Исследование системы регистрации быстрых сигналов
МИНИСТЕРСТВО ОБРАЗОВАНИЯ И НАУКИ
РОССИЙСКОЙ ФЕДЕРАЦИИ
Федеральное государственное бюджетное
образовательное учреждение
высшего профессионального образования
НАЦИОНАЛЬНЫЙ ИССЛЕДОВАТЕЛЬСКИЙ
ТОМСКИЙ ПОЛИТЕХНИЧЕСКИЙ УНИВЕРСИТЕТ
Физико-технический институт
Кафедра электроники и автоматики
физических установок
Отчёт по лабораторной работе на тему:
«Исследование системы регистрации
быстрых сигналов»
Выполнил: студент группы 0712 Столповский Алексей Евгеньевич
Принял: преподаватель Михалевич Сергей Сергеевич
Томск 2014
Теоретическая часть
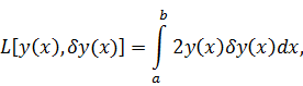
Определение функционала:
Переменная величина V
называется функционалом, определенным на некотором классе функций M, если каждой функции y(x) из
класса M ставится в соответствие определенное
число V ∈ R (v ∈ C), а сам класс M называется областью определения
функционала. Для значений функционала v на элементе y = y(x) ∈ M используется символ V = V[y(x)].
Здесь в качестве функционального пространства M рассматривается пространство Ck([a, b]),
состоящее из всех функций, определенных на отрезке [a, b] и имеющих
непрерывные производные до k-го порядка включительно. Здесь k -
некоторое фиксированное число. При k = 0 пространство C0([a, b])
= C([a, b]) есть пространство всех непрерывных на [a, b]
функций.
Нормой элемента y(x) ∈ Ck([a, b]) называется неотрицательное число

Две
функции y1(x) и y2(x) из пространства Ck[a,
b] называются близкими в смысле близости k-го порядка, если норма их
разности 
мала на
отрезке [a, b]. Другими словами, близость функций y(x)
и y1(x) в пространстве Ck ([a, b]) с заданной
точностью δ
> 0 означает, что 
, т.е.
что близки не только сами функции, но и их производные до k-го порядка
включительно.
Функционал

называется
линейным, если для любого λ ∈ R (λ ∈ C) и любых y1(x), y2(x) ∈ K справедливо
называется
действием, а 
-
функцией Лагранжа (или лагранжианом).
Каждой
функции (траектории) 
ставится
в соответствие действие 
. Здесь 
-
непрерывная функция вместе со всеми своими частными производными до второго
порядка включительно. Свойства именно этого функционала и его обобщений обычно
изучаются.
Исследуем
поведение данного функционала при изменении функции y(x). Пусть y(x)
- некоторая исходная функция, а y1(x) - некоторая другая функция,
близкая (например, в смысле близости k-го порядка) к y(x).
Функцию y1(x) будем называть проварьированной (изменённой, от
латинского variatio - изменение) функцией. Существует несколько представлений
проварьированной функции y1(x).
Можно,
например, ввести понятие вариации аналогично тому, как вводится понятие дифференциала
в дифференциальном исчислении.
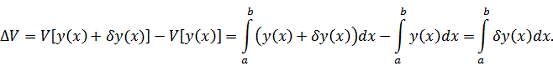
Приращением, или вариацией, «аргумента» y(x)
функционала V[y(x)] называется разность между
функциями y1(x) − y(x), y(x),
y1(x) ∈ M. Для обозначения используется символ
Тогда
проварьированную функцию можно записать как
Символ

,
согласно определению следует понимать как единый, причём 
,
поскольку производная разности равна разности производных:
Другой
подход состоит в том, что функция y(x) в функционале V[y(x)]
рассматривается как однопараметрическое семейство
в
котором изменение параметра α меняет
функцию y(x), т.е. варьирует её. В этом случае сам функционал
становится функцией от α,
т.е 
, и его
изменение в зависимости от вариации функции y(x) определяется
параметром α.
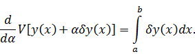
При этом вариацию 
можно
определить как:
и
для её произвольности семейство 
предполагать
произвольным, а не фиксированным.
Обозначим
через
где

-
линейный по отношению к 
функционал,
а для функции 
при
выбранной 
справедливо
соотношение
Этот
предел соответствует оценке
Фнукционал

, имеющий
вариацию при 
,
называется дифференцируемым при 
. Для
обозначения вариации функционала используется символ 
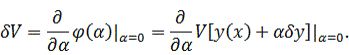
Теорема
Если
функционал 
дифференцируем
в точке 
, то при
любом 
функция 
как
функция числа 
(при
фиксированных 
и 
)
дифференцируема по 
при 
. Причём
вариацию функционала можно определить равенством
Доказательство
Что
и требовалось доказать. Здесь мы воспользовались свойством линейности
функционала 
по 
.
Ход
работы
вариационный исчисление
wolfram mathematica
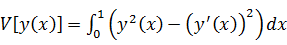
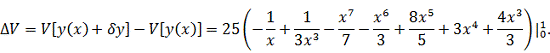
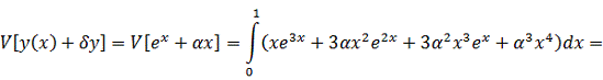
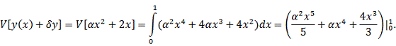
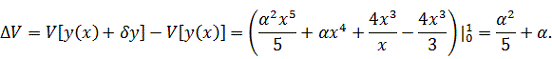
Задание № 1
В
первом задании мы нашли в символьной форме и вычислили приращение функционала,
определённого на пространстве C1([a, b]) при различных 
и 


Вычисляем приращение аргумента:
Вычисляем

:
Вычисляем

Вычисляем
приращение функционала:


Вычисляем

:
Вычисляем

Вычисляем
приращение функционала:

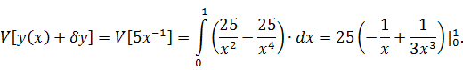
при 
и 
.
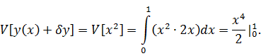
Вычисляем приращение аргумента:
Вычисляем

:
Вычисляем

Вычисляем
приращение функционала:
Очевидно,
что на промежутке 
данный
интеграл расходится за счёт слагаемых с 
в
знаменателе.
Задание
№ 2
Во
втором задании мы доказали, что функционал, определённый на пространстве C1([a,
b]) является дифференцируемым в каждой точке этого пространства, то есть он
имеет линейную относительно 
часть в
своём приращении (вариацию).

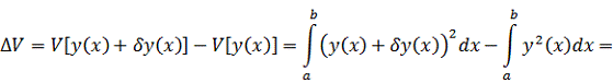
Вычисляем приращение функционала:
Очевидно,
что в силу свойства линейности определённого интеграла, приращение функционала
линейно относительно 
, а
значит, данный функционал является дифференцируемым на
определённом пространстве.

Вычисляем приращение функционала:
Снова используя свойство линейности определённого интеграла, можно
показать, что из приращения данного функционала возможно легко выделить
линейную часть:
а следовательно данный функционал является дифференцируемым на
определённом пространстве.
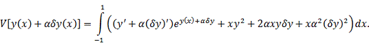
Можно справедливо заметить, что изучаемый в данной лабораторной
функционал - действие (см. теоретическую часть) является дифференцируемым в C1([a,
b]) при общем виде лагранжиана, а следовательно, достаточно рассмотреть
общий случай.
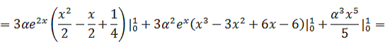
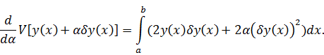
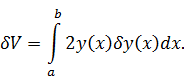
Задание № 3
В третьем задании мы вычислили и графически изобразили приращение и
вариацию функционала.

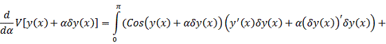
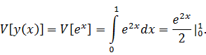
Вычисляем

:
Вычисляем

Вычисляем
приращение функционала:
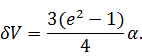
Находим
вариацию функционала (т.е. выделяю линейную относительно 
, а
следовательно и относительно α часть):
Вычисляем
значение данных функций при различных α:
Таблица
1. Значения функций в точках
|
α
|
-1
|
-0,6
|
-0,3
|
-0,1
|
-0,05
|
-0,01
|
-0,005
|
-0,001
|
|
|
-0,8
|
-0,528
|
-0,282
|
-0,098
|
-0,0495
|
-0,0099
|
-0,005
|
-0,001
|
|
|
-1
|
-0,6
|
-0,3
|
-0,1
|
-0,05
|
-0,01
|
-0,001
|
|
α
|
0,001
|
0,005
|
0,01
|
0,05
|
0,1
|
0,3
|
0,6
|
1
|
|
|
0,001
|
0,005
|
0,01002
|
0,0505
|
0,102
|
0,318
|
0,672
|
1,2
|
|
|
0,001
|
0,005
|
0,01
|
0,05
|
0,1
|
0,3
|
0,6
|
1
|
|
|
|
|
|
|
|
|
|
|
|
|
|
Рисунок 1. График приращения и вариации функционала

.
Вычислем

:
Вычислем

Вычислем
приращение функционала:
Находим
вариацию функционала (т.е. выделяю линейную относительно 
, а
следовательно и относительно α часть):
Вычисляем
значение данных функций при различных α:
Таблица
2. Значения функций в точках
|
α
|
-1
|
-0,6
|
-0,3
|
-0,1
|
-0,05
|
-0,01
|
-0,005
|
-0,001
|
|
|
-3,3
|
-2,309
|
-1,291
|
-0,462
|
-0,235
|
-0,048
|
-0,024
|
-0,005
|
|
|
-4,8
|
-2,875
|
-1,437
|
-0,479
|
-0,239
|
-0,048
|
-0,024
|
|
α
|
0,001
|
0,005
|
0,01
|
0,05
|
0,1
|
0,3
|
0,6
|
1
|
|
|
0,005
|
0,024
|
0,048
|
0,244
|
0,496
|
1,595
|
3,527
|
6,7
|
|
|
0,005
|
0,024
|
0,048
|
0,24
|
0,479
|
1,437
|
2,875
|
4,8
|
|
|
|
|
|
|
|
|
|
|
Рисунок 2. График приращения и вариации функционала
Из полученных данных следует, что при малых α,
а следовательно, при
малых приращениях аргумента функционала (подробнее - см. вывод), приращение функционала можно заменить
вариацией с незначительной погрешностью.
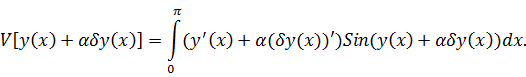
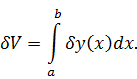
Задание № 4
При помощи теоремы, описанной в теоретической части нашли вариации
заданных функционалов.


:
Здесь
и в дальнейшем предполагаем, что функция 
является
непрерывной в области определения и имеет непрерывную первую производную по α. Это необходимое условие внесения операции
дифференцирования под знак интеграла.

:
Положив

,
записываем вариацию функционала:



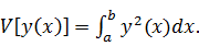
:
Итак,
вариация функционала имеет вид:

Вычисляем

:
Вычисляем

:
Положив

записываем
вариацию функционала:

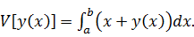
Вычисляем

:
Вычисляем

:
Положив

записываем
вариацию функционала:

.
Вычисляем
Вычисляем

:
Положив

записываем
вариацию функционала:
Вывод
В
ходе данной работы были изучены и проверены на практике основные постулаты
вариационного исчисления, а также закреплены навыки работы с программным
пакетом Wolfram Mathematica, то есть, цели работы
были достигнуты. Более конкретные выводы приведены ниже:
1. Как мы убедились функционал - действие не всегда имеет приращение.
Например в случае, если на заданном пространстве интеграл функционала
расходится. Однако это не означает, что при этом он не имеет вариации.
2. Можно доказать, и мы убедились на частных случаях, что функционал
- действие является дифференцируемым в C1([a, b]) при общем виде
лагранжиана, то есть, имеет вариацию.
3. При достаточно малых приращениях аргумента функционала (в нашем
случае при приращении аргумента в 1% и менее) его нелинейное приращение может
быть с достаточной степенью точности (до 4 знака после запятой) заменено
линейной вариацией. Этот факт может быть использован при выведении
теоретических закономерностей и при практических вычислениях.
4. Взяв во внимание результаты вычисления вариаций функционалов 4 и
5 четвёртого задания, можно заметить, что функционал, линейную часть приращения
которого выделить нельзя, всё равно может иметь вариацию. Иными словами, как
написано в методическом пособии, «второе определение [вариации] является более
широким».
. Все данные примеры также были посчитаны в пакете Mathematica, их с подробными комментариями можно
увидеть в приложении к данной работе. Сразу замечу, что все результаты
полностью повторили полученные в данной работе. Для большей наглядности помимо
вариаций функционалов четвёртого задания были посчитаны также их приращения.