
пиковой мощностью в соответствии с полученным количеством одновременно
работающих машин m, определяем
суммарное значение пиковой мощности в каждой паре фаз:
ВС:
СА:
. Определим пиковую мощность наиболее
загруженной фазы по двум наиболее загруженным парам фаз, следовательно наиболее
загруженная фаза B:
Определим пиковый ток
Расчёт пикового тока СП-6
Таблица 10.3 Расчет СП №6
|
Наименование ЭП
|
|
|
|
|
|
|
|
|
Сварочные
стыковые
|
3
|
90
|
0,55
|
0,02
|
0,8
|
1,44
|
10,18
|
|
Сварочные шовные роликовые
|
3
|
100
|
0,55
|
0,04
|
0,8
|
3,2
|
16
|
Алгоритм расчета
1. Распределяем нагрузки по трем
парам фаз:
2. Определяем пиковую мощность каждой группы
машин:
. В каждой паре фаз находим средневзвешенный
коэффициент включения:
АВ:
BC:
CA:
по кривым определяется количество одновременно
работающих машин m из общего
числа n в каждой паре фаз:
АВ:
BC:
:
. В каждой паре фаз машины разбиваются на группы
с одинаковой мощностью и одинаковыми коэффициентами включения и по кривым
вероятности определяем количество одновременно работающих машин в каждой
группе:
АВ:
BC:
CA:
. В каждой паре фаз выбираем машины с наибольшей
пиковой мощностью в соответствии с полученным количеством одновременно
работающих машин m, определяем
суммарное значение пиковой мощности в каждой паре фаз:
АВ:
ВС:
СА:
. Определим пиковую мощность наиболее
загруженной фазы по двум наиболее загруженным парам фаз :
Определим пиковый ток
Но кроме сварочной нагрузки СП-6 питает две
вентустановки, поэтому определим пусковой ток АД вентустановок.
Мощность двигателя вентустановки с
Максимальный расчетный ток СП-6
т. е. пусковой ток оказался меньше тока сварки,
следовательно в дальнейшем ориентируемся по пиковому току сварки.
. Защита цеховых электрических сетей
В сетях напряжением до 1000 В защиту выполняют
плавкими предохранителями и автоматическими выключателями.
Плавкий предохранитель предназначен для защиты
электроустановок от перегрузок и токов к.з. Основными его характеристиками
являются: номинальный ток плавкой вставки
номинальный
ток предохранителя
номинальное
напряжение предохранителя
номинальный
ток отключения предохранителя
защитная (ампер -
секундная) характеристика предохранителя.
Обозначения в расчете:
- номинальное
напряжение сети, кВ;
- максимальный ток
к.з. сети, А;
- максимальный
расчётный ток, А;
- пусковой ток
двигателя, А.
- длительно
допустимый ток защищаемого участка сети;
- минимальный ток
к.з.
Алгоритм расчета
Рассмотрим на примере выбор предохранителя к
кругло-шлифовальному станку (№1).
)
Выбираем предохранитель типа НПН - 60 с
;
;
т.к предохранитель выбирается к индивидуальному
приемнику, то за расчетный ток принимается номинальный :
= 46,6 А
)
)
,
где
46,6
= 233 А;
- коэффициент
перегрузки, учитывающий превышение тока двигателя сверх номинального значения в
режиме пуска, принимаемый 2,5 - для легких условий пуска.
=
=
93,2 А ,
т.е
=
93,2 А - выбранный предохранитель не подходит. Выберем предохранитель типа ПН-2
100 с
=
50 кА;
;
,
где
= 93,2 А
Токи плавки
вставок должны соответствовать кратностям допустимых длительных токов
(согласование с сечением):
Проверка предохранителя на:
) - на чувствительность
А
) - на отключающую способность
50 кА
5,01
кА , где
=
=
5,01 кА
Выбираем предохранитель типа ПН-2 100:
=
50 кА;
;
Uн = 400 В.
По данному алгоритму выбираем предохранители и
выбор сводим в таблицу № 11.1
Таблица №11.1 Выбор предохранителей для ЭП,
приводом которых является АД с КЗ ротором
|
Наименование ЭП
|
|
|
|
|
|
|
|
|
|
|
|
|
|
Тип
|
|
Кругло-шлифовальный
|
21
|
46,6
|
233
|
93,2
|
16
|
60
|
180
|
100
|
100
|
300
|
1300
|
50
|
5,01
|
ПН2
100
|
|
Токарно-револьверный
|
17
|
37,7
|
188,5
|
75,4
|
16
|
60
|
180
|
100
|
80
|
240
|
1300
|
50
|
5,01
|
ПН2
100
|
|
Вертикально-сверлильный
|
29
|
104,6
|
523
|
209,2
|
70
|
155
|
465
|
250
|
250
|
750
|
1300
|
40
|
5,01
|
ПН2
250
|
|
Токарный полуавтомат
|
23
|
51
|
255
|
102
|
25
|
80
|
240
|
250
|
120
|
360
|
1300
|
40
|
5,01
|
ПН2
250
|
|
Плоскошлифовальный
|
18
|
40
|
200
|
80
|
16
|
60
|
180
|
100
|
80
|
240
|
1300
|
50
|
5,01
|
ПН2
100
|
|
Токарный с ЧПУ
|
44
|
97,7
|
488,5
|
195,4
|
70
|
155
|
465
|
250
|
200
|
600
|
1300
|
40
|
5,01
|
ПН2
250
|
|
Горизонтально-проточный
|
21
|
46,6
|
233
|
93,2
|
16
|
60
|
180
|
100
|
100
|
300
|
1300
|
50
|
5,01
|
ПН2
100
|
|
Горизонтально-расточный
|
23
|
51
|
255
|
102
|
25
|
80
|
240
|
250
|
120
|
360
|
1300
|
40
|
5,01
|
ПН2
250
|
|
Вентустановка
|
15
|
27
|
135
|
54
|
10
|
46
|
138
|
100
|
60
|
180
|
1300
|
50
|
5,01
|
ПН2
100
|
|
Радиально-сверлильный
|
42
|
151,5
|
757,5
|
303
|
95
|
190
|
570
|
400
|
350
|
1050
|
2940
|
25
|
10,5
|
ПН2
400
|
|
Бесцентро-шлифовальный
|
29
|
64,4
|
322
|
128,8
|
25
|
80
|
240
|
250
|
150
|
450
|
2940
|
40
|
10,5
|
ПН2
250
|
|
Токарно-винторезный
|
12
|
43,3
|
216,5
|
86,6
|
16
|
60
|
180
|
100
|
100
|
300
|
2940
|
50
|
10,5
|
ПН2
100
|
|
Точильно-шлифовальный
|
21
|
46,6
|
233
|
93,2
|
16
|
60
|
180
|
100
|
100
|
300
|
2940
|
50
|
10,5
|
|
Вентустановка
|
12
|
21,65
|
108,25
|
43,3
|
4
|
29
|
87
|
100
|
60
|
180
|
2940
|
50
|
10,5
|
ПН2
100
|
|
Вентустановка
|
18
|
32,5
|
162,5
|
65
|
10
|
46
|
138
|
100
|
80
|
240
|
2940
|
50
|
10,5
|
ПН2
100
|
|
Кран
|
50
|
144,3
|
721,5
|
288,6
|
95
|
190
|
570
|
400
|
300
|
900
|
2940
|
25
|
10,5
|
ПН2
400
|
Таблица 11.2 - Выбор предохранителей для ЭП
термического отделения
|
Наименование ЭП
|
|
|
|
|
|
|
|
|
|
|
|
Тип
|
|
Нагревательная
печь
|
80
|
121,5
|
70
|
155
|
465
|
250
|
150
|
450
|
2940
|
40
|
10,5
|
ПН2
250
|
|
Термическая
печь
|
60
|
91,16
|
35
|
95
|
285
|
100
|
100
|
300
|
2940
|
50
|
10,5
|
ПН2
100
|
|
Электротермическая
печь
|
55
|
83,56
|
35
|
95
|
285
|
100
|
100
|
300
|
2940
|
50
|
10,5
|
ПН2
100
|
Таблица 11.3 - Выбор предохранителей для ЭП
сварочного отделения
|
Наименование ЭП
|
|
|
|
|
|
,
кВА
|
А
|
|
|
|
|
|
|
Тип
|
|
Точечные
стационарные
|
16,62
|
41,5
|
10
|
46
|
138
|
96
|
240
|
250
|
250
|
750
|
2940
|
40
|
10,5
|
ПН2
250
|
|
Сварочные точечные
|
17,6
|
44
|
10
|
46
|
138
|
88
|
220
|
250
|
250
|
750
|
2940
|
40
|
10,5
|
ПН2
250
|
|
Сварочные
стыковые
|
10,18
|
25,5
|
6
|
35
|
105
|
72
|
180
|
250
|
200
|
600
|
2940
|
40
|
10,5
|
ПН2
250
|
|
Сварочные шовные роликовые
|
16
|
40
|
10
|
46
|
138
|
80
|
200
|
250
|
200
|
600
|
2940
|
40
|
10,5
|
ПН2
250
|
12. Выбор автоматических
выключателей
Запишем условия выбора автоматических
выключателей:
)
где
-
наибольший расчетный ток нагрузки;
- номинальный ток
расцепителя автоматического выключателя.
)
пиковый ток группы
электроприёмников, А
) Отстройка от длительно допустимых токов:
для автоматических выключателей только с
электромагнитным расцепителем (отсечкой):
4) Отстройка от минимальных токов короткого
замыкания:
5) Проверка по отключающей способности:
Рассмотрим на примере выбор выключателя к ШМА (SF1).
)
)
)
;
7500
; 2500
)
Выбираем выключатель Э25В
Далее аналогично примеру выбора выключателя на
ШМА, производим выбор выключателя на остальных приемниках электроэнергии.
Данные записуем в таблицу №12.1
Таблица №12.1 Выбор автоматических выключателей
|
Место
установки
|
Расчётные
данные
|
Паспортные
данные
|
Тип
выключа-теля
|
|
|
|
|
|
|
|
|
|
|
|
|
|
ШМА
|
380
|
1055
|
1981,2
|
|
10,88
|
25,9
|
380
|
2500
|
2500
|
55
|
Э25В
|
|
ШРА-1
|
380
|
272,5
|
1015,3
|
1305
|
3,83
|
18,6
|
380
|
400
|
1250
|
25
|
ВА
04-36
|
|
ШРА-2
|
380
|
182
|
846,3
|
990
|
3,83
|
18,6
|
380
|
250
|
1250
|
25
|
ВА
04-36
|
|
СП-1
|
380
|
132,5
|
1129,7
|
855
|
3,29
|
11,6
|
380
|
160
|
1250
|
18
|
ВА
04-36
|
|
СП-2
|
380
|
66,7
|
377
|
427,5
|
3,29
|
11,6
|
380
|
100
|
750
|
18
|
ВА
04-36
|
|
СП-3
|
380
|
417,4
|
542,6
|
1980
|
3,29
|
11,6
|
380
|
630
|
750
|
40
|
ВА
51-39
|
|
СП-4
|
380
|
216,4
|
403,7
|
990
|
3,29
|
11,6
|
380
|
250
|
500
|
25
|
ВА
04-36
|
|
СП-5
|
380
|
119
|
1058,2
|
540
|
3,29
|
11,6
|
380
|
160
|
1250
|
18
|
ВА
04-36
|
|
СП-6
|
380
|
146
|
855,6
|
697,5
|
3,29
|
11,6
|
380
|
160
|
1250
|
18
|
ВА
04-36
|
Э25В:
-
ШМА
ВА 04-36:
-
ШРА1
ВА 04-36:
-
ШРА2
ВА 04-36:
-
СП1
ВА 04-36:
-
СП2
ВА 04-36:
-
СП3
ВА 04-36:
-
СП4
ВА 04-36:
-
СП5
ВА 04-36:
-
СП6
Список используемой литературы
1. Бурназова
Л.В. Методические указания к выполнению курсового
проекта. Мариуполь 2010 г.
2. Блок
В.М Пособие к курсовому и дипломному проектированию, издание второе, переработанное
и дополненное.Москва «Высша школа» 1990 г.
3. Неклепаев
Б.Н. Электрическая часть электростанций и подстанций. - М.: Энергоатомиздат,
1986.
4. ГОСТ
28249-93 Межгосударственный стандарт «Короткие замыкания в электроустановках до
1000 В».
5. Федоров
А.А., Старкова Л.Е. Учебное пособие для курсового и дипломного проектирования
по электроснабжению промышленных предприятий. Учебное пособие для ВУЗов - М.
"Энергоатомиздат", 1986 г.
6. Гайсаров
Р.В. Выбор электрической аппаратуры. Челябинск 2002 г.
7. Средство
массовой информации «Интернет»