Поверочный тепловой расчет котлоагрегата

  • Вид работы:
    Дипломная (ВКР)
  • Предмет:
    Физика
  • Язык:
    Русский
    ,
    Формат файла:
    MS Word
    1,16 Мб
  • Опубликовано:
    2015-06-13
Вы можете узнать стоимость помощи в написании студенческой работы.
Помощь в написании работы, которую точно примут!

Поверочный тепловой расчет котлоагрегата

Содержание

Введение

1. Краткое описание котлоагрегата до перевода на другой вид топлива

2. Краткое описание принятых к установке горелок

3. Обоснование выбранной температуры уходящих газов

. Выбор и описание принятых к установке хвостовых поверхностей нагрева

. Описание конструктивных мероприятий необходимых при переводе котла на другой вид топлива

. Определение конструктивных характеристик котлоагрегата

. Расчет объемов воздуха и продуктов сгорания при сжигании двух видов топлива

8. Расчетный тепловой баланс и расход топлива

9. Расчет топок, работающих на разных видах топлива

. Расчет конвективных газоходов при сжигании разных видов топлива

. Расчет хвостовых поверхностей нагрева при сжигании разных видов топлива

Заключение

Список источников

Приложение

Введение

Поверочный тепловой расчет выполняют для реально существующего котлоагрегата с целью выявления его тепловых характеристик при различных нагрузках, а также при переводе агрегата на другой вид топлива. Для поверочного расчета котлоагрегата нужно знать его производительность, давление и температуру перегретого пара и питательной воды. При этом известны все геометрические характеристики поверхностей нагрева и конструкция котлоагрегата в целом. Особенность поверочного расчета в том, что неизвестна температура уходящих газов и горячего воздуха, а следовательно, потеря тепла и КПД котлоагрегата. Основным методом, поверочного расчета является метод последовательных приближений при расчете отдельных поверхностей нагрева и метод параллельных расчетов при значительном несовпадении определенной величины уходящих газов по сравнению с принятым ее значением.

Котельной установкой называют совокупность устройств и механизмов предназначенных для производства водяного пара или приготовления горячей воды. Водяной пар используют для привода в движение паровых двигателей, для нужд промышленности и сельского хозяйства и отопления помещения. Горячую воду предназначают для отопления производственных, общественных и жилых зданий, для коммунально-бытовых нужд населения.

По роду производимого теплоносителя различают установки с паровыми и водогрейными котлами. По назначению паровые котельные агрегаты делят на промышленные, устанавливаемые в производственных и отопительных котельные, которые устанавливают в котельных тепловых электрических станций. По типу паровые котлы можно разделить на вертикально-цилиндрические, вертикально-водотрубные с развитой испарительной поверхностью нагрева и экранные.

1. Краткое описание котлоагрегата до перевода на другой вид топлива

Котёл ДЕ-6,5-14ГМ-О паровой котёл, основными элементами которого являются верхний и нижний барабаны, топка, образованная экранированными стенками, с горелкой и пучок вертикальных труб между барабанами. Котел паровой вертикально-водотрубный с естественной циркуляцией - для выработки насыщенного или слабоперегретого пара t=194°C. Парамерты топлива: газ, мазут.

Во всех типоразмерах котлов внутренний диаметр верхнего и нижнего барабанов составляет 1000 мм. Длина цилиндрической части барабана - 2250 мм.

Трубы перегородки и правого бокового экрана, образующего также под и потолок топочной камеры, вводятся непосредственно в верхний и нижний барабаны. Концы труб заднего экрана котла ДЕ-6,5-14ГМ-О привариваются к верхнему и нижнему коллекторам. Трубы фронтового экрана котла привариваются к коллекторам.

Поперечное сечение топочной камеры для всех котлов одинаково. Глубина топочной камеры увеличивается с повышением паропроизводительности котлов.

В водяном пространстве верхнего барабана находятся питательная труба и труба для ввода фосфатов, в паровом объёме - сепарационное устройство. В нижнем барабане размещаются устройство для парового прогрева воды в барабане при растопке и патрубки для спуска воды, труба непрерывной продувки у котла ДЕ-6,5-14ГМ-О. Топочная камера отделена от конвективного пучка газоплотной перегородкой, в задней части которой расположено окно для входа газов в пучок. Перегородка изготовлена из плотно поставленных и сваренных между собой труб. При входе в барабаны трубы разводятся в два ряда. Вертикальная часть перегородки уплотняется вваренными между трубами металлическими проставками. Конвективный пучок образован коридорно-расположенными вертикальными трубами, развальцованными в верхнем и нижнем барабанах.

Исполнение заднего экрана топки возможно в двух вариантах:

Трубы заднего экрана топки привариваются к верхнему и нижнему коллекторам экрана, которые в свою очередь, привариваются к верхнему и нижнему барабанам. Концы коллекторов заднего экрана со стороны, противоположной барабанам, соединяются необогреваемой рециркуляционной трубой. Для защиты рециркуляционных труб и коллекторов от теплового излучения в конце топочной камеры устанавливаются две трубы, присоединённые к барабанам вальцовкой.

С-образные трубы, образующие задний экран топки и присоединённые к барабанам вальцовкой.

Для поддержания необходимого уровня скоростей газов в конвективных пучках котла ДЕ-6,5-14ГМ-О устанавливаются продольные ступенчатые перегородки, а также изменяется ширина пучка. Дымовые газы проходят по всему сечению конвективного пучка и выходят через переднюю стенку в газовый короб, который размещен над топочной камерой. Далее через газовый короб дымовые газы проходят к экономайзеру, размещенному сзади котла.

Котёл ДЕ-6,5-14ГМ-О выполнен с одноступенчатой схемой испарения.

Контуры боковых экранов и конвективного пучка котла ДЕ-6,5-14ГМ-О замкнуты непосредственно на барабаны. Контуры заднего экрана котла ДЕ-6,5-14ГМ-О и фронтового экрана соединяются с барабаном через промежуточные коллекторы: нижний - раздающий (горизонтальный) и верхний - собирающий (наклонный). Концы промежуточных коллекторов со стороны, противоположенной барабанам, объединены необогреваемой рециркуляционной трубой.

В качестве первичных сепарационных устройств используются установленные в верхнем барабане отбойные щиты и направляющие козырьки, обеспечивающие подачу пароводяной смеси на уровень воды. В качестве вторичных сепарационных устройств применяются дырчатый лист и жалюзийный сепаратор.

Пароперегреватель котла ДЕ-6,5-14ГМ-О выполнен змеевиком из труб диаметром 32х3мм.

Котёл ДЕ-6,5-14ГМ-О комплектуется необходимым количеством арматуры и контрольно-измерительными приборами.

Перевод парового котла ДЕ-6,5-14ГМ-О в водогрейный режим позволяет, кроме повышения производительности котельных установок и уменьшения затрат на собственные нужды, связанные с эксплуатацией питательных насосов, теплообменников сетевой воды и оборудования непрерывной продувки, а также сокращения расходов на подготовку воды, существенно снижать расход топлива.

Среднеэксплуатационный КПД котла ДЕ-6,5-14ГМ-О, использованного в качестве водогрейного, повышается на 2,0-2,5%.

Котёл ДЕ-6,5-14ГМ-О поставляется заказчику одним транспортабельным блоком (блок в обшивке и изоляции установленной горелкой; возможно исполнение со встроенным экономайзером) в комплекте с КИП, арматурой и гарнитурой в пределах котла, лестницами и площадками, пароперегревателем (по дополнительному договору).

. Краткое описание принятых к установке горелок

Газо мазутные горелки типа ГМ и ГМП предназначены для раздельного сжигания жидкого и газообразного топлива и применяются на котлах типа Е (ДЕ). Горелки типа ГМ (ГМП) выпускаются заводом пяти типоразмеров: ГМ-2,5; ГМ-4,5; ГМ-7; ГМ-10; ГМП-16; где цифра обозначает номинальную тепловую мощность горелки в Гкал/ч. Основными узлами горелок типа ГМ являются: форсуночный узел, газовая часть и воздух направляющее устройство В форсуночный узел горелок входят паро механическая форсунка и устройство с захлопками для установки сменной форсунки без останова котла. Основная форсунка устанавливается по оси горелки, сменная - под небольшим углом к оси горелки. Сменная форсунка включается на короткое время, необходимое для чистки или замены основной форсунки. Газовая часть горелок периферийного типа, состоит из кольцевого коллектора с однорядно-однокалиброванной системой газовыдающих отверстий и газоподводящей трубы.

Внутри коллектора установлена кольцевая диафрагма, служащая для обеспечения равномерного распределения газа по отверстиям.

Воздухонаправляющее устройство горелок типа ГМ состоит из

воздушного короба,

осевого завихрителя воздуха

конусного стабилизатора.

Лопатки осевого завихрителя - профильные, установлены под углом 450 к оси горелки. Небольшая часть воздуха проходит через дырчатый лист (диффузор) для охлаждения форсунки. Однако имеется ряд отличий в конструкциях воздухонаправляющих горелок типа ГМ.

Горелки ГМ-2,5; ГМ-4,5; и ГМ-7 являются вихревыми - практически все количество воздуха проходит через осевой завихритель. в таблице 1 приведены технические характеристики.

Таблица 1 - Техническая характеристика

Наименование показателя

ГМ-4,5

1

Номинальная тепловая мощность, МВт(ккал/ч)

5,22 (4,5)

2

Коэффициент рабочего регулирования по тепловой мощности, не менее

5

3

Номинальное давление мазута перед форсункой, МПа

1,8

4

Номинальное давление газа перед горелкой, кПа


5

Давление пара на распыливание, МПа

0,1-0,2

6

Удельный расход на распыливание, кг/кг,не более

0,05

7

Номинальный расход мазута при Qсн = 9650 ккал/кг, кг/ч

466

8

Номинальный расход газа при Qрн = 8500 ккал/м3, м3/ч

530

9

Габаритные размеры горелки, мм:


10

длина

962

11

ширина

770

12

высота

770

13

Масса горелки, кг, не более

130

14

Тип котла, для которого предназначена горелка

ДЕ-6,5-14ГМ


3. Обоснование выбранной температуры уходящих газов

Решающее влияние на экономичность работы парового котла оказывает температура уходящих газов, так как потеря теплоты с уходящими газами является при нормальных условиях эксплуатации наибольшей в сравнении с суммой других потерь.

Выбор температуры уходящих газов производится на основании технико-экономического расчета по условию оптимального использования топлива и расхода металла на хвостовые поверхности нагрева.

Для парогенераторов низкого давления с хвостовыми поверхностями нагрева температуру уходящих газов следует принимать в зависимости от топлива используемого в котлоагрегате. При сжигании природного газа рекомендуемая температура уходящих газов от 120°С до 130°С. Выбираем температуру уходящих газов 120°С.

. Выбор и описание принятых к установке хвостовых поверхностей нагрева

К хвостовым поверхностям нагрева котельного агрегата относятся водяной экономайзер и воздухоподогреватель.

Водяные экономайзеры предназначены для нагрева питательной или сетевой воды за счет теплоты уходящих топочных газов, благодаря чему уменьшаются потери теплоты и повышается КПД.

Чугунные экономайзеры ЭБ-2−142И используются для нагрева питательной воды паровых котлов и воды систем теплоснабжения с рабочим давлением до 2,4 МПа. Собираются они из чугунных ребристых труб длиной 2-3 метра, соединенных между собой чугунными коленами. К месту монтажа чугунные экономайзеры поставляют россыпью или блоками. Несколько горизонтальных рядов труб (до восьми) образуют группу, группы компонуют в колонны, разделенные металлическими перегородками. Группы собирают в каркасе с глухими стенками с теплоизоляционной обшивкой. Торцы экономайзеров закрывают съемными металлическими щитами. Экономайзеры оборудуются стационарными обдувочными устройствами, встроенными в блоки. Количество горизонтальных рядов, которые обдуваются одним устройством, не должно превышать четырех.

Преимуществом чугунных экономайзеров является их повышенное сопротивление к химическому и механическому разрушению. Использование чугуна значительно увеличивает срок службы оборудования по сравнению со стальными экономайзерами. Чугунные экономайзеры бывают только "не кипящего" типа. При этом температура воды на входе в экономайзере должна быть на 5-10°С выше температуры точки росы уходящих газов, а на выходе из экономайзера - на 40°С ниже температуры насыщенного пара, при соответствующем давлении в котле.

Поверхность нагрева экономайзера состоит из труб с дополнительным продольным оребрением. Трубы, соединенные между собой по воде дугами, объединяются в отдельные пакеты. Пакеты труб устанавливаются в каркасе с промежутками в 650 мм и соединяются между собой калачами.

В канавках фланцев ребристых труб прокладывается шнуровой асбест для предотвращения перетоков газа. Боковые стенки каркаса имеют внутреннюю и наружную металлические обшивки с теплоизоляцией из совелитовых плит или другого теплоизоляционного материала, равноценного по своим характеристикам совелитовым плитам. Торцевые стороны экономайзера закрыты щитами с крышками, установленными на прокладках с помощью болтов. Сплошные сварные швы листов обшивки и крышки с прокладками обеспечивают газовую плотность экономайзера. Привод воды к экономайзеру осуществляется через коллекторы.

Монтаж экономайзера сводится к установке его на фундамент, соединению отдельных блоков между собой по воде калачами, сварке каркасов и приварке импульсных камер к патрубкам, изготовлению и установке подводящего газового короба с взрывными предохранительными клапанами, подключению его к питательным трубопроводам котла. Монтаж системы импульсной очистки - в соответствии с проектом котельной и паспортом.

При монтаже верхних и нижних коллекторов с двумя и тремя подводами может возникнуть не параллельность фланцев, коллекторов и выходных колен. Для устранения этой не параллельности необходимо использовать стальные конусные прокладки (с установкой с каждой стороны) и паронитовые прокладки.

Крепление экономайзера к фундаменту выполняется приваркой нижней рамы экономайзера к закладным элементам, установленным со стороны камер газоимпульсной очистки.

Водяной экономайзер представляет собой трубчатый теплообменник, в котором питательная вода перед поступлением в котел подогревается до температуры 30 - 40 С ниже температуры кипения, чтобы предотвратить парообразование и гидравлические удары внутри него. Подогрев происходит за счет теплоты уходящих газов, тем самым повышая КПД котельного агрегата.

Выпускать в атмосферу газы с высокой температурой нерационально. К устройствам, предназначенным решить эту проблему, относятся экономайзеры.

Экономайзеры чугунные блочные применяется в качестве хвостовых поверхностей нагрева паровых стационарных котлов типов ДЕ, КЕ и ДКВР.

Экономайзеры устанавливаются индивидуально на котел или на группу котлов низкого давления (до 2,4 МПа) и малой мощности и могут отключаться от котлов как по газовому, так и по водяному тракту.

Недостатками чугунных экономайзеров является громоздкость, особенно при больших площадях нагрева, низкая теплопередача и большая чувствительность к гидравлическим ударам, что не позволяет нагреть в них воду до кипения. Наличие нестандартного газохода экономайзера увеличивает металлоемкость конструкции и затраты на его изготовление и монтаж, увеличивает присосы воздуха и потери тепла в окружающую среду; быстрое загрязнение чугунных ребристых труб золой и сажей снижают технико-экономические показатели чугунных экономайзеров. в таблице 2 приведены технические характеристики экономайзера.

Таблица 2 - Технические характеристики экономайзера


Тип экономайзера


Параметры

ЭБ-2−142И

1

Поверхность нагрева, м2

141,6

2

Число колонок

2

3

Длина экономайзерной трубы, м

2

4

Температура воды, минимальная С; вход./выход.

100/140

5

Номинальный расход воды, т/ч

7,15

6

Масса, кг

5290

7

Импульсная камера

8

Диаметр, мм

159

9

Количество

2

10

Тип короба (рекомендуемый)

11

Топливо - газ, мазут

02

12

Топливо - каменный уголь

05

13

Габариты (без импульсной камеры и короба)

14

Длина, мм

2530

15

Ширина, мм

1180

16

Высота, мм

1970


5. Описание конструктивных мероприятий необходимых при переводе котла на другой вид топлива

При переводе необходимо руководствоваться СНиП 3.05.02-88, "Правилами безопасности в газовом хозяйстве".

Предусматриваются, следующие мероприятия по переводу котла с мазута на газ:

отключить автоматические регуляторы работы котла;

подготовить и заполнить газом газопровод котла;

разжечь на газе одну из нижних растопочных горелок;

закрытием вентилей на мазутопроводе перед горелкой погасить мазутную форсунку;

убедиться в устойчивом горении газа в горелке;

отключить привод и вентилятор первичного воздуха (при работе на ротационной форсунке), продуть форсунку паром;

вывести мазутную форсунку из горелки;

закрыть свечу "безопасности";

ключ выбора топлива поставьте в положение "Газ";

После достижения заданной тепло производительности включить автоматические регуляторы работы котла.

Мероприятия по переводу котла с газа на мазут:

отключить автоматические регуляторы работы котла;

подготовить и поставьте мазутопроводы котла под циркуляцию;

установить в одну из нижних растопочных горелок мазутную форсунку и подсоединить по топливу, паро-механические - дополнительно подключить по пару;

разжечь на мазуте эту горелку;

закрыть задвижки на газопроводе перед горелкой;

убедиться в устойчивом горении мазута в горелке;

открыть свечи безопасности;

ключ выбора топлива поставить в положение "Мазут";

После достижения заданной тепло производительности включить автоматические регуляторы работы котла.

Прекратить подачу газа к котлу:

закрыть быстродействующий отсечной клапан, входные задвижки на газопроводах подачи газа к котлу и ЗЗУ и импульсные клапаны ЗЗУ;

закрыть задвижки перед горелками котла и откройте их свечи безопасности;

снизить до нуля давление в газопроводе котла путем открытия продувочных свеч [1].

6. Определение конструктивных характеристик котлоагрегата

Конструктивные характеристики котлоагрегата нужны для проведения поверочного теплового расчета, который для котлоагрегата ДЕ-6,5-14ГМ-О, приведены в таблице 3

Указанные конструктивные характеристики определяют из чертежей рассчитываемого котла. Методика определения конструктивных характеристики отдельных газоходов приведена в соответствующих разделах расчета.

Таблица 3 - Конструктивные характеристики: ДЕ-6,5-14ГМ-О

Наименования

Значение

Объем топки, м3

11,2

Площадь поверхности стен топки, м3

29,97

Диаметр экранных труб, мм

Шаг труб боковых экранов, мм

55

Площадь луче воспринимающей поверхности нагрева, м3

27,93

Площадь поверхности нагрева конвективных пучков, м3

68,04

Диаметр труб конвективных пучков, мм

Расположение труб

Коридорное

Поперечный шаг труб, мм

110

Продольный шаг труб, мм

110

Площадь живого сечения для прохода продуктов сгорания

0,348

Число рядов труб по ходу продуктов сгорания в одном газоходе

26


При тепловом расчете паровых и водогрейных котлов определяются теоретическое и действительные объемы воздуха и продуктов сгорания.

7. Расчет объемов воздуха и продуктов сгорания при сжигании двух видов топлива

При сжигании топлива в топке котла в качестве окислителя используется воздух. Зная количество воздуха необходимого для горения 1 м3 каждого горючего газа, входящего в газообразное топливо, можно определить теоретическое общее количество воздуха, необходимое для горения всех горючих элементов. Теоретическое количество воздуха, необходимое для полного сгорания 1 м3 газообразного топлива, зависит от его химического состава. Расчеты, связанные с горением газа, ведутся на 1 м3 горючего газа при нормальных условиях.

Теоретическое количество воздуха при сжигании 1м3 сухого газообразного топлива

Таблица 4 - Характеристики природного газа (Гоголево-Полтава) [1 ]

CH4

C2H6

C3H8

C4H10

C5H12 и более тяжелые

N2

CO2

Низшая теплота сгорания сухого газа кДж/м3

Плотность газа при нормальных условиях, кг/м3

85,8

0,2

0,1

0,1

0

13,7

0,1

30980

0,789


Таблица 5 - Характеристики сернистого мазута [2]

WP

AP

SOP+K

CP

HP

NP

OP

Низшая теплота сгорания  МДж/кг

3

0,1

1,4

83,8

11,2

0,5

0,5

39,73



Если известен элементарный состав рабочей массы топлива, можно теоретически определить количество воздуха, необходимого для горения топлива, и количество образующихся дымовых газов.

Определение теоретического объемов необходимого воздуха для сжигания 1 кг мазута (8.1) и 1 м3 природного газа (8.2) (данные химического состава топлива взяты из таблицы 4 и 5):

 (8.1)

 (8.2)


Определение теоретического объема азота в продуктах сгорания мазута, (формула 8.3) и природного газа (формула 8.4):

Объем V0H2O включает полный объем водяных паров в продуктах сгорания. Объем V0N2 состоит в основном из азота воздуха с небольшим дополнением объема азота из топлива. Для расчета объемов, соответствующих теоретическим условиям горения. Применяются следующие формулы.

 (8.3)

 (8.4)


Определим объем трехатомных газов при сжигании мазута (формула 8.5) и природного газа (формула 8.6):

Объём трёхатомных газов не зависит от коэффициента избытка воздуха и во всех газоходах остаётся постоянным и равен теоретическому.

Объёмные доли трёхатомных газов, равные парциальным давлениям газов при общем давлении 0,1МПа, определяются по формулам:

 (8.5)

 (8.6)


Влагосодержание воздуха выражается в кг влаги на кг воздуха. Для перевода кг воздуха в м3 необходимо умножить выражение на плотность воздуха, а умножением на удельный объём водяного пара  мы добиваемся перевода массовых долей пара в объёмные.

Определим теоретический объем водяных паров мазута (формула 8.7) и природного газа (формула 8.8):

 (8.7)

 (8.8)


Контроль избытка воздуха на котле обычно осуществляют в двух точках газового тракта - в поворотной камере (или за конвективным пароперегревателем высокого давления) и за воздухоподогревателем (в уходящих из котла газах). Разность этих показателей характеризует долю присосов холодного воздуха в поверхностях конвективной шахты, а значение O2 в поворотной камере показывает, выдерживаются ли условия оптимального избытка воздуха в топочной камере, поскольку присосы в горизонтальном газоходе стабильны и незначительны. Прямое определение избытка воздуха в топке технически затруднительно и неудовлетворительно по точности из-за высокой температуры газов и неустойчивой аэродинамики потока.

Средний коэффициент избытка воздуха в газоходе для каждой поверхности нагрева определим по формуле (8.9):

, (8.9)

где  - коэффициент избытка воздуха перед газоходом;  - коэффициент избытка воздуха после газохода.

 

Определим избыточное количество воздуха для топки:

 (8.10)


Действительный объём водяных паров увеличивается (по сравнению с теоретическим) на количество водяных паров, внесённых с избыточным воздухом:

Действительный объем водяных паров для мазута и природного газа определим по формуле (8.10):

 (8.10)

 

Действительный суммарный объем продуктов сгорания для мазута и природного газа определим по формуле (8.11):

 (8.11)

 

Объемные доли трехатомных газов и водяных паров, а также суммарную объемную долю определим по формулам:

 (8.12)

 

 (8.13)

 

 (8.14)

 

Приведены расчеты для характеристик оставшихся поверхности нагрева производиться аналогично для мазута топки и природного газа.

Расчеты сведем в таблицу 6.

Таблица 6 - Объемы продуктов сгорания, объемные доли трехатомных газов, концентрация золы

Величина

Рас-четная фор-мула

Поверхность нагрева



Топка

Паропере-греватель

Конвек-тивные пучок

Эконо-майзер

Воздухопо-догреватель

Коэффициент избытка воздуха после поверхности нагрева

-

1,17

1,13

1,15

1,18

1,16

Средний коэффициент избытка воздуха

9

1,135

1,115

1,125

1,14

1,13

Избыточное количество воздуха

природный газ, м3/кг

10

1,115

0,949

1,032

1,156

1,073


мазут


1,41

1,202

1,306

1,463

1,358

Объем водяных паров

природный газ, м3/кг

11

1,749

1,746

1,748

1,748


мазут


1,472

1,468

1,47

1,473

1,471

Полный объем продуктов сгорания

природный газ, м3/кг

12

10,261

10,093

10,177

10,302

10,219


мазут


12,714

12,502

12,608

12,767

12,661

Объемная доля трехатомных газов

природный газ, м3/кг

13

0,085

0,086

0,085

0,084

0,085


мазут


0,124

0,126

0,125

0,123

0,124

Объемная доля водяных паров

природный газ, м3/кг

14

0,17

0,173

0,172

0,17

0,171


мазут


0,116

0,117

0,117

0,115

0,116

Суммарная объемная доля

природный газ, м3/кг

15

0,255

0,259

0,257

0,254

0,256


мазут


0,24

0,243

0,241

0,239

0,24


Произведем расчеты энтальпий воздуха и продуктов сгорания для топки.

Энтальпии воздуха и продуктов сгорания считаются для каждого значения коэффициента избытка воздуха α в области, перекрывающей ожидаемый диапазон температур в газоходе.

Расчеты энтальпии продуктов сгорания производится при действительных коэффициентах избытка воздуха после каждой поверхности нагрева (значение коэффициента избытка воздуха после поверхности нагрева берутся из таблицы 5 )

Определение энтальпии воздуха и продуктов сгорания производится в таком последовательности:

. Вычислить энтальпию теоретического объема воздуха для всего выбранного диапазона температур для твердого и жидкого топлива (кДж/кг) и газа (кДж/м3). Энтальпия 1 м3 воздуха, газообразного продуктов сгорания (кДж/м3) и 1 кг золы (кДж/кг) принимается по таблице 5.

Таблица 7 - Энтальпия 1 м3 воздуха, газообразного продуктов сгорания (кДж/м3) и 1 кг золы (кДж/кг

""RO2

""N2

""O2

""H2O

""В

""ЭЛ

100

170

130

132

151

133

81

200

359

261

268

305

267

170

300

561

393

408

464

404

264

400

774

528

553

628

543

361

500

999

666

701

797

686

460

600

1226

806

852

970

832

562

700

1466

949

1008

1151

982

664

800

1709

1096

1163

1340

1134

769

900

1957

1247

1323

1529

1285

878

1000

2209

1398

1482

1730

1440

987

1100

2465

1550

1642

1932

1600

1100

1200

2726

1701

1806

2138

1760

1209

1300

2986

1856

1970

2352

1919

1365

1400

3251

2016

2133

2566

2083

1587

1500

3515

2171

2301

2789

2247

1764

1600

3780

2331

2469

3011

2411

1881

1700

4049

112490

2637

3238

2574

2070

""RO2

""N2

""O2

""H2O

""В

""ЭЛ

1800

4317

2650

2805

3469

2738

2192

1900

4586

2814

2978

3700

2906

2934

2000

4859

2973

3150

3939

3074

2520


 (8.16)

 кДж/кг

 кДж/м3

. Определить энтальпию теоретического объема продуктов сгорания для всего выбранного диапазона температур (кДж/кг или кДж/м3).

 (8.17)

 

 

. Определить энтальпию избыточного количества воздуха для всего выбранного диапазона температур (кДж/кг или кДж/м3)

 

 

 

3. Определить энтальпию избыточного количества воздуха для всего выбранного диапазона температур(кДж/кг или кДж/м3)

 (8.19)

 

 

Где Iэл - энтальпия золы, учитывается только при ;

 

 

Результаты расчета энтальпии продуктов сгорания по газоходам котлоагрегата сводят в таблицу 8.

Таблица 8 - Энтальпия продуктов сгорания , кДж/кг или кДж/м3







Данные таблиц 5 и 6 позволят в последующих расчетах по температуре продуктов сгорания определять их энтальпию или, наоборот, по энтальпии продуктов сгорания - их температуру. При этом производится линейная интерполяция в интервале температуры 100 К:

 , (8.20)

где  - энтальпии соответствующие большей и меньшей температурам искомого интервала температур, ;

 - температура, для которой вычисляется энтальпия, .

 (8.21)

где  - энтальпия, по значению которой определяется температура, .

8. Расчетный тепловой баланс и расход топлива

Коэффициентом полезного действия (КПД) парового и водогрейного котла называют отношение полезной теплоты к располагаемой теплоте.

При тепловом расчете парового и водогрейного котла тепловой баланс составляет для определения КПД брутто и расчетного расхода топлива.

Расчет рекомендуется производить в следующей последовательности:

. Определить располагаемую теплоту. Для твердого и жидкого топлива (кДж/кг):

 (8.21)

 - низшая теплота сгорания рабочей массы твердого и жидкого топлива, кДж/кг, принимается по таблице 4.  - низшая теплота сгорания сухой массы газа, кДж/м3, принимается по таблице 5.

При температуре tв =100 ;

 

При температуре tв =200 ;

 

Для газообразного топлива (кДж/м3)

 (8.22)

При температуре tв =100 ;

 

При температуре tв =200 ;

 

В случае предварительного подогрева воздуха в калорифере теплота, внесенная воздухом (кДж/кг или кДж/м3) определяется по формуле:

 (8.23)

При температуре tв =100  для мазута:

 

При температуре tв =200  для мазута:

 

При температуре tв =100  для природного газа:

 кДж/м3

При температуре tв =200  для природного газа:

кДж/м3

где  - энтальпия теоретического объема воздуха при входе в воздухоподогреватель после предварительного подогрева в калорифере, определяется по температуре воздуха после калорифера линейной интерполяцией значения из таблицы 8.

 - энтальпия теоретического объема холодного воздуха при tв =30 , определяется по формуле:

 (8.24)

 

 

Отношение количества воздуха на входе в котельный агрегат (воздухоподогревателя) к теоретически необходимому, входящие в формулу 8.22.

 (8.25)

где  - присос воздуха в топку, систему пылеприготовления и воздухоподогревателя, принимается по таблице 6.

 

Физическая теплота топлива учитывается только при его предварительном подогреве от постороннего источника теплоты (паровой подогрев мазута, паровой сушилки и т.п.), а также при сушке по разомкнутому циклу (кДж/кг) по формуле:

 (8.26)

Где  - температура топлива,  (для мазута в зависимости от его вязкости 90-130);  - удельная теплоемкость топлива, кДж/(кг).

 кДж/кг

Удельная теплоемкость мазута:

 (8.27)

 кДж/(кг).

Для промышленных паровых и водогрейных котлов физическая теплота топлива учитывается только при сжигании мазута.

Теплота вносимая в агрегат через форсунку при паровом распыливании жидкого топлива (кДж/кг) определяется по формуле:

 (8.28)

где  - энтальпия пара, расходуемого на распыливание топлива, определяется из таблиц 7 для водяного пара по его параметрам, кДж/кг.

При температуре tв =100 :

 кДж/кг

При температуре tв =200 :

 кДж/кг

Теплота, затраченная на разложения карбонатов (кДж/кг) определяется по формуле:

 (8.29)

Где  - коэффициент разложения карбонатов (при слоевом сжигание 0,7; при камерном 1);  - содержание диоксида углерода в карбонатах в рабочей массе, %

При  =1

 кДж/кг

. Определить потерю теплоты с уходящими газами по формуле:

 

где - энтальпия уходящих газов, кДж/ м3 (определяется интерполяцией по данным таблиц и заданной температуре уходящих газов).

- коэффициент избытка воздуха в уходящих газах;

- энтальпия теоретического объема холодного воздуха;

 - потери теплоты от механической неполноты сгорания для мазута и природного газа равны нулю.

 

 

 

Где  - энтальпия уходящих газов, определяется по таблице 6 при соответствующих значениях  и выбранной температуре уходящих газов, (кДж/кг или кДж/м3).  - энтальпия теоретического объема холодного воздуха, определяется при tв=30  по формуле 8.24, кДж/кг или кДж/м3  - коэффициент избытка воздуха в уходящих газах, берется из таблицы 8, в сечении газохода после последней поверхности нагрева;  - потери теплоты от механической неполноты горения (для газа и мазута) .

 

 

. Определить потерю теплоты от химической неполноты сгорания. Для мазута и природного газа потерю теплоты от химической неполноты сгорания равна 0,5%.

. Определить потерю теплоты от наружного охлаждения для парового котла определяется по формуле:

 

Где  - потери теплоты от наружного охлаждения при номинальном нагрузке парового котла, определяются по таблице 9, соответственно;  - номинальная нагрузка парового котла, т/ч;  - расчетная нагрузка парового котла, т/ч.

Таблица 9 - Потеря теплоты от наружного охлаждения парового котла

Номинальная производительность котла, кг/с (т/ч)

Потеря теплоты, %


Собственно котел

Котел с хвостовыми поверхностями

0,55

(2)

3,4

3,8

1,11

(4)

3,1

2,9

1,67

(6)

1,6

2,4

2,22

(8)

1,2

2,0

2,78

(10)

1,7

4,16

(15)

-

1,5

5,55

(20)

-

1,3

8,33

(30)

-

1,2

11,11

(40)

-

1,0

16,66

(60)

-

0,9

22,22

(80)

-

0,8

27,77

(100)

-

0,7

55,55

(200)

-

0,6

83,33

(300)

-

0,5


 

. вычислить полезную мощность парового котла (кВт) по формуле:

 (8.33)

где Dпе − расход выработанного перегретого пара, кг/с; Dпр − расход выработанного насыщенного пара, кг/с; iп.п, iп.в, iкип − энтальпия перегретого пара, питательной воды на входе в индивидуальный водяной экономайзер, насыщенного пара и кипящей воды в барабане котла, кДж/кг.

 

6. Определить потерю теплоты в виде физической теплоты шлака и потерю от охлаждения балок и панелей топки, не включенных в циркуляционный контур котла по формуле:

 (8.34)

При этом:

 

 

где Нохл − лучевоспринимающая поверхность балок и панелей, м2 (для панелей в расчет принимается только боковая, обращенная в топку поверхность); Qк − полезная мощность парового или водогрейного котла.

 

. Вычислить КПД брутто парового котла (%) из уравнения обратного теплового баланса

 (8.37)

%

%

. Подсчитать расход топлива (кг/с или м3/с), подаваемого в топку парового котла, из уравнения прямого теплового баланса:

 

 

 

. Определить расчетный расход топлива (кг/с или м3/с) для газа и мазута:

 (8.39)

 

 

Расчетный расход топлива вноситься во все последующие формцлы, по котором подсчитывается суммарный объем продуктов сгорания и количества теплоты.

. Для последующих расчетов определить коэффициент сохранения теплоты:

 

 

 

Вывод: Не вся полезная теплота, выработанная агрегатом, направляется к потребителю. Часть выработанной теплоты в виде пара и электрической энергии расходуется на собственные нужды. Расходуется пар для привода питательных насосов, на обдувку поверхностей нагрева и т.д., а электрическая энергия - для привода дымонасоса, вентилятора, питателей топлива, мельниц системы пылеприготовления и т.д. Расход на собственные нужды - это расход всех видов энергии, затраченной на производство пара или горячей воды. Различают два КПД агрегата брутто и нетто. Если КПД агрегата определяется по выработано теплоте, оно называется брутто, а если по отпущенной то нетто.

9. Расчет топок, работающих на разных видах топлива

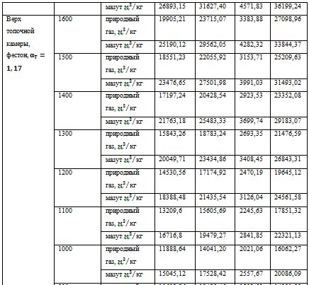
Предварительно зададимся температурой продуктов сгорания на выходе из топочной камеры. Выберем рекомендуемые температуры для мазута 1000 °С, природного газа 1100 °С.

Для принятой температуры определим энтальпию продуктов сгорания на выходе из топки по таблицам 7 и 8.

Теплота воздуха (Qв) складывается из теплоты горячего воздуха и холодного, присосанного в топку для мазута и природного газа:

 (9.1)


Теплота воздуха для мазута и природного газа в процентах:

 (9.2)


Коэффициент избытка воздуха в топке () принимается по таблице 6. Присосы воздуха в топку () принимаются по таблица 6. Энтальпия теоретически необходимого горячего воздуха () определяется по таблицам 7 и 8.г.отб - теплота рециркулирующих продуктов сгорания, учитывается только в случае возврата в топку части продуктов сгорания, отобранных из газоходов котла. В данном случае не учитывается.

Теплота Qв.вн, внесенная в котельный агрегат с поступившим в него воздухом, учитывается только при подогреве его вне агрегата, например в калорифере, устанавливаемом перед воздухоподогревателем. В данном случае не учитывается.

Подсчитаем полезное тепловыделение в топке для мазута и природного газа (кДж/кг или кДж/м3):

  (9.3)


Угловым коэффициентом (x) называется отношение количества энергии, посылаемой на облучаемую поверхность, к энергии излучения всей полусферической излучающей поверхности. Угловой коэффициент показывает, какая часть лучистого полусферического потока, испускаемого одной поверхностью, падает на другую поверхность и зависит от формы и взаимного расположения тел, находящихся в лучистом теплообмене.

Коэффициент  учитывает снижение тепловосприятия экранных поверхностей нагрева вследствие их загрязнения наружными отложениями или закрытия огнеупорной массой. Коэффициент загрязнения принимается по таблица 10.

Таблица 10 - Коэффициент загрязнения топочных экранов

Тип экрана

Вид топлива

Значение 

Открытые гладкотрубные и плавниковые настенные

Газообразное

0,65


Мазут

0,55


АШ и ПА при Гун > 12 %, тощий уголь при Гун > 8 %, каменные и бурые угли, фрезерный торф

0,45


Экибастузский при R90<15 %

0,35-0,40


Бурые угли с Wп > 3,5 % при газовой сушке и прямом вдувании

0,55


Сланцы северо-западных месторождений

0,25


Все виды топлива при слоевом сжигании

0,60

Ошипованные, покрытые огнеупорной массой в топках с твердым шлакоудалением

Любое

0,20

Закрытые огнеупорным кирпичом


0,10


Определим коэффициент тепловой эффективности экранов для мазута и природного газа:

 (9.4)

 

 

Определим эффективную толщину излучающего слоя (м):

  (9.5)

где Vт - объем топочной камеры, м3;

Fст - поверхность стен топочной камеры, м2.


Коэффициент ослабления лучей трехатомными газами (kг) определим по номограмме [Приложение Б]: для мазута kг м = 2,5; для природного газа kг пг = 3,1.

Коэффициент ослабления лучей сажистыми частицами при сжигании мазута:

, (9.6)

где Ср, Нр - содержание углерода и водорода в рабочей массе жидкого топлива;

 - абсолютная температура на выходе из топочной камеры (равна принятой по предварительной оценке).

 

При сжигании природного газа:

 (9.7)


Определим коэффициент ослабления лучей. При сжигании жидкого и газообразного топлива коэффициент ослабления лучей (м∙МПа)-1 зависит от коэффициентов ослабления лучей трехатомными газами (kг) и сажистыми частицами (kc):

k = kг·rп + kc, (9.8)

где rп - суммарная объемная доля трехатомных газов, берется из таблицы 6.


Найдем степень черноты светящейся части факела (асв) и несветящихся трехатомных газов (аг) при сжигании мазута и природного газа, какой обладал бы факел при заполнении всей топки соответственно только светящимся пламенем или только несветящимися трехатомными газами; значения асв и аг определяются по формулам:

; (9.9)

  (9.10)



Подсчитаем степень черноты факела для мазута и природного газа:

аФ = m·асв + (1 - m)·аг, (9.11)

где m - коэффициент, характеризующий долю топочного объема, заполненного светящейся частью факела.


Определим степень черноты топки при сжигании мазута и природного газа:

 (9.12)

 

 

11. Определим параметр М в зависимости от относительного положения максимума температуры пламени по высоте топки xт:

 (9.13)

Относительное положение максимума температуры для большинства топлив определяется как отношение высоты размещения горелок к общей высоте топки

, (9.14)

где hг подсчитывается как расстояние от пода топки или от середины холодной воронки до оси горелок, а Hт - как расстояние от пода топки или середины холодной воронки до середины выходного окна топки.

 

 

12. Определяется средняя суммарная теплоемкость продуктов сгорания на 1 кг сжигаемого твердого и жидкого топлива или на 1 м3 газа при нормальных условиях [кДж/(кг∙К)] или [кДж(м3∙К)]:

,  (9.15)

где Та - абсолютная теоретическая (адиабатная) температура горения, определяемая из таблицы 4.5 по значению Qт, равному энтальпии продуктов сгорания Ia;  - абсолютная температура на выходе из топки, принятая по предварительной оценке, К;  - энтальпия продуктов сгорания берется из таблицы 4.5 при принятой на выходе из топки температуре; Qт - полезное тепловыделение в топке (см. п. 3).


13. Определяем действительную. температурe на выходе из топки (°С) по номограмме (рис. 2) или формуле:

.  (6.29)

Действительную температуру определили по номограмме из рисунка 2

Определим удельные нагрузки топочного объема (кВт/м3) для мазута и природного газа по формуле:

 (9.19)


Рисунок 2 - Номограмма для определения теплопередачи в однокамерных и полуоткрытых топках

,  

Полученная температура на выходе из топки сравнивается с температурой, принятой ранее в п. 1. Если расхождение между полученной температурой () и ранее принятой на выходе из топки не превысит ±100°С, то расчет считается оконченным.

10. Расчет конвективных газоходов при сжигании разных видов топлива

Расчет конвективных пучков котла

1. По чертежу определяем конструктивные характеристики рассчитываемого конвективного газохода: площадь поверхности нагрева, шаг труб и рядов (расстояния между осями труб), диаметр труб, число труб в ряду, число рядов труб и площадь живого сечения для прохода продуктов сгорания. Площадь поверхности нагрева, расположенная в рассчитываемом газоходе (м2),

Н = ∙d∙l∙n, (10.1)

где d - наружный диаметр труб, м; l - длина труб, расположенных в газоходе, м; n - общее число труб, расположенных в газоходе.

Из чертежа котлоагрегата определяются: S1 - поперечный шаг труб (в поперечном направлении по отношению к потоку), рис. 10.1, м; S2 - продольный шаг труб (в продольном направлении по отношению к потоку), м; z1 - число труб в ряду; z2 - число рядов труб по ходу продуктов сгорания.

По конструктивным данным подсчитываем относительный поперечный шаг  и относительный продольный шаг .

Площадь живого сечения (м2) для прохода продуктов сгорания:

при поперечном смывании гладких труб

F = a∙b - z1∙l∙d; (10.2)

при продольном смывании гладких труб

, (10.3)

где а и b - размеры газохода в расчетных сечениях, м; l - длина труб (при изогнутых трубах - длина проекции труб), м; z - число труб в пучке.

. Предварительно принимаются два значения температуры продуктов сгорания после рассчитанного газохода. В дальнейшем весь расчет ведется для двух предварительно принятых температур.

Рис. 10.1. Номограмма для определения коэффициента теплоотдачи конвекцией при поперечном омывании коридорных гладкотрубных пучков

3. Определяем теплоту, отданной продуктами сгорания (кДж/кг или кДж/м3),

, (10.4)

где  - коэффициент сохранения теплоты, определяется по формуле (5.28); I¢ - энтальпия продуктов сгорания перед поверхностью нагрева, определяется по таблице 4.5 при температуре и коэффициенте избытка воздуха после поверхности нагрева, предшествующей рассчитываемой поверхности; - I¢¢ энтальпия продуктов сгорания после рассчитываемой поверхности нагрева, определяется по таблице 4.5 при двух предварительно принятых температурах после конвективной поверхности нагрева; к - присос воздуха на конвективную поверхность нагрева, определяется как разность коэффициентов избытка воздуха на входе и выходе из нее;  - энтальпия присосанного на конвективную поверхность нагрева воздуха при температуре воздуха tB = 30 °С определяется по формуле (10.5).

. Вычисляем, расчетную температуру потока продуктов сгорания в конвективном газоходе (°С)

, (10.5)

где  и  - соответственно температура продуктов сгорания при входе на поверхность и на выходе из нее.

. Определяем температурный напор (°С)

, (10.6)

где tк - температура охлаждающей среды, для парового котла принимается равной температуре кипения воды с учетом давления в котле, а для водогрейного - равной полусумме температур воды при входе на поверхность нагрева и выходе из нее, °С.

. Подсчитаем среднею скорость продуктов сгорания на поверхности нагрева (м/с)

, (10.7)

где Вр - расчетный расход топлива, кг/с или м3/с, см. формулу (5.27); F - площадь живого сечения для прохода продуктов сгорания, м2; Vг - объем продуктов сгорания на 1 кг твердого и жидкого топлива или на 1 м3 газа (Берется из табл. 4.3 при соответствующем коэффициенте избытка воздуха);  - средняя расчетная температура продуктов сгорания, оС .

. Определяем коэффициент теплоотдачи конвекцией от продуктов сгорания к поверхности нагрева:

при поперечном омывании коридорных и шахматных пучков и ширм

; (10.8)

- при продольном омывании

, (10.9)

где н - коэффициент теплоотдачи, определяемый по номограммам:

при поперечном смывании коридорных пучков - по рисунку 10.1;

при поперечном смывании шахматных пучков - по рисунку 10.2;

при продольном смывании - по рисунку 10.3,

сг - поправка на число рядов труб по ходу продуктов сгорания, определяется:

при поперечном смывании коридорных пучков - по рисунку 10.1;

при поперечном омывании шахматных пучков - по рисунку 10.2,

cs - поправка на компоновку пучка, определяется:

при поперечном омывании коридорных пучков - по рисунку 10.1;

при поперечном омывании шахматных пучков - по рисунку 10.2,

сф - коэффициент, учитывающий влияние изменения физических параметров потока, определяется:

при поперечном омывании коридорных пучков труб - по рисунку 10.1;

при поперечном омывании шахматных пучков труб - по рисунку 10.2;

при продольном омывании труб - по рисунку 10.3,

сl - поправка на относительную длину, вводится при l/d<50 в случае прямого входа в трубу, без закругления; при продольном омывании продуктами сгорания поправка вводится для котельных пучков и не вводится для ширм (см. рис. 10.3).

. Вычисляем степень черноты газового потока. При этом необходимо вычислить суммарную оптическую толщину

kps=(kгrп+kзл)ps, (10.11)

где kг - коэффициент ослабления лучей трехатомными газами; kзл - коэффициент ослабления лучей золовыми частицами, определяется по рис. 10.5 при сжигании твердого топлива в пылеугольных топках; при сжигании газа, жидкого и твердого топлива в слоевых и факельно-слоевых топках принимается kзл = 0;  - концентрация золовых частиц, берется из расчетной таблицы 4.3; р - давление в газоходе, для котлоагрегатов без наддува принимается равным 0,1 МПа.

Толщина излучающего слоя для гладкотрубных пучков (м):

. (10.12)

9. Определяем коэффициент теплоотдачи л, учитывающий передачу теплоты излучением в конвективных поверхностях нагрева, Вт/(м2×К):

для запыленного потока (при сжигании твердого топлива)

для незапыленного потока (при сжигании жидкого и газообразного топлива)

где н - коэффициент теплоотдачи, определяется по номограмме на рисунке 10.4; а - степень черноты; сг - коэффициент, определяется по рисунку 10.4.

Рис. 10.2. Коэффициент теплоотдачи конвекцией при поперечном омывании шахматных гладкотрубных пучков

Рис. 10.3. Коэффициент теплоотдачи при продольном омывании для воздуха и продуктов сгорания

Для определения н и коэффициента сг вычисляется температура загрязненной стенки (°С)

а=t+t, (10.15)

где t - средняя температура окружающей среды, для паровых котлов принимается равной температуре насыщения при давлении в котле, а для водогрейных - полу сумме температур воды на входе в поверхность нагрева и на выходе из нее, °С; t - при сжигании твердых и жидких топлив принимается равной 60 °С, при сжигании газа 25 °С.

. Подсчитывается суммарный коэффициент теплоотдачи от продуктов сгорания к поверхности нагрева, Вт/(м2×К):

где  - коэффициент использования, учитывающий уменьшение тепловосприятия поверхности нагрева вследствие неравномерного омывания ее продуктами сгорания, частичного протекания продуктов сгорания мимо нее и образования застойных зон; для поперечно омываемых пучков принимается  = 1, для сложно омываемых пучков  = 0,95.

. Вычисляем коэффициент теплопередачи, Вт/(м2∙К)

где  - коэффициент тепловой эффективности, определяемый из таблиц 10.1 и 10.2 в зависимости от вида сжигаемого топлива.

. Определяем количество теплоты, воспринятое поверхностью нагрева, на 1 кг сжигаемого твердого и жидкого топлива или на 1 м3 газа (кДж/кг или кДж/м3)

. (10.18)

Таблица 10.1 Коэффициент тепловой эффективности  для конвективных поверхностей нагрева при сжигании различных твердых топлив

Топливо

Значение

АШ и тощие угли

0,6

Каменные, бурые угли, промпродукты каменных углей

0,65

Подмосковный уголь

0,7

Бурые угли канскоачинского месторождения, фрезерный торф и древесное топливо

0,6

Сланцы (северо-западные, кашпирские)

0,5

* Фестоны паровых котлов большой мощности, развитые котельные пучки котлов малой мощности, конвективные пароперегреватели и экономайзеры с коридорным расположением труб.



Рис. 10.4. Коэффициент теплоотдачи излучением

Таблица 10.2 Коэффициент тепловой эффективности  для конвективных поверхностей нагрева при сжигании мазута и газа

Поверхность нагрева

Скорость движения продуктов сгорания, м/с

Значение 

При сжигании мазута

Первые и вторые ступени экономайзеров с очисткой поверхности нагрева дробью

12-20 4-12

0,65-0,6 0,7-0,65

Пароперегреватели, расположенные в конвективной шахте, при очистке дробью, а также коридорные пароперегреватели в горизонтальном газоходе, без очистки; котельные пучки котлов малой мощности, фестоны

12-20 4-12

0,6 0,65-0,6

Экономайзеры котлов малой мощности (при температуре воды на входе 100оС и ниже)

4-12

0,55-0,5

При сжигании газа

Первые ступени экономайзеров и одноступенчатые экономайзеры, в том числе плавниковые и ребристые, при температуре продуктов сгорания на входе в них ≤400oC

-

0,9

Вторые ступени экономайзеров пароперегреватели и другие конвективные поверхности нагрева, в том числе плавниковые и ребристые, при температуре продуктов сгорания на входе в них >400oC

-

0,85


Температурный напор t определяется для прямотока, перекрестного тока с числом ходов более четырех при постоянной температуре одной из сред (испарительные конвективные поверхности нагрева) как средне логарифмическая разность температур (°С)

, (10.19)

где tб и tм - большая и меньшая разности температуры продуктов сгорания и температуры нагреваемой жидкости.

Для испарительной конвективной поверхности нагрева (°С)

, (10.20)

где tкип - температура насыщения для давлений в паровом котле, определяется из таблиц для насыщенных водяных паров, оС.

Если для прямотока, противотока, перекрестного тока с числом ходов более четырех при постоянной температуре одной из сред (испарительные конвективные поверхности нагрева ), то температурный напор может быть определен как среднеарифметическое разностей температур:

. (10.21)

. По принятым двум значениям температуры  и  и полученным двум значениям Qб и Qт производится графическая интерполяция для определения температуры продуктов сгорания после поверхности нагрева. Для этого строится зависимость , показанная на рисунке 10.5. Точка пересечения прямых укажет температуру продуктов сгорания , которую следовало бы принять в расчете. Если значение  отличается от одного из принятых предварительно значений и  не более чем на 50 оС, то для завершения расчета необходимо по  повторно определить только Qт, сохранив прежний коэффициент теплопередачи. При большем расхождении заново определяется коэффициент теплопередачи для найденной температуры .

Рис. 10.5. Графическое определение расчетной температуры

11. Расчет хвостовых поверхностей нагрева при сжигании разных видов топлива

Расчет конвективных пароперегревателей

Расчет конвективного пароперегревателя, имеющего поверхностный или впрыскивающий пароохладитель, установленный в рассечку, как показано на рисунке 11.1, г, производится по частям. Сначала рассчитывается первая по ходу продуктов сгорания часть в следующей последовательности:

. По имеющимся чертежам нужно определить площадь поверхности нагрева первой части пароперегревателя, относительный поперечный и продольный шаг труб (S1/d, S2/d), расположение труб (шахматное или коридорное), площадь живого сечения для прохода продуктов сгорания и пара.

. Далее - выбираем основные расчетные параметры: температуру продуктов сгорания на входе в пароперегреватель J¢ (берется из расчета предыдущей поверхности нагрева), давление, температуру и энтальпию перегретого пара. Задаться тепловосприятием пароохладителя Diпо = 60 - 85

Рис. 11.1. Схемы конвективных пароперегревателей (приведены по часовой стрелке): противоточная; прямоточная без пароохладителя; с последовательно-смешанным током и пароохладителем, установленным в рассечку; с последовательно-смешанным током без пароохладителя: 1 - барабан котла; 2 - коллектор перегретого пара; 3 - змеевики пароперегревателя; 4 - поверхностный или впрыскивающий пароохладитель; I, II - части пароперегревателя по движению продуктов сгорания

3. Зададимся двумя температурами продуктов сгорания J" после первой части пароперегревателя. В дальнейшем весь расчет выполнить при двух температурах продуктов сгорания.

. Для двух выбранных температур продуктов сгорания J" определяем теплоту, отданную продуктами сгорания пару (кДж/кг или кДж/м3)

Qб=j×(I¢ - I¢¢+ DaппI0прс),  (11.1.1)

где Daпп - присос воздуха в газоход пароперегревателя; I0прс определяется по формуле (5.5).

. Вычисляем энтальпию пара на выходе из пароохладителя, приравняв теплоту, отданную продуктами сгорания, теплоте, воспринятой паром (кДж/кг),

¢¢по = i пе - , (11.1.2)

где iпе - энтальпия перегретого пара, берется по давлению и температуре из таблиц для водяного пара, кДж/кг; Вр - расчетный расход топлива, определяется по формуле (9.12), кг/с.

. Из таблиц для водяного пара по значениям энтальпии и давления найдем температуру пара после пароохладителя.

. Определим температурный напор. При последовательно-смешанном токе (рис. 11.1, в и первая часть пароперегревателя на рис. 11.1, г) температурный напор (°С) определяется выражением:

Dtпе = y∙Dtпрт, (11.1.3)

где Dtпрт - температурный напор при противотоке, определяется по формуле (7.20); y - коэффициент пересчета от противоточной схемы к последовательно-смешанному току, определяется по номограмме, приведенной на рисунке 7.7.

При прямотоке температурный напор определяется по формуле (7.7).

Для пользования номограммой, показанной на рисунке 7.7, вычисляются безразмерные определяющие параметры:

А=Нпрм/Н; (11.1.4)

Р=; (11.1.5)

R=, (11.1.6)

где Нпрм - поверхность нагрева, в которой осуществляется прямоток, м2; Н - полная поверхность нагрева рассчитываемой части пароперегревателя, м2; J¢ и J¢¢ - температура продуктов сгорания на входе и выходе рассчитываемой части поверхности нагрева пароперегревателя, °С; t¢ и t" - температура пара на входе и выходе рассчитываемой части поверхности нагрева пароперегревателя, °С.

Рис. 11.7. Номограмма для определения температурного напора при последовательно-смешанном токе продуктов сгорания

8. Подсчитывается средняя скорость продуктов сгорания в газоходе пароперегревателя (м/с)

wг = . (11.1.7)

9. Определяем коэффициент теплоотдачи конвекцией (aк). При поперечном омывании коридорных и шахматных пучков труб коэффициент теплоотдачи определяется по формуле (11.9).

. Вычисляем расчетную скорость пара в змеевиках пароперегревателя, м/с

wп = Ducp/f , (11.1.8)

где D - расход пара, кг/с; uср - средний удельный объем пара, м3/кг (определяется из таблиц для водяного пара при среднеарифметических давлении и температуре пара рассчитываемой части пароперегревателя); f - площадь живого сечения для прохода пара, м2; f = 0,785d2внz; dвн - внутренний диаметр труб пароперегревателя, м; z - число параллельно включенных труб.

. Подсчитаем коэффициент теплоотдачи от стенки к пару, Вт/(м2×К),

a2 = aнсd, (11.1.9)

где aн - коэффициент теплоотдачи, определяемый из номограммы, показанной на рис. 11.8, по средним значениям скорости, давления и температуры пара в рассчитываемой части пароперегревателя; cd - поправочный коэффициент, определяемый по кривой, показанной на рисунке 7.8.

. Найдем степень черноты газового потока в соответствии с указаниями п. 8 в 11.1 (рекомендуемый порядок расчёта конвективных поверхностей нагрева).

. Вычислить температуру стенки труб пароперегревателя, принимаемую равной при сжигании твердого и жидкого топлива температуре наружного слоя золовых отложений на трубах (°С)

, (11.1.10)

где t - среднеарифметическое значение температуры пара в рассчитываемой части пароперегревателя, °С; e - коэффициент загрязнения, м2×К/Вт (для пароперегревателей с коридорным и шахматным расположением труб при сжигании жидких топлив принимается e = 0,00257; для пароперегревателей с коридорным расположением труб при сжигании твердых топлив e = 0,0043). При сжигании газообразного топлива температура загрязненной стенки труб пароперегревателя (0С)

t3 = t + 25, (11.1.11)

где t - среднеарифметическое значение температуры пара в рассчитываемой части пароперегревателя.

Рис. 11.8. Коэффициент теплоотдачи конвекцией от продуктов сгорания к перегретому пару при продольном смывании змеевиков пароперегревателя

14. Определим коэффициент теплоотдачи излучением, Вт/(м2×К):

для запыленного потока (при сжигании твердых топлив):

aл = aна; (11.1.13)

- для не запыленного потока (при сжигании жидкого и газообразного топлива):

aл = aнсга, (11.1.14)

где aн - коэффициент теплоотдачи излучением, определяется из номограммы, показанной на рисунке 11.4; сг - поправка, вводимая при отсутствии золовых частиц в продуктах сгорания (см. рис. 11.4); а - степень черноты продуктов сгорания.

. Подсчитаем коэффициент теплоотдачи от продуктов сгорания к стенке труб пароперегревателя, Вт/(м2×К)

a1 = x(aк + aл), (11.1.15)

где x - коэффициент использования (для поперечно омываемых пучков труб конвективных пароперегревателей принимается x = 1); aк - коэффициент теплоотдачи конвекцией от продуктов сгорания к поверхности нагрева, Вт/(м2×К).

. Определяем коэффициент теплопередачи. Для шахматных и коридорных пучков труб при сжигании газа и мазута, а также коридорных пучков при сжигании твердого топлива, Вт/(м2×К),

, (11.1.16)

где y - коэффициент тепловой эффективности, при коридорном расположении труб и сжигании твердых топлив определяется из таблицы 7.1; при сжигании газа принимается y = 0,85; при сжигании мазута с aт > 1,03y определяется из таблицы 7.2.

. Вычисляем количество теплоты, воспринятое пароперегревателем (кДж/кг или кДж/м3)

Qт=. (11.1.17)

18. По принятым двум значениям температуры и полученным значениям Qб и Qт производится графическая интерполяция для определения температуры продуктов сгорания после пароперегревателя (метод изложен в п. 13 раздела 7.1).

. По найденной температуре J¢¢, p и уравнению (10.22) определим Qб, а из уравнения (10.23) - энтальпию пара на выходе из пароохладителя I¢¢ПО. На этом расчет первой части пароперегревателя заканчивается.

Расчет второй (по ходу продуктов сгорания) части пароперегревателя, имеющего пароохладитель, включенный в рассечку, и расчет пароперегревателей без пароохладителей, схемы которых показаны на рис. 7.6, а-в, производится в следующей последовательности:

. Выбираются основные расчетные параметры: температура продуктов сгорания перед пароперегревателем или перед частью его (берется из расчета предыдущей поверхности нагрева), давление, температура и энтальпия перегретого пара (или энтальпия перегретого пара после второй части пароперегревателя).

Энтальпия пара после второй части пароперегревателя (кДж/кг)

. (11.1.18)

3. Из таблиц для перегретых паров по величине i'пo и давлению пара находится температура перегретого пара после второй части пароперегревателя.

. Определяется тепловосприятие пароперегревателя (кДж/кг или кДж/м3):

без пароохладителя

; (11.1.19)

- с поверхностным пароохладителем (при расчете второй части пароперегревателя):

; (11.1.20)

- с выпрыскивающим пароохладителем

, (11.1.21)

где iпе - энтальпия перегретого пара, кДж/кг; i'no - энтальпия пара после второй части пароперегревателя, кДж/кг; D - расход перегретого пара, кг/с; Вр - расход топлива, м3/с или кг/с; DD - расход охлаждающей воды на впрыскивающий пароохладитель, кг/с.

Расход воды на впрыскивающий пароохладитель (кг/с)

DD = D, (11.1.22)

где iж - энтальпия воды, подаваемой в пароохладитель (при впрыске "собственного конденсата" парового котла определяется по таблицам водяных паров для давления в конденсаторе).

. Из уравнения теплового баланса определяем энтальпию продуктов сгорания после всего пароперегревателя или его второй части (кДж/кг или кДж/м3)

, (11.1.23)

где I¢пп - энтальпия продуктов сгорания перед пароперегревателем (известна из расчета предыдущей поверхности нагрева), кДж/кг или кДж/м3; j - коэффициент сохранения теплоты, определяется по формуле (11.28); I0в - энтальпия теоретического объема воздуха, определяется по формуле (11.5); Qne - тепловосприятие пароперегревателя или его части.

. По величине I¢¢пп из таблицы 4.5 при зажанном коэффициенте избытка воздуха после пароперегревателя определяем температуру продуктов сгорания после пароперегревателя.

. При расчете второй части пароперегревателя коэффициент теплопередачи следует принимать равным коэффициенту теплопередачи, рассчитанному для первой части. В остальных случаях расчет коэффициента теплопередачи выполняется в последовательности, описанной при расчете первой части пароперегревателя (пп. 8 - 16).

. В зависимости от схемы взаимного движения продуктов сгорания и пара определяется температурный напор: при противотоке и прямотоке по формуле (10.19), при последовательно-смешанном токе по формуле (11.24).

. По уравнению теплопередачи определяется теплота, воспринятая пароперегревателем (кДж/кг или кДж/м3)

. (11.1.24)

. Производится сравнение тепловосприятий пароперегревателя Qт и Qne (в процентах), определяемых по уравнениям (11.25), (11.26)-(11.27):

. (11.1.25)

Если расхождение между Qт и Qne составляет не более 2 % (при отсутствии пароохладителя не более 3 %), расчет пароперегревателя считается оконченным, так как существующая поверхность нагрева обеспечит необходимую температуру перегретого пара.

В противном случае следует определить необходимую площадь поверхности нагрева всего пароперегревателя или его второй части (м2)

. (11.1.26)

Уменьшение поверхности нагрева пароперегревателя или его второй части может быть достигнуто укорачиванием змеевиков или удалением (вырезкой) отдельных змеевиков. При удалении змеевиков образовавшиеся коридоры должны быть заложены огнеупорным кирпичом, т. е. площадь живого сечения и поперечный шаг змеевиков S1 должны быть сохранены прежними. Увеличение поверхности нагрева пароперегревателя или его второй части может быть достигнуто удлинением змеевиков.

Расчет водяных экономайзеров

При установке только водяного экономайзера рекомендуется следующая последовательность его расчета:

. По уравнению теплового баланса определяется количество теплоты (кДж/кг или кДж/м3), которое должны отдать продукты сгорания при принятой температуре уходящих газов:

, (11.2.1)

где I¢эк - энтальпия продуктов сгорания на входе в экономайзер, определяется из таблицы 4.5 по температуре продуктов сгорания, известной из расчета предыдущей поверхности нагрева, кДж/кг или кДж/м3; I¢¢эк - энтальпия уходящих газов, определяется из таблицы 4.5 по принятой в начале расчета температуре уходящих газов, кДж/кг или кДж/м3; j - коэффициент сохранения теплоты, определяется по формуле (5.28); Daэк - присос воздуха в экономайзер, принимается по таблице 4.1; I0в - энтальпия теоретического количества воздуха, определяется по формуле (5.5).

. Определяем энтальпия воды после водяного экономайзера (кДж/кг). Для этого нужно приравнять теплоту, отданную продуктами сгорания, теплоте, воспринятой водой в водяном экономайзере,:

, (11.2.2)

где i¢эк - энтальпия воды на входе в экономайзер, кДж/кг; D - пар - производительность котла, кг/с; Dпр - расход продувочной воды, кг/с.

По энтальпии воды после экономайзера и ее давлению из таблиц для воды и водяного пара нужно определить температуру воды после экономайзера t¢¢эк. Если полученная температура воды окажется на 20 °С ниже температуры при заданном давлении в барабане котла, то для котлов давлением до 2,4 МПа к установке принимают чугунный водяной экономайзер. При несоблюдении указанных условий к установке следует принять стальной змеевиковый водяной экономайзер.

. В зависимости от направления движения воды и продуктов сгорания нужно определим температурный напор по уравнению (10.19).

. Далее нужно выбрать конструктивные характеристики принятого к установке экономайзера. Для чугунного и стального экономайзера выбирается число труб в ряду с таким расчетом, чтобы скорость продуктов сгорания была в пределах от 6 до 9 м/с при номинальной паропроизводительности котла. Конструктивные характеристики труб чугунных экономайзеров ВТИ приведены в таблице 7.3. Число труб в ряду для чугунных экономайзеров должно быть не менее трех и не более 10.

Таблица 7.3. Конструктивные характеристики труб чугунных экономайзеров ВТИ и ЦККБ

Характеристика одной трубы

Экономайзер ВТИ

Экономайзер ЦККБ

Длина, мм

1500

2000

2500

3000

1990

Площадь поверхности нагрева с газовой стороны, м2

2,18

2,95

3,72

4,49

5,50

Площадь живого сечения для прохода продуктов сгорания

0,088

0,120

0,152

0,184

0,21


Стальные экономайзеры выполняются в виде змеевиков из труб с наружным диаметром 28-38 мм (толщина стенки до 4 мм). В промышленных котлах вертикальной ориентации змеевики обычно располагаются параллельно фронту котла. Для более компактной компоновки стального экономайзера применяют шахматное расположение труб и минимальные относительные шаги S1/d и S2/d. При этом относительный шаг S1/d = 2,2 - 3,5, а минимальный относительный шаг для однониточных змеевиков при холодной гибке труб S2/d = 2.

Число параллельно включенных змеевиков в пакете:

, (11.2.3)

где d - расход воды через экономайзер, кг/с; wr - массовая скорость воды на входе в экономайзер, должна быть 600-800 кг/(мг-с); dвн - внутренний диаметр трубы, мм.

. Действительная скорость продуктов сгорания в экономайзере (м/с) определяется по формуле

, (11.2.4)

где Вр - расчетный расход топлива, кг/с или м3/с; Vг - объем продуктов сгорания при среднем коэффициенте избытка воздуха, определяется из табл. 4.3; Jэк - среднеарифметическая температура продуктов сгорания в экономайзере, °С; Fэк - площадь живого сечения для прохода продуктов сгорания, м2.

Площадь живого сечения для прохода продуктов сгорания:

при установке чугунного водяного экономайзера

Fэк = z1∙Fтр; (11.2.5)

при установке стального водяного экономайзера

Fэк = a∙b - z1∙l∙d, (11.2.6)

где Fтр - площадь живого сечения для прохода продуктов сгорания одной трубы, берется из таблицы 7.3; z1 - число труб в ряду; а и b - размеры газохода, м; l - длина змеевика, м; d - наружный диаметр труб, м.

. Определение коэффициента теплопередачи. Для чугунных экономайзеров коэффициент теплопередачи K = kнсu определяется с помощью номограммы рисунка 7.9.

Для стальных водяных экономайзеров при сжигании газа и мазута (шахматные и коридорные пучки), а также для коридорных пучков при сжигании твердого топлива коэффициент теплопередачи, Вт/(м2×К),

К = y∙a1, (11.2.7)

где y - коэффициент тепловой эффективности, для газа и мазута принимается по таблице 7.2, а для твердого топлива - по таблице 7.1; a1 - коэффициент теплоотдачи от продуктов сгорания к стенке труб, определяется по формуле (10.16).

Коэффициент теплоотдачи конвекцией, входящий в формулу (10.16), определяется, как указано в п. 7 раздела 7.1, а коэффициент теплоотдачи л, учитывающий передачу теплоты излучением, подсчитывается в соответствии с пп. 8 и 9 этого же раздела. При этом температура загрязненной стенки водяного экономайзера определяется по формуле

t3 = t + Dt, (11.2.8)

где t - средняя температура охлаждающей среды, принимается равной полусумме температур воды на входе в экономайзер и на выходе из него, °С; Dt при температуре продуктов сгорания J>400 °С и сжигании твердых и жидких топлив принимается равным 60 °С, а при J £ 400 °С - равным 25 °С. При сжигании газа для обоих случаев Dt = 25 °С.

Рис. 7.9. Коэффициент теплопередачи для чугунных экономайзеров

. Далее определяем площадь поверхности нагрева водяного экономайзера (м2)

. (11.2.9)

. По полученной поверхности нагрева экономайзера окончательно устанавливаются его конструктивные характеристики. Для чугунного экономайзера определим общее число труб и число рядов по формулам:

n = Hэктр; (11.2.10)= n/z1, (11.2.11)

где Hтр - площадь поверхности нагрева одной трубы, м2; z1 - принятое число труб в ряду.

Для стального экономайзера определяется длина каждого змеевика (м), число петель и полную высоту пакетов экономайзера (м):

; (11.2.12)пет = lзм/а¢;  (11.2.13)эк = zпетSпет, (11.2.14)

где d - наружный диаметр труб экономайзера, м; z - полное число труб экономайзера, включенных параллельно; а' - длина пакета экономайзера, м; Sпет = 2S2 - шаг петли экономайзера, м; S2 - расстояние между осями соседних рядов труб по ходу продуктов сгорания, м.

. Невязка теплового баланса (кДж/кг или кДж/м3) определяется по формуле:

DQ = hбр - (Qл+Qк+Qпе+Qэк)(1-q4/100), (11.2.15)

где Qл, Qл, Qпе, Qэк - количества теплоты, полученные лучевоспринимающими поверхностями топки, котельными пучками, пароперегревателем и экономайзером; в формулу подставляют значения, определенные из уравнения баланса.

При правильном расчете невязка не должна превышать 0,5% .

Расчёт воздухоподогревателей

Расчет трубчатых воздухоподогревателей, установленных после водяного экономайзера, производится в такой последовательности:

. При конструктивном расчете воздухоподогревателя выбрать диаметр труб, поперечный S1/d и продольный S2/d относительный шаг, площади поперечного сечения для прохода продуктов сгорания и воздуха, число ходов. Для трубчатых воздухоподогревателей применяются трубы с наружным диаметром 33-40 мм при толщине стенки 1,5 мм. При сжигании газа допускаются трубы диаметром 29 мм. Относительный поперечный шаг обычно принимается S1/d = 1,5 - 1,6, а продольный S2/d = 1,05 - 1,1. Площадь поперечного сечения для прохода продуктов сгорания выбирается из расчета получения скорости газов 9-13 м/с, а для прохода воздуха - из расчета 4,5 - 6 м/с.

При поверочном расчете существующего воздухоподогревателя перечисленные характеристики и его поверхность нагрева определяются из чертежей.

. Определяем минимальный температурный напор на горячем конце воздухоподогревателя (°С)

Dtгор = J¢вп - tг.в,  (11.3.1)

где J¢вп - температура продуктов сгорания на входе в воздухоподогреватель, известна из расчета предыдущей поверхности нагрева; tг.в - температура горячего воздуха, принята при составлении уравнения теплового баланса котлоагрегата, °С.

Если значение Dtгор окажется меньшим 25-30 оС, то при конструктивном расчете это укажет на необходимость в неоправданно большой поверхности нагрева, а при поверочном - на недостаточность имеющегося воздухоподогревателя для получения принятой температуры горячего воздуха. В обоих случаях необходимо снизить температуру горячего воздуха и произвести расчет котлоагрегата заново, или применить двухступенчатую компоновку воздухоподогревателя.

. Определяем тепловосприятие воздуха в воздухоподогревателе. При предварительном подогреве воздуха в калорифере тепловосприятие в воздухоподогревателе (кДж/кг или кДж/м3)

, (11.3.2)

где bг.в - отношение количества горячего воздуха к теоретически необходимому,

bг.в = aт - Daт - Daпл; (11.3.3)

где aт, Daвп, Daпл - присосы воздуха в топку, воздухоподогреватель и системы пылеприготовления (определяются из таблиц 4.1 и 5.7); I0вп, I0г.в - энтальпия теоретического количества воздуха на входе в воздухоподогреватель и на выходе из него, определяется из таблицы 4.5 для соответствующих температур, принятых при составлении уравнения теплового баланса котла.

. Из уравнения теплового баланса определяется энтальпия продуктов сгорания после воздухоподогревателя (кДж/кг или кДж/м3)

. (11.3.4)

Полученное значение I¢¢вп сравнивается с предварительно принятым при составлении теплового баланса значением энтальпии уходящих газов. Если расхождение не превысит 0,5 % располагаемой теплоты , то расчет выполнен правильно.

. В зависимости от взаимного движения воздуха и продуктов сгорания определим температурный напор в воздухоподогревателе. При прямотоке и противотоке температурный напор определяется по уравнению (10.19), а при последовательно-смешанном и перекрёстном токе - определяется по номограмме, показанной на рисунке 7.7, а параметры А, Р и R, необходимые для использования номограммы, - по формулам (10.25-10.27). Поправочный коэффициент y для перекрестного тока определяется по номограмме, приведенной на рисунке 7.10, в зависимости от числа ходов. Схемы перекрестного тока с разным числом ходов показаны на рисунке 7.11.

Для использования номограммы вычисляются безразмерные параметры

, (11.3.5)

R = tб / tм, (11.3.6)

где J' и t' - температуры продуктов сгорания и воздуха на входе в поверхность нагрева, оС; t0 - изменение (перепад) температуры при прохождении поверхности нагрева той средой, у которой перепад больше, °С; tм - изменение температуры второй среды (меньше), оС.

. Определим скорость продуктов сгорания в воздухоподогревателе (м/с)

wг =, (11.3.7)

где Bр - расчетный расход топлива, кг/с или м2/с; Vг - объем продуктов сгорании, берется из таблицы 4.3; J - среднеарифметическая температура продуктов сгорания на входе и выходе из воздухоподогревателя, оС; Fвп - площадь поперечного сечения для прохода продуктов сгорания, м2

7. Вычисляем скорость воздуха в воздухоподогревателе (м/с)

, (11.3.8)

где V0 - теоретическое количество воздуха, необходимее для горения, берется из таблицы 4.3; t - среднеарифметическая температура воздуха на входе и выходе из воздухоподогревателя, °С; F - площадь поперечного сечения для прохода воздуха, м2.

. Рассчитываем коэффициент теплоотдачи конвекцией от продуктов сгорания к стенке в соответствии с указаниями, приведенными в разделе 7.1, п. 7.

. Определим суммарный коэффициент теплоотдачи от продуктов сгорания к поверхности нагрева, Вт/(ма×К),

a1 = x×(aк - aл), (11.3.9)

где aл - коэффициент теплоотдачи излучением, для трубчатых воздухоподогревателей первой ступени (по ходу воздуха) принимается aл =0; x - коэффициент использования, при сжигании АШ, фрезерного торфа, мазута и древесного топлива принимается равным 0,8, а для всех остальных топлив - равным 0,85.

. Определяем коэффициент теплоотдачи от стенки поверхности нагрева к воздуху, Вт/(м2К). При поперечном смывании коридорных и шахматных пучков

a2 = aнсzсscф, (11.3.10)

где aн - коэффициент теплоотдачи по номограмме, при поперечном омывании коридорных пучков определяется из рисунка 7.1, при поперечном смывании шахматных пучков - из рисунка 7.2; сz, сs, cф - поправки, определяемые при поперечном смывании коридорных пучков из рисунка 7.1, а при поперечном смывании шахматных пучков - из рисунка 7.2.

Для определения перечисленных выше поправок необходимо вычислить среднюю температуру воздуха

t = (t¢в + t¢¢в)/2, (11.3.11)

и относительные шаги a1 = S1/d и a2 = S2 /d.

. Вычисляем коэффициент теплопередачи, Вт/(м2К),

K=x. (11.3.12)

. При конструктивном расчете из уравнения теплопередачи определяется площадь поверхности нагрева воздухоподогревателя (м2)

. (11.3.13)

При поверочном расчете (поверхность нагрева воздухоподогревателя известна) из уравнения теплопередачи определяется теплота, воспринятая воздухом (кДж/кг или кДж/м3),

. (11.3.14)

По значению Qвп определяется энтальпия горячего воздуха после воздухо-подогревателя (кДж/кг или кДж/м3)

. (11.3.15)

Рис. 7.10. Номограмма для определения температурного напора при перекрестном токе

Рис. 7.11. Схемы перекрестного тока с разным числом перекрестов, указанным на кривых внизу рис. 7.10: 1 - однократный перекрест; 2 - двукратный; 3 - трехкратный; 4 - четырехкратный

По величине I0г.в из таблицы 4.5 определяется температура горячего воздуха после воздухоподогревателя tг.в. Если эта температура отличается от принятой при составлении уравнения теплового баланса (см. гл. 5) не более чем на ±40 °С, то расчет считается оконченным. В противном случае расчет котлоагрегата следует повторить, задавшись новой температурой горячего воздуха, близкой к полученной.

Заключения

В данной курсовой работе мною был произведен тепловой и поверочный расчет парового котла Е (ДЕ) - 6,5 - 14 ГМО, топливом для которого является природный газ "Гоголево-Полтава" Резервное топливо Сернистый мазут. Определил температуру и энтальпию воды, пара, и продуктов сгорания на границах поверхностей нагрева, КПД котла, расход топлива, геометрические и тепловые характеристики топки и чугунного экономайзера.

Список использованных источников

котлоагрегат топливо горелка тепловой

1. Котельный установки курсовые и дипломные проектирование автор Р.И. Эстеркин (05.03.15)

. Котлы типа ДЕ [электронный ресурс] #"868631.files/image269.gif">

Рис. 1.Б - Номограмма для определения коэффициента ослабления лучей трёхатомными газами

Приложение В

Продольный разрез котолоагрегата совместно с хвостовыми поверхностями нагрева

Рисунок 1В - продольный разрез котолоагрегата ДЕ-6,5-14ГМ-О совместно с хвостовыми поверхностями нагрева

Приложение Г

План котолоагрегата совместно с хвостовыми поверхностями нагрева

Рисунок 1 Г - план котолоагрегата ДЕ-6,5-14ГМ-О совместно с хвостовыми поверхностями нагрева

Приложение Д

Общий вид выбранной горелки

Рисунок 1.1 Д - Общий вид выбранной горелки ГМ-4,5

Рисунок 1.2 Д - Общий вид выбранной горелки ГМ-4,5

Похожие работы на - Поверочный тепловой расчет котлоагрегата

 

Не нашли материал для своей работы?
Поможем написать уникальную работу
Без плагиата!
Без нейросетей!