Расчет сети электроснабжения механического цеха тяжелого машиностроения

  • Вид работы:
    Курсовая работа (т)
  • Предмет:
    Физика
  • Язык:
    Русский
    ,
    Формат файла:
    MS Word
    158,95 Кб
  • Опубликовано:
    2015-05-17
Вы можете узнать стоимость помощи в написании студенческой работы.
Помощь в написании работы, которую точно примут!

Расчет сети электроснабжения механического цеха тяжелого машиностроения

Содержание

электроприемник трансформатор освещение цех

Введение

. Общая часть

.1 Краткая характеристика производства

.2 Расчет электрических нагрузок цеха

.3 Индустриализация электромонтажных работ

. Специальная часть

.1 Расчет проводов воздушных линий по механической прочности

.2 Монтаж проводов воздушных линий

.3 Выбор труб для прокладки осветлений

.4 Расчет освещения

.4.1 Расположение и выбор светильников

.4.2 Расчет сети освещения по току нагрузки по потери напряжения

2.5 Монтаж осветительной сети

2.6 Расчет заземления

.7 Монтаж устройств защитного заземления

3. Принципиальная схема управления

3.1 Монтаж металлообрабатывающих станков

Заключение

Список литературы

Введение

В настоящее время нельзя представить себе жизнь и деятельность современного человека без применения электричества. Основное достоинство электрической энергии - относительная простота производства, передачи, дробления, преобразования.

Задача электроснабжения промышленного предприятия возникла одновременно с широким внедрением электропривода в качестве движущей силы различных машин и механизмов и строительством электростанций. По мере развития электропотребления усложняются и системы электроснабжения промышленных предприятий. В них включаются сети высоких напряжений, распределительные сети, а в ряде случаев и сети промышленных ТЭЦ. Электрические сети промышленных предприятий в сочетании с источниками и потребителями электроэнергии становятся заводскими электрическими системами, устройство и развитие которых, как подсистем, следует рассматривать в единой связи с развитием всей энергетической системы в целом.

Промышленные предприятия являются основными потребителями электроэнергии, так как расходуют до 67% всей вырабатываемой в нашей стране электроэнергии.

Система электроснабжения промышленных предприятий, состоящая из сетей напряжением до 1 кВ и выше, трансформаторных и преобразовательных подстанций, служит для обеспечения требований производства путем подачи электроэнергии от источника питания к месту потребления в необходимом количестве и соответствующего качества в виде переменного тока, однофазного или трехфазного, при различных частотах и напряжениях, и постоянного тока.

Каждое промышленное предприятие находиться в состоянии непрерывного развития: вводятся новые производственные площади, повышается использование существующего оборудования или старое оборудование заменяется новым, более производительным и мощным, изменяется технология и т.д. СЭС промышленного предприятия (от ввода до конечных приемников электроэнергии) должна быть гибкой, допускать постоянное развитие технологий, рост мощности предприятия и изменение производственных условий. Это отличает систему распределения электроэнергии на предприятиях от районных энергосистем, где процесс развития также имеет место, однако места потребления электроэнергии и формы её передачи более стабильны.

Для современных предприятий, особенно машиностроительных, характерна динамичность технологического процесса, связанная с непрерывным введением новых методов обработки, нового оборудования, переналадки его, а также непрерывного изменения и усовершенствования самой модели изделия. Поэтому следует стремиться к созданию предприятия, обладающего достаточной гибкостью, которая позволяет с наименьшими потерями осуществить перестройку производства при изменении программы или модернизации выпускаемых изделий, внедрении новейших технологических процессов и современного оборудования, а также при автоматизации производства.

1. Общая часть

.1 Краткая характеристика производства

Цех серийного производства (МЦСП) предназначен для серийного выпуска продукции для завода тяжелого машиностроения. Он является вспомогательным звеном в цепи промышленного производства завода.

Он содержит станочное отделение, производственные, вспомогательные, бытовые и служебные помещения ЭСН осуществляется от ГПП напряжением 6 и 10 кВ. Количество рабочих смен - 2. Потребители цеха относятся к 1, 2 и 3 категории надежности ЭСН. Грунт в районе цеха - суглинок при температурой +100С. Каркас здания смонтирован из блоков-секций длиной 4 м каждая.

Размеры цеха А х В х Н = 48 х 32 х 8 м.

Все помещения, кроме станочного отделения, двухэтажные высотой 3,5 м.

Перечень ЭО цеха дан в таблице 1. Мощность электропотребления (РЭП) указана для одного электроприемника.

Таблица 1

Перечень ЭО механического цеха серийного производства

№ на плане

Наименование ЭО

РЭП, кВт

Примечание

1…3

Карусельно фрезерный станок

11


1…4

Сварочные аппараты

45

ПВ=60%

5…9

Гальванические ванны

25


10, 11

Вентиляторы

30


12, 13

Продольно-фрезерные станки

24,5


14, 15

Горизонтально-расточные станки

12


16, 24, 25

Агрегатно-расточные станки

10,5


17, 18

Плоскошлифовальные станки

12,5


19…23

Краны консольные поворотные

7,2

ПВ=25%

Токарно-шлифовальный станок

7,5


27…30

Радиально-сверлильные станки

6,5


31, 32

Алмазно-расточные станки

5


9

Вентилятор притяжной

28


35

Кран мостовой

30кВА



.2 Расчет электрических нагрузок цеха

Расчет производится методом упорядоченных диаграмм.

Расчет и выбор компенсирующего устройства.

Для выбора компенсирующего устройства (КУ) необходимо знать:

расчетную реактивную мощность КУ;

тип компенсирующего устройства;

напряжение КУ.

По опыту эксплуатации расчетную реактивную мощность КУ можно определить из соотношения:


исходя из этого можно определить Q1:


где Р1 общая активная нагрузка;- допустимая реактивная нагрузка;- допустимая активная нагрузка;

Компенсацию реактивной мощности по опыту эксплуатации производят до получения значения cosφ=0,92…0,98.

Задавшись cosφ из этого промежутка, определяют tgφ.

По моему примеру cos = 0.5, тогда tgφ=1,7

Из таблицы компенсирующих устройств было выбрано КУ УК2 - 0,415 - 40 - 3УЗ, номинальная мощность 0,415, мощность 40 квар.

По расчетам всего на НН без компенсирующим устройством было получено, что максимальная активная нагрузка равна 228,8 кВт.

Определяются потери:


Результаты расчетов сводятся в таблицу 2:

Таблица 2

Наименование групп приемников и потребителей электроэнергии

Координаты центра электроприемника, м




,кВт

ПВ,%



x

y






1 Сварочные аппараты

9,13

27,5

0,6

0,6

1,33

34,86

S1

2 Сварочные аппараты

11,78

26,8






3 Сварочные аппараты

16

26,8






4 Сварочные аппараты

20,35

26,8






5 Гальванические ванны

33,1

27,2

0,8

0,95

0,33

25

S1

6 Гальванические ванны

27,2






7 Гальванические ванны

40,458

27,2






8 Гальванические ванны

43,7

27,2






9 Гальванические ванны

47

27,2






10 Вентиляторы

42,2

23,2

0,7

0,8

0,75

8

S1

11 Вентиляторы

45,7

23,2






12 Продольно-фрезерные станки

4,5

14,65

0,16

0,5

1,73

18,5

S1

13 Продольно-фрезерные станки

11

14,65






14 Горизонтально-расточные станки

17,4

14,36

0,16

0,5

1,73

12

S1

15 Горизонтально-расточные станки

23,7

14,36






16 Агрегатно-расточные станки

30,2

14,36

0,2

0,6

1,33

10,5

S1

17 Плоскошлифовальные станки

37,4

14,36

0,16

0,5

1,73

12,5

S1

18 Плоскошлифовальные станки

43,7

14,36






19 Краны консольные поворотные

10,7

9,5

0,2

0,5

1,73

3,6

S1

17,47

9,5






21 Краны консольные поворотные

23,6

9,5






22 Краны консольные поворотные

30,3

9,5






23 Краны консольные поворотные

37,2

9,5






24 Агрегатно-расточные станки

3,7

2,9

0,2

0,6

1,33

10,5

S1

25 Агрегатно-расточные станки

10,8

2,9






26 Токарно-шлифовальный станок

18,17

2,9

0,16

0,5

1,73

7,5

S1

27 Радиально-сверлильные станки

22,8

2,9

0,16

0,5

1,73

6,5

S1

28 Радиально-сверлильные станки

27,5

2,9






29 Радиально-сверлильные станки

32

2,9






30 Радиально-сверлильные станки

36,2

2,9






31 Алмазно-расточные станки

40,6

2,9

0,25

0,65

1,17

5

S1

32 Алмазно-расточные станки

45

2,9








1.3 Индустриализация электромонтажных работ

Технология производства монтажных работ - это последовательный и неразрывный комплекс организационно-технических и инженерных мероприятий, обеспечивающих ввод в действие вновь строящихся и реконструируемых объектов. Монтажные работы выполняют специализированные организации на основании договоров с заказчиками - предприятиями и организациями, имеющими бизнес-план, утвержденную и согласованную проектно-сметную документацию и соответствующие инвестиции. Заказчик заключает договор с подрядной организацией - генеральным подрядчиком, который несет полную ответственность за монтаж оборудования в установленные сроки. При необходимости генподрядчик на договорных началах может привлекать к выполнению определенных видов работ специализированные организации, выступающие в роли субподрядных.

Для производства монтажных работ заказчик передает генподрядчику в установленные сроки техническую документацию и сметы на объект в целом или на этапы работ. Если в переданную проектно-сметную документацию заказчик вносит в установленном порядке изменения, то он обязан не позднее чем за 15 дней до начала производства работ дополнительно передать необходимое число экземпляров измененной документации и перечень аннулированных чертежей. Заказчик обязан возместить подрядчику все затраты и убытки, связанные с изменением ранее выданной проектно-сметной документации.

Одним из важнейших направлений технического прогресса в монтажном производстве является индустриализация. Она предусматривает две основные цели:

Перенос максимальных объемов монтажных работ из монтажной зоны на заводы и производственные базы монтажных организаций. Здесь могут быть обеспечены наиболее производительные методы работ с применением совершенных станков и приспособлений.

Параллельно с производством строительных работ готовить электрооборудование, электроконструкции и электропроводки, скомплектованные в укрупненные блоки и узлы.

Индустриализация обеспечивает ускорение темпов производства монтажных работ и снижение их стоимости. Кроме того, массовое заводское производство комплектных крупноблочных устройств и узлов улучшает качество электроустановок по сравнению с монтажом оборудования и устройством проводок на месте монтажа из оборудования и материалов, поставляемых россыпью в монтажную зону.

Применение крупноблочных устройств и монтажных узлов также облегчает эксплуатацию электрохозяйства предприятий. Наконец, крупноблочные комплектные устройства сокращают объем строительных работ, так как они во многих случаях могут быть установлены непосредственно в цехах, без постройки специальных помещений.

Заводы электротехнической промышленности и специализированных электромонтажных организаций выпускают в настоящее время широкий ассортимент крупноблочных комплектных устройств: комплектные распределительные устройства (КРУ), комплектные трансформаторные подстанции (КТП), комплектные преобразовательные подстанции (КПП), комплектные выпрямительные подстанции на полупроводниках (КВПП), комплектные конденсаторные установки (ККУ), комплектные щиты управления механизмами с магнитными станциями, скомплектованными с сопротивлениями в стальных шкафах, распределительные силовые и осветительные пункты, распределительные и магистральные токопроводы и пр.

Если такие типовые крупноблочные устройства, как КРУ, КТП, щиты и пр., могут быть предусмотрены в проекте, то укрупнение узлов силовых и осветительных сетей применительно к специфике данного производства осуществляется путем разработки чертежей группами подготовки производства и выполняется в монтажных организациях. В последнее время крупные проектные институты разрабатывают типовые монтажные узлы различных видов электропроводок с применением заводских монтажных изделий. Выпущено большое количество таких альбомов, которые не только сокращают объем проектных работ, но и значительно облегчают работу групп подготовки производства и предварительную сборку укрупненных монтажных узлов в мастерских монтажных организаций.

Одним из основных принципов внедрения индустриальных методов работ является организация монтажа в две стадии. Первая стадия предусматривает производство всех подготовительных и заготовительных работ. На этой стадии внутри сооружений и зданий выполняют монтаж опорных конструкций для установки электрооборудования, прокладки кабелей, проводов, шинопроводов, троллеев, монтаж стальных и пластмассовых труб для электропроводок, прокладку проводов скрытой проводки до штукатурных и отделочных работ, а вне зданий и сооружений - монтаж кабельных сетей и сетей заземления. Перечисленные работы выполняют в сооружениях и зданиях по совмещенному графику - совместно с проведением основных строительных работ. На этой же стадии в мастерских заготовляют узлы и пакеты силовых и осветительных электропроводок; собирают блоки электрооборудования, производят предварительную регулировку электрооборудования, проверяют и испытывают аппаратуру и машины на стендах и т.п. На второй стадии монтируют электрооборудование (укрупненные узлы и блоки), прокладывают кабели и провода (узлы и пакеты), шинопроводы и подключают кабели и провода к выводам электрооборудования. В электротехнических помещениях (ЗРУ, машинных залах, помещениях распределительных щитов, постов и станций управления, камерах трансформаторов, кабельных полуэтажах, туннелях и каналах) работы второй стадии выполняют после завершения комплекса общестроительных, отделочных работ и монтажа санитарно-технических устройств. В других (производственных не электротехнических) помещениях и зонах, в том числе пролетах цехов, ЭМР второй стадии выполняют после установки технологического оборудования, монтажа технологических, санитарно-технических трубопроводов и вентиляционных коробов. Электромонтажные работы второй стадии, выполняемые одновременно с работами смежных специализированных организаций, осуществляют в последовательности, установленной сводным сетевым графиком, в котором отражены вопросы техники безопасности при совместном выполнении работ разными организациями. Эти меры предусматривают защитные устройства при необходимости одновременного производства работ на разных отметках в одном помещении.

2. Специальная часть


Провода воздушных линий должны обладать достаточной механической прочностью.

По конструкции провода могут быть одно проволочные или многопроволочные. Одно проволочные провода состоят из одной медной или стальной проволоки и применяются исключительно для линий напряжением до 1000В.

Многопроволочные провода, изготовляемые из меди, алюминия и его сплавов, стали и биметалла, состоят из нескольких скрученных проволок. Эти провода получили широкое распространение благодаря большей механической прочности и гибкости по сравнению с одно проволочными тех же сечений.

Медные провода вследствие дефицитности и дороговизны меди на воздушных линиях не используют. Широко применяются на воздушных линиях алюминиевые многопроволочные провода марки А. Стальные провода для предохранения от атмосферных воздействий оцинковывают. Одножильные стальные провода имеют марку ПСО, многопроволочные - ПС или ПМС, если материалом провода служит медистая сталь. Сталеалюминевые провода марок АС и АСУ (усиленные) состоят из нескольких скрученных стальных проволок, поверх которых расположены алюминиевые проволоки, и обладают значительно большей механической прочностью по сравнению с алюминиевыми.

.2 Монтаж проводов воздушных линий

Воздушные линии электропередачи свыше 1 кВ - устройство для передачи электроэнергии по проводам, расположенным на открытом воздухе и прикрепленным при помощи изолирующих конструкций и арматуры к опорам, несущим конструкциям, кронштейнам и стойкам на инженерных сооружениях (мостах, путепроводах и т.п.).

Провода и защитные тросы через изоляторы или гирлянды изоляторов подвешивают на опорах: промежуточных, анкерных, угловых, концевых, транспозиционных, усиленных (противоветровых и опор больших переходов). Их выполняют свободностоящими или с оттяжками- деревянными, железобетонными или металлическими, одно цепными, двух цепными и т.п. Перед монтажом оформляются документы на отчуждение и отвод земельных участков, снос сооружений, а также на право потрав посевов и порубки леса. Выполняется производственный пикетаж, т.е. разбивка центров установки опор на месте монтажа ВЛ. Комплекс работ по сооружению ВЛ включает в себя подготовительные, строительные, монтажные и пусковые работы, а также сдачу линии в эксплуатацию.

Работы непосредственно на трассе начинают с приемки от проектной организации и заказчика производственного пикетажа трассы ВЛ. Затем прорубают просеку (если ВЛ или отдельные ее участки проходят по лесной местности). Ширину просеки между кронами деревьев в лесных массивах и зеленых насаждениях принимают в зависимости от высоты деревьев, напряжения ВЛ, рельефа местности. Минимальная ширина просеки определяется расстоянием от проводов при их наибольшем отклонении до кроны деревьев. Это расстояние должно составлять не менее 2 м для ВЛ напряжением до 20 кВ и 3 м - для ВЛ напряжением 35-110 кВ.

Все деревья, находящиеся внутри просеки, вырубают так, чтобы высота пня была не более 1/3 его диаметра. Для проезда транспорта и механизмов по середине просеки на ширине не менее 2,5 м деревья вырубают вровень с землей. Зимой при рубке леса снег вокруг каждого дерева расчищают до уровня земли. Древесину, получаемую при рубке деревьев, сортируют, разделывают и укладывают в штабеля вдоль просеки; сучья складывают в кучи для вывоза.

Основные СМР включают в себя изготовление деревянных опор, развозку опор или их деталей на трассе, разбивку мест рытья котлованов под опоры, рытье котлованов, сборку и установку опор, развозку проводов и других материалов по трассе, монтаж проводов и защитного заземления, фазировку и нумерацию опор.

При монтажных работах по ВЛ выполняют следующие основные операции:

раскатку проводов и тросов, включая их соединение, и подъем на опоры поддерживающих гирлянд. Установку штыревых изоляторов на опорах производят, как правило, в процессе сборки опор, т.е. до начала монтажных работ;

натяжку проводов и тросов, включая визирование, и регулировку стрел провеса, крепление проводов и тросов к опорам анкерного типа;

крепление (перекладку из раскаточных роликов в зажимы) проводов и тросов на промежуточных опорах.

Многолетняя практика строительства ВЛ выявила наиболее целесообразную организацию ведения работ, получившую название поточного метода. Каждый вид работ поручают специализированной бригаде. Так, если в первом анкерном пролете, где начинается монтаж, выполняют крепление проводов на промежуточных опорах, то во втором производят натяжку проводов и тросов, в третьем - их раскатку и т.д.

После завершения всех подготовительных работ и осмотра подготовленной к монтажу трассы приступают непосредственно к раскатке проводов. Как правило, раскатку выполняют двумя способами: с неподвижных раскаточных устройств, установленных в начале монтируемого участка, или с помощью подвижных раскаточных устройств (тележек, саней, кабельных транспортеров и т.п.), перемещаемых по трассе тяговым механизмом.

2.3 Выбор труб для прокладки осветлений

Электромонтажные организации используют индустриальный метод монтажа стальных труб. Заготовку труб, их обработку, очистку, покраску, комплектование в отдельные узлы и пакеты выполняют в МЭЗ.

На месте монтажа трубы укладывают готовыми узлами, соединяют их между собой и затягивают в них провода. Заготовка трубных блоков в МЭЗ предусматривает использование нормализованных элементов в виде углов со стандартными радиусами изгиба. Трубы заготавливают в мастерских либо по эскизам, либо по макетам, имитирующим расположение электроприемников, к которым подводят трубы с проводами. Соединение муфтой на резьбе выполняют с уплотнением паклей на сурике или специальной фторопластовой лентой марки ФУМ. Такое соединение обязательно для обыкновенных и легких водо-газопроводных труб во взрывоопасных зонах, сырых, жарких помещениях, а также в помещениях, содержащих пары и газы, которые оказывают вредное воздействие на изоляцию проводов. В сухих непыльных помещениях допустимо соединение стальных труб гильзами или манжетами, без уплотнения.

Стальные трубы при открытой прокладке крепят скобами и хомутами. Запрещено крепление стальных труб всех типов к металлоконструкциям с помощью электрической и газовой сварки. При прокладке стальных труб должны быть выдержаны определенные расстояния между точками их крепления: не более 2,5 м для труб с условным проходом 15-20 мм, 3 м- с проходом 25-32 мм, не более 4 м - с проходом 40-80 мм, не более 6 м - с проходом 100 мм. Допустимые расстояния между протяжными коробками зависят от числа изгибов трубной линии: при одном - не более 50 м; при двух - не более 40 м; при трех - не более 20 м.

Выбор диаметра стальной трубы для размещения в ней проводов зависит от их количества и диаметра проводов.

Чтобы избежать повреждения изоляции проводов при протяжке, на концах стальных труб устанавливают пластмассовые втулки. Для облегчения протяжки проводов в трубы вдувают тальк и предварительно затягивают стальную проволоку диаметром 1,5-3,5 мм, к концу которой прикрепляют тафтяную ленту с шариком. Затем в трубу сжатым воздухом небольшого передвижного компрессора при избыточном давлении 200-250 кПа вдувают шарик, с помощью тафтяной ленты втягивают проволоку и за ней провод или кабель, прикрепленные к проволоке.

В вертикально проложенные трубы провода рекомендуется затягивать снизу вверх. Соединения и ответвления проводов, проложенных в трубах, выполняют в коробках и ящиках.

.4 Расчет освещения

В курсовом проекте необходимо выбрать питающий силовой трансформатор для заданного оборудования. С учетом, что он будет питать и освещение. Для того, чтобы рассчитать освещение.

Выбирают минимальную освещенность для внутреннего или наружного освещения. В зависимости от размера объекта различения (крупный, малый), контраста объекта с фоном и отражающие свойства фона (рабочей поверхности Pп потолка, Pc стен, Pp пол). Освещенность энергии измеряется в ЛК (люкс) нормирующая освещенность в справочниках связывают с удельной плотностью нагрузки освещения или удельная мощность общего равномерного освещения W [Вт / м2].

Выбирают тип светильника и тип лампы освещения.

Намечают на плане план размещения светильников.

Лампы ДРЛ и ДРИ размещают в помещении на высоте не ниже 6 метров из-за стробоскопического эффекта (мерцания) и в цехах их располагают так, чтобы они были запитаны с разных фаз (желательно по 3 штуки).

Разновидности схем, питающих осветительные сети.

1.       Радиальные


2.       Магистральные


.        Радиально-магистральные


.4.1 Расположение и выбор светильников

Выбор расположения светильников общего освещения является одним из основных вопросов, решаемых при устройстве осветительных установок, влияющим на экономичность последних, качество освещения и удобство эксплуатации.

На рис. 1 представлены типичные случаи расположения светильников, где приняты следующие обозначения, которыми в дальнейшем будем пользоваться без пояснений: и - высота помещения, а при ферменном покрытии - высота до затяжки ферм;- расстояние светильников от перекрытия или затяжки ферм;р - высота рабочей поверхности над полом;п - высота установки светильников над полом;

= hп - hp = и - hc - hр - расчетная высота;

- расстояние между светильниками или их рядами;, LB - расстояния между светильниками в направлении вдоль и поперек помещения, если они неодинаковы;- расстояние крайних рядов светильников от стены; все размеры указываются в метрах.

Из названных размеров и и hр являются заданными; hс, кроме случаев установки светильников на стенах, принимается в пределах от 0 при установке на потолке или заподлицо с фермами и обычно до 1,5 м. Большие значения hc , как правило, не рекомендуются, и если они принимаются, то должны быть предусмотрены меры против раскачивания светильников потоками воздуха (необходим жесткий подвес). Расстояние l рекомендуется принимать около 1/2L при наличии у стен проходов и около 1/3 L в область остальных случаях. При безусловной необходимости обеспечить у стен такую же освещенность, как по всей площади, расстояние l может быть уменьшено почти до нуля путем установки светильников на кронштейнах, укрепленных на стенах. На рис. 1, б показан "классический" случай равномерного размещения светильников с лампами накаливания или лампами ДРЛ по вершинам квадратных полей. По условиям размещения светильников в конкретных помещениях часто приходится принимать поля прямоугольной формы, причем в этом случае желательно, чтобы отношение LA:LB не превышало 1,5.

Рис. 1. Схемы размещения светильников: а - в разрезе; б - ж - в плане 1 - угловое поле; 2 - одно из центральных полей; 3 - оси ферм; 4 - оси мостиков обслуживания; 5 - стена с окнами

В помещениях с ферменным перекрытием (рис. 1, в) в большинстве случаев светильники могут устанавливаться только на фермах. В этом случае допустимы и увеличенные значения LA:LB, так как по сетевым и эксплуатационным соображениям следует по возможности сокращать число продольных рядов светильников. Особенно это важно при наличии специальных мостиков для обслуживания светильников, вдоль которых светильники размещаются, как правило, учащенно (рис. 1, г). В том же случае нередко светильники располагаются блоками из 2-4 шт., если это необходимо для снижения коэффициента пульсации освещенности или если наибольшая возможная мощность лампы меньше требуемой по расчету.

На рис. 1, д показано так называемое "шахматное" расположение светильников, в данном случае по вершинам квадратных, но диагонально расположенных полей. Теоретически оптимальным является шахматное расположение по вершинам ромбов с острым углом 60°. В узких помещениях иногда неизбежно однорядное расположение светильников, но в помещениях, где производятся работы, его следует избегать, так как при нем (и при светильниках прямого света) создаются глубокие тени и не всегда обеспечивается удачное направление света.

Светильники с трубчатыми, т.е. в основном люминесцентными лампами, преимущественно размещаются рядами, желательно параллельными стене с окнами (рис. 1, е) или длинной стороне узкого помещения (рис. 1, ж). Расположение светильников по схеме, приведенной на рис. 1, е, иногда оспаривается архитекторами по эстетическим соображениям как психологически подчеркивающее удлиненность помещения. Но в помещениях, предназначенных для работы, следует, как правило, настаивать на таком расположении: направление света в этом случае приближается к направлению естественного света, облегчается возможность включения в сумерки только освещения в глубине помещения, при обычной ориентации рабочих мест так, что естественный свет падает на них слева, уменьшается прямая и отраженная блескость и, наконец, оказывается меньшей протяженность групповой сети.

В схемах на рис. 1, е и ж ряды предпочтительно выполнять непрерывными, т. е. составлять из стыкованных между собою светильников. Ряды с разрывами допускаются, если это необходимо согласно расчету, но их недостатком является худший внешний вид и возможность возникновения веерных теней. Светильники на 4-10 люминесцентных ламп в административно-бытовых и общественных зданиях располагаются по схеме рис. 1, б.

.4.2 Расчет сети освещения по току нагрузки по потери напряжения

Понижение напряжения у потребителя по сравнению с нормальным сказывается на работе токоприемника, будь то силовая или осветительная нагрузка.

Поэтому при расчете любой линии электропередачи отклонения напряжений не должны превышать допустимых норм, сети, выбранные по току нагрузки и рассчитанные на нагрев, как правило, проверяют по потере напряжения.

Потерей напряжения ΔU называют разность напряжений в начале и конце линии (участка линии). ΔU принято определять в относительных единицах - по отношению к номинальному напряжению.

Аналитически потеря напряжения определена формулой:


где P - активная мощность, кВт, Q - реактивная мощность, квар, ro - активное сопротивление линии, Ом/км, xo - индуктивное сопротивление линии, Ом/км, l - длина линии, км, Uном - номинальное напряжение, кВ.

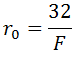
Значения активного и индуктивного сопротивлений (Ом/км) для воздушных линий, выполненных проводом марки А-16 А-120 даны в справочных таблицах. Активное сопротивление 1 км алюминиевых (марки А) и сталеалюминевых (марки АС) проводников можно определить также по формуле:


где F - поперечное сечение алюминиевого провода или сечение алюминиевой части провода АС, мм2 (проводимость стальной части провода АС не учитывают).

Согласно ПУЭ ("Правилам устройства электроустановок"), для силовых сетей отклонение напряжения от нормального должно составлять не более ± 5%, для сетей электрического освещения промышленных предприятий и общественных зданий - от +5 до - 2,5%, для сетей электрического освещения жилых зданий и наружного освещения ±5%. При расчете сетей исходят из допустимой потери напряжений.

Учитывая опыт проектирования и эксплуатации электрических сетей, принимают следующие допустимые величины потери напряжений: для низкого напряжения - от шин трансформаторного помещения до наиболее удаленного потребителя - 6%, причем эта потеря распределяется примерно следующим образом: от станции или понизительной трансформаторной подстанции и до ввода в помещение в зависимости от плотности нагрузки - от 3,5 до 5%, от ввода до наиболее удаленного потребителя - от 1 до 2,5%, для сетей высокого напряжения при нормальном режиме работы в кабельных сетях - 6%, в воздушных- 8%, при аварийном режиме сети в кабельных сетях - 10% и в воздушных- 12%.

Считают, что трехфазные трех проводные линии напряжением 6-10 кВ работают с равномерной нагрузкой, т. е что каждая из фаз такой линии нагружена равномерно. В сетях низкого напряжения из-за осветительной нагрузки добиться равномерного ее распределения между фазами бывает трудно, поэтому там чаще всего применяют 4-проводную систему трехфазного тока 380/220 В. При данной системе электродвигатели присоединяют к линейным проводам, а освещение распределяется между линейными и нулевым проводами. Таким путем уравнивают нагрузку на все три фазы.

При расчете можно пользоваться как заданными мощностями, так и величинами токов, которые соответствуют этим мощностям. В линиях, которые имеют протяженность в несколько километров, что, в частности, относится к линиям напряжением 6-10 кВ, приходится учитывать влияние индуктивного сопротивления провода на потерю напряжения в линии.  

Для подсчетов индуктивное сопротивление медных и алюминиевых проводов можно принять равным 0,32-0,44 Ом/км, причем меньшее значение следует брать при малых расстояниях между проводами (500-600 мм) и сечениях провода выше 95 мм2, а большее - при расстояниях 1000 мм и выше и сечениях 10-25 мм2.

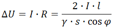
Потеря напряжения в каждом проводе трехфазной линии с учетом индуктивного сопротивления проводов подсчитывается по формуле


где первый член в правой части представляет собой активную, а второй - реактивную составляющую потери напряжения.

Порядок расчета линии электропередачи на потерю напряжения с проводами из цветных металлов с учетом индуктивного сопротивления проводов следующий:

Задаемся средним значением индуктивного сопротивления для алюминиевого или сталеалюминевого провода в 0,35 Ом/км.

Рассчитываем активную и реактивную нагрузки P, Q.

Подсчитываем реактивную (индуктивную) потерю напряжения


Допустимая активная потеря напряжения определяется как разность между заданной потерей линейного напряжения и реактивной:


Определяем сечение провода s, мм2


где γ - величина, обратная удельному сопротивлению (γ = 1/ro - удельная проводимость).

Подбираем ближайшее стандартное значение s и находим для него по справочной таблице активное и индуктивное сопротивления на 1 км линии (ro, хо).

Подсчитываем уточненную величину потери напряжения по формуле


Полученная величина не должна быть больше допустимой потери напряжения. Если же она оказалась больше допустимой, то придется взять провод большего (следующего) сечения и произвести расчет повторно.

Для линий постоянного тока индуктивное сопротивление отсутствует и общие формулы, приведенные выше, упрощаются.

Если нагрузка чисто активная (освещение, нагревательные приборы и т.п.), то расчет ничем не отличается от приведенного расчета линии постоянного тока. Если же нагрузка смешанная, т. е. коэффициент мощности отличается от единицы, то расчетные формулы принимают вид:


потери напряжения в линии


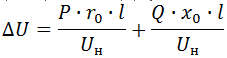
а необходимое сечение провода линии


Для распределительной сети 0,4 кВ, питающей технологические линии и другие электро приемники лесопромышленных или деревообрабатывающих предприятий, составляют ее расчетную схему и расчет потери напряжения ведут по отдельным участкам. Для удобства расчетов в таких случаях пользуются специальными таблицами. Приведем пример такой таблицы, где приведены потери напряжения в трехфазной ВЛ с алюминиевыми проводами напряжением 0,4 кВ.

Потери напряжения определены следующей формулой:


где ΔU-потеря напряжения, В,

ΔUтабл - значение относительных потерь, % на 1 кВт км,

Ма - произведение передаваемой мощности Р (кВт) на длину линии, кВт км.

.5 Монтаж осветительной сети

Осветительные сети помещений имеют определённые требования. Электромонтаж этого типа сети требует соблюдения определённых условий и учёта различий сетей. Различия для них, в основном, определяется по степени опасности для пользователей. И различие состоит в напряжении, которое планируется использовать.        

Осветительные сети подразделяются на:

Сети с напряжением в 380 V

Сети с напряжением в 220 V

Сети с напряжением в 42 V

Сети с напряжением в 12 V

Сети, с напряжением в 380 V, (обязательно с заземлённой нейтралью!) применяются в промышленных помещениях и при электромонтаже уличных осветительных систем.

Сети, с напряжением в 220 V, с изолированной нейтралью, применяются во всех жилых помещениях, офисах и в ряде промышленных помещений. С применением как газоразрядных ламп (лампы дневного света), так и ламп накаливания.

Сети, с напряжением в 42V, применяются во влажных помещениях, в которых есть повышенная опасность поражения электрическим током.

Сети, с напряжением в 12 V, применяются в особо опасных помещениях, влажность в которых сильно отличается от обычного уровня.

Электромонтаж осветительной сети не менее требователен к безопасности, несмотря на то, что её монтаж намного легче чес монтаж силовой сети. Для монтажа осветительной сети помещения можно применять кабели с сечением в 1,0-1,5 мм/кв. Но это только в том случае, если планируется установить небольшое количество осветительных приборов малой мощности. Для электромонтажа осветительной сети большой мощности, необходимо учитывать суммарную мощность всех светильников с запасом в 15 процентов. При расчёте осветительной сети любого помещения предполагается одновременное включение всех приборов и сеть должна выдерживать нагрузку.

Снабжение электрической энергией осветительных сетей помещений происходит от общих трансформаторных подстанций. Применение отдельного трансформатора в бытовых условиях не встречается. Отдельные преобразователи напряжения (трансформаторы) для осветительных сетей применяются, в основном на промышленных предприятиях, где используются энергоёмкие приборы, станки, сварочные агрегаты. Это обусловлено тем, что в момент пуска, мощные моторы потребляют значительную часть ресурса сети, а сварочные аппараты во время всего горения дуги. Это приводит к резкому понижению напряжения сети и, так называемым, скачкам. Качество напряжения у ламп падает, и освещение становится неудовлетворительным. В таком случае от щита распределения монтируется отвод на отдельный трансформатор, который преобразовывает напряжение для освещения отдельно от силовой линии. В жилых помещениях осветительная сеть имеет общий источник с силовой, так как применение энергоёмких приборов в быту не предусмотрено.

Сети, с напряжением в 12 и 42 V, применяются в основном в душевых комнатах, банях и других помещениях, водных тоннелях, где из-за повышенной влажности поражение электрическим током опасней всего.

.6 Расчет заземления

В сетях напряжением до 1000 В, работающих с изолированной нейтралью, а также в сетях выше 1 кВ, обязательной защитной мерой является заземление металлических нетоковедущих частей, которые могут оказаться под напряжением при пробое изоляции, такое заземление называется защитным.

В сетях напряжением до 1000 В заземление нейтралей источника питания называется рабочим, так как с землей соединяются токоведущие части, находящиеся под напряжением в нормальном режиме. Рабочее заземление обеспечивает возможность выполнения трехфазных четырех проводных сетей (с глухозаземленной нейтралью). Сопротивление глухозаземляющих устройств (рабочего напряжения защитного заземления) нормируется в ПУЭ. Так при линейном напряжении 380 В сопротивление нейтрали трансформатора в трехфазных четырех проводных сетях должно быть не больше 4 Ом. В сетях с изолированной нейтралью напряжением до 1000 В при линейном напряжении 380.

В сопротивление заземляющего устройства не должно превышать 4 Ом.

з<=125/Iз не > 4 Ом.

Допускается сопротивление заземляющего устройства в таких сетях до 10 Ом если мощность трансформатора или трансформаторов, работающих параллельно, не превышает 100 кВА. В сетях напряжением больше 1кВ с изолированной нейтралью сопротивление заземляющего устройства с учетом сопротивления естественного заземлителя должно быть не больше 10 Ом.

з <= 250/Iз.

з - расчетный ток замыкания на землю или измерений тока в режиме короткого замыкания на землю.з берется минимальным из всех замеров и измеряется в то время года, при котором сопротивление будет иметь максимальное значение.

Для обеспечения надежной связи с землей в конструкции заземляющих устройств используются вертикальные электроды из круглой, прямоугольной, угловой стали, а также применяется сталецинковая. Вид заземлителя, то есть профиль поперечного сечения выбирается в зависимости от приспособлений, которые располагаются в организации. Длина заземлителя должна быть не меньше 3-5 м, расстояние между вертикальными электродами должно быть не менее их длины.

Для установки вертикальных электродов сначала копают ров на глубине 0,7 м и вкручивают вертикальные электроды так, чтобы верхний конец оставался под дном рва 0,2 м. После этого вертикальные электроды соединяют между собой горизонтальными электродами (заземлителями). Горизонтальные электроды соединяют с магистралью заземления внутри здания не менее чем в двух местах и тем же профилем которым выполнен горизонтальный электрод.

Наружное заземляющее устройства бывают контурные и выносные.

Контурные размещаются вокруг производственного здания. Для здания заземления часто размещают в котловане вдоль фундамента при его установке.

Выносные заземляющие устройства могут выполняться в ряд или по контуру.

Количество вертикальных электродов определяется при расчете заземляющего устройства так, чтобы расчетное сопротивление заземлителя было меньше нормируемого. При проектировании электроустановок необходимо в первую очередь рассматривать возможность использование естественных заземлителей. Внутри здания прокладываются магистральные заземления, от которых выполняют ответвления к отдельным электроприемникам и электрооборудованию сетей.

.7 Монтаж устройств защитного заземления

Защитное заземление - это преднамеренное соединение с землей металлических частей электроустановки, не находящихся под напряжением (рукояток приводов разъединителей, кожухов трансформаторов, фланцев опорных изоляторов, корпусов измерительных трансформаторов и т.п.).

Монтаж заземляющих устройств состоит из следующих операций: установки заземлителей, прокладки заземляющих проводников, соединения заземляющих проводников друг с другом присоединения заземляющих проводников к заземлителям и электрооборудованию.

Вертикальные заземлители из угловой стали и отбракованных труб погружают в грунт забивкой или вдавливанием, из круглой стали - ввертыванием или вдавливанием. Эти работы выполняют с помощью механизмов и приспособлений, например: копра (забивка в грунт), приспособления к сверлилке (ввертывание в грунт стержневых электродов), механизма ПЗД-12 (ввертывание в грунт электродов заземления).

Наиболее распространены электрозаглубители, имеющие стандартную электросверлилку и редуктор, понижающий частоту вращения ниже 100 об/мин и соответственно увеличивающий крутящий момент на ввертываемом электроде. При пользовании этими заглубителями к концу электрода приваривают наконечник-забурник, обеспечивающий рыхление грунта и облегчающий погружение электрода. Выпускаемый промышленностью наконечник представляет собой заостренную на конце и изогнутую по винтовой линии стальную полосу шириной 16 мм. В монтажной практике применяются и другие типы наконечников для электродов.

Вертикальные заземлители должны закладываться на глубину 0,5-0,6 м от уровня планировочной отметки земли и выступать от дна траншеи на 0,1-0,2 м. Расстояние между электродами 2,5-3 м. Горизонтальные заземлители и соединительные полосы между вертикальными заземлителями укладывают в траншеи глубиной 0,6-0,7 м от уровня планировочной отметки земли.

Все соединения в цепях заземлителей выполняют сваркой внахлестку; места сварки покрывают битумом во избежание коррозии. Траншею роют обычно шириной 0,5 и глубиной 0,7 м. Устройство внешнего заземляющего контура и прокладку внутренней заземляющей сети производят по рабочим чертежам проекта электроустановки.

3. Принципиальная схема управления

.1 Монтаж металлообрабатывающих станков

Ниже показан универсальный плоскошлифовальный станок модели ЗГ71. На станине (основании) станка в поперечном направлении перемещается крестовый стол. Верхняя часть стола от гидравлического цилиндра, расположенного между его направляющими, перемещается в продольном направлении. В нижней части стола расположены механизмы продольного и поперечного перемещения и реверсирования стола, а также распределительная и гидравлическая панели. С задней стороны станка установлена стойка, по вертикальным направляющим которой перемещается шлифовальная бабка.

Главное движение резания или вращательное движение шпинделя шлифовального круга осуществляется от электродвигателя через ременную передачу и имеет частоту вращения 2700 об/мин. При работе новым шлифовальным кругом диаметром 250 мм скорость главного движения резания

м/сек

При работе наиболее изношенным шлифовальным кругом диаметром 150 мм минимальная скорость главного движения резания

м/сек.

Следовательно, по мере износа шлифовального круга скорость главного движения резания уменьшается.

-лимб ручной поперечной микрометрической подачи стола;

-маховичок ручного поперечного движения подачи стола;

-лимб установки величины автоматической поперечной скорости подачи стола;

-маховичок продольного ручного перемещения;

-рукоятка установки величины автоматической вертикальной подачи;

-маховичок ручного вертикального движения подачи;

-предохранительный кожух шлифовального круга;

-рукоятка ручного продольного реверсирования стола;

-рукоятка скорости движения стола;

-рукоятки "Пуск стола" и "Разгрузка гидропривода";

-кнопка включения и реверсирования поперечного движения подачи;

-кнопка выключения "Все стоп";

-барабанный переключатель ускоренного перемещения шлифовальной головки;

-кнопка "Стоп гидропривода";

-кнопка "Пуск гидропривода";

-переключатель режима работы "С плитой" и "Без плиты";

-сигнальная лампочка "Станок включен";

-переключатель освещения;

-кнопка-переключатель магнитной плиты;

-кнопка "Пуск шпинделя"

Заключение

В данном курсовом проекте был рассмотрен расчет сети электроснабжения на примере ЭСН и ЭО механического цеха тяжелого машиностроения. Были рассмотрены основные вопросы электрического снабжения.

Для правильного расчета необходимо было определить назначение проектируемого объекта, характер его нагрузки, количество электроприемников и их категория для правильного выбора количества трансформаторов на ЦТП, охарактеризовать помещение по категориям безопасности.

Также была рассмотрена система электрического освещения. Вся осветительная система запитана от щита ЩО, который получает питание от ЦТП.

Была построена картограмма нагрузок и определен центр нагрузок, характеризующийся тем, что при максимальном приближении ЦТП к нему нагрузки будут наименьшими.

Все рассчитанные параметры системы электроснабжения удовлетворяют всем требованиям, поэтому система может считаться пригодной для применения на производстве с высокой гибкостью, экономичностью и надежностью.

Список литературы

1. Липкин Б.Ю. Электроснабжение промышленный предприятий и установок. - М.: Высшая школа, 1990

. Коновалова Л.Л. Электросбережение промышленных предприятий и установок. - М.: Энергоатомиздат, 1989

. Сибикин Ю.Д. Электроснабжение промышленных и гражданских зданий. - М.: Издательский центр "Академия", 2006

. Справочник по электроснабжению и электрооборудованию. Под ред. Фёдорова А.А. Том 1 - М.: Энергоатомиздат, 1986

. Справочник по электроснабжению и электрооборудованию. Под ред. Фёдорова А.А. Том 2 - М.: Энергоатомиздат, 1987

. Конюхова Е.А.. Электроснабжение объектов. - М.: Мастерство, 2001

. Справочник по проектированию электрических сетей. Под ред. Д.Л. Файбисовича. М: Издательство НЦ ЭНАС, 2005 - 320 с. ил.

. ГОСТ 14209-97 "Руководство по нагрузке силовых масляных трансформаторов".

. Справочник по проектированию электроснабжения. Под ред. Ю.Г. Барыбина и др. М.: Энергоатомиздат, 1990 г.

. Кудрин Б.И. Электроснабжение промышленных предприятий: Учебник для вузов. - М.: Интермет Инжиниринг, 2005. - 672 с. ил.

. Правила устройства электроустановок. Все действующие разделы шестого и седьмого изданий с изменениями и дополнениями по состоянию на 1 марта 2007 г. - М.: КНОРУС, 2007. - 488 с. ил.

. СН-357-77 "Инструкция по проектированию силового и осветительного электрооборудования промышленных предприятий"

. http://www.proelectro.ru - Электротехнический портал

. http://rustorg.net/Company/elkom.ru - ООО Элком

. ГОСТ 12965-85 "Трансформаторы силовые масляные общего назначения классов напряжения 110 и 150 кВ"

. Шабад М.А. Расчеты релейной защиты и автоматики распределительных сетей. - 3-е изд., перераб. и доп. - Л.: Энергоатомиздат. Ленингр. отд-ние, 1985. - 296 с., ил.

. Андреев В.А. Релейная защита и автоматика систем электроснабжения: Учебник для вузов. - 5-е изд., стер.- М.: Высш. шк., 2007. - 639 с. ил.

. Руководящие указания по релейной защите. Выпуск 13А.

. ГОСТ 13109-97 "Электрическая энергия. Совместимость технических средств электромагнитная. Нормы качества электрической энергии в системах электроснабжения общего назначения"   

. Епанешников М.М. Электрическое освещение / М.М. Епанешников - М., Энергия, 1973, - 352 с.

. СНиП 23-05-95 ПРИНЯТЫ И ВВЕДЕНЫ В ДЕЙСТВИЕ постановлением Минстроя России от 2 августа 1995 г. №18-78 в качестве строительных норм и правил Российской Федерации взамен СНиП II-4-79.; 36 стр.

Похожие работы на - Расчет сети электроснабжения механического цеха тяжелого машиностроения

 

Не нашли материал для своей работы?
Поможем написать уникальную работу
Без плагиата!
Без нейросетей!