Расчет электроснабжения автоматизированного цеха
Аннотация
Пояснительная записка содержит ______ страниц, в том числе 5
рисунков, 20 таблиц. Графическая часть выполнена на 2 листах формата А1.
В данном проекте изложены основные положения и произведен
расчет электроснабжения автоматизированного цеха.
Произведен выбор питающего напряжения, расчет электрических
нагрузок, расчет компенсации реактивной мощности, выбрана схема
распределительных сетей, главная схема электрических соединений и
конструктивное выполнение ГПП, выбор мощности трансформаторов. Произведен
расчет токов короткого замыкания, выбор основной электрической аппаратуры, шин
и кабелей, заземления.
Содержание
Введение
1. Общая часть
1.1 Характеристика объекта
1.2 Классификация помещений
2. Расчетная часть
2.1 Расчет освещения
2.2 Расчет силовой электрической нагрузки
2.3 Выбор мощности трансформаторов
2.4 Расчет токовой нагрузки на силовые кабели
2.5 Схему замещения
2.6 Расчет токов трехфазного короткого замыкания
2.7 Расчёт токов однофазного короткого замыкания на землю
2.8 Выбор аппаратов защиты (автоматов и предохранителей)
2.9 Проверочный расчет заземляющего устройства
Заключение
Список использованных источников
Приложения
Введение
Важную роль в обеспечении надежной работы и увеличении
эффективности использования электрического и электромеханического оборудования
играет его правильная эксплуатация, составными частями которой являются, в
частности, хранение, монтаж, техническое обслуживание и ремонты. Важным
резервом является также правильный выбор оборудования по мощности и уровню
использования. По оценкам специалистов, это позволяет экономить до 20-25%
потребляемой электрической энергии.
Качественный ремонт оборудования может быть обеспечен только
на специализированном предприятии с высоким уровнем технологической дисциплины
и с использованием технологических процессов, применяемых на
заводах-изготовителях этого оборудования. Ремонт крупных электрических машин,
мощных трансформаторов и электрических аппаратов, как правило, обеспечивается
за счет применения фирменного ремонта, осуществляемого силами
предприятия-изготовителя.
В масштабах России централизованному ремонту подвергается до
25 % электрооборудования, а основная его часть ремонтируется самими
потребителями. Если крупные заводы металлургической и машиностроительной
промышленности обладают для этого специализированными цехами, то на большинстве
предприятий ремонт производится по упрощенной технологии с невысоким качеством
и повышенной себестоимостью. Ранее такой подход был оправдан дефицитом
соответствующего оборудования.
Основная цель правильной эксплуатации заключается в
обеспечении требуемого уровня надежности работы электрического и
электромеханического оборудования в течение установленного срока службы с
наилучшими технико-экономическими показателями. Среди последних наиболее важным
является КПД оборудования.
Электроснабжение является неотъемлемой частью снабжения
электричеством потребителя. Потребителями являются цеха, заводы, учебные
заведения, больницы, жилые помещения и т.д.
Передача электроэнергии от источников к потребителям производится
по энергетическим системам, объединяющих несколько электростанций. Приемники
электрической энергии промышленных предприятий получают питание электроэнергии
от систем электроснабжения, которые являются основной составной частью
электрической системы.
1. Общая
часть
1.1
Характеристика объекта
Автоматизированный цех (АЦ) предназначен для выпуска
металлоизделий.
Он является одним из цехов металлургического завода и имеет
два основных участка: штамповочный и высадочный.
На участках установлено штатное оборудование:
кузнечно-прессовое, станочное и др. В цехе предусмотрены помещения: для
трансформаторной подстанции, агрегатная, вентиляторная, инструментальная, для
бытовых нужд и др. Цеховая ТП получает электроснабжение (ЭСН) от главной
понижающей подстанции (ГПП) завода по кабельной линии длиной 1 км, напряжение -
10 кВ. Расстояние от энергосистемы до ГПП - 4 км, линия ЭСН - воздушная. В
перспективе от этой же ТП предусмотрено ЭСН других участков с расчетными
мощностями: Рр. доп=95 кВт, Qр. доп= 130 квар.
На штамповочном участке требуется частое перемещение
оборудования. Количество рабочих смен - 2.
По надежности и бесперебойности ЭСН оборудование относится к
3 категории.
Грунт в районе АЦ - супесь с температурой +22 оС.
Каркас здания цеха смонтирован из блоков - секций длиной 6 м каждый.
Размеры цеха А х В х Н = 48 х 30 х 8 м.
Вспомогательные помещения двухэтажные высотой 3,6м.
Таблица 1 - Перечень электрооборудования
|
№ на плане
|
Наименование
электрооборудования
|
Рэп, кВт
|
Примечание
|
|
1
|
2
|
3
|
4
|
|
1…6
|
Пресс эксцентриковый
типа КА - 213
|
1,8
|
|
|
7…11
|
Пресс
кривошипный типа К - 240
|
3
|
|
|
12…15
|
Вертикально-сверлильные
станки типа 2А 125
|
3,5
|
|
|
16, 17
|
Преобразователи
сварочные типа ПСО - 300
|
15
|
1 - фазные
|
|
18
|
Автомат
болтовысадочный
|
4
|
|
|
19
|
Автомат
резьбонакатный
|
3,8
|
|
|
20
|
Станок
протяжный
|
8,2
|
|
|
21, 22
|
Автоматы
гайковысадочные
|
10
|
|
|
23, 24
|
Барабаны
голтовочные
|
4
|
|
|
25
|
Барабан
виброголтовочный
|
4,5
|
|
|
26
|
Станок
виброголтовочный
|
8,2
|
|
|
27
|
Автомат
обрубной
|
3,5
|
|
|
28
|
Машина
шнекомоечная
|
4,2
|
|
|
29…38
|
Автоматы
гайконарезные
|
1,2
|
|
|
39
|
Кран - тележка
|
1,2
|
ПВ = 60 %
|
|
40, 41
|
Электроточило
наждачное
|
1,5
|
1 - фазное
|
|
42
|
Автомат
трехпозиционный высадочный
|
6
|
|
|
43, 44
|
Вибросито
|
0,6
|
1 - фазное
|
|
45, 46
|
Вентиляторы
|
5
|
|
1.2
Классификация помещений
К взрывооопасным помещениям относятся - помещения с возможным
образованием взрывоопасной смеси из взвешенных частиц и воздуха в нормальных
условиях.
Т.к. производство в АЦ не связано с обработкой, производством
веществ возможных привести к образованию взрывоопасной смеси из взвешенных
частиц и воздуха из этого следует, что АЦ не относится к взрывооопасным
помещениям. Поэтому при проектировании схем ЭСН не требуется использование
взрывозащищенного оборудования.
К электроопасным помещениям относятся:
- c токопроводящей пылью, оседающей на
электрооборудовании;
- возможно соприкосновение одновременно с
корпусом электрооборудования и конструкциями, связанными с землёй;
электроснабжение электрическая аппаратура замыкание
- с токопроводящими полами (металл, земля,
ж/бетон, кирпич и т.п.).
Т.к. АЦ имеет электрооборудование, то цех относится к
категории электроопасных, из этого следует что при проектировании цеха следует
учесть установку необходимых защитных устройств, например таких как заземляющее
устройство (ЗУ).
2. Расчетная
часть
2.1 Расчет
освещения
Определяем площадь помещения
(1)
где a - длинна цеха, м2,b - ширина цеха,
м.= 48 ×30 = 1440
м2,
Таблица 2 - Площади основного и вспомогательных помещений
|
Наименование
помещения
|
Площадь одного
этажа, м2
|
Количество этажей
|
Общая площадь,
м2
|
|
Вентиляторная
|
32
|
2
|
64
|
|
Голтовочная
|
144
|
2
|
288
|
|
Инструментальная
|
32
|
2
|
64
|
|
Кабинет мастера
|
48
|
2
|
96
|
|
Склад штампов
|
80
|
2
|
180
|
|
Агрегатная
|
64
|
2
|
128
|
|
Трансформаторная
|
64
|
2
|
128
|
|
Станочное
отделение
|
976
|
1
|
976
|
Определяем высоту подвеса светильников
(2)
где h - высота помещения, м.
Основные помещения
Вспомогательные помещения
Принимаем окраску стен и потолка
Основные помещения
ρс = 70%;
ρп = 50%;
ρ0 = 30%.
Вспомогательные помещения
ρс = 70%;
ρп = 50%;
ρ0 = 30%.
Принимаем минимальную освещенность Еmin из
учета вида работ (таблица 3).
Таблица 3 - Минимальная освещенность помещений
|
Наименование
помещения
|
Минимальная
освещенность, лк
|
|
Вентиляторная
|
50
|
|
Голтовочная
|
150
|
|
Инструментальная
|
75
|
|
Кабинет мастера
|
150
|
|
Склад штампов
|
75
|
|
Агрегатная
|
100
|
|
Трансформаторная
|
100
|
|
Станочное
отделение
|
200
|
Рассчитываем индекс помещения
(3)
Обозначим: i1 - Вентиляторная; i2 -
Голтовочная; i3 - Инструментальная; i4 - Кабинет мастера;
i5 - Склад штампов; i6 - Агрегатная; i7 - ТП;
i8 - Станочное отделение.
Остальные расчеты производим аналогично и данные сводим в таблицу
4.
Таблица 4 - Индекс помещения
|
I1
|
I2
|
I3
|
I4
|
I5
|
I6
|
I7
|
I8
|
|
0,9
|
2
|
0,9
|
1,2
|
1,5
|
1,4
|
1,4
|
2,4
|
По показателю помещения и коэффициенту отражения находим
коэффициент использования, данные сводим в таблицу 5.
Таблица 5 Коэффициент использования
|
ηU1
|
ηU2
|
ηU3
|
ηU4
|
ηU5
|
ηU6
|
ηU7
|
ηU8
|
|
0,46
|
0,62
|
0,46
|
0,46
|
0,55
|
0,55
|
0,55
|
0,88
|
Выбираем марку лампы по справочнику.
Принимаем марку светильника типа РСП25. Выпускается для ламп
ДРЛ 250Вт и применяется для нормальных производственных помещений и является
основным.
Для вспомогательных (бытовых) помещений выбираем светильники
марки ЛСП13-2х65-004 с двумя люминесцентными лампами ЛБ-65.
Таблица 6 Характеристика лампы
|
Источник света
|
Марка
|
Напряжение U, В
|
Мощность Р, Вт
|
Световой поток
Ф, ЛМ
|
|
Лампы ДНаТ
|
ДНаТ 250
|
220
|
250
|
13000
|
|
Лампы ЛБ
|
ЛБ-65
|
103
|
65
|
4600
|
Определяем количество ламп на цех
(4)
где S - площадь помещения, м2;
КЗ
- коэффициент запаса в пределах 1,2…1,5 (принимаем 1,5);
Z -
коэффициент минимальной освещенности в пределах 1,1…1,3 (принимаем 1,2);
Ф - световой
поток лампы, лм (берем из таблицы 5).
Округляем до n=32шт.
Производим проверочный расчет, который выполнял бы условию:
(5)
,4≥200, т.к. условие выполняется, то принимаем расчетное
количество ламп n = 32шт.
Рассчитаем количество ламп и светильников для вспомогательных
помещений на каждый этаж.
Вентиляторная
Так как в выбранный светильник устанавливается по две лампы, то
количество ламп принимаем n=2шт.
Производим проверочный расчет, который выполнял бы условию:
≥50, т.к. условие выполняется, то принимаем расчетное
количество ламп n = 2шт.
Остальные расчеты выполняем аналогично, и данные сводим в таблицу
7.
Таблица 7 - Количество ламп в помещениях
|
Помещения
|
Вентиля торная
|
Голтовачная
|
Инструме-нтальная
|
Кабинет мастера
|
Склад штампов
|
Агрегатная
|
Трансформа-торная
|
Станочноеотделение
|
|
Количество ламп
1этаж
|
2
|
14
|
2
|
8
|
6
|
6
|
6
|
32
|
|
Количество ламп
2этаж
|
2
|
14
|
2
|
8
|
6
|
6
|
6
|
----
|
Определяем мощность освещения
Определяем мощность освещения в цехе
(6)
где n - количество ламп, шт;
Рл
- мощность лампы, кВт.
Определяем мощность освещения в служебных и бытовых помещениях
Таблица 8 Мощность освещения
|
Вентиля торная
|
Голто-вачная
|
Инструме-нтальная
|
Кабинет мастера
|
Склад штампов
|
Агрегатная
|
Трансформаторная
|
Итого
|
|
65 Вт
|
65 Вт
|
65 Вт
|
65 Вт
|
65 Вт
|
65 Вт
|
65 Вт
|
|
|
4
|
28
|
4
|
16
|
12
|
12
|
12
|
88
|
|
260Вт
|
1820Вт
|
260Вт
|
1040Вт
|
780Вт
|
780Вт
|
780Вт
|
5,7кВт
|
Итого на служебные и бытовые помещения приходится
Рсл = 5,7кВт.
Общая мощность освещения
(7)
где S - мощность освещения, кВ×А,
cosφ - для ламп ЛБ =0,95,cosφ - для ламп ДРЛ=0,57.
(8)
2.2 Расчет
силовой электрической нагрузки
Определяем расчетную мощность группы однородных по режиму
работ электрических приемников:
Определяем расчетную мощность электрических приемников по ШР:
Приведение 1-фазного подключения к 3-хфазному,
неравномерность нагрузки.
, (9)
где Н - неравномерность, %.нб=2Pн,
(10)
гдеPнб - мощность наиболее загруженной фазы, кВт;н
- паспортная мощность, кВт.
нб=1,5Pнм,
(11)
Где Pнм - мощность наименее загруженной фазы,
кВт; Если Н < 15%, то мощность, указанную в таблице используют при расчетах.
Если Н > 15%, то заново пересчитываем мощность ЭП.
- если электроприемник один; (12)
- если электроприемников несколько. (13)
Вентиляторы: cosφ = 0,8;
=0,75; Кс=0,7; Ки=0,6; (см. Приложение Г)
,
(14)
Где Рном1 - номинальная мощность электрического
приемника, кВт.
(15)
(16)
где SШРn - полная расчетная мощность электрических
приемников, кВА,
РШРn - активная мощность электрических приемников, кВт,ШРn
- реактивая мощность электрических приемников, кВАр.
ШР1:
Станки крупносерийного производства с нормальным режимом работы: cosφ = 0,6; tgφ=1,33; Кс=0,2; Ки=0,16;
ШР2: Станки крупносерийного производства с нормальным режимом
работы: cosφ = 0,6;
tgφ=1,33;
Кс=0,2; Ки=0,16;
Кран балка: cosφ = 0,5;
tgφ=1,73;
Кс=0,2; Ки=0,1
Приведение ПВ к длительному режиму.
, (17)
% = 0,6,
Рр=0,2×0,93=0, 19кВт,
Переносной электроинструмент: cosφ = 0,65; tgφ=1,17; Кс=0,1; Ки=0,006;
ШР3:
Станки крупносерийного производства с нормальным режимом работы: cosφ = 0,6; tgφ=1,33; Кс=0,2; Ки=0,16;
Переносной электроинструмент: cosφ = 0,65; tgφ=1,17; Кс=0,1; Ки=0,006;
ШР4:
Сварочные трансформаторы: cosφ = 0,35; tgφ=2,76; Кс=0,35; Ки=0,25;
ШР5: Металлорежущие станки с тяжелым режимом работы: cosφ = 0,65; tgφ=1,17; Кс=0,25; Ки=0,17;
ШР6:
Металлорежущие станки с тяжелым режимом работы: cosφ = 0,65; tgφ=1,17; Кс=0,25; Ки=0,17;
Всего:
об = S1+SШР1+ SШР2+SШР3+SШР4+
SШР5+SШР6, (18)
где S - полная мощность, кВ×А.
об =10,26+58,77+13,21+19,16+83,46+26,56+41,52=252,94кВ×А,= Sоб +Sос, (19)
где S - полная мощность, кВ×А;об - полная мощность
групп, кВ×А;ос полная мощность освещения, кВ×А.
=252,94+20=272,94кВ×А.
2.3 Выбор
мощности трансформаторов
Нагрузка на трансформатор не должна превышать 0,8 от
номинальной мощности трансформатора:
Определяем расчетную мощность трансформаторов
(20)
по справочнику выбираем марку трансформатора с учетом условия
Принимаем два трансформатора марки ТМ-250/6 - 10, основные
параметры приведены в таблице 9.
Таблица 9 - Параметры силового трансформатора
|
Тип
|
Мощность S,
кВт
|
U1Н, кВ
|
U2Н, кВ
|
uк, %
|
Мощность
потерь, кВт
|
i0, %
|
|
|
|
|
|
Рх
|
Рк
|
|
|
ТМ-250/6 10
|
250
|
6; 10
|
0,4
|
1,05
|
3,7
|
4,5
|
2,3
|
где
S - полная мощность,
; U1Н - номинальное первичное напряжение, кВ; U2Н
- номинальное вторичное напряжение, кВ; uк - напряжение КЗ в
процентах от номинального, %; Рх - мощность потерь холостого
хода, кВт; Рк - мощность потерь КЗ, кВт; i0
- ток холостого хода в процентах от номинального, %.
Определяем коэффициент загрузки:

(21)
где S
- расчетная полная мощность
трансформатора, кВ×А,
Sном - номинальная полная мощность трансформатора, кВ×А.
2.4 Расчет
токовой нагрузки на силовые кабели
Производим выбор силовых кабелей с учетом токовой нагрузки,
мощности и допустимых потерь напряжения.
Выбираем кабель на 10кВ (по справочнику).
Далее выбор и проверку кабеля производим по номограмме.
Рассчитываем токовую нагрузку на кабель на стороне 10кВ
(22)
где Sт - номинальная мощность
трансформатора, кВ. А;
U - напряжение на кабеле, В;
Выбираем кабель марки: АСБ 4х2,5, допустимый ток кабеля: 25А.
Выбираем кабель "1" и "2" на 0,4кВ от ТП до
РУ. Рассчитываем токовую нагрузку на кабели на стороне 0,4кВ. Рассчитываем
токовую нагрузку на кабель от ТП до РУ. Ток в кабеле определяем
Выбираем кабель марка: АВВГ 4х240, допустимый ток кабеля 450А,
прокладываем 2 кабеля.
Т.к. мощность между секциями почти одинаковая, то выбираем кабель
одной марки (разница 6кВт).
Мощность нагрузки: РУ 1 = 250 кВт; РУ 2 = 170,58 кВт.
Ток: 441А;
Длина: 10м;
Марка кабеля: АВВГ 4х240;
Допустимый ток: 450А
Аналогично производим остальные расчеты и данные сводим в
"Кабельный журнал" приложение Д.
2.5 Схему
замещения
Схему составляем только для одной цепи питания электропотребителя.
10кВ
Рисунок 1 - Схема замещения
Для сети 10 кВ принять
Zсис = 10 Ом, Rсис = 5 Ом,
(23)
гдеZсис - полное сопротивление системы, Ом; Rсис
- активное сопротивление системы, Ом; Хсис - индуктивное
сопротивление системы, Ом.
По выбранным силовым кабелям или шинопроводу, рассчитываем
активные и реактивные сопротивления. Рассчитываем сопротивления трансформатора.
Определяем напряжение КЗ трансформатора
(24)
где Uном - номинальное напряжение силового
трансформатора, кВ; Uк - напряжение КЗ трансформатора
ТМ-250/10 в процентах берем из приложения Е,%.
Определяем номинальный ток трансформатора:
(25)
где Sн - номинальная мощность силового
трансформатора, кВА; Uном - номинальное напряжение силового
трансформатора, кВ.
Определяем полное сопротивление трансформатора:
(26)
Где Uк - напряжение КЗ трансформатора ТМ250/6 10,%;ном
- номинальный ток трансформатора, А.
Определяем активное сопротивление трансформатора:
(27)
где
∆ Ркз - мощность КЗ трансформатора (берем из
таблицы 8), кВт;ном - номинальный ток трансформатора, А.
Определяем индуктивное сопротивление трансформатора
(28)
где Zт - полное сопротивление трансформатора, Ом;т
активное сопротивление трансформатора, Ом.
Рассчитываем сопротивления кабеля "3" от РУ 1 до ШР 1
Определяем активное сопротивление кабеля:
(29)
где r0 - удельное сопротивление кабелей и
проводов, Ом×м (см.
Приложение Д);
l - длина
участка сети, м.
Определяем индуктивное сопротивление кабеля:
(30)
где Х0 - удельное сопротивление кабелей и
проводов Ом×м;
l - длина
участка сети, м.
Рассчитываем сопротивления кабеля от ШР1 до станка 18.
Определяем активное сопротивление кабеля
(31)
где r0 - удельное сопротивление кабелей и
проводов, Ом×м;
l - длина
участка сети, м.
Определяем индуктивное сопротивление кабеля:
(32)
где Х0 - удельное сопротивление кабелей и
проводов, Ом×м;
l - длина
участка сети, м.
2.6 Расчет
токов трехфазного короткого замыкания
Рассчитываем ток КЗ в 1 точке:
(33)
где UС - напряжение сети в точке КЗ, кВ;
- суммарное полное сопротивление сети до точки КЗ, Ом;
(
= Zсис).
Рассчитываем ток КЗ во 2 точке:
Приводим данные значения Rсис и Хсис
из 10кВ сети в значения для сети 0,4кВ, по формулам:
(34),
(35),
(36)
где UВН - напряжение трансформатора с высокой
стороны, кВ;
UНН
- напряжение трансформатора с низкой стороны, кВ.
Определяем активное суммарное сопротивление до точки КЗ2:
(37)
Определяем индуктивное суммарное сопротивление до точки КЗ2:
(38)
Определяем полное суммарное сопротивление до точки КЗ2:
(39)
Рассчитываем ток КЗ в 3 точке:
Определяем активное суммарное сопротивление до точки КЗ3:
(40)
Определяем индуктивное суммарное сопротивление до точки КЗ3:
(41)
Определяем полное суммарное сопротивление до точки КЗ3:
(42)
Рассчитываем ток КЗ в 4 точке:
Определяем активное суммарное сопротивление до точки КЗ4:
(43)
Определяем индуктивное суммарное сопротивление до точки КЗ4:
(44)
Определяем полное суммарное сопротивление до точки КЗ4:
(45),
,
Ток двухфазного короткого замыкания на землю:

.7 Расчёт
токов однофазного короткого замыкания на землю
- минимальный ток однофазного металлического
короткого замыкания, определяется для проверки чувствительности и селективности
действия защит.
При большой мощности питающей энергосистемы (xc<
0,1хт) ток однофазного металлического к. з. находитсяпо выражению
, (47)
где
- фазное напряжение сети, В;
- полное сопротивление петли фаза-нуль от
трансформатора до точки к. з., найденное из расчетов, Ом;
- полное сопротивление понижающего
трансформатора токам однофазного к. з., находится по выражению:
, (48)
где
и
- индуктивное и активное
сопротивления трансформатора прямой последовательности, Ом;
и
- индуктивное и активное
сопротивления трансформатора обратной последовательности, Ом;
и
- индуктивное и активное
сопротивления трансформатора нулевой последовательности, Ом;
и
- индуктивное и активное
сопротивления системы, Ом.
Для определения rПТ заметим, что индуктивные и
активные сопротивлениятокам обратной последовательности для трансформаторов,
воздушных и кабельных линий равны сопротивлениям прямой последовательности
т.е.:



. (49)
Индуктивные и активные сопротивления для нулевой
последовательности для кабельных линий вычисляются по формулам:
, (50),
, (51)
где
,
- активное и индуктивное
сопротивления нулевой последовательности i-го кабеля длиной lклi,
мОм; r0, х0 - погонное активное и
индуктивное сопротивление кабеля, мОм/м /1/. Схема замещения приведена на
рисунке 2.
Рисунок 2 - Схема замещения для расчета
токов однофазного короткого замыкания
Для трансформатора ТМ-250/10 сопротивление нулевой
последовательности однофазному току КЗ составляет
312 мОм /1/. Полное сопротивление току
однофазного короткого замыкания в 2 точке КЗ:
Ток однофазного КЗ в точке 2 по формуле (46):
Полное сопротивление току однофазного короткого замыкания в 3
точке КЗ:
, (52)
, (53)
, (54)
Ток однофазного КЗ в точке 3:
Полное сопротивление току однофазного короткого замыкания в 4
точке КЗ:
, (55)
, (56)
, (57)
Ток однофазного КЗ в точке 4:
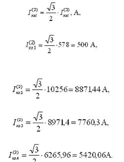
Результаты расчётов сводим в таблицу 11.
Таблица 11 - Результаты расчётов токов короткого замыкания
|
Точка КЗ
|
, А
|
, А
|
, А
|
|
К1
|
588
|
509
|
-
|
|
К2
|
10526
|
8871,44
|
2875
|
|
К3
|
8791,4
|
7760,3
|
1797,7
|
|
К4
|
6265,96
|
5420,06
|
644,97
|
2.8 Выбор
аппаратов защиты (автоматов и предохранителей)
С учетом номинального напряжения, тока и пускового тока
выбираем номинальный ток плавкой вставки по таблице.
Делаем выбор предохранителей
Выбираем предохранители на 10кВ
Выбираем предохранители FU18
(58),
Марка предохранителя ПКТ 101-10-31,5-12,5 У3 Номинальный ток
плавкой вставки 31,5А.
Выбираем предохранитель FU 18:
(59)
(60)
где к - коэффициент, при защите электродвигателей с К.З.
ротором и легком пуске (длительностью от 2 - 5с.) принимается равным 2,5.
Марка предохранителя НПН60М (плавкая вставка 40А)
Остальные расчеты выполняем аналогично и данные сводим в таблицу
11:
Таблица 11 - Предохранители
|
№ ШР
|
FU
|
Марка
предохранителя
|
Iн
|
Iп. вс
|
|
1
|
2
|
3
|
4
|
5
|
|
1
|
18
|
НПН60М (плавкая
вставка 40А)
|
17,3
|
34,6
|
|
1
|
19
|
НПН60М (плавкая
вставка 40А)
|
17,3
|
34,6
|
|
1
|
20
|
НПН60М (плавкая
вставка 60А)
|
26
|
52
|
|
1
|
21
|
НПН60М (плавкая
вставка 60А)
|
28,9
|
57,8
|
|
1
|
22
|
НПН60М (плавкая
вставка 60А)
|
28,9
|
57,8
|
|
1
|
27
|
ПН2-100
(плавкая вставка 100А)
|
40,5
|
81
|
|
1
|
НПН60М (плавкая
вставка 40А)
|
17,3
|
34,6
|
|
2
|
29
|
НПН15 (плавкая
вставка 15А)
|
5,8
|
11,6
|
|
2
|
30
|
НПН15 (плавкая
вставка 15А)
|
5,8
|
11,6
|
|
2
|
34
|
НПН15 (плавкая
вставка 15А)
|
5,8
|
11,6
|
|
2
|
35
|
НПН15 (плавкая
вставка 15А)
|
5,8
|
11,6
|
|
2
|
39
|
НПН60М (плавкая
вставка 30А)
|
11,6
|
23,2
|
|
2
|
40
|
НПН60М (плавкая
вставка 20А)
|
8,6
|
17,3
|
|
2
|
41
|
НПН60М (плавкая
вставка 20А)
|
8,6
|
17,3
|
|
3
|
31
|
НПН15 (плавкая
вставка 15А)
|
5,8
|
11,6
|
|
3
|
32
|
НПН15 (плавкая
вставка 15А)
|
5,8
|
11,6
|
|
3
|
33
|
НПН15 (плавкая
вставка 15А)
|
5,8
|
11,6
|
|
3
|
36
|
НПН15 (плавкая
вставка 15А)
|
5,8
|
11,6
|
|
3
|
37
|
НПН15 (плавкая
вставка 15А)
|
5,8
|
11,6
|
|
3
|
38
|
НПН15 (плавкая
вставка 15А)
|
5,8
|
11,6
|
|
3
|
42
|
НПН60М (плавкая
вставка 40А)
|
17,3
|
34,6
|
|
3
|
43
|
НПН15 (плавкая
вставка 6А)
|
2,3
|
4,6
|
|
3
|
44
|
НПН15 (плавкая
вставка 6А)
|
2,3
|
4,6
|
|
4
|
16
|
ПН2-200
(плавкая вставка 120А)
|
57,8
|
115,6
|
|
4
|
17
|
ПН2-200 (плавкая
вставка 120А)
|
57,8
|
115,6
|
|
5
|
1
|
НПН60М (плавкая
вставка 30А)
|
11,6
|
23,2
|
|
5
|
2
|
НПН60М (плавкая
вставка 30А)
|
11,6
|
23,2
|
|
5
|
3
|
НПН60М (плавкая
вставка 30А)
|
11,6
|
23,2
|
|
5
|
4
|
НПН60М (плавкая
вставка 30А)
|
11,6
|
23,2
|
|
5
|
7
|
НПН60М (плавкая
вставка 40А)
|
17,3
|
34,6
|
|
5
|
8
|
НПН60М (плавкая
вставка 40А)
|
17,3
|
34,6
|
|
5
|
9
|
НПН60М (плавкая
вставка 40А)
|
17,3
|
34,6
|
|
5
|
10
|
НПН60М (плавкая
вставка 40А)
|
17,3
|
34,6
|
|
5
|
11
|
НПН60М (плавкая
вставка 40А)
|
17,3
|
34,6
|
|
6
|
5
|
НПН60М (плавкая
вставка 30А)
|
11,6
|
23,2
|
|
6
|
6
|
НПН60М (плавкая
вставка 30А)
|
11,6
|
23,2
|
|
6
|
12
|
НПН60М (плавкая
вставка 30А)
|
14,5
|
28,9
|
|
6
|
13
|
НПН60М (плавкая
вставка 30А)
|
14,5
|
28,9
|
|
6
|
14
|
НПН60М (плавкая
вставка 30А)
|
14,5
|
28,9
|
|
6
|
15
|
НПН60М (плавкая
вставка 30А)
|
14,5
|
28,9
|
|
6
|
23
|
НПН60М (плавкая
вставка 30А)
|
11,6
|
23,2
|
|
6
|
24
|
НПН60М (плавкая
вставка 30А)
|
11,6
|
23,2
|
|
6
|
25
|
НПН60М (плавкая
вставка 40А)
|
23,1
|
46,2
|
|
6
|
26
|
НПН60М (плавкая
вставка 60А)
|
26
|
52
|
Расчет и выбор автоматических выключателей
Выбираем автоматический выключатель SF1:
(61)
Автоматический выключатель ВА 51-33
Номинальный ток 125 А
Остальные расчеты выполняем аналогично, и данные сводим в таблицу
12:
Таблица 12 - Автоматические выключатели
|
№
|
SF
|
Автоматический
выключатель
|
Iн
|
Iотк.
|
|
ШР 1
|
1
|
ВА 51-33
(Номинальный ток 125 А)
|
118,4
|
12,5
|
|
ШР 2
|
2
|
ВА 51-31
(Номинальный ток 63 А)
|
53,5
|
6
|
|
ШР 3
|
3
|
ВА 51-31
(Номинальный ток 50А)
|
45
|
6
|
|
ШР 4
|
4
|
ВА 51-39
(Номинальный ток 500 А)
|
482,5
|
35
|
|
ШР 5
|
5
|
ВА 51-31
(Номинальный ток 80 А)
|
79,5
|
7
|
|
ШР 6
|
6
|
ВА 51-31 (Номинальный
ток 100 А)
|
91,6
|
7
|
|
ЩО 1
|
7
|
ВА 51-25
(Номинальный ток 16 А)
|
14,5
|
3
|
|
ЩО 2
|
8
|
ВА 51-25
(Номинальный ток 16 А)
|
14,5
|
3
|
2.9
Проверочный расчет заземляющего устройства
Задача расчёта - выбрать тип заземляющего устройства,
определить число заземлителей.
Устанавливаем по ПУЭ значение сопротивления заземляющего
устройства цеха 0,4 кВ:
Заземляющее устройство выполняем в виде контура из полосы 40х4 мм,
проложенной на глубине 0,7 м вокруг цеха и стальных стержней длинной 5 м.,
диаметром 12 мм на расстоянии 14м друг от друга. Контур закладывается на
расстоянии 1 м от границы площади занимаемой электрооборудованием цеха.
Удельное сопротивление супеси - 300 Ом. м.
Определяем удельное сопротивление для вертикальных и горизонтальных
электродов по формуле:
(62)
гдеКсез - равен 1,3…1,45 - коэффициент
сезонности для вертикальных электродов;
Ксез - равен 2,5…3,5 - коэффициент сезонности для горизонтальных
электродов;
- удельное сопротивление грунта.
Определяем сопротивление одного заземляющего электрода
(63)
Определяем число вертикальных заземлителей
(64)
где
- равно 0,52 - коэффициент использования
заземлителей
Определяем сопротивление заземляющей полосы
(65)
гдеb - равно 40.10-3 м - ширина горизонтального
заземлителя, м;
l - длина
полосы, м,
l = 50×32 = 1600 м,
t - равна0,7
м - глубина заложения горизонтального заземлителя.
Определяем сопротивление полосы в контуре
(66)
где
- равен 0,34 - коэффициент использования
Найдем необходимое сопротивление вертикальных заземлителей:
(67)
Определяем уточненное число заземляющих электродов
(68)
т.е. окончательно принимаем число вертикальных заземлителей равное
17шт.
Определяем сопротивление заземляющего устройства
(69)
Данный расчет удовлетворяет требованиям ПУЭ (
- соблюдено).
Заключение
В курсовом проекте на тему "Проектирование
электроснабжения автоматизированного цеха" был выполнен расчёт
осветительной сети, в которых были выбраны лампы типа ДРЛ-250 в количестве 32
шт. и светильники типа ЛБ - 65 в количестве 88 шт.
Был также произведён расчёт электрических нагрузок, в ходе
которого были выбраны два трансформатора типа ТМ-250/6 10 с учётом
дополнительной нагрузки в перспективе развития участка.
Рассчитаны и выбраны аппараты защиты на стороне высшего и
низшего напряжения. Произведён расчёт токов в одной точке короткого замыкания.
Были рассчитаны и выбраны кабели марок: АСБ - на высшее напряжение, АВВГ - на
низшее напряжение.
В расчёте заземления было выбрано число вертикальных
заземлителей и рассчитано сопротивление заземляющего контура.
Список
использованных источников
1. Алиев
И.И. Справочник по электрооборудованию и электротехнике. - Ростов н/Д.: Феникс,
2007.
2. Гольстрем
В.А., Иваненко А.С. Справочник энергетика промышленных предприятий - К.:
Техника, 2009.
. Коновалова
Г.П. Электроснабжение промышленных предприятий - М.: Энергоатомиздат, 2008.
. Липкин
Б.Ю. Электрооборудование промышленных предприятий и установок. - М: Высшая
школа, 2010.
. Медведев
Г.Д. Электрооборудование и электроснабжение горных предприятий. - М: Недра,
2007.
. Неклепаев
Б.Н. Электрическая часть электростанций и подстанций. - М.: Энергоатомиздат,
2008.
. Правила
устройства электроустановок М.: Энергоатомиздат, 2003.
. Самохин
Ф.И. Электрооборудование и электроснабжение открытых горных работ. - М. Недра, 2010.
. Сибикин
Ю.Д., Сибикин М.Ю. Справочник по эксплуатацииэлектроустановок промышленных
предприятий. - М.: Высшая школа, 2009.
. Фёдоров
А.А. Учебное пособие для курсового и дипломного проектирования по
электроснабжению промышленных предприятий. - М.: Энергоатомиздат, 2007.
. Шеховцев
В.П. Расчёт и проектирование схем электроснабжения. Методическое пособие для
курсового проектирования. - М.: Форум - ИНФРА, 2008.
. Дойников
В.Б. В помощь персоналу, обслуживающему электроустановки. Минск.: БОИМ, 2001
. Зимин
Е.Н. Электрооборудование промышленных предприятий и установок. М.:
Энергоатомиздат, 1981
. Правила
технической эксплуатации электроустановок потребителей и Правила техники
безопасности при эксплуатации электроустановок потребителей. М.:
Энергоатомиздат, 1989
. Правила
устройства электроустановок. М.: Энергоатомиздат, 1986
. Соколов
Б.А., Соколова Н.Б. Монтаж электрических установок. М.: Энергоатомиздат, 1991
. ГОСТ
12.0.003-74 ССБТ. Опасные и вредные производственные факторы. Классификация.
Приложения
Приложение А
(справочное)
Коэффициенты использования для освещения
Таблица А.1 - Коэффициенты использования для освещения
|
Коэффициенты
отражения
|
ЛСП с
люминесцентной лампой
|
РСП с лампой
ДРЛ
|
|
7070503070705030
|
|
|
|
|
|
|
|
|
|
5050301050503010
|
|
|
|
|
|
|
|
|
|
3010101030101010
|
|
|
|
|
|
|
|
|
|
Показатель
помещения ЛСП
|
Коэффициент
использования
|
|
Вспомогательные
|
Основные
|
|
0,5
|
29
|
28
|
24
|
21
|
52
|
50
|
46
|
42
|
|
1,0
|
46
|
44
|
38
|
34
|
72
|
67
|
64
|
61
|
|
1,5
|
55
|
52
|
47
|
43
|
80
|
74
|
70
|
68
|
|
2,0
|
62
|
56
|
52
|
49
|
76
|
74
|
71
|
|
2,5
|
66
|
60
|
55
|
52
|
88
|
79
|
76
|
74
|
|
3,0
|
69
|
62
|
59
|
55
|
90
|
80
|
77
|
75
|
|
3,6
|
71
|
63
|
59
|
57
|
91
|
81
|
78
|
76
|
|
4,0
|
72
|
64
|
61
|
58
|
93
|
82
|
79
|
77
|
ПриложениеБ
Технические характеристики ламп серий ЛБ, ЛД
Таблица Б.1 - Технические характеристики ламп серий ЛБ, ЛД
|
Наименование
|
Мощность, Вт
|
Ток, А
|
Напряже- ние,
В
|
Световой поток,
лм
|
|
|
|
|
|
|
|
Лампа
люминесцентнаяЛД - 18
|
18
|
0,37
|
57
|
880
|
|
Лампы
люминесцентные ЛБ - 18
|
18
|
0,37
|
57
|
1060
|
|
Лампы
люминесцентныеЛД - 20
|
20
|
0,37
|
57
|
880
|
|
Лампы
люминесцентныеЛБ - 20
|
20
|
0,37
|
57
|
1060
|
|
Лампа
люминесцентная ЛД - 30
|
30
|
0,37
|
96
|
-
|
|
Лампы
люминесцентныеЛБ - 30
|
30
|
0,37
|
96
|
2020
|
|
Лампы люминесцентные
ЛД - 36
|
36
|
0,43
|
103
|
2300
|
|
Лампа
люминесцентнаяЛБ - 36
|
36
|
0,43
|
103
|
2800
|
|
Лампы
люминесцентныеЛД - 40
|
40
|
0,43
|
103
|
2300
|
|
Лампы
люминесцентныеЛБ - 40
|
40
|
0,43
|
103
|
2800
|
|
Лампы
люминесцентныеЛД - 65
|
65
|
0,67
|
110
|
3750
|
|
Лампа
люминесцентнаяЛБ - 65
|
65
|
0,67
|
110
|
4600
|
|
Лампы
люминесцентныеЛД - 80
|
80
|
0,87
|
99
|
4250
|
|
Лампа
люминесцентнаяЛБ - 80
|
80
|
0,87
|
99
|
5200
|
|
Лампы
люминесцентныеЛБУ - 30
|
30
|
0,37
|
104
|
1980
|
Приложение В
Технические характеристики ламп ДРЛ
Таблица В.1 - Технические характеристики ламп ДРЛ
|
Тип
|
Номинальное
напряжение на лампе, В
|
Номинальная
мощность, Вт
|
Световой поток,
Лм
|
|
|
|
|
|
ДРЛ50
|
220
|
50
|
1800
|
|
ДРЛ50 (15)
|
95
|
50
|
1900
|
|
ДРЛ80
|
220
|
80
|
3800
|
|
ДРЛ80 (15)
|
115
|
80
|
3600
|
|
ДРЛ125
|
220
|
125
|
6300
|
|
ДРЛ125 (6)
|
125
|
125
|
5900
|
|
ДРЛ125 (6)
|
125
|
125
|
5900
|
|
ДРЛ125 (8)
|
125
|
125
|
6000
|
|
ДРЛ125 (10)
|
125
|
125
|
6200
|
|
ДРЛ125 (15)
|
125
|
125
|
6300
|
|
ДРЛ125 ХЛ1
|
135
|
125
|
5480
|
|
ДРЛ250
|
220
|
250
|
13000
|
|
ДРЛ250 (6) - 4
|
130
|
250
|
13000
|
|
ДРЛ250 (8)
|
130
|
250
|
13200
|
|
ДРЛ250 (8) - ПН
|
130
|
250
|
13200
|
|
ДРЛ250 (10) - 4
|
130
|
250
|
13500
|
|
ДРЛ250 (10) - 4
|
130
|
250
|
13500
|
|
ДРЛ250 (10) - 5
|
130
|
250
|
13500
|
|
ДРЛ250 (14) - 4
|
130
|
250
|
13500
|
|
ДРЛ250 ХЛ1
|
130
|
250
|
11500
|
Приложение Г
Рекомендуемые значения коэффициентов
Таблица Г.1 - Рекомендуемые значения коэффициентов
|
Наименование
механизмов и аппаратов
|
Ки
|
Кс
|

|
|
|
Металлорежущие
станки мелкосерийного производства с нормальным режимом работы (токарные,
фрезерные, сверлильные, точильные, карусельные и т.д.)
|
0,14
|
0,16
|
0,5
|
1,73
|
|
Металлорежущие
станки крупносерийного производства с нормальным режимом работы (те же)
|
0,16
|
0,2
|
0,6
|
1,33
|
|
Металлорежущие
станки с тяжелым режимом работы (штамповочные прессы, автоматы, револьверные
обдирочные зубофрезерные, а так же крупные токарные, строгальные, фрезерные
станки и т.д.)
|
0,17
|
0,25
|
0,65
|
1,17
|
|
Переносной
электроинструмент
|
0,006
|
0,1
|
0,65
|
1,17
|
|
Вентиляторы
|
0,6
|
0,7
|
0,8
|
0,75
|
|
Насосы,
компрессоры
|
0,7
|
0,8
|
0,8
|
0,75
|
|
Краны, тельферы
|
0,1
|
0,2
|
0,5
|
1,73
|
|
Сварочные
трансформаторы
|
0,25
|
0,35
|
0,35
|
2,76
|
|
Сварочные
машины (стыковочные)
|
0,2
|
0,6
|
0,6
|
1,33
|
|
Печи
сопротивления, сушильные шкафы, нагревательные приборы
|
0,75
|
0,8
|
0,95
|
0,33
|
Приложение Д
Кабельный журнал
Таблица Д.1 - Кабельный журнал
|
Поз.
|
Марка кабеля
|
Откуда идет
|
Куда идет
|
Кол-во, м
|
Примечание
|
|
1
|
2
|
3
|
4
|
5
|
6
|
|
1,2
|
АВВГ4х240
|
ТП
|
РУ
|
5
|
На напр.0,4кВ
|
|
3
|
АВВГ4х35
|
РУ1
|
ШР 1
|
12,5
|
На напр.0,4кВ
|
|
4
|
АВВГ4х10
|
РУ1
|
ШР 2
|
15
|
На напр.0,4кВ
|
|
5
|
АВВГ4х10
|
РУ1
|
ШР 3
|
32
|
На напр.0,4кВ
|
|
6
|
АВВГ4х2,5
|
РУ1
|
45
|
45
|
На напр.0,4кВ
|
|
7
|
АВВГ4х2,5
|
РУ1
|
46
|
47,5
|
На напр.0,4кВ
|
|
8
|
АВВГ4х240
|
РУ2
|
ШР 4
|
12,5
|
На напр.0,4кВ
|
|
9
|
АВВГ4х16
|
РУ2
|
ШР 5
|
45
|
На напр.0,4кВ
|
|
10
|
АВВГ4х25
|
РУ2
|
ШР 6
|
72,5
|
На напр.0,4кВ
|
|
11-12
|
АППВ3х2,5
|
РУ1,2
|
ЩО1,2
|
20
|
На напр.220В
|
|
13
|
АВВГ4х2,5
|
ШР1
|
18
|
8,75
|
На напр.0,4кВ
|
|
14
|
ШР1
|
19
|
16,25
|
На напр.0,4кВ
|
|
15
|
АВВГ4х2,5
|
ШР1
|
20
|
21,25
|
На напр.0,4кВ
|
|
16
|
АВВГ4х2,5
|
ШР1
|
21
|
27,5
|
На напр.0,4кВ
|
|
17
|
АВВГ4х2,5
|
ШР1
|
22
|
31,25
|
На напр.0,4кВ
|
|
18
|
АВВГ4х4
|
ШР1
|
27
|
33,75
|
На напр.0,4кВ
|
|
19
|
АВВГ4х2,5
|
ШР1
|
28
|
33,75
|
На напр.0,4кВ
|
|
20
|
АВВГ4х2,5
|
ШР2
|
29
|
11,25
|
На напр.0,4кВ
|
|
21
|
АВВГ4х2,5
|
ШР2
|
30
|
11,25
|
На напр.0,4кВ
|
|
22
|
АВВГ4х2,5
|
ШР2
|
34
|
8,75
|
На напр.0,4кВ
|
|
23
|
АВВГ4х2,5
|
ШР2
|
35
|
8,75
|
На напр.0,4кВ
|
|
24
|
АВВГ4х2,5
|
ШР2
|
39
|
8,75
|
На напр.0,4кВ
|
|
25
|
АВВГ4х2,5
|
ШР2
|
40
|
3,75
|
На напр.0,4кВ
|
|
26
|
АВВГ4х2,5
|
ШР2
|
41
|
3,75
|
На напр.0,4кВ
|
|
27
|
АВВГ4х2,5
|
ШР3
|
31
|
15
|
На напр.0,4кВ
|
|
28
|
АВВГ4х2,5
|
ШР3
|
32
|
8,75
|
На напр.0,4кВ
|
|
29
|
АВВГ4х2,5
|
ШР3
|
33
|
11,25
|
На напр.0,4кВ
|
|
30
|
АВВГ4х2,5
|
ШР3
|
36
|
11,25
|
На напр.0,4кВ
|
|
31
|
АВВГ4х2,5
|
ШР3
|
37
|
5
|
На напр.0,4кВ
|
|
32
|
АВВГ4х2,5
|
ШР3
|
38
|
7,5
|
На напр.0,4кВ
|
|
33
|
АВВГ4х2,5
|
ШР3
|
42
|
5
|
На напр.0,4кВ
|
|
34
|
АВВГ4х2,5
|
ШР3
|
43
|
3,75
|
На напр.0,4кВ
|
|
35
|
АВВГ4х2,5
|
ШР3
|
44
|
12,5
|
На напр.0,4кВ
|
|
36
|
АВВГ4х6
|
ШР4
|
16
|
3,75
|
На напр.0,4кВ
|
|
37
|
АВВГ4х6
|
ШР4
|
17
|
5
|
На напр.0,4кВ
|
|
38
|
АВВГ4х2,5
|
ШР5
|
1
|
5
|
На напр.0,4кВ
|
|
39
|
АВВГ4х2,5
|
ШР5
|
2
|
5
|
На напр.0,4кВ
|
|
40
|
АВВГ4х2,5
|
ШР5
|
3
|
17,5
|
На напр.0,4кВ
|
|
41
|
АВВГ4х2,5
|
ШР5
|
4
|
22,5
|
На напр.0,4кВ
|
|
42
|
АВВГ4х2,5
|
ШР5
|
7
|
11,25
|
На напр.0,4кВ
|
|
43
|
АВВГ4х2,5
|
ШР5
|
8
|
8,75
|
На напр.0,4кВ
|
|
44
|
АВВГ4х2,5
|
ШР5
|
9
|
12,5
|
На напр.0,4кВ
|
|
45
|
АВВГ4х2,5
|
ШР5
|
10
|
17,5
|
На напр.0,4кВ
|
|
46
|
АВВГ4х2,5
|
ШР5
|
11
|
21,25
|
На напр.0,4кВ
|
|
47
|
АВВГ4х2,5
|
ШР6
|
5
|
3,75
|
На напр.0,4кВ
|
|
48
|
АВВГ4х2,5
|
ШР6
|
6
|
3,75
|
На напр.0,4кВ
|
|
49
|
АВВГ4х2,5
|
ШР6
|
12
|
12,5
|
На напр.0,4кВ
|
|
50
|
АВВГ4х2,5
|
ШР6
|
13
|
8,75
|
На напр.0,4кВ
|
|
51
|
АВВГ4х2,5
|
ШР6
|
14
|
12,5
|
На напр.0,4кВ
|
|
52
|
АВВГ4х2,5
|
ШР6
|
15
|
16,25
|
На напр.0,4кВ
|
|
53
|
АВВГ4х2,5
|
ШР6
|
23
|
22,5
|
На напр.0,4кВ
|
|
54
|
АВВГ4х2,5
|
ШР6
|
24
|
25
|
На напр.0,4кВ
|
|
55
|
АВВГ4х2,5
|
ШР6
|
25
|
22,5
|
На напр.0,4кВ
|
|
56
|
АВВГ4х2,5
|
ШР6
|
26
|
27,5
|
На напр.0,4кВ
|
Приложение Е
Трехфазные масляные двухобмоточные трансформаторы
Таблица Е.1 - Трехфазные масляные двухобмоточные
трансформаторы
|
Тип
|
Ном. мощность,
в кВА
|
Номинальное
напря-жение обмоток, в кВ.
|
Потери, кВт
|
Напряжение КЗ в
%
|
Ток х. х.,%
номин.
|
|
Рн
|
U вн
|
Uнн
|
Рх. х.
|
Рк. з.
|
Uкз
|
Iх. х
|
|
Без
регулирования под нагрузкой
|
|
ТМ-25/6-10
|
25
|
6; 10;
|
0,4
|
0,125
|
06
|
4,5
|
3,2
|
|
ТМ-40/6-10
|
40
|
6; 10;
|
0,4
|
0,18
|
0,88
|
4,5
|
3
|
|
ТМ-63/6-10
|
63
|
6; 10;
|
0,4
|
0,265
|
1,28
|
4,5
|
2,8
|
|
ТМ-100/6-10
|
100
|
6; 10;
|
0,4
|
0,365
|
1,97
|
4,5
|
2,6
|
|
ТМ-160/6-10
|
160
|
6; 10;
|
0,4
|
0,54
|
2,65
|
4,5
|
2,4
|
|
ТМ-250/6-10
|
250
|
6; 10;
|
0,4
|
1,05
|
3,7
|
4,5
|
2,3
|
|
ТМ-400/6-10
|
400
|
6; 10;
|
0,4
|
1,45
|
5,5
|
4,5
|
2,1
|
|
ТМ-630/6-10
|
630
|
6; 10;
|
0,4
|
2,27
|
7,6
|
5,5
|
2
|
|
ТМ-1000/10
|
1000
|
6; 10;
|
04
|
3,8
|
12,7
|
5,5
|
3
|
|
ТМ-1600/10
|
1600
|
6; 10
|
0,4
|
3,3
|
5,5
|
1,3
|
|
ТМ-2500/10
|
2500
|
10
|
6,3
|
6,2
|
25
|
5,5
|
3,5
|
|
|
|
|
|
|
|
|
|
|
Приложение Ж
Технические характеристики предохранителей серии
НПН и ПН2
Таблица Ж.1 - Технические характеристики предохранителей
серии НПН и ПН2
|
Тип
|
Номинальный
ток, А
|
Предельный ток
отключения, А, при напряжении до 500 В
|
|
Предохранителя
|
Плавких вставок
|
|
|
НПН15
|
15
|
6, 10, 15
|
10000
|
|
НПН60М
|
60
|
20, 25, 35, 45,
60
|
|
|
ПН2-100
|
100
|
30, 40, 50, 60,
80, 100
|
50000
|
|
ПН2-250
|
250
|
80, 100, 120,
150, 200, 250
|
40000
|
|
ПН2-400
|
400
|
200, 250, 300,
350, 400
|
25000
|
|
ПН2-600
|
600
|
300,400,
500,600
|
25000
|
|
ПН2-1000
|
1000
|
500, 600, 750,
800, 1000
|
10000
|
Приложение И
Удельное сопротивление грунта
Таблица И.1 - Удельное сопротивление грунта
|
Грунт p, Ом×м
|
Торф
|
Глина, земля
садовая
|
Чернозем
|
Суглинок
|
Камен. почва
|
Супесь
|
Песок с галькой
|
|
20
|
40
|
50
|
100
|
200
|
300
|
800
|