Расчет футеровки металлургического агрегата
Министерство образования и науки РФ
Федеральное агентство по образованию
Государственное образовательное
учреждение
Высшего профессионального образования
Череповецкий государственный
университет
Инженерно-технический институт
Кафедра металлургии, машиностроения и
технологического оборудования
Дисциплина: Огнеупоры в металлургии
КУРСОВОЙ ПРОЕКТ
«расчет футеровки металлургического
агрегата»
Выполнила
студент:
группы 3 мозс
413
Попов О. А.
Проверил
преподаватель:
Степанов А.Т.
г. Череповец, 2014 уч.год
Содержание
Введение
. Расчет размеров футеровки
.1 Расчет толщины кладки
. Расчет температуры на стыке слоев
.1 Расчет теплопроводности для каждого слоя
.2 График зависимости температуры стыков
. Графическая часть
.1 Схема футеровки воздухонагревателя
Литература
Введение
Доменная печь - металлургический агрегат непрерывного действия, шахтного
типа для выплавки чугуна из железорудных материалов (агломерата, окатышей,
железной руды) с использованием твердого топлива - кокса (рис.1). Весь комплекс
сложных взаимосвязанных явлений доменного процесса осуществляется в условиях
противотока: шихтовые материалы опускаются вниз, а горячие газы движутся снизу
вверх. Гарантией нормальной работы печи является надежное и эффективно
работающее оборудование, обеспечивающее непрерывность работы агрегата,
безопасность и легкость его обслуживания. При выборе режима работы оборудования
исходят из технологических требований процесса ведения печи. Мощность
оборудования, а на некоторых участках и его количество определяются с учетом
резерва от 50 до 100%. Современная печь оснащена новейшими средствами контроля
за ходом доменного процесса, механизации и автоматизации всех производственных
процессов. Работа на такой печи предъявляет высокие требования к
технологическому персоналу в части теоретических знаний, практического опыта и
умения, ответственности и самостоятельности в принятии решений по управлению
таким сложнейшим агрегатом.
Внутреннее очертание рабочего пространства печи в вертикальном осевом
сечении - это ее профиль. Он имеет сложную конфигурацию, обусловленную
характером различных физико-химических процессов, протекающих на различных
уровнях по высоте.
Колошник - самая верхняя часть рабочего пространства. Он предназначен для
приема шихты и формирования заданной структуры столба с целью управления
распределением газового потока по сечению печи. Эта цель достигается лучшим
образом, если колошник имеет форму цилиндра. Диаметр его, конечно, зависит от
объема печи, а вот высота практически не зависит от объема и составляет
2,8-3,0м.
Шахта - наибольшая по высоте и объему часть рабочего пространства. В
верхней ее части шихтовые материалы находятся в состоянии, близком к исходному,
а в нижней части, - нагреты до температуры, при которых начинается расплавление
железорудных материалов с образованием первичных чугуна и шлака. Следовательно,
помимо нагрева, железорудные материалы претерпевают сложнейшие
физико-химические превращения. В результате термического расширения и
структурных преобразований объем шихтовых материалов увеличивается. Чтобы
избежать кострения шихты из-за увеличения бокового давления на стенки печи,
шахта печи выполняется в виде усеченного конуса, расширенного к низу. Такая
форма шахты соответствует и изменению объема газового потока по ходу его
движения вверх.
Распар - самая широкая часть печи. Здесь начинается размягчение и
плавление железорудных материалов. При работе печи на подготовленной шихте зона
размягчения и плавления имеет ограниченную высоту, что и предопределяет высоту
распара: 1,7-2,0 м независимо от объема печи.
Рис. 1. Общий вид доменной печи (разрез).
- чугунная
летка; 2 - горн; 3 - заплечики; 4 - распар; 5 - шахта; 6 - колошник; 7 - засыпной аппарат; 8 - зона
образования чугуна; 9 - зона образования шлака; 10 - зоны горения кокса; 11 - слой шлака;
12 - шлаковая летка; 13 - слой чугуна .
Заплечики - выполняются в виде усеченного конуса, суженного к низу. Это
соответствует изменению объема шихты: после расплавления преобразованных
железорудных материалов в распаре объем кусковых материалов уменьшается
примерно в 2 раза. Заплечики заполнены только коксом, представляющим собой так
называемую верхнюю коксовую насадку, через которую фильтруются чугун и шлак,
стекая в горн печи.
Высота заплечиков определяется, главным образом, конфигурацией и
протяженностью окислительных зон, в которых сгорает кокс и вдуваемое через
воздушные фурмы дополнительное топливо. Для печей разного объема высота
заплечиков изменяется от 3,2 до 3,7м. Конфигурация заплечиков соответствует
также изменению объема восходящего газового потока: несмотря на снижение его
температуры, объем газа может возрастать за счет газообразных продуктов прямого
восстановления железа, кремния и других элементов в зоне высоких температур.
Горн - самая нижняя часть рабочего пространства печи, работающий в
наиболее тяжелых условиях. Горн имеет цилиндрическую форму и делится на
металлоприемник и фурменную зону. В металлоприемнике накапливаются жидкие
продукты плавки, - чугун и шлак; здесь же расположены чугунные и шлаковые
летки. При малом удельном выходе шлака (менее 300кг/т чугуна) необходимость в
шлаковых летках отпадает, а весь шлак выпускается из печи вместе с чугуном
через чугунные летки. Подину металлоприемника называют лещадью. Часть
металлоприемника от лещади до оси чугунных леток (h) называют зумпфом. Эта часть горна постоянно заполнена
чугуном, образующим так называемый ”мертвый слой”. Это делают для предохранения
лещади от воздействия высоких и переменных температур и механического вымывания
ее кладки чугуном. Высота мертвого слоя составляет 1,1-1,5м (без учета разгара
лещади).
В фурменной зоне, в самой верхней части горна, по всей его окружности,
расположены воздушные фурмы для подачи дутья и вдуваемого топлива.
Кожух воспринимает внутреннее давление, обусловленное массой кладки и
воздействием газов, шихты, жидкого чугуна, создает герметичность печи,
воспринимает в той или иной мере и внешние нагрузки, зависящие от массы
колошникового устройства, наклонного моста, газоотводных труб, действия ветра и
др. Кожух является одной из самых ответственных ее конструкций.
При температурах кожуха, соответствующих нормальным условиям эксплуатации
(60-100ºС) эти нагрузки не опасны. Но в
случае перегрева кожуха или местного его разрушения он может потерять несущую
способность, что нарушает нормальный режим работы печи, а порой приводит к
аварийным остановкам. Увеличение объема печей, повышение давления газа на
колошнике и другие методы интенсификации доменной плавки ужесточают требования
к качеству металла для изготовления кожуха. Начиная с 1949г. в России строили
только цельносварные доменные печи, что позволило снизить массу
металлоконструкций на 10-12% по сравнению с клепаными печами, значительно
повысить газоплотность и безопасность эксплуатации.
Кожух современных доменных печей представляет собой сварную конструкцию,
состоящую из конических и цилиндрических поясов (царг), изготовленных из
низколегированных марок листовой стали 14Г2, 16Г2АФ, 10Г2С1 и др.,
характеризующихся высокой ударной вязкостью и прочностью, достаточной
пластичностью и термостойкостью. На доменной печи объемом 3200м³
толщина кожуха
составляет 40-50мм в лещади, 50мм - в горне, заплечиках и распаре, 30-40мм - в
шахте, колошнике и куполе. В нижней части печи кожух доходит до подошвы
фундамента, закрывая весь пень. Между плитами охлаждения лещади снизу и кладкой
лещади устанавливается так называемое донышко печи, которое приваривается к
цилиндрическому поясу лещади. В верхней части кожух заканчивается литым
стальным колошниковым фланцем, являющимся опорой для засыпного аппарата.
Одним из резервов повышения эффективности доменного производства является
сокращение простоев доменных печей в связи с разработкой и применением более
совершенных конструктивных форм и свойств материалов футеровки и кожуха.
Причинами остановки доменных печей на капитальные ремонты является разгар
кладки, износ оборудования, кожуха, моральный износ. В свою очередь разгар
кладки, износ кожуха и оборудования зависят от конструкции и материала, степени
интенсивности технологических процессов.
Конструкции доменных печей работают в условиях воздействия высоких и
неравномерных температур, давления газа, жидкого чугуна, химических воздействий
продуктов плавки и др. В работающей доменной печи происходит непрерывное
движение двух потоков: твердые шихтовые материалы (агломерат, окатыши, кокс,
флюсовые материалы) медленно опускаются и постепенно нагреваются; печные газы,
образующиеся в фурменной зоне при горении кокса и вдуваемого топлива, с большой
скоростью движутся вверх, температура их при этом снижается с 1800-2000 до
150-200ºС. Газовый поток неравномерно
распределяется по сечению печи. Чугун и шлак, образовавшиеся в распаре печи
стекают вниз между кусками кокса коксовой насадки, омывая и стенки печи.
В
фурменной зоне горна происходит горение кокса и вдуваемого топлива,
распространяющееся в глубь печи (к центру) примерно на 1,5
2,0м. Эта область характеризуется наивысшей
температурой: теоретическая температура горения достигает 2100
2200°С. В печи большого объема одновременно находится
около 3000т сырых материалов и до 1500т продуктов платки.
Температура
кладки шахты печи изменяется от 1200
до 300
400°С в верхней части. В порах кладки могут
накапливаться сажистый углерод и цинк, способствующие ”росту” кладки. В
результате механического, термического и химического воздействия кладка шахты
разрушается, что приводит к местным перегревам кожуха и нарушает нормальный ход
печи. Износ кладки резко возрастает при неравномерном сходе шихтовых
материалов.
Особенно
большие нагрузки приходятся на кладку горна и лещади. Кладка лещади постоянно
находится под воздействием неравномерного нагрева (при длительных остановках
печи) и ферростатического давления чугуна. Жидкий чугун проникает в швы между
блоками кладки, вызывая их пластическую деформацию, в результате чего кладка
лещади и стенок горна быстро разрушается.
Перечисленные
характерные особенности работы доменной печи предъявляют повышенные требования
к конструкции огнеупорной кладки, свойствам огнеупорных материалов, величине
зазоров между кожухом и кладкой, материалам их заполнения, конструкции кожуха и
холодильников.
Огнеупоры
- материалы и изделия, изготавливаемые преимущественно из минерального сырья,
обладающие огнеупорностью (способностью противостоять высоким температурам,
сохраняя форму и размеры) и выдерживающие при высокой температуре строительную
нагрузку. Огнеупоры делят на изделия, имеющие определенную форму (кирпичи,
блоки, фасонные изделия) и неформованные материалы (порошки, массы, смеси и
др.). По действующим стандартам установлены несколько основных
классификационных признаков огнеупорных изделий:
химико-минеральный
состав (кремнеземистые, алюмосиликатные, магнезиальные, магнезиальноизвестковые,
углеродистые, карбидкремниевые, окисные и т.д.);
огнеупорность
(огнеупорные от 1580 до 1770ºС,
высокоогнеупорные от 1770 до 2000ºС и высшей огнеупорности свыше 2000ºС);
пористость
(особоплотные, до 3%; высокоплотные, 3
10%;
легковесные, 45
85%);
температура
начала деформации под нагрузкой 2кг/см² (1450
1700ºС);
дополнительная
усадка при температурах от 1350 до 1600ºС (<1,0%);
предел
прочности при сжатии (от 400 до 700кг/см²);
термическая
стойкость (количество теплосмен выдерживаемых образцом до потери веса 20% при
одностороннем нагреве образцов до температуры 1300ºС и охлаждении в воде);
формы
и размеры огнеупорных изделий;
теплопроводность
(количество тепла, проходящего в 1ч через стенку, поверхность которой 1м² при разностях температур на поверхностях стенок 1ºС);
теплоемкость
(количество тепла, необходимое для нагрева 1кг вещества на 1ºС);
способ
формования и другие характеристики.
Шамотные
огнеупоры относятся к наиболее распространенному виду алюмосиликатных
огнеупоров. Они изготавливаются из огнеупорных глин и каолинов (2SiO2·Al2O3),
содержат до 45 % Al2O3 и имеют огнеупорность 1000-1750ºС. Характерным для шамотных огнеупоров является
приближение их по химическим свойствам к нейтральным материалам. Поэтому
шамотные материалы могут служить в условиях воздействия на них как основных,
так и кислых шлаков и иметь довольно хорошую термостойкость в зависимости от
технологии изготовления, обеспечивающей получение той или иной структуры.
Диапазон свойств шамотных огнеупоров весьма широк и применяются для футеровки
агрегатов самого различного назначения. В доменных печах большого объема для
кладки горна, заплечиков, распара, шахты и колошника применяют каолиновые
шамотные плотные огнеупоры с содержанием Al2O3 не
менее 42% и пористостью 8-12%, а также высокоглиноземистые материалы.
Футеровка
предназначена для сохранения рабочего пространства печи и защиты холодильников
и кожуха от разрушения на относительно длительный период времени. В современной
печи кожух, закрепленные к нему холодильники и примыкающая к ним огнеупорная
кладка составляют единую взаимосвязанную систему, определяющую долговечность
работы печи. Повреждение одного из элементов этой системы приводит к разрушению
двух других и остановки доменной печи на капитальные ремонты.
Кладку толстостенного распара и охлаждаемой части
шахты печи выполняют из шамотных изделий на шамотноглинистом растворе или из
карбидкремниевых изделий на карбид-кремниево-глинистом растворе.
Толщина швов не должна превышать 1,0мм в распаре и
1,5мм в шахте.
В доменных печах с самонесущим кожухом (без
мараторного кольца шахты) с рядом горизонтальных холодильников, устанавливаемых
между периферийными плитовыми холодильниками заплечиков и распара (рис.2) нижнюю
часть кладки распара толщиной 375мм ведут с поверхности, образованной последним
рядом кладки заплечиков на высоту горизонтального холодильника распара. Кладка
распара выше горизонтального холодильника выполняется толщиной 690мм (2
345мм и 3
230мм)
с перевязкой радиальных и кольцевых швов.
При наличии мараторного кольца в конструкции кожуха
печи (рис.3) поверхность маратора до кладки толстостенного распара выравнивают
слоем шамотно-глинистой массы, которую тщательно утрамбовывают.

Между периферийными плитовыми холодильниками и кладкой распара,
охлаждаемой части шахты, оставляют зазор 90-100мм, забиваемый измельченной
(0-10мм) холодной углеродистой массой. Точно такая же конструкция футеровки
выполняется и при охлаждении шахты комбинированными холодильниками, состоящими
из вертикальных периферийных и горизонтальных холодильников.
При охлаждении футеровки горизонтальными холодильниками между
кожухом и кладкой распара и охлаждаемой части шахты оставляется зазор 150-200мм, заполняемый
шамотно-асбестовой или шлако-асбестовой массой.
Кладку неохлаждаемой части шахты
(рис. 5) выполняют из плотных шамотных изделий на
шамотно-глинисто-цементном растворе с толщиной швов 2мм. Толщина кладки 805мм
(345+2
230). Между кладкой и кожухом оставляют зазор
150-200мм, заполняемый шамотно-асбестовой или шлако-асбестовой массой, которую
увлажняют и утрамбовывают. Для доменных печей, работающих на цинкосодержащих
рудных материалах, зазор увеличивается до 200-300мм. И заполняется асбестовой
массой с трамбованием.
Через каждые 1-1,5м в зазор на всю ширину зазора
укладываются асбестосмоляные блоки толщиной 100-150мм. Кладку шахты заканчивают
на 200-300мм, а при работе на цинкосодержащих рудных материалах на 300-400мм
ниже футеровочных плит колошника. Этот зазор забивают плотно утрамбованной
глинистоасбестовой массой.
В отечественной и зарубежной практике футеровки
доменных печей успешно применяется футеровка шахты наливными огнеупорными
самотвердеющими массами, а также методом послойной укладки огнеупорной
алюмосиликатной торкретмассы общей толщиной 300-400мм.
Расчетная
часть
Исходные
данные:
Агрегат
- доменная печь объемом 3300м3 - распар;
Количество
слоев футеровки - 2;
Тип
применяемых огнеупоров - шамот;
Температура
кожуха - 200оС.
.
Расчет размеров футеровки
.1
Расчет толщины кладки
(1)
Где:
g - тепловой
поток на 1м3 поверхности, Вт/м2
g- 4454 Вт/м2
(справочные данные)
.2
Расчет теплопроводности футеровки из шамота
(2)
.3 Нахождение средней температуры футеровки
(3)
(973К) - для нижней части распара;
(1023К) - для верхней части распара;
- для нижней части распара;
- для верхней части распара;
Где g - тепловой поток на 1м2
поверхности, ВТ/м2 (4454Вт/м2 -справ. дан.)
Твнеш., Твнутр. - температуры внешней и внутренней поверхности футеровки,
оС
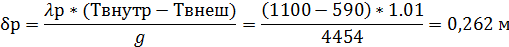
Выразим толщину футеровки
;
Для кладки теплоизоляционного слоя применяют кирпичи длинной 230-460мм,
примем толщину теплоизоляционного слоя равную 230 мм (по толщине одной длины
кирпича).
Тогда толщина рабочего слоя равна:
мм;
. Расчет температуры на стыке слоев
Для определения температуры на стыке теплоизоляционного и рабочего слоев
используем графический метод.
.1 Определим теплопроводность для каждого слоя футеровки
.2 Построим график зависимости температуры от величины
График
1. Зависимость температуры от величины
Исходя
из графика находим температуру на стыке слоев равной
.3
Проводим уточняющий расчет толщины рабочего и теплоизоляционного слоев
. Схема футеровки агрегата
футеровка температура доменный печь
Рис. 6 Схема футеровки распара доменной печи
(1 - рабочий слой, 2 - теплоизоляционный слой, 3 - рабочее пространство
доменной печи)
Список литературы
1) Машины
и агрегаты металлургических заводов (Целиков А.И., Полухин В.И.)
) Проектирование
и оборудование доменных цехов (Титов В.Н.)
) Конструкции
доменных печей (Дудина В.А.)
) Металлургия
чугуна (Вегман Е. Ф.)