Аппараты для кристаллизации расплавов

  • Вид работы:
    Реферат
  • Предмет:
    Другое
  • Язык:
    Русский
    ,
    Формат файла:
    MS Word
    304,44 Кб
  • Опубликовано:
    2014-02-03
Вы можете узнать стоимость помощи в написании студенческой работы.
Помощь в написании работы, которую точно примут!

Аппараты для кристаллизации расплавов

1. Определение процесса кристаллизации

Кристаллизация - это переход вещества из газообразного (парообразного), жидкого или твердого аморфного состояния в кристаллическое, а также из одного кристаллического состояния в другое (рекристаллизация, или вторичная кристаллизация); фазовый переход первого рода.

Кристаллизация из жидкой или газовой фазы - экзотермический процесс, при котором выделяется теплота фазового перехода, или теплота кристаллизации; при этом изменение энтропии в большинстве случаев составляет [в Дж/(моль.К)]: для простых веществ 5-12, для неорганических соединений 20 - 30, для органических соединений 40-60. Рекристаллизация может протекать с выделением либо поглощением теплоты. В промышленности и лабораторной практике кристаллизацию используют для получения продуктов с заданными составом, содержанием примесей, размерами, формой и дефектностью кристаллов, а также для фракционного разделения смесей, выращивания монокристаллов и др.

. Физико-химические основы процесса кристаллизации

аппарат кристаллизация расплав

Условия, при которых возможна кристаллизация, определяются видом диаграммы состояния. Чтобы кристаллизация протекала с конечной скоростью, исходную фазу необходимо переохладить (перегреть), пересытить кристаллизующимся веществом или внести во внешнее поле, снижающее растворимость кристаллизующейся фазы. В переохлажденной (перегретой) либо пересыщенной фазе происходит зарождение новой фазы - образуются центры кристаллизации, которые превращаются в кристаллы и растут, как правило, изменяя форму, содержание примесей и дефектность. Центры кристаллизации возникают гомогенно в объеме начальной фазы и гетерогенно на поверхностях посторонних твердых частиц (первичное зародышеобразование), а также вблизи поверхности ранее сформировавшихся кристаллов новой фазы (вторичное зародышеобразование). Общее число центров кристаллизации, возникших в единице объема раствора или расплава в 1 с, или суммарную интенсивность их первичного и вторичного образования, находят по формуле:


где - кинетический коэффициент первичного зародышеобразования, который рассматривают в рамках кинетической теории образования новой фазы; - газовая постоянная; - температура кристаллизации; удельная поверхностная свободная энергия кристаллов;т - молярный объем новой фазы;

Dm=DHS и S = (Т0-7)/Т0 для расплавов;

Am=RT1n(S + 1) и S = (С-С0)/С0 для растворов;

DH-энтальпия кристаллизации;

с - концентрация кристаллизующегося вещества;

Т0 и С0 - соотвующая температура плавления вещества и концентрация насыщенного раствора; акт - энергия активации перехода молекул из среды в центры кристаллизации; ат - интенсивность вторичного зародышеобразования в объеме начальной фазы.

Для измерения a, Eaкт и Iвт находят зависимость интенсивности образования центров кристаллизации от температуры, пересыщения и концентрации посторонних твердых частиц.

Величина Iи проходит через один или несколько максимумов (рис. 1) с возрастанием переохлаждения (пересыщения) и увеличивается при механических воздействиях (перемешивание, ультразвук) или под влиянием ионизирующего излучения.

Рис. 1 Зависимость скорости зародышеобразования от переохлаждения расплава InSb: 1 - расплав массой 16 г перегревался в кварцевом тигле на 15 0К выше температуры плавления в течение 9 мин. и затем охлаждался со скоростью 1 град/мин; 2 - то же, на 55 0К в течение 200С.

При росте кристаллов сначала кристаллизующееся вещество адсорбируется на поверхности сформировавшегося кристаллика, а затем встраивается в его кристаллическую решетку: при сильном переохлаждении равновероятно на любом участке поверхности (нормальный рост), при слабом - слоями тангенциально на ступенях, образованных винтовыми дислокациями или двухмерными зародышами (послойный рост). Если переохлаждение, ниже некоторого значения, называют пределом морфологической устойчивости, нормально растущий кристалл повторяет форму (обычно округлую) теплового, либо концентрационного поля вокруг него, а послойно растущий кристалл имеет форму многогранника. При превышении указанного предела растут древовидные кристаллы (дендриты). Количественно рост кристаллов характеризуют линейной скоростью, равной скорости перемещения их поверхности в нормальном к ней направлении. В промышленности используют эффективную линейную скорость роста (увеличение в 1 с радиуса шара, объем которого равен объему кристалла):

эфф=bSnехр(Eр/RT),

где b - кинетический коэффициент роста (10-5-10-14 м/с), n-параметр роста (обычно 1-3), Ер - энергия активации роста (10-150 кДж/моль).

С увеличением переохлаждения Iэфф проходит через максимум аналогично Im. Скорость роста может лимитироваться массо - и теплообменом кристаллов со средой (соответственно внешнедиффузионный и теплообменный режимы роста), скоростью химического взаимодействия кристаллизующегося компонента с другими компонентами среды (внешнекинетический режим) или процессами на поверхности кристаллов (адсорбционно-кинетический режим). Во внешнекинетическом режиме Iэфф возрастает с повышением концентраций реагентов и катализаторов, во внешнедиффузионном и теплообменном режимах - с увеличением интенсивности перемешивания, в адсорбционно-кинетическом режиме - с возрастанием поверхностной дефектности кристаллов и уменьшением концентрации ПАВ. При высоких скоростях роста кристаллы приобретают, число неравновесных дефектов (вакансий, дислокаций и др.). При превышении предела морфологической устойчивости в объем кристаллов попадают трехмерные включения среды, замурованные между ветвями дендритов (окклюзия). Состав кристаллов из-за окклюзии приближается к составу среды тем больше, чем выше Iэфф.

При своем росте кристаллы захватывают любую присутствующую в среде примесь, причем концентрация захваченной примеси зависит от скорости роста. Если кристаллизация происходит в растворе и кристаллы после завершения роста продолжают контактировать со средой, то неравновесно захваченная примесь выбрасывается из кристаллов в среду, а их структура совершенствуется (структурная перекристаллизация). Одновременно в перемешиваемой среде при столкновениях кристаллов друг с другом и со стенками кристаллизатора возникают дополнительные структурные дефекты. Поэтому в системе постепенно устанавливается стационарная дефектность кристаллов, которая зависит от интенсивности перемешивания.

В наиболее распространенном случае образования при кристаллизации множества кристаллов (массовая кристаллизация) выделяющаяся фаза полидисперсна, что обусловлено неодновременностью зарождения кристаллов и флуктуациями их роста. Мелкие кристаллы более растворимы, чем крупные, поэтому при убывающем пересыщении наступает момент, когда среда, оставаясь пересыщенной относительно последних, становится насыщенной относительно мелких кристаллов.

 

Рис. 2. Функция распределения кристаллов по размерам (обычным r и наиболее вероятным rA) при изотермической (298 0К) периодической кристаллизации из водного раствора в кристаллизаторе с мешалкой (число Re=104): 1- BaSO4, исходное пересышение S0=500. rA=7,6 мкм; 2 - K2SO4, высаливание метанолом (1:1), rA=1 мкм; t - время процесса.

С этого момента начинаются их растворение и рост крупных кристаллов (освальдoво созревание), в результате чего средний размер кристаллов возрастает, а их число уменьшается. Одновременно в перемешиваемой среде кристаллы раскалываются при соударениях и через некоторое время приобретают стационарную дисперсность, определяемую интенсивностью механического воздействия. Основная количественная характеристика массовой кристаллизации - функция распределения кристаллов по размеру:

(r,t)=dN/dr,

где N - число кристаллов, размер которых меньше текущего размера r, в единице объема в момент t. Эта функция часто имеет колоколообразный вид (рис. 2). Восходящая ее ветвь чувствительна в основном к зародышеобразованию, росту, раскалыванию и растворению (при созревании) кристаллов, нисходящая к росту и образованию их агрегатов. Если среднее квадратичное отклонение размера кристаллов от среднего не превышает половины, последнего, упомянутая функция называется узкой, если превышает - широкой. Изменение функции f(r,t) при кристаллизации описывается уравнением:

 

где a - коэффициент флуктуации скорости роста кристаллов; к и vк - соответственно коэффициент диффузии и скорость перемещения кристаллов в среде; и Iр - соответственно интенсивность образования кристаллов данного размера за счет слипания более мелких частиц и раскалывания кристаллов.

Система уравнений материального и теплового балансов, уравнения (2), а также уравнения, связывающие размеры и скорость роста кристаллов с их формой, дефектностью и содержанием примесей, - основа моделирования и расчета массовой кристаллизации и выбора оптимальных условий ее реализации.

Массовую кристаллизацию осуществляют периодически или непрерывно. При периодической кристаллизации охлаждают расплав или насыщенный раствор (пар), испаряют растворитель, добавляют высаливающие агенты или смешивают порции реагентов, образующих продукционные кристаллы.

При непрерывной кристаллизации в кристаллизатор вводят потоки расплава, пересыщенного раствора либо реагентов и непрерывно отводят кристаллический продукт. При периодическом процессе скорость кристаллизации, определяемая по формуле:

,

где r и V - соответственно плотность твердой фазы и объем системы, сначала медленно растет (период индукции), затем резко увеличивается в результате одновременного возрастания r и f и, пройдя через максимум, уменьшается (рис. 3) вследствие снижения Iэфф. В периоды индукции и увеличения скорости кристаллизации в системе преобладают зарождение и рост кристаллов, в период уменьшения скорости - их рост, агрегация и раскалывание и далее - освальдово созревание и структурная перекристаллизация. Период индукции сокращается под влиянием факторов, которые ускоряют зародышеобразование и рост кристаллов. Так, при охлаждении расплавов этот период с повышением интенсивности охлаждения сначала уменьшается, а затем возрастает из-за экстремальной зависимости скоростей зарождения и роста кристаллов от переохлаждения; если темп охлаждения достаточно велик, расплав твердеет, оставаясь аморфным.

 

Рис. 3. Типичное изменение скорости периодической кристаллизации: - время процесса;

 - длительность периода индукции; - момент появления новой фазы;

В - начало стадии структурной перекристаллизации и освальдова созревания.

Для сокращения периода индукции в систему добавляют кристаллы продукта (затравку), которые растут, что приводит к увеличению скорости кристаллизации.

При непрерывной кристаллизации функция f(r,t) в сопоставимых условиях перемешивания шире, чем при периодической кристаллизации, что объясняется разбросом времен пребывания кристаллов в кристаллизаторах непрерывного действия. Чтобы сузить эту функцию, режим кристаллизации приближают к режиму идеального вытеснения, чтобы расширить - к режиму идеального перемешивания. При малом пересыщении системы непрерывная кристаллизация устойчива к флуктуациям внешних условий; при высоком пересыщении его значение и размер кристаллов колеблются в ходе кристаллизации. В химической и смежных отраслях промышленности, а также в лабораториях преимущественно применяют кристаллизацию из расплавов и растворов, реже - кристаллизацию из паровой и твердой фаз. Кристаллизацию из расплавов используют главным образом для отверждения расплавленных веществ и, кроме того, для их фракционного разделения и выращивания монокристаллов. Отверждение веществ в виде отливок (блоков) осуществляют в специальных формах.

В малотоннажных производствах (например, реактивов) обычно применяют отдельные формы определенных размеров или конфигурации, в которых расплав охлаждается путем естественного теплообмена с окружающей средой; в крупнотоннажных производствах (нафталина и др.). Кристаллизацию проводят в секционированных, трубчатых, конвейерных и иных кристаллизаторах со встроенными формами, принудительно охлаждаемыми водой, жидким NH3, хладонами и т. п.

. Аппараты процесса кристаллизации

Для получения продуктов в виде тонких пластинок или чешуек используют непрерывно действующие ленточные, вальцевые и дисковые кристаллизаторы, где отверждение происходит значительно интенсивнее, чем в формах. В ленточном кристаллизаторе (рис. 4) исходный расплав тонким слоем подается на движущуюся металлическую ленту, на которой он охлаждается до полного затвердевания.

 

Рис. 4. Ленточный кристаллизатор: 1- лента; 2 - приводные барабаны; 3 - питающий бункер; 4- охлаждающее устройство; 5 - отвержденный продукт.

В вальцевом аппарате (рис. 5) продукт кристаллизуется на наружной поверхности охлаждаемого изнутри вращающегося полого барабана (вальца), частично погруженного в ванну с расплавом; кристаллы снимаются с барабана неподвижным ножом. В дисковых аппаратах отверждение продуктов происходит на поверхности охлаждаемых изнутри вращающихся дисков.

Рис. 5 Вальцевый кристаллизатор: 1 - барабан; 2 - ванна; 3 - нож; 4 - труба для подачи хладагента; 5 - форсунка; 6 - расплав; 7 - отвержденный продукт.

При приготовлении гранулирующих продуктов расплав диспергируют непосредственно в поток хладагента газообразного, в основном воздуха (производство аммиачной селитры, карбамида и др.), или жидкого, например воды либо масла (производство пластмасс, серы и т. п.) в полых башнях или аппаратах с псевдоожнжeнным слоем, где кристаллизуются мелкие капли расплава). Кристаллизацию из растворов используют преимущественно для выделения ценных компонентов из растворов, а также их концентрирования и очистки веществ от примесей.

Вещества, растворимость которых сильно зависит от температуры (например, KNO3 в воде), кристаллизуют охлаждением горячих растворов, при этом исходное количество растворителя, который содержится в маточной жидкости, в системе не изменяется (изогидрическая кристаллизация). В малотоннажных производствах применяют емкостные кристаллизаторы периодического действия, снабженные охлаждаемыми рубашками. В таких аппаратах раствор охлаждают при непрерывном перемешивании по определенной программе. Для предотвращения интенсивной инкрустации поверхностей охлаждения разность температур между раствором и хладагентом должна быть не более 8-10°С.

В крупнотоннажных производствах используют, как правило, скребковые, шнековые, дисковые, барабанные и роторные кристаллизаторы непрерывного действия. Скребковые аппараты обычно состоят из нескольких последовательно соединенных трубчатых секций, в каждой из которых имеется вал со скребками и которые снабжены общей или индивидуальными охлаждающими рубашками. При вращении вала скребки очищают внутреннюю поверхность охлаждаемых труб от осевших на них кристаллов и способствуют транспортированию образовавшейся сгущенной суспензии из секции в секцию. В шнековых кристаллизаторах раствор перемешивают и перемещают с помощью сплошных или ленточных шнеков. Дисковые кристаллизаторы снабжены неподвижными либо вращающимися дисками.

В первом случае (рис. 6) по оси аппарата расположен приводной вал со скребками для очистки поверхностей дисков от осаждающихся кристаллов; исходный раствор подается в кристаллизатор сверху, а образующаяся суспензия последовательно проходит в пространстве между охлаждаемыми дисками и выгружается через нижний штуцер. Во втором случае вал с дисками размещен внутри корыта или горизонтального цилиндрического сосуда; кристаллы снимаются с поверхности дисков неподвижными скребками.

 

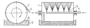
Основной элемент барабанного кристаллизатора - полый барабан с опорными бандажами, установленный под углом 15° к горизонтальной оси и вращающийся с частотой 5-20 мин-1. Раствор, охлаждаемый водяной рубашкой или воздухом (который нагнетают вентилятором через внутреннюю полость барабана), поступает с одного его конца, а суспензия отводится с другого. Вязкие растворы (например, жирных кислот) часто охлаждают в роторных кристаллизаторах - цилиндрических аппаратах, внутри которых с большой скоростью вращается ротор с ножами. Последние под действием центробежной силы прижимаются к внутренней поверхности кристаллизатора, очищая ее от осевших кристаллов. Раствор обычно подастся в аппарат под избыточным давлением. Для увеличения времени пребывания в кристаллизаторе раствора и большего его переохлаждения последовательно соединяют несколько аппаратов. При использовании скребковых, шнековых, роторных и иногда дисковых кристаллизаторов часто образуются мелкие кристаллы (0,1-0,15 мм), что приводит к увеличению слеживаемости и адсорбционного загрязнения продукта, а также ухудшает его фильтруемость. Поэтому для укрупнения кристаллов продукта после упомянутых аппаратов устанавливают так называемые кристаллорастворители, в которых концентрируется суспензия, выдерживается при медленном охлаждении, что приводит к росту кристаллов до 2-3 мм. Для получения крупнокристаллических однородных продуктов часто применяют кристаллизаторы с псевдоожиженным слоем (рис. 7).

Исходный раствор вместе с циркулирующим осветленным маточником подается насосом в теплообменник, где в результате охлаждения раствор пересыщается и поступает по циркуляционной трубе в нижнюю часть кристаллорастворителя, в котором кристаллы поддерживаются во взвешенном состоянии восходящим потоком раствора. Кристаллизация происходит в основном на готовых центрах кристаллизации, при этом крупные кристаллы осаждаются на дно аппарата, откуда удаляются в виде сгущенной суспензии. Осветленный маточник разделяется на две части: одна отводится из верхней части аппарата, другая подается на рециркуляцию.

 

Рис. 7 Кристаллизатор с псевдоожижженным слоем: 1- насос; 2 - теплообменник; 3 - циркуляционная труба; 4 - кристаллорастворитель.

В ряде случаев кристаллизацию растворов осуществляют непосредственным смешением их с жидкими, газообразными и испаряющимися хладагентами в смесительных, барботажных, распылительных и других аппаратах. Если растворимость вещества мало изменяется с изменением температуры (например, NaCl в воде), кристаллизацию проводят частичным или практически полным испарением растворителя путем выпаривания насыщенного раствора при почти постоянной температуре (изотермическая кристаллизация). По конструкции выпарные кристаллизаторы в значительной степени напоминают выпарные аппараты и могут иметь внутреннюю или выносную (рис. 8) греющие камеры. В таком кристаллизаторе исходный и циркулирующий растворы, проходя через камеру, нагреваются до температуры кипения. Образовавшаяся парожидкостная смесь поступает в сепаратор, где пар отделяется от раствора. Кристаллы, осаждающиеся в сепараторе, вместе с маточной жидкостью направляются в специальный аппарат, в котором отделяются от нее и выводятся в виде концентрированной суспензии.

Осветленный маточник возвращается в камеру. Для предотвращения инкрустации (обрастания) поверхностей нагрева раствор должен циркулировать в кристаллизаторе с достаточно большой скоростью (до 3 м/с), что часто достигается применением осевых насосов. При одновременном охлаждении и выпаривании растворителя кристаллизацию осуществляют в вакуум-кристаллизаторах периодического или непрерывного действия, с принудительной либо естественной циркуляцией раствора. Раствор охлаждается вследствие адиабатического испарения части растворителя при создании в таком аппарате определенного разрежения. Количество испаренного растворителя обычно составляет 8-10% от общей массы раствора. В кристаллизаторе с естественной циркуляцией (рис. 9) исходный раствор подается в нижнюю часть циркуляционной трубы и вместе с циркулирующей суспензией поднимается вверх, где в результате понижения давления вскипает. Образовавшиеся пары проходят через сепаратор и поступают в барометрический конденсатор. Пересыщенный раствор и выделившиеся кристаллы движутся вниз по барометрической трубе, откуда кристаллы, вместе с частью маточной жидкости выводятся в гидрозатвор. Для поддержания разрежения используют вакуум-насосы или пароструйные инжекторы. В крупнотоннажных производствах широко распространены многокорпусные вакуум-кристаллизационные установки с числом корпусов 4-24, в которых глубина разрежения постепенно возрастает от первого корпуса к последнему. Вакуум-кристаллизаторы более производительны и экономичны, чем выпарные кристаллизаторы. Кристаллизацию некоторых веществ можно осуществить высаливанием. При выделении неорганических соединений используют органические вещества (например, Na2SO4 кристаллизуют, добавляя к его водному раствору метанол, этанол либо NH3) или содержащие одинаковый ион с выделяемым соединением (например, FeSO4 кристаллизуют из травильных растворов добавкой концентрированной H2SO4);

Такую кристаллизацию используют для выделения ценных компонентов из парогазовых смесей, получения аэрозолей, нанесения тонких кристаллических слоев на поверхность различных тел (например, в производстве полупроводниковых материалов) и т. д.

Кристаллизацию аморфной твердой фазы и рекристаллизацию осуществляют, как правило, при температурах, близких к температурам плавления кристаллизуемых веществ. При этом в результате термодиффузионных процессов изменяется первичная кристаллическая структура вещества либо происходят зарождение и рост кристаллов из аморфной фазы.

Рис. 8. Выпарной кристаллизатор:

- выносная греющая камера;

- сепаратор;

- циркуляционная труба;

- отделитель кристаллов.

Вакуум-кристаллизатор:

- сепаратор: 2 - циркуляционная труба; 3 -барометрическая труба; 4 - гидрозатвор.

Список литературы

. Маллин Дж. У. Кристаллизация. пер. с англ., М., 1965;

. Магусевич Л.Н. Кристаллизация из растворов в химической промышленности, М., 1968;

. Бэмфорт А.В. Промышленная кристаллизация. пер. с англ., М., 1969;

. Пономаренко В.Г. Ткаченко К.П., Курлянд Ю.А. Кристаллизация в псевдоожиженном слое. К., 1972;

. Мелихов И.В., Меркулова М.С. Сокристаллизация, М.. 1975;

. Гельперин Н.И.. Носов Г.А. Основы техники кристаллизации расплавов, М., 1975;

. Кидяров Б.И. Кинетика образования кристаллов из жидкой фазы. Новосиб., 1979;

. Гельперин Н.И. Основные процессы и аппараты химической технологии. кн. 2. М., 1981;

. Михалева М.Ф. Контактная кристаллизация. Л., 1983;

. Гельперин Н.И., Носов Г.А. Основы техники фракционной кристаллизации. М., 1986.

Похожие работы на - Аппараты для кристаллизации расплавов

 

Не нашли материал для своей работы?
Поможем написать уникальную работу
Без плагиата!
Без нейросетей!