Выбор числа и мощности трансформаторов на подстанции
Министерство
образования и науки РФ
ФГАОУ ВПО
«Уральский федеральный университет имени первого Президента России Б.Н.Ельцина»
Кафедра
«Автоматизированные электрические системы»
Домашняя
работа по курсу
«Электрооборудование
электрических станций»
на тему:
«Выбор числа и мощности трансформаторов на подстанции»
Преподаватель:
Дмитриев С.А.
Студент:
Мартюшев И.А.
Группа:
ЭН-330103
Екатеринбург
2015
1. Исходные данные для
проектирования
- активная мощность нагрузки Рнагр=57,8
МВт;
- коэффициент мощности нагрузки cosj=0,85;
- полная мощность нагрузки Sнагр=
57,8+j35,82 МВА;
- максимальная мощность нагрузки
характерного зимнего дня Sмакс=68
МВА;
- коэффициент летней нагрузки
;
- состав потребителей по категориям
надежности электроснабжения: I
- 50 %;
II -25 %; III
- 25 %.
Суточные графики нагрузок зимнего и летнего дня
представлены в таблицах1.2 и 1.3 и на рисунках1.2 и 1.3.
Продолжительность работы подстанции (район
сооружения ПС - Урал) по зимнему графику 213 суток, а по летнему графику 152
суток. Температура окружающей среды зимой -15 °С, летом 18 °С. Класс напряжения
РУ ВН равен 110 кВ Класс напряжения РУ НН равен 10 кВ
Таблица 1.1- Данные зимнего графика нагрузки в
относительных единицах
|
Интервал
|
1
|
2
|
3
|
4
|
5
|
6
|
7
|
8
|
9
|
10
|
11
|
12
|
|
Sз, [о.е.]
|
0,50
|
0,50
|
0,50
|
0,50
|
0,50
|
0,50
|
0,50
|
0,50
|
0,50
|
0,50
|
0,50
|
0,50
|
|
Интервал
|
13
|
14
|
15
|
16
|
17
|
18
|
19
|
20
|
21
|
22
|
23
|
24
|
|
Sз, [о.е.]
|
0,50
|
0,50
|
0,50
|
0,50
|
0,50
|
0,50
|
0,50
|
0,50
|
0,50
|
0,50
|
0,50
|
0,50
|
Sзим.max
= 68 МВА,Sлет.max
= 61,2 МВА.
Таблица 1.2 - Данные зимнего графика нагрузки
|
Интервал
|
1
|
2
|
3
|
4
|
5
|
6
|
7
|
8
|
9
|
10
|
11
|
12
|
|
Sз, [МВА]
|
34,0
|
43,0
|
43,0
|
34,0
|
43,0
|
59,0
|
68,0
|
68,0
|
68,0
|
68,0
|
59,0
|
68,0
|
|
Интервал
|
13
|
14
|
15
|
16
|
17
|
18
|
19
|
20
|
21
|
22
|
23
|
24
|
|
Sз, [МВА]
|
32,0
|
48,0
|
48,0
|
68,0
|
68,0
|
68,0
|
53,0
|
53,0
|
44,0
|
36,0
|
53,0
|
53,0
|
Таблица 1.3 - Данные летнего графика нагрузки
|
Интервал
|
1
|
2
|
3
|
4
|
5
|
6
|
7
|
8
|
9
|
10
|
11
|
12
|
|
Sл, [МВА]
|
30,6
|
38,7
|
38,7
|
30,6
|
38,7
|
53,1
|
61,2
|
61,2
|
61,2
|
61,2
|
53,1
|
61,2
|
|
Интервал
|
13
|
14
|
15
|
16
|
17
|
18
|
19
|
20
|
21
|
22
|
23
|
24
|
|
Sл, [МВА]
|
28,8
|
43,2
|
43,2
|
61,2
|
61,2
|
61,2
|
47,7
|
47,7
|
39,6
|
32,4
|
47,7
|
47,7
|
Рисунок 1.2 - Зимний график нагрузки
Рисунок 1.3 - Летний график нагрузки
В данном разделе предоставлены исходные данные
для теплового расчёта работы трансформаторов, дальнейшим этапом работы является
выбор понижающих трансформаторов подстанции.
2. Выбор трансформаторов
.1 Порядок выбора силовых
трансформаторов
При выборе трансформаторов и автотрансформаторов
на подстанции, с одной стороны, следует стремиться к обеспечению надежной связи
с системой и надежному электроснабжению потребителей, а с другой, - к
уменьшению их мощности и количества.
Для этого сначала намечается несколько
технически целесообразных вариантов числа, мощности и типа трансформаторов, а
затем производится технико-экономическое сравнение, при котором учитывается
стоимость не только трансформаторов, но и ячеек распределительных устройств
всех классов напряжений, а также годовые эксплуатационные расходы
(амортизационные расходы, расходы на обслуживание и управление, стоимость
потерь электроэнергии). Выбор числа и мощности трансформаторов производится с
учетом требований к надежности электроснабжения, характера графиков нагрузки и
допустимости систематических и аварийных перегрузок трансформаторов по ГОСТ
14209-85.
Нормами технологического проектирования (НТП)
рекомендуется устанавливать на ПС два трансформатора, чтобы в случае отключения
одного из них, оставшийся в работе смог частично или полностью обеспечить
потребителей электроэнергией. Установка трех и более трансформаторов, как
правило, нецелесообразна, так как приводит к существенному увеличению
капитальных вложений в схему распределительного устройства. Устанавливаемые
трансформаторы должны иметь встроенное устройство РПН.
2.2 Ряд вариантов номинальных мощностей
трансформаторов
По имеющейся информации об электропотреблении
намечается ряд вариантов номинальных мощностей силовых трансформаторов (с
учетом 40% перегрузки)
, (1)
где Sном.т
- номинальная мощность трансформатора, МВА;
,4 - коэффициент, учитывающий нагрузочную
способность;
εоткл
- доля потребителей III
категории надежности, отключение которых допустимо в аварийных режимах;
nт
- число параллельно работающих трансформаторов.
Диапазон мощностей получен в результате
варьирования εоткл.
Рекомендуется использовать три значения: εоткл=0,
εоткл=50% и εоткл=100%
потребителей третьей категории надежности. Окончательно в качестве вариантов
выбираются значения номинальных мощностей по каталогу, принимая ближайшие к
значениям, полученным из выражения (1).
ξоткл = 0 (ξоткл
- доля отключаемых потребителей третьей категории)

;
ξоткл = 0,125 (т.е.
отключаются 50% потребителей третьей категории)

;
ξоткл = 0,25 (т.е. отключаются
100% потребителей третьей категории)

;
Согласно выполненному ранее расчёту,
выбираются два трансформатора, мощностью SнТ1 = 40 МВА и SнТ2 = 63
МВА:ТРДН-40000/110 и ТРДН-63000/110.
Таблица 2.1 - Паспортные данные трансформаторов
|
Тип
|
Sном, МВА
|
Каталожные
данные
|
Расчётные
данные
|
|
|
Uном обмоток, кВ
|
Uk, %
|
∆Pk,
кВт
|
Px, кВт
|
Iх, %
|
Rт, Ом
|
Хт,
Ом
|
∆Qx,
кВАр
|
|
|
ВН
|
НН
|
|
|
|
|
|
|
|
|
ТРДН-
63000/110
|
63
|
115
|
10,5
|
10,5
|
260
|
59
|
0,6
|
0,87
|
22
|
410
|
|
ТРДН-
40000/110
|
40
|
115
|
10,5
|
10,5
|
172
|
36
|
0,65
|
1,4
|
34,7
|
260
|
2.3 Расчет теплового режима
трансформаторов
Используемые формулы:
K = Sн
/ Sном.т - коэффициент
перегрузки; (2)
(3)
где,
- превышение температуры масла при нормальной нагрузке;
(4)
- повышение
температуры наиболее нагретой точки над температурой масла
(5)
;
; (6)
; (7)
«Ручной» расчет теплового режима варианта
трансформаторов меньшей мощности производится для режима зимних аварийных
перегрузок (tокр= - 15 °С).
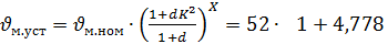
Трансформатор ТРДН-40000/110, d
= 4.778, x = 0.9, y
= 1.6,
=
3 ч, Sном тр-ра=
40 МВА,
м.ном
=
52 °С,
ннт.м.уст=
26°С,
м.нач
=
0°С,
ннт.ном=
78°С. Максимальный коэффициент перегрузки в аварином режиме - 2, в нормальном
режиме - 1.5, максимальная температура наиболее нагретой точки в нормальном
режиме 140°С, масла - 95°С, в аварийном режиме - 160°С и 115°С соответственно.
Все данные выбраны на основании учебного пособия “Проектирование электрической
части подстанций” (ав.С.А. Дмитриев, С.Е. Кокин, В.П. Нестеренков, А.И.
Хальясмаа).
Первая итерация расчёта теплового
режима работы во время зимних аварийных перегрузок ТРДН - 40000/110
1) Интервал 0 - 1 час, К=34/40=0,85



2) нтервал 1 - 3 час, К=43/40=1,075



) Интервал 3 - 4 час, К=34/40=0,85



) Интервал 4 - 5 час, К = 43/40=1,075



5) Интервал 5 - 6 час, К=59/40=1,475



) Интервал 6 - 10 час, К=68/40=1,7



) Интервал 10 - 11 час, K=59/40=1,475



8) Интервал 11 - 12 час, K=68/40=1,7



) Интервал 12 - 13 час, К=32/40=0,8



) Интервал 13 - 15 час, К=48/40=1,20



11) Интервал 15 - 18 час, К=68/40=1,70



) Интервал 18 - 20 час, К=53/40=1,325



13) Интервал 20 - 21 час, К=44/40=1,1



14) Интервал 21 - 22 час, К=36 /40=0,9



) Интервал 22 - 24 час, К=53/40=1,325



Проведённый ручной расчёт можно представить в
виде таблицы 2.2.
Таблица 2.2 - Первая итерация расчёта аварийного
режима работы ТРДН - 40 000/110 в зимний период
|
№
|
Интервалы
времени
|
%
загрузки
|
t
нагрузки
|
K
|
υм.уст,
°C
|
υннт.м,
°C
|
υм.t,
°C
|
θм.t,
°C
|
θннт.t,
°C
|
dυ
|
|
1
|
1
|
34
|
0,50
|
1
|
0,850
|
41,13
|
20,05
|
11,66
|
-3,34
|
16,70
|
|
|
2
|
2
|
43
|
0,63
|
1
|
1,075
|
57,99
|
29,19
|
24,79
|
9,79
|
38,98
|
16,86
|
|
3
|
3
|
43
|
0,63
|
1
|
1,075
|
57,99
|
29,19
|
34,20
|
19,20
|
48,39
|
0,00
|
|
4
|
4
|
34
|
0,50
|
1
|
0,850
|
41,13
|
20,05
|
36,16
|
21,16
|
41,21
|
-16,86
|
|
5
|
5
|
43
|
0,63
|
1
|
1,075
|
57,99
|
29,19
|
42,35
|
27,35
|
56,54
|
16,86
|
|
6
|
6
|
59
|
0,87
|
1
|
1,475
|
95,82
|
48,42
|
57,51
|
42,51
|
90,93
|
37,83
|
|
7
|
7
|
68
|
1,00
|
1
|
1,700
|
121,30
|
60,77
|
75,59
|
60,59
|
121,36
|
25,48
|
|
8
|
8
|
68
|
1,00
|
1
|
1,700
|
121,30
|
60,77
|
88,55
|
73,55
|
134,32
|
0,00
|
|
9
|
9
|
68
|
1,00
|
1
|
1,700
|
121,30
|
60,77
|
97,83
|
82,83
|
143,60
|
0,00
|
|
10
|
10
|
68
|
1,00
|
1
|
1,700
|
121,30
|
60,77
|
104,48
|
89,48
|
150,25
|
0,00
|
|
11
|
11
|
59
|
0,87
|
1
|
1,475
|
95,82
|
48,42
|
102,03
|
87,03
|
135,45
|
-25,48
|
|
12
|
12
|
68
|
1,00
|
1
|
1,700
|
121,30
|
60,77
|
107,49
|
92,49
|
153,26
|
25,48
|
|
13
|
13
|
32
|
0,47
|
1
|
0,800
|
37,83
|
18,19
|
87,75
|
72,75
|
90,94
|
-83,47
|
|
14
|
14
|
48
|
0,71
|
1
|
1,200
|
68,75
|
34,81
|
82,36
|
67,36
|
102,17
|
30,92
|
|
15
|
15
|
48
|
0,71
|
1
|
1,200
|
68,75
|
34,81
|
78,50
|
63,50
|
98,31
|
0,00
|
|
16
|
16
|
68
|
1,00
|
1
|
1,700
|
121,30
|
60,77
|
90,64
|
75,64
|
136,41
|
52,55
|
|
17
|
17
|
68
|
1,00
|
1
|
1,700
|
121,30
|
60,77
|
99,33
|
84,33
|
145,10
|
0,00
|
|
18
|
18
|
68
|
1,00
|
1
|
1,700
|
121,30
|
60,77
|
105,56
|
90,56
|
151,33
|
0,00
|
|
19
|
19
|
53
|
0,78
|
1
|
1,325
|
80,49
|
40,79
|
98,45
|
83,45
|
124,24
|
-40,81
|
|
20
|
20
|
53
|
0,78
|
1
|
1,325
|
80,49
|
40,79
|
93,36
|
78,36
|
119,15
|
0,00
|
|
21
|
21
|
44
|
0,65
|
1
|
1,100
|
60,06
|
30,28
|
83,92
|
68,92
|
99,20
|
-20,43
|
|
22
|
22
|
36
|
0,53
|
1
|
0,900
|
44,59
|
21,97
|
72,77
|
57,77
|
79,74
|
-15,48
|
|
23
|
23
|
53
|
0,78
|
1
|
1,325
|
80,49
|
40,79
|
74,96
|
59,96
|
100,74
|
35,90
|
|
24
|
24
|
53
|
0,78
|
1
|
1,325
|
80,49
|
40,79
|
76,53
|
61,53
|
102,31
|
0,00
|
Далее выполняется вторая итерация теплового
расчёта аварийного режима работы ТРДН-40 000/110 в зимний период.
Таблица 2.3 - Вторая итерация расчёта режима
аварийных нагрузок ТРДН - 40 000/110 в зимний период
|
№
|
Интервалы
времени
|
S,МВА
|
%
загрузки
|
t
нагрузки
|
K
|
υм.уст,
°C
|
υннт.м,
°C
|
υм.t,
°C
|
θм.t,
°C
|
θннт.t,
°C
|
dυ
|
|
1
|
1
|
34
|
0,50
|
1
|
0,850
|
41,13
|
20,05
|
66,49
|
51,49
|
71,54
|
|
|
2
|
2
|
43
|
0,63
|
1
|
1,075
|
57,99
|
29,19
|
64,08
|
49,08
|
78,27
|
16,86
|
|
3
|
3
|
43
|
0,63
|
1
|
1,075
|
57,99
|
29,19
|
62,35
|
47,35
|
76,54
|
0,00
|
|
4
|
4
|
34
|
0,50
|
1
|
41,13
|
20,05
|
56,34
|
41,34
|
61,38
|
-16,86
|
|
5
|
5
|
43
|
0,63
|
1
|
1,075
|
57,99
|
29,19
|
56,80
|
41,80
|
70,99
|
16,86
|
|
6
|
6
|
59
|
0,87
|
1
|
1,475
|
95,82
|
48,42
|
67,86
|
52,86
|
101,29
|
37,83
|
|
7
|
7
|
68
|
1,00
|
1
|
1,700
|
121,30
|
60,77
|
83,01
|
68,01
|
128,78
|
25,48
|
|
8
|
8
|
68
|
1,00
|
1
|
1,700
|
121,30
|
60,77
|
93,86
|
78,86
|
139,64
|
0,00
|
|
9
|
9
|
68
|
1,00
|
1
|
1,700
|
121,30
|
60,77
|
101,64
|
86,64
|
147,41
|
0,00
|
|
10
|
10
|
68
|
1,00
|
1
|
1,700
|
121,30
|
60,77
|
107,21
|
92,21
|
152,98
|
0,00
|
|
11
|
11
|
59
|
0,87
|
1
|
1,475
|
95,82
|
48,42
|
103,98
|
88,98
|
137,41
|
-25,48
|
|
12
|
12
|
68
|
1,00
|
1
|
1,700
|
121,30
|
60,77
|
108,89
|
93,89
|
154,66
|
25,48
|
|
13
|
13
|
32
|
0,47
|
1
|
0,800
|
37,83
|
18,19
|
88,75
|
73,75
|
91,94
|
-83,47
|
|
14
|
14
|
48
|
0,71
|
1
|
1,200
|
68,75
|
34,81
|
83,08
|
68,08
|
102,89
|
30,92
|
|
15
|
15
|
48
|
0,71
|
1
|
1,200
|
68,75
|
34,81
|
79,02
|
64,02
|
98,83
|
0,00
|
|
16
|
16
|
68
|
1,00
|
1
|
1,700
|
121,30
|
60,77
|
91,00
|
76,00
|
136,78
|
52,55
|
|
17
|
17
|
68
|
1,00
|
1
|
1,700
|
121,30
|
60,77
|
99,59
|
84,59
|
145,36
|
0,00
|
|
18
|
18
|
68
|
1,00
|
1
|
1,700
|
121,30
|
60,77
|
105,75
|
90,75
|
151,52
|
0,00
|
|
19
|
19
|
53
|
0,78
|
1
|
1,325
|
80,49
|
40,79
|
98,59
|
83,59
|
124,37
|
-40,81
|
|
20
|
20
|
53
|
0,78
|
1
|
1,325
|
80,49
|
40,79
|
93,46
|
78,46
|
119,24
|
0,00
|
|
21
|
21
|
44
|
0,65
|
1
|
1,100
|
60,06
|
30,28
|
83,99
|
68,99
|
99,27
|
-20,43
|
|
22
|
22
|
36
|
0,53
|
1
|
0,900
|
44,59
|
21,97
|
72,82
|
57,82
|
79,79
|
-15,48
|
|
23
|
23
|
53
|
0,78
|
1
|
1,325
|
80,49
|
40,79
|
74,99
|
59,99
|
100,78
|
35,90
|
|
24
|
24
|
53
|
0,78
|
1
|
1,325
|
80,49
|
40,79
|
76,55
|
61,55
|
102,34
|
0,00
|
Таблица 2.4 - Первая итерация расчёта режима
систематических нагрузок ТРДН - 40 000/110 в зимний период
|
№
|
Интервалы
времени
|
S,МВА
|
%
загрузки
|
t
нагрузки
|
K
|
υм.уст,
°C
|
υннт.м,
°C
|
υм.t,
°C
|
θм.t,
°C
|
θннт.t,
°C
|
dυ
|
|
1
|
1
|
34
|
0,50
|
1
|
0,425
|
18,78
|
6,61
|
5,32
|
-9,68
|
-3,06
|
|
|
2
|
2
|
43
|
0,63
|
1
|
0,538
|
23,41
|
9,63
|
10,45
|
-4,55
|
5,08
|
4,63
|
|
3
|
3
|
43
|
0,63
|
1
|
0,538
|
23,41
|
9,63
|
14,12
|
-0,88
|
8,75
|
0,00
|
|
4
|
4
|
34
|
0,50
|
1
|
0,425
|
18,78
|
6,61
|
15,44
|
0,44
|
7,06
|
-4,63
|
|
5
|
5
|
43
|
0,63
|
1
|
0,538
|
23,41
|
9,63
|
17,70
|
2,70
|
12,33
|
4,63
|
|
6
|
6
|
59
|
0,87
|
1
|
0,738
|
33,96
|
15,97
|
22,31
|
7,31
|
23,28
|
10,55
|
|
7
|
7
|
68
|
1,00
|
1
|
0,850
|
41,13
|
20,05
|
27,64
|
12,64
|
32,69
|
7,17
|
|
8
|
8
|
68
|
1,00
|
1
|
0,850
|
41,13
|
20,05
|
16,46
|
36,51
|
0,00
|
|
9
|
9
|
68
|
1,00
|
1
|
0,850
|
41,13
|
20,05
|
34,20
|
19,20
|
39,25
|
0,00
|
|
10
|
10
|
68
|
1,00
|
1
|
0,850
|
41,13
|
20,05
|
36,17
|
21,17
|
41,21
|
0,00
|
|
11
|
11
|
59
|
0,87
|
1
|
0,738
|
33,96
|
15,97
|
35,54
|
20,54
|
36,51
|
-7,17
|
|
12
|
12
|
68
|
1,00
|
1
|
0,850
|
41,13
|
20,05
|
37,12
|
22,12
|
42,17
|
7,17
|
|
13
|
13
|
32
|
0,47
|
1
|
0,400
|
17,88
|
6,00
|
31,67
|
16,67
|
22,67
|
-23,25
|
|
14
|
14
|
48
|
0,71
|
1
|
0,600
|
26,40
|
11,48
|
30,17
|
15,17
|
26,66
|
8,52
|
|
15
|
15
|
48
|
0,71
|
1
|
0,600
|
26,40
|
11,48
|
29,10
|
14,10
|
25,58
|
0,00
|
|
16
|
16
|
68
|
1,00
|
1
|
0,850
|
41,13
|
20,05
|
32,51
|
17,51
|
37,56
|
14,73
|
|
17
|
17
|
68
|
1,00
|
1
|
0,850
|
41,13
|
20,05
|
34,95
|
19,95
|
40,00
|
0,00
|
|
18
|
18
|
68
|
1,00
|
1
|
0,850
|
41,13
|
20,05
|
36,70
|
21,70
|
41,75
|
0,00
|
|
19
|
19
|
53
|
0,78
|
1
|
0,663
|
29,67
|
13,45
|
34,71
|
19,71
|
33,16
|
-11,46
|
|
20
|
20
|
53
|
0,78
|
1
|
0,663
|
29,67
|
13,45
|
33,28
|
18,28
|
31,73
|
0,00
|
|
21
|
21
|
44
|
0,65
|
1
|
0,550
|
23,98
|
9,99
|
30,64
|
15,64
|
25,63
|
-5,68
|
|
22
|
22
|
36
|
0,53
|
1
|
0,450
|
19,72
|
7,25
|
27,55
|
12,55
|
19,79
|
-4,26
|
|
23
|
23
|
53
|
0,78
|
1
|
0,663
|
29,67
|
13,45
|
28,15
|
13,15
|
26,60
|
9,94
|
|
24
|
24
|
53
|
0,78
|
1
|
0,663
|
29,67
|
13,45
|
28,58
|
13,58
|
27,03
|
0,00
|
Таблица 2.5 - Вторая итерация расчёта режима
систематических нагрузок ТРДН - 40 000/110 в зимний период
|
№
|
Интервалы
времени
|
S,МВА
|
%
загрузки
|
t
нагрузки
|
K
|
υм.уст,
°C
|
υннт.м,
°C
|
υм.t,
°C
|
θм.t,
°C
|
θннт.t,
°C
|
dυ
|
|
1
|
1
|
34
|
0,50
|
1
|
0,425
|
18,78
|
6,61
|
25,80
|
10,80
|
17,41
|
|
|
2
|
2
|
43
|
0,63
|
1
|
0,538
|
23,41
|
9,63
|
25,12
|
10,12
|
19,75
|
4,63
|
|
3
|
3
|
43
|
0,63
|
1
|
0,538
|
23,41
|
9,63
|
24,64
|
9,64
|
19,27
|
0,00
|
|
4
|
4
|
34
|
0,50
|
1
|
0,425
|
18,78
|
6,61
|
22,98
|
7,98
|
14,59
|
-4,63
|
|
5
|
5
|
43
|
0,63
|
1
|
0,538
|
23,41
|
9,63
|
23,10
|
8,10
|
17,73
|
4,63
|
|
6
|
6
|
59
|
0,87
|
1
|
0,738
|
33,96
|
15,97
|
26,18
|
11,18
|
27,15
|
10,55
|
|
7
|
7
|
68
|
1,00
|
1
|
0,850
|
41,13
|
20,05
|
30,41
|
15,41
|
35,46
|
7,17
|
|
8
|
8
|
68
|
1,00
|
1
|
0,850
|
41,13
|
20,05
|
33,45
|
18,45
|
38,50
|
0,00
|
|
9
|
9
|
68
|
1,00
|
1
|
0,850
|
41,13
|
20,05
|
35,63
|
20,63
|
40,67
|
0,00
|
|
10
|
10
|
68
|
1,00
|
1
|
0,850
|
41,13
|
20,05
|
37,19
|
22,19
|
42,23
|
0,00
|
|
11
|
11
|
59
|
0,87
|
1
|
0,738
|
33,96
|
15,97
|
36,27
|
21,27
|
37,24
|
-7,17
|
|
12
|
12
|
68
|
1,00
|
1
|
0,850
|
41,13
|
20,05
|
37,65
|
22,65
|
42,69
|
|
13
|
13
|
32
|
0,47
|
1
|
0,400
|
17,88
|
6,00
|
32,04
|
17,04
|
23,04
|
-23,25
|
|
14
|
14
|
48
|
0,71
|
1
|
0,600
|
26,40
|
11,48
|
30,44
|
15,44
|
26,92
|
8,52
|
|
15
|
15
|
48
|
0,71
|
1
|
0,600
|
26,40
|
11,48
|
29,30
|
14,30
|
25,78
|
0,00
|
|
16
|
16
|
68
|
1,00
|
1
|
0,850
|
41,13
|
20,05
|
32,65
|
17,65
|
37,70
|
14,73
|
|
17
|
17
|
68
|
1,00
|
1
|
0,850
|
41,13
|
20,05
|
35,05
|
20,05
|
40,10
|
0,00
|
|
18
|
18
|
68
|
1,00
|
1
|
0,850
|
41,13
|
20,05
|
36,77
|
21,77
|
41,82
|
0,00
|
|
19
|
19
|
53
|
0,78
|
1
|
0,663
|
29,67
|
13,45
|
34,76
|
19,76
|
33,21
|
-11,46
|
|
20
|
20
|
53
|
0,78
|
1
|
0,663
|
29,67
|
13,45
|
33,32
|
18,32
|
31,77
|
0,00
|
|
21
|
21
|
44
|
0,65
|
1
|
0,550
|
23,98
|
9,99
|
30,67
|
15,67
|
25,66
|
-5,68
|
|
22
|
22
|
36
|
0,53
|
1
|
0,450
|
19,72
|
7,25
|
27,57
|
12,57
|
19,81
|
-4,26
|
|
23
|
23
|
53
|
0,78
|
1
|
0,663
|
29,67
|
13,45
|
28,16
|
13,16
|
26,62
|
9,94
|
|
24
|
24
|
53
|
0,78
|
1
|
0,663
|
29,67
|
13,45
|
28,59
|
13,59
|
27,04
|
0,00
|
Таблица 2.6 - Первая итерация расчёта режима
аварийных нагрузок ТРДН - 63 000/110 в зимний период
|
№
|
Интервалы
времени
|
S,МВА
|
%
загрузки
|
t
нагрузки
|
K
|
υм.уст,
°C
|
υннт.м,
°C
|
υм.t,
°C
|
θм.t,
°C
|
θннт.t,
°C
|
dυ
|
|
1
|
1
|
34
|
0,50
|
1
|
0,540
|
23,94
|
9,69
|
6,79
|
-8,21
|
1,48
|
|
|
2
|
2
|
43
|
0,63
|
1
|
0,683
|
31,09
|
14,11
|
13,67
|
-1,33
|
12,79
|
7,15
|
|
3
|
3
|
43
|
0,63
|
1
|
0,683
|
31,09
|
14,11
|
18,61
|
3,61
|
17,72
|
0,00
|
|
4
|
4
|
34
|
0,50
|
1
|
0,540
|
23,94
|
9,69
|
20,12
|
5,12
|
14,81
|
-7,15
|
|
5
|
5
|
43
|
0,63
|
1
|
0,683
|
31,09
|
14,11
|
23,23
|
8,23
|
22,34
|
7,15
|
|
6
|
6
|
59
|
0,87
|
1
|
0,937
|
47,29
|
23,41
|
30,05
|
15,05
|
38,46
|
16,20
|
|
7
|
7
|
68
|
1,00
|
1
|
1,079
|
58,25
|
29,38
|
38,04
|
23,04
|
52,42
|
10,97
|
|
8
|
8
|
68
|
1,00
|
1
|
1,079
|
58,25
|
29,38
|
43,77
|
28,77
|
58,15
|
0,00
|
|
9
|
9
|
68
|
1,00
|
1
|
1,079
|
58,25
|
29,38
|
47,88
|
32,88
|
62,26
|
0,00
|
|
10
|
10
|
68
|
1,00
|
1
|
1,079
|
58,25
|
29,38
|
50,82
|
35,82
|
65,20
|
0,00
|
|
11
|
11
|
59
|
0,87
|
1
|
0,937
|
47,29
|
23,41
|
49,82
|
34,82
|
58,23
|
-10,97
|
|
12
|
12
|
68
|
1,00
|
1
|
1,079
|
58,25
|
29,38
|
52,21
|
37,21
|
66,59
|
10,97
|
|
13
|
13
|
32
|
0,47
|
1
|
0,508
|
22,55
|
8,80
|
43,80
|
28,80
|
37,60
|
-35,70
|
|
14
|
14
|
48
|
0,71
|
1
|
0,762
|
35,68
|
16,83
|
41,50
|
26,50
|
43,33
|
13,13
|
|
15
|
15
|
48
|
0,71
|
1
|
0,762
|
35,68
|
16,83
|
39,85
|
24,85
|
41,68
|
0,00
|
|
16
|
16
|
68
|
1,00
|
1
|
1,079
|
58,25
|
29,38
|
45,07
|
30,07
|
59,45
|
22,57
|
|
17
|
17
|
1,00
|
1
|
1,079
|
58,25
|
29,38
|
48,81
|
33,81
|
63,19
|
0,00
|
|
18
|
18
|
68
|
1,00
|
1
|
1,079
|
58,25
|
29,38
|
51,48
|
36,48
|
65,86
|
0,00
|
|
19
|
19
|
53
|
0,78
|
1
|
0,841
|
40,71
|
19,72
|
48,43
|
33,43
|
53,15
|
-17,55
|
|
20
|
20
|
53
|
0,78
|
1
|
0,841
|
40,71
|
19,72
|
46,24
|
31,24
|
50,96
|
0,00
|
|
21
|
21
|
44
|
0,65
|
1
|
0,698
|
31,97
|
14,64
|
42,20
|
27,20
|
41,84
|
-8,73
|
|
22
|
22
|
36
|
0,53
|
1
|
0,571
|
25,40
|
10,62
|
37,43
|
22,43
|
33,05
|
-6,57
|
|
23
|
23
|
53
|
0,78
|
1
|
0,841
|
40,71
|
19,72
|
38,36
|
23,36
|
43,08
|
15,31
|
|
24
|
24
|
53
|
0,78
|
1
|
0,841
|
40,71
|
19,72
|
39,03
|
24,03
|
43,74
|
0,00
|
Таблица 2.7 - Вторая итерация расчёта режима
аварийных нагрузок ТРДН - 63 000/110 в зимний период
|
№
|
Интервалы
времени
|
S,МВА
|
%
загрузки
|
t
нагрузки
|
K
|
υм.уст,
°C
|
υннт.м,
°C
|
υм.t,
°C
|
θм.t,
°C
|
θннт.t,
°C
|
dυ
|
|
1
|
1
|
34
|
0,50
|
1
|
0,540
|
23,94
|
9,69
|
34,75
|
19,75
|
29,44
|
|
|
2
|
2
|
43
|
0,63
|
1
|
0,683
|
31,09
|
14,11
|
33,71
|
18,71
|
32,83
|
7,15
|
|
3
|
3
|
43
|
0,63
|
1
|
0,683
|
31,09
|
14,11
|
32,97
|
17,97
|
32,08
|
0,00
|
|
4
|
4
|
34
|
0,50
|
1
|
0,540
|
23,94
|
9,69
|
30,41
|
15,41
|
25,10
|
-7,15
|
|
5
|
5
|
43
|
0,63
|
1
|
0,683
|
31,09
|
14,11
|
30,60
|
15,60
|
29,71
|
7,15
|
|
6
|
6
|
59
|
0,87
|
1
|
0,937
|
47,29
|
23,41
|
35,33
|
20,33
|
43,74
|
16,20
|
|
7
|
7
|
68
|
1,00
|
1
|
1,079
|
58,25
|
29,38
|
41,83
|
26,83
|
56,21
|
10,97
|
|
8
|
8
|
68
|
1,00
|
1
|
1,079
|
58,25
|
29,38
|
46,49
|
31,49
|
60,86
|
0,00
|
|
9
|
9
|
68
|
1,00
|
1
|
1,079
|
58,25
|
29,38
|
49,82
|
34,82
|
64,20
|
0,00
|
|
10
|
10
|
68
|
1,00
|
1
|
1,079
|
58,25
|
29,38
|
52,21
|
37,21
|
66,59
|
0,00
|
|
11
|
11
|
59
|
0,87
|
1
|
0,937
|
47,29
|
23,41
|
50,82
|
35,82
|
59,23
|
-10,97
|
|
12
|
12
|
68
|
1,00
|
1
|
1,079
|
58,25
|
29,38
|
52,92
|
37,92
|
67,30
|
10,97
|
|
13
|
13
|
32
|
0,47
|
1
|
0,508
|
22,55
|
8,80
|
44,31
|
29,31
|
38,11
|
-35,70
|
|
14
|
14
|
48
|
0,71
|
1
|
0,762
|
35,68
|
16,83
|
41,87
|
26,87
|
43,69
|
13,13
|
|
15
|
15
|
48
|
0,71
|
1
|
0,762
|
35,68
|
16,83
|
40,11
|
25,11
|
41,94
|
0,00
|
|
16
|
16
|
68
|
1,00
|
1
|
1,079
|
58,25
|
29,38
|
45,26
|
30,26
|
59,64
|
22,57
|
|
17
|
17
|
68
|
1,00
|
1
|
1,079
|
58,25
|
29,38
|
48,94
|
33,94
|
63,32
|
0,00
|
|
18
|
18
|
68
|
1,00
|
1
|
1,079
|
58,25
|
29,38
|
51,58
|
36,58
|
65,96
|
0,00
|
|
19
|
19
|
53
|
0,78
|
1
|
0,841
|
40,71
|
19,72
|
48,50
|
33,50
|
53,22
|
-17,55
|
|
20
|
20
|
53
|
0,78
|
1
|
0,841
|
40,71
|
19,72
|
46,29
|
31,29
|
51,01
|
0,00
|
|
21
|
21
|
44
|
0,65
|
1
|
31,97
|
14,64
|
42,23
|
27,23
|
41,87
|
-8,73
|
|
22
|
22
|
36
|
0,53
|
1
|
0,571
|
25,40
|
10,62
|
37,46
|
22,46
|
33,08
|
-6,57
|
|
23
|
23
|
53
|
0,78
|
1
|
0,841
|
40,71
|
19,72
|
38,38
|
23,38
|
43,10
|
15,31
|
|
24
|
24
|
53
|
0,78
|
1
|
0,841
|
40,71
|
19,72
|
39,04
|
24,04
|
43,76
|
0,00
|
Таблица 2.8 - Первая итерация расчёта режима
систематических нагрузок ТРДН - 63 000/110 в зимний период
|
№
|
Интервалы
времени
|
S,МВА
|
%
загрузки
|
t
нагрузки
|
K
|
υм.уст,
°C
|
υннт.м,
°C
|
υм.t,
°C
|
θм.t,
°C
|
θннт.t,
°C
|
dυ
|
|
1
|
1
|
34
|
0,50
|
1
|
0,270
|
14,63
|
3,20
|
4,15
|
-10,85
|
-7,66
|
|
|
2
|
2
|
43
|
0,63
|
1
|
0,341
|
16,53
|
4,66
|
7,66
|
-7,34
|
-2,69
|
1,90
|
|
3
|
3
|
43
|
0,63
|
1
|
0,341
|
16,53
|
4,66
|
10,17
|
-4,83
|
-0,17
|
0,00
|
|
4
|
4
|
34
|
0,50
|
1
|
0,270
|
14,63
|
3,20
|
11,43
|
-3,57
|
-0,37
|
-1,90
|
|
5
|
5
|
43
|
0,63
|
1
|
0,341
|
16,53
|
4,66
|
12,88
|
-2,12
|
2,53
|
1,90
|
|
6
|
6
|
59
|
0,87
|
1
|
0,468
|
20,92
|
7,72
|
15,16
|
0,16
|
7,88
|
4,39
|
|
7
|
7
|
68
|
1,00
|
1
|
0,540
|
23,94
|
9,69
|
17,65
|
2,65
|
12,34
|
3,02
|
|
8
|
8
|
68
|
1,00
|
1
|
0,540
|
23,94
|
9,69
|
19,43
|
4,43
|
14,12
|
0,00
|
|
9
|
9
|
68
|
1,00
|
1
|
0,540
|
23,94
|
9,69
|
20,71
|
5,71
|
15,40
|
0,00
|
|
10
|
10
|
68
|
1,00
|
1
|
0,540
|
23,94
|
9,69
|
21,62
|
6,62
|
16,32
|
0,00
|
|
11
|
11
|
59
|
0,87
|
1
|
0,468
|
20,92
|
7,72
|
21,43
|
6,43
|
14,15
|
-3,02
|
|
12
|
12
|
68
|
1,00
|
1
|
0,540
|
23,94
|
9,69
|
22,14
|
7,14
|
16,83
|
3,02
|
|
13
|
13
|
32
|
0,47
|
1
|
0,254
|
14,26
|
2,90
|
19,90
|
4,90
|
7,81
|
-9,68
|
|
14
|
14
|
48
|
0,71
|
1
|
0,381
|
17,77
|
5,55
|
19,30
|
4,30
|
9,85
|
3,51
|
|
15
|
15
|
48
|
0,71
|
1
|
0,381
|
17,77
|
5,55
|
18,86
|
3,86
|
9,42
|
0,00
|
|
16
|
16
|
68
|
1,00
|
1
|
0,540
|
23,94
|
9,69
|
20,30
|
5,30
|
14,99
|
6,17
|
|
17
|
17
|
68
|
1,00
|
1
|
0,540
|
23,94
|
9,69
|
21,33
|
6,33
|
16,02
|
0,00
|
|
18
|
18
|
68
|
1,00
|
1
|
0,540
|
23,94
|
9,69
|
22,07
|
7,07
|
16,76
|
0,00
|
|
19
|
19
|
53
|
0,78
|
1
|
0,421
|
19,13
|
6,50
|
21,24
|
6,24
|
12,74
|
-4,81
|
|
20
|
20
|
53
|
0,78
|
1
|
0,421
|
19,13
|
6,50
|
20,64
|
5,64
|
12,14
|
0,00
|
|
21
|
21
|
44
|
0,65
|
1
|
0,349
|
16,77
|
4,83
|
19,54
|
4,54
|
9,37
|
-2,36
|
|
22
|
22
|
36
|
0,53
|
1
|
0,286
|
15,01
|
3,50
|
18,26
|
3,26
|
6,76
|
-1,75
|
|
23
|
23
|
53
|
0,78
|
1
|
0,421
|
19,13
|
6,50
|
18,50
|
3,50
|
10,01
|
4,12
|
|
24
|
24
|
53
|
0,78
|
1
|
0,421
|
19,13
|
6,50
|
18,68
|
3,68
|
10,19
|
0,00
|
Таблица 2.9 - Вторая итерация расчёта режима
систематических нагрузок ТРДН - 63 000/110 в зимний период
|
№
|
Интервалы
времени
|
S,МВА
|
%
загрузки
|
t
нагрузки
|
K
|
υм.уст,
°C
|
υм.t,
°C
|
θм.t,
°C
|
θннт.t,
°C
|
dυ
|
|
1
|
1
|
34
|
0,50
|
1
|
0,270
|
14,63
|
3,20
|
17,53
|
2,53
|
5,73
|
|
|
2
|
2
|
43
|
0,63
|
1
|
0,341
|
16,53
|
4,66
|
17,25
|
2,25
|
6,90
|
1,90
|
|
3
|
3
|
43
|
0,63
|
1
|
0,341
|
16,53
|
4,66
|
17,04
|
2,04
|
6,70
|
0,00
|
|
4
|
4
|
34
|
0,50
|
1
|
0,270
|
14,63
|
3,20
|
16,36
|
1,36
|
4,56
|
-1,90
|
|
5
|
5
|
43
|
0,63
|
1
|
0,341
|
16,53
|
4,66
|
16,41
|
1,41
|
6,06
|
1,90
|
|
6
|
6
|
59
|
0,87
|
1
|
0,468
|
20,92
|
7,72
|
17,69
|
2,69
|
10,41
|
4,39
|
|
7
|
7
|
68
|
1,00
|
1
|
0,540
|
23,94
|
9,69
|
19,46
|
4,46
|
14,15
|
3,02
|
|
8
|
8
|
68
|
1,00
|
1
|
0,540
|
23,94
|
9,69
|
20,73
|
5,73
|
15,42
|
0,00
|
|
9
|
9
|
68
|
1,00
|
1
|
0,540
|
23,94
|
9,69
|
21,64
|
6,64
|
16,33
|
0,00
|
|
10
|
10
|
68
|
1,00
|
1
|
0,540
|
23,94
|
9,69
|
22,29
|
7,29
|
16,98
|
0,00
|
|
11
|
11
|
59
|
0,87
|
1
|
0,468
|
20,92
|
7,72
|
21,90
|
6,90
|
14,63
|
-3,02
|
|
12
|
12
|
68
|
1,00
|
1
|
0,540
|
23,94
|
9,69
|
22,48
|
7,48
|
17,17
|
3,02
|
|
13
|
13
|
32
|
0,47
|
1
|
0,254
|
14,26
|
2,90
|
20,15
|
5,15
|
8,05
|
-9,68
|
|
14
|
14
|
48
|
0,71
|
1
|
0,381
|
17,77
|
5,55
|
19,47
|
4,47
|
10,03
|
3,51
|
|
15
|
15
|
48
|
0,71
|
1
|
0,381
|
17,77
|
5,55
|
18,99
|
3,99
|
9,54
|
0,00
|
|
16
|
16
|
68
|
1,00
|
1
|
0,540
|
23,94
|
9,69
|
20,39
|
5,39
|
15,08
|
6,17
|
|
17
|
17
|
68
|
1,00
|
1
|
0,540
|
23,94
|
9,69
|
21,40
|
6,40
|
16,09
|
0,00
|
|
18
|
18
|
68
|
1,00
|
1
|
0,540
|
23,94
|
9,69
|
22,12
|
7,12
|
16,81
|
0,00
|
|
19
|
19
|
53
|
0,78
|
1
|
0,421
|
19,13
|
6,50
|
21,27
|
6,27
|
12,78
|
-4,81
|
|
20
|
20
|
53
|
0,78
|
1
|
0,421
|
19,13
|
6,50
|
20,66
|
5,66
|
12,17
|
0,00
|
|
21
|
21
|
44
|
0,65
|
1
|
0,349
|
16,77
|
4,83
|
19,56
|
4,56
|
9,39
|
-2,36
|
|
22
|
22
|
36
|
0,53
|
1
|
0,286
|
15,01
|
3,50
|
18,27
|
3,27
|
6,77
|
-1,75
|
|
23
|
23
|
53
|
0,78
|
1
|
0,421
|
19,13
|
6,50
|
18,51
|
3,51
|
10,02
|
4,12
|
|
24
|
24
|
53
|
0,78
|
1
|
0,421
|
19,13
|
6,50
|
18,69
|
3,69
|
10,19
|
0,00
|
Таблица 2.10 - Первая итерация расчёта режима
аварийных нагрузок ТРДН - 40 000/110 в летний период
|
№
|
Интервалы
времени
|
S,МВА
|
%
загрузки
|
t
нагрузки
|
K
|
υм.уст,
°C
|
υннт.м,
°C
|
υм.t,
°C
|
θм.t,
°C
|
θннт.t,
°C
|
dυ
|
|
1
|
1
|
30,6
|
0,50
|
1
|
0,765
|
35,63
|
16,94
|
10,10
|
28,10
|
45,04
|
|
|
2
|
2
|
38,7
|
0,63
|
1
|
0,968
|
49,52
|
24,66
|
21,27
|
39,27
|
63,94
|
13,89
|
|
3
|
3
|
38,7
|
0,63
|
1
|
0,968
|
49,52
|
24,66
|
29,28
|
47,28
|
71,94
|
0,00
|
|
4
|
4
|
30,6
|
0,50
|
1
|
0,765
|
35,63
|
16,94
|
31,08
|
49,08
|
66,02
|
|
5
|
5
|
38,7
|
0,63
|
1
|
0,968
|
49,52
|
24,66
|
36,31
|
54,31
|
78,97
|
13,89
|
|
6
|
6
|
53,1
|
0,87
|
1
|
1,328
|
80,73
|
40,91
|
48,90
|
66,90
|
107,81
|
31,21
|
|
7
|
7
|
61,2
|
1,00
|
1
|
1,530
|
101,77
|
51,34
|
63,89
|
81,89
|
133,23
|
21,04
|
|
8
|
8
|
61,2
|
1,00
|
1
|
1,530
|
101,77
|
51,34
|
74,63
|
92,63
|
143,97
|
0,00
|
|
9
|
9
|
61,2
|
1,00
|
1
|
1,530
|
101,77
|
51,34
|
82,32
|
100,32
|
151,67
|
0,00
|
|
10
|
10
|
61,2
|
1,00
|
1
|
1,530
|
101,77
|
51,34
|
87,84
|
105,84
|
157,18
|
0,00
|
|
11
|
11
|
53,1
|
0,87
|
1
|
1,328
|
80,73
|
40,91
|
85,82
|
103,82
|
144,73
|
-21,04
|
|
12
|
12
|
61,2
|
1,00
|
1
|
1,530
|
101,77
|
51,34
|
90,35
|
108,35
|
159,69
|
21,04
|
|
13
|
13
|
28,8
|
0,47
|
1
|
0,720
|
32,92
|
15,37
|
74,07
|
92,07
|
107,44
|
-68,85
|
|
14
|
14
|
43,2
|
0,71
|
1
|
1,080
|
58,40
|
29,41
|
69,63
|
87,63
|
117,03
|
25,48
|
|
15
|
15
|
43,2
|
0,71
|
1
|
1,080
|
58,40
|
29,41
|
66,44
|
84,44
|
113,85
|
0,00
|
|
16
|
16
|
61,2
|
1,00
|
1
|
1,530
|
101,77
|
51,34
|
76,46
|
94,46
|
145,80
|
43,38
|
|
17
|
17
|
61,2
|
1,00
|
1
|
1,530
|
101,77
|
51,34
|
83,63
|
101,63
|
152,98
|
0,00
|
|
18
|
18
|
61,2
|
1,00
|
1
|
1,530
|
101,77
|
51,34
|
88,78
|
106,78
|
158,12
|
0,00
|
|
19
|
19
|
47,7
|
0,78
|
1
|
1,193
|
68,08
|
34,46
|
82,91
|
100,91
|
135,37
|
-33,70
|
|
20
|
20
|
47,7
|
0,78
|
1
|
1,193
|
68,08
|
34,46
|
78,71
|
96,71
|
131,17
|
0,00
|
|
21
|
21
|
39,6
|
0,65
|
1
|
0,990
|
51,23
|
25,59
|
70,92
|
88,92
|
114,50
|
-16,85
|
|
22
|
22
|
32,4
|
0,53
|
1
|
0,810
|
38,48
|
18,56
|
61,72
|
79,72
|
98,28
|
-12,75
|
|
23
|
23
|
47,7
|
0,78
|
1
|
1,193
|
68,08
|
34,46
|
63,52
|
81,52
|
115,98
|
29,60
|
|
24
|
24
|
47,7
|
0,78
|
1
|
1,193
|
68,08
|
34,46
|
64,82
|
82,82
|
117,27
|
0,00
|
Таблица 2.11 - Вторая итерация расчёта режима
аварийных нагрузок ТРДН - 40 000/110 в летний период
|
№
|
Интервалы
времени
|
S,МВА
|
%
загрузки
|
t
нагрузки
|
K
|
υм.уст,
°C
|
υннт.м,
°C
|
υм.t,
°C
|
θм.t,
°C
|
θннт.t,
°C
|
dυ
|
|
1
|
1
|
30,6
|
0,50
|
1
|
0,765
|
35,63
|
16,94
|
56,55
|
74,55
|
91,48
|
|
|
2
|
2
|
38,7
|
0,63
|
1
|
0,968
|
49,52
|
24,66
|
54,55
|
72,55
|
97,21
|
13,89
|
|
3
|
3
|
38,7
|
0,63
|
1
|
0,968
|
49,52
|
24,66
|
53,13
|
71,13
|
95,79
|
0,00
|
|
4
|
4
|
30,6
|
0,50
|
1
|
0,765
|
35,63
|
16,94
|
48,17
|
66,17
|
83,10
|
-13,89
|
|
5
|
5
|
38,7
|
0,63
|
1
|
0,968
|
49,52
|
24,66
|
48,55
|
66,55
|
91,21
|
13,89
|
|
6
|
6
|
53,1
|
0,87
|
1
|
1,328
|
80,73
|
40,91
|
57,67
|
75,67
|
116,58
|
31,21
|
|
7
|
7
|
61,2
|
1,00
|
1
|
1,530
|
101,77
|
51,34
|
70,17
|
88,17
|
139,52
|
21,04
|
|
8
|
8
|
61,2
|
1,00
|
1
|
1,530
|
101,77
|
51,34
|
79,13
|
97,13
|
148,48
|
0,00
|
|
9
|
9
|
1,00
|
1
|
1,530
|
101,77
|
51,34
|
85,55
|
103,55
|
154,89
|
0,00
|
|
10
|
10
|
61,2
|
1,00
|
1
|
1,530
|
101,77
|
51,34
|
90,15
|
108,15
|
159,49
|
0,00
|
|
11
|
11
|
53,1
|
0,87
|
1
|
1,328
|
80,73
|
40,91
|
87,48
|
105,48
|
146,39
|
-21,04
|
|
12
|
12
|
61,2
|
1,00
|
1
|
1,530
|
101,77
|
51,34
|
91,53
|
109,53
|
160,88
|
21,04
|
|
13
|
13
|
28,8
|
0,47
|
1
|
0,720
|
32,92
|
15,37
|
74,92
|
92,92
|
108,29
|
-68,85
|
|
14
|
14
|
43,2
|
0,71
|
1
|
1,080
|
58,40
|
29,41
|
70,24
|
88,24
|
117,64
|
25,48
|
|
15
|
15
|
43,2
|
0,71
|
1
|
1,080
|
58,40
|
29,41
|
66,88
|
84,88
|
114,29
|
0,00
|
|
16
|
16
|
61,2
|
1,00
|
1
|
1,530
|
101,77
|
51,34
|
76,77
|
94,77
|
146,11
|
43,38
|
|
17
|
17
|
61,2
|
1,00
|
1
|
1,530
|
101,77
|
51,34
|
83,86
|
101,86
|
153,20
|
0,00
|
|
18
|
18
|
61,2
|
1,00
|
1
|
1,530
|
101,77
|
51,34
|
88,94
|
106,94
|
158,28
|
0,00
|
|
19
|
19
|
47,7
|
0,78
|
1
|
1,193
|
68,08
|
34,46
|
83,03
|
101,03
|
135,48
|
-33,70
|
|
20
|
20
|
47,7
|
0,78
|
1
|
1,193
|
68,08
|
34,46
|
78,79
|
96,79
|
131,25
|
0,00
|
|
21
|
21
|
39,6
|
0,65
|
1
|
0,990
|
51,23
|
25,59
|
70,98
|
88,98
|
114,56
|
-16,85
|
|
22
|
22
|
32,4
|
0,53
|
1
|
0,810
|
38,48
|
18,56
|
61,76
|
79,76
|
98,32
|
-12,75
|
|
23
|
23
|
47,7
|
0,78
|
1
|
1,193
|
68,08
|
34,46
|
63,55
|
81,55
|
116,01
|
29,60
|
|
24
|
24
|
47,7
|
0,78
|
1
|
1,193
|
68,08
|
34,46
|
64,84
|
82,84
|
117,30
|
0,00
|
Таблица 2.12 - Первая итерация расчёта режима
систематических нагрузок ТРДН - 40 000/110 в летний период
|
№
|
Интервалы
времени
|
S,МВА
|
%
загрузки
|
t
нагрузки
|
K
|
υм.уст,
°C
|
υннт.м,
°C
|
υм.t,
°C
|
θм.t,
°C
|
θннт.t,
°C
|
dυ
|
|
1
|
1
|
30,6
|
0,50
|
1
|
0,383
|
17,28
|
5,59
|
4,90
|
22,90
|
28,49
|
|
|
2
|
2
|
38,7
|
0,63
|
1
|
0,484
|
21,07
|
8,14
|
9,48
|
27,48
|
35,62
|
3,79
|
|
3
|
3
|
38,7
|
0,63
|
1
|
0,484
|
21,07
|
8,14
|
12,77
|
30,77
|
38,90
|
0,00
|
|
4
|
4
|
30,6
|
0,50
|
1
|
0,383
|
17,28
|
5,59
|
14,05
|
32,05
|
37,64
|
-3,79
|
|
5
|
5
|
38,7
|
0,63
|
1
|
0,484
|
21,07
|
8,14
|
16,04
|
34,04
|
42,18
|
3,79
|
|
6
|
6
|
53,1
|
0,87
|
1
|
0,664
|
29,73
|
13,50
|
19,92
|
37,92
|
51,42
|
8,66
|
|
7
|
7
|
61,2
|
1,00
|
1
|
0,765
|
35,63
|
16,94
|
24,37
|
42,37
|
59,31
|
5,90
|
|
8
|
8
|
61,2
|
1,00
|
1
|
0,765
|
35,63
|
16,94
|
27,57
|
45,57
|
62,50
|
0,00
|
|
9
|
9
|
61,2
|
1,00
|
1
|
0,765
|
35,63
|
16,94
|
29,85
|
47,85
|
64,79
|
0,00
|
|
10
|
10
|
61,2
|
1,00
|
1
|
0,765
|
35,63
|
16,94
|
31,49
|
49,49
|
66,43
|
0,00
|
|
11
|
11
|
53,1
|
0,87
|
1
|
0,664
|
29,73
|
13,50
|
30,99
|
48,99
|
62,49
|
-5,90
|
|
12
|
12
|
61,2
|
1,00
|
1
|
0,765
|
35,63
|
16,94
|
32,31
|
50,31
|
67,24
|
5,90
|
|
13
|
13
|
28,8
|
0,47
|
1
|
16,55
|
5,07
|
27,84
|
45,84
|
50,91
|
-19,08
|
|
14
|
14
|
43,2
|
0,71
|
1
|
0,540
|
23,52
|
9,70
|
26,62
|
44,62
|
54,32
|
6,97
|
|
15
|
15
|
43,2
|
0,71
|
1
|
0,540
|
23,52
|
9,70
|
25,74
|
43,74
|
53,44
|
0,00
|
|
16
|
16
|
61,2
|
1,00
|
1
|
0,765
|
35,63
|
16,94
|
28,54
|
46,54
|
63,48
|
12,11
|
|
17
|
17
|
61,2
|
1,00
|
1
|
0,765
|
35,63
|
16,94
|
30,55
|
48,55
|
65,49
|
0,00
|
|
18
|
18
|
61,2
|
1,00
|
1
|
0,765
|
35,63
|
16,94
|
31,99
|
49,99
|
66,93
|
0,00
|
|
19
|
19
|
47,7
|
0,78
|
1
|
0,596
|
26,21
|
11,37
|
30,35
|
48,35
|
59,72
|
-9,42
|
|
20
|
20
|
47,7
|
0,78
|
1
|
0,596
|
26,21
|
11,37
|
29,18
|
47,18
|
58,54
|
0,00
|
|
21
|
21
|
39,6
|
0,65
|
1
|
0,495
|
21,55
|
8,44
|
27,01
|
45,01
|
53,45
|
-4,66
|
|
22
|
22
|
32,4
|
0,53
|
1
|
0,405
|
18,05
|
6,12
|
24,47
|
42,47
|
48,60
|
-3,49
|
|
23
|
23
|
47,7
|
0,78
|
1
|
0,596
|
26,21
|
11,37
|
24,97
|
42,97
|
54,33
|
8,15
|
|
24
|
24
|
47,7
|
0,78
|
1
|
0,596
|
26,21
|
11,37
|
25,32
|
43,32
|
54,69
|
0,00
|
Таблица 2.13 - Вторая итерация расчёта режима
систематических нагрузок ТРДН - 40 000/110 в летний период
|
№
|
Интервалы
времени
|
S,МВА
|
%
загрузки
|
t
нагрузки
|
K
|
υм.уст,
°C
|
υннт.м,
°C
|
υм.t,
°C
|
θм.t,
°C
|
θннт.t,
°C
|
dυ
|
|
1
|
1
|
30,6
|
0,50
|
1
|
0,383
|
17,28
|
5,59
|
23,04
|
41,04
|
46,63
|
|
|
2
|
2
|
38,7
|
0,63
|
1
|
0,484
|
21,07
|
8,14
|
22,48
|
40,48
|
48,62
|
3,79
|
|
3
|
3
|
38,7
|
0,63
|
1
|
0,484
|
21,07
|
8,14
|
22,08
|
40,08
|
48,22
|
0,00
|
|
4
|
4
|
30,6
|
0,50
|
1
|
0,383
|
17,28
|
5,59
|
20,72
|
38,72
|
44,31
|
-3,79
|
|
5
|
5
|
38,7
|
0,63
|
1
|
0,484
|
21,07
|
8,14
|
20,82
|
38,82
|
46,96
|
3,79
|
|
6
|
6
|
53,1
|
0,87
|
1
|
0,664
|
29,73
|
13,50
|
23,35
|
41,35
|
54,84
|
8,66
|
|
7
|
7
|
61,2
|
1,00
|
1
|
0,765
|
35,63
|
16,94
|
26,83
|
44,83
|
61,77
|
5,90
|
|
8
|
8
|
61,2
|
1,00
|
1
|
0,765
|
35,63
|
16,94
|
29,32
|
47,32
|
64,26
|
0,00
|
|
9
|
9
|
61,2
|
1,00
|
1
|
0,765
|
35,63
|
16,94
|
31,11
|
49,11
|
66,05
|
0,00
|
|
10
|
10
|
61,2
|
1,00
|
1
|
0,765
|
35,63
|
16,94
|
32,39
|
50,39
|
67,33
|
0,00
|
|
11
|
11
|
53,1
|
0,87
|
1
|
0,664
|
29,73
|
13,50
|
31,64
|
49,64
|
63,13
|
-5,90
|
|
12
|
12
|
61,2
|
1,00
|
1
|
0,765
|
35,63
|
16,94
|
32,77
|
50,77
|
67,71
|
5,90
|
|
13
|
13
|
28,8
|
0,47
|
1
|
0,360
|
16,55
|
5,07
|
28,17
|
46,17
|
51,24
|
-19,08
|
|
14
|
14
|
43,2
|
0,71
|
1
|
0,540
|
23,52
|
9,70
|
26,85
|
44,85
|
54,56
|
6,97
|
|
15
|
15
|
43,2
|
0,71
|
1
|
0,540
|
23,52
|
9,70
|
25,91
|
43,91
|
53,61
|
0,00
|
|
16
|
16
|
61,2
|
1,00
|
1
|
0,765
|
35,63
|
16,94
|
28,67
|
46,67
|
63,60
|
12,11
|
|
17
|
17
|
61,2
|
1,00
|
1
|
0,765
|
35,63
|
16,94
|
48,64
|
65,58
|
0,00
|
|
18
|
18
|
61,2
|
1,00
|
1
|
0,765
|
35,63
|
16,94
|
32,05
|
50,05
|
66,99
|
0,00
|
|
19
|
19
|
47,7
|
0,78
|
1
|
0,596
|
26,21
|
11,37
|
30,40
|
48,40
|
59,76
|
-9,42
|
|
20
|
20
|
47,7
|
0,78
|
1
|
0,596
|
26,21
|
11,37
|
29,21
|
47,21
|
58,58
|
0,00
|
|
21
|
21
|
39,6
|
0,65
|
1
|
0,495
|
21,55
|
8,44
|
27,04
|
45,04
|
53,48
|
-4,66
|
|
22
|
22
|
32,4
|
0,53
|
1
|
0,405
|
18,05
|
6,12
|
24,49
|
42,49
|
48,61
|
-3,49
|
|
23
|
23
|
47,7
|
0,78
|
1
|
0,596
|
26,21
|
11,37
|
24,98
|
42,98
|
54,34
|
8,15
|
|
24
|
24
|
47,7
|
0,78
|
1
|
0,596
|
26,21
|
11,37
|
25,33
|
43,33
|
54,69
|
0,00
|
Таблица 2.14 - Первая итерация расчёта режима
аварийных нагрузок ТРДН - 63 000/110 в летний период
|
№
|
Интервалы
времени
|
S,МВА
|
%
загрузки
|
t
нагрузки
|
K
|
υм.уст,
°C
|
υннт.м,
°C
|
υм.t,
°C
|
θм.t,
°C
|
θннт.t,
°C
|
dυ
|
|
1
|
1
|
30,6
|
0,50
|
1
|
0,486
|
21,62
|
8,19
|
6,13
|
24,13
|
32,32
|
|
|
2
|
2
|
38,7
|
0,63
|
1
|
0,614
|
27,49
|
11,92
|
12,18
|
30,18
|
42,11
|
5,87
|
|
3
|
3
|
38,7
|
0,63
|
1
|
0,614
|
27,49
|
11,92
|
16,52
|
34,52
|
46,45
|
0,00
|
|
4
|
4
|
30,6
|
0,50
|
1
|
0,486
|
21,62
|
8,19
|
17,97
|
35,97
|
44,16
|
-5,87
|
|
5
|
5
|
38,7
|
0,63
|
1
|
0,614
|
27,49
|
11,92
|
20,67
|
38,67
|
50,59
|
5,87
|
|
6
|
6
|
53,1
|
0,87
|
1
|
0,843
|
40,81
|
19,78
|
26,38
|
44,38
|
64,16
|
13,32
|
|
7
|
7
|
61,2
|
1,00
|
1
|
0,971
|
49,85
|
24,82
|
33,03
|
51,03
|
75,85
|
9,04
|
|
8
|
8
|
61,2
|
1,00
|
1
|
0,971
|
49,85
|
24,82
|
37,80
|
55,80
|
80,62
|
0,00
|
|
9
|
9
|
61,2
|
1,00
|
1
|
0,971
|
49,85
|
24,82
|
41,21
|
59,21
|
84,03
|
0,00
|
|
10
|
10
|
61,2
|
1,00
|
1
|
0,971
|
49,85
|
24,82
|
43,66
|
61,66
|
86,48
|
0,00
|
|
11
|
11
|
53,1
|
0,87
|
1
|
0,843
|
40,81
|
19,78
|
42,85
|
60,85
|
80,63
|
-9,04
|
|
12
|
12
|
61,2
|
1,00
|
1
|
0,971
|
49,85
|
24,82
|
44,83
|
62,83
|
87,66
|
9,04
|
|
13
|
13
|
28,8
|
0,47
|
1
|
0,457
|
20,49
|
7,43
|
37,93
|
55,93
|
63,36
|
-29,36
|
|
14
|
14
|
43,2
|
0,71
|
1
|
0,686
|
31,26
|
14,22
|
36,04
|
54,04
|
68,26
|
10,78
|
|
15
|
15
|
43,2
|
0,71
|
1
|
0,686
|
31,26
|
14,22
|
34,69
|
52,69
|
66,91
|
0,00
|
|
16
|
16
|
61,2
|
1,00
|
1
|
0,971
|
49,85
|
24,82
|
38,99
|
56,99
|
81,81
|
18,58
|
|
17
|
17
|
61,2
|
1,00
|
1
|
0,971
|
49,85
|
24,82
|
42,06
|
60,06
|
84,89
|
0,00
|
|
18
|
18
|
61,2
|
1,00
|
1
|
0,971
|
49,85
|
24,82
|
44,27
|
62,27
|
87,09
|
0,00
|
|
19
|
19
|
47,7
|
0,78
|
1
|
0,757
|
35,39
|
16,66
|
41,75
|
59,75
|
76,41
|
-14,45
|
|
20
|
20
|
47,7
|
0,78
|
1
|
0,757
|
35,39
|
16,66
|
39,95
|
57,95
|
74,61
|
0,00
|
|
21
|
21
|
39,6
|
0,65
|
1
|
0,629
|
28,22
|
12,37
|
36,62
|
54,62
|
66,99
|
|
22
|
22
|
32,4
|
0,53
|
1
|
0,514
|
22,82
|
8,97
|
32,71
|
50,71
|
59,68
|
-5,39
|
|
23
|
23
|
47,7
|
0,78
|
1
|
0,757
|
35,39
|
16,66
|
33,47
|
51,47
|
68,13
|
12,57
|
|
24
|
24
|
47,7
|
0,78
|
1
|
0,757
|
35,39
|
16,66
|
34,02
|
52,02
|
68,68
|
0,00
|
Таблица 2.15 - Вторая итерация расчёта режима
аварийных нагрузок ТРДН - 63 000/110 в летний период
|
№
|
Интервалы
времени
|
S,МВА
|
%
загрузки
|
t
нагрузки
|
K
|
υм.уст,
°C
|
υннт.м,
°C
|
υм.t,
°C
|
θм.t,
°C
|
θннт.t,
°C
|
dυ
|
|
1
|
1
|
30,6
|
0,50
|
1
|
0,486
|
21,62
|
8,19
|
30,51
|
48,51
|
56,69
|
|
|
2
|
2
|
38,7
|
0,63
|
1
|
0,614
|
27,49
|
11,92
|
29,65
|
47,65
|
59,57
|
5,87
|
|
3
|
3
|
38,7
|
0,63
|
1
|
0,614
|
27,49
|
11,92
|
29,04
|
47,04
|
58,96
|
0,00
|
|
4
|
4
|
30,6
|
0,50
|
1
|
0,486
|
21,62
|
8,19
|
26,94
|
44,94
|
53,13
|
-5,87
|
|
5
|
5
|
38,7
|
0,63
|
1
|
0,614
|
27,49
|
11,92
|
27,09
|
45,09
|
57,02
|
5,87
|
|
6
|
6
|
53,1
|
0,87
|
1
|
0,843
|
40,81
|
19,78
|
30,98
|
48,98
|
68,76
|
13,32
|
|
7
|
7
|
61,2
|
1,00
|
1
|
0,971
|
49,85
|
24,82
|
36,33
|
54,33
|
79,15
|
9,04
|
|
8
|
8
|
61,2
|
1,00
|
1
|
0,971
|
49,85
|
24,82
|
40,16
|
58,16
|
82,98
|
0,00
|
|
9
|
9
|
61,2
|
1,00
|
1
|
0,971
|
49,85
|
24,82
|
42,91
|
60,91
|
85,73
|
0,00
|
|
10
|
10
|
61,2
|
1,00
|
1
|
0,971
|
49,85
|
24,82
|
44,87
|
62,87
|
87,70
|
0,00
|
|
11
|
11
|
53,1
|
0,87
|
1
|
0,843
|
40,81
|
19,78
|
43,72
|
61,72
|
81,50
|
-9,04
|
|
12
|
12
|
61,2
|
1,00
|
1
|
0,971
|
49,85
|
24,82
|
45,46
|
63,46
|
88,28
|
9,04
|
|
13
|
13
|
28,8
|
0,47
|
1
|
0,457
|
20,49
|
7,43
|
38,38
|
56,38
|
63,81
|
9,36
|
|
14
|
14
|
43,2
|
0,71
|
1
|
0,686
|
31,26
|
14,22
|
36,36
|
54,36
|
68,58
|
10,78
|
|
15
|
15
|
43,2
|
0,71
|
1
|
0,686
|
31,26
|
14,22
|
34,92
|
52,92
|
67,13
|
0,00
|
|
16
|
16
|
61,2
|
1,00
|
1
|
0,971
|
49,85
|
24,82
|
39,15
|
57,15
|
81,97
|
18,58
|
|
17
|
17
|
61,2
|
1,00
|
1
|
0,971
|
49,85
|
24,82
|
42,18
|
60,18
|
85,00
|
0,00
|
|
18
|
18
|
61,2
|
1,00
|
1
|
0,971
|
49,85
|
24,82
|
44,35
|
62,35
|
87,18
|
0,00
|
|
19
|
19
|
47,7
|
0,78
|
1
|
0,757
|
35,39
|
16,66
|
41,81
|
59,81
|
76,47
|
-14,45
|
|
20
|
20
|
47,7
|
0,78
|
1
|
0,757
|
35,39
|
16,66
|
39,99
|
57,99
|
74,65
|
0,00
|
|
21
|
21
|
39,6
|
0,65
|
1
|
0,629
|
28,22
|
12,37
|
36,66
|
54,66
|
67,02
|
-7,18
|
|
22
|
22
|
32,4
|
0,53
|
1
|
0,514
|
22,82
|
8,97
|
32,73
|
50,73
|
59,71
|
-5,39
|
|
23
|
23
|
47,7
|
0,78
|
1
|
0,757
|
35,39
|
16,66
|
33,49
|
51,49
|
68,15
|
12,57
|
|
24
|
24
|
47,7
|
0,78
|
1
|
0,757
|
35,39
|
16,66
|
34,03
|
52,03
|
68,69
|
0,00
|
Таблица 2.16 - Первая итерация расчёта режима
систематических нагрузок ТРДН - 63 000/110 в летний период
|
№
|
Интервалы
времени
|
S,МВА
|
%
загрузки
|
t
нагрузки
|
K
|
υм.уст,
°C
|
υннт.м,
°C
|
υм.t,
°C
|
θм.t,
°C
|
θннт.t,
°C
|
dυ
|
|
1
|
30,6
|
0,50
|
1
|
0,243
|
14,02
|
2,70
|
3,97
|
21,97
|
24,67
|
|
|
2
|
2
|
38,7
|
0,63
|
1
|
0,307
|
15,57
|
3,93
|
7,26
|
25,26
|
29,19
|
1,55
|
|
3
|
3
|
38,7
|
0,63
|
1
|
0,307
|
15,57
|
3,93
|
9,62
|
27,62
|
31,55
|
0,00
|
|
4
|
4
|
30,6
|
0,50
|
1
|
0,243
|
14,02
|
2,70
|
10,86
|
28,86
|
31,56
|
-1,55
|
|
5
|
5
|
38,7
|
0,63
|
1
|
0,307
|
15,57
|
3,93
|
12,20
|
30,20
|
34,13
|
1,55
|
|
6
|
6
|
53,1
|
0,87
|
1
|
0,421
|
19,16
|
6,52
|
14,17
|
32,17
|
38,69
|
3,59
|
|
7
|
7
|
61,2
|
1,00
|
1
|
0,486
|
21,62
|
8,19
|
16,28
|
34,28
|
42,47
|
2,47
|
|
8
|
8
|
61,2
|
1,00
|
1
|
0,486
|
21,62
|
8,19
|
17,80
|
35,80
|
43,99
|
0,00
|
|
9
|
9
|
61,2
|
1,00
|
1
|
0,486
|
21,62
|
8,19
|
18,88
|
36,88
|
45,07
|
0,00
|
|
10
|
10
|
61,2
|
1,00
|
1
|
0,486
|
21,62
|
8,19
|
19,66
|
37,66
|
45,85
|
0,00
|
|
11
|
11
|
53,1
|
0,87
|
1
|
0,421
|
19,16
|
6,52
|
19,52
|
37,52
|
44,04
|
-2,47
|
|
12
|
12
|
61,2
|
1,00
|
1
|
0,486
|
21,62
|
8,19
|
20,11
|
38,11
|
46,30
|
2,47
|
|
13
|
13
|
28,8
|
0,47
|
1
|
0,229
|
13,72
|
2,45
|
18,30
|
36,30
|
38,75
|
-7,91
|
|
14
|
14
|
43,2
|
0,71
|
1
|
0,343
|
16,58
|
4,69
|
17,81
|
35,81
|
40,50
|
2,86
|
|
15
|
15
|
43,2
|
0,71
|
1
|
0,343
|
16,58
|
4,69
|
17,46
|
35,46
|
40,15
|
0,00
|
|
16
|
16
|
61,2
|
1,00
|
1
|
0,486
|
21,62
|
8,19
|
18,64
|
36,64
|
44,83
|
5,05
|
|
17
|
17
|
61,2
|
1,00
|
1
|
0,486
|
21,62
|
8,19
|
19,49
|
37,49
|
45,68
|
0,00
|
|
18
|
18
|
61,2
|
1,00
|
1
|
0,486
|
21,62
|
8,19
|
20,09
|
38,09
|
46,28
|
0,00
|
|
19
|
19
|
47,7
|
0,78
|
1
|
0,379
|
17,69
|
5,50
|
19,41
|
37,41
|
42,91
|
-3,94
|
|
20
|
20
|
47,7
|
0,78
|
1
|
0,379
|
17,69
|
5,50
|
18,92
|
36,92
|
42,42
|
0,00
|
|
21
|
21
|
39,6
|
0,65
|
1
|
0,314
|
15,76
|
4,08
|
18,03
|
36,03
|
40,11
|
-1,93
|
|
22
|
22
|
32,4
|
0,53
|
1
|
0,257
|
14,33
|
2,96
|
16,98
|
34,98
|
37,94
|
-1,43
|
|
23
|
23
|
47,7
|
0,78
|
1
|
0,379
|
17,69
|
5,50
|
17,18
|
35,18
|
40,68
|
3,36
|
|
24
|
24
|
47,7
|
0,78
|
1
|
0,379
|
17,69
|
5,50
|
17,32
|
35,32
|
40,82
|
0,00
|
Таблица 2.17 - Вторая итерация расчёта режима
систематических нагрузок ТРДН - 63 000/110 в летний период
|
№
|
Интервалы
времени
|
S,МВА
|
%
загрузки
|
t
нагрузки
|
K
|
υм.уст,
°C
|
υннт.м,
°C
|
υм.t,
°C
|
θм.t,
°C
|
θннт.t,
°C
|
dυ
|
|
1
|
1
|
30,6
|
0,50
|
1
|
0,243
|
14,02
|
2,70
|
16,38
|
34,38
|
37,08
|
|
|
2
|
2
|
38,7
|
0,63
|
1
|
0,307
|
15,57
|
3,93
|
16,15
|
34,15
|
38,09
|
1,55
|
|
3
|
3
|
38,7
|
0,63
|
1
|
0,307
|
15,57
|
3,93
|
15,99
|
33,99
|
37,92
|
0,00
|
|
4
|
4
|
30,6
|
0,50
|
1
|
0,243
|
14,02
|
2,70
|
15,43
|
33,43
|
36,13
|
-1,55
|
|
5
|
5
|
38,7
|
0,63
|
1
|
15,57
|
3,93
|
15,47
|
33,47
|
37,40
|
1,55
|
|
6
|
6
|
53,1
|
0,87
|
1
|
0,421
|
19,16
|
6,52
|
16,51
|
34,51
|
41,04
|
3,59
|
|
7
|
7
|
61,2
|
1,00
|
1
|
0,486
|
21,62
|
8,19
|
17,96
|
35,96
|
44,15
|
2,47
|
|
8
|
8
|
61,2
|
1,00
|
1
|
0,486
|
21,62
|
8,19
|
19,00
|
37,00
|
45,19
|
0,00
|
|
9
|
9
|
61,2
|
1,00
|
1
|
0,486
|
21,62
|
8,19
|
19,74
|
37,74
|
45,93
|
0,00
|
|
10
|
10
|
61,2
|
1,00
|
1
|
0,486
|
21,62
|
8,19
|
20,28
|
38,28
|
46,47
|
0,00
|
|
11
|
11
|
53,1
|
0,87
|
1
|
0,421
|
19,16
|
6,52
|
19,96
|
37,96
|
44,48
|
-2,47
|
|
12
|
12
|
61,2
|
1,00
|
1
|
0,486
|
21,62
|
8,19
|
20,43
|
38,43
|
46,62
|
2,47
|
|
13
|
13
|
28,8
|
0,47
|
1
|
0,229
|
13,72
|
2,45
|
18,53
|
36,53
|
38,98
|
-7,91
|
|
14
|
14
|
43,2
|
0,71
|
1
|
0,343
|
16,58
|
4,69
|
17,98
|
35,98
|
40,67
|
2,86
|
|
15
|
15
|
43,2
|
0,71
|
1
|
0,343
|
16,58
|
4,69
|
17,58
|
35,58
|
40,27
|
0,00
|
|
16
|
16
|
61,2
|
1,00
|
1
|
0,486
|
21,62
|
8,19
|
18,73
|
36,73
|
44,91
|
5,05
|
|
17
|
17
|
61,2
|
1,00
|
1
|
0,486
|
21,62
|
8,19
|
19,55
|
37,55
|
45,74
|
0,00
|
|
18
|
18
|
61,2
|
1,00
|
1
|
0,486
|
21,62
|
8,19
|
20,14
|
38,14
|
46,32
|
0,00
|
|
19
|
19
|
47,7
|
0,78
|
1
|
0,379
|
17,69
|
5,50
|
19,44
|
37,44
|
42,94
|
-3,94
|
|
20
|
20
|
47,7
|
0,78
|
1
|
0,379
|
17,69
|
5,50
|
18,95
|
36,95
|
42,44
|
0,00
|
|
21
|
21
|
39,6
|
0,65
|
1
|
0,314
|
15,76
|
4,08
|
18,04
|
36,04
|
40,12
|
-1,93
|
|
22
|
22
|
32,4
|
0,53
|
1
|
0,257
|
14,33
|
2,96
|
16,99
|
34,99
|
37,95
|
-1,43
|
|
23
|
23
|
47,7
|
0,78
|
1
|
0,379
|
17,69
|
5,50
|
17,19
|
35,19
|
40,68
|
3,36
|
|
24
|
24
|
47,7
|
0,78
|
1
|
0,379
|
17,69
|
5,50
|
17,33
|
35,33
|
40,83
|
0,00
|
Рисунок 2.1 - График изменения температуры масла
и наиболее нагретой точки режима зимних аварийных нагрузок ТРДН 40 000/110
Рисунок 2.2 - График изменения температуры масла
и наиболее нагретой точки режима зимних систематических нагрузок ТРДН 40
000/110
Рисунок 2.3 - График изменения температуры масла
и наиболее нагретой точки режима зимних аварийных нагрузок ТРДН 63 000/110
Рисунок 2.4 - График изменения температуры масла
и наиболее нагретой точки режима зимних систематических нагрузок ТРДН 63
000/110
Рисунок 2.5- График изменения температуры масла
и наиболее нагретой точки режима летних аварийных нагрузок ТРДН 40 000/110
Рисунок 2.6- График изменения температуры масла
и наиболее нагретой точки режима летних систематических нагрузок ТРДН 40
000/110
Рисунок 2.7- График изменения температуры масла
и наиболее нагретой точки режима летних аварийных нагрузок ТРДН 63 000/110
Рисунок 2.9- График изменения температуры масла
и наиболее нагретой точки режима летних систематических нагрузок ТРДН 63
000/110
Тепловой расчёт работы трансформаторов в режиме
систематических нагрузок и аварийных перегрузок произведён, его результаты
показаны в таблицах (таблицы 2.2-2.17), приведены графики изменения температур
масла и наиболее нагретой точки от времени (рисунки 2.1-2.9), скорость износа в
таблицах выражена в относительных единицах.
Следующим этапом будет технико-экономическое
сравнение вариантов трансформаторов, благодаря которому будет выбран более
выгодный вариант.
.4 Технико-экономическое сравнение
вариантов трансформаторов
Одним из этапов выбора трансформаторов
подстанций является технико-экономическое сравнение вариантов трансформаторов.
Номинальная мощность была выбрана так, чтобы, с одной стороны, было обеспечено
питание всех потребителей ПС в нормальном режиме без ограничений (возможно, с
систематическими перегрузками), с другой - чтобы в случае выхода из работы
одного трансформатора остальные, используя допустимые перегрузки (возможно, с
отключением малоответственной части нагрузки, III
категория), обеспечивали бы работу ПС на время восстановления нормального
режима (ремонта или замены аварийного трансформатора).
Расчет приведенных затрат для
варианта 2ТРДН-40000/110
Число часов использования максимума:

