Оценка возможностей метода переходных процессов при изучении верхней части геологического разреза
Оценка возможностей метода переходных процессов при
изучении верхней части геологического разреза
Н. О. Кожевников, А. Е. Плотников
Введение
Метод
переходных процессов (МПП) является одним из наиболее востребованных в
современной электроразведке. Исторически он был изобретен и разрабатывался в
связи с потребностями поисков и оценки рудных тел высокой электропроводности,
залегающих на глубинах от первых десятков до сотен метров. При изучении
горизонтально-слоистых сред или субгоризонтальных геоэлектрических
неоднородностей, прежде всего при решении задач нефтяной геофизики, применяется
аналог метода переходных процессов - зондирование становлением поля в ближней
зоне (ЗСБ), занявшее прочное место в структурной электроразведке.
В
70-х гг. прошлого столетия В. А. Сидоров и др. [18, 19] постулировали
возможность использования зондирования методом переходных процессов для
картирования малых глубин и решения задач гидрогеологии. Примерно в это же
время в связи с появлением аппаратуры "Импульс" и "Каскад"
в области малоглубинных ЗСБ были получены первые практические результаты. С тех
пор объем малоглубинных исследований методом переходных процессов неуклонно
возрастал [2, 11, 29, 30]. В последнее десятилетие освоен микросекундный
диапазон регистрации неустановившихся сигналов [1, 20], что позволило
существенно расширить круг задач, решаемых с помощью импульсной индуктивной
электроразведки.
Таким
образом, одно из актуальных направлений развития МПП связано со стремлением
уменьшить его глубинность в связи с потребностями инженерной геологии и
гидрогеологии, геоэкологии, а также при решении геотехнических проблем. Хотя в
последние годы появилось большое число публикаций, посвященных описанию
результатов применения МПП для изучения верхней части геологического разреза
(ВЧР), практически отсутствуют работы, где бы давалась оценка реальных
возможностей, или - если посмотреть на проблему с другой стороны - ограничений
метода переходных процессов именно при исследовании малых глубин. В данной
статье на основе простой модели и наглядного подхода предпринята попытка до
некоторой степени восполнить указанный пробел.
Оценка начального времени регистрации переходного
процесса
На
рис. 1, а изображена установка для осуществления зондирований методом
переходных процессов, включающая генераторную и приемную горизонтальные незаземленные
петли/рамки. Установка расположена на поверхности однородного проводящего
полупространства с удельным электрическим сопротивлением р. Как известно [14],
эффективную глубину зондирований (в метрах) можно оценить по формуле
где
р - удельное сопротивление зондируемого полупространства, Ом-м; t - временная
задержка, с; k1 - коэффициент. По данным разных авторов оптимальное зна чение
k1 заключено в пределах от 400 до 700 [3, 4, 14]. В контексте настоящей статьи
конкретное значение k1 не играет принципиальной роли; при получении
нижеприведенных оценок было принято, что k1 = 500.
Зададимся
минимальной глубиной исследования hmin, которой соответствует минимальная
временная задержка t min:
откуда
получаем формулу, с помощью которой можно оценить начальное время регистрации
переходной характеристики ВЧР:
На
рис. 1, б представлены графики начального времени регистрации в зависимости от
минимальной глубины hmin и удельного сопротивления полупространства р,
построенные для интервала глубин от 0,1 до 10 м и для р в диапазоне от 1 до 103
Ом-м. Вследствие того, что начальное время регистрации изменяется
пропорционально квадрату глубины, снижение h min влечет за собой необходимость
проводить измерения на очень ранних временах. Предположим, что hmjn = 10 м.
Тогда при изучении ВЧР, представленной сравнительно низко-омными породами,
например глинами или суглинками (р = 10 - 20 Ом-м), tmin не должно превышать 10
мкс. Как уже отмечалось выше, измерения переходных характеристик на временах
порядка нескольких микросекунд и более освоены в современной импульсной
электроразведке, поэтому исследование проводящего геоэлектрического разреза,
начиная с глубины порядка 10 м, представляет собой выполнимую задачу. При
повышении удельного сопротивления среды - например, вследствие промерзания ВЧР
- до 102 Ом-м и далее до 103 Ом-м начальное время регистрации не должно
превышать 1 и 0,1 мкс соответственно. Если же минимальная глубина исследований
составляет 1 м, приведенные выше значения времен уменьшатся на два порядка, т.
е. измерения переходных характеристик ВЧР необходимо проводить в диапазоне
порядка единиц - сотен наносекунд. Подобные измерения представляют собой весьма
непростую задачу. Причина этого заключается в том, что инерционность аппаратуры
и в особенности приемной и генераторной петель/рамок является серьезным
препятствием для измерения быстро устанавливающегося отклика ВЧР на импульсное
воздействие.
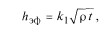
Оценка размеров приемной рамки
На
рис. 2,a в схематическом виде представлена система для импульсной индуктивной
электроразведки. Система включает коммутатор тока, генераторную рамку,
исследуемую геологическую среду, приемную рамку и регистратор. Обычно при
анализе системы указанные компоненты рассматривают как линейные
четырехполюсники с сосредоточенными параметрами [6, 9]. Полагают также, что
параметры четырехполюсников взаимно независимы и постоянны во времени. Каждый
из указанных элементов характеризуется собственной переходной характеристикой.
Полезным сигналом является переходная характеристика геологической среды;
переходные характеристики остальных элементов в совокупности определяют
быстродействие измерительной системы. Чем короче переходная характеристика этих
элементов по сравнению с откликом ВЧР, тем раньше можно начать измерять
последний и тем меньше начальная глубина исследований.
Предположим,
как это делает большинство исследователей [6, 8, 9, 28], что быстродействие
системы определяется преимущественно параметрами измерительной петли или рамки.
При близком расположении генераторной и приемной рамок последняя в момент
выключения тока в источнике подвергается сильному импульсному воздействию
(особенно в условиях высо-коомного разреза), в результате чего в ней возникает
собственный переходный процесс, ЭДС е1(t) которого на ранних временах
значительно превосходит ЭДС e(t) полезного сигнала. Если рамки располагаются на
поверхности ВЧР с высокой проводимостью и/или разнесены, импульсное
воздействие, оказываемое на приемную рамку в момент коммутации тока, снижается.
Однако и в этом случае для измерений на ранних временах необходимо использовать
малоинерционную рамку, поскольку полезный сигнал сворачивается с ее импульсной
характеристикой.
При
оценочных расчетах можно принять, что индуктивность и емкость рамки
пропорциональны ее характерному линейному размеру l (длине стороны для
квадратной рамки, диаметру или радиусу для круглой) и квадрату числа витков п:
L = kLln2, С = kcln2, где kL и kc - коэффициенты. Тогда
Таким
образом, размер рамки изменяется пропорционально квадрату минимальной глубины
исследований и обратно пропорционально удельному электрическому сопротивлению
геологической среды. Это означает, что снижение hmin, особенно при изучении
слабо проводящих разрезов, обусловливает необходимость использовать очень
маленькие рамки.
В
графическом виде зависимость (7) представлена на рис. 3. Как нетрудно видеть,
для исследования ВЧР, начиная с глубины порядка 10 метров допустимо использовать
рамку, радиус которой составляет 1 м и более. Если же минимальная глубина не
превосходит первых метров, а удельное электрическое сопротивление зондируемой
среды превышает 102 Ом-м, радиус рамки составляет доли метра.
Наряду
с необходимостью обеспечить высокую собственную частоту, использование
небольших рамок предпочтительно еще и по той причине, что методика
малоглубинных исследований должна быть экспрессной и предусматривать
возможность проведения массовых измерений на урбанизированных территориях и в условиях
интенсивной промышленной застройки. Оптимальным вариантом представляется такой,
когда рамки располагаются на тележках или - в зимнее время - на санях, которые
перемещаются вручную либо с помощью небольшого транспортного средства. Такая
методика позволяет проводить экспрессные площадные и профильные съемки с
высокой плотностью наблюдений, обеспечивающей пространственное разрешение,
необходимое при исследовании ВЧР [29, 30].
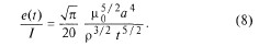
Оценка уровня полезного сигнала
К
сожалению, реальные возможности использовать рамки как можно меньшего размера
имеют естественные ограничения. Как известно, ЭДС полезного сигнала при прочих
равных условиях пропорциональна произведению площадей генераторной и
измерительной рамок. В свою очередь, площадь рамки пропорциональна квадрату ее
характерного линейного размера. Поэтому уменьшение размеров рамок сопряжено с
резким падением полезного сигнала до уровня, при котором измерение переходной
характеристики ВЧР превращается в серьезную проблему.
На
примере установки с совмещенными круглыми одновитковыми рамками радиусом а
рассмотрим, как изменяется уровень неустановившегося сигнала в зависимости от
требуемой минимальной эффективной глубины исследований и удельного
электрического сопротивления среды. Воспользуемся известным выражением для
приведенной к току ЭДС e(t)/I, наводимой в поздней стадии становления на
зажимах приемной рамки [17, 24]:
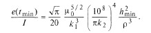
Подставим
в (8) значения tmin и аmin, определенные по формулам (1) и (7), т. е.
выраженные через минимальную глубину hmin и удельное электрическое
сопротивление р зондируемой среды. В результате найдем e(tmin)/I, т. е.
значение приведенной к току ЭДС на самой ранней временной задержке (на более
поздних временах ЭДС будет заведомо меньше):
Таким
образом, ЭДС переходного процесса изменяется пропорционально квадрату
минимальной глубины и обратно пропорционально кубу удельного электрического
сопротивления. Графики зависимости e(tmin)/I от hmin для различных значений р
представлены на рис. 4. Как нетрудно видеть, осуществление малоглубинных
исследований, особенно в высокоомных (р > 102 Ом-м) средах, влечет за собой
необходимость измерять быстроменяющиеся сигналы настолько низкого уровня, что
решение этой проблемы, во всяком случае на основе традиционных подходов,
представляется едва ли возможным. В частности, использование многовитковой
рамки с целью увеличения эффективной площади сопряжено с резким понижением
частоты собственных колебаний f0 (см. формулу 3), увеличением начального
времени регистрации tmin и соответственно минимальной глубины исследований
hmin. Компенсация падения уровня полезного сигнала за счет увеличения момента
генераторной рамки приведет к неизбежному снижению быстродействия последней и
увеличению начального времени регистрации переходной характеристики ВЧР.
Обсуждение результатов
Прежде
всего, необходимо подчеркнуть, что каждый из приведенных на рисунках графиков
дает верхнюю границу соответствующего параметра. Так, значе- нию hmin = 3 м на
графике зависимости аmin от hmin, построенном для р = 1 Ом-м (см. рис. 3),
соответствует amin = 102 м. Из этого, однако, не следует, что реальные
измерения переходной характеристики ВЧР с удельным сопротивлением 1 Ом-м должны
выполняться с генераторной рамкой радиусом 102 м. Это лишь означает, что при использовании
рамки радиусом свыше 102 м ее собственная частота окажется настолько низкой,
что измерения на временных задержках, обеспечивающих эффективную глубину
зондирований порядка 3 м, выполнить не удастся.
где
а и b - соответственно радиусы рамки и провода, м; е0= 8,854'10 -12 Ф/м; м0 =
1,2566-10-6 Гн/м - соответственно электрическая и магнитная проницаемости
вакуума. Предполагается также, что b « а; это условие всегда выполняется на
практике. Подставив эти формулы в (2), находим, что собственная частота
колебаний одновитковой круговой рамки составляет
В
работе [28] проведен анализ переходной реакции приемной петли в присутствии
локального проводящего объекта, который моделировался замкнутым контуром с
постоянной времени т. Получено соотношение, связывающее собственную частоту fo
и другие параметры петли с допустимой относительной погрешностью измерений Еr:

где
tmjn - минимальная временная задержка; tср - длительность среза импульсов тока
в генераторной петле; d - коэффициент затухания петли.
В
контексте настоящей статьи формула (5) важна в том отношении, что в общем виде
иллюстрирует известную закономерность [8]: чем меньше начальное время
регистрации tmin, тем выше должна быть собственная частота колебаний рамки f0.
Анализ выражения (5) показывает, что при измерениях на ранних временах tmin и
fо связаны обратно пропорциональной зависимостью.
К
аналогичным выводам пришел А. К. Захаркин [9], рассматривая переходный процесс
в присутствии горизонтально-слоистого проводящего полупространства. Им
показано, что fo и tmin связаны соотношением
где
k2 - коэффициент.
Считается,
что при k2= 10 собственный переходный процесс рамки полностью затухает к
моменту t = tmin, поэтому сигнал на выходе рамки равен индуцируемому за счет
затухания вихревых токов в земле [7, 16].
Комбинируя
(1) и (6) с учетом (3), находим: для исследования геологической среды с
удельным сопротивлением р, начиная с глубины h min необходимо, чтобы радиус
одновитковой рамки (в метрах) не превышал
Напомним,
что при постановке зондирований методом переходных процессов радиус
генераторной рамки или петли по возможности должен удовлетворять условию
"ближней зоны" [16, 17, 24]:
a<2hmin.
(9)
График
зависимости (9) показан на рис. 3 пунктирной линией. Из двух условий для выбора
amin, а именно (7) и (9), нужно руководствоваться тем, которое при решении
конкретной геологической задачи накладывает на amin более сильное ограничение.
Рис. 3 показывает, что при изучении малых глубин определяющим является условие
(7). Из этого же рисунка видно, что при понижении р и/или увеличении hmin
минимально допустимый радиус рамки задается неравенством (9).
Представленные
в статье оценки возможностей системы для малоглубинной импульсной индуктивной
электроразведки на основе анализа быстродействия приемной рамки могут
показаться несколько пессимистичными. В принципе, можно рассчитать или измерить
собственную переходную характеристику рамки, после чего осуществить деконволюцию
полезного сигнала из его свертки с собственным откликом рамки или учесть
собственную реакцию рамки при построении алгоритма инверсии данных МПП.
Последняя процедура используется в тех случаях, когда с целью подавления помех
специально ограничивают полосу пропускания измери тельного тракта [22]. На
ранних временах генераторная и приемная рамки связаны не только посредством
магнитного поля затухающих в земле вихревых токов, но и непосредственно -
вследствие прямых индуктивной и емкостной связей. При близком расположении
генераторной и приемной рамок взаимная емкость очень сильно зависит даже от
небольших изменений геометрии установки, локальных особенностей ВЧР и
ближайшего окружения рамок, нередко включая экспериментатора [11]. Поскольку
изучение малых глубин сопряжено с необходимостью измерять быстро изменяющиеся
сигналы низкого уровня, даже небольшие изменения емкости приводят к нарушению
симметрии зондирующей установки, что негативно сказывается на качестве
измерений [13]. Поэтому в инженерной практике путь строгих расчетов переходной
реакции рамки или попытки точно измерить эту реакцию на самых ранних временах
представляются мало перспективными. По-видимому, при проектировании систем для
проведения малоглубинных исследований средствами импульсной индуктивной
электроразведки лучше ориентироваться на использование рамки с собственной
частотой, которая с запасом гарантирует необходимое быстродействие (см. формулу
6). Снижение прямого взаимодействия между источником и приемником поля может
быть достигнуто за счет применения установок с разнесенными рамками.
Следует
отметить, что в формуле (4), использовавшейся для оценки собственной частоты
рамки, значения емкости и индуктивности вычислены в предположении, что земля не
влияет на них, т. е. рамка расположена далеко от поверхности земли. При
расположении рамки на поверхности земли ее индуктивность незначительно уменьшится,
а емкость сильно возрастет. Это приведет к тому, что собственная частота
колебаний, скорее всего, окажется ниже по сравнению с вычисленной по формуле
(4). Быстродействие приведенной на рис. 2, а системы определяется не только
параметрами приемной рамки, но и других элементов, в частности генераторной
рамки. С учетом других элементов системы оценка допустимого минимального
времени регистрации tmin сдвинется в сторону более поздних времен, чем
выполненная по формуле (6).
Согласно
[9, 10, 21] любое из показанных на рис. 2, а звеньев аналогично фильтру,
действие которого проявляется в виде искажения формы и запаздывания полезного
сигнала. В частотной области каждый из этих фильтров характеризуется частотой
среза, являющейся - как и в случае с приемной рамкой - интегральным показателем
его быстродействия. Требования к быстродействию элементов системы могут
меняться в зависимости от конкретной задачи. В частности, можно снизить
требования к быстродействию элементов системы, например, уменьшив в несколько раз
коэффициент k2 в формуле (6), если допустима большая погрешность измерений или
предпринимаются специальные меры для коррекции искажений способом временного
сдвига измеренного сигнала [10, 17, 28].
Заключение
В
заключение необходимо подчеркнуть, что при изучении ВЧР большую роль может
играть взаимодействие источника и приемника со средой [23], не учитываемое в
теории традиционной импульсной индуктивной электроразведки. Прежде всего, речь
идет о наших возмож ностях - по существу же, ограничениях- контролировать ток в
генераторной рамке и первичное магнитное поле. Если петли располагаются на
поверхности земли, то вместе с подстилающей их ВЧР они образуют единую систему,
для представления и анализа которой в области ранних времен необходимо
использовать теорию систем с распределенными параметрами [5, 12, 25, 26].
Однако общий подход [27] к оценке возможностей измерения переходной
характеристики ВЧР остается неизменным. Его суть иллюстрирует рис. 5, который,
как нам представляется, не требует специальных пояснений.
Список литературы
1.
Барсуков П. О., 2004, Импульсные электромагнитные зондирования в микросекундном
диапазоне: Автореф. дис. д-ра физ.мат. наук: Троицк.
2.
Бучарский Б. В., Горячев В. В., Павлов А. Т., 1986, Развитие малоглубинной
модификации электроразведки ЗСБ: Изв. вузов. Геология и разведка, 8, 74 - 79.
4.
Вахромеев Г. С., Кожевников Н. О., Никитин И. В., 1989, Методика и результаты
малоглубинных ЗСБ при инженерно-геологических изысканиях в Иркутской области:
Геофизические методы поисков и разведки рудных и нерудных месторождений:
Свердловск, СГИ, 61 - 66.
5.
Вахромеев Г. С., Кожевников Н. О., Никитин И. В., 1990, К теории возбуждения
электромагнитных полей в индукционной электроразведке: Электромагнитная
индукция в верхней части земной коры: М., Наука, 76 - 77.
6.
Вишняков А. Э., Вишнякова К. А., 1974, Возбуждение и измерение полей в
электроразведке: Л., Недра.
7.
Вознюк В. Р., Глинский Б. М., 1973, Особенности измерений при зондировании
становлением поля в ближней зоне: Измерительная аппаратура для разведочной
геофизики: Новосибирск, 113 - 118.
8.
Ефимов Ф. Д., 1976, Переходный процесс приемной рамки и его влияние на
результаты наблюдений в дипольном варианте МПП: Методы разведочной геофизики.
Электроразведка, НПО "Геофизика", Вып. 26, 72 - 79.
9.
Захаркин А. К., 1981, Методические рекомендации по электроразведочным работам
методом ЗСБ с аппаратурой "ЦИКЛ": Новосибирск, СНИИГГиМС.
10.
Захаркин А. К., 1987, Аппаратурная фильтрация сигнала в методе ЗСБ: Результаты
применения метода зондирования становлением поля в районах Сибирской платформы:
Новосибирск, СНИИГГиМС, 58 - 77.