Расчет электроснабжения цеха
1. Расчёт электрических
нагрузок
Расчет электрических нагрузок
производится методом расчетного коэффициента. Данный метод расчета позволяет
определить электрические нагрузки электроприемников напряжением до 1000 В.
Приведём алгоритм расчёта для горизонтально-фрезерного станка:
1. Номинальная мощность
электроприёмника 
. Количество
электроприемников, 
;
. По справочнику
определяем величину коэффициента использования 
, а так же 
. Находим мощность
группы ЭП так:
5. Определяем среднюю
(активную и реактивную) мощности данной группы электроприемников:
. Найдём значение
величины 
Аналогичный расчет
выполняем для всех остальных видов приемников, за исключением сварочной
нагрузки. Полученные данные сводим в таблицу 1.1.
. Определяем суммарную
мощность 
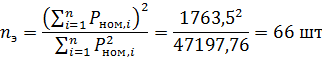
8. Определим эффективное
число электроприемников:
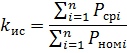
. Средневзвешенный коэффициент
использования:
Расчётный коэффициент 
определяется в
зависимости от значений 
. Значение определяется
для магистрального шинопровода имеем:
При 
. Расчётные значения для
групп электроприёмников 
С учётом осветительной и
сварочной нагрузок:
Полученные данные
заносим в таблицу 1.1.
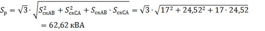
Расчёт эквивалентной сварочной
трёхфазной нагрузки
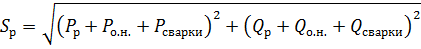
Все машины контактной электросварки
являются однофазными с повторно-кратковременным режимом работы.
Расчет электрических нагрузок машин
контактной сварки производится по полной мощности; за расчетную нагрузку по
нагреву принимается среднеквадратичная нагрузка.
Таблица 1.2 - Исходные данные для
расчета электрических нагрузок машин контактной сварки
|
Наименование ЭП
|
|
|
|
|
|
|
|
Точечные стационарные
|
4
|
85
|
0,55
|
0,04
|
1
|
3,4
|
|
Сварочные стыковые
|
5
|
110
|
0,55
|
0,02
|
0,8
|
1,76
|
|
Сварочные шовные роликовые
|
4
|
100
|
0,55
|
0,05
|
0,8
|
4
|
|
Сварочные точечные
|
3
|
90
|
0,55
|
0,03
|
1
|
2,7
|
. Распределяем сварочную нагрузку по
парам фаз:
2. Средняя нагрузка каждой машины:

- коэффициент загрузки
i-той сварочной машины;

- коэффициент включения
i-той сварочной машины.
. Средняя нагрузка
каждой пары фаз, например, АВ:
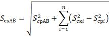
. Среднеквадратичная
нагрузка каждой сварочной машины:
5. Среднеквадратичная нагрузка
каждой пары фаз, например, АВ, определяется по формуле:
. Рассчитаем небаланс:
7. Находим расчётную трёхфазную
нагрузку:
. Находим расчётную трёхфазную
нагрузку:
. Расчетную активную и реактивную
нагрузки находим по формулам:
Полученные значения заносим в
таблицу 1.1.
Расчет
осветительной нагрузки
Осветительная нагрузка
рассчитывается по удельной нагрузке на единицу производственной площади:
Площадь цеха: 
Расчетная активная нагрузка:
где
- удельная
электрическая нагрузка на единицу производственной площади, кВт/
. Примем, что 
и освещение
производится люминесцентными лампами с 
Расчетная реактивная
нагрузка:
Полученные значения заносим в
таблицу 1.1.
Расчёт нагрузки крана
Кран имеет три
двигателя: тележки, моста, подъема.
Соотношения
мощностей 1:2:3. Мощность крана 30 кВт
Мощность тележки: 
Мощность моста: 
Мощность подъема:
Коэффициенты включения:
для тележки 
для моста 
для подъема 
Номинальная мощность
крана:

Полученные значения
заносим в таблицу 1.1.
Таблица 1.1 - Расчет
нагрузок для выбора цехового трансформатора и магистрального шинопровода
|
Наименование ЭП
|
|
|
|
|
|
|
|
|
|
|
Горизонтально-фрезерный
|
32
|
13
|
416
|
0,14
|
0,5
|
1,73
|
58,2
|
100,8
|
13312
|
|
Токарно-винторезный
|
13
|
5
|
65
|
0,12
|
0,4
|
2,29
|
7,8
|
17,9
|
845
|
|
Кругло-шлифовальный
|
17
|
6
|
102
|
0,14
|
0,6
|
1,33
|
14,3
|
19
|
1734
|
|
Радиально-сверлильный
|
28
|
4
|
112
|
0,14
|
0,4
|
2,29
|
15,7
|
35,9
|
3136
|
|
Вертикально-фрезерный
|
22
|
3
|
66
|
0,12
|
0,4
|
2,29
|
7,9
|
18,1
|
1452
|
|
Бесцентро-шлифовальный
|
21
|
8
|
168
|
0,14
|
0,6
|
1,33
|
23,5
|
31,25
|
3528
|
|
Горизонтально-расточный
|
35
|
2
|
70
|
0,17
|
0,65
|
1,17
|
11,9
|
13,9
|
2450
|
|
Токарно-револьверный
|
30
|
3
|
90
|
0,18
|
0,65
|
1,17
|
16,2
|
18,95
|
2700
|
|
Плоско-шлифовальный
|
30
|
2
|
60
|
0,16
|
0,5
|
1,73
|
9,6
|
16,6
|
1800
|
|
Вертикально-фрезерный
|
27
|
2
|
54
|
0,12
|
0,4
|
2,29
|
6,5
|
14,8
|
1458
|
|
Точильно-шлифовальный
|
25
|
5
|
125
|
0,18
|
0,65
|
1,17
|
22,5
|
26,3
|
3125
|
|
Электромаслянная ванна
|
15
|
2
|
30
|
0,8
|
0,95
|
0,33
|
25
|
7,9
|
450
|
|
Нагревательная электропечь
|
20
|
3
|
60
|
0,8
|
0,95
|
0,33
|
48
|
15,8
|
1200
|
|
Термическая печь
|
50
|
1
|
50
|
0,8
|
0,95
|
0,33
|
40
|
13,2
|
2500
|
|
Вентустановка
|
18
|
3
|
54
|
0,65
|
0,8
|
0,75
|
35,1
|
26,3
|
972
|
|
Электротермическая печь
|
41
|
1
|
41
|
0,8
|
0,95
|
0,33
|
32,8
|
10,8
|
1681
|
|
Вентустановка
|
18
|
1
|
18
|
0,65
|
0,8
|
0,75
|
11,7
|
8,8
|
324
|
|
Электропечь
|
32
|
3
|
96
|
0,8
|
0,95
|
0,33
|
76,8
|
25,35
|
3072
|
|
Вентустановка
|
12
|
3
|
36
|
0,65
|
0,8
|
0,75
|
23,4
|
17,55
|
432
|
|
Токарный полуавтомат
|
18
|
3
|
54
|
0,14
|
0,4
|
2,29
|
7,6
|
972
|
|
Кран
|
14,5
|
1
|
14,5
|
0,3
|
0,5
|
1,7
|
4,35
|
7,4
|
54,76
|
|
Итого
|
477,5
|
71
|
1763,5
|
0,27
|
|
|
498,85
|
464,05
|
47197,76
|
|
Осветительная НГ
|
|
|
|
|
|
|
|
|
|
|
Сварочная НГ
|
|
|
|
|
|
|
|
|
|
|
Итого по цеху
|
|
|
|
|
|
|
|
|
|
2. Выбор числа и
мощностей цеховых трансформаторов с учётом компенсации реактивной мощности
Цеховые трансформаторы выбираются с
учетом таких факторов:
1. категории надёжности
электроснабжения потребителей;
2. компенсации реактивной мощности;
. перегрузочной способности
трансформаторов в нормальном и аварийных режимах.
Нагрузка цеха - это
большей частью потребители 2-ой категории. Т.е. допускается перерыв
электроснабжения на время доставки складского резерва, или при резервировании,
осуществляемом по линиям низшего напряжения от соседних ТП. Поскольку для
потребителей перерыв электроснабжения допускается, есть резервирование по
стороне 0,4 кВ то применяем однотрасформаторную подстанцию. Для
однотрансформаторной подстанции, в случае взаимного резервирования на низшем
напряжении, принимаем 
.
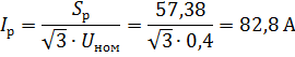
Выбор мощности силового
трансформатора КТП производится с учётом компенсации реактивной мощности.
Исходные данные для расчёта мощности берём из таблицы 1.1.
При выборе
номинальной мощности цехового трансформатора делаем допущении, что вся
реактивная мощность скомпенсирована. Поэтому мощность трансформатора
определяется по активной расчётной нагрузке:
где 
- количество
трансформаторов, равное 1;

- коэффициент загрузки,
равный 0,8.
Выбираем трансформатор
типа ТМ-630/10
Поскольку предварительно
делалось допущение о том, что вся реактивная мощность была скомпенсирована, то
теперь, зная номинальную мощность трансформатора и активную мощность,
передаваемую через него, найдём реактивную мощность, которую целесообразно
пропустить через трансформатор в сеть низкого напряжения:

Первая составляющая
мощности батареи конденсаторов в сети напряжением до 1000 В:
Следовательно принимаем 
Вторая составляющая
мощности батареи конденсаторов, определяемая в целях оптимального снижения
потерь в трансформаторе и снижении потерь в сети 6 (10) кВ:
Суммарная мощность КУ в сети низкого
напряжения:
По 
выбираем стандартные
компенсирующие устройства КУ
УКР - 0,4-600

Реальный коэффициент
загрузки трансформатора с учётом КУ:
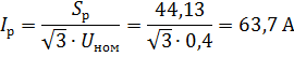
. Выбор силовых пунктов
сварочного отделения
Силовые пункты
выбираются по расчётному току. За расчётную нагрузку принимается
среднеквадратическая.
Выбор СП-1
Таблица 5.1 - Исходные
данные для выбора СП-1
|
Наименование ЭП
|
|
|
|
|
|
|
|
|
Сварочный шовные роликовые
|
4
|
100
|
0,55
|
0,05
|
0,8
|
4
|
17,89
|
. Распределяем сварочную нагрузку по
фазам:
2. Средняя нагрузка каждой машины:

- коэффициент загрузки
i-той сварочной машины;

- коэффициент включения
i-той сварочной машины.
. Средняя нагрузка
каждой пары фаз, например, АВ:
. Среднеквадратичная нагрузка
каждой сварочной машины:
5. Среднеквадратичная нагрузка
каждой пары фаз, например, АВ, определяется по формуле:
. Определяем небаланс:
. Находим расчётную трёхфазную
нагрузку:
8. Расчетную активную и реактивную
нагрузки находим по формулам:
Кроме сварочной нагрузки
к СП-1 подключены и вентустановки, с 
Суммируем сварочную
нагрузку и нагрузку вентустановки.
Выбираем СП 62-3/1. 
число отходящих
присоединений и номинальные токи предохранителей
.
Выключатель А3720Б
Выбор СП-2
Таблица 5.2 - Исходные
данные для выбора СП-2
|
Наименование ЭП
|
|
|
|
|
|
|
|
|
Сварочные точечные машины
|
3
|
90
|
0,55
|
0,03
|
1
|
2,7
|
15,59
|
. Распределяем сварочную нагрузку по
фазам:
2. Средняя нагрузка каждой машины:

- коэффициент загрузки
i-той сварочной машины;

- коэффициент включения
i-той сварочной машины.
. Средняя нагрузка
каждой пары фаз, например, АВ:
. Среднеквадратичная
нагрузка каждой сварочной машины:
5. Среднеквадратичная нагрузка
каждой пары фаз, например, АВ, определяется по формуле:
. Определяем небаланс:
. Находим расчётную трёхфазную
нагрузку:
. Расчетную активную и реактивную
нагрузки находим по формулам:
Выбираем СП 62-3/1. 
число отходящих
присоединений и номинальные токи предохранителей
.
Выключатель А3710Б
Выбор СП-3
Таблица 5.3 - Исходные
данные для выбора СП-3
|
Наименование ЭП
|
|
|
|
|
|
|
|
|
Сварочные стыковые
|
5
|
110
|
0,55
|
0,02
|
0,8
|
1,76
|
12,45
|
. Распределяем сварочную нагрузку по
фазам:
2. Средняя нагрузка каждой машины:

- коэффициент загрузки
i-той сварочной машины;

- коэффициент включения
i-той сварочной машины.
. Средняя нагрузка
каждой пары фаз, например, АВ:
. Среднеквадратичная
нагрузка каждой сварочной машины:
5. Среднеквадратичная нагрузка
каждой пары фаз, например, АВ, определяется по формуле:
. Определяем небаланс:
7. Находим расчётную трёхфазную
нагрузку:
. Расчетную активную и реактивную
нагрузки находим по формулам:
Кроме сварочной нагрузки
к СП-3 подключена вентустановка, с 
Суммируем сварочную
нагрузку и нагрузку вентустановки.
Выбираем СПУ 62-5/1. 
число отходящих
присоединений и номинальные токи предохранителей
.
Выключатель А3710Б
Выбор СП-4
Таблица 5.4 - Исходные
данные для выбора СП-4
|
Наименование ЭП
|
|
|
|
|
|
|
|
|
Точечные стационарные
|
4
|
85
|
0,55
|
0,04
|
1
|
3,4
|
17
|
. Распределяем сварочную нагрузку по
фазам:
2. Средняя нагрузка каждой машины:

- коэффициент загрузки
i-той сварочной машины;

- коэффициент включения
i-той сварочной машины.
. Средняя нагрузка
каждой пары фаз, например, АВ:
. Среднеквадратичная
нагрузка каждой сварочной машины:
5. Среднеквадратичная нагрузка
каждой пары фаз, например, АВ, определяется по формуле:
. Определяем небаланс:
7. Находим расчётную трёхфазную
нагрузку:
. Расчетную активную и реактивную
нагрузки находим по формулам:
Выбираем СП 62-4/1. 
число отходящих
присоединений и номинальные токи предохранителей
.
Выключатель А3710Б
Таблица 5.4 - Расчёт
ШРА-1.
|
Наименование ЭП
|
|
|
|
|
|
|
|
|
|
Горизонтально-фрезерный
|
32
|
13
|
416
|
0,14
|
0,5
|
1,73
|
58,2
|
100,8
|
|
Токарно-винторезный
|
13
|
5
|
65
|
0,12
|
0,4
|
2,29
|
7,8
|
17,9
|
|
Кругло-шлифовальный
|
17
|
6
|
102
|
0,14
|
0,6
|
1,33
|
61,2
|
81,4
|
|
Вентильные установки
|
18
|
2
|
36
|
0,65
|
0,8
|
0,75
|
23,4
|
17,6
|
|
Суммарные-Средневзвешенные
|
80
|
26
|
619
|
0,26
|
0,58
|
|
150,6
|
217,7
|
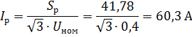
Ip=429,4 А
Выбираем шинопровод ШРА 73УЗ - 630
Выключатель А3740В
Таблица 5.5 - Расчёт ШРА-2.
|
Наименование ЭП
|
|
|
|
|
|
|
|
|
|
Радиально-сверлильный
|
28
|
4
|
112
|
0,14
|
2,29
|
3,9
|
8,9
|
|
Вертикально-фрезерный
|
27
|
2
|
54
|
0,12
|
0.4
|
2,29
|
3,8
|
8,7
|
|
Токарно-револьверный
|
30
|
3
|
90
|
0,18
|
0,65
|
1,17
|
5,4
|
6,3
|
|
Бесцентро-шлифовальный
|
21
|
8
|
168
|
0,14
|
0,6
|
1,33
|
2,9
|
3,9
|
|
Суммарные-Средневзвешенные
|
106
|
17
|
424
|
0,15
|
0,51
|
|
16
|
27,8
|
Ip=85,6 А
Выбираем ШРМ75 - 100
Выключатель А3710Б
Таблица 5.6 - Расчёт СП - 5.
|
Наименование ЭП
|
|
|
|
|
|
|
|
|
|
Точильно-шлифовальный
|
25
|
5
|
125
|
0,18
|
0,65
|
1,17
|
22,5
|
26,3
|
|
Суммарные-Средневзвешенные
|
25
|
5
|
125
|
0,18
|
|
|
22,5
|
26,3
|
Выбираем СПУ62-5/1. 
число отходящих
присоединений и номинальные токи предохранителей
.
Выключатель А3710Б
Таблица 5.7 - Расчёт
СП-6.
|
Наименование ЭП
|
|
|
|
|
|
|
|
|
|
Плоско-шлифовальный
|
30
|
2
|
60
|
0,16
|
0,5
|
1,73
|
9,6
|
16,6
|
|
Вертикально-фрезерный
|
27
|
2
|
54
|
0,12
|
0,4
|
2,29
|
6,5
|
14,9
|
|
Токарный полуавтомат
|
18
|
3
|
54
|
0,14
|
0,4
|
2,29
|
7,6
|
17,4
|
|
Суммарные-Средневзвешенные
|
75
|
7
|
168
|
0,14
|
|
|
23,7
|
48,9
|
Выбираем СПУ62-7/1. 
число отходящих
присоединений и номинальные токи предохранителей
.
Выключатель А3710Б
Таблица 5.8 - Расчёт СП
- 7.
|
Наименование ЭП
|
|
|
|
|
|
|
|
|
|
Электротермическая печь
|
41
|
1
|
41
|
0,8
|
0,95
|
0,33
|
32,8
|
10,8
|
|
Электропечь
|
32
|
3
|
96
|
0,8
|
0,95
|
0,33
|
76,8
|
25,35
|
|
Вентустановка
|
18
|
1
|
18
|
0,65
|
0,8
|
0,75
|
23,4
|
17,55
|
|
Суммарные-Средневзвешенные
|
91
|
5
|
155
|
0,75
|
|
|
133
|
53,7
|
Выбираем СПУ62-5/1. 
число отходящих
присоединений и номинальные токи предохранителей
.
Выключатель А3720Б
Таблица 5.9 - Расчёт СП
- 8.
|
Наименование ЭП
|
|
|
|
|
|
|
|
|
|
Термическая печь
|
50
|
1
|
50
|
0,8
|
0,95
|
0,33
|
40
|
13,2
|
|
Электромаслянная ванна
|
15
|
2
|
30
|
0,8
|
0,95
|
0,33
|
24
|
7,9
|
|
Нагревательная электропечь
|
20
|
3
|
60
|
0,8
|
0,95
|
0,33
|
48
|
15,8
|
|
Суммарные-Средневзвешенные
|
85
|
6
|
140
|
0,8
|
|
|
112
|
36,9
|
Выбираем СПУ62-6/1. 
число отходящих
присоединений и номинальные токи предохранителей
.
Выключатель А3720Б
электрический нагрузка
трансформатор предохранитель
Таблица 5.7 - Расчёт
СП-9.
|
Наименование ЭП
|
|
|
|
|
|
|
|
|
|
Горизонтально-расточный
|
24
|
2
|
48
|
0,17
|
0,65
|
1,17
|
8,2
|
9,6
|
|
Радиально-сверлильный
|
28
|
2
|
56
|
0,14
|
0,4
|
2,29
|
7,8
|
17,9
|
|
Суммарные-Средневзвешенные
|
52
|
4
|
104
|
0,16
|
|
|
16
|
27,5
|
Выбираем СПУ62-4/1. 
число отходящих
присоединений и номинальные токи предохранителей
.
Выключатель А3710Б4.
Выбор кабелей и кабельных перемычек
Сечение жил кабелей
цеховой сети выбирают по нагреву длительным расчетным током по условию:
где 
расчётный ток, А;

длительно допустимый
ток заданного сечения, А.

номинальная мощность
электроприёмника, кВт;

номинальный коэффициент
мощности электроприёмника.
Для асинхронных двигателей
с короткозамкнутым ротором должно выполнятся условие: 
для печей и сварочных
машин: 
За расчетный ток для
сварочных машин принимаем среднеквадратический ток:
Таблица 6.1 - Выбор
кабелей для ЭП, приводом которых являются АД с К.З. ротором
|
Наименование ЭП
|
номер на плане
|
|
|
|
|
|
|
Кругло-шлифовальный
|
59-64
|
17
|
0,6
|
40,9
|
51,12
|
60
|
|
Токарно-револьверный
|
87-89
|
30
|
0,65
|
66,62
|
83,27
|
95
|
|
Горизонтально-расточный
|
85-86
|
35
|
0,65
|
77,72
|
97,15
|
120
|
|
Горизонтально-фрезерный
|
41-53
|
32
|
0,5
|
92,38
|
115,47
|
120
|
|
Токарно-винторезный
|
54-58
|
13
|
0,4
|
46,9
|
58,64
|
60
|
|
Радиально-сверлильный
|
66-69
|
28
|
0,4
|
101,04
|
126,3
|
155
|
|
Вертикально-фрезерный
|
74-76
|
22
|
0,4
|
79,39
|
99,23
|
120
|
|
Бесцентро-шлифовальный
|
77-84
|
21
|
0,6
|
50,52
|
63,15
|
80
|
|
Вентустановка
|
108, 109, 129
|
18
|
0,8
|
32,48
|
40,6
|
60
|
|
Токарный полуавтомат
|
116-118
|
18
|
0,4
|
64,95
|
81,19
|
95
|
|
Плоскошлифовальный
|
119-120
|
30
|
0,5
|
86,6
|
108,25
|
120
|
|
Вертикально-фрезерный
|
121-122
|
22
|
0,4
|
79,38
|
99,23
|
120
|
|
Точильно-шлифовальный
|
124-128
|
0,65
|
55,51
|
69,4
|
80
|
|
Вентустановка
|
142
|
18
|
0,8
|
32,48
|
40,6
|
60
|
|
Вентустановка
|
162-164
|
12
|
0,8
|
21,65
|
27,1
|
29
|
|
Кран
|
|
14,5
|
0,3
|
69,76
|
87,2
|
95
|
Таблица 6.2 - Выбор кабелей для ЭП
термического отделения
|
Наименование ЭП
|
номер на плане
|
|
|
|
|
|
Электромаслянная ванна
|
130-131
|
15
|
0,8
|
27,1
|
29
|
|
Нагревательная электропечь
|
132-134
|
20
|
0,8
|
36,1
|
46
|
|
Термическая печь
|
135
|
50
|
0,8
|
90,21
|
95
|
|
Электротермическая печь
|
137
|
41
|
0,8
|
73,97
|
80
|
|
Электропечь
|
138-140
|
32
|
0,8
|
57,74
|
60
|
Таблица 6.3 - Выбор кабелей для ЭП
сварочного отделения
|
Наименование ЭП
|
номер на плане
|
|
|
|
|
Точечные стационарные
|
143-146
|
4,25
|
10,63
|
29
|
|
Сварочные стыковые
|
147-151
|
2,49
|
6,22
|
29
|
|
Сварочные шовные роликовые
|
152-155
|
4,47
|
11,18
|
29
|
|
Сварочные точечные
|
156-158
|
5,2
|
13
|
29
|
Список литературы
1. Федоров А.А., Старкова Л.Е. Учебное пособие для курсового и
дипломного проектирования по электроснабжению промышленных предприятий. Учебное
пособие для ВУЗов - М. "Энергоатомиздат", 1987 г.
. Саенко Ю.Л. Методическое руководство к выполнению курсового
проекта по курсу «Электроснабжение промышленных предприятий». Мариуполь 2004 г.
. ГОСТ 28249-93 Межгосударственный стандарт «Короткие
замыкания в электроустановках до 1000 В».