Частотные характеристики динамических звеньев
МИНОБРНАУКИ
РОССИИ
Федеральное
государственное бюджетное образовательное учреждение высшего образования
«Тверской
государственный технический университет»
Лабораторная
работа
по
дисциплине: “Теория автоматического управления”(ТАУ)
на тему:
«Частотные характеристики динамических звеньев»
Выполнил:
Студент группы
УТС 13.01
Мякатин И.Д
Тверь 2016
Цель работы:
Изучить и освоить навыки построения частотных
характеристик типовых динамических звеньев.
Частотные характеристики звеньев.
Частотными характеристиками называются
зависимости, связывающие амплитуду и фазу выходного сигнала с частотой входного
сигнала. Основным преимуществом частотных характеристик является возможность
использования как расчетных, так и экспериментальных характеристик разомкнутой
системы для определения ее качества после замыкания цепи обратной связи.
При подаче на вход системы синусоидального
входного воздействия
на выходе установится гармонический процесс с
амплитудой Ay и фазой, сдвинутой
относительно фазы входного сигнала на угол φ:
Амплитуда и фаза на выходе при
прочих равных условиях будут зависеть от частоты возмущающего воздействия. По
этим характеристикам можно судить о динамических свойствах звеньев и систем.
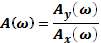
Величина 
называется амплитудной частотной
характеристикой (АЧХ), а зависимость фазового сдвига φ(ω) между
входным и выходным сигналами от частоты называется фазовой частотной
характеристикой (ФЧХ) системы .
Частотная передаточная функция легко
получается из обычной передаточной функции подстановкой s=jω. Частотная
передаточная функция звена есть изображение Фурье его функции веса, т.е имеет
место интегральное преобразование:
Частотная передаточная функция может
быть представлена в следующем виде:
где функцию U(ω) называют
вещественной частотной характеристикой, а функцию V(ω) - мнимой
частотной характеристикой.
Амплитудно-фазовую характеристику
(АФХ) системы можно построить, откладывая на комплексной плоскости для каждой
частоты ω фазовый
сдвиг φ(ω) от
действительной положительной полуоси и амплитуду A(ω) на луче,
проведенном из начала координат. Определение АЧХ и ФЧХ можно производить по
формулам:

, 
Для удобства анализа и синтеза
систем автоматического регулирования используются также логарифмические
амплитудные частотные (ЛАЧХ) и фазовые частотные (ЛФЧХ) характеристики. При
построении ЛАЧХ по оси ординат откладывают величину 
. Эта величина выражается в
децибелах.
Код программы:
clearalls tw real1=2
T1=1=0.6=(0:0.1:60);('Выберите
звено:1-Усилительное,
2-Колебательное,3-Интегродифференцирующее')('4-Инерционное 1
порядка,5-Инерционное 2 порядка, 6-Идеальное интегрирующее,7-Реальное
интегрирующее')=input('8-Идеальное дифференцирующее,9-Реальное
дифференцирующее,10-ПИД-регулятор, 11-ПИ, 12-ПД, 13-ИПС :')
switch zveno0 %при
помощи
freqs=tf([2 3 5],[1 2 3 4])1=tf(6)2=(0:0.01:10);=0.5=2=1=tf(K,[Tk*Tk 2*dzet*Tk
1]) 3=tf(K1*[T1 1],[T2 1])4=(0:0.05:10);=1=2=tf(K,[Tk
1])5=(0:0.01:10);=1,5=1=1=tf(K,[Tk*Tk 2*dzet*Tk 1]) 6=1=tf(K,[1
0])7=2=1=tf(K,[Tk 1 0])8=2=tf([K 0],1)9=(0.01:0.01:0.3:0.1:30);=2=1=tf([K
0],[Tk 1])10=1=2=0.5=tf([K2 K1 K0],[0 1 0])11=1=2=tf([K1 K0],[1
0])12=2=0.5=tf([K2 K1],1)13=tf(2,[8 6 1],'InputDelay',5)=(0:0.01:30);
[num,den]= tfdata(W,'v');zveno==0
=freqs(num,den,x);=real(Wjw);V=imag(Wjw);
figure(U,V);('Амплитудно-фазовая характеристика
системы')
xlabel('U(\omega)'); ('V(\omega)');
on=abs(Wjw); (x,ampl)('Амплитудно-частотная характеристика
системы')
xlabel('\omega'); ('A(\omega)');on=
unwrap(angle(Wjw));; (x,phase*180/pi);
title('Фазо-частотная характеристика системы')
xlabel('\omega');('\psi (\omega)');
on(W)on=poly2sym(num,s);=poly2sym(den,s);=subs(nums,s,1i*w);=subs(dens,s,1i*w);=real(numjw);=imag(numjw);=real(denjw);=imag(denjw);=(A*C+B*D)/(C*C+D*D);=((B*C-A*D)/(C*C+D*D));=(V/U);=simplify(sqrt((U*U)+(V*V)))=subs(Amp,w,x);(x,Amp,'b')
title('Амплитудно-частотная характеристика
(АЧХ)','Color','r')('Частота'); ylabel('Амплитуда');on
if zveno==7 ||
zveno==6=subs(atan(VU)-pi,w,x);(zveno==2) || (zveno==5 ) || (zveno==13)
[num1,den1]=numden(VU);=strcat(char(den1),'=0');=sym2poly(solve(eq))=0;=0;i=1:length(wq)wq(i)>0=k+1;(k)=wq(i);
=atan(VU);=-pi/2-atan(1/VU);i=1:length(x)x<wk(i)=subs(f1,w,x(i));(i)=subs(fi1,w,x(i));=subs(atan(VU),w,x);(x,fi*180/pi,'b')
title('Фазо-частотная характеристика
(ФЧХ)','Color','r')('Частота'); ylabel('Фаза');on
figure(subs(U,w,x),subs(V,w,x),'b')
title('Амплитудно-фазовая частотная
характеристика (АФЧХ)','Color','r')
xlabel('U(\omega)');
ylabel('V(\omega)');on
% [Gm,Pm,Wg,Wp]=margin(W)(W);('ЛАЧХ','Color','r');
grid on
Полученные результаты:
. Усилительное звено
Рис. 1
.
Инерционное звено 1-ого порядка



Рис. 2
3. Инерционное звено 2-ого порядка.


Рис. 3
. Инерционное звено 2-го порядка с
запаздыванием



Рис. 4
. Колебательное звено
Результаты, полученные в среде Matlab:
Результаты, полученные аналитически:
Подставляя jω
в передаточную функцию звена вместо комплексной переменной s,
получаем частотную передаточную функцию в виде:
Чтобы избавиться от комплексного числа в
знаменателе умножим выражение на сопряженное:
Получаем:
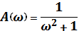
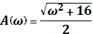
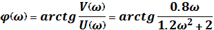
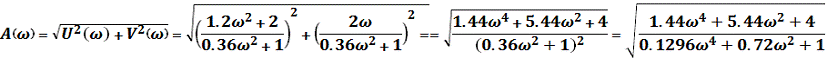
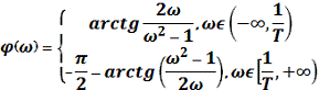
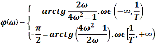
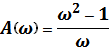
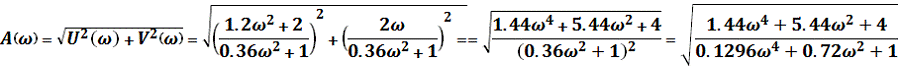
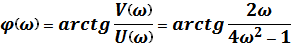
Определим АЧХ и АФХ следующим образом


Рис. 5
. Интегро-дифференцирующее звено
Результаты, полученные в среде Matlab:
Результаты, полученные аналитически:
Подставляя jω
в передаточную функцию звена вместо комплексной переменной s,
получаем частотную передаточную функцию в виде:
Чтобы избавиться от комплексного числа в
знаменателе умножим выражение на сопряженное:
Получаем:
Определим АЧХ и АФХ следующим образом

Рис. 6
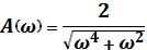
. Идеальное интегрирующее звено
амплитудный фазовый частотный звено


Рис. 7
. Реальное интегрирующее звено
. Идеальное дифференцирующее звено


Рис. 8


Рис. 9
.
Реальное дифференцирующее звено


Рис. 10


Рис. 11
. ПИ-регулятор

Рис. 12
. ПД-регулятор


Рис. 13
Списоклитературы
1. Марголис, Б.И. Компьютерные
методы анализа и синтеза систем автоматического регулирования в среде Matlab
/ Б.И.Марголис. - Учеб. Пособие для вузов. - Тверь: изд-во ТвГТУ, 2015.-92 с.
2. Бесекерский В.А. Теория систем
автоматического регулирования / В.А. Бесекерский, Е.П. Попов. -
Москва: издательство “Наука”, 1975.-768 с.