Электромеханическая система управления мощного объекта

  • Вид работы:
    Курсовая работа (т)
  • Предмет:
    Информатика, ВТ, телекоммуникации
  • Язык:
    Русский
    ,
    Формат файла:
    MS Word
    460 Кб
  • Опубликовано:
    2016-02-11
Вы можете узнать стоимость помощи в написании студенческой работы.
Помощь в написании работы, которую точно примут!

Электромеханическая система управления мощного объекта














Электромеханическая система управления мощного объекта

Реферат

управление радиолокационный алгоритм схема

В курсовой работе рассмотрены вопросы расчета и проектирования системы управления антенной радиолокационной станции. По функциональной cхеме, техническим характеристикам функциональных элементов и требованиям к системе управления построена структурная схема.

Динамический расчёт проводился на основе частотного метода В.А. Бесикерского. Рассчитан желаемый коэффициент усиления, была построена запретная область для желаемой характеристики, определена добротность системы К=210,6 с-1 и определены постоянная времени Т1=0,877с. Реализована последовательная коррекция системы регуляторами опережения и отставания по фазе, которая обеспечивает требуемую точность, но не обеспечивает другие показатели качества, в частности перерегулирование. Рассмотрено другие модификации регуляторов. Затем проведена дополнительная коррекция путём преобразования одного из регуляторов опережения и отставания по фазе в ПИ регулятор. Также установили нелинейный элемент блок насыщения для ограничения уровня сигнала поступающего на микроконтроллер в пределах ∓10 Вольт. Было произведено компьютерное исследование скорректированных систем. Произведён синтез вычислительного алгоритма.

Исходные данные к проекту

Максимальная угловая скорость ; Максимальное угловое ускорение ; Максимально допустимая ошибка системы ; Коэффициент усиления измерительного преобразователя ; Коэффициент усиления электромагнитного усилителя ; Коэффициент усиления двигателя ; Показатель колебательности системы ;Возмущение скорости ; Постоянная времени усилителя мощности ; Электромеханическая постоянная времени ; Постоянная времени измерительного преобразователя ; Передаточное число редуктора .

Назначение разработки: управление мощным объектом.

Введение

Следящая система управления - это система автоматического управления, в которой управляемая величина воспроизводит произвольно изменяющееся задающее воздействие.

Пример следящей системы - радиолокационная станция (РЛС) - основная системная единица радиолокации.

Радиолокация - это область радиоэлектроники, решающая задачи радиолокационного наблюдения различных объектов, т.е. их обнаружения, измерения координат и параметров движения путем использования отраженных или переизлученных объектами радиоволн либо их собственного радиоизлучения.

Основной целью радиолокационного наблюдения является радиолокационное слежение, т.е. непрерывное сопровождение цели с заранее неизвестным законом движения. Сопровождение цели осуществляется путем постоянной выдачи донесений, содержащих необходимую информацию о цели - это номер цели, ее координаты, государственная принадлежность и время донесения. Координаты цели (азимут, дальность, угол места) измеряются относительно точки стояния станции с допустимой для станции погрешностью. Измерение координат цели в радиолокации основано на следующих физических явлениях:

–       отражение электромагнитных волн от границы раздела двух сред с различными электрическими свойствами;

–       постоянства скорости и прямолинейности распространения электромагнитных волн в пространстве.

В основе устройства радиолокационной станции лежат три компонента: передатчик, антенна и приёмник.

Передатчик является источником электромагнитного сигнала высокой мощности. Он может представлять собой мощный импульсный генератор. В зависимости от конструкции, передатчик работает либо в импульсном режиме, формируя повторяющиеся короткие мощные электромагнитные импульсы, либо излучает непрерывный электромагнитный сигнал.

Антенна выполняет фокусировку сигнала передатчика и формирование диаграммы направленности, а также приём отражённого от цели сигнала и передачу этого сигнала в приёмник. В зависимости от реализации приём отражённого сигнала может осуществляться либо той же самой антенной, либо другой, которая иногда может располагаться на значительном расстоянии от передающего устройства.

Приёмник выполняет усиление и обработку принятого сигнала. В самом простом случае результирующий сигнал подаётся на лучевую трубку (экран), которая показывает изображение, синхронизированное с движением антенны, по которому уже визуально можно определить необходимые параметры цели, в частности ее координаты.

1. Описание системы управления

 

.1      Принцип действия системы


Следящая система - система автоматического регулирования (управления), воспроизводящая на выходе с определённой точностью входное задающее воздействие, изменяющееся по заранее неизвестному закону, может иметь любую физическую природу и различные способы технического осуществления.

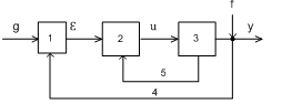
Блок-схема, изображенная на рисунке 1.1 поясняет общий принцип действия следящей системы.

Рисунок 1.1- Блок-схема следящей системы;

На рисунке 1.1 приняты следующие обозначения:

–       g - заданная входная величина;

–       ε - сигнал рассогласования (ошибка);

–       u - сигнал управления;

–       f - возмущающее воздействие;

–       y - выходная величина;

–       1 - сравнивающее устройство;

–       2 - усилитель-преобразователь;

–       3 - исполнительное устройство;

–       4 - цепь главной обратной связи;

–       5 - цепь вспомогательной (местной) обратной связи.

Один из основных элементов - сравнивающее устройство, в котором производится сравнение фактически получающейся выходной величины y с заданной входной величиной g и вырабатывается сигнал рассогласования ε=g-y. Передача величины y с выхода на вход осуществляется по цепи отрицательной обратной связи, при этом знак y меняется на обратный. Т. к. по заданию должно быть y=g, то рассогласование ε является ошибкой системы. О динамических свойствах следящей системы можно судить по величине этой ошибки.

Различают системы статические и астатические. Статические системы управляются значением ошибки: есть ошибка - есть управление в системе, больше величина ошибки - сильнее реакция системы. Так, если целью сопровождения радиолокационной станции является неподвижно висящий вертолет, то станция, отработав ошибку, "замирает". Если цель (вертолет) начнёт движение, то появится ошибка и система "оживет". Если траектория движения цели будет круговой с постоянной скоростью, на постоянной высоте с центром в точке, где находится радиолокационная станция, то ошибка (её "характер") будет постоянной.

Системы способные автоматически выполнять свои функции при наличии ошибки постоянной величины называют астатическими. Следящая система является астатической системой первого порядка. Это означает, что ошибка по положению должна стремится к нулю. Поэтому сигнал ε усиливается и преобразуется в новый сигнал u, который приводит в действие исполнительное устройство. Исполнительное устройство изменяет y так, чтобы ликвидировать рассогласование. Однако из-за наличия различных возмущающих воздействий f рассогласование возникает вновь, и следящая система все время работает на его уничтожение, т. е. "следит" за ним и, в итоге, за заданной величиной g. Для осуществления процесса управления с требуемой точностью применяют специальные корректирующие устройства, входящие в состав усилителя-преобразователя, и дополнительные местные обратные связи. В результате сигнал и достаточно сложным образом зависит от ей от параметров состояния самого исполнительного устройства.

По описанному принципу следящей системы работает радиолокационная станция. В такой системе слежения угла поворота антенны радиолокационной станции рассогласованием служит угловая ошибка между радиолокационным лучом и направлением на цель.

Рассмотрим функциональную работу следящей системы по рисунку 1.2. В системе осуществляется отработка на выходном валу исполнительного устройства произвольно задаваемого на входе угла поворота. Исполнительным устройством является система "генератор-двигатель" с редуктором, возмущающее воздействие - изменение нагрузки на выходном валу. Рассогласование ε=θ12 вырабатывается соединенными по трансформаторной схеме сельсинами - датчиком и приёмником (последний связан с выходным валом).

Рисунок 1.2- Схема следящей системы для отработки на выходном валу угла поворота входного вала

На рисунке 1.2 приняты следующие обозначения:

–       УП - усилитель-преобразователь;

–       Г - генератор;

–       Дв - двигатель;

–       Ред - редуктор;

–       СД - сельсин-датчик;

–       СП - сельсин-приемник;

–       θ1 , θ2 - углы поворота входного и выходного валов;

–       ε - сигнал рассогласования (ошибка).

Если в рассмотренной следящей системе для отработки на выходном валу угла поворота входного вала в качестве углов считать азимут сопровождаемой цели, т.е. объекта за координатами которого ведется слежение, то структурно такую систему можно представить схемой рисунка 2.2.

_

Рисунок 1.3- Схема системы слежения за целью по ее азимуту

На схеме приняты следующие обозначения:

–       - азимут цели;

–       - выходной азимут, отрабатываемый системой;

–        - измеритель-преобразователь;

–        - фильтр и усилитель;

–        - усилитель мощности;

–        - двигатель;

–        - редуктор;

–        - тахометрическая обратная связь;

–        - управляющее напряжение;

–        - напряжение обратной связи;

–        - частота вращения двигателя;

–       ε - угол рассогласования (ошибка);

–        - номинальная частота вращения двигателя.

1.2 Параметры, условия работы и исходные данные


В курсовом проекте приняты следующие технические параметры и условия работы следящей системы:

–       допустимое предельное значение напряжения, подаваемого на микроконтроллерную схему ±10В;

–       допустимые ошибки и погрешности учитываются в исходных данных.

Исходные данные:

;

–       максимальное угловое ускорение

;

–       максимально допустимая ошибка системы

;

–       коэффициент усиления измерительного преобразователя

;

–       коэффициент усиления электромагнитного усилителя

;

–       коэффициент усиления двигателя

;

–       показатель колебательности системы

;

–       возмущение скорости

;

–       постоянная времени усилителя мощности

;

–       электромеханическая постоянная времени

;

–       постоянная времени измерительного преобразователя

;

–       Передаточное число редуктора

;

2. АНАЛИЗ КАЧЕСТВА И УСТОЙЧИВОСТИ ИСХОДНОЙ СИСТЕМЫ

 

.1 Структурная схема системы управления


Структурная схема системы разработана на основе функциональной схемы, показанной на рисунке 1.3 путем замены каждого функционального элемента его математической моделью, описываемой с помощью соответствующей передаточной функции.

Структурная схема исходной (нескорректированной) системы, показана на рисунке 2.1

Рисунок 2.1- Структурная схема исходной (нескорректированной) системы

На схеме приняты следующие обозначения:

–       - входное воздействие;

–       - выходное значение, отработанное системой;

–        - коэффициент усиления измерительного преобразователя;

–        - коэффициент усиления электромагнитного усилителя;

–        - коэффициент усиления двигателя;

–        - коэффициент обратной связи;

–        - постоянная времени электромагнитного усилителя;

–        - электромеханическая постоянная времени;

–        - постоянная времени измерительного преобразователя;

–        - Возмущение скорости;

–       - передаточное число редуктора;

–        - управляющее напряжение;

–        - напряжение обратной связи;

–        - частота вращения двигателя;

–        - номинальная частота вращения двигателя.

2.2 Определение добротности системы по скорости


Добротность системы по скорости - один из основных показателей качества. В общем случае представляет собой отношение установившейся скорости исполнительной оси к установившейся ошибке.

Добротность системы по скорости:

 (2.1)

2.3 Анализ устойчивости


Определим является ли исходная система устойчивой. Передаточную функцию системы можно записать в следующем виде:

 (2.2)

Составим характеристическое уравнение системы:

 (2.3)

Согласно критерию Гурвица для систем четвёртого порядка для устойчивости системы необходимо чтобы все главные диагональные миноры матрицы Гурвица были положительны при условии a0 > 0 : Δ1 > 0, Δ2 > 0, Δ3 > 0, Δ4 > 0. Составим матрицу Гурвица для системы четвёртого порядка:

(2.4)

Рассчитаем главные диагональные миноры:

 (2.5)

Таким образом можно сделать вывод, что исходная система устойчива.

Удостоверится в этом можно промоделировав исходную систему на ЭВМ.

 

.4 Моделирование исходной системы на ЭВМ


Для построения модели исходной системы управления по структурной схеме, изображенной на рисунке 2.1, воспользуемся средой MATLAB Simulink. Полученная модель представлена на рисунке 2.2. Численное выражение передаточной функции записывается выражением:

(2.6)

Рисунок 2.2- Модель схемы исходной нескорректированной системы

По графику переходного процесса в промоделированной системе, изображенного на рисунке 2.3 видно, что процесс устойчив, однако время, за которое мы добиваемся установившего процесса, в 105 секунд неприемлемо. Система требует коррекции.

Рисунок 2.3- График переходного процесса исходной (нескорректированной) системы

3. СИНТЕЗ ЖЕЛАЕМОЙ ПЕРЕДАТОЧНОЙ ФУНКЦИИ


Целью разработки систем автоматического управления является синтез системы, удовлетворяющей функциональному назначению и заданным показателям качества.

Желаемая передаточная функция определяется видом передаточной функции проектируемой системы, состоящей из функционально необходимых элементов.

Желаемая передаточная функция системы будет выглядеть следующим образом:

(3.1)

Определим контрольную частоту или так называемую "качку":

(3.2)

Условную добротность по ускорению вычисляем по формуле:


Базовая частота для построения запрещенной зоны желаемой частотной характеристики вычисляется по формуле:

(3.4)

Базовая частота желаемой частотной характеристики вычисляется по формуле:

(3.5)

Желаемый коэффициент усиления системы будет определятся следующим образом:

(3.6)

Приведенный выбор базовой частоты желаемой частотной характеристики и желаемый коэффициент усиления системы основывается на выборе постоянной времени Т1 обратно пропорционально контрольной частоте, что не допускает насыщения элементов и не снижает помехозащищенность. Такой выбор базовой частоты позволяет поднять логарифмическую частотную характеристику желаемой передаточной функции, которая строится по следующим формулам:

(3.7)

Асимптотическая логарифмическая амплитудная частотная характеристика (ЛАЧХ) желаемой передаточной функции и ее запрещенная зона построены на рисунке 3.1.

Рисунок 3.1- Асимптотическая ЛАЧХ желаемой передаточной функции

Расчет постоянных времени Т1, Т2, Т3, Т4, Т5 для желаемой передаточной функции осуществляется по следующим формулам:

По полученным значениям постоянных времени Т2, Т3 можно предположить о апериодическом виде переходного процесса, т.к. значения Т2, Т3 различны. Если бы они были близки, то переходный процесс был бы однозначно колебательным, т.е. протяженность среднечастотной части стремилась бы к нулю.

 (3.8)

В выражении для Т4 в формулах 3.8 в качестве 𝛼 берется число из диапазона [2;5].

Таким образом подставив численные значения в выражение для желаемой передаточной функции 3.1, получим:

(3.9)

 

4. РЕАЛИЗАЦИЯ КОРРЕКТИРУЮЩИХ УСТРОЙСТВ

 

.1 Последовательная коррекция


Последовательные корректирующие устройства включаются в прямую цепь системы управления в соответствии с рисунком 4.1.

Зная численные выражения для передаточной функции исходной системы (выражение 2.9) и для желаемой передаточной функции системы (выражение 3.9) определим передаточную функцию последовательного корректирующего устройства  из равенства:

(4.1)

Рисунок 4.1- Структурная схема системы управления с последовательной коррекцией

Тогда передаточная функция последовательного корректирующего устройства будет записываться выражением:

(4.2)

Также добавим в цепь местной обратной связи интегро-дифференцирующее звено для снижения уровня сигнала в цепи местной обратной связи (менее 10 вольт).

Построим модели системы управления с последовательной коррекцией по структурной схеме, изображенной на рисунке 4.1, воспользуемся средой MATLAB Simulink. Полученная модель представлена на рисунке 4.2.

Рисунок 4.2- Модель схемы системы управления с последовательной коррекцией

Рисунок 4.3- График переходного процесса системы управления с последовательной коррекцией

Рисунок 4.4- График уровня сигнала в цепи местной обратной связи при последовательной коррекции

Рисунок 4.5- График ошибки по скорости при последовательной коррекции

Как видно из графиков 4.3-4.5 мы добились требуемого уровня сигнала в цепи местной обратной связи, однако перерегулирование системы 19,9% удовлетворяет задаче. Ошибка по скорости в 0,00025 рад = 8,7 угловых минут превышает требуемое по заданию.

Таким образом можно сделать вывод, что вид последовательной коррекции вполне подходит для улучшения желаемых динамических свойств системы.

Данный вид корректирующего устройства можно физически реализовать на аналоговых устройствах в виде последовательных фильтров, содержащих RC-элементы и разделительный усилитель, или с помощью ПИД регулятора непрерывного действия.

Отметим что, такой достаточно простой вид передаточной функции корректирующего устройства (выражение 4.2) был получен путем сокращением четырёх звеньев: двух апериодических и двух форсирующих, в виду того что постоянные времени Тэму, Т3 и Тип, Т5 численно совпали. При другом значении показателя колебательности или базовой частоты в формулах 3.8 такое математическое сокращение звеньев было бы не возможным, и, соответственно, и переходный процесс был бы хуже по своим свойствам, и физическая реализация самого корректирующего устройства была бы затруднительной. Если же, как в данном случае, выбранные параметры удовлетворяют заданным требованиям, то вид передаточной функции корректирующего устройства можно упростить до следующего интегрирующего звена:

(4.3)

Эта коррекция приводит к повышению устойчивости, подавлению высокочастотных помех, но к снижению быстродействия, хотя и незначительному. Такое корректирующее устройство структурно можно представить в виде различных комбинаций соединений интегрирующих звеньев. Преобразуем выражение 4.3 к следующему виду:

(4.4)

По выражению 4.4 можно построить структурную схему корректирующего устройства.

Рисунок 4.6- Структурная схема корректирующего устройства

По структурной схеме корректирующего устройства изображенной на рисунке 4.5 видна несложность физической реализации такой коррекции.

В общем случае последовательное корректирующее устройство в виде пассивного или активного четырехполюсника включается после устройства сравнения или между каскадами предварительного усилителя.

Рисунок 4.7- Модель скорректированной схемы системы управления

Рисунок 4.8- График переходного процесса скорректированной системы управления

Рисунок 4.9- График ошибки по скорости скорректированной системы

По графику переходного процесса в промоделированной системе, изображенного на рисунке 4.8 видно, что процесс устойчивый. Как предполагалось, с несколько улучшенными характеристиками, чем промоделированная система на схеме рисунка 4.2: перерегулирование 19%, которое удовлетворяет заданию, и ошибка по скорости равная 0. Такую величину ошибки мы получили фактически сформировав систему с двумя интеграторами, что в свою очередь даёт ошибку по скорости и положения равную нулю. Минусом этой системы можно назвать время переходного процесса, которое увеличилось до 0,4 секунды. Однако эта величина не критична.

Таким образом можно сделать вывод, что исходная система управления успешно скорректирована.

4.2 Введение нелинейных элементов


В процессе реализации корректирующего устройства была получена линейная устойчивая система, которую теперь необходимо приблизить к реальной, путем введения нелинейных элементов. Таким элементом будет блок Saturation (Насыщение) в среде MATLAB Simulink. Блок Saturation (Насыщение) необходим для ограничения подаваемого на схему микроконтроллера напряжения (в пределах ±10В).

Рисунок 4.10- Модель схемы системы с корректирующим устройством после введения нелинейных элементов

Промоделировав систему и проанализировав переходный процесс можно сделать вывод, что блок насыщения растягивает переходный процесс во времени. Чтобы уменьшить этот эффект в систему установлен элемент сравнивающий сигнал до и после блока насыщения. Результирующее значение идёт на усилитель и возвращается обратно в систему перед интегратором. Это позволяет отработать остаточный сигнал, который обрезается элементом насыщения.

Установившееся значение ошибки системы близко к нулю с допустимой погрешностью, что видно из графиков, изображенных на рисунках 4.11 и 4.12.

Значение перерегулирования системы так же находится в заданном диапазоне.

Рисунок 4.11- График передаточной функции в канале ошибки при подаче единичного ступенчатого воздействия

Рисунок 4.12- График передаточной функции в канале ошибки при линейно возрастающего воздействия

Рисунок 4.13- График передаточной функции системы с нелинейным элементом

4.3 Анализ нелинейной системы с цифровым микроконтроллером


Реальная следящая радиолокационная система является дискретной системой и содержит в своей структуре цифровой микроконтроллер. Функциональная схема такого устройства показана на рисунке 4.13.

Рисунок 4.14 - Функциональная схема цифрового контроллера

На схеме приняты следующие обозначения:

–        - цифровой вычислитель;

–        - цифро-аналоговый преобразователь;

–        - аналоговый сигнал;

–        - кодовые слова на входе и выходе вычислителя;

–        - аналоговый сигнал;

5. ДИСКРЕТНАЯ РЕАЛИЗАЦИЯ СИСТЕМЫ УПРАВЛЕНИЯ

 

.1 Описание дискретной модели


Так как в системе задана частота следования отраженных от объекта импульсов, т. е. входной сигнал квантован по времени, то система относится к классу импульсных САУ. Период следования импульсов составляет . Структурная схема импульсной системы изображена на рисунке 5.2.

Рисунок 5.1 - Непрерывный и квантованный во времени сигналы

Рисунок 5.2- Структурная схема импульсной системы

На этом рисунке  - передаточная функция формирующего устройства (экстраполятор нулевого порядка),  - передаточная функция непрерывной части системы, а  - некий вычислительный алгоритм.

.

(5.1)


При дискретной реализации корректирующих устройств в схему моделирования вводится элемент задержки с передаточной функцией

.

(5.2)


Система сохраняет показатели качества в заданных пределах.

 

.2 Синтез вычислительного алгоритма


Определим  из соотношения

(5.3)


Следовательно,

.

(5.4)


Подставляя в это выражение известные значения коэффициентов времени, коэффициент усилительно-преобразовательных устройств, период квантования и преобразовывая его с помощью системы Mathcad, получим

.

(5.5)


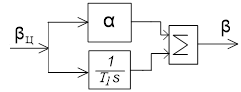
Для построения вычислительного алгоритма по функции  применим метод декомпозиции.

 где

(5.6)


Выразим отсюда функции

(5.7)


Структурная схема, реализующая этот алгоритм, изображена на рисунке 5.3.

Рисунок 5.3 -Структурная схема вычислительного алгоритма

ЗАКЛЮЧЕНИЕ

Изучена система управления мощного объекта. Произведен анализ системы. В ходе выполнения курсовой работы были получены следующие результаты:

1) По известной функциональной схеме была построена структурная схема. Был произведен математический расчет элементов, а также анализ устойчивости и точности исходной системы. По заданным требованиям точности определен желаемый коэффициент усиления =210,6. По критерию Гурвица определили, что система устойчива, однако время за которое система достигнет установившего значения 606с неприемлемо. Следовательно система требует коррекции.

2) Используя пакет прикладных программ был уточнен коэффициент . Рассчитано, что в переходном режиме основные показатели не удовлетворяют заданным требованиям, а именно: ошибка (), время регулирование().

) Рассмотрен вариант коррекции: с помощью регулятора опережения и отставания по фазе и с помощью ПИ регулятора. Рассчитаны параметры регуляторов. Компьютерные исследования показали, что регулятора опережения и отставания по фазе недостаточно для требуемой работы системы, потому был введён ПИ регулятор. С точки зрения программной реализации на контролере, коррекция с помощью ПИ регулятора предпочтительнее. Для системы перерегулирование (;), время регулирование () и ошибка ( = 0 угл. мин.).

СПИСОК ИСТОЧНИКОВ


1. Антипова М.А., Доманов А.Т. Теория автоматического управления: Учебно-методическое пособие по курсовому проектированию. - Мн.: БГУИР, 2004. - 54 с.

. Конспект лекций по практическим занятиям по курсу ТАУ/А.Т.Доманов.-БГУИР,2008

. Конспект лекций по дисциплине «Теория автоматического управления»/С.В.Лукьянец.-БГУИР,2008

. Доманов А.Т., Н.И.Сорока. Стандарт предприятия. Общие требования. - Мн.:БГУИР,2010.-170с.

Похожие работы на - Электромеханическая система управления мощного объекта

 

Не нашли материал для своей работы?
Поможем написать уникальную работу
Без плагиата!
Без нейросетей!