Теплообмен в кристаллизаторе

  • Вид работы:
    Контрольная работа
  • Предмет:
    Другое
  • Язык:
    Русский
    ,
    Формат файла:
    MS Word
    478,43 Кб
  • Опубликовано:
    2015-12-23
Вы можете узнать стоимость помощи в написании студенческой работы.
Помощь в написании работы, которую точно примут!

Теплообмен в кристаллизаторе

Содержание

Введение

. Общие положения

. Влияние различных факторов на тепловые процессы в кристаллизаторе

.1 Влияние материала стенки кристаллизатора

.2 Влияние скорости воды в каналах охлаждения

.3 Влияние шлакообразующих смесей

.4 Влияние гидродинамики расплава

Заключение

Список литературы

Введение


Важнейшей проблемой, стоящей перед отечественной металлургией, является повышение эффективности производства и коренное улучшение качества выпускаемой металлопродукции. В области непрерывной разливкис тали это, прежде всего, создание современных конкурентоспособных МНЛЗ, расширение типоразмерного и марочного сортамента непрерывнолитой заготовки, по форме и профилю близкой к конечной продукции и обеспечение гарантированного качества металла при наименьших затратах по переделу.

Разработка комплекса мер по реализации поставленной задачи требует решения широкого спектра вопросов, причем одними из ключевых являются теплообменные процессы протекающие при затвердевании слитка в кристаллизаторе МНЛЗ.

Кристаллизатор является ответственным элементом МНЛЗ, который предназначен для формирования корочки слитка и охлаждения ее в степени, достаточной для обеспечения необходимой прочности на выходе из него. Стенки кристаллизатора (длиной обычно 900-1200 мм) выполняются из теплопроводного материала (меди или бронзы) с каналами охлаждения, по которым циркулирует вода. Теплообмен между корочкой слитка и стенкой кристаллизатора происходит через слой шлака, находящийся в зазоре между ними. Шлак играет роль смазки, а также регулирует теплообмен и предотвращает вторичное окисление при контакте зеркала металла с воздухом [1].

1. Общие положения


Теплообмен в кристаллизаторе носит сложный характер. В зависимости от прозрачности составляющих шлаковой прослойки, а также наличия или отсутствия газового зазора в нем может присутствовать радиационная, контактная и конвективная составляющие.

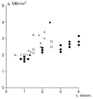
Для получения представлений об интенсивности теплообмена наиболее подходящим параметром является плотность теплового потока. Эта физическая величина характеризует количество теплоты, проходящее в единицу времени, отнесенное к площади поверхности (МВт/м2). На рисунке 1 показаны известные из литературных источников данные по величинам тепловых потоков в применисковой зоне.

Анализ приведенных данных показывает, что имеет место достаточно большой разброс величин максимальной плотности теплового потока. Это можно объяснить, например, различными свойствами применяемых шлаковых смесей. Согласно данным, приведенным в работе [2], максимальная плотность теплового потока при современных скоростях разливки может достигать 2,5-5,5 МВт/м2.

Рисунок 1- Плотность теплового потока в районе мениска в кристаллизаторе в зависимости от скорости разливки для углеродистых и низкоуглеродистых марок сталей по данным различных авторов

Распределения тепловых потоков по высоте кристаллизатора могут быть получены путем экспериментальных измерений температур в стенке кристаллизатора с помощью дифференциальных термопар (установленных на двух уровнях относительно рабочей поверхности стенки) на различных уровнях по ширине и высоте кристаллизатора. Одной из значительных экспериментальных работ по изучению распределения тепловых потоков в кристаллизаторе явилось комплексное исследование, проведенное авторами [3-4], на Новолипецком металлургическом комбинате. Была исследована тепловая работа кристаллизатора для отливки слябов сечением 1550х250 мм в диапазоне скоростей литья 0,4-1,2 м/мин. Используя математическую модель теплопроводности для стенок кристаллизатора и квазиравновесную модель кристаллизации слитка, построенную в рамках теории двухфазной зоны, авторы этих работ на основе полученных экспериментальных данных восстановили распределения температуры и тепловых потоков на поверхностях стенок кристаллизатора и непрерывнолитой заготовки. Ниже приведены результаты проведенных исследований.


1 - 0,4 м/мин., 2 - 0,6 м/мин., 3 - 0,8 м/мин., 4 - 1,0 м/мин., 5 - 1,2 м/мин

Рисунок 2 - Распределение температуры поверхности широкой грани сляба по еѐ высоте на расстоянии 0,16 м от центра при скорости разливки

На рисунке 3 показано распределение плотностей теплового потока для различных скоростей разливки, полученное в результате этих исследований. Многоэкстремальность функций распределения плотности теплового потока, характерная для распределения плотности теплового потока по высоте стенки кристаллизатора в центральной ее части, наблюдается и по ширине стенки (Рис. 3б). Особенности этого распределения на различных расстояниях от мениска, соответствующих уровням зачеканки термопар, различны. Неравномерность распределения интенсивности теплопередачи наиболее выражена на расстоянии 0,12 м от мениска, где наблюдается глобальный максимум распределения, а также у выхода из кристаллизатора (0,87 м от мениска), где зафиксирован глобальный минимум.

- 0,4 м/мин., 2 - 0,6 м/мин., 3 - 0,8 м/мин, 4 - 1,0 м/мин., 5 - 1,2 м/мин.; по ширине этой стенки (б): цифры у кривых - расстояние от мениска в м (скорость 0,7 м/мин.)

Рисунок 3 - Распределение плотности теплового потока по высоте широкой стенки кристаллизатора на расстоянии 0,16 м от еѐ центра (а):

Аналогичный эффект отмечен авторами [5-6] в подобных исследованиях распределения тепловых потоков. Наличие нескольких экстремумов на рисунке 3а вблизи середины широкой грани объясняется противоположным действием усадки затвердевшей оболочки металла, уменьшающих степень контакта между слитком и кристаллизатором и усилий ферростатического давления, увеличивающих этот контакт. Вблизи угла и в середине узкой грани контакт корки слитка со стенкой кристаллизатора отличается большей стабильностью. Наличие экстремума плотности теплового потока не в середине широкой грани, а на расстоянии приблизительно 0,3 м от нее объясняется как характером конвективных тепловых потоков жидкого металла, вытекающего из погружного стакана, так и особенностями контакта корочки со стенкой кристаллизатора.

Эти выводы, а также характер полученных распределений хорошо иллюстрирует рисунок 4, где рассматриваемые распределения для одного из опытов соотнесены с их положением на плоскости широкой грани.

Рисунок 4 - Распределение плотности теплового потока по высоте широкой стенки кристаллизатора на характерных расстояниях от еѐ центра (скорость разливки 0,8 м/мин.)

Авторы [3] установили, что для практически любой точки поверхности широкой грани зависимость плотности теплового потока от скорости литья аппроксимируется зависимостью:


где Ар - коэффициент, n - показатель степени.

Различная интенсивность теплообмена по ширине грани приводит к различию режимов охлаждения слитка. На рисунке 5 показаны кривые охлаждения поверхности слитка на различных расстояниях от центра грани. Эти кривые характеризуются резким снижением температуры на участке 0...0,15 м от мениска, более или менее выраженным участком стабилизации температуры и небольшим по протяженности участком разогрева на выходе из кристаллизатора. Несколько особняком стоит участок в центре грани, на кривой охлаждения которого отсутствует участок стабилизации. Вместо него наблюдается достаточно ярко выраженный минимум функции примерно на расстоянии 0,45 м от мениска.

Для других скоростей разливки из диапазона 0,4-1,2 м/мин. характер охлаждения слитка в кристаллизаторе аналогичен показанному на рисунок 5. Температура поверхности слитка резко понижается, а затем, начиная с 0,8 м до конца кристаллизатора, увеличивается до 1150-1210 ºС, что свидетельствует о недостаточно эффективной тепловой работе длинных кристаллизаторов. Корка приобрела достаточную прочность и жесткость, а ферростатическое давление недостаточно для обеспечения плотного прилегания к стенкам кристаллизатора.

- в центре широкой грани, 2 - на расстоянии 0,16 м от центра, 3 - 0,36 м от центра, 4 - 0,64 м от центра (скорость разливки 0,6 м/мин.)

Рисунок 5 - Распределения температуры поверхности непрерывного слитка по высоте кристаллизатора

Авторы работ [7,8] аппроксимировали приведенные выше зависимости плотностей теплового потока от расстояния от мениска и экстраполировали результаты на более высокие скорости разливки (рисунок 6).

о, ∆, ◊ - результаты экспериментальных исследований

- скорость разливки 1 м/мин.; 2 - 2 м/мин.; 3 - 3 м/мин.; 4 - 4 м/мин; 5 - 5 м/мин

Рисунок 6 - Изменение по высоте кристаллизатора плотности тепловых потоков

Эта зависимость может быть рекомендована для задания граничных условий при расчетах с использованием математических моделей.

кристаллизатор тепловой сляб шлакообразующий

2. Влияние различных факторов на тепловые процессы в кристаллизаторе

 

.1 Влияние материала стенки кристаллизатора

Удельный вес термосопротивления стенки кристаллизатора в рассматриваемом диапазоне скоростей литья составляет 10-19%, а в нижней части кристаллизатора - 4-8% от суммарного соответственно.

Изменить термосопротивление стенки кристаллизатора можно, варьируя толщину и теплопроводность материала стенки. Наиболее распространенными материалами стенок кристаллизатора являются медь ( к=410 Вт/(м·К)), сплав меди с серебром ( к=380 Вт/(м·К)) и бронзы ( к=340-370 Вт/(м·К)). Разница в значениях коэффициента теплопроводности составляет не более 20%. Это значит, что из очень близких по теплопроводности материалов выбор следует ориентировать не на повышенную теплопроводность, а руководствоваться соображениями необходимой прочности и материальных затрат.

Влияние толщины стенки кристаллизатора. Более существенно на термосопротивление стенки можно повлиять изменением ее толщины. Ее уменьшение при разливке слябов ведет к росту толщины корки на выходе из кристаллизатора с темпом 0,16 мм прироста толщины корки на 1 мм уменьшения толщины стенки кристаллизатора во всем рассматриваемом диапазоне скоростей литья. Уменьшение толщины на 10 мм по сравнению с базовым вариантом (30 мм) способно увеличить толщину корки в применисковой зоне на 80%, а на расстоянии 0,2 м от мениска - на 30% при разливке со скоростью 1 м/мин., а при высокоскоростной разливке со скоростью 4 м/мин. эти величины составят 120% и 50% соответственно (рисунок 7 и 8).


Цвет линий соответствует полезной толщине стенки: оранжевый - 5 мм, желтый - 10 мм, голубой - 20 мм, синий - 30 мм; толстые линии соответствуют скорости воды 6 м/с, тонкие - 12 м/с. Разливка со скоростью 1 м/мин. (толщина стенки 30 мм, скорость воды 6 м/с).

Рисунок 7 - Изменение толщины корки (а) и отклонения в % значений толщин по высоте кристаллизатора (б) в зависимости от толщины его стенки и скорости течения воды.


Цвет линий соответствует полезной толщине стенки: оранжевый - 5 мм, желтый - 10 мм, голубой - 20 мм, синий - 30 мм; толстые линии соответствуют скорости воды 6 м/с, тонкие - 12 м/с

Рисунок 8 - Изменение толщин корки (а) и отклонения в % значений толщин по высоте кристаллизатора (б) в зависимости от толщины его стенки и скорости течения воды при скоростной разливке со скоростью 4 м/мин (толщина стенки 30 мм, скорость воды 6 м/с).

При разливке слябов в скоростном диапазоне 1-2 м/мин. даже при существенном уменьшении толщины стенки прирост толщины корки на выходе составит не более 20%. Таким образом, на МНЛЗ с относительно низкими скоростями литья целесообразно вместо борьбы за дополнительные миллиметры толщины корки исходить из возможностей применения такой толщины стенок сборных кристаллизаторов, которая обеспечит возможность необходимой глубины резьбовых отверстий под крепежные шпильки и оптимальное количество перестрожек стенок. При производстве тонких слябов следует стремиться к минимальной толщине стенки кристаллизатора, т.к. при высоких скоростях литья актуальна борьба за каждый миллиметр толщины корки. Высокие значения плотностей теплового потока вынуждают заботиться о снижении температуры рабочей поверхности стенки, исходя из прочностных свойств ее материала.

2.2 Влияние скорости воды в каналах охлаждения

Увеличение скорости воды в каналах стенки кристаллизатора приводит к увеличению коэффициента теплоотдачи от стенки к воде, что видно из критериальной зависимости числа Нуссельта от числа Рейнольдса, описывающей этот процесс теплоотдачи. Следовательно, это приводит к уменьшению термосопротивления на этом участке теплопередачи теплоты от жидкого металла к охлаждающей воде. Однако, учитывая малую долю этого термосопротивления в суммарном термосопротивлении (5-10% в менисковой зоне и 2-4% в нижней части кристаллизатора соответственно) видно, что влияние скорости воды на толщину корки весьма ограниченно. Увеличение скорости воды в каналах на 1 м/с обеспечивает примерно 0,1 мм прироста толщины корки на выходе из кристаллизатора. Увеличение скорости воды с 6 м/с до 12 м/c способствует увеличению толщины корки в зоне мениска приблизительно на 20%, на расстоянии 0,2 м увеличение толщины корки составляет лишь 3%, а в конце кристаллизатора - 1%.

Скорость воды в каналах охлаждения кристаллизаторов слябовых МНЛЗ обычно составляет 6-8 м/c. При максимальных скоростях литья при производстве традиционных, а также тонких слябов влияние скорости воды больше. В этом случае следует применять прямоточную схему запитки, т.к. неизбежны потери напора, пропорциональные квадрату скорости воды (петлевая схема в этом случае неконкурентна из-за очень высокого гидравлического сопротивления). Так, в работе отмечается, что при скорости разливки 2,5 м/мин. скорость воды в каналах кристаллизатора МНЛЗ фирмы «Ниппон Кокан» составляет более 9 м/с.

Фирма «Кавасаки сэйтецу» отмечает, что при высокоскоростной разливке добились устойчивого производства бездефектных слябов за счет внедрения ряда мероприятий, обеспечивающих равномерную скорость потока воды по каналам и, как следствие, равномерного охлаждения заготовки в кристаллизаторе. Важность равномерного охлаждения непрерывнолитых заготовок по периметру при повышенных скоростях разливки отмечается во многих других исследованиях. В говорится о преимуществах способа автономного подвода охлаждающей воды к каждой стенке кристаллизатора. Такой способ позволяет регулировать расход воды на каждой стенке и, тем самым, обеспечить наиболее равномерное охлаждение слитка по периметру. С увеличением плотности теплового потока не менее важной задачей является недопущение в каналах кипения воды. Поэтому для предупреждения кипения в пограничном слое вблизи поверхности каналов охлаждения при высоких скоростях разливки в системах охлаждения кристаллизатора стремятся поддерживать достаточно высокие скорости потока охлаждающей воды. Максимальные скорости воды 15 м/с отмечены в работе [5].

Влияние температуры воды в каналах стенок кристаллизатора. Температура воды может влиять на плотность теплового потока через величину температурного напора при теплообмене между жидким металлом и охлаждающей водой. Однако, возможное колебание величины температурного напора в диапазоне возможных температур воды 10-50оС составляет всего 6%. Поэтому имеющие место сезонные колебания температуры воды, а также разница температур воды в стенках при петлевой схеме охлаждения оказывает не очень существенное влияние на формирование корки заготовки и температуру ее поверхности практически независимо от толщины стенки кристаллизатора.

Уменьшение температуры охлаждающей воды на 10°С ведет к росту толщины корки на выходе на 1 мм. При высоких скоростях влияние этой разницы в процентном отношении выглядит более существенным.

Термосопротивление корочки слитка, которое составляет 13-27% от суммарного термосопротивления, зависит от теплофизических свойств разливаемых сталей. Однако, поскольку химический состав сталей задан номенклатурой сталей в производственной программе, значением этого термосопротивления управлять невозможно.


- кристаллизатор, II - зазор, III - двухфазная зона, IV - затвердевшая корочка, V - жидкая сталь, VI - охлаждающая вода;

- порошок или гранулы ШОС, 2 - полуспекшийся слой шлака, 3 - слой жидкого шлака, 4 - жидкая сталь, 5 - стенка кристаллизатора, 6 - шлаковый рант, 7 - следы качания, 8 - шлаковый гарнисаж в зазоре, 9 - затвердевшая корка металла, 10 - всплывающие из стали и адсорбируемые шлаком неметаллические включения

Рисунок 9 - Схематическое изображение контакта через зазор между стенкой кристаллизатора и коркой слитка (а) и температурный профиль по сечению кристаллизатора и затвердевшей корочки (б)

Следует иметь в виду, что чем ниже от мениска, тем тоньше слой жидкого шлака, который в значительной степени и определяет теплоотвод. Составляющие зазора между стенкой кристаллизатора и коркой слитка имеют совершенно иную теплопроводность, чем сталь и медь. Например, коэффициент теплопроводности жидкой составляющей шлаковой прослойки составляет примерно 2,0 Вт/(м·К), а эффективного газового зазора - 0,14 Вт/(м·К).

Этим объясняется значительный скачок температуры в указанном зазоре. За счет выбора химического состава ШОС можно влиять на теплообмен в зазоре между стенкой кристаллизатора и коркой слитка, поэтому выбор порошка является очень важным фактором. Порошок обычно состоит из шлаковой матрицы, флюса и углерода. Шлаковая матрица является основным компонентом расплавляемого шлака. Она должна под действием тепла со стороны жидкого металла быстро расплавляться для формирования стабильного шлака. Типичный трехкомпонентный шлак содержит SiO2, CaO и Al2O3. Для достижения необходимой точки плавления и вязкости шлаковой матрицы и получения шлака, пригодного для условий разливки, добавляют флюс. Для этого применяют смеси соединений F, Na и Ca. Углерод используется для покрытия шлаковой матрицы и частиц флюса, чтобы он поглощался в процессе окисления. Он регулирует скорость плавления шлаковой матрицы и флюса с целью удовлетворения условий разливки и обеспечения достаточной толщины слоя шлака. Если скорость плавления шлаковой матрицы слишком низкая, приток шлака из района мениска расплава уменьшается, ухудшается смазочный эффект шлака, что может привести к прорывам. С другой стороны, при высокой скорости плавления приток шлака с мениска является интенсивным, слой изолирующего порошка становится тонким, и возможно быстрое охлаждение расплава в менисковой зоне. Для обеспечения высококачественной разливки необходимо обеспечивать расход порошка на соответствующем уровне (0,25-0,5 кг на тонну разливаемой стали). Толщина расплавленного шлака должна быть в 2-2,5 раза больше хода качания. Например, при качаниях с величиной хода ±3 мм рекомендуемая толщина составляет 8-15 мм. Порошок должен полностью покрывать мениск, а его поверхность не должна достигать красного цвета.

Известно, что основные шлаки затвердевают в виде кристаллической структуры, а кислотные - в виде стеклообразной структуры. Стеклообразные шлаки характеризуются более высокой теплопередачей между корочкой и стенкой кристаллизатора. Для определения основности В существуют несколько различных уравнений, например:

В = ((%CaO)+%(MgO)) / ((%(SiO2) +%(Al2O3)) (15)

Если основность менее единицы, то шлак кислотный и стеклообразный, если более единицы, то основной и кристаллический.

Стали в зависимости от содержания углерода имеет разную тенденцию к образованию типичных дефектов. Например, для стали со сверхнизким содержанием углерода характерны неметаллические включения и газы, а для перитектических сталей - поверхностные трещины. Это определяет различные требования к свойствам ШОС. Авторы работы [7] дают следующие общие рекомендации по применению ШОС в зависимости от содержания углерода в сталях.

2.4 Влияние гидродинамики расплава


На интенсивность затвердевания и качество непрерывнолитых заготовок влияют и особенности развития турбулентных потоков расплава. На участках, где конвективные потоки имеют высокую скорость или происходит соударение потока с корочкой слитка, происходит интенсивный прогрев корки вплоть до подплавления. Это вызывает на отдельных участках размывание корочки, а также возникновение трещин обычно в местах, прилегающих к угловым поверхностям кристаллизатора. На рисунке 10 стрелками показаны векторы скорости потоков расплава в кристаллизаторе. Одним из распространенных причин снижения качества непрерывнолитых заготовок является захват шлаковых включений обратными турбулентными потоками металла, выходящими из погружного стакана, которые обладают большими скоростями.

Рисунок 10 - Вихревые потоки расплава, вытекающего из погружного стакана в кристаллизаторе (стрелками показаны направления скоростей потока)

В дальнейшем эти частицы не успевают всплыть в шлак, оставаясь в заготовке. Возможности минимизации захвата шлаковых включений связаны с увеличением вязкости ШОС, оптимизации конструкции погружного стакана и его заглубления. При использовании электромагнитного торможения удается в значительной степени снизить интенсивность движения потоков стали, а также исключить или снизить скорость соударения потоков расплава с коркой слитка.

Самое серьезное внимание следует уделять обеспечению стабильных условий теплообмена на мениске, и это обусловлено следующими причинами: высокой плотностью теплового потока, малой толщиной корочки, которая подвержена деформациям и чувствительна к изменению условий теплообмена, наличием высокотемпературного интервала хрупкости вблизи солидуса. Следовательно, следует минимизировать колебания уровня металла на мениске, которые приводят к нестабильности теплообмена, к неравномерному расплавлению ШОС, что может вызывать значительные колебания температур и температурных напряжений и инициировать образование поверхностных трещин в заготовке. По этой причине современные МНЛЗ обязательно имеют систему автоматического поддержания уровня.

 

Заключение


Кристаллизатор и процессы формирования корочки слитка в нем играют очень важную роль в решении проблемы качества непрерывнолитой заготовки. По этой причине внимание металлургов и исследователей обращено на совершенствование технологического процесса формирования слитка в кристаллизаторе. Оно заключается в выборе материалов ШОС, автоматизации ее подачи, оптимизации конструкции погружных стаканов, параметров качания кристаллизатора.

В настоящее время большое внимание уделяется интеллектуальным технологиям, направленным на совершенствование управления и контроля процесса формирования корки слитка в кристаллизаторе.

Совершенствование и развитие методов и систем мониторинга процесса формирования слитка в кристаллизаторе позволит обеспечить снижение дефектности непрерывнолитой заготовки, которая во многом определяет качество готовой металлопродукции.

Список литературы


1) Паршин В.М. Буланов Л.В. Непрерывная разливка стали. - Липецк: ОАО «НЛМК». 2011. - 221 с.

) Авт. свид. Л 1257930, от 19.04.1984. Соавторы: А.Б. Локщин, А.А. Гоцуляк, и др. Способ непрерывного литья заготовки.

) Авт. свид. № 1294463, от 12.07.1985. Соавторы: Н.И. Шестаков, Е.А. Нечаев и др.Способ регулироваиия подачи ШОС в кристаллизатор МНЛЗ и устройство для его осуществления Б7 от 07.03.1987.

) Авт. свид. № 1245407, от 12.10.1984. Соавторы: A.M. Поживанов, В.В. Рябов и др. Способ непрерывного литья заготовки.

) Авт. свид. № 1243891, от 27.11.1984. Соавторы: А.Н. Шичков, Н.И. Шестаков, А.Л. Кузьминов и др. Способ автоматического управления МНЛЗ и устройства для его осуществления Б11 от 23.03.1986.

) Авт. сввд. Л 1329022, от 03.04.1985. Соавторы: A.M. Поживанов, В.В. Рябов, А.А. Угаров, и др. Способ непрерывного литья заготовки.

Похожие работы на - Теплообмен в кристаллизаторе

 

Не нашли материал для своей работы?
Поможем написать уникальную работу
Без плагиата!
Без нейросетей!