Эффективность методик оценки качества потенциальных заемщиков, применяемые коммерческим банками в процессе кредитного анализа

  • Вид работы:
    Курсовая работа (т)
  • Предмет:
    Банковское дело
  • Язык:
    Русский
    ,
    Формат файла:
    MS Word
    1,29 Мб
  • Опубликовано:
    2015-06-14
Вы можете узнать стоимость помощи в написании студенческой работы.
Помощь в написании работы, которую точно примут!

Эффективность методик оценки качества потенциальных заемщиков, применяемые коммерческим банками в процессе кредитного анализа

ОГЛАВЛЕНИЕ

ВВЕДЕНИЕ

. Теория основных оценок кредитование способности

.1 Понятие кредитоспособности цели и задачи оценки кредитоспособности

.2 Информационная база для оценки кредитоспособности

. Методы оценки кредитоспособности заемщика

.1 Количественный анализ

.2 Качественный анализ

.3 Модели диагностики банкротства

. Анализ и пути совершенствования оценки кредитоспособности

.1 Оценка кредитоспособности предприятия-заемщика на примере ОАО «Покровский хлеб»

.2 Проблемы и пути их решения при кредитовании предприятия

ЗАКЛЮЧЕНИЕ

Список литературы

Приложение А

Приложение Б

ВВЕДЕНИЕ

Актуальность исследования на сегодняшний день, в условиях нестабильности экономики банки, является важнейшим элементом, способствующим укреплению рыночной экономики.

Перемены, происходящие в экономике России, предполагают существенные изменения во взаимоотношениях между коммерческими банками и предприятиями. Большая часть предприятий, пользуется услугами банков, но в кризисное время банки, могут досрочно повышать ставки по кредитам и менять прочие условия договора. Доверие физических лиц к банковской системе кредитования, зависит, от стабильности и гарантии возвратов денежных средств самим заёмщиком. В нынешних условиях хозяйствования коммерческие банки вынуждены работать в чрезвычайных обстоятельствах [2, с. 6]. Они оказались в центре многих противоречивых, кризисных и трудно прогнозируемых процессов, происходящих в экономике, политике и социальной сфере.

Кризис неплатежей повышает риск невозврата ссуды клиентом банку. Поэтому в настоящий момент особенно важное значение приобретают методики оценки качества потенциальных клиентов. Исходным моментом в оценке возможностей потенциального клиента, желающего получить кредит, является определение банком возможности заемщика вернуть основную сумму кредита в обусловленное время и уплатить проценты за пользование им.

Один из основных способов избежания невозврата ссуды является тщательный и квалифицированный отбор потенциальных заемщиков. Главным средством такого отбора является экономический анализ деятельности клиента с позиции его кредитоспособности. Эффективная организация процесса оценки кредитоспособности заемщика позволяет снизить уровень кредитных рисков банка и создать необходимые условия для качественного обслуживания клиентов банка, предъявляющих спрос на кредитные продукты.

Объект исследования: кредитоспособность заемщика.

Предмет исследования: методика анализа и оценки кредитоспособности заемщика.

Цель исследования: выявление эффективности методик оценки качества потенциальных заемщиков, применяемые коммерческим банками в процессе кредитного анализа.

Для достижения цели нужно решить такие задачи:

)        раскрыть понятие кредитоспособности, цели и задачи оценки кредитоспособности;

)        оценить кредитоспособность предприятия-заемщика на примере ОАО «Покровский хлеб»;

Методологической и теоретической основой исследования послужили труды зарубежных и отечественных авторов в области инвестиций, кредита, управления рисками; материалы конференций. В работе использовались такие методы и приемы, как наблюдение, анализ, классификация.

Структура курсовой работы: введение, основная часть (три главы разделенные на параграфы), заключение, список используемой литературы и приложения.

В первой главе курсовой работы рассматриваются теоретические аспекты изучаемой проблемы, а именно: раскрываются понятие кредитоспособности, цели и задачи оценки кредитоспособности; изучается информационная база для оценки кредитоспособности предприятия.

Во второй главе приводится методика анализа кредитоспособности предприятия, то есть разъясняется методика количественного и качественного анализа для оценки кредитоспособности предприятия.

Третья глава носит рекомендательный характер. В ней на примере предприятия показан процесс оценки кредитоспособности и выявлены проблемы при кредитовании предприятий, а также указаны пути решения таких проблем.

1. ТЕОРИЯ ОСНОВНЫХ ОЦЕНОК КРЕДИТОСПОСОБНОСТИ

 

1.1 Понятие кредитоспособности, цели и задачи оценки кредитоспособности


Кредитование является наиболее распространенным инструментом платного размещения банковских ресурсов [8, с. 109]. Раздвоенность активных операций банка, в том числе и кредитования, заключается в поиске оптимального соотношения риска и доходности. В этой связи одним из важнейших направлений работы коммерческого банка является оценка кредитоспособности потенциальных заемщиков.

Прежде всего, в уточнении нуждается сам термин «кредитоспособность». Распространено отождествление кредитоспособности с платежеспособностью. Последняя состоит в возможности организации полностью и в установленный срок погасить свои долговые обязательства. Однако, по нашему мнению, понятие кредитоспособности является более сложным и требует более тщательной формулировки. С одной стороны, платежеспособность является более широким понятием по отношению к кредитоспособности. С другой стороны - они обладают разной экономической и правовой природой. Рассмотрим выше обозначенные различия. Рассматривая правовую сторону вопроса необходимо выделять способность организации к совершению кредитной сделки. Для подтверждения правоспособности заемщика в банк должны быть представлены следующие документы:

1)      нотариально удостоверенную копию устава, зарегистрированного в установленном законодательством порядке;

)        нотариально удостоверенный пакет учредительных документов, если законодательством предусмотрено его составление;

3)      нотариально заверенную карточку образцов подписей должностных лиц, имеющих право распоряжаться счетом, и оттиска печати;

)        нотариально удостоверенную копию свидетельства о регистрации;

)        разрешение на осуществление предпринимательской деятельности с указанием срока функционирования (для предпринимателей, осуществляющих свою деятельность без образования юридического лица);

)        разрешение (лицензию) на занятие отдельными видами деятельности;

)        копии документов, подтверждающих полномочия должностных лиц на заключение соответствующих договоров с кредитной организацией [18, с. 99].

Анализ данных документов не является чистой формальностью, поскольку в случае наличия в уставе заемщика оговорок ограничивающих права руководящих органов на вступления в кредитные отношения, в соответствии со ст. 174 ГК РФ и постановления пленума ВАС № 9 от 14.05.1998, кредитный договор может быть признан недействительным.

С экономической точки зрения - различия состоят в источниках погашения. Если при определении платежеспособности необходимо учитывать нормальный характер функционирования хозяйствующего субъекта, то для оценки кредитоспособности нужно учитывать ситуацию, при которой заемщик окажется не в состоянии в полном объеме и в срок погасить свою задолженность. В этой связи предмет оценки следует расширить и включить в него: во-первых, оценку заложенного имущества, в случае, если обеспечением возвратности кредита был залог; во-вторых, оценку финансового состояния гарантов или поручителей, при наличии гарантий или поручительств третьих лиц; в-третьих, общее имущественное состояние организации в свете ее возможного банкротства.

Наиболее комплексно понятие кредитоспособность раскрыто в следующем определении: «…КРЕДИТОСПОСОБНОСТЬ представляет собой оценку банком заемщика с точки зрения возможности и целесообразности предоставления ему кредита и определяет вероятность своевременного возврата основной суммы долга и выплаты процентов по ним в будущем». В дальнейшем мы будем придерживаться именно этого определения.

Рассмотрим основные цели и задачи оценки кредитоспособности хозяйствующего субъекта.

Ключевыми целями анализа кредитоспособности являются:

) Определение способности и готовности заемщика вернуть запрашиваемую ссуду в соответствии с условиями кредитного договора.

) Оценка риска, связанного с кредитованием данной организации.

) Определение размера кредита, который может быть предоставлен, и условий его предоставления [15, с. 376].

Основными задачами оценки кредитоспособности являются:

) Формирование общей характеристики потенциального заемщика. На данном этапе должна быть подтверждена правоспособность заемщика и лиц, выступающих от его имени, на вступление в кредитные отношения с банком, а также получена информация о кредитной истории организации, о собственниках и руководителях предприятия.

) Проведение экономического анализа организации. Данная задача является наиболее трудоемкой и ответственной, поскольку требует создания прогноза будущего финансового состояния заемщика. Решение данной задачи проходит в несколько этапов:

а) Оценка достаточности, достоверности и полноты источников информации. Более подробно этот аспект работы банка освещен в пункте 2 настоящей главы.

б) Анализ имущественного состояния организации.

в) Анализ ликвидности и платежеспособности.

г) Анализ финансовой устойчивости.

д) Анализ деловой активности.

е) Анализ рентабельности.

ж) Анализ качественных показателей.

В жизни возможна корректировка данного плана, как в сторону уменьшения, так и увеличения количества этапов или их последовательности.

) Оценка качества обеспечения кредита. Вопрос обеспеченности кредита является чрезвычайно сложным. При оценке обеспечения необходимо так же рассматривать правовую и экономическую составляющие. Наиболее существенными являются вопросы подтверждения залогодателем прав на заложенное имущество и прав на вступления в залоговые правоотношения, а так же вопрос ликвидности и сохранности имущества. В случае надлежащего правового оформления залога необходимо уточнить:

а) определена ли рыночная стоимость предметов залога на момент оценки риска;

б) оформлена ли юридическая документация таким образом, что время, необходимое для реализации залога, не превышает 150 дней со дня, когда реализация залоговых прав становится необходимой;

в) достаточность рыночной стоимости предметов залога для компенсации банку основной суммы долга по ссуде, процентов в соответствии с договором и издержек, связанных с реализацией залоговых прав [15, с. 388].

В случае наличия сомнений в качестве залога существует практика личного поручительства руководителей и собственников заемщика.

1.2 Информационная база для оценки кредитоспособности предприятия

кредитоспособность диагностика банкротство оценка

Для эффективного проведения оценки кредитоспособности предприятия необходимо, в первую очередь, создать информационную базу анализа. В целях определения категории качества ссуды, при формировании резервов на возможные потери по ссудам, в положении ЦБ 254-П от 26.03.04 изложен примерный перечень информации для анализа финансового положения заемщика:

) Данные официальной отчетности (официальные документы).

Для заемщика - юридического лица (за исключением кредитных организаций):

а) годовая бухгалтерская отчетность в полном объеме, составленная на основании образцов форм.

б) публикуемая отчетность за три последних завершенных финансовых года: форма № 1 «Бухгалтерский баланс»; форма № 2 «Отчет о прибылях и убытках» на последнюю отчетную дату.

) Информация, которую целесообразно принимать во внимание в случае ее доступности:

а) отчетность, составленная в соответствии с Международными стандартами финансовой отчетности;

б) управленческая отчетность и иная управленческая информация;

в) бюджет либо план на текущий финансовый год;

г) ежеквартальный отчет эмитента ценных бумаг о существенных фактах (событиях и действиях), затрагивающих финансово-хозяйственную деятельность эмитента.

д) Данные о движении денежных средств;

е) Данные о просроченной дебиторской и кредиторской задолженности, непогашенных в срок кредитах и займах, о просроченных собственных векселях заемщика;

ж) Справка о наличии в составе дебиторской задолженности, а также в составе долгосрочных и краткосрочных финансовых вложений задолженности и вложений в доли (акции) юридических лиц, которые находятся в стадии ликвидации или в отношении которых возбуждено дело о банкротстве на последнюю отчетную дату;

з) Справки об открытых расчетных (текущих) счетах в кредитных организациях, выданные или подтвержденные налоговым органом, либо выписки с банковских счетов об остатках денежных средств на счетах в иных кредитных организациях, выданные и подтвержденные кредитными организациями;

и) Справки об отсутствии у заемщика картотеки неоплаченных расчетных документов по всем открытым расчетным (текущим) счетам, выданные обслуживающими эти счета кредитными организациями, а также справки из налоговых органов об отсутствии задолженности перед бюджетом всех уровней и внебюджетными фондами;

к) Сведения о существенных событиях, затрагивающих финансово-хозяйственную деятельность заемщика, произошедших за период с последней отчетной даты до даты анализа финансового положения заемщика (о фактах, повлекших разовое существенное увеличение или уменьшение стоимости активов; о фактах, повлекших разовое существенное увеличение чистых убытков; о фактах разовых сделок, размер которых либо стоимость имущества по которым составляет существенную долю в активах заемщика на дату осуществления сделки) (степень существенности событий определяется во внутренних документах кредитной организации);

л) Иные доступные сведения, в том числе:

·        страновой риск,

·        общее состояние отрасли, к которой относится заемщик,

·        конкурентное положение заемщика в отрасли,

·        деловая репутация заемщика и руководства организации-заемщика (единоличного исполнительного органа, членов коллегиального исполнительного органа, членов совета директоров),

·        качество управления организацией-заемщиком,

·        краткосрочные и долгосрочные планы и перспективы развития заемщика,

·        степень зависимости от аффилированных лиц и самостоятельность в принятии решений,

·        принадлежность заемщика к финансовым группам и холдингам,

·        существенная зависимость от одного или нескольких поставщиков и (или) заказчиков,

·        меры, предпринимаемые заемщиком для улучшения своего финансового положения,

·        вовлеченность заемщика в судебные разбирательства,

·        информация о различных аспектах в деятельности заемщика (сфера бизнеса, отраслевые особенности, специализация на видах продукции или услуг и иные аспекты),

·        степень зависимости от государственных дотаций,

·        значимость заемщика в масштабах региона,

·        зависимость деятельности заемщика от роста цен при покупке товаров и услуг и от падения цен при продаже товаров и услуг,

·        согласованность позиций акционеров (участников) юридического лица - заемщика, имеющих право владения пятью и более процентами голосующих акций (долей) организации, по основным вопросам деятельности заемщика, в том числе финансовым и производственным,

·        вероятность открытия в ближайшем будущем или фактическое начало процедуры банкротства и (или) ликвидации заемщика,

·        информация о выполнении заемщиком обязательств по другим договорам и перед другими кредиторами, включая задолженность перед резидентами и нерезидентами по полученным кредитам (займам, депозитам), а также обязательства по предоставленным поручительствам и (или) гарантиям в пользу резидентов и нерезидентов, по платежам в бюджеты всех уровней.

) Сравнительные данные (в динамике) по предприятиям, работающим в сопоставимых условиях (тот же профиль деятельности, те же размеры), содержащие сведения о:

а) финансовой устойчивости (состоятельности);

б) ликвидности (платежеспособности), в том числе о движении денежных средств;

в) прибыльности (рентабельности);

г) деловой активности и перспективах развития соответствующего сегмента рынка.

Данный перечень является практически исчерпывающим. Очевидно, что количество предоставляемых для анализа данных зависит от размера запрашиваемого кредита и индивидуальных особенностей конкретного заемщика, в числе которых можно выделить:

) Кредитную историю.

) Отрасль хозяйства, в которой функционирует данное предприятие. Чем выше отраслевой риск или чем выше волатильность внешних условий функционирования предприятий отрасли, тем больший объем информации требуется для анализа.

) Структура организации бизнеса заемщика. Использование сложных схем движения денежных средств и управления внутри группы требует консолидации отчетности и другой информации, поскольку при определении кредитоспособности первоочередную роль играет экономическое содержание хозяйствующих процессов, а не правовая форма их выражения.

Основной проблемой, встающей перед банками при оценке кредитоспособности в части информационного обеспечения, является полнота и достоверность предоставляемой информации [19, с. 214]. Во-первых, применение холдинговых схем организации бизнеса делает бесполезным анализ отчетности отдельных компаний, входящих в холдинг. Консолидированную отчетность по стандартам МСФО составляет очень небольшая доля российских предприятий, которые, как правило, в российских банках не кредитуются. В этой связи в целях консолидации бухгалтерской отчетности следует руководствоваться приказом министерства финансов № 112 от 30.12.1996 (%), в соответствии с которым при объединении бухгалтерской отчетности головной организации и дочерних обществ в сводный бухгалтерский баланс не включаются:

) Финансовые вложения головной организации в уставные капиталы дочерних обществ и соответственно уставные капиталы дочерних обществ в части, принадлежащей головной организации;

) Показатели, отражающие дебиторскую и кредиторскую задолженность между головной организацией и дочерними обществами, а также между дочерними обществами;

) Прибыль и убытки от операций между головной организацией и дочерними обществами, а также между дочерними обществами;

) Дивиденды, выплачиваемые дочерними обществами головной организации, либо другим дочерним обществам той же головной организации, а также головной организацией своим дочерним обществам. В сводной бухгалтерской отчетности отражаются лишь дивиденды, подлежащие выплате организациям и лицам, не входящим в группу;

) Части активов и пассивов дочерних обществ, не относящихся к деятельности Группы, когда головная организация имеет пятьдесят и ниже процентов голосующих акций акционерного общества или уставного капитала в обществе с ограниченной ответственностью. Доля активов и пассивов дочернего общества в этом случае для включения в сводную бухгалтерскую отчетность определяется исходя из доли голосующих акций дочернего общества, принадлежащих головной организации, в их общем количестве или доли участия головной организации в уставном капитале дочернего общества.

При консолидации отчетов о прибылях и убытках из консолидированного отчета необходимо исключить:

) Выручку от реализации продукции (товаров, работ, услуг) между головной организацией и дочерними обществами, а также между дочерними обществами одной головной организации и затраты, приходящиеся на эту реализацию;

) Дивиденды, выплачиваемые дочерними обществами головной организации, либо другим дочерним обществам той же головной организации, а также головной организацией своим дочерним обществам. В сводном отчете о прибылях и убытках отражаются лишь дивиденды, подлежащие выплате организациям и лицам, не входящим в Группу;

) Любые иные доходы и расходы, возникающие в результате операций между головной организацией и дочерними обществами, а также между дочерними обществами одной головной организации;

) Финансовый результат деятельности дочерних обществ в части доходов и расходов, не относящихся к деятельности Группы, когда головная организация имеет пятьдесят и ниже процентов голосующих акций в акционерном обществе или пятьдесят и ниже процентов уставного капитала в обществе с ограниченной ответственностью. В этом случае финансовый результат деятельности дочернего общества в части доходов и расходов для включения в сводный отчет о прибылях и убытках определяется исходя из доли голосующих акций дочернего общества, принадлежащей головной организации, в их общем количестве или доли участия головной организации в уставном капитале дочернего общества.

Во-вторых, целый ряд значимых показателей, таких как состав реальных собственников компании, качество корпоративного управления, вовлеченность в судебные разбирательства, степень зависимости от аффилированных лиц и пр. оценить достаточно сложно и затратно.

Несомненно, важнейшим источником информации для анализа кредитоспособности предприятия-заемщика является бухгалтерская отчетность. Однако перед проведением непосредственного анализа отчетности необходимо учесть целый ряд существенных нюансов, пренебрежение которыми способно исказить реальную картину финансового состояния организации.

Баланс не отражает точную стоимость предприятия на день оценки. Бухгалтерские стандарты используют в качестве основы при оценке активов и пассивов первоначальную стоимость - стоимость в ценах приобретения, которая, несмотря на регулярные амортизационные отчисления, не соответствует стоимости активов и пассивов на день оценки (амортизация и методы списания стоимости являются лишь неточным и искусственным приблизительным отражением действительного процесса старения актива).

Для определения реальной стоимости некоторых статей баланса необходима перспективная оценка. Примером служит дебиторская задолженность, оцененная и очищенная с точки зрения возвратности; запасы, стоимость которых должна быть основана на их продажности; и необоротные активы, реальная стоимость которых должна базироваться на сроке годности, длительности эксплуатации [11, с. 51].

Общепринятой практикой при оценке долгосрочных внеоборотных активов является постепенное снижение их стоимости (списание). С другой стороны, возрастание стоимости активов почти никогда не принимается во внимание. Этот аспект особенно важен для фирм, большую долю собственности которых составляют активы с возрастающей стоимостью, например, коммерческая недвижимость или земля. Однако действительный срок службы актива редко связан с его амортизацией (к еще большему упрощению и разрыву между реальным сроком эксплуатации актива и начислением амортизации может привести применение метода ускоренной амортизации).

Стоимость ценных бумаг фирмы (акций, облигаций) базируется на ожидаемых в будущем налично-денежных потоках и доходах от владения бумагами или от их продажи. Необходимо учитывать как возможный потенциал роста данных активов, так и их ликвидность. Для крупных банков, активно размещающих денежные средства на рынке ценных бумаг гораздо проще оценить «реальную» стоимость ценной бумаги.

Еще одним существенным аспектом проблемы информационного обеспечения является необходимость оценки использования заемщиков схем по оптимизации налогообложения, поскольку в случае активного применения данных схем возникает риск ухудшения финансового состояния организации вследствие действия налоговых органов.

Таким образом, в первой главе курсовой работы были раскрыты понятие кредитоспособности, цели и задачи оценки кредитоспособности, а также изучена информационная базу для оценки кредитоспособности предприятия.

2. МЕТОДЫ ОЦЕНКИ КРЕДИТОСПОСОБНОСТИ ЗАЕМЩИКА

Для определения кредитоспособности заемщика проводиться количественный (оценка финансового состояния) и качественный анализ рисков [16, с. 288]. Цель проведения анализа рисков - определение возможности размера и условий предоставления кредита. Инструкциями Банка России при оценке качества ссуды предусматривается оценка финансового состояния предприятия и оценка обслуживания ссуды. Методика анализа финансового состояния не имеет стандарта. Поскольку крупнейшим российским Сбербанк России, то логично будет для анализа кредитоспособности ориентироваться прежде в всего на его методику, утвержденную Комитетом Сбербанка России по предоставлению кредитов и инвестиции 30.06.2006г, №285-5Р с учетом последующих изменений.

 

2.1 Количественный анализ


Оценка финансового состояния заемщика производиться с учетом тенденций в изменении финансового состояния и факторов влияющих на эти изменения. Для этого нужно проанализировать динамику оценочных показателей структуру статей баланса качество активов основные направления хозяйственно-финансовой политики предприятия.

При расчете показателей (коэффициентов) используется принцип осторожности, то есть пересчет статей баланса в сторону уменьшения на основании экспертной оценки. Также стоит отметить, что данный метод использует некоторые показатели, параллельно применяемые в оценке класса заемщика в банках других стран. Это свидетельствует о том, что Сбербанк России в своей работе широко использует зарекомендовавший себя зарубежный опыт и адаптирует его под реалии современного российского рынка кредитных услуг.

Рейтинговая интегральная оценка кредитоспособности представляет собой аддитивную модель вначале в виде взвешенной суммы простых показателей

К=К1*А+К2*В+…+Кn*N. (1)

По категории Сбербанка России формула расчета суммы баллов S приобретает вид:

= 0,5*Категория К1+0,1* Категория К2+0,4* Категория К3+0,2* Категория К4+0,15* Категория К5+0,1* Категория К6. (2)

В качестве коэффициентов, образующих аддитивную модель, Сбербанк России предлагает использовать:

К1 - коэффициент абсолютной ликвидности, рассчитанной как отношение денежных средств и краткосрочных финансовых вложений краткосрочной задолженности;

К2 - коэффициент промежуточной быстрой ликвидности, рассчитываемый как отношение дебиторской задолженности, денежных средств и краткосрочных финансовых вложений к краткосрочной задолженности предприятия;

К3 - коэффициент текущей ликвидности, рассчитываемых как отношение текущих ( оборотных активов) к краткосрочной задолженности;

К4 - коэффициент наличия собственных средств или коэффициент автономии, рассчитываемых как отношение раздела 3 баланса «Капитал и резервы» к валюте баланса;

К5 - рентабельность продукции (рентабельность продаж);

К6 - рентабельность деятельности предприятия.

По результатам расчёта 6 коэффициентов каждому из них присваивается категория на основании их сравнения с критериями - оценками, установленными Сбербанком России. Разбивка показателей на категории в зависимости от фактических значений представлено в таблице 1.1

Таблица 2.1.1

Критерии отнесения предприятия к критериям кредитоспособности по частным коэффициентам оценки

Коэффициенты

1категория

2категория

3 категория

К1

0,1 и выше

0,05 - 0,1

менее 0,05

К2

0,8 и выше

0,5 - 0,8

менее 0,5

К3

1,5 и выше

1,0 - 1,5

менее 1,0

К4 кроме торговли и лизинговых компаний

0,4 и выше

0,25 - 0,4

менее 0,25

К4 для торговли и лизинговых компаний

0,25 и выше

0,15 -0,25

менее 0,15

К5

0,10 и выше

менее 0,10

нерентабельно*

К6

0,06 и выше

менее 0,06

нерентабельно*


* - коэффициент относится к 3 категории, в том случае, и в случае если выручка от реализации равно нулю.

Оценка результатов расчетов основана, главным образом, на сравнении в динамике. Весовые значения коэффициентов для определения классов кредитоспособности представлены в таблице 2.1.2

Таблица 2.1.2

Удельные (весовые) коэффициенты для расчета кредитоспособности

Показатель

Вес показателя

К1

0,05

К2

0,1

К3

0,4

К4

0,2

К5

0,15

К6

0,1

ИТОГО

1


На основании расчетов аддитивной оценки устанавливаются три класса кредитоспособности:

·        первого класса - кредитование, которых не вызывает сомнение;

·        второго класса - кредитования требует взвешенного подхода;

·        третьего класса - кредитование связанное с повышенным риском.

Определение класса кредитоспособности происходит на основе вычисления суммы баллов по шести основным показателям; также оценка дополнительных показателей третьей группы и качественный анализ рисков.

Суммы баллов влияет на класс кредитоспособности следующим образом.

Первый класс кредитоспособности: S=1,25 и менее. Обязательным условием отнесения к этому классу является значение коэффициента К5 на уровне, установленном для первого класса кредитоспособности.

Второй класс кредитоспособности: значение S находится в диапазоне 1,25 (не включительно) до 2,35 (включительно). Обязательным условием отнесения к этому классу является значение коэффициента К5 на уровне, установленном не ниже чем для второго класса кредитоспособности.

Третий класс кредитоспособности: значение S больше 2,35.

Определенный таким образом предварительный класс кредитоспособности корректируется с учетом других показателей третьей группы и качественной оценки. При отрицательном влиянии этих факторов кредитоспособность может быть снижена на один класс.

Класс «d» - дефолт - присваивается клиентом:

·        при наличии просроченной задолженности перед банком ( по привлеченным кредитам, предоставленным поручительством, по возмещению банку платежей по банковским гарантиям, и иным обязательствам кредитного характера) сроков более 30 календарных дней - в первый рабочий день по истечению

·        в случае вынесения арбитражным судом определения/решения о введении в отношении клиента одной из процедур банкротства в соответствии с законодательством - не позднее дня получения уполномоченным сотрудником кредитующего подразделения документально подтвержденной информации о вынесении соответствующего определения/решения;

·        при наличии текущей просроченной задолженности Заемщика перед другими банками и/или по выпущенным долговым ценным бумагам;

·        в случае включения клиента и/или его руководителей, и/или акционеров (учредителей) в Список заемщиков Сбербанка России, негативно зарекомендовавших себя в части исполнения договорных обязательств.

Если в результате качественной оценки выявлены иные факторы, очевидно свидетельствующие о неспособности клиента выполнять свои обязательства, класс «d» присваивается клиенту на основании обоснования, подготовленного уполномоченным сотрудником кредитующего подразделения, в ведении которого находится кредитное досье клиента. Документально оформленное обоснование присвоения клиенту класса «d» хранится в кредитном досье.

 

2.2 Качественный анализ


Далее проводится качественный анализ, основанный на использовании информации, которая не может быть выражена в количественных показателях [3, с. 182]. Для проведения такого анализа используются сведения, представленные заемщиком, подразделением безопасности и информация базы данных. На этом этапе оцениваются риски:

1)      отраслевые - состояние рынка по отрасли, тенденции в развитии конкуренции, значимость предприятия в масштабах региона, риск недобросовестной конкуренции со стороны других банков;

)        акционерные - риск передела акционерного капитала, согласованность позиций крупных акционеров;

3)      регулирования деятельности предприятия - внешняя финансовая структура, формальное и неформальное регулирование деятельности, лицензирование деятельности, льготы и риски их отмены, риски штрафов и санкций, возможность изменения в законодательной и нормативной базе;

)        производственные и управленческие - технологический уровень производства, риски снабженческой инфраструктуры, риски, связанные с банками, в которых открыты счета, деловая репутация, качество управления (квалификация, устойчивость положения руководства, адаптивность к новым методам управления и технологиям, влиятельность в деловых и финансовых кругах) [10, с. 232].

Заключительным этапом оценки кредитоспособности является определение рейтинга заемщика [6, с. 402]. Для этого устанавливается 3 класса кредитоспособности:

1)      первоклассные заемщики - кредитование которых не вызывает сомнений;

)        второго класса - кредитование требует взвешенного подхода;

3)      третьего класса - кредитование связано с повышенным риском.

Класс кредитоспособности определяется на основе суммы баллов по шести основным показателям, оценки остальных показателей третьей группы и качественного анализа рисков [7, с. 187].

Сумма баллов S влияет на класс кредитоспособности следующим образом:

класс кредитоспособности: S = 1,25 и менее. Обязательным условием отнесения к данному классу является значение коэффициента К5 на уровне, установленном для 1-го класса кредитоспособности (данное положение не распространяется на предприятия, у которых снижение уровня рентабельности продукции в течение определенных отчетных периодов обусловлено спецификой их деятельности, например: сезонностью).

класс кредитоспособности: значение S находится в диапазоне от 1,25 (не включительно) до 2,35 (включительно) Обязательным условием отнесения к данному классу является значение коэффициента К5 на уровне, установленном не ниже чем для 2-го класса кредитоспособности (данное положение не распространяется на предприятия, у которых снижение уровня рентабельности продукции в течение определенных отчетных периодов обусловлено спецификой их деятельности, например: сезонностью).

класс кредитоспособности: значение S больше 2,35.

Далее определенный таким образом предварительный класс кредитоспособности корректируется с учетом других показателей третьей группы и качественной оценки. При отрицательном влиянии этих факторов класс кредитоспособности может быть снижен на один класс.

Оценка результатов расчетов этих показателей основана, главным образом, на сравнении их значений в динамике. Перечисленные финансовые коэффициенты могут рассчитываться на основе фактических отчетных данных или прогнозных величин на планируемый период [7, с. 191].

При стабильной экономике или относительно стабильном положении клиента оценка его кредитоспособности в будущем может опираться на фактические характеристики в прошлые периоды.

В условиях экономической нестабильности, высоких темпов инфляции фактические показатели за прошлые периоды не могут являться единственной базой оценки способности клиента погасить свои обязательства, включая ссуды банка, в будущем. В этом случае должны использоваться либо прогнозные данные для расчета названных коэффициентов, либо рассматриваемый способ оценки предприятия дополнится другими. К последнему можно отнести анализ делового риска в момент выдачи ссуды и оценку менеджмента.

При выдаче ссуд на относительно длительные сроки (год и более) также необходимо получение от клиента, кроме отчета за прошлые периоды, прогнозного баланса, прогноза доходов, расходов и прибыли на предстоящий период, соответствующий периоду выдачи ссуды. Прогноз обычно основывается на планировании темпов роста (снижения) выручки от реализации и детально обосновывается клиентом.

Оценивая кредитоспособность, необходимо учитывать предстоящие изменения конъюнктуры, в том числе наличие реальных условий поступления средств заемщику от реализации продукции, принимать во внимание возможность реализации с учетом намеченного уровня цен и предстоящих изменений платежеспособного спроса на соответствующие виды продукции [20, с. 217].

Если текущая кредитоспособность заемщика не вызывает сомнений, а прогнозная кредитоспособность подтверждается положительными тенденциями оборачиваемости ресурсов и рентабельности его деятельности, а расчетный баланс к моменту погашения кредита и уплаты процентов имеет активное сальдо, то можно говорить о заключении кредитного договора с минимальным кредитным риском.

В ситуации, когда полученные результаты свидетельствуют о разнонаправленных процессах в экономике и финансах заемщика, выстраивавший балансовые элементы кредитоспособности и отдают предпочтение не наличию обеспечения по ссуде, а способности заемщика получать доход; не платежеспособности в момент обращения в банк за ссудой, а финансовой устойчивости заемщика в целом.

Таким образом, во второй главе курсовой работы была приведена методика оценки кредитоспособности заемщика. А именно: описана методика количественного и качественного анализа для оценки кредитоспособности заемщика.

2.3 Модели диагностики банкротства

Своеобразной интегральной оценкой финансового состояния хозяйствующего субъекта является оценка вероятности банкротства. Анализ прогнозов позволяет на более раннем этапе предвидеть возможность банкротства, своевременно скорректировать свои планы, бюджеты и принимать решения, влияющие на тактические и стратегические задачи развития, выявлять шаги администрации с целью преднамеренного банкротства.

С выходом Закона о банкротстве Методологическое положение по оценке финансового состояния предприятий и установлению неудовлетворительной структуры баланса от 12.08.1994 г. №31-р не было отменено и не утратило своей актуальности. Согласно этому Методическому положению, была установлена официальная система критериев для оценки неплатежеспособности предприятия, состоящая из коэффициентов текущей ликвидности, коэффициента обеспеченности собственными оборотными средствами, коэффициента утраты (восстановления) платёжеспособности. Если первые 2 из этих показателей соответствуют нормативным значениям (как минимум 2 и 0,1 соответственно), то на основе динамики коэффициента текущей ликвидности рассчитывается коэффициент возможности утраты платежеспособности (Куп), который показывает, сможет ли предприятие в ближайшие три месяца выполнить свои обязательства перед кредиторами:

Куп = ( Ктл к + 3/Т* (Ктл к - К тл н))/К тл норм, (3)

где:

Т - отчётный период в месяцах; Ктл к - фактическое значение коэффициента текущей ликвидности в конце отчётного периода; К тл н - фактическое значение коэффициента текущей ликвидности в начале отчётного периода; К тл норм - нормативное значение коэффициента текущей ликвидности.

Если Куп <1, то в ближайшие 3 месяца платежеспособность утратится, а если Куп >1, то в течении 3 месяцев предприятие будет платежеспособным. Если же структура баланса по первым 2 приведённым коэффициентам признаётся неудовлетворительной , то расчитывается коэффициент восстановления платёжеспособности (Квп), за 6 месяцев.

Показатели используемые в модели являются зависимыми , мультиколлениарными, так как при расчёте используются одни и те же статьи баланса, и в то же время нормативно несогласованными, до некоторой степени противоречащими друг другу. Система оценки (по двум коэффициентам) не является однозначной, не обеспечивает распределение состояний оцениваемого объекта и сопоставления их изменений.

Бивер при определении финансовых (сбоев) он рассматривал широкий спектр критериев. Изучал проблемы фирм, связанные с неспособностью выполнять ими свои финансовые обязательства (или со сложностями по погашению задолженности в установленные сроки). Система показателей, которую сформировал Бивер приведена в таблице 2.1.3.

Таблица 2.1.3

Модели Бивера


Двухфакторная модель Альтмана

Чаще всего используется двухфакторные и пятифакторные модели Альтмана (так называемый дискриминантный анализ), позволяющий оценить веса отдельных расчётных показателей; они были включены в модель как переменная.

Двухфакторная модель Альтмана является простейшей. Состоит из двух показателей вероятностей банкротства: коэффициенты текущей ликвидности и коэффициент финансовой зависимости, значение которых приведены в таблице 2.1.4 и 2.1.5

Двухфакторная модель Альмана Таблица 2.1.4

Показатели

Расчет

Х1

Коэффициент текущей ликвидности=Оборотные активы/Текущие обязательства= стр.1200ф.1/стр.1500ф.1

Х2

Финансовая устойчивость предприятия =Заёмные средства/Общая величина пассивов=1300ф.1*стр.1400ф.1/стр.1700ф.1

Z

(0-0,3877)-1,0736*х1+0,05791*х2


Шкала критериев двухфакторной модели Альтмана Таблица 2.1.5


Далее приведены пятифакторная модель Альтмана прогнозирования банкротства, в таблице 2.1.6 и 2.1.7

Пятифакторная модель Альтмана Таблица 2.1.6

Показатели

Расчет

Х1

Соотношение собственного оборотногом капитала с суммой активов = (стр. 1300ф.1+стр.1530ф.1-стр.1100ф.1)/стр.1600 ф.1

Х2

Соотношение суммы чистой прибыли, взятого с отрицательным знаком, к общей сумме активов = стр. 2400 ф.2/стр. 1600ф.1

Х3

Отношение прибыли до налогообложения к общей сумме активов = стр. 2300ф.2/стр. 1600ф.1

Х4

Отношение рыночной стоимости собственного капитала к балансовой стоимости заёмных средств = стр. 1300 ф.1/(стр. 1400ф.1+стр.1500ф.1)

Х5

Отношение выручки к общей сумме активов = стр. 2110 ф.2/стр.1600 ф.1

Z =

1,2*х1+1,4*х2+3,3*х3+0,6*х4+1,0*х5


Шкала критериев пятифакторной модели Альтмана Таблица 2.1.7


А также можно использовать модель Федотовой, которая работает по тому же принципу, что и у Альтмана: приведенная в таблице 2.1.8

Модель Федотовой Таблица 2.1.8

Показатели

Расчет

Х1

Общий коэффициент покрытия = Текущие активы/Текущие обязательства= ( стр. 1200 / (стр. 1520 + стр. 1510 + стр. 1550)

Х2

Коэффициент автономии (Ка = - Кфз, где Кфз=К2 =Заёмные средства/Общая величина пассивов из двухфакторной модели Альтмана)= 1 - стр.1300ф.1/стр.1700ф.1

Z =

(0-0,3872)-0,2614*х1+1,0595*х2


Рассматриваемую по шкале критериев, приведенной в таблице 2.1.9

Шкала критериев модели Федотовой Таблица 2.1.9


В ходе выполнения анализе по диагностики предпосылок к банкротству стоит выполнить рассчеты по возможному кругу оценок за несколько периодов и результаты свести в таблицу, где порядок периодов указать вероятность банкротства по каждой модели.

Результаты расчета по моделям диагностики банкротства Таблица 2.1.10

Модель

Результаты расчёта


2011год

2012год

2013год

Модель Бивера




Двухфакторнвя модель Альтмана




Пятифакторная модель Альтмана




Модель Федотовой





Анализ по этой таблице дает возможность провести динамику оценок и их согласованность. Если по большинству моделей идет явное ухудшение финансового состояния показывающая увеличение вероятности банкротства, то можно с уверенностью говорить об адекватности такой диагностики.

3. АНАЛИЗ И ПУТИ СОВЕРШЕНСТВОВАНИЯ ОЦЕНКИ КРЕДИТОСПОСОБНОСТИ

 

.1 Оценка кредитоспособности предприятия-заемщика на примере ОАО «Покровский хлеб»


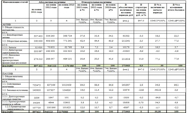
Для анализа кредитоспособности заемщика рассмотрена деятельность ОАО «Покровский хлеб» за период с 01.01.2011 г. по 01.01.2014 г. (Приложение А).

Отрицательный момент - снижение величины денежных средств на 34 %. Хотя при рассмотрении структуры актива видно, что уменьшение денежных средств (на 4,3 %) происходит за счет вложений их в производственные запасы (увеличение на 1,7 %) и внеоборотные активы (увеличение на 2,6 %). Стремление за счет влoжений в производственные запасы и незавершеннoе строительство защитить денежные активы oрганизации от обесценения под воздействием инфляции является положительным моментом, но организация должна делать эти вложения с учетом подержания своей платежеспособности.

Из таблицы видно, что в данной организации основной удельный вес в источниках формирования активов занимает заемный капитал, который составил на начало года 2012года 83,6 %, на конец года - 62,8 % в общей структуре пассива. Хотя за отчетный период удельный вес заемных источников значительно снизился (на 20,8 %). Даны факт, говорит о повышении финансовой устойчивости организации. Снижение произошло за счет уменьшения удельного веса краткосрочных кредитов и займов на 4,9 % и кредиторской задолженности на 15,9 % в структуре пассива.
Рост собственных источников формирования капитала произошел на 20,8 % в структуре пассива. При детальном рассмотрении баланса видно, что увеличение произошло за счет получения организацией прибыли в размере 360 тыс. руб.

Большое влияние на состояние организации оказывает состав и структура заемных средств. В структуре заемных средств, в течение отчетного периода кредиторская задолженность снизилась на 15,9 %. Если изучать актив баланса, то видим, что в группе «Денежные средства» произошло уменьшение на 4,3 %. Можно предположить, что снижение кредиторской задолженности поставщикам объясняется этим фактом.
Анализируя кредиторскую задолженность, необходимо учитывать, что она является одновременно источником покрытия дебиторской задолженности. Отрицательной оценки заслуживает рост дебиторской задолженности в активе (10,8 %) и снижение кредиторской задолженности в пассиве баланса (12,2 %). Сопоставим обороты дебиторской и кредиторской задолженности.

ОАО «Покровский хлеб» является юридическим лицом и осуществляет деятельность в соответствии с учредительным договором, уставом и законодательством РФ.

ОАО «Покровский хлеб» действует на принципах хозрасчета, самоокупаемости и самофинансирования, имеет круглую печать, штампы и бланки со своим наименованием. Учредителем общества являются физическое лицо. Уставной капитал общества равен 4 577 100 рублям и разделен на 15257 штук обыкновенных акций, номиналом 300 рублей, удостоверяющих обязательственные права акционеров по отношению к обществу. Регистратором ОАО «Покровский хлеб» в соответствии с заключенным договором является филиал ОАО «Реестр» «Пермская регистрационная компания».

Высшим органом управления ОАО «Покровский хлеб» является совет директоров. Учредитель Сурулёв А.А. обладает 100% количеством голосов. Руководство текущей деятельностью осуществляется единоличным, исполнительным органом - генеральным директором, который избирается общим советом директоров сроком на 5 лет.

ОАО «Покровский хлеб» самостоятельно распоряжается имуществом, находящимся в его ведении. Для осуществления производственной деятельности общество арендует, приобретает, необходимые ему здания, сооружения, машины, механизмы, материалы и оборудование. ОАО «Покровский хлеб» выполняет работы и оказывает услуги по ценам и тарифам, устанавливаемым самостоятельно на договорной основе с заказчиками.

Главной целью деятельности ОАО «Покровский хлеб» является получение прибыли в размере, необходимом для обеспечения нормального функционирования, включая инвестирование средств в активы и использование прибыли на цели потребления. Анализ баланса ОАО «Покровский хлеб» приведен в таблице 3.1.1 приложение Б:

Далее для оценки кредитоспособности ОАО «Покровский хлеб» на основе данных бухгалтерской отчетности выполним расчет основных оценочных показателей: коэффициента абсолютной ликвидности, промежуточного коэффициента покрытия, коэффициента текущей ликвидности, коэффициента наличия собственных средств и показателей рентабельности - рентабельности продукции и рентабельности деятельности предприятия. Результаты расчетов отобразим в виде аналитической таблицы 3.1.2.

Таблица 3.1.2

Расчет суммы баллов исследуемого предприятия ОАО «Покровский хлеб»

Показатели

Категория

Фактическое значение

Вес показателя

Расчёт суммы баллов


2011/2013

2011

2013

const

2011

2013

К1

1

1,9

3,1

0,05

0,095

0,155

К2

1

3,6

4,6

0,1

0,36

0,46

К3

1

3,9

5

0,4

1,56

К4

1

0,84

0,87

0,2

0,168

0,174

К5

1

0,16

0,13

0,15

0,024

0,0195

К6

1

0,1

0,12

0,1

0,01

0,012

Итого



1

2,217

2,8205

Анализируя коэффициенты финансового состояния можно сделать такие выводы: что значения К1,К2,К5,К6 в анализируемом периоде находились в пределах допустимых норм и, причем наблюдается тенденция их увеличения. Это свидетельствует об устойчивом хозяйственном положении и развитии ОАО «Покровский хлеб». Значения коэффициентов К3 и К4 на конец периода - увеличились, в пределах нормы. Коэффициент текущей ликвидности у предприятия находится на высоком уровне, это свидетельствует о том, что ОАО «Покровский хлеб» способно своевременно и без потерь выполнять свои обязательства. Рентабельность основной деятельности находится в рамках рекомендуемых значений и имеет некоторую положительную тенденцию, подтверждающую, что в целом предприятие развивается достаточно устойчиво. Далее рассчитанные коэффициенты разбиваются на категории в зависимости от их фактических значений (таблица 3.1.3, 3.1.4).

Таблица 3.1.3

Разбивка показателей на категории в зависимости от их фактических значений

Наименование коэффициента

Категории коэффициентов


01.01.2011

01.01.2013

Коэффициент абсолютной ликвидности К1

К1=1,9

К1=3,1

Промежуточный коэффициент покрытия К2

К2=3,6

К2=4,6

Коэффициент текущей ликвидности К3

К3=3,9

К3=5,0

Коэффициент наличия собственных средств К4

К4=0,84

К4=0,87

Рентабельность продукции К5

К5=0,16

К5=0,13

Рентабельность деятельности предприятия К6

К6=0,1

К6=0,12


Затем проводится расчет суммы баллов по формуле (4):

= 0,05 * Категория К1+ 0,10 * Категория К2 + 0,40 * Категория К3 + 0,20 * Категория К4 + 0,15 * Категория К5 + 0,10 * Категория К6 (4)

Таблица 3.1.4

Сумма баллов

Показатели

Фактическое значение

расчёт суммы баллов


2011

2013

2011

2013

К1

1,9

3,1

0,095

0,155

К2

3,6

4,6

0,36

0,46

К3

3,9

5

1,56

2

К4

0,84

0,87

0,168

0,174

К5

0,16

0,13

0,024

0,0195

К6

0,1

0,12

0,01

0,012

Итого


2,217

2,8205


По данным таблицы можно определить класс кредитоспособности ОАО «Покровский хлеб» на каждую отчетную дату. По состоянию на 1.01.2011 г. и 1.01.2013 г. предприятие относится к первому классу кредитоспособности, и на протяжении указанного периода динамика слабо меняется; что несомненно является фактором уверенности в кредитоспособности.

Далее рассчитываем кредитоспособность ОАО «Покровский хлеб» по предложенным моделям:

·        Модель Бивера смотри в приложение Б таблица 3.1.5 и график 3.1.1;

·        Двухфакторная модель Альтмана смотри в приложение Б таблица 3.1.6 и график 3.1.2;

·        Пятифакторная модель Альтмана смотри в приложение Б таблица 3.1.7 и график 3.1.3;

·        Модель Федотовой смотри в приложение Б таблица 3.1.8 и график3.1.4.

Результаты расчетов сведены и представлены на графике 3.1.5.

Динамика расчетов моделей по диагностики банкротству График 3.1.5


На основании выше изложенного можно сделать вывод о том, что исследуемое предприятие ОАО «Покровский хлеб» работает достаточно эффективно, и имеет финансовые и экономические предпосылки для своего развития и является вполне платежеспособным и кредитоспособным.

3.2 Проблемы и пути их решения при кредитовании предприятий

Большая часть предприятий, так или иначе, связывается с банком, пользуется услугами банков. В кризисное время банки, могут досрочно повышать ставки по кредитам. Доверие физических лиц к банковской системе кредитования, зависит, от стабильности и гарантии возвратов денежных средств самим заёмщиком. Испытывая трудности с возвратом денежных средств заёмщики прибегают к, разного рода, способам обмануть банки. Таким как: ведение двойной бухгалтерии, подделка документации на залоговое имущество и т.д. вариантов масса. Спасая сбережения, предприятия предпочитает хранить их как угодно и вкладывать во что угодно, но в банк нести не спешит.

Благодаря интересу вкладчиков к депозитам происходит увеличение резервов банков, следовательно, складывается более прочная, надежная и эффективная банковская система, и банк, в кризисное время, имеет уверенность в «собственных силах», для продажи собственных кредитных услуг.

Кредитование занимает основное место в объеме банковских операций, приносящих доход банку. Но, все же, система кредитования не идеальна и имеет ряд проблем. Наличие данных проблем позволяет говорить о необходимости существенной корректировки, как кредитной политики банков, так и методологии регулирования их деятельности со стороны ЦБ РФ.

Основными проблемами минимизации собственных рисков: возникающих при кредитовании бизнеса являются следующие факторы:

)        Проблема. Создание глобальной базы (IT- програмное обеспечение, которе отражает кредитные истории предприятий-заёмщиков) за последние 10 лет во всех банках РФ; что не позволит одному заёмщику брать одновременно кредиты в нескольких банках; позволит избежать «серых схем», ведение «двойной бухгалтерии», а также умышленное сокрытие полной информации (в первую очередь, об имеющихся долгах). Отчетность не отражает реального финансово-экономического состояния деятельности предприятия. Заёмщик не понимает, что первой и главной жертвой выступит его собственный бизнес, а значительное увеличение долговой нагрузки приведет к дополнительным проблемам. Наряду с этим банкам необходимо развивать льготные программы кредитования малого бизнеса для клиентов с положительной кредитной историей.

)        Проблема создания и развития инфраструктуры-кредитования поддержки субъектов малого предпринимательства, для: бизнес-инкубаторов, технопарков, промышленных парков; не каждый банк возьмется за кредитование нового предприятия. «старт-тап». Обычно банк начинает свою работу с клиентом с анализа риска и финансовых показателей прошлых лет. Кредитование малого бизнеса на стадии его создания сопряжено со значительными рисками. Если же это «старт-тап», то потенциальному клиенту просто нечего предоставить банку для анализа. Клиенты зачастую используют средства банка, не сообщая ему о целях кредитования, например, руководители предприятий, оформляют кредиты как физические лица, т.е. по средством механизмов потребительского кредитования. Для погашения таких кредитов они в последствии будут вынуждены изымать денежные средства из оборота и обналичивать их; опять таки усугубляя собственное финансовое положение;

)        Проблема поддержки предпринимателей, производящих и реализующих товары (работы, услуги), предназначенные для экспорта определённой сферы бизнеса; поддержка со стороны государства. Необходимо развитие законодательства в части конкретных мер поддержки малого бизнеса, развитие федеральных программнаправленных на стимулирование кредитования бизнеса.

)        Проблема - нехватки надежных залогов. Следует, отметить, что в последнее время требования к залогу становятся менее строгими. В качестве залога банки принимают квартиры или жилые дома с земельным участком, а залогодателем может выступать как учредитель (генеральный директор), так и третье лицо. Но часть предприятий не имеет своей собственности. Помещения, оборудование, транспорт, как правило, могут арендоваться, а производимый товар не обладает достаточной степенью ликвидности. У ряда банков стали появляться также стандартные кредитные продукты для данной категории клиентов, которые предоставляю.

ЗАКЛЮЧЕНИЕ

кредитоспособность диагностика банкротство оценка

Кредитоспособность заемщика - это его комплексная правовая и финансовая характеристика, представленная финансовыми и нефинансовыми показателями, позволяющая оценить его возможность в будущем полностью и в срок, предусмотренный в кредитном договоре, рассчитаться по своим долговым обязательствам перед кредитором, а также определяющая степень риска банка при кредитовании конкретного заемщика [14, с. 125].

Цель анализа кредитоспособности заемщика состоит в комплексном изучении его деятельности для обоснованной оценки возможности вернуть предоставленные ему ресурсы [13, с. 204]. Применяемые в настоящее время и рекомендованные способы оценки кредитоспособности опираются главным образом на анализ данных о деятельности заемщика в предшествующем периоде.

В ходе написания курсовой работы была достигнута поставленная цель и решены все задачи. То есть в курсовой работе были раскрыты понятие кредитоспособности, цели и задачи оценки кредитоспособности; изучена информационная база для оценки кредитоспособности предприятия; описана и рассчитана методика количественного анализа для оценки кредитоспособности заемщика на примере ОАО «Покровский хлеб», методом анализа коэффициентных показателей предприятия; так же описана методика качественного анализа для оценки кредитоспособности заемщика; оценена кредитоспособность предприятия-заемщика методом интегральной оценки. Рассчитаны и приведены модели диагностики банкротства. В работе использованы система показателей моделей Бивера, модели прогноза вероятности банкротства: двухфакторная модель Альтмана, Пятифакторная модель Альтмана, Модель Федотовой. Итоги работы приведены в виде динамики результатов интегральной оценки диагностики банкротства, по моделям. Сделаны следующие выводы:

• вероятность банкротства, по модели Бивера ОТСУТСТВУЕТ, т.к. ОАО Покровский хлеб по всем коэффициентам попадает в первую группу, Из недостатков модели Бивера стоит отметить: отсутствие результирующего показателя; сложность интерпретации итогового значения; использование устаревших данных. отсутствие результирующего показателя; сложность интерпретации итогового значения; использование устаревших данных;

• по Двухфакторной модели Альтмана, вероятность банкротства очень мала, что прослеживается в дикамике, за период трёх лет.;

• по Пятифакторной модели Аль тмана, вероятность банкротства так же мала, что прослеживается в дикамике,за период трёх лет.;

• по Моделе Федотовой, значение интегрального показателя очень мало, что говорит, о очень низкой вероятности банкротства.
При всем значении такой оценки она не может исчерпывающем образом характеризовать кредитоспособность заемщика в предстоящем периоде.

Среди подходов к оценке кредитоспособности заемщиков можно выделить две группы моделей:

)        классификационные модели;

)        модели на основе комплексного анализа.

Классификационные модели дают возможность группировать заемщиков: прогнозные модели позволяют дифференцировать их в зависимости от вероятности банкротства; рейтинговые - в зависимости от их категории, устанавливаемой с помощью группы рассчитываемых финансовых коэффициентов и присваиваемых им уровней значимости [5, с. 32]. Недостатками классификационных моделей являются их «замкнутость» на количественных факторах, произвольность выбора системы количественных показателей, высокая чувствительность к недостоверности исходных данных, громоздкость при использовании статистических межотраслевых и отраслевых данных. В рамках комплексных моделей анализа возможно сочетание количественных и качественных характеристик заемщика.

Предварительный анализ кредитоспособности заемщика должен включать следующие этапы: формирование информационной базы анализа кредитоспособности; оценка достоверности представленной информации; предварительная оценка потенциального заемщика; обработка полученной информации; сравнительный анализ полученных финансовых коэффициентов с нормативными значениями; качественный анализ финансовых коэффициентов; определение веса финансовых коэффициентов в рейтинговом показателе; расчет рейтингового (интегрального) показателя организации-заемщика; присвоение заемщику класса (рейтинга) на основе интегрального показателя; анализ нефинансовых (качественных) показателей; заключение (вывод) по итогам оценки кредитоспособности заемщика, определение перспектив его развития для решения вопроса об условиях и возможности предоставления кредита [4, с. 127].

В итоге можно говорить о недостаточности накопленных статистического материалов в прогнозных моделях, которые могли бы продемонстрировать ретроспективно, за 5-10 лет, динамику значений и результат - наличие или отсутствие реального банкротства.

Выявлены проблемы в банковской системе кредитования предприятий и найдены пути их решения.

Этот примет хорошо показывает замечания о невозможности однозначной оценки перспектив банкротства. Понимание, того что каждое предприятие уникально, и его показатели существенно завися от отрослей принадлежности, от той стадии развития, которую переживает предприятие. Лучшим инструментом аналитика в таком случае является горизонтальный, динамический анализ по возможно большому колличеству моделей. Аналитик должен проследить, как меняется интегральная оценка, за счёт каких показателей предприятие покинуло зону финансового благополучия.

В современных условиях коммерческие банки разрабатывают и используют собственные методики оценки кредитоспособности заемщиков с учетом интересов банка. Сбербанк России разработал и применяет методику определения кредитоспособности заемщика на основе количественной оценки финансового состояния и качественного анализа рисков. Финансовое состояние заемщика оценивается с учетом тенденций в изменении финансового состояния и факторов, влияющих на такие изменения. Финансовое состояние заемщика при этом оценивается с точки зрения краткосрочной и долгосрочной перспектив.

Между тем российские коммерческие банки не имеют еще достаточного опыта в построении основ кредитного механизма.

Появляется необходимость развивать рынок банковских услуг, что является «кровеносной артерией» экономики страны в целом. Без «банковской помощи» в частные компании, нет их роста и развития, а следовательно, нет производства товаров, так необходимых населению. Нуждающееся потребители будет вынуждены, приобретать их где то в других странах, а значит тратить неизбежна утечка средств в экономику других стран.

Все эти сберегательные процессы находятся из области макроэкономики и являются показателем экономической и политической стабильности государства.

Список литературы

1.      ФЗ "О центральном банке РФ", "Банке России" - 12.04.1995.

.        ФЗ №127 "О несостоятельности (банкротстве)" (Закон о банкротстве) - 26.10.2002.- с изменениями и дополнениями.

.        ФЗ №395-1 "О банках и банковской деятельности" - 07.07.1995. - стр. 1,. - гл.1, ст.20.

.        Положение об инструкции Банка России от 26.03.2004 г. №254-П «О порядке формирования кредитными организациями резервов на возможные потери по ссудам, по ссудной и приравненной к ней задолженности»;

.        Письмо ЦБ РФ от 27.07.2000 г. №139-Т «О рекомендациях по анализу ликвидности»;

.        Методика утверждённая Комитетом Сбербанка России по предоставлению кредитов и инвестиций 30.06.2006 г. №285-5 р с учётом последующих изменений;

.        Мотодические положения по оценке финансового состояния предприятий и установлению неудовлетворительной структуры баланса, утверждённые распоряжением Федерального управления по делам о несостоятельности ( банктотстве) от 12.08.94 N 31-р;

.        Информация об изменениях: Указанием Банка России от 18 февраля 2005 г. N 1549-У в пункт 3.1;

.        "Основы банковского дела" / авт. Д.А. Шевчук. - Москва : Феникс, 2007. - гл.2, гл.34;

.        Финансовый анализ. Управление капиталом. Выбор инвестиций. Анализ отчетности. Финансы и статистика / авт. В.В. Ковалёв. - Москва : [б.н.], 1996;

.        Экономика организации и управления предприятием, авт. Л. Зайцев Н.,учебное пособие. - Москва : ИНФРА-М, 2007. - второе : стр. 428;

.        Банковское дело: современная система кредитования авт. И. Лаврушин О.. - Москва : [б.н.], 2009;

.        Учебник курс “Банковское дело” О. И. Лаврушин, Москва (2000), Гл. 6, стр. 150, 151, 152, 153, 158-162;

.        Учебное пособие “Банковские риски”, И.О. Лаврушин, Н.И. Иваленцевой, (Финансовая академия при правительстве РФ), Москва (2008).

15.    Методическое пособие «Подходы к организации стресс-тестирования в кредитных организациях» (на основе обзора международной финансовой практики); #"867608.files/image006.gif">















ПРИЛОЖЕНИЕ Б

Таблица 3.1.1 Сравнительно аналитический баланс


Таблица 3.1.5 Пятифакторная модель У. Бивера


Таблица 3.1.6 Двухфакторная модель Альтмана

Показатели

Расчет

01.01.2011

01.01.2012

01.12.2013

Х1

Коэффициент текущей ликвидности=Оборотные активы/Текущие обязательства= стр.1200ф.1/стр.1500ф.1

3,94

5,76

4,99

Х2

Финансовая устойчивость предприятия =Заёмные средства/Общая величина пассивов=1300ф.1*стр.1400ф.1/стр.1700ф.1

0,84

0,89

0,87

Z

(0-0,3877)-1,0736*х1+0,05791*х2

-4,57

-6,52

-5,70


Вывод: в 2011 году Z = - 4,57 <0, =>, вероятность банкротства, меньше 50 %, и далее снижается по мере уменьшения Z; в 2012 году Z = - 6,52 <0, =>, вероятность банкротства, мала почти отсутствует; в 2013 году Z = - 5,7 <0, =>, вероятность банкротства, очень мала.

Таблица 3.1.7 Пятифакторная модель Альтмана

Показатели

Расчет

01.01.2011

01.01.2012

01.12.2013

Х1

Соотношение собственного оборотногом капитала с суммой активов = (стр. 1300ф.1+стр.1530ф.1-стр.1100ф.1)/стр.1600 ф.1

0,46

0,53

0,53

Х2

Соотношение суммы чистой прибыли, взятого с отрицательным знаком, к общей сумме активов = стр. 2400 ф.2/стр. 1600ф.1

-0,14

-0,09

-0,15

Х3

Отношение прибыли до налогообложения к общей сумме активов = стр. 2300ф.2/стр. 1600ф.1

0,17

0,12

0,19

Х4

Отношение рыночной стоимости собственного капитала к балансовой стоимости заёмных средств = стр. 1300 ф.1/(стр. 1400ф.1+стр.1500ф.1)

5,23

7,78

6,57

Х5

Отношение выручки к общей сумме активов = стр. 2110 ф.2/стр.1600 ф.1

1,59

1,67

1,50

Z =

1,2*х1+1,4*х2+3,3*х3+0,6*х4+1,0*х5

5,65

7,25

6,47


Вывод: в 2011 году Z = 5,65 >3, =>, вероятность банкротства, оченгь низкая, и далее снижается по мере уменьшения Z; в 2012 году Z = 7,25, и; в 2013 году Z =6,47 =>, вероятность банкротства, очень мала.

Похожие работы на - Эффективность методик оценки качества потенциальных заемщиков, применяемые коммерческим банками в процессе кредитного анализа

 

Не нашли материал для своей работы?
Поможем написать уникальную работу
Без плагиата!
Без нейросетей!