Качество электрической энергии

  • Вид работы:
    Курсовая работа (т)
  • Предмет:
    Физика
  • Язык:
    Русский
    ,
    Формат файла:
    MS Word
    189,29 Кб
  • Опубликовано:
    2015-06-21
Вы можете узнать стоимость помощи в написании студенческой работы.
Помощь в написании работы, которую точно примут!

Качество электрической энергии

Качество электрической энергии

Введение

электрический энергия напряжение

Электрическая энергия как товар используется во всех сферах жизнедеятельности человека, обладает совокупностью специфических свойств и непосредственно участвует при создании других видов продукции, влияя на их качество. Понятие качества электрической энергии (КЭ) отличается от понятия качества других видов продукции. Каждый электроприемник предназначен для работы при определенных параметрах электрической энергии: номинальных частоте, напряжении, токе и т.п., поэтому для нормальной его работы должно быть обеспечено требуемое КЭ. Таким образом, качество электрической энергии определяется совокупностью ее характеристик, при которых электроприемники (ЭП) могут нормально работать и выполнять заложенные в них функции.

КЭ на месте производства не гарантирует ее качества на месте потребления. КЭ до и после включения ЭП в точке его присоединения к электрической сети может быть различно. КЭ характеризуют также термином «электромагнитная совместимость». Под электромагнитной совместимостью понимают способность ЭП нормально функционировать в его электромагнитной среде (в электрической сети, к которой он присоединен), не создавая недопустимых электромагнитных помех для других ЭП, функционирующих в той же среде.

Проблема электромагнитной совместимости промышленных ЭП с питающей сетью остро возникла в связи с широким использованием мощных вентильных преобразователей, дуговых сталеплавильных печей, сварочных установок, которые при всей своей экономичности и технологической эффективности оказывают отрицательное влияние на КЭ.

Бытовые ЭП, как и промышленные, также должны иметь электромагнитную совместимость с другими ЭП, включенными в общую электросеть, не снижать эффективность их работы и не ухудшать ПКЭ.

КЭ в промышленности оценивается по технико-экономическим показателям, которые учитывают ущерб вследствие порчи материалов и оборудования, расстройства технологического процесса, ухудшения качества выпускаемой продукции, снижения производительности труда - так называемый технологический ущерб. Кроме того, существует и электромагнитный ущерб от некачественной электроэнергии, который характеризуется увеличением потерь электроэнергии, выходом из строя электротехнического оборудования, нарушением работы автоматики, телемеханики, связи, электронной техники и т.д.

КЭ тесно связано с надежностью электроснабжения, поскольку нормальным режимом электроснабжения потребителей является такой режим, при котором потребители получают электроэнергию бесперебойно, в количестве, заранее согласованном с энергоснабжающей организацией, и нормированного качества. Статья 542 Гражданского кодекса РФ обязует поставлять электроэнергию, качество которой соответствует требованиям государственных стандартов и иных обязательных правил или договорам энергоснабжения.

В соответствии с Законом Российской Федерации «О защите прав потребителей» (ст. 7) и постановлением Правительства России от 13 августа 1997 г. №1013 электрическая энергия подлежит обязательной сертификации по показателям качества электроэнергии, установленными ГОСТ 13109-97 «Нормы качества электрической энергии в системах электроснабжения общего назначения». Это значит, что каждая энергоснабжающая организация наряду с лицензией на производство, передачу и распределение электроэнергии должна получить сертификат, удостоверяющий, что качество поставляемой ею энергии отвечает требованиям ГОСТ 13109-97.

1. Основные положения государственного стандарта на качество электрической энергии

ГОСТ 13109-97 «Нормы качества электрической энергии в системах электроснабжения общего назначения» (далее ГОСТ) устанавливает показатели и нормы качества электроэнергии в электрических сетях систем электроснабжения общего назначения переменного трехфазного и однофазного тока частотой 50 Гц в точках, к которым присоединяются электрические сети, находящиеся в собственности различных потребителей электрической энергии, или приемники электрической энергии (точки общего присоединения). ГОСТ 13109-97 является межгосударственным стандартом и действует в Российской Федерации с 1 января 1999 г.

Нормы КЭ, установленные стандартом, являются уровнями электромагнитной совместимости для кондуктивных электромагнитных помех в системах электроснабжения общего назначения. При соблюдении установленных норм КЭ обеспечивается электромагнитная совместимость электрических сетей энергоснабжающих организаций и электрических сетей потребителей электрической энергии или ЭП.

Стандартом не устанавливаются требования к КЭ в электрических сетях специального назначения (контактных, тяговых, связи), передвижных установок (самолетов, поездов, судов) и др.

Кондуктивная электромагнитная помеха в системе электроснабжения - электромагнитная помеха, распространяющаяся по элементам электрической сети.

Точка общего присоединения - точка электрической сети общего назначения, электрически ближайшая к сетям рассматриваемого потребителя электрической энергии, к которой присоединены или могут быть присоединены электрические сети других потребителей.

Стандартом не устанавливаются нормы КЭ для режимов вызванных форс - мажорными обстоятельствами (исключительными погодными условиями, стихийными бедствиями и др.).

ГОСТ 13109-97 является первым стандартом в области КЭ, где сказано, что установленные нормы подлежат включению в технические условия на присоединение потребителей и в договоры энергоснабжения.

Потребителям, являющимся виновниками ухудшения КЭ, для обеспечения норм стандарта в точках общего присоединения допускается устанавливать в технических условиях на присоединение и в договорах энергоснабжения более жесткие нормы (с меньшими диапазонами изменения соответствующих показателей КЭ), чем установлены в стандарте.

Нормы стандарта должны применяться при проектировании и эксплуатации электрических сетей, при установлении уровней помехоустойчивости ЭП и уровней электромагнитных помех, вносимых этими приемниками в электрическую сеть, к которой они присоединены.

2. Показатели качества электрической энергии

Стандартом устанавливаются следующие показатели качества электроэнергии (ПКЭ):

- установившееся отклонение напряжения;

размах изменения напряжения ;

доза фликера ;

коэффициент искажения синусоидальности кривой напряжения ;

коэффициент n-ой гармонической составляющей напряжения;

коэффициент несимметрии напряжений по обратной последовательности ;

коэффициент несимметрии напряжений по нулевой последовательности ;

отклонение частоты ;

длительность провала напряжения;

импульсное напряжение ;

коэффициент временного перенапряжения .

При определении значений некоторых ПКЭ стандартом вводятся следующие вспомогательные параметры электрической энергии:

- интервал между изменениями напряжения ;

глубина провала напряжения ;

частота появления провалов напряжения ;

длительность импульса по уровню 0,5 его амплитуды ;

длительность временного перенапряжения .

Часть ПКЭ характеризует установившиеся режимы работы электрооборудования энергоснабжающей организации и потребителей ЭЭ и дает количественную оценку по КЭ особенностям технологического процесса производства, передачи, распределения и потребления ЭЭ. К этим ПКЭ относятся: установившееся отклонение напряжения, коэффициент искажения синусоидальности кривой напряжения, коэффициент n-ой гармонической составляющей напряжения, коэффициент несимметрии напряжений по обратной последовательности, коэффициент несимметрии напряжений по нулевой последовательности, отклонение частоты, размах изменения напряжения.

Оценка всех ПКЭ, относящихся к напряжению, производится по действующим его значениям.

Для характеристики вышеперечисленных показателей стандартом установлены численные нормально и предельно допустимые значения ПКЭ или нормы.

Другая часть ПКЭ характеризует кратковременные помехи, возникающие в электрической сети в результате коммутационных процессов, грозовых атмосферных явлений, работы средств защиты и автоматики и в после аварийных режимах. К ним относятся провалы и импульсы напряжения, кратковременные перенапряжения. Для этих ПКЭ стандарт не устанавливает допустимых численных значений. Для количественной оценки этих ПКЭ должны измеряться амплитуда, длительность, частота их появления и другие характеристики, установленные, но не нормируемые стандартом. Статистическая обработка этих данных позволяет рассчитать обобщенные показатели, характеризующие конкретную электрическую сеть с точки зрения вероятности появления кратковременных помех.

Для оценки соответствия ПКЭ указанным нормам (за исключением длительности провала напряжения, импульсного напряжения и коэффициента временного перенапряжения) стандартом устанавливается минимальный расчетный период, равный 24 ч.

В связи со случайным характером изменения электрических нагрузок требование соблюдения норм КЭ в течение всего этого времени практически нереально, поэтому в стандарте устанавливается вероятность превышения норм КЭ. Измеренные ПКЭ не должны выходить за нормально допустимые значения с вероятностью 0,95 за установленный стандартом расчетный период времени (это означает, что можно не считаться с отдельными превышениями нормируемых значений, если ожидаемая общая их продолжительность составит менее 5% за установленный период времени).

Другими словами, КЭ по измеренному показателю соответствует требованиям стандарта, если суммарная продолжительность времени выхода за нормально допустимые значения составляет не более 5% от установленного периода времени, т.е. 1 ч 12 мин, а за предельно допустимые значения - 0% от этого периода времени.

Рекомендуемая общая продолжительность измерений ПКЭ должна выбираться с учетом обязательного включения рабочих и выходных дней и составляет 7 суток.

В стандарте указаны вероятные виновники ухудшения КЭ. Отклонение частоты регулируется питающей энергосистемой и зависит только от нее. Отдельные ЭП на промышленных предприятиях (а тем более в быту) не могут оказать влияния на этот показатель, так как мощность их несоизмеримо мала по сравнению с суммарной мощностью генераторов электростанций энергосистемы. Колебания напряжения, несимметрия и несинусоидальность напряжения вызываются, в основном, работой отдельных мощных ЭП на промышленных предприятиях, и только величина этих ПКЭ зависит от мощности питающей энергосистемы в рассматриваемой точке подключения потребителя. Отклонения напряжения зависят как от уровня напряжения, которое подается энергосистемой на промышленные предприятия, так и от работы отдельных промышленных ЭП, особенно с большим потреблением реактивной мощности. Поэтому вопросы КЭ следует рассматривать в непосредственной связи с вопросами компенсации реактивной мощности. Длительность провала напряжения, импульсное напряжение, коэффициент временного перенапряжения, как уже отмечалось, обуславливаются режимами работы энергосистемы.

В таблице 2.1. приведены свойства электрической энергии, показатели их характеризующие и наиболее вероятные виновники ухудшения КЭ.

Таблица 2.1. Свойства электрической энергии, показатели и наиболее вероятные виновники ухудшения КЭ

Свойства электрической энергии

Показатель КЭ

Наиболее вероятные виновники ухудшения КЭ

Отклонение напряжения

Установившееся отклонение напряжения Энергоснабжающая организация


Колебания напряжения    Размах изменения напряжения

Доза фликера Потребитель с переменной нагрузкой


Несинусоидальность напряжения                Коэффициент искажения синусоидальности кривой напряжения

Коэффициент n - ой гармонической составляющей напряжения Потребитель с нелинейной нагрузкой


Несимметрия трехфазной системы напряжений      Коэффициент несимметрии напряжений по обратной последовательности

Коэффициент несимметрии напряжений по нулевой последовательности Потребитель с несимметричной нагрузкой


 

Отклонение частоты

Отклонение частоты Энергоснабжающая организация


Провал напряжения

Длительность провала напряжения Энергоснабжающая организация


Импульс напряжения

Импульсное напряжение Энергоснабжающая организация


Временное перенапряжение

Коэффициент временного перенапряжения Энергоснабжающая организация



Стандартом устанавливаются способы расчета и методики определения ПКЭ и вспомогательных параметров, требования к погрешностям измерений и интервалам усреднения ПКЭ, которые должны реализовываться в приборах контроля КЭ при измерениях показателей и их обработке.

Отклонение напряжения

Отклонения напряжения от номинальных значений происходят из-за суточных, сезонных и технологических изменений электрической нагрузки потребителей; изменения мощности компенсирующих устройств; регулирования напряжения генераторами электростанций и на подстанциях энергосистем; изменения схемы и параметров электрических сетей.

Отклонение напряжения определяется разностью между действующим U и номинальным значениями напряжения, В:

(3.1)

или, %

(3.2)

Установившееся отклонение напряжения равно, %:

(3.3)

где - установившееся (действующее) значение напряжения за интервал усреднения (см. п. 3.8).

В электрических сетях однофазного тока действующее значение напряжения определяется как значение напряжения основной частоты без учета высших гармонических составляющих напряжения, а в электрических сетях трехфазного тока - как действующее значение напряжения прямой последовательности основной частоты .

Стандартом нормируются отклонения напряжения на выводах приемников электрической энергии. Нормально допустимые и предельно допустимые значения установившегося отклонения напряжения равны соответственно ±5 и ±10% от номинального значения напряжения и в точках общего присоединения потребителей электрической энергии должны быть установлены в договорах энергоснабжения для часов минимума и максимума нагрузок в энергосистеме с учетом необходимости выполнения норм стандарта на выводах приемников электрической энергии в соответствии с нормативными документами.

Колебания напряжения

Колебания напряжения вызываются резким изменением нагрузки на рассматриваемом участке электрической сети, например, включением асинхронного двигателя с большой кратностью пускового тока, технологическими установками с быстропеременным режимом работы, сопровождающимися толчками активной и реактивной мощности - такими как, привод реверсивных прокатных станов, дуговые сталеплавильные печи, сварочные аппараты и т.п.

Колебания напряжения характеризуются двумя показателями:

размахом изменения напряжения;

дозой фликера.

Размах изменения напряжения вычисляют по формуле, %

 (3.4)

где , - значения следующих один за другим экстремумов (или экстремума и горизонтального участка) огибающей среднеквадратичных значений напряжения, в соответствии с рис. 3.1.

Рис. 3.1. Колебания напряжения

Частота повторения изменений напряжения , (1/с, 1/мин) определяется по выражению:

 (3.5)

где m - число изменений напряжения за время Т;

Т - интервал времени измерения, принимаемый равным 10 мин.

Если два изменения напряжения происходят с интервалом менее 30 мс, то их рассматривают как одно.

Интервал времени между изменениями напряжения равен:

 (3.6)

Оценка допустимости размахов изменения напряжения (колебаний напряжения) осуществляется с помощью кривых зависимости допустимых размахов колебаний от частоты повторений изменений напряжения или интервала времени между последующими изменениями напряжения.

КЭ в точке общего присоединения при периодических колебаниях напряжения, имеющих форму меандра (прямоугольную) (см. рис 3.2) считают соответствующим требованиям стандарта, если измеренное значение размаха изменений напряжения не превышает значений, определяемых по кривым рис. 3.2 для соответствующей частоты повторения изменений напряжения , или интервала между изменениями напряжения .

Рис. 3.2. Колебания напряжения произвольной формы (а) и имеющие форму меандра (б)

Предельно допустимое значение суммы установившегося отклонения напряжения δUУ и размаха изменений напряжения δUt в точках присоединения к электрическим сетям напряжением 0,38 кВ равно ±10% от номинального напряжения.

Доза фликера - это мера восприимчивости человека к воздействию колебаний светового потока, вызванных колебаниями напряжения в питающей сети, за установленный промежуток времени.

Стандартом устанавливается кратковременная () и длительная доза фликера () (кратковременную определяют на интервале времени наблюдения, равном 10 мин, длительную на интервале - 2 ч). Исходными данными для расчета являются уровни фликера, измеряемые с помощью фликерметра - прибора, в котором моделируется кривая чувствительности (амплитудно-частотная характеристика) органа зрения человека. В настоящее время в Российской Федерации началась разработка фликерметров для контроля колебаний напряжения.

КЭ по дозе фликера соответствует требованиям стандарта, если кратковременная и длительная дозы фликера, определенные путем измерения в течении 24 ч или расчета, не превышают предельно допустимых значений: для кратковременной дозы фликера - 1,38 и для длительной - 1,0 (при колебаниях напряжения с формой, отличающейся от меандра).

Предельно допустимое значение для кратковременной дозы фликера в точках общего присоединения потребителей электроэнергии, располагающих лампами накаливания в помещениях, где требуется значительное зрительное напряжение, равно 1,0, а для длительной - 0,74, при колебаниях напряжения с формой, отличающейся от меандра.

Несинусоидальность напряжения

В процессе выработки, преобразования, распределения и потребления электроэнергии имеют место искажения формы синусоидальных токов и напряжений. Источниками искажений являются синхронные генераторы электростанций, силовые трансформаторы, работающие при повышенных значениях магнитной индукции в сердечнике (при повышенном напряжении на их выводах) преобразовательные устройства переменного тока в постоянный и ЭП с нелинейными вольт - амперными характеристиками (или нелинейные нагрузки).

Искажения, создаваемые синхронными генераторами и силовыми трансформаторами, малы и не оказывают существенного влияния на систему электроснабжения и на работу ЭП. Главной причиной искажений являются вентильные преобразователи, электродуговые сталеплавильные и руднотермические печи, установки дуговой и контактной сварки, преобразователи частоты, индукционные печи, ряд электронных технических средств (телевизионные приемники, ПЭВМ), газоразрядные лампы и др. Электронные приемники электроэнергии и газоразрядные лампы создают при своей работе невысокий уровень гармонических искажений на выходе, но общее количество таких ЭП велико.

Из курса математики известно, что любую несинусоидальную функцию (например, см. рис. 3.3), удовлетворяющую условию Дирихле можно представить в виде суммы постоянной величины и бесконечного ряда синусоидальных величин с кратными частотами. Такие синусоидальные составляющие называются гармоническими составляющими или гармониками. Синусоидальная составляющая, период которой равен периоду несинусоидальной периодической величины, называется основной или первой гармоникой. Остальные составляющие синусоиды с частотами со второй по n-ую называют высшими гармониками.

Рис. 3.3. Несинусоидальность напряженя

Несинусоидальность напряжения характеризуется следующими показателями:

·              коэффициентом искажения синусоидальности кривой напряжения;

·              коэффициентом n-ой гармонической составляющей напряжения.

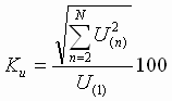
Коэффициент искажения синусоидальности кривой напряжения определяется по выражению, %

(3.7)

где - действующее значение n-ой гармонической составляющей напряжения, В;- порядок гармонической составляющей напряжения,- порядок последней из учитываемых гармонических составляющих напряжения, стандартом устанавливается N =40;

- действующее значение напряжения основной частоты, В.

Допускается определять по выражению, %

(3.8)

где - номинальное напряжение сети, В.

Коэффициент n-ой гармонической составляющей напряжения равен, %

 (3.9)

Допускается вычислять по выражению, %SRC= «publ_image/Image48.gif» align= «top»> (3.10)

Для вычисления необходимо определить уровень напряжения отдельных гармоник, генерируемых нелинейной нагрузкой.

Фазное напряжение гармоники в расчетной точке сети находят из выражения:

 (3.11)

где - действующее значение фазного тока n - ой гармоники;

- напряжение нелинейной нагрузки (если расчетная точка совпадает с точкой присоединения нелинейной нагрузки, то =);

- номинальное напряжение сети;

- мощность короткого замыкания в точке присоединения нелинейной нагрузки.

Для расчета необходимо предварительно определить ток соответствующей гармоники, который зависит не только от электрических параметров, но и от вида нелинейной нагрузки.

Нормально допустимые и предельно допустимые значения в точке общего присоединения к электрическим сетям с разным номинальным напряжением приведены в таблице 3.1.

Таблица 3.1. Значения коэффициента искажения синусоидальности кривой напряжения

Нормально допустимые значения при , кВПредельно допустимые значения при , кВ


0,38

6 -20

35

0,38

6 -20

35

110-330

8,0

5,0

4,0

2,0

12,0

8,0

6,0

3,0



Несимметрия напряжения

Наиболее распространенными источниками несимметрии напряжений в трехфазных системах электроснабжения являются такие потребители электроэнергии, симметричное многофазное исполнение которых или невозможно, или нецелесообразно по технико - экономическим соображениям. К таким установкам относятся индукционные и дуговые электрические печи, тяговые нагрузки железных дорог, выполненные на переменном токе, электросварочные агрегаты, специальные однофазные нагрузки, осветительные установки.

Несимметричные режимы напряжений в электрических сетях имеют место также в аварийных ситуациях - при обрыве фазы или несимметричных коротких замыканиях.

Несимметрия напряжений характеризуется наличием в трехфазной электрической сети напряжений обратной или нулевой последовательностей, значительно меньших по величине соответствующих составляющих напряжения прямой (основной) последовательности.

Несимметрия трехфазной системы напряжений возникает в результате наложения на систему прямой последовательности напряжений системы обратной последовательности, что приводит к изменениям абсолютных значений фазных и междуфазных напряжений (рис. 3.4.).

Рис. 3.4. Векторная диаграмма напряжений прямой и обратной последовательности

Помимо несимметрии, вызываемой напряжением системы обратной последовательности, может возникать несимметрия от наложения на систему прямой последовательности напряжений системы нулевой последовательности. В результате смещения нейтрали трехфазной системы возникает несимметрия фазных напряжений при сохранении симметричной системы междуфазных напряжений (рис. 3.5.).

Рис. 3.5. Векторная диаграмма напряжений прямой и нулевой последовательности

Несимметрия напряжений характеризуется следующими показателями:

·              коэффициентом несимметрии напряжений по обратной последовательности;

·              коэффициентом несимметрии напряжений по нулевой последовательности.

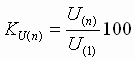
Коэффициент несимметрии напряжений по обратной последовательности равен, %

(3.13)

где - действующее значение напряжения обратной последовательности основной частоты трехфазной системы напряжений, В;

- действующее значение напряжения прямой последовательности основной частоты, В.

Допускается вычислять по выражению, %:

(3.14)

где - номинальное значение междуфазного напряжения сети, В.

Коэффициент несимметрии напряжений по нулевой последовательности равен, %:

(3.15)

где - действующее значение напряжения нулевой последовательности основной частоты трехфазной системы напряжений, В.

Допускается вычислять по формуле, %

 (3.16)

где - номинальное значение фазного напряжения, В.

Измерение коэффициента несимметрии напряжений по нулевой последовательности проводят в четырехпроводной сети.

Относительная погрешность определения и по формулам (3.15) и (3.16) численно равна значению отклонений напряжения от .

Нормально допустимое и предельно допустимое значения коэффициента несимметрии напряжений по обратной последовательности в точке общего присоединения к электрическим сетям равны 2,0 и 4,0%.

Нормированные значения коэффициента несимметрии напряжений по нулевой последовательности в точке общего присоединения к четырехпроводным электрическим сетям с номинальным напряжением 0,38 кВ также равны 2,0 и 4,0%.

Отклонения частоты

Отклонение частоты - разность между действительным и номинальным значениями частоты, Гц

(3.16)

или, %

(3.17)

Стандартом устанавливаются нормально и предельно допустимые значения отклонения частоты равные ± 0,2 Гц и ± 0,4 Гц соответственно.

Провал напряжения

К провалам напряжения относится внезапное значительное изменение напряжения в точке электрической сети ниже уровня 0,9, за которым следует восстановление напряжения до первоначального или близкого к нему уровня через промежуток времени от десяти миллисекунд до нескольких десятков секунд (рис. 3.6).

Рис. 3.6. Провал напряжения

Характеристикой провала напряжения является его длительность -, равная:

(3.18)

где и - начальный и конечный моменты времени провала напряжения.

Провал напряжения характеризуется также глубиной провала напряжения - разностью между номинальным значением напряжения и минимальным действующим значением напряжения, выраженной в единицах напряжения или в процентах от его номинального значения. Провал напряжения вычисляется по выражениям

 (3.20)

или, %

 (3.21)

Предельно допустимое значение длительности провала напряжения в электрических сетях напряжением до 20 кВ включительно равно 30 с. Длительность автоматически устраняемого провала напряжения в любой точке присоединения к электрическим сетям определяется выдержками времени релейной защиты и автоматики.

Импульс напряжения и временное перенапряжение

Искажение формы кривой питающего напряжения может происходить за счет появления высокочастотных импульсов при коммутациях в сети, работе разрядников и т.д. Импульс напряжения - резкое изменение напряжения в точке электрической сети, за которым следует восстановление напряжения до первоначального или близкого к нему уровня. Величина искажения напряжения при этом характеризуется показателем импульсного напряжения (рис. 3.7).

Рис. 3.7. Параметры импульсного напряжения

Импульсное напряжение в относительных единицах равно:

 (3.22)

где - значение импульсного напряжения, В.

Амплитудой импульса называется максимальное мгновенное значение импульса напряжения. Длительность импульса - это интервал времени между начальным моментом импульса напряжения и моментом восстановления мгновенного значения напряжения до первоначального или близкого к нему уровня.

Показатель - импульсное напряжение стандартом не нормируется.

Временное перенапряжение - повышение напряжения в точке электрической сети выше 1,1 продолжительностью более 10 мс, возникающие в системах электроснабжения при коммутациях или коротких замыканиях (рис. 3.8.).

Рис. 3.8. Временное перенапряжение

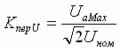
Временное перенапряжение характеризуется коэффициентом временного перенапряжения (): это величина, равная отношению максимального значения огибающей амплитудных значений напряжения за время существования временного перенапряжения к амплитуде номинального напряжения сети.

 (3.23)

Длительностью временного перенапряжения называется интервал времени между начальным моментом возникновения временного перенапряжения и моментом его исчезновения.

 (3.24)

Коэффициент временного перенапряжения стандартом также не нормируется.

Значения коэффициента временного перенапряжения в точках присоединения электрической сети общего назначения в зависимости от длительности временных перенапряжений не превышают значений приведеных в таблице 3.3.

Таблица 3.3. Зависимость коэффициента временного перенапряжения от длительности перенапряжения

Длительности временных перенапряжений, с

До 1

До 20

До 60

Коэффициент временного перенапряжения, о.е.

1,47

1,31

1,15


В среднем за год в точке присоединения возможны около 30 временных перенапряжений.

При обрыве нулевого проводника в трехфазных электрических сетях напряжением до 1 кВ, работающих с глухозаземленной нейтралью, возникают временные перенапряжения между фазой и землей. Уровень таких перенапряжений при значительной несимметрии фазных нагрузок может достигать значений междуфазного напряжения, а длительность нескольких часов.

Статистическая оценка показателей качества электроэнергии

Изменения параметров электрической сети, мощности и характера нагрузки во времени являются основной причиной изменения ПКЭ. Таким образом, ПКЭ - установившееся отклонение напряжения, коэффициенты, характеризующие несинусоидальность и несимметрию напряжений, отклонение частоты, размах изменения напряжения и др. - величины случайные и их измерения и обработка должны базироваться на вероятностно-статистических методах. Поэтому, как уже отмечалось, в стандарте устанавливаются нормы ПКЭ и оговаривается необходимость их выполнения в течение 95% времени каждых суток (для нормально допустимых значений).

Наиболее полную характеристику случайных величин дают законы их распределения, позволяющие находить вероятности появления тех или иных значений ПКЭ. Применение вероятностно-статистических методов поясним на примере оценки отклонений напряжения.

Опыт эксплуатации показывает наличие суточных, недельных и более длительных циклов изменения отклонений напряжения во времени. Статистические данные подтверждают, что наиболее точно закон распределения отклонений напряжения в электрических сетях может быть описан с помощью нормального закона распределения, которым и пользуются в практике контроля КЭ.

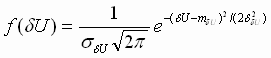
Аналитическое описание нормального закона осуществляется с помощью двух параметров: математического ожидания случайной величины и стандартного отклонения от среднего . Уравнение кривой распределения отклонений напряжения от номинального, соответствующей нормальному закону распределения, имеет вид:

(3.25)

Выражение (3.25) записано для непрерывного процесса изменения случайной величины. Для упрощения приборов контроля КЭ непрерывные случайные величины, которыми являются ПКЭ, заменяются при контроле дискретными последовательностями их значений.

Наиболее удобной формой представления информации об изменениях случайной величины является гистограмма. Гистограмма - графическое представление статистического ряда исследуемого показателя, изменение которого носит случайный характер (рис. 3.9.). При этом весь диапазон, отклонений напряжения делится на интервалы равной ширины (например 1,25%). Каждому интервалу дается название - значение отклонений напряжения, соответствующее середине интервала , и находится вероятность (частота) попадания отклонений напряжения в этот интервал

(3.26)

где - число попаданий в i-й интервал;

- общее число измерений.

Рис. 3.9. Гистограмма отклонений напряжения

На основании гистограммы дается ответ: какого качества электроэнергия в точке контроля. Такая оценка делается по сумме значений попадания в интервалы, укладывающиеся в допустимый диапазон отклонений напряжения. С помощью гистограммы находится и вероятность отклонений напряжения за нормально допустимые значения. Это позволяет судить о причинах низкого качества напряжения в электрической сети и выбрать мероприятия для его улучшения.

Для оценки качества напряжения широко применяются числовые характеристики и , определяемые из гистограммы.

Математическое ожидание определяет средний уровень отклонений напряжения в рассматриваемой точке сети за контролируемый период времени

(3.27)

где k - число интервалов гистограммы.

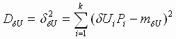
Рассеяние отклонений напряжения характеризуется дисперсией . Она равна математическому ожиданию квадрата отклонений случайной величины от ее среднего значения и определяется из выражения

(3.28)

Параметр является стандартным отклонением и характеризует рассеяние гистограммы, т.е. разброс отклонений напряжения вокруг математического ожидания. Для большинства гистограмм отклонений напряжения интегральная вероятность попадания в диапазон 4 составляет 0,95. Это означает, что для удовлетворения требований стандарта значение по результатам измерений не должно превышать 1/4 от ширины допустимого диапазона. Так, если допустимый диапазон отклонения напряжения , то необходимо, чтобы не превышало 2,5%.

Стандартом устанавливаются способы и методики определения ПКЭ и вспомогательных параметров, реализующие положения математической статистики и теории вероятностей. Для измеренных дискретных значений ПКЭ устанавливаются интервалы усреднения, представленные в таблице 3.4.

Таблица 3.4. Интервалы усреднения результатов измерений показателей КЭ

Показатель КЭ

Интервал усреднения, с

Установившееся отклонение напряжения Размах изменения напряжения Доза фликера Коэффициент искажения синусоидальности кривой напряжения Коэффициент n-ой гармонической составляющей напряжения Коэффициент несимметрии напряжений по обратной последовательности Коэффициент несимметрии напряжений по нулевой последовательности Отклонение частоты Длительность провала напряжения Импульсное напряжение Коэффициент временного перенапряжения

60 - - 3 3 3 3 20 - - -


Для интервалов усреднения различных ПКЭ стандартом устанавливается количество наблюдения (N) и, пользуясь методикой, изложенной в стандарте, определяется тот или иной ПКЭ. Например, вычисляют значение усредненного напряжения в вольтах, как результат усреднения N наблюдений напряжений за интервал времени 1 мин по формуле:

(3.29)

где - значение напряжения в i - ом наблюдении, В.

Число наблюдений за 1 мин в соответствии со стандартом должно быть не менее 18. Вычисляют значение установившегося отклонения напряжения по формуле, %

(3.30)

Накопленные за минимальный расчетный период значения ПКЭ обрабатываются методами математической статистики и определяются вероятности соответствия их нормам стандарта.

Методики определения ПКЭ установленные стандартом реализуются в аппаратурных средствах контроля КЭ. Форма представления результатов обработки измерения также должна отвечать требованиям стандарта.

В таблице 3.5 приведены сводные данные по нормам ПКЭ.

Таблица 3.5. Нормы качества электрической энергии

Показатель КЭ, ед. измерения

Нормы КЭ


Нормально допустимые

предельно допустимые

Установившееся отклонение напряжения , %± 5± 10



Размах изменения напряжения , %

Кривые 1,2 на рис. 3.2


Доза фликера, относит. ед.: Кратковременная

Длительная -

,38; 1,0

1,0; 0,74



Коэффициент искажения синусоидальности кривой напряжения , %По таблице

.1По таблице

3.1



Коэффициент n-ой гармонической составляющей напряжения , %По таблице

.2По таблице



Коэффициент несимметрии напряжений по обратной последовательности , %24

Коэффициент несимметрии напряжений по нулевой последовательности , %24

Отклонение частоты , Гц± 0,2± 0,4

Длительность провала напряжения , с-30

Импульсное напряжение , кВ--

Коэффициент временного перенапряжения , относит. ед.:--


4. Влияние качества электроэнергии на работу электроприемников

Отклонения ПКЭ от нормируемых значений ухудшают условия эксплуатации электрооборудования энергоснабжающих организаций и потребителей электроэнергии, могут привести к значительным убыткам как в промышленности, так и в бытовом секторе, обуславливают, как уже отмечалось, технологический и электромагнитный ущербы.

Характерные типы электроприемников

От электрических сетей систем электроснабжения общего назначения питаются ЭП различного назначения, рассмотрим промышленные и бытовые ЭП.

Наиболее характерными типами ЭП, широко применяющимися на предприятиях различных отраслей промышленности, являются электродвигатели и установки электрического освещения. Значительное распространение находят электротермические установки, а также вентильные преобразователи, служащие для преобразования переменного тока в постоянный. Постоянный ток на промышленных предприятиях применяется для питания двигателей постоянного тока, для электролиза, в гальванических процессах, при некоторых видах сварки и т.д.

Электродвигатели применяются в приводах различных производственных механизмов. В установках, не требующих регулирования частоты вращения в процессе работы, применяются электроприводы переменного тока: асинхронные и синхронные электродвигатели.

Установлена наиболее экономичная область применения асинхронных и синхронных электродвигателей в зависимости от напряжения. При напряжении до 1 кВ и мощности до 100 кВт экономичнее применять асинхронные двигатели, а свыше 100 кВт - синхронные, при напряжении до 6 кВ и мощности до 300 кВт - асинхронные двигатели, а выше 300 кВт - синхронные, при напряжении 10 кВ и мощности до 400 кВт - асинхронные двигатели, выше 400 кВт - синхронные.

Большое распространение асинхронных двигателей обусловлено их простотой в исполнении и эксплуатации и относительно небольшой стоимостью.

Синхронные двигатели имеют ряд преимуществ по сравнению с асинхронными двигателями: обычно используются в качестве источников реактивной мощности, их вращающий момент меньше зависит от напряжения на зажимах, во многих случаях они имеют более высокий КПД. В то же время синхронные двигатели являются более дорогими и сложными в изготовлении и эксплуатации.

Установки электрического освещения с лампами накаливания, люминесцентными, дуговыми, ртутными, натриевыми, ксеноновыми применяются на всех предприятиях для внутреннего и наружного освещения, для нужд городского освещения и т.д.

Электросварочные установки переменного тока дуговой и контактной сварки представляют собой однофазную неравномерную и несинусоидальную нагрузку с низким коэффициентом мощности: 0,3 для дуговой сварки и 0,7 для контактной. Сварочные трансформаторы и аппараты малой мощности подключаются к сети 380/220 В, более мощные - к сети 6 - 10 кВ.

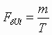
Вентильные преобразователи в силу специфики их регулирования являются потребителями реактивной мощности (коэффициент мощности вентильных преобразователей прокатных станов колеблется от 0,3 до 0,8), что вызывает значительные отклонения напряжения в питающей сети; коэффициент несинусоидальности при работе тиристорных преобразователей прокатных станов может достигать значения более 30% на стороне 10 кВ питающего их напряжения, на симметрию напряжения в силу симметричности их нагрузок вентильные преобразователи не влияют.

Электросварочные установки могут являться причиной нарушения нормальных условий работы для других ЭП. В частности, сварочные агрегаты, мощность которых в настоящее время достигает 1500 кВт в единице, вызывают значительно большие колебания напряжения в электрических сетях, чем, например, пуск асинхронных двигателей с короткозамкнутым ротором. Кроме того, эти колебания напряжения происходят длительно и с широким диапазоном частот, в том числе и в самом неприятном для установок электрического освещения диапазоне (порядка 10 Гц).

Электротермические установки в зависимости от метода нагрева делятся на группы: дуговые печи, печи сопротивления прямого и косвенного действия, электронные плавильные печи, вакуумные, шлакового переплава, индукционные печи. Данная группа ЭП также оказывает неблагоприятное влияние на питающую сеть, например, дуговые печи, которые могут иметь мощность до 10 МВт, в настоящее время сооружаются как однофазные. Это приводит к нарушению симметрии токов и напряжений (последнее происходит в связи с падениями напряжения на сопротивлениях сети от токов разных последовательностей). Кроме того, дуговые печи, как и вентильные установки, являются нелинейными ЭП с малой инерционностью. Поэтому они приводят к несинусоидальности токов, а, следовательно, и напряжений.

Современная электрическая нагрузка квартиры (коттеджа) характеризуется широким спектром бытовых ЭП, которые по их назначению и влиянию на электрическую сеть можно разделить на следующие группы: пассивные потребители активной мощности (лампы накаливания, нагревательные элементы утюгов, плит, обогревателей); ЭП с асинхронными двигателями, работающими в трехфазном режиме (привод лифтов, насосов - в системе водоснабжения и отопления и др.); ЭП с асинхронными двигателями, работающими в однофазном режиме (привод компрессоров холодильников, стиральных машин и др.); ЭП с коллекторными двигателями (привод пылесосов, электродрелей и др.); сварочные агрегаты переменного и постоянного тока (для ремонтных работ в мастерской и др.); выпрямительные устройства (для зарядки аккумуляторов и др.); радиоэлектронная аппаратура (телевизоры, компьютерная техника и др.); высокочастотные установки (печи СВЧ и др.); лампы люминесцентного освещения.

Воздействие каждого отдельно взятого бытового ЭП незначительно, совокупность же ЭП, подключаемых к шинам 0,4 кВ трансформаторной подстанции, оказывает существенное влияние на питающую сеть.

Влияние отклонений напряжения

Отклонения напряжения оказывают значительное влияние на работу асинхронных двигателей (АД), являющихся наиболее распространенными приемниками электроэнергии в промышленности.

Рис. 4.1. Механическая характеристика двигателя при номинальном (М1) и пониженном (М2) напряжениях

При изменении напряжения изменяется механическая характеристика АД - зависимость его вращающего момента М от скольжения s или частоты вращения (рис. 4.1). С достаточной точностью можно считать, что вращающий момент двигателя пропорционален квадрату напряжения на его выводах. При снижении напряжения уменьшается вращающий момент и частота вращения ротора двигателя, так как увеличивается его скольжение. Снижение частоты вращения зависит также от закона изменения момента сопротивления Mc (на рис 4.1 Mc принят постоянным) и от загрузки двигателя. Зависимость частоты вращения ротора двигателя от напряжения можно выразить:

 (4.1)

где - синхронная частота вращения;

- коэффициент загрузки двигателя;

, - номинальные значения напряжения и скольжения соответственно.

Из формулы (4.1) видно, что при малых загрузках двигателя частота вращения ротора будет больше номинальной частоты вращения (при номинальной загрузке двигателя). В таких случаях понижения напряжения не приводят к уменьшению производительности технологического оборудования, так как снижения частоты вращения двигателей ниже номинальной не происходит.

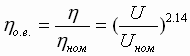
Для двигателей, работающих с полной нагрузкой, понижение напряжения приводит к уменьшению частоты вращения. Если производительность механизмов зависит от частоты вращения двигателя, то на выводах таких двигателей рекомендуется поддерживать напряжение не ниже номинального. При значительном снижении напряжения на выводах двигателей, работающих с полной нагрузкой, момент сопротивления механизма может превысить вращающий момент, что приводит к «опрокидыванию» двигателя, т.е. к его остановке. Во избежание повреждений двигатель необходимо отключить от сети.

Снижение напряжения ухудшает и условия пуска двигателя, так как при этом уменьшается его пусковой момент.

Практический интерес представляет зависимость потребляемой двигателем активной и реактивной мощности от напряжения на его выводах.

В случае снижения напряжения на зажимах двигателя реактивная мощность намагничивания уменьшается (на 2 - 3% при снижении напряжения на 1%), при той же потребляемой мощности увеличивается ток двигателя, что вызывает перегрев изоляции.

Если двигатель длительно работает при пониженном напряжении, то из-за ускоренного износа изоляции срок службы двигателя уменьшается. Приближенно срок службы изоляции Т можно определить по формуле:

 (4.2)

где - срок службы изоляции двигателя при номинальном напряжении и номинальной нагрузке;- коэффициент, зависящий от значения и знака отклонения напряжения, а также от коэффициента загрузки двигателя и равный:

 при - 0,2 < <0; (4.3);

 при 0,2 ≥ > 0; (4.4)

Поэтому с точки зрения нагрева двигателя более опасны в рассматриваемых пределах отрицательные отклонения напряжения.

Снижение напряжения приводит также к заметному росту реактивной мощности, теряемой в реактивных сопротивлениях рассеяния линий, трансформаторов и АД.

Повышение напряжения на выводах двигателя приводит к увеличению потребляемой ими реактивной мощности. При этом удельное потребление реактивной мощности растет с уменьшением коэффициента загрузки двигателя. В среднем на каждый процент повышения напряжения потребляемая реактивная мощность увеличивается на 3% и более (в основном за счет увеличения тока холостого хода двигателя), что в свою очередь приводит к увеличению потерь активной мощности в элементах электрической сети.

Лампы накаливания характеризуются номинальными параметрами: потребляемой мощностью , световым потоком , световой отдачей (равной отношению излучаемого лампой светового потока к ее мощности) и средним номинальным сроком службы . Эти показатели в значительной мере зависят от напряжения на выводах ламп накаливания. При отклонениях напряжения на 10% эти характеристики приближенно можно описать следующими эмпирическими формулами:

(4.5)

(4.6)

(4.7)

(4.8)

Рис. 4.2. Зависимости характеристик ламп накаливания от напряжения: 1 - потребляемая мощность, 2 - световой поток, 3 - световая отдача, 4 - срок службы

Из кривых на рис. 4.2. видно, что со снижением напряжения наиболее заметно падает световой поток. При повышении напряжения сверх номинального увеличивается световой поток F, мощность лампы P и световая отдача h, но резко снижается срок службы ламп Т и в результате они быстро перегорают. При этом имеет место и перерасход электроэнергии.

Изменения напряжения приводят к соответствующим изменениям светового потока и освещенности, что, в конечном итоге, оказывает влияние на производительность труда и утомляемость человека.

Люминесцентные лампы менее чувствительны к отклонениям напряжения. При повышении напряжения потребляемая мощность и световой поток увеличиваются, а при снижении - уменьшаются, но не в такой степени как у ламп накаливания. При пониженном напряжении условия зажигания люминесцентных ламп ухудшаются, поэтому срок их службы, определяемый распылением оксидного покрытия электродов, сокращается как при отрицательных, так и при положительных отклонениях напряжения.

При отклонениях напряжения на 10% срок службы люминесцентных ламп в среднем снижается на 20 - 25%. Существенным недостатком люминесцентных ламп является потребление ими реактивной мощности, которая растет с увеличением подводимого к ним напряжения.

Отклонения напряжения отрицательно влияют на качество работы и срок службы бытовой электронной техники (радиоприемники, телевизоры, телефонно-телеграфная связь, компьютерная техника).

Вентильные преобразователи обычно имеют систему автоматического регулирования постоянного тока путем фазового управления. При повышении напряжения в сети угол регулирования автоматически увеличивается, а при понижении напряжения уменьшается. Повышение напряжения на 1% приводит к увеличению потребления реактивной мощности преобразователем примерно на 1-1,4%, что приводит к ухудшению коэффициента мощности. В то же время другие показатели вентильных преобразователей с повышением напряжения улучшаются, и поэтому выгодно повышать напряжение на их выводах в пределах допустимых значений.

Электрические печи чувствительны к отклонениям напряжения. Понижение напряжения электродуговых печей, например, на 7% приводит к удлинению процесса плавки стали в 1,5 раза. Повышение напряжения выше 5% приводит к перерасходу электроэнергии.

Отклонения напряжения отрицательно влияют на работу электросварочных машин: например, для машин точечной сварки при изменении напряжения на 15% получается 100%-ный брак продукции.

Влияние колебаний напряжения

К числу ЭП, чрезвычайно чувствительных к колебаниям напряжения относятся осветительные приборы, особенно лампы накаливания и электронная техника:

Стандартом определяется воздействие колебаний напряжения на осветительные установки, влияющие на зрение человека. Мигание источников освещения (фликер-эффект) вызывает неприятный психологический эффект, утомление зрения и организма в целом. Это ведет к снижению производительности труда, а в ряде случаев и к травматизму.

Наиболее сильное воздействие на глаз человека оказывают мигания с частотой 3 - 10 Гц, поэтому допустимые колебания напряжения в этом диапазоне минимальны - менее 0,5%.

При одинаковых колебаниях напряжения отрицательное влияние ламп накаливания проявляется в значительно большей мере, чем газоразрядных ламп. Колебания напряжения более 10% могут привести к погасанию газоразрядных ламп. Зажигание их в зависимости от типа ламп происходит через несколько секунд и даже минут.

Колебания напряжения нарушают нормальную работу и уменьшают срок службы электронной аппаратуры: радиоприемников, телевизоров, телефонно-телеграфной связи, компьютерной техники, рентгеновских установок, радиостанций, телевизионных станций и т.д.

При значительных колебаниях напряжения (более 15%) могут быть нарушены условия нормальной работы электродвигателей, возможно отпадание контактов магнитных пускателей с соответствующим отключением работающих двигателей.

Колебания напряжения с размахом 10 - 15% могут привести к выходу из строя батарей конденсаторов, а также вентильных преобразователей.

Влияние колебаний напряжения на отдельные приемники электроэнергии изучены еще недостаточно. Это затрудняет технико - экономический анализ при проектировании и эксплуатации систем электроснабжения с резко переменными нагрузками.

Влияние несимметрии напряжений

Несимметрия напряжений, как уже отмечалось, вызывается чаще всего наличием несимметричной нагрузки. Несимметричные токи нагрузки, протекающие по элементам системы электроснабжения, вызывают в них несимметричные падения напряжения. Вследствие этого на выводах ЭП появляется несимметричная система напряжений. Отклонения напряжения у ЭП перегруженной фазы могут превысить нормально допустимые значения, в то время как отклонения напряжения у ЭП других фаз будут находиться в нормируемых пределах. Кроме ухудшения режима напряжения у ЭП при несимметричном режиме существенно ухудшаются условия работы как самих ЭП, так и всех элементов сети, снижается надежность работы электрооборудования и системы электроснабжения в целом.

При несимметрии напряжений сети в синхронных машинах наряду с возникновением дополнительных потерь активной мощности и нагревом статора и ротора могут возникнуть опасные вибрации в результате появления знакопеременных вращающих моментов и тангенциальных сил, пульсирующих с двойной частотой сети. При значительной несимметрии вибрация может оказаться опасной, а в особенности при недостаточной прочности и наличии дефектов сварных соединений. При несимметрии токов, не превышающей 30%, опасные перенапряжения в элементах конструкций, как правило, не возникают.

Правила технической эксплуатации электрических сетей и станций в РФ указывают, что «длительная работа генераторов и синхронных компенсаторов при неравных токах фаз допускается, если разница токов не превышает 10% номинального тока статора для турбогенераторов и 20% для гидрогенераторов. При этом токи в фазах не должны превышать номинальных значений. Если эти условия не выполняются, то необходимо принимать специальные меры по уменьшению несимметрии».

В случае наличия токов обратной и нулевой последовательности увеличиваются суммарные токи в отдельных фазах элементов сети, что приводит к увеличению потерь активной мощности и может быть недопустимо с точки зрения нагрева. Токи нулевой последовательности протекают постоянно через заземлители. При этом дополнительно высушивается и увеличивается сопротивление заземляющих устройств. Это может быть недопустимым с точки зрения работы релейной защиты, а также из-за усиления воздействия на низкочастотные установки связи и устройства железнодорожной блокировки.

Несимметрия напряжения значительно ухудшает режимы работы многофазных вентильных выпрямителей: значительно увеличивается пульсация выпрямленного напряжения, ухудшаются условия работы системы импульсно-фазового управления тиристорных преобразователей.

Конденсаторные установки при несимметрии напряжений неравномерно загружаются реактивной мощностью по фазам, что делает невозможным полное использование установленной конденсаторной мощности. Кроме того, конденсаторные установки в этом случае усиливают уже существующую несимметрию, так как выдача реактивной мощности в сеть в фазе с наименьшим напряжением будет меньше, чем в остальных фазах (пропорционально квадрату напряжения на конденсаторной установке).

Несимметрия напряжений значительно влияет и на однофазные ЭП, если фазные напряжения неравны, то, например, лампы накаливания, подключенные к фазе с более высоким напряжением, имеют больший световой поток, но значительно меньший срок службы по сравнению с лампами, подключенными к фазе с меньшим напряжением. Несимметрия напряжений усложняет работу релейной защиты, ведет к ошибкам при работе счетчиков электроэнергии и т.д.

Влияние несинусоидальности напряжения

ЭП с нелинейными вольт-амперными характеристиками потребляют из сети несинусоидальные токи при подведении к их зажимам синусоидального напряжения. Токи высших гармоник, проходя по элементам сети, создают падения напряжения в сопротивлениях этих элементов и, накладываясь на основную синусоиду напряжения, приводят к искажениям формы кривой напряжения в узлах электрической сети. В связи с этим ЭП с нелинейной вольт-амперной характеристикой часто называют источниками высших гармоник.

Наиболее серьезные нарушения КЭ в электрической сети имеют место при работе мощных управляемых вентильных преобразователей. При этом порядок высших гармонических составляющих тока и напряжения в сети определяется по формуле

 (4.9)

где m - число фаз выпрямления;- последовательный ряд натуральных чисел (0,1,2…).

В зависимости от схемы выпрямления вентильные преобразователи генерируют в сеть следующие гармоники тока: при 6-фазной схеме - до 19-го порядка; при 12-фазной схеме - до 25-го порядка включительно.

Коэффициент искажения синусоидальности кривой напряжения в сетях с электродуговыми сталеплавильными и руднотермическими печами определяется в основном 2, 3, 4, 5, 7-й гармониками.

Коэффициент искажения синусоидальности кривой напряжения установок дуговой и контактной сварки определяется в основном 5, 7, 11, 13-й гармониками.

Токи 3-й и 5-й гармоник газоразрядных ламп составляют 10 и 3% от тока 1-й гармоники. Эти токи совпадают по фазе в соответствующих линейных проводах сети и, складываясь в нулевом проводе сети 380/220 В, обусловливают ток в нем, почти равный току в фазном проводе. Остальными гармониками для газоразрядных ламп можно пренебречь.

Исследования кривой тока намагничивания трансформаторов, включенных в сеть синусоидального напряжения, показали, что при трехстержневом сердечнике и соединениях обмоток U/U; и /U; в электрической сети имеются все нечетные гармоники, в том числе гармоники, кратные трем. Гармоники, кратные трем, обусловлены несимметрией намагничивающих токов по фазам:

 (4.10)

Действующее значение намагничивающего тока трансформатора:

 (4.11)

Токи намагничивания образуют системы токов прямой и обратной последовательности, которые по абсолютной величине одинаковы для гармоник, кратных трем. Для других нечетных гармоник токи обратной последовательности составляют около 0,25 токов прямой последовательности.

Если на вводы трансформаторов подается несинусоидальное напряжение возникают дополнительные составляющие высших гармоник тока. Трансформаторы ГПП дают 5-ю гармонику небольшой величины.

В целом несинусоидальные режимы обладают теми же недостатками, что и несимметричные.

Высшие гармоники тока и напряжения вызывают дополнительные потери активной мощности во всех элементах системы электроснабжения: в линиях электропередачи, трансформаторах, электрических машинах, статических конденсаторах, так как сопротивления этих элементов зависят от частоты.

Так, например, емкостное сопротивление конденсаторов, устанавливаемых в целях компенсации реактивной мощности, с повышением частоты подводимого напряжения уменьшается. Поэтому, если в напряжении питающей сети есть высшие гармоники, то сопротивление конденсаторов на этих гармониках оказывается значительно ниже, чем на частоте 50 Гц. Из-за этого в конденсаторах, предназначенных для компенсации реактивной мощности, даже небольшие напряжения высших гармоник могут вызвать значительные токи гармоник. На предприятиях с большим удельным весом нелинейных нагрузок батареи конденсаторов работают плохо. Они или отключаются защитой от перегрузки по току или за короткий срок выходят из строя из-за вспучивания банок (или ускоренного старения изоляции). Известны случаи, когда на предприятиях с развитой кабельной сетью напряжением 6 -10 кВ батареи конденсаторов оказываются в режиме резонанса токов (или близких к этому режиму) на частоте какой-либо из гармоник, что приводит к опасной перегрузке их по току.

Высшие гармоники вызывают:

·              паразитные поля и электромагнитные моменты в синхронных и асинхронных двигателях, которые ухудшают механические характеристики и КПД машины. В результате необратимых физико-химических процессов, протекающих под воздействием полей высших гармоник, а также повышенного нагрева токоведущих частей наблюдается:

·              ускоренное старение изоляции электрических машин, трансформаторов, кабелей;

·              ухудшение коэффициента мощности ЭП;

·              ухудшение или нарушение работы устройств автоматики, телемеханики, компьютерной техники и других устройств с элементами электроники;

·              погрешности измерений индукционных счетчиков электроэнергии, которые приводят к неполному учету потребляемой электроэнергии;

·              нарушение работы самих вентильных преобразователей при высоком уровне высших гармонических составляющих.

·              Наличие высших гармоник неблагоприятно сказывается на работе не только электрооборудования потребителей, но и электронных устройствах в энергосистемах.

·              Для некоторых установок (система импульсно-фазового управления вентильными преобразователями, комплектные устройства автоматики и др.) допустимые значения отдельных гармоник тока (напряжения) указываются изготовителем в паспорте изделия.

·              Кривая напряжения, подводимого к ЭП, не должна содержать высших гармоник в установившемся режиме работы электросети. Следует подчеркнуть, что в условиях работы ЭП, несинусоидальность напряжения проявляется совместно с действиями других влияющих факторов и поэтому необходимо рассматривать всю совокупность факторов совместно.

Влияние отклонения частоты

Жесткие требования стандарта к отклонениям частоты питающего напряжения обусловлены значительным влиянием частоты на режимы работы электрооборудования, ход технологических процессов производства и, как следствие, технико-экономические показатели работы промышленных предприятий.

Электромагнитная составляющая ущерба обусловлена увеличением потерь активной мощности в электрических сетях и ростом потребления активной и реактивной мощностей. Известно, что снижение частоты на 1% увеличивает потери в электрических сетях на 2%.

Технологическая составляющая ущерба вызвана в основном недовыпуском промышленными предприятиями своей продукции и стоимостью дополнительного времени работы предприятия для выполнения задания. Согласно экспертным оценкам значение технологического ущерба на порядок выше электромагнитного.

Анализ работы предприятий с непрерывным циклом производства показал, что большинство основных технологических линий оборудовано механизмами с постоянным и вентиляторным моментами сопротивлений, а их приводами служат асинхронные двигатели. Частота вращения роторов двигателей пропорциональна изменению частоты сети, а производительность технологических линий зависит от частоты вращения двигателя.

Степень влияния частоты на производительность ряда механизмов может быть выражена через потребляемую ими активную мощность:

(4.4)

где a - коэффициент пропорциональности, зависящий от типа механизма;- частота сети;- показатель степени.

В зависимости от значений показателя степени n, ЭП можно разбить на следующие группы:

1.      механизмы с постоянным моментом сопротивления - поршневые насосы, компрессоры, металлорежущие станки и др.; для них n=1;

2.      механизмы с вентиляторным моментом сопротивления - центробежные насосы, вентиляторы, дымососы и др.; для них n=3; на ТЭС, КЭС, АЭС обычно это двигатели насосов питательной воды, циркуляционных насосов, дымовых вентилятоов, маслонасосов и т.д.

.        механизмы, для которых n=3,5-4 - центробежные насосы, работающие с большим статическим напором (противодавлением), например, питательные насосы котельных.

ЭП 2-й и 3-й групп, наиболее подверженые влиянию частоты, имеют регулировочные возможности, благодаря которым потребляемая ими мощность из сети остается практически неизменной.

Наиболее чувствительны к понижению частоты двигатели собственных нужд электростанций. Снижение частоты приводит к уменьшению их производительности, что сопровождается снижением располагаемой мощности генераторов и дальнейшим дефицитом активной мощности и снижением частоты (имеет место лавина частоты).

Такие ЭП, как лампы накаливания, печи сопротивления, дуговые электрические печи на изменение частоты практически не реагируют.

Отклонения частоты отрицательно влияют на работу электронной техники: отклонение частоты более +0,1 Гц приводит к яркостным и геометрическим фоновым искажениям телевизионного изображения, изменения частоты от 49,9 до 49,5 Гц влечет за собой почти четырехкратное увеличение допустимого размаха телевизионного сигнала к фоновой помехе. Изменение частоты до 49,5 Гц требует существенного ужесточения требований к отношению сигнал / фоновая помеха во всех звеньях телевизионного тракта - от оборудования аппаратно-студийного комплекса до телевизионного приемника, выполнение которых сопряжено со значительными материальными затратами.

Кроме этого, пониженная частота в электрической сети влияет и на срок службы оборудования, содержащего элементы со сталью (электродвигатели, трансформаторы, реакторы со стальным магнитопроводом), за счет увеличения тока намагничивания в таких аппаратах и дополнительного нагрева стальных сердечников.

Для предотвращения общесистемных аварий, вызванных снижением частоты предусматриваются специальные устройства автоматической частотной разгрузки (АЧР), отключающие часть менее ответственных потребителей. После ликвидации дефицита мощности, например после включения резервных источников, специальные устройства частотного автоматического повторного включения (ЧАПВ) включают отключенных потребителей и нормальная работа системы восстанавливается.

Поддержание нормальной частоты, соответствующей требованиям стандарта является технической, а не научной задачей, основной путь решения которой - ввод генерирующих мощностей с целью создания резервов мощности в сетях энергоснабжающих организаций.

Влияние электромагнитных помех

В системах электроснабжения общего назначения нашли широкое применение электронные и микроэлектронные системы управления, микропроцессоры и ЭВМ, что привело к снижению уровня помехоустойчивости систем управления ЭП и резкому возрастанию количества их отказов. Основной причиной отказов является воздействие электромагнитных переходных помех, возникающих при электромагнитных переходных процессах как в сетях энергосистем, так и в городских, и промышленных электрических сетях. Длительность протекания переходных процессов составляет от нескольких периодов тока промышленной частоты до нескольких секунд, а эффективная полоса частот помех может достигать десятков мегагерц.

Характеристикой электромагнитных переходных помех являются провалы и импульсы напряжения, кратковременные перенапряжения. Для этих ПКЭ стандарт не устанавливает допустимых численных значений, однако, рассматривает эти помехи в рамках проблемы электромагнитной совместимости.

Электромагнитные переходные помехи, сопровождающиеся провалами напряжения, возникают, в основном, при однофазных коротких замыканиях воздушных линий вследствие перекрытия изоляции. Эти повреждения либо самоликвидируются, либо устраняются при кратковременном отключении с последующим автоматическим повторным включением (АПВ). Кроме того, причиной возникновения провалов напряжения являются междуфазные замыкания, возникающие в результате атмосферных явлений, а также отключения питающих линий и конденсаторов. Количество провалов напряжения с глубиной до 20% достигает в распределительных сетях 55 - 60%. Свыше 60% остановов механизмов приходится на провалы напряжения с глубиной более 20%.

Причиной возникновения электромагнитных переходных помех в системах электроснабжения общего назначения могут быть перенапряжения, возникающие при однофазных замыканиях на землю, при коммутациях батарей конденсаторов и резонансных фильтров, при отключении ненагруженных кабельных линий и трансформаторов, при одновременной коммутации контактов выключателей и другой коммутационной аппаратуры, при неполнофазных режимах работы электрической сети вследствие различных причин, приводящих к феррорезонансным явлениям. Восприимчивость электронного оборудования и ЭВМ к перенапряжениям зависит как от АЧХ ЭП, так и от АЧХ электромагнитных помех.

Увеличение мощности энергосистем и количества воздушных линий, применяемых для повышения надежности электроснабжения промышленных предприятий, приводит к снижению надежности функционирования сложных электронных систем управления и возрастанию числа отказов помехочувствительных ЭП.

Как уже отмечалось, при значениях всех ПКЭ по напряжению, отличных от нормируемых, происходит ускоренное старение изоляции электрооборудования, в результате возрастает интенсивность потоков отказов с течением времени. Так, при несинусоидальности кривой напряжения сети даже при резонансной настройке дугогасящих аппаратов, через место замыкания на землю проходит ток высших гармоник, и может произойти прожигание кабеля в месте первого повреждения. В этом случае возможно возникновение, как показывает опыт эксплуатации, одновременно двух и более аварий из-за перенапряжений.

При низком КЭ имеет место взаимозависимость отказов элементов, например, когда отрицательное влияние нелинейных, нессимметричных и ударных нагрузок скомпенсировано с помощью соответствующих корректирующих устройств при отключении того или иного устройства. Так, выход из строя быстродействующего статического компенсатора вызывает появление несимметрии, колебаний и гармоник напряжения, которые ранее компенсировались, что, в свою очередь, чревато возникновением ложных срабатываний релейных защит, аварийным выходом из строя некоторых видов электрооборудования и другими аналогичными отрицательными последствиями. Сбои в каналах передачи информации по силовым цепям при наличии гармоник приводят к подаче неправильных команд на управление коммутационной аппаратурой. Таким образом, КЭ существенно влияет на надёжность электроснабжения, поскольку аварийность в сетях с низким КЭ выше, чем в случае, когда ПКЭ находятся в допустимых пределах.

5. Контроль качества электрической энергии

.1 Основные задачи и виды контроля качества электроэнергии

Основными задачами контроля КЭ являются:

. Проверка выполнения требований стандарта в части эксплуатационного контроля ПКЭ в электрических сетях общего назначения;

. Проверка соответствия действительных значений ПКЭ на границе раздела сети по балансовой принадлежности значениям, зафиксированным в договоре энергоснабжения;

. Разработка технических условий на присоединение потребителя в части КЭ;

. Проверка выполнения договорных условий в части КЭ с определением допустимого расчетного и фактического вкладов потребителя в ухудшение КЭ;

. Разработка технических и организационных мероприятий по обеспечению КЭ;

. Определение скидок (надбавок) к тарифам на ЭЭ за ее качество;

. Поиск «виновника» искажений ПКЭ.

В зависимости от целей, решаемых при контроле и анализе КЭ, измерения ПКЭ могут иметь четыре формы:

·              диагностический контроль;

·              инспекционный контроль;

·              оперативный контроль;

·              коммерческий учет.

Диагностический контроль КЭ - основной целью диагностического контроля на границе раздела электрических сетей потребителя и энергоснабжающей организации является обнаружение «виновника» ухудшения КЭ, определение допустимого вклада в нарушение требований стандарта по каждому ПКЭ, включение их в договор энергоснабжения, нормализация КЭ.

Диагностический контроль должен осуществляться при выдаче и проверке выполнения технических условий на присоединение потребителя к электрической сети, при контроле договорных условий на электроснабжение, а также в тех случаях, когда необходимо определить долевой вклад в ухудшение КЭ группы потребителей, присоединенных к общему центру питания. Диагностический контроль должен быть периодическим и предусматривать кратковременные (не более одной недели) измерения ПКЭ. При диагностическом контроле измеряют как нормируемые, так и ненормируемые ПКЭ, а также токи и их гармонические и симметричные составляющие и соответствующие им потоки мощности.

Если результаты диагностического контроля КЭ подтверждают «виновность» потребителя в нарушении норм КЭ, то основной задачей энергоснабжающей организации совместно с потребителем является разработка и оценка возможностей и сроков выполнения мероприятий по нормализации КЭ. На период до реализации этих мероприятий на границе раздела электрических сетей потребителя и энергоснабжающей организации должны применяться оперативный контроль и коммерческий учет КЭ.

На следующих этапах диагностических измерений КЭ контрольными точками должны быть шины районных подстанций, к которым подключены кабельные линии потребителей. Эти точки представляют также интерес для контроля правильности работы устройств РПН трансформаторов, для сбора статистики и фиксации провалов напряжения и временных перенапряжений в электрической сети. Тем самым контролируется работа уже существующих средств обеспечения КЭ: синхронных компенсаторов, батарей статических конденсаторов и трансформаторов с устройствами РПН, обеспечивающих заданные диапазоны отклонений напряжения, а также работа средств защиты и автоматики в электрической сети.

Инспекционный контроль КЭ - осуществляется органами сертификации для получения информации о состоянии сертифицированной электроэнергии в электрических сетях энергоснабжающей организации, о соблюдении условий и правил применения сертификата, с целью подтверждения того, что КЭ в течение времени действия сертификата продолжает соответствовать установленным требованиям.

Оперативный контроль КЭ - необходим в условиях эксплуатации в точках электрической сети, где имеются и в ближайшей перспективе не могут быть устранены искажения напряжения. Оперативный контроль необходим в точках присоединения тяговых подстанций железнодорожного и городского электрифицированного транспорта, подстанций предприятий имеющих ЭП с нелинейными характеристиками. Результаты оперативного контроля должны поступать по каналам связи на диспетчерские пункты электрической сети энергоснабжающей организации и системы электроснабжения промышленного предприятия.

Коммерческий учет ПКЭ - должен осуществлятьсяна границе раздела электрических сетей потребителя и энергоснабжающей организации и по результатам его определяются скидки (надбавки) к тарифам на электроэнергию за ее качество.

Правовой и методической базой обеспечения коммерческого учета КЭ в электрических сетях являются Гражданский кодекс Российской Федерации (ГК РФ), ч. 2, ГОСТ 13109 - 97, Инструкция о порядке расчетов за электрическую и тепловую энергию (№449 от 28 декабря 1993 г. Минюста РФ).

Коммерческий учет КЭ должен непрерывно осуществляться в точках учета потребляемой электроэнергии как средство экономического воздействия на виновника ухудшения КЭ. Для этих целей должны применяться приборы, совмещающие в себе функции учета электроэнергии и измерения ее качества. Наличие в одном приборе функций учета электроэнергии и контроля ПКЭ позволит совместить оперативный контроль и коммерческий учет КЭ, при этом могут применяться общие каналы связи и средства обработки, отображения и документирования информации АСКУЭ.

Приборы коммерческого учета КЭ должны регистрировать относительное время превышения нормально и предельно допустимых значений ПКЭ в точке контроля электроэнергии за расчетный период, которые определяют надбавки к тарифам для виновников ухудшения КЭ.

.2 Требования стандарта к контролю качества электроэнергии

Контроль за соблюдением требований стандарта энергоснабжающими организациями и потребителями электрической энергии должны осуществлять органы надзора и аккредитованные испытательные лаборатории по КЭ.

Контроль КЭ в точках общего присоединения потребителей электрической энергии к системам общего назначения проводят энергоснабжающие организации (точки контроля выбираются в соответствии с нормативными документами). Периодичность измерений ПКЭ:

для установившегося отклонения напряжения - не реже двух раз в год в зависимости от сезонного изменения нагрузок в распределительной сети центра питания, а при наличии автоматического встречного регулирования напряжения в центре питания не реже одного раза в год;

для остальных ПКЭ - не реже одного раза в два года при неизменности схемы сети и ее элементов и незначительном изменении характера электрических нагрузок потребителя, ухудшающего КЭ.

Потребители электроэнергии, ухудшающие КЭ, должны проводить контроль в точках собственных сетей, ближайших к точкам общего присоединения указанных сетей к электрической сети общего назначения, а также на выводах приемников электрической энергии, искажающих КЭ.

Периодичность контроля КЭ устанавливает потребитель электрической энергии по согласованию с энергоснабжающей организацией.

Контроль КЭ, отпускаемой тяговыми подстанциями переменного тока в электрические сети напряжением 6 - 35 кВ, следует проводить:

·              для электрических сетей 6 - 35 кВ, находящихся в ведении энергосистем, в точках присоединения этих сетей к тяговым подстанциям;

·              для электрических сетей 6 - 35 кВ, не находящихся в ведении энергосистем, в точках выбранных по согласованию между тяговыми подстанциями и потребителями электроэнергии, а для вновь строящихся и реконструируемых (с заменой трансформаторов) тяговых подстанций - в точках присоединения потребителей электрической энергии к этим сетям.

5.3 Скидки и надбавки к тарифу за качество электроэнергии

В п. 1 ст. 542 ч. 2 ГК РФ устанавливается: «качество подаваемой энергоснабжающей организацией энергии должно соответствовать требованиям, установленным государственными стандартами и иными обязательными правилами, или предусмотренным договором энергоснабжения».

Для обеспечения норм стандарта в точках общего присоединения допускается устанавливать в договорах энергоснабжения с потребителями - «виновниками» ухудшения КЭ, более жесткие нормы (с меньшими диапазонами изменения соответствующих показателей КЭ), чем установлены в стандарте, которые потребители обязаны поддерживать на границе раздела балансовой принадлежности электрических сетей.

В случае нарушения энергоснабжающей организацией требований, предъявляемых к КЭ, абонент вправе доказывать размер ущерба и взыскивать его с энергоснабжающей организации по правилам ст. 547 ГК РФ. Вместе с тем, учитывая, что абонент все-таки использовал энергию ненадлежащего качества, он должен оплатить ее, но по соразмерно уменьшенной цене (п. 2. ст. 542 ГК РФ).

Очевидно, что нарушения могут быть взаимными и по разным ПКЭ. Сторона, виновная в снижении КЭ, определяется в соответствии с Правилами применения скидок и надбавок к тарифам за качество электроэнергии.

Инструкция о порядке расчетов за электрическую и тепловую энергию в разделе 4 «Скидки (надбавки) к тарифу за качество электроэнергии» устанавливает штрафные санкции к виновнику ухудшения КЭ.

Механизм штрафных санкций, установленных Инструкцией распространяется не на все ПКЭ, а на те, численные значения, нормы которых есть в стандарте:

установившееся отклонение напряжения;

коэффициент искажения синусоидальности кривой напряжения;

коэффициент несимметрии напряжений по обратной последовательности;

коэффициент несимметрии напряжений по нулевой последовательности;

отклонение частоты;

размах изменения напряжения.

Из перечисленных ПКЭ коэффициент искажения синусоидальности кривой напряжения и коэффициенты гармонических составляющих напряжения отражают одно и то же явление - несинусоидальность. Причем отражает все гармоники в сумме, а - каждую из 40 гармоник в отдельности. Поэтому в Инструкции применяют скидки (надбавки) по суммарному воздействию, (коэффициенту ), к тому же надо принять во внимание, что скидки (надбавки) по отдельным ПКЭ складываются. Поэтому показатель в Инструкцию не включен. Не включена в скидки (надбавки) и длительность провала напряжения, так как объем санкций по перечисленным ПКЭ зависит от суммарной продолжительности отпуска электрической энергии пониженного качества за месяц, а в части провалов напряжения нормируется длительность одного провала без нормирования их количества.

Скидки (надбавки) за качество электрической энергии применяются при расчётах со всеми потребителями.

Значение скидки (надбавки) зависит:

от числа ПКЭ, по которым происходит нарушение норм стандарта в точке учета электрической энергии в течение расчетного периода;

от относительного времени превышения нормально и предельно допустимых значений ПКЭ в точке контроля электроэнергии в течение расчетного периода.

Конкретное значение скидки (надбавки) в зависимости от степени нарушения указанных факторов может быть от 0,2 до 10% тарифа на электроэнергию.

Оплата по тарифу со скидкой (надбавкой) за КЭ производится за весь объем электрической энергии, отпущенной (потребленной) в расчетный период. Если в нарушении виновна энергоснабжающая организация, штрафная санкция реализуется в виде скидки с тарифа, если виновен потребитель, - в виде надбавки.

За недопустимые отклонения напряжения и частоты предусмотрена односторонняя ответственность энергоснабжающей организации. За отклонение напряжения энергоснабжающая организация несет ответственность перед потребителем в случае, если абонент не превышает технических пределов потребления и генерации реактивной мощности.

Ответственность за нарушение норм по четырем остальным ПКЭ возлагается на виновника ухудшения КЭ. Виновник определяется на основе сопоставления включенного в договор допустимого вклада в значение рассматриваемого ПКЭ в точке контроля с фактическим вкладом, определяемым путем измерений.

Литература

1.ГОСТ 13109-97 «Нормы качества электрической энергии в системах электроснабжения общего назначения».

. Методические указания по контролю и анализу качества электроэнергии в системах электроснабжения общего назначения (РД 34.15.501 - 88).

. Жежеленко И.В. Показатели качества электроэнергии и их контроль на промышленных предприятиях. М.: Энергоатомиздат, 1986. 168 с.

. Иванов В.С., Соколов В.И. Режимы потребления и качество электроэнергии систем электроснабжения промышленных предприятий. М.: Энергоатомиздат, 1987. 336 с.

. Горюнов И.Т., Мозгалев В.С., Дубинский Е.В., Богданов В.А., Карташев И.И., Пономаренко И.С. Основные принципы построения системы контроля, анализа и управления качеством электроэнергии. Электрические станции, 1998, №12.

. Правила применения скидок и надбавок к тарифам за качество электроэнергии (утверждены Главгосэнергонадзором 14 мая 1991 г.).

. Карпов Ф.Ф., Солдаткина Л.А. Регулирование напряжения в электросетях промышленных предприятий. М.: Энергия, 1970. 224 с.

. Петров В.М., Щербаков Е.Ф., Петрова М.В. О влиянии бытовых электроприемников на работу смежных электротехнических устройств. Промышленная энергетика, 1998, №4.

. Левин М.С., Мурадян А.Е., Сырых Н.Н. Качество электроэнергии в сетях сельских районов. М.: Энергия, 1975. 224 с.

. Кудрин Б.И., Прокопчик В.В. Электроснабжение промышленных предприятий. Минск.: Высшая школа, 1988. 357 с.

. Инструкция о порядке расчетов за электрическую и тепловую энергию (рег. №449 от 28 декабря 1993 г. Минюста РФ).

. Головкин П.И. Энергосистема и потребители электрической энергии М.: Энергия, 1973. 168 с.

. Мозгалев В.С., Богданов В.А., Карташев И.И., Пономаренко И.С., Сыромятников С.Ю. Оценка эффективности контроля качества электроэнергии в ЭЭС. Электрические станции, 1999, №1.

Похожие работы на - Качество электрической энергии

 

Не нашли материал для своей работы?
Поможем написать уникальную работу
Без плагиата!
Без нейросетей!