Основные положения бонитировки почв
СОДЕРЖАНИЕ
Введение
Основные положения
бонитировки почв
. Расчет
баллов бонитета почв по диагностическим признакам почв
. Определение
среднегеометрического почвенного балла
. Определение
общего балла агропроизводственной группы
. Определение
степени корреляции совокупного почвенного балла с урожайностью
сельскохозяйственных культур по 10-ти землепользованиям
Заключение
Список используемой
литературы
Приложения
ВВЕДЕНИЕ
Бонитировка почв это сравнительная оценка
естественного плодородия почв, их группировка по природным диагностическим
свойствам, влияющих на урожайность сельскохозяйственных культур, при
сопоставимых уровнях агротехники и интенсивности земледелия.
Бонитировку почв проводят по основным свойствам
почв, коррелирующийся со средней многолетней урожайностью сельскохозяйственных
культур на них. Сопоставимость агроклиматических условий и интенсивности
земледелия достигаются путем природно-сельскохозяйственного зонирования
территории с выделением сравнительно однородных зон (земельно-оценочных районов).
По этим зонам разрабатывают шкалы бонитировки почв служащие основой при оценке
земель.
Бонитировка почв позволяет учитывать качество
почв по их плодородию в относительных единицах - баллах. Именно поэтому при
бонитировке почв выделяют относительные достоинства почв, определяя, во сколько
раз данная почва лучше/хуже другой по свойствам и урожайности.
Для проведения бонитировочных работ необходимо
подробное изучение всех свойств почв, сведений о структуре почвенного покрова
территории, многолетних данных по урожайности сельскохозяйственных культур.
Целью курсовой работы является закрепление
теоретических знаний и приобретение практических навыков по бонитировке почв на
основе самостоятельного изучения и обобщения нормативно-законодательных актов,
специальной литературы, проведения расчётов по определению баллов бонитета по
свойствам почв и в целом по агропроизводственными группам почв
сельскохозяйственных предприятий.
Актуальность данной темы обусловлена тем, что в
системе земельного кадастра бонитировка почв играет важную роль, так как служит
научной основой рационального и высокоинтенсивного использования земельных
ресурсов, направленного на повышение почвенного плодородия и урожайности с.-х.
культур.
Основные
положения бонитировки почв
Оценка земель является
составной частью земельного кадастра и предусматривает получение необходимых и
достоверных сведений о производительной способности сельскохозяйственных
угодий.
Бонитировка почв - это оценка
почвенного плодородия на основании естественных свойств почв, наиболее важных
для роста и развития растений.
В системе земельного кадастра
бонитировка почв является естественнонаучной основой экономической оценки
земли, её базисом. Предметом оценки при этом выступает потенциальное плодородие
почвы.
В качестве бонитировочных
критериев принимают те свойства и признаки почв, которые позволяют наиболее
полно, достоверно и объективно оценить способность почвы удовлетворять
потребности растений в пище, воде в конкретных природно-экологических условиях.
При выполнении работ по
бонитировке почв за объект оценки принимается почвенная разность, за критерий -
диагностические признаки. За критерий оценки принимаются диагностические
признаки наиболее тесно связанные с урожайностью основных сельскохозяйственных
культур.
В зависимости от выбранных
признаков почвенные разности объединяются в группы.
Бонитировка почв (лат. bonitas
- доброкачественность) - это сравнительная оценка качества почв, их
производственной способности. Другими словами бонитировка почв -
специализированная генетико-производственная классификация почв, плодородие
которых выражено в баллах.
Бонитет почв - показатель
качества почв, их продуктивности, добротности.
Работы по бонитировке почв в
нашей стране начались давно. Первые оценочные данные были приведены в писцовых
книгах XV, XVI и начале XVII вв. В них учитывались - пашни, луга, леса, болота.
Особенно подробно описывалась пашня.
Второй период в учете качества
земель связан с кадастровыми работами 1833-1867 гг., которые проводились
специальными комиссиями Министерства государственных имуществ. Члены
кадастровых комиссий собирали сведения о качестве почв, устанавливали среднюю
урожайность на каждой почве. В результате была составлена бонитировочная шкала,
в которой оценка почв проводилась по урожайности.
После реформы 1861 г. Оценка
земель перешла к земствам. Земские работы составили третий период развития
бонитировки почв в России. В разных земствах оценка земель проводилась разными
методами (по продажным и арендным ценам, по чистому доходу).
В теоретическую разработку
вопросов бонитировки почв большой вклад внес В.В. Докучаев. При оценке почв
В.В. Докучаев различал две стороны проблемы, существенно отличающиеся друг от
друга. Он считал, что вначале следует оценивать почву как
естественноисторическое тело, независимо от отношения к ней человека и условий
времени, то есть исследовать состав почвы, ее физические свойства, отношение к
подпочве, и только после этого определять сравнительное достоинство почв. Это
обстоятельство и придает исследованию почв как естественных тел особую ценность
и базирует оценку земель как результат подобных исследований.
При этом важно отметить, что,
разрабатывая естественноисторический метод познания почв, В.В. Докучаев положил
в основу оценки природные свойства и признаки почв, а урожайность культур
использовал лишь для подтверждения правильности установленных им соотношений
между отдельными почвенными группами.
Бонитировочная система В.В.
Докучаева включала следующие элементы: естественно-научное изучение почвенного
покрова и расчленение его на естественные районы → выделение почв как
объектов бонитировки → характеристика их свойств → относительная
бальная оценка каждого свойства всей бонитировочной группы почв →
относительная интегральная бальная оценка почв → сопоставление
бонитировочной шкалы почв со статистическими данными по урожайности.
В.В. Докучаев отмечал:
“ 1. Естественная
правоспособность почв есть главнейший и основной фактор ценности и доходности
земли, почему и должен служить главным основанием исследования других факторов.
. Этот фактор - наиболее
постоянный и наиболее осязаемый.
. Исследование этого фактора
может и должно отличаться наибольшими объективностью и научностью вообще.
. Тщательное изучение почв
может и должно, в весьма значительной степени, способствовать развитию как
местной, так и общей в России сельскохозяйственной производительности.
. Во многих случаях изучение
естественной правоспособности почв является почти единственно возможным
способом определения относительной ценности земли.
. Наконец, без обстоятельного,
строго научного изучения почв самая тщательная статистико-экономическая и
статистико-сельскохозяйственная оценка земельных угодий не будет достаточно
обоснована, не будет достаточно полна, а поэтому, во многих случаях, и не может
повести к благим разумным мероприятиям”.
При бонитировке почв В.В.
Докучаев учитывал следующие свойства почв, по его мнению, имеющие большое
значение в определении плодородия почв.
. Геологические свойства
(мощность гумусовых горизонтов, содержание в них гумуса, материнские породы,
условия залегания и др.)
. Химические свойства -
проведение полного химического анализа для каждого типа почв.
. Поглотительная способность
почв.
. Физические свойства почв.
В каждой из указанных групп
свойств показатели лучшей почвы принимались за 100 баллов и соответственно
определялся сравнительный балл для остальных почв. Средний балл из всех четырех
показателей и составлял окончательную бонитировочную оценочную шкалу. Балл
бонитета сельскохозяйственных угодий вычисляют на основе шкал бонитетов групп
почв IV тура оценки земель субъекта Российской Федерации (земельно-оценочного
района) или почвенных разновидностей и экспликации почв объекта кадастровой
оценки.
Первый вариант методики
бонитировки почв был составлен в 1958 г. акад. С.С.Соболевым и рассмотрен на
Первом съезде почвоведов в Москве (1958 г.), а затем на Первом всесоюзном
совещании по бонитировке и агрохимической характеристике почв, состоявшемся при
Почвенном институте им. В.В.Докучаева в 1959 г. В дальнейшем методика была
одобрена на расширенном заседании ученого совета Почвенного института им. В.В.
Докучаева в 1963 г. и утверждена Министерством сельского хозяйства СССР для
опытной проверки в условиях с.-х. производства. После проверки методики
бонитировки почв в ряде областей и получения на нее отзывов и пожеланий с мест
от почвоведов исследовательских и учебных учреждений в 1967 г. была составлена
под руководством С.С.Соболева «Общесоюзная инструкция по бонитировке
(качественной оценки) почв». Так как эта инструкция имела целью помочь почвоведам
провести в намеченные сроки бонитировку почв и по существу является основной,
то ниже она приводится с незначительными сокращениями и дополнениями.
Работы по бонитировке почв
подобно тому, как и при почвенных и агрохимических исследованиях, подразделяются
на три периода: 1) подготовительно-камеральный, 2) полевой и 3)
камерально-аналитический. Основной задачей подготовительно-камерального периода
является изучение литературы о почвах области, края, их бонитировке, сбор
материалов об урожайности сельскохозяйственных культур, установление корреляции
между природными признаками почв и урожайностью и составление на этой основе
предварительной бонитировочной шкалы главнейших почв области, края или
республики. Первичным объектом бонитировки почв являются почвенные
разновидности или их группы, однородные по качеству, технологическим свойствам,
содержанию гумуса, гранулометрическому составу, условиям возделывания,
обработки и т.д. Предметом бонитировки выступают естественные потребительские
свойства почвы или сама почва с присущими ей объективными естественными
свойствами и агропроизводственными особенностями. Вычислить баллы бонитета
можно по принципу замкнутой или разомкнутой шкалы. Если за 100 баллов принято
оптимальное значение признака наиболее плодородной почвы при бонитировке по
естественным свойствам или максимальная урожайность сельскохозяйственных
культур, а худшим присваивают минимальное число баллов, то в результате
вычислений получают замкнутую шкалу бонитировки.При разомкнутой шкале за 100
баллов принимают значение признака или размер урожайности сельскохозяйственных
культур самой распространенной средней почвы, занимающей наибольший удельный
вес в структуре почвенного покрова земельно-оценочного района.Замкнутая шкала
более наглядна и удобна для практического пользования. Поэтому имеет более
широкое применение в практике земельно-оценочных работ.
Цель бонитировки почв:
. Сравнить и сгруппировать
почвы и земельные угодья республики, края, области, района, предприятия по их
продуктивности (плодородию).
. Выявит наиболее благоприятные
почвы и земли для разных сельскохозяйственных культур (специальные бонитировки
почв для зерновых, пропашных культур).
. Дать производственную оценку
почвенному покрову областей, районов, хозяйств, предприятий.
. Оценить с учетом
почвенно-климатических условий результаты хозяйственной деятельности различных
по природным условиям территорий и выявить неиспользованные ресурсы.
. Правильно наметить
мероприятия и составить производственные планы по повышению урожайности культур
и плодородия почв.
.
Расчёт баллов бонитета по
диагностическим признакам
Бонитировке почв предшествуют
работы по земельно-оценочному районированию. Наименьшей таксономической
единицей бонитировки является почвенная разновидность. В границах каждого кадастрового
района работы по бонитировке почв ведутся в следующей последовательности:
. определение средних значений
показателей, характеризующих отдельные признаки и свойства почвы;
. расчёт средних физических
значений отобранных признаков и свойств;
. пересчёт на основе
корреляционно-регрессионного анализа физических значений признаков и свойств
почв в зависимости от влияния на урожайность сельскохозяйственных культур в
относительных единицах - баллы;
. расчет среднегеометрического
балла по совокупности признаков и свойств по разновидностям (группам) почв;
. расчёт балла бонитета i-го
рабочего участка (Б) взвешиванием баллов бонитета j-х почвенных разновидностей
или оценочных групп почв i-го
земельного участка на их площади;
. расчёт совокупного почвенного
балла участков путём корректировки на негативные свойства снижающие плодородие
почв (переувлажнение, эродированность, засолённость, рельеф и т.д.).
Для каждой почвенной
разновидности определяется почвенный балл по свойствам, наиболее тесно
коррелирующим с урожайностью, это содержание гумуса в пахотном горизонте,
мощность гумусового профиля, запасы гумуса в гумусовом профиле и содержание
физической глины.
Вычисляют на основе шкал
бонитетов групп почв IV тура оценки земель субъекта Российской Федерации (земельно-оценочного
района) или почвенных разновидностей и экспликации почв объекта кадастровой
оценки.
Указанные признаки берутся из
материалов почвенных и агрохимических обследований (приложение 1), и
составляется шкала бонитировки в относительных показателях (баллах). Шкала
строится по 100 бальной системе.
За 100 баллов принимаются
следующие признаки:
содержание гумуса в гор. А -
7%;
мощность гумусового слоя - 135
см;
запас гумуса в гумусовом слое -
600 т/га;
содержание физической глины в
гор. А - 65%.
Неблагоприятные для растений
свойства почв (солонцеватость, засоление, скелетность, слитость и др.)
учитываются с помощью соответствующих коэффициентов.
Для определения средних
значений показателей по отдельным почвам производятся всестороннее изучение
материалов комплексного обследования и выбор фактических данных по показателям
этих почв.
Бонитировочный балл по каждому
оценочному признаку вычисляют по формуле:
Б =
×
100,
(1)
где: Б - балл почвы по
определённому признаку;
Пф - фактическое
значение этого признака данной почвенной разновидности (приложение 1);
Пмакс. -
максимальное значение этого признака в совокупности почв.
Баллы записываются в
соответствующие графы таблицы 1.
Черноземы южные среднемощные
тяжелосуглинистые:
Б1 =
×
100 = 54,29
Б2 =
×
100 = 48,15
Б3 =
×
100 = 49,33
Б4 =
×
100 = 89,23
Черноземы обыкновенные мощные
тяжелосуглинистые:
Б1 =
×
100 = 60
Б2 =
×
100 = 66,67
Б3 =
×
100 = 72,33
Б4 =
×
100 = 84,62
Черноземы обыкновенные
среднемощные слабосмытые:
Б1 =
×
100 = 64,29
Б2 =
×
100 = 51,85
Б3 =
×
100 = 68,33
Б4 =
×
100 = 90,77
Лугово-черноземные
легкоглинистые среднемощные:
Б1 =
×
100 = 57,14
Б2 =
×
100 = 38,52
Б3 =
×
100 = 42,33
Б4 =
×
100 = 98,46
Темно-каштановые (солонцов до
10%):
Б1 =
×
100 = 48,57
Б2 =
×
100 = 37,04
Б3 =
×
100 = 26,67
Б4 =
×
100 = 87,69
Темно-каштановые (солонцов до
25%):
Б1 =
×
100 = 44,29
Б2 =
×
100 = 35,56
Б3 =
×
100 = 25,33
Б4 =
×
100 = 89,23
Каштановые солонцеватые (до
10%) слабосмытые:
Б1 =
×
100 = 40
Б2 =
×
100 = 32,59
Б3 =
×
100 = 19,67
Б4 =
×
100 = 80
Солонцы каштановые и их
комплексы:
Б1 =
×
100 = 30
Б2 =
×
100 = 27,41
Б3 =
×
100 = 17,17
Б4 =
×
100 = 84,62
Лугово-каштановые солонцеватые
с комплексами 20-30%:
Б1 =
×
100 = 41,43
Б2 =
×
100 = 25,19
Б3 =
×
100 = 18,83
Б4 =
×
100 = 92,31
Луговые почвы:
Б1 =
×
100 = 58,57
Б2 =
×
100 = 48,15
Б3 =
×
100 = 53,33
Б4 =
×
100 = 96,92
.
Определение среднегеометрического
почвенного балла
бонитет почва балл
урожайность
Для каждой почвенной
разновидности определяют среднегеометрический почвенный балл по формуле:
Бсг. =
(2)
где: Бсг. -
среднегеометрический балл почвы;
Б1 - балл по
содержанию гумуса;
Б2 - балл по
мощности гумусового горизонта;
Б3 - балл по запасам
гумуса;
Б4 - балл по
содержанию физической глины.
Результаты записываются в
соответствующие графы таблицы 1.
Бсг. 1 =
54,29×48,15×49,33×89,23
=
=
58,24
Бсг. 2 =
60×66,67×72,33×84,62
=
24483482,51
= 70,34
Бсг. 3 =
64,29×51,85×68,33×90,77
=
20675020,21
= 67,43
Бсг. 4 =
57,14×38,52×42,33×98,46
=
9173490,476
= 55,03
Бсг. 5 =
48,57×37,04×26,67×87,69
=
4207384,157
= 45,29
Бсг. 6 =
44,29×35,56×25,33×89,23
=
3559700,957
= 43,44
Бсг. 7 =
40×32,59×19,67×80
=
2051344,96
= 37,85
Бсг. 8 =
30×27,41×17,17×84,62
=
1194740,556
= 33,06
Бсг. 9 =
41,43×25,19×18,83×92,31
=
1814020,421
= 37,7
Бсг. 10 =
58,57×48,15×53,33×96,92
=
14576609
= 61,79
Для преобразования совокупного
почвенного балла в среднегеометрический почвенный балл вводятся понижающие
поправочные коэффициенты на специфические признаки почв (уплотнение,
переувлажнение, солонцеватость приложение 1) .
.
Определение общего балла
агропроизводственной группы
Общий балл бонитета
агропроизводственной группы почв земельно-оценочного района рассчитывают по
формуле:
ББ =
(3)
где: ББ - балл бонитета
агропроизводственной группы почв;
Бп1, Бп2,….Бпі
- бонитеты групп почв (таблица 1);
S1,
S2,…Sі
- площадь групп почв (приложение 3);
Состав пашни хозяйств района по
группам почв определяется в приложении 3.
ББ1=
ББ2=
ББ3=
ББ4=
ББ5=
ББ6=
ББ7=
ББ8=
ББ9=
ББ10=
Таблица 1 - Шкала бонитировки
почв
|
Название
почв
|
Шифр
|
Содержание
гумуса
|
Мощность
гумусового профиля
|
Запасы
гумуса
|
Содержание
физической глины
|
Среднегеом.
почвенный балл
|
Совокупн.
поправоч. коэф.
|
Совокупн.
почвен. балл
|
|
|
%
|
Б1
|
см.
|
Б2
|
т
|
Б3
|
%
|
Б4
|
Бсг
|
К
|
Бп
|
|
Черноземы
южные среднемощные тяжелосуглинистые
|
153
|
3,8
|
54,29
|
65
|
48,15
|
296
|
49,33
|
58
|
89,23
|
58,24
|
0,9
|
52,42
|
|
Черноземы
обыкновенные мощные тяжелосуглинистые
|
141
|
4,2
|
60
|
90
|
66,67
|
434
|
72,33
|
55
|
84,62
|
70,34
|
-
|
70,34
|
|
Черноземы
обыкновенные среднемощные слабосмытые
|
145
|
4,5
|
64,29
|
70
|
51,85
|
410
|
68,33
|
59
|
90,77
|
67,43
|
0,9
|
60,69
|
|
Лугово-черноземные
легкоглинистые среднемощные
|
164
|
4,0
|
57,14
|
52
|
38,52
|
254
|
42,33
|
64
|
98,46
|
55,03
|
-
|
55,03
|
|
Темно-каштановые
(солонцов до 10%)
|
181
|
3,4
|
48,57
|
50
|
37,04
|
160
|
26,67
|
57
|
87,69
|
45,29
|
0,9
|
40,76
|
|
Темно-каштановые
(солонцов до 25%)
|
182
|
3,1
|
44,29
|
48
|
35,56
|
152
|
25,33
|
58
|
89,23
|
43,44
|
0,7
|
30,41
|
|
Каштановые
солонцеватые (до 10%) слабосмытые
|
184
|
2,8
|
40
|
44
|
32,59
|
118
|
19,67
|
52
|
80
|
37,85
|
0,9
|
34,07
|
|
Солонцы
каштановые и их комплексы
|
194
|
2,1
|
30
|
37
|
27,41
|
103
|
17,17
|
55
|
84,62
|
33,06
|
0,9
|
29,75
|
|
Лугово-каштановые
солонцеватые с комплексами 20-30%
|
197
|
2,9
|
41,43
|
34
|
25,19
|
113
|
18,83
|
60
|
92,31
|
36,70
|
0,7
|
25,69
|
|
Луговые
почвы
|
200
|
4,1
|
58,57
|
65
|
48,15
|
320
|
53,33
|
63
|
96,92
|
61,79
|
0,6
|
37,07
|
. ОПРЕДЕЛЕНИЕ СТЕПЕНИ
КОРРЕЛЯЦИИ СОВОКУПНОГО ПОЧВЕННОГО БАЛЛА С УРОЖАЙНОСТЬЮ СЕЛЬСКОХОЗЯЙСТВЕННЫХ
КУЛЬТУР
Достоверность проведенных
расчётов определяется коэффициентом корреляции почвенного балла с фактической
урожайностью. В настоящее время закон корреляции между свойствами почв и
урожайностью является теоретической основой современной бонитировки почв.
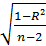
Коэффициент парной корреляции
определяется по формуле:
R =
(4)
где: R
- коэффициент корреляции;
n
- число наблюдений;
у - показатель урожайности;
х - баллы бонитета.
R
=
=
=
=
=
0
Все расчёты по решению
уравнения 4 и определению коэффициента корреляции ведутся в таблице 2.
В графе 2 указывается
хозяйство, в графу 3 записывается балл бонитета почв по хозяйству (Х), в графу
4 - урожайность культуры (У), в графе 5 вычисляется произведение величины (Х) и
(У), в графах 6 и 7 - их квадраты.
Значение коэффициента
корреляции определяется с точностью до 0,001, обязательно указывается знак (+
или
),
характеризующие прямую или соответственно, обратную связь.
Если значение коэффициента
корреляции находится в пределах 0,001 до 0,250 связь очень слабая или
отсутствует, от 0,250 до 0,500 связь следует считать слабой, от 0,501 до 0,700
- средней. Если же величина коэффициента более 0,701, то связь можно признать
тесной, свыше 0,901 - очень тесной.
Таблица 2 - Определение
коэффициента корреляции балла бонитета и урожайности
|
№
п/п
|
Хозяйство
|
Х
|
У
|
ХУ
|
Х2
|
У2
|
|
1
|
2
|
3
|
4
|
5
|
6
|
7
|
|
1
|
Присальский
|
53,96
|
24,4
|
2911,7
|
595,36
|
|
2
|
Коммунар
|
48,29
|
22,2
|
1072,0
|
2331,9
|
492,8
|
|
3
|
Дружба
|
40,87
|
21,7
|
886,9
|
1670,4
|
470,9
|
|
4
|
Широкое
|
36,31
|
20,4
|
740,7
|
1318,4
|
416,2
|
|
5
|
Золотарёвское
|
44,69
|
18,5
|
826,8
|
1997,2
|
342,3
|
|
6
|
Шаминское
|
44,05
|
19,0
|
836,9
|
1940,4
|
361
|
|
7
|
Страхов
|
51,09
|
17,3
|
883,9
|
2610,2
|
299,3
|
|
8
|
Ольгинское
|
43,98
|
20,8
|
914,8
|
1934,2
|
432,6
|
|
9
|
Луговое
|
53,76
|
20,7
|
1112,8
|
2890,1
|
428,5
|
|
10
|
Рассвет
|
40,81
|
19,8
|
808,0
|
1665,5
|
392,0
|
|
∑
|
457,81
|
204,8
|
9399,4
|
21270
|
4231
|
|
∑2
|
209590
|
41943,04
|
88348720,4
|
452412900
|
17901361
|
На основании полученных
результатов делается вывод о величине полученного коэффициента корреляции.
Для оценки достоверности и существенности коэффициента
корреляции необходимо вычислить отношение этого коэффициента к его
среднеквадратической ошибке, которая определяется по формуле:
mr
=
,
(5)
где: mr
- среднеквадратическая ошибка коэффициента корреляции;
n
- число наблюдений;
R
- коэффициент корреляции.
mr
=
Достоверность коэффициента
корреляции определяется расчётным нормативным отклонением:
ф
=
,
(6)
tф
=
Затем вычисляют теоретическое
значение: t𝒯
=
(7)
t𝒯
=
Таблица 3 - Числовые
характеристики связи урожайности с баллами бонитета
|
Базисные
показатели
|
Характеристики
связи
|
|
R
|
|
tф
|
t𝒯
|
|
Урожайность
сельскохозяйственной культуры
|
0,220
|
0,34
|
0,63
|
2,375
|
Вывод.
Коэффициент парной корреляции (R)
=0,220 баллов. Это значение коэффициента находится в пределах от 0,001 до
0,250, следовательно связь является очень слабой или отсутствует.
Фактическое значение полученной
величины балла бонитета (tф)
= 0,63.
Теоретическое значение (t𝒯)
= 2,375. Следовательно, tф
<
t𝒯,
что говорит о том, что связь между урожайностью и почвенными баллами
отсутствует и имеет случайный характер.
ЗАКЛЮЧЕНИЕ
В ходе выполнения курсовой
работы были закреплены теоретические знания и приобретены практические навыки
по бонитировке почв на основе самостоятельного изучения и обобщения
нормативно-законодательных актов, специальной литературы, проведены расчеты по
определению баллов бонитета по свойствам почв и в целом по агропроизводственным
группам почв сельскохозяйственных предприятий.
Были проведены следующие
расчеты:
· Расчет баллов
бонитета почв по диагностическим признакам почв
· Определение
среднегеометрического почвенного балла
· Определение общего
балла агропроизводственной группы
· Определение степени
корреляции совокупного почвенного балла с урожайностью сельскохозяйственных
культур по 10-ти землепользованиям
По результатам всех расчетов
было сделано заключение о фактически полученной величине балла бонитета и
коэффициента корреляции, после чего была подтверждена достоверность величины
коэффициента корреляции. Вследствие проведенных вычислений, на основании того,
что фактическое значение полученной величины балла бонитета(tф)
= 0,63, а теоретическое значение (t𝒯)
= 2,375, т.к. tф
< t𝒯
был сделан вывод о том, что связь между урожайность и почвенными баллами
считается достоверно установленной и прямолинейной.
СПИСОК ИСПОЛЬЗУЕМОЙ ЛИТЕРАТУРЫ
1. Гаврилюк Ф.Я. Бонитировка почв [Текст]:
Учебное пособие для вузов/ Ф.Я. Гаврилюк. - М.: Высшая школа, 2012. - 272 с.
2. Варламов
А.А. Земельный кадастр [Текст]: В 6 т. Т.1: Теоретические основы
государственного земельного кадастра: Учебник для вузов по спец. 310900
“Землеустройство”, 310900 “Земельный кадастр”, 311100 “Городской кадастр” /
А.А. Варламов. - М.: КолосС, 2003. - 383 с. - (Учебники и учеб. пособия для
студ. вузов).
. Новиков
А.А. Земельный кадастр и мониторинг земель [Текст]: курс лекций для студ. спец.
120301 “Землеустройство ”/А.А. Новиков; Новочерк. гос. мелиор. акад. -
Новочеркасск, 2014. - 132 с. - 54 экз.
. Новиков
А.А. Земельный кадастр и мониторинг земель [Электронный ресурс]: курс лекций
для студ. спец. 120301 “Землеустройство ”/А.А. Новиков; Новочерк. гос. мелиор.
акад. Электрон. дан. - Новочеркасск, 2008. - ЖМД; PDF; 823 КБ. - Систем.
требования: IBM PC. Windows 7. Adobe Acrobat 9. - Загл. с экрана.
. Бонитировка
почв (инструкция). Почвенный институт имени В.В. Докучаева. - М., 1968. - 68 с.
Приложение
1
Признаки и свойства почв
|
№
п/п
|
Наименование
почвенных разновидностей
|
Шифр
|
Содер-
жа- ние гумуса, %
|
Мощ-
ность гумусо- вого профиля, см
|
Запа-
сы гуму- са, т/га
|
Содержа-
ние физичес- кой глины, %
|
Специфические
признаки
|
|
|
|
|
|
|
|
|
переув-
лажне- ние
|
солонце-
ватость
|
слабо-
смы- тые
|
средне-
смы- тые
|
|
|
1
|
2
|
3
|
4
|
5
|
6
|
7
|
8
|
9
|
10
|
11
|
|
|
1
|
Чернозёмы
южные средне- мощные тяжелосуглинистые
|
153
|
3,8
|
65
|
296
|
58
|
-
|
-
|
0,9
|
-
|
|
|
2
|
Чернозёмы
обыкновенные мощные тяжелосуглинистые
|
141
|
4,2
|
90
|
434
|
55
|
-
|
-
|
-
|
-
|
|
|
3
|
Чернозёмы
обыкновенные среднемощные слабосмытые
|
145
|
4,5
|
70
|
410
|
59
|
-
|
-
|
0,9
|
-
|
|
|
4
|
Лугово-чернозёмные
легкоглинистые среднемощные
|
164
|
4,0
|
52
|
254
|
64
|
-
|
-
|
-
|
-
|
|
|
5
|
Темно-каштановые
(солонцов до 10%)
|
181
|
3,4
|
50
|
160
|
57
|
-
|
0,9
|
-
|
-
|
|
|
6
|
Темно-каштановые
(солонцов до 25%)
|
182
|
3,1
|
48
|
152
|
58
|
-
|
0,7
|
-
|
-
|
|
|
7
|
Каштановые
солонцеватые (до 10%) слабосмытые
|
184
|
2,8
|
44
|
118
|
52
|
-
|
-
|
0,9
|
-
|
|
8
|
Солонцы
каштановые и их комплексы
|
194
|
2,1
|
37
|
103
|
55
|
-
|
0,9
|
-
|
-
|
|
9
|
Лугово-каштановые
солонцеватые с комплексами 20-30%
|
197
|
2,9
|
34
|
113
|
60
|
-
|
0,7
|
-
|
-
|
|
10
|
Луговые
почвы
|
200
|
4,1
|
65
|
320
|
63
|
0,6
|
-
|
-
|
-
|
|
|
|
|
|
|
|
|
|
|
|
|
|
|
|
|
Приложение
2
Площадь пашни хозяйств
оценочного района и урожайность зерновых культур
|
Хозяйство
|
S, га
|
Урожайность,
ц/га
|
|
17.
Луговое
|
4235
|
24,4
|
|
18.
Рассвет
|
4156
|
22,2
|
|
19.
Октябрьское
|
3225
|
21,7
|
|
20.
Ремонтное
|
4125
|
20,4
|
|
21.
Родина
|
4685
|
18,5
|
|
22.
Покровское
|
4263
|
19,0
|
|
23.
Недвиговское
|
3752
|
17,3
|
|
24.
Гигант
|
3980
|
20,8
|
|
25.
Степное
|
4326
|
20,7
|
|
26.
Морозовское
|
4100
|
19,8
|
Приложение
3
Состав пашни хозяйств района по
группам почв
|
Хозяйство
|
Пашни
всего
|
в
том числе по группам почв
|
|
|
|
153
|
141
|
145
|
164
|
181
|
182
|
184
|
194
|
197
|
200
|
|
1
|
2
|
3
|
4
|
5
|
6
|
7
|
8
|
9
|
10
|
11
|
12
|
13
|
14
|
|
17
|
Луговое
|
га
|
4235
|
2150
|
-
|
1755
|
-
|
-
|
-
|
100
|
-
|
230
|
-
|
|
|
%
|
100
|
50,8
|
-
|
41,4
|
-
|
-
|
-
|
2,4
|
-
|
5,4
|
-
|
|
18
|
Рассвет
|
га
|
4156
|
1980
|
-
|
1250
|
-
|
855
|
-
|
71
|
-
|
-
|
|
|
%
|
100
|
47,6
|
-
|
-
|
30,1
|
-
|
20,6
|
-
|
1,7
|
-
|
-
|
|
19
|
Октябрьское
|
га
|
3225
|
-
|
550
|
150
|
-
|
480
|
-
|
945
|
-
|
750
|
350
|
|
|
%
|
100
|
-
|
17,1
|
4,7
|
-
|
14,9
|
-
|
29,3
|
-
|
23,2
|
10,8
|
|
20
|
Ремонтное
|
га
|
4125
|
150
|
-
|
-
|
720
|
955
|
-
|
-
|
1050
|
1250
|
-
|
|
|
%
|
100
|
3,6
|
-
|
-
|
17,4
|
23,2
|
-
|
-
|
25,5
|
30,3
|
-
|
|
21
|
Родина
|
га
|
4685
|
1150
|
320
|
-
|
950
|
-
|
535
|
-
|
830
|
-
|
900
|
|
|
%
|
100
|
24,6
|
6,8
|
-
|
20,3
|
-
|
11,4
|
-
|
17,7
|
-
|
19,2
|
|
22
|
Покровское
|
га
|
4263
|
920
|
-
|
985
|
-
|
750
|
-
|
635
|
-
|
748
|
225
|
|
|
%
|
100
|
21,6
|
-
|
23,1
|
-
|
17,6
|
-
|
14,9
|
-
|
17,5
|
5,3
|
|
23
|
Недвиговское
|
га
|
3752
|
-
|
1507
|
-
|
800
|
-
|
485
|
-
|
555
|
405
|
-
|
|
|
%
|
100
|
-
|
40,2
|
-
|
21,3
|
-
|
12,9
|
-
|
14,8
|
10,8
|
-
|
|
24
|
Гигант
|
га
|
3980
|
1120
|
-
|
650
|
-
|
920
|
-
|
-
|
-
|
740
|
550
|
|
|
%
|
100
|
28,2
|
-
|
16,3
|
-
|
23,1
|
-
|
-
|
-
|
18,6
|
13,8
|
|
25
|
Степное
|
га
|
4326
|
1061
|
1115
|
-
|
1205
|
-
|
-
|
945
|
-
|
-
|
-
|
|
|
%
|
100
|
24,5
|
25,8
|
-
|
27,9
|
-
|
-
|
21,8
|
-
|
-
|
-
|
|
26
|
Морозовское
|
га
|
4100
|
900
|
-
|
540
|
-
|
1010
|
-
|
-
|
940
|
710
|
-
|
|
|
%
|
100
|
22,0
|
-
|
13,2
|
-
|
24,6
|
-
|
-
|
22,9
|
17,3
|
-
|