Расчет термодинамического цикла теплового двигателя
Содержание
Задание
Расчет
термодинамического цикла теплового двигателя
Изображение
цикла в координатах P
‒
v
Изображение
цикла в координатах T
‒
s
Исследование
влияния
и
на
,
и
,
при c = const
Список
литературы
Задание
. Выполнить расчет термодинамического
цикла теплового двигателя.
а) Определить значения параметров
,
,
T во всех
характерных точках (А; С; Z;
B), а также
термический КПД, удельную работу и среднее теоретическое давление цикла,
полагая, что рабочим телом является воздух.
Расчет выполнить для случая, когда теплоемкость
рабочего тела постоянна c
= const.
б) Изобразить цикл с соблюдением выбранного
масштаба в координатах
‒
и T ‒
s для случая, когда
теплоемкость принята постоянной.
. Исследовать при постоянной теплоемкости
рабочего тела влияния
и
на
,
и
,
для чего определить указанные характеристики цикла еще не менее чем для трех
значений
при
двух дополнительных значениях
, отличных от
заданного.
Результаты подсчета свести в таблицы и построить
графики зависимостей
,
,
.
На основании анализа графиков сделать выводы о
взаимном влиянии параметров.
Исходные данные для расчета термодинамического
цикла теплового двигателя выбраны соответственно шифру 676767.
|
Таблица
исходных данных
|
|
,
105 Па
|
,°С
|
|
|
|
,
кДж/кг
|
|
0,94
|
17
|
6,5
|
1,10
|
1,20
|
1550
|
Расчет термодинамического цикла теплового
двигателя
термодинамический цикл тепловой двигатель
Определяем параметры характерных точек цикла.
Точка А.
По заданию:
Па;
Удельный объем рабочего тела находим по
уравнению состояния:
Для воздуха удельная газовая постоянная R=287
Дж/(кг·К), а поэтому
Точка С. Точкой С завершается адиабатное сжатие
и в данной точке определяются, исходя из уравнения адиабатного процесса
,
а также степень сжатия
.
или
;
Проверка подтвердила верность вычислений.
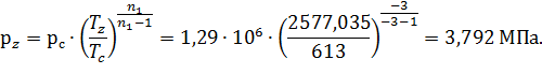
в) Точка Z.
По формуле
определяем показатель политропы CZ,
по которой подводится теплота
, причем
Так как по заданию
,
то теплоемкость процесса CZ
будет равна
. Учитывая, что
получим
Температура в точке Z
будет равна с учетом того, что
, а также
(из
определения теплоемкости
)
или
Давление и удельный объем в точке Z
определяем по уравнениям политропного процесса, а именно:
Делаем проверку:
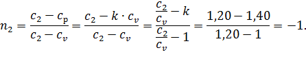
г) Точка В.
Определяем показатель политропы ВА, по которой
отводится тепло, причем
Так как по заданию
,
то теплоемкость политропного процесса ВА будет равна:
Температуру в точке В определим по формуле для
термодинамического цикла:
или
Давление и удельный объем в точке В находим по
формулам, связывающим параметры в политропном процессе:

Определяем количество теплоты
,
отводимой в процессе ВА:
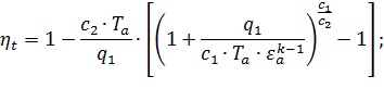
Определяем термический КПД исследуемого цикла
при c = const
по формуле:
Делаем проверку:
Проверка подтвердила правильность вычислений.
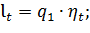
Полезная работа за цикл будет равна:
Делаем проверку:
Определяем среднее теоретическое давление за
цикл.
Так как в нашем случае
,
,
то среднее теоретическое давление за цикл будет равно:
Изображение цикла в координатах P
‒
v
Для построения цикла в координатах P
‒
v известны параметры
характерных точек A, C,
Z, B.
Вычисляем параметры дополнительных точек.
Результаты подсчета представляем в виде таблиц.
В таблице №1 приведен подсчет координат точек
для цикла, осуществляемого при c
= const.
Таблица №1
|
Процесс
|
Точки
на линии процесса
|
Давление,
бар
|
Удельный
объем, м3/кг
|
|
Адиабата
АС
|
A
|
0,94
|
0,885
|
|
C
|
12,9
|
0,136
|
|
1
|
|
|
|
2
|
|
|
|
3
|
|
|
|
Политропа
CZ
|
C
|
12,9
|
0,136
|
|
Z
|
37,92
|
0,195
|
|
1
|
|
|
|
2
|
16,91
|
|
|
3
|
28,97
|
0,178
|
|
Адиабата
ZB
|
Z
|
37,92
|
0,195
|
|
B
|
1,815
|
1,709
|
|
1
|
=
|
|
|
2
|
=
|

|
=
|
|
|
Политропа
BA
|
B
|
1,815
|
1,709
|
|
A
|
0,94
|
0,885
|
|
1
|
|
|
|
2
|
|
|
|
3
|
|
|
Изображение цикла в координатах T
‒
s
Строить изображение цикла в координатных осях T
‒
s начинаем с
построения точка А так, чтобы ордината ее с учетом принятого масштаба равнялась
,
а абсцисса - некоторой произвольной величине
.
Далее на вертикальной прямой, проходящей через точку А, отмечается точка С,
соответствующая окончанию процесса адиабатного сжатия. После этого определяем
координаты промежуточных точек политроп CZ
и BA, по которым
подводится и отводится теплота, для чего используем формулу:
Результаты расчета при c
= const занесены в
таблицу. При этом для политропного подвода теплоты CZ
ранее получили
, а для
политропного отвода теплоты ВА соответственно
Таблица №2
|
Участок
политропы
|
|
|
|
|
|
Политропа
CZ
|
|
C-1
|
613
|
250
|
863
|
0,2699
|
|
1-2
|
863
|
250
|
1113
|
0,2007
|
|
2-3
|
1113
|
250
|
1363
|
0,1599
|
|
3-4
|
1363
|
250
|
1613
|
0,1329
|
|
4-5
|
1613
|
250
|
1863
|
0,1137
|
|
5-Z
|
1863
|
713,8898
|
2577,035
|
0,2560
|
|
|
1,1332
|
|
Политропа
ВА
|
|
А-1
|
290
|
250
|
640
|
0,5352
|
|
1-2
|
540
|
250
|
0,3275
|
|
2-3
|
790
|
250
|
1340
|
0,2367
|
|
3-В
|
1040
|
41,4138
|
1081,414
|
0,0336
|
|
|
1,1332
|
Изменение энтропии за процесс CZ
составляет
, а за процесс ВА ‒
.
Так как расхождение близко к нулю, то можно
считать, что расчет выполнен правильно.
Исследование влияния
и
на
,
и
Величины
,
и
при
заданных заданием значениях
и
определены
выше и соответственно равны:
,
,
Принимаем дополнительно
,
и
определяем показатели цикла, когда
;
;
;
,
сохраняя при этом исходные значения
,
,
,
.
Результаты расчета сводим в таблицу.
Таблица №3
|
|
Определяемые
величины и расчетные формулы
|
Принятые
значения
|
|
|
4,5
|
5,5
|
6,5
|
7,5
|
8,5
|
|
1250
|
|
0,489
|
0,527
|
0,556
|
0,579
|
0,599
|
|
|
611,455
|
658,643
|
695,302
|
724,924
|
749,558
|
|
|
0,689
|
0,613
|
0,749
|
0,767
|
0,781
|
|
|
8,161
|
8,791
|
9,281
|
9,676
|
10,005
|
|
1550
|
|
0,494
|
0,531
|
0,560
|
0,584
|
0,603
|
|
|
766,023
|
823,742
|
868,593
|
904,843
|
934,994
|
|
|
0,689
|
0,613
|
0,749
|
0,781
|
|
|
10,224
|
10,995
|
11,594
|
12,077
|
12,479
|
|
1850
|
|
0,499
|
0,535
|
0,564
|
0,587
|
0,606
|
|
|
922,434
|
990,520
|
1043,438
|
1086,214
|
1121,798
|
|
|
0,689
|
0,613
|
0,749
|
0,767
|
0,781
|
|
|
12,312
|
13,221
|
13,927
|
14,498
|
14,973
|
Где
По данным таблицы №3 строим графики.
Анализ этих графиков показывает, что для
исследованного цикла термический КПД существенно увеличивается с уменьшением
значения
.
Повышение
тоже способствует
увеличению термического КПД. При увеличении
и
,
также происходит увеличение значений
и
.
Список литературы
1. Теплотехника:
курс лекций / Иванов А. Л.
. Техническая
термодинамика: учебное пособие для вузов / А. П. Баскаков и др. - 2-е издание,
перераб. - М: Энергоатомиздат, 1991. - 224 с.
. Расчетно-графическое
исследование термодинамических циклов газовых двигателей: учебное пособие / Н.
И. Корабельщиков - Новосибирск: Новосибирский инженерно-строительный институт
имени В. В. Куйбышева, 1977. - 79 с.
. Теплотехника:
учебник для вузов / В. А. Кудинов, Э. М. Картошов. - 4-е издание, стер. - М:
Высшая школа, 2005. - 261 с.