Двигатель постоянного тока
Содержание
1.
Двигатель постоянного тока независимого возбуждения
.1
Предварительный выбор и расчет двигателя постоянного тока
.2
Определение средневзвешенного КПД ηср.взв
.3
Срок службы ДПТ
.4
Расчет капиталовложения на приобретение двигателя
.5
Математическая модель двигателя постоянного тока независимого возбуждения
.
Асинхронный двигатель
.1
Предварительный выбор и расчет асинхронного двигателя
.2
Определение средневзвешенного КПД ηср.взв
.3
Определение срока службы асинхронного двигателя
.4
Расчет капиталовложения на приобретение двигателя
Литература
1. Двигатель постоянного тока
.1 Предварительный выбор и расчет двигателя
постоянного тока
Определим среднеквадратичный момент и
предварительную мощность двигателя:
Выбираем двигатель Siemens Motors:н = 13,8 кВтн
= 470 Вн = 35,7 А
ηн = 79 %= 1200
об/мин= 0.11 кг*м2= 17,5 мГя = 1,97 Ом
ΔРвозб=540 Вт
Номинальная угловая скорость вращения вала
двигателя:
ɷн=
Номинальный момент двигателя:
Суммарный момент инерции, приведенный к валу
двигателя:
Момент динамический:
Момент эквивалентный:
Мэкв < Мн
Угловое ускорение при пуске и торможении:

Моменты на валу двигателя:
Нм
Скорость работы двигателя:
ɷ2=40
ɷ4=120
ɷ5=60
Средняя скорость при пуске и торможении:
Мощность на валу двигателя при пусках,
торможении и работе двигателя:
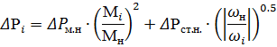
Номинальные потери двигателя:
Определим величину потерь ΔPср∑:
ΔР∑н=
ΔРм.н.=
Вт
ΔРст.н.=
Вт
Потери при пуске и торможении:
Результирующие потери:
.2 Определение средневзвешенного КПД ηср.взв
Средневзвешенный КПД:
.3 Срок службы ДПТ
Для двигателей Siemens Motors
составляет
30 лет.
.4 Расчет капиталовложения на приобретение
двигателя
1.5 Математическая модель двигателя постоянного
тока независимого возбуждения
Параметры CмФ и СеФ при постоянном магнитном
потоке:
Электрическая постоянная времени:
Механическая постоянная времени:
Рис.1 Математическая модель двигателя
постоянного тока.
Рис.2. График тока якоря
Рис.3. График момента двигателя
Рис.4. График скорости двигателя
. Асинхронный двигатель
.1 Предварительный выбор и расчет
асинхронного двигателя
Выбираем двигатель Marelli Motors
A4C 160 M4н = 11 кВтн = 400 Вн = 22.5 А
ηн = 88.6 %= 1480 об/мин= 0.063
кг*м2φ = 0.80
Номинальная угловая скорость
вращения вала двигателя:
ɷн=
Номинальный момент двигателя:
Суммарный момент инерции,
приведенный к валу двигателя:
Момент динамический:
Момент эквивалентный:
Мэкв < Мн
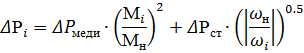
Номинальные потери двигателя:
Определим величину потерь ΔPср∑:
ΔР∑н=
ΔРс.н.=ΔРм.н.=
Нм
Потери при пуске и торможении:
Результирующие потери:
.2 Определение средневзвешенного КПД
(ηср.взв.)
двигатель ток мощность
торможение
Потери на i-тых участках:

Средневзвешенный КПД:
2.3 Определение срока службы асинхронного
двигателя
Для двигателей Marelli Motors
составляет
30 лет.
.4. Расчет капиталовложения на приобретение
двигателя
Литература
Справочник
по автоматизированному электроприводу под редакцией В.А. Елисеева и А.В.
Шинянского.
Чиликин
М.Г. «Системы управления электроприводом постоянного тока».
Фотиев
М.М. «Электропривод и электрооборудование металлургических цехов». Учебник для
вузов.-«Металлургия», 1983.-288с.
Бычков
В.П. «Электропривод и автоматизация металлургического производства».-М: «Высшая
школа», 1969.-479с.
«Электропривод
и автоматизация общепромышленных механизмов». Автор: Ключев В.И., Терехов В.М.
Издательство: «Энергия» 1980г-360с.
Фишбейн
В.Г. «Расчет систем подчиненного регулирования вентильного электропривода
постоянного тока».-М,. «Энергия»,1980г-134с.
«Электрический
привод»: Учеб. Пособие для сред. проф. образования Москаленко В.В. 2-е изд.,
Издательский центр «Академия», 2004г-368с.
Онищенко
Г.Б. «Электрический привод». Учебник для вузов - М.:РАСХН.2003г, -230с.
Соколов
М.М. «автоматизированный электропривод общепромышленных механизмов».- М.:
«Энергия», 1976г.-540с.
«Унифицированные
системы управления электроприводом в металлургии», Гарнов В.К., Рабинович В.Б.,
Вишневецкий Л.М. Изд-во «Металлургия», 1971-216с.
Андреев
В.П., Сабинин Ю.А. «Основы электропривода». Л.-М., «Госэнергоиздат»,
1963,-772с.
Башарин
А.В., Голубев Ф.Н., Кепперман В.Г. «Примеры расчетов автоматизированного
электропривода». Л. «Энергия», 1964-390с.
«Системы
управления электроприводов»: Учебник для студ. выс. учеб. заведений, В.М.
Терехов, О.И. Осипов; Под ред. В.М. Терехова.-М.: Издательский центр
«Академия», 2005-304с,
Зимин
Е.Н . Автоматическое управление электроприводами: учеб.пособие для студентов
вузов. / Е. Н. Зимин, В.И. Яковлев. - М.:Высш. школа, 1979. - 318 с., с ил.