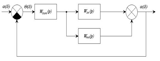
Структурные схемы линейной и нелинейной систем
Введение
Эволюция земной цивилизации
привела в текущем столетии к качественному изменению её энергетического и
информационного потенциала. Создаются и эксплуатируются сложные энергетические
системы, мощные производственные комплексы, большие транспортные и
коммуникационные сети, требующие беспрецедентных в истории ресурсных затрат.
Космическая деятельность, наряду с интеллектуализацией общества на основе
широкого применения ЭВМ и развитием энергетики на базе новых источников,
выступает в качестве флагмана научно-технического прогресса. Развиваясь в трёх
взаимосвязанных направлениях исследование, освоение и использование космоса, -
она расширяет социальную сферу, открывает новые возможности познания и
использования происходящих на Земле локальных и глобальных процессов.
Многолетний опыт космической
деятельности, по существу, является практикой исследования и создания сложных
управляемых систем. Космические техногенные системы представлены первым
искусственным
спутником земли, космическими
кораблями с человеком на борту, долговременными орбитальными станциями,
космической многоразовой транспортной системой, аппаратами для полётов к Луне и
планетам Солнечной системы, астрофизическими космическими лабораториями,
спутниковыми системами наблюдения Земли из космоса, спутниковыми
телекоммуникационными системами, спутниковыми системами координатно-временного
обеспечения. Искусственные спутники земли (ИСЗ) позволяют за короткое время
производить обзор всей поверхности Земного шара и осуществлять регулярные
наблюдения в интересах природопользования, экологии, метеорологии. С
использованием ИСЗ создаются глобальные системы для приёма сигналов от терпящих
бедствие, космические системы радио и телевидения, организуется получение
различного рода информации от объектов, расположенных во всех земных средах,
осуществляется навигация морских и воздушных судов, наземного транспорта.
В обозримом будущем
предполагается применять космические системы и для решения энергетических
проблем на Земле, Речь идёт о солнечных космических электростанциях,
космических сетях передачи энергии, космических системах прямой подсветки
приполярных районов Земли и освещения городов в ночное бремя. На ИСЗ можно
сосредоточить гелиоэнергетику; возможно, значительную часть ядерных и
термоядерных установок с лучистым охлаждением энергетических холодильников, что
даст возможность избежать перегрева Земли.
Одна из особенностей
космических техногенных систем состоит в том, что для решения целевых задач в
них используются новейшие достижения науки и техники, в том числе и такая
передовая область, как квантовая электроника, квантовые генераторы, в
зависимости от длинны волны, мощности и расходимости излучения, могут быть
использованы в измерительных системах для космических исследований, для
дистанционного зондирования Земли, управления космическими аппаратами, в
оптических линиях связи.
Способность лазеров
генерировать когерентное оптическое излучение позволяет значительно повысить
информативность и помехозащищённость каналов связи, концентрировать и
транспортировать мощное излучение в узком пучке, мгновенно выполнять сложнейшие
математические операции в устройствах обработки информации, иметь небольшие
габаритные размеры технических средств. Вместе с тем, космическое окружение
предъявляет специфические требования к техногенным системам, в том числе
лазерным.
Целевую задачу космической
техногенной системы можно дифференцировать, в общем случае, на две
составляющие: получение информации, энергии, материалов и доставка их к цели.
Для транспортировки энергии (информации) к потребителю космические системы
должны осуществлять совокупность функций, включающую: управление движением
космического аппарата (КА) на траектории полёта;
- ориентацию и стабилизацию
углового движения КА;
·
формирование
угла расходимости излучения;
·
наведение
и удержание излучения на цели
Проблемы космических техногенных
систем усложняются применительно к лазерным системам, в которых необходимо
обеспечить высокую точность наведения луча (
) в заданном направлении и высокую
стабильность удержания узкого пучка лазерного излучения. К основным
ограничениям внедрения лазерных систем в практику космической деятельности,
кроме проблемы управления лазерным лучом, следует отнести:
- влияние атмосферы на
прохождение лазерного луча на трассах «Земля Космос - Земля», а также верхней
атмосферы на межспутниковых трассах;
- несовершенство
технологий производства компонент лазерных систем (элементы квантовых
генераторов, фокусирующие зеркала, модуляторы) и компонент космической техники,
обеспечивающих эксплуатацию лазерных систем на орбите.
Таким образом, проектирование
космических информационных и энергетических систем с лазерной техникой на борту
далеко не тривиальная задача. Структура систем, стратегия управления ими, их
эффективность резко зависят от целой совокупности внутренних и внешних по
отношению к этим системам факторов. Их влияние должно быть полно и корректно
учтено на этапе проектирования систем, что приводит к необходимости
использования системного подхода, математических методов и моделей для
описания, анализа конструкторских разработок, т.е. математического
моделирования и вычислительного эксперимента. Математическое моделирование,
таким образом, становится необходимым технологическим элементом проектирования,
что даёт основание ставить его в один ряд с другими технологиями и трактовать в
данном контексте как информационную технологию. Эта технология включает в себя
формулировку математической модели, сбор необходимой информации, верификацию и
коррекцию модели по результатам верификации и, наконец, эксплуатацию модели,
т.е. выполнение акций прогноза функционирования системы с использованием
результатов этого прогноза lля
проектирования системы (и управления ею).
Практика свидетельствует, что
любая математическая модель адекватна реальности лишь в некоторых пределах. В
случае уточнения, модель становится сложнее, содержит больше величин и
соотношений между ними.
В то же время обогащение модели
часто не удаётся сопроводить эквивалентным улучшением результатов и существует
естественная граница сложности любой модели. Рациональный уровень сложности
математической модели зависит от возможности практически реализовать адекватный
прогноз развития процесса за минимальное время с разумными затратами труда и
ресурсов. Поэтому этот уровень сложности и определяется главным образом
степенью развития информационной технологии методов и средств сбора, хранения,
передачи и обработки информации. Новые информационные технологии включают
вычислительные эксперименты с математическими моделями в поток эмпирического
опыта человека, результаты исследования математических моделей укрепляют его
знания. По мере всё более подробной детализации процесса имитации, комплекс
имитационного моделирования превращается из аппарата системного анализа в средство
проектирования, испытания и отладки проектируемой системы. Эта технология,
таким образом, предоставляет возможность для перенесения испытаний на более
ранние сроки проектирования хорошо известно, что ошибки при проектировании тем
дороже, чем на более ранней стадии проектирования они совершены. Технология
имитационного моделирования сложных систем позволяет совершать минимум таких
ошибок.
При построении имитационной
модели космической системы необходимо учитывать, что космический аппарат
представляет собой интегрированную систему, а не комбинацию отдельно созданных,
независимых друг от друга устройств Данное обстоятельство является решающим при
определении структуры программы имитационного моделирования, содержания её
блоков, характеристик составляющих её моделей. В конечном счёте, оно выявляет
комплекс задач, требующих решения и необходимых для формирования замкнутой
имитационной модели космической лазерной системы. Исследованию и проектированию
лазерных информационных и энергетических орбитальных систем посвящены многие
книги. Разработанные методики, алгоритмы и программы используются для анализа и
формирования технических требований к проектируемым системам, обоснования
областей рационального применения космических аппаратов разных типов, оценки
качества принимаемых технических решений, синтеза алгоритмов управления
аппаратами, а также детального наблюдения за поведением системы с цель
выявления существенных факторов и особенностей присущих системе в целом.
Целью данной работы является
разработка грубого контура системы автоматического управления радиолокационной
станции, удовлетворяющей заданным показателям качества показателям качества.
Глава 1. Описание системы
автоматического управления антенной
1.1 Режимы работы системы
управления антенной
Работа лазерной системы
космической связи требует от систем наведения антенн (СНА) обеспечения
устойчивой работы в нескольких разных режимах. Система космической связи
включает в себя:
·
единый
наземный пункт (НП) приёма и обработки информации;
·
несколько
высокоорбитальных спутников-ретрансляторов (СР), находящихся на стационарных
орбитах;
·
спутники-абоненты
(СА).
Вариантов работы такой системы
много, особенно если учесть, что спутников ретрансляторов может быть большое
количество. Конкретный вариант работы выбирается в зависимости от места
нахождения в данный момент спутника-абонента
В наиболее сложные технические
условия поставлена СНА на линии связи СА-СР, т.к. на этой линии связи СНА
помимо случайных колебаний спутников относительно их центров масс должна
отслеживать взаимное перемещение искусственных спутников Земли в пространстве,
вызванное их движением по своим орбитам. Поэтому СНА рассматривается именно в
этих условиях работы Работу системы наведения антенн можно разбить на следующие
основные этапы.
1.1.1 Режим начальной выставки
Этот режим необходим для
установления начального углового положения антенн передатчиков и приёмников,
расположенных на искусственных спутниках Земли перед началом сеанса связи, т.е.
является этапом предварительной ориентации антенн двух спутников Начальные углы
установки антенн
и
(угол
азимута и угол места) могут быть рассчитаны заранее с большой степенью точности
при условии, что оба спутника находятся на уже установившихся орбитах и
известен момент начала сеанса связи.
Расчёт параметров
и
, может быть
произведён как на НП с помощью вычислительной техники, так и на самих спутниках
с помощью бортовой вычислительной машины. Однако для одновременного исполнения
начальных условий необходимо иметь на СА и СР единую систему времени, что
возможно только путём периодической синхронизации этой системы по радиоканалу с
Земли. Поэтому целесообразнее рассчитывать эти параметры на Земле, а затем
посылать по радиоканалу на искусственный спутник для исполнения
Работа СНА после осуществления
начальной выставки будет определяться соотношением между
и диаграммой
направленности приёмо-передающей лазерной антенны
.
Если
будет больше
, СНА
оказывается сразу замкнутой по лазерному лучу. Для существующих в настоящее
время систем
может
достигать нескольких угловых минут.
Условию
могут
удовлетворять только диаграммы направленности импульсных излучателей.
1.1.2 Режим импульсного захвата
При установке на борту
искусственного спутника Земли «импульсных маяков» и приёмников можно сразу
после режима начальной Выставки наведения перейти в режим импульсного
«захвата».
В этом режиме СНА является
замкнутой по лазерному лучу, и он может рассматриваться как переходный режим в
импульсной системе наведения.
Начальное значение
определяется
погрешностью
. Конечное
значение переходного процесса в
режиме импульсного «захвата» должно быть меньше диаграммы направленности
непрерывного лазерного излучателя, т.е.
где
- диаграмма направленности
непрерывного излучателя.
Это условие должно выполняться в
течение некоторого времени для перехода системы в режим автосопровождения.
Работа «импульсного маяка» требует
значительного потребления энергии, т.к. для осуществления обратной связи по
лазерному лучу необходимо иметь диаграмму направленности излучателя в 30
угловых минут. Только такое значение позволит перекрыть максимальное значение
ошибки режима начальной выставки.
В том случае, если на борту
искусственного спутника Земли нет «импульсного маяка» или в случае выработки
его временного ресурса работы, необходимо после режима начальной выставки
некоторым программным путем осуществлять решение задачи взаимного поиска.
1.1.3 Режим «Поиск»
«Поиск» - программный режим
дальнейшего нацеливания антенн при использовании непрерывных излучателей, для
создания обратной связи по лазерному лучу.
При решении задачи поиска с
диаграммой направленности антенны
, угловых секунд в зоне
угловых
минут затрачивается очень большое время, поэтому в целях сокращения этого
времени и с учётом энергетических возможностей ИСЗ представляется расширить
диаграмму направленности антенны до величины
угловых минут.
Такой подход значительно
сокращает время дальнейшего взаимного нацеливания антенн с непрерывными
приёмо-передатчиками.
Функциональная схема СНА в
режиме «поиск» является незамкнутой по оптическому лучу.
Режим поиска осуществляется до
тех пор, пока на входе непрерывного приёмника не появится сигнал от другого. В
этом случае система наведения антенн окажется замкнутой по оптическому лучу и
возникает возможность осуществления режима непрерывного захвата.
1.1.4 Режим «Автосопровождение»
Задача системы в этом режиме
поддерживать установившееся значение
пределах меньше
.
В случае отсутствия сигнала
некоторый заданный промежуток времени в режиме автосопровождения или при
превышении величины ошибки системы
величины
(половины
рабочей диаграммы направленности) может произойти срыв слежения. В этом случае
устройство управления СНА должно перейти в режим «Поиск» или «Захват», с
последующим переводом в режим автосопровождения.
Режим автосопровождения является полезным
режимом, т.к. только в этом режим происходит передача информации СА-СР.
Основной задачей является
оптимизация перечисленных режимов применительно к этому условию в режиме
«Начальная выставка» и «Захват» - минимальное время переходного процесса; в режиме
«Поиск» -максимум вероятности обнаружения при наименьшем среднем времени
поиска, в режиме автосопровождения максимальное среднее время между моментами
срыва слежения.
.2 Описание системы управления
антенной и входящих в неё элементов в режиме автосопровождения
Основное назначение СНА заключается
в наведении максимума диаграммы направленности антенны на космический объект
(или любую программно заданную точку на небесной сфере) и сопровождении с
требуемой динамической точностью с тем, чтобы обеспечить устойчивую и
высококачественную связь.
Динамические свойства СНА зависят от
большого числа факторов, которые в основном определяются:
·
динамикой
движения космического объекта и конструктивными особенностями
опорно-поворотного устройства антенной установки;
·
динамическими
характеристиками металлоконструкций опорно-поворотного устройства и механизмов
антенной установки как объекта управления;
·
характеристиками
возмущений и помех, действующими на систему и объект управления в процессе
слежения за космическими объектами;
- особенностями
построения самой СНА в целом.
Сложность реализации высоких
требований по точности наведения СНА в большой степени определяется назначением
и свойствами объекта управления. В прямой зависимости от этого находятся и
устанавливаемые при этом показатели качества управления, являющиеся основой для
синтеза систем автоматического управления антенной установкой. Объектом
управления является зеркальная система, металлоконструкции опорно-поворотного
устройства и механизм наведения антенной установки совместно с исполнительным
двигателем.
Суммарная точность, которую
может обеспечить СНА, в основном определяется;
·
точностью
и жёсткостью конструкции ОПУ и механизмов наведения АУ в целом и её отдельных
частей, в том числе зеркальной системы;
·
точностью
управляющих сигналов ля наведения АУ с помощью привода в соответствии с
требованиями сопровождения космического объекта;
точностью, с которой угловое
положение исполнительных осей АУ может быть определено в любой момент бремени,
т.е. точность датчиков обратного контроля.
- динамической
точностью, которую может обеспечивать силовой привод АУ в условиях возмущений,
действующих на систему в процессе слежения.
По точности к исследуемой
системе наведения предъявляются жёсткие требования создание системы с высокой
добротностью и широкой полосой пропускания, что приводит к использованию
многоконтурного управления.
К одной из самых важных
проблем, от успеха решения которой зависят эффективность и качество управляемой
АУ, относится проектирование силового следящего привода. Он является
исполнительным элементом СНА, без которого невозможна работа ни в одном режиме.
Основными факторами, влияющими на выбор типа привода, являются:
·
требуемая
мощность,
- быстродействие;
·
диапазон
регулирования по скорости;
·
устойчивость;
·
надёжность
в работе.
1.3 Двухконтурная система
наведения
Как уже отмечалось, высокая
угловая точность достигается построением системы наведения по многоконтурной
схеме при совместном использовании сравнительно «грубого», но работающего в
большом диапазоне углов и скоростей силового контура, и более точных
корректирующих контуров, работающих в поле ошибок силового привода.
Функциональная схема
двухконтурной системы наведения с одним датчиком рассогласования представлена
на рисунке 1.1.
Рис 1.1 Функциональная схема
двухконтурной системы наведения.
Рассмотрим принцип действия двухканальной
системы. В двухканальных системах первый
(основной) канал обычно называют грубым, а второй канал, работающий от ошибки
первого и уменьшающий ошибку системы, называют точным.
Грубый канал в двухканальных
системах автоматического управления решает в основном задачи усиления по
мощности и воспроизведения на выходе низкочастотных составляющих спектра
полезного сигнала. Точный канал предназначен для усиления высокочастотных
составляющих спектра мощности полезного сигнала, который вследствие ограничений
не в состоянии передать грубый канал. мощности на низких частотах и
относительно небольшой мощности на высоких.
.4 Исходные данные для разработки системы
управления антенной
Рис. 1.2 Структурная схема точного контура
антенной САУ.
где:
-коэффициент усиления приёмника
усилительно-преобразовательного устройства;
- коэффициент усиления
исполнительного устройства;
с - постоянная времени приёмника
усилительно-преобразовательного устройства;
с - постоянная времени
исполнительного устройства;
Максимальная ошибка точного контура
;
Скорость изменения входного сигнала
поступающего на вход точного контура
;
Ускорение входного сигнала
;
Запас устойчивости по фазе
;
Величина максимального
перерегулирования
;(x) -
нелинейный элемент статическая характеристика которого представлена на рисунке
1.3
с = 27 с; а = 0.03;
Рис. 1.3 Нелинейный элемент типа
«Двухпозиционное реле с гистерезисом».
Необходимо:
В данной работе необходимо
разработать, а затем провести исследование точного контура системы управления
РЛС в режиме автосопровождения цели.
Для достижения поставленной задачи
необходимо:
определить и проанализировать
показатели качества исходной системы без учёта нелинейной составляющей.
определить устойчивость.
если найденные показатели качества
не удовлетворяют заданным, то определить корректирующее устройство.
рассмотреть уже скорректированную
нелинейную СНА.
Выводы
Система наведения антенны
является сложной динамической системой автоматического регулирования, которая
осуществляет функционирование в последовательно сменяющихся режимах. К одной из
самых важных проблем, от успеха решения которой зависят эффективность и
качество управляемой АУ, относится проектирование силового следящего привода,
он является исполнительным элементом СНА, без которого невозможна работа ни в
одном режиме.
Глава 2. Определение показателей качества работы
линейной системы управления антенной
.1 Структурная схема исходной системы
Прежде, чем проводить исследования СНА с
нелинейным элементом, рассмотрим модель линейной непрерывной системы.
Естественно, что для моделирования составим структурную схему модели.
При построении структурной схемы непрерывной
следящей системы за основу примем структурную схему, приведённую на рис. 1.2. ,
которая иллюстрирует работу грубого контура системы наведения антенны.
Рис. 2.1. Структурная схема исходной системы.
и
тогда
Передаточная функция разомкнутой
системы будет иметь вид:
(2.1.1)
В этом случае ЛАЧХ будет
рассчитываться и строиться в соответствии с формулой:
(2.1.2)
и ЛФЧХ по формуле:
(2.1.3)
Рис. 2.2. ЛАЧХ и ЛФЧХ исходной
системы
Из технического задания известно,
что запас по фазе Y=40°.
Исходя из этого, анализируя
полученные ЛАЧХ и ЛФЧХ можно сделать вывод о неудовлетворительности исходной
системы управления антенной заданным критериям качества, так как здесь запас по
фазе Y=8°. Очевидно, что в данном случае введение в систему корректирующих
цепей просто необходимо. Корректирующие цепи предусмотрим в структурной схеме
отдельным звеном с передаточной функцией
.
.2 Определение и анализ прямых
показателей качества
Основное условие работоспособности
систем автоматического управления заключается в её устойчивости. Однако
устойчивость - не единственное условие необходимое для практического применения
системы. Наряду с этим выдвигаются определённые требования к качеству процессов
регулирования. Комплекс требований, определяющих поведение системы в
установившемся и переходном режимах отработки заданного воздействия,
определяется показателями качества: прямыми показателями качества
(быстродействием и плавностью протекания переходного процесса), определяемыми
по переходной характеристике САУ, косвенными (запасами устойчивости по
амплитуде и фазе), точностью.
Точность САУ определяется ошибкой,
которая равна разности между задающими значениями и значениями выходного
сигнала при
(2.2.1)
В соответствии со структурной схемой
САУ (рис. 2.1) ошибка в изображении по Лапласу:
(2.2.2)
Уравнение (2.2.1) даёт возможность
получить ошибку и в переходном и в установившемся режимах по управляющему и
возмущающим воздействиям. Для определения ошибки в установившемся режиме можно
воспользоваться теоремой о предельном значении преобразования Лапласа:
(2.2.3)
В зависимости от вида входного
сигнала получаем различные виды ошибок. Так, при подаче на вход ступенчатого
воздействия в установившемся режиме имеет место статическая ошибка:
(2.2.4)
Кинетическая ошибка
или
скоростная, возникает в установившемся режиме после отработки линейного
входного воздействия:
или
,
где
(2.2.5)
При отработке входного воздействия,
изменяющегося по квадратичному закону
, в установившемся режиме возникает
ошибка по ускорению:
управление антенна
импульсный наведение
(2.2.6)
Как видно из формул, все виды ошибок
зависят не только от вида входного сигнала, но и от структурной системы, а
точнее от порядка астатизма системы, равного разности числа интегрирующих и
дифференцирующих звеньев, лежащих цепи обратной связи по отношению к заданному
входному сигналу и сигналу ошибки.
.3 Исследование условий устойчивости
исходной системы управления антенной
Выполнение требований по точности
должно сопровождаться обеспечением в системе управления необходимых запасов
устойчивости. При проведении расчётов с помощью ЛЧХ удобно использование
частотных оценок запаса устойчивости. Для этой цели наиболее удобен показатель
колебательности (М), который представляет собой высоту наибольшего пика
амплитудной частотной характеристики замкнутой системы, отнесённого к её
начальной координате. Получение заданного показателя колебательности сводится к
требованию, чтобы окружающую точку (-1,j0) и
представляющую собой окружность.
Радиус этой окружности равен:
а смещение центра влево относительно
начала координат:
Такая запретная область показана на
рис. 2.3
Рис. 2.3. Запретная область для АФЧ
разомкнутой системы.
Можно найти условие того, чтобы АФХ
разомкнутой системы не заходила в эту запретную область. Это имеет место в том
случае, если запас по фазе, полученный в результате коррекции системы, не
меньше требуемого запаса по фазе определяемого как:
, (2.3.1)
где
(2.3.2)
Определим максимальный показатель
колебательности нашей системы. Для этого
(2.3.3)
(2.3.4)
(2.3.5)
В нашей системе согласно
техническому заданию необходимо обеспечить запас по фазе Yтр=40° на частоте
среза, то есть при А=1. В этом случае имеем следующий показатель колебательности
системы:
При этом требуемый запас по фазе Yтр
обеспечивается, если А лежит в пределах:
И соответственно:
Что соответствует интервалу частот
на ЛАЧХ:
При обеспечении требуемой точности
воспроизведения полезного сигнала необходимо определить запретную зону в
низкочастотной области, в которой ЛАЧХ системы проходить не может. При этом мы
будем исходить из требований ограничения максимальной ошибки воспроизведения
полезного сигнала в нашей системе
при известной максимальной скорости
изменения входного сигнала
и максимальном ускорении
Для этих заданных значений можно
определить контрольную точку для ЛАЧХ, ниже которой ЛАЧХ разомкнутой системы не
должна опускаться, чтобы обеспечить заданную точность. Координаты контрольной
точки определяются следующим образом:
(2.3.6)
(2.3.7)
При режиме задающего воздействия, в
котором амплитуда первой его производной, то есть скорость, по-прежнему равна
максимальному значению
, а
амплитуда второй производной, то есть ускорение, меньше максимального значения
, частота
контрольной точки
будет
меньше по сравнению с предельным режимом, а амплитуда
будет
больше. Таким образом, при уменьшении амплитуды X,
контрольная точка будет перемещаться в область низких частот по прямой, имеющей
наклон -40 дБ/дек. Если амплитуда второй производной устремится к нулю, то
частота
тоже
устремится к нулю, что соответствует режиму работы системы с постоянной
скоростью
. При этом
отношение максимальной скорости к максимальной ошибке определяет предельное
значение общего коэффициента усиления системы, ниже которого нельзя иметь
реальный коэффициент усиления, то есть добротность системы по скорости:
(2.3.8)
При режиме задающего воздействия, в
котором амплитуда второй производной входного воздействия остаётся максимальной
, а
амплитуда первой производной уменьшается, контрольная точка будет перемещаться
в область более высоких частот, двигаясь по прямой, имеющей наклон -40дБ/дек.
Квадрат частоты точки пересечения этой прямой с частотной осью равен
предельному коэффициенту усиления разомкнутой системы, то есть добротность по
ускорению:
(2.3.9)
Область, расположенная ниже пересекающихся
прямых с наклонами -40дБ/дек и -20дБ/дек, представляет собой запретную область
для ЛАЧХ проектируемой системы.
Исходя из этого условия и условия
обеспечения требуемого запаса по фазе, мы и будем строить корректирующее
устройство непрерывной системы.
2.4 Выбор корректирующего устройства
По заданным показателям качества -
перерегулированию σ=30%,
времени
перерегулирования tрег строится желаемая ЛАЧХ Lж. Оно
основано на связи переходного процесса с вещественной характеристикой замкнутой
системы и ЛАЧХ разомкнутой системы. Для синтеза используется типовая
вещественная характеристика замкнутой системы P3(ω):
Рис. 2.4. Зависимость tрег=f(Pмакс).
мин≈1 - Pмакс
Общее регулирование:
где значения σ1(Pмакс)
выбирается из рис. 2.4
Тогда по графику, приведённому на
рис. выбираем σ1=24%
, тогда
Рис. 2.5 Номограмма P3(ω)=const в плоскости
φ.
Из рис. видно, что условие
соответствует тому, чтобы ЛФЧХ не заходила в запретную область, ограниченную
кривыми с индексами Pмакс =1,2 и Pмин=-0,2.
Приближенно эти кривые заменяют прямоугольником с параметрами L1=16дБ, L2=16дБ.
Величины L1 и L2 будут
определять запас по фазе устойчивости по амплитуде в диапазоне частот ωL1 и ωL2. Частота
среза желаемой ЛАЧХ выбирается из условия:
(2.4.1)
Определяя место пересечения вещественной
части вещественной частотной характеристики с осью абсцисс получим ωпл.
Передаточная функция замкнутой
исходной системы:
(2.4.2)
Выделим вещественную часть:
Умножим числитель и знаменатель на
выражение. Тогда получим:
(2.4.3)
выразим

Из формулы найдём
:
Теперь, когда мы располагаем полной
информацией обо всех элементах системы, мы имеем возможность вплотную заняться
вопросом, связанным с обеспечением устойчивости линейной части системы.
Необходимость коррекции линейной
части системы были доказаны в разделе 2.1 , и там же была приведена
структурная схема непрерывной системы, передаточная функция разомкнутой
системы, её ЛАЧХ и ЛФЧХ.
Для того, чтобы система
удовлетворяла требуемым показателям качества, необходимо подобрать
корректирующее устройство, чтобы в результате его применения обеспечить в
системе запас по фазе
=40°. Как
правило, такой запас по фазе обеспечивается наклоном желаемой ЛАЧХ -20дБ/дек на
частоте среза в том случае, если интервал, на котором ЛАЧХ сохраняет этот
наклон, составляет не меньше декады.
Пользуясь этой рекомендацией,
построим желаемую ЛАЧХ системы в одних координатах с ЛАЧХ исходной системы Рис.
2.6 .
Рис. 2.6. ЛАЧХ L(
) исходной и
ЛАЧХ L1(
) желаемой
систем.
В этом случае ЛАЧХ корректирующего
устройства вычисляется путём вычитания из ЛАЧХ желаемой ЛАЧХ исходной системы:
ЛАЧХ корректирующего устройства,
полученная таким образом, приведена на Рис. 2.7. Из неё довольно просто можно
получить вид и параметры этого устройства:
(2.4.4)
где=0,02c;=0,5c;=2c;=7,24c;
Рис. 2.7. ЛАЧХ корректирующего устройства.
ЛФЧХ корректирующего устройства в данном
конкретном случае рассчитывается по формуле:
ЛФЧХ желаемой системы будет вычисляться, как
сумма ЛФЧХ исходной системы и корректирующего устройства:
Рис. 2.8. ЛФЧХ желаемой системы .
Анализируя полученные
характеристики, можно сказать, что выбранное корректирующее устройство вполне
удовлетворяет требованию по обеспечению необходимого запаса по фазе. При
использовании этого корректирующего устройства обеспечивается запас по фазе
на частоте
среза
Так как корректирующее устройство
включено последовательно в структуру системы, то передаточная функция всей
системы в разомкнутом виде будет определяться, как :
Чтобы получить полную структурную
схему скорректированной линейной непрерывной системы, приведённой на Рис. 2.9.
нужно добавить в нескорректированную систему корректирующее звено
.
Рис. 2.9. Структурная схема
скорректированной линейной непрерывной системы.
Выводы
В этой главе были определены
показатели качества линейной системы. Построены ЛАЧХ и ЛФЧХ, и на основе их
анализа были сделаны выводы о неудовлетворительности исходной системы заданным
критериям качества.
Также были определены ошибки: ошибка
в изображении по Лапласу, статическая ошибка, кинетическая, а также ошибка по
ускорению. Проведено исследование условий устойчивости исходной системы.
На основе исследования и расчета
было выбрано корректирующее устройство. Проведена коррекция исходной системы.
Построены ЛАЧХ и ЛФЧХ скорректированной системы, на основе их анализа был
сделан вывод о том что показатели системы удовлетворяют заданным.
Глава 3 Исследование нелинейной
системы управления антенной
.1 Определение параметров
автоколебаний
Исследование нелинейной САУ методом
гармонической линеаризации.
Система с нелинейным звеном показана
на рис.
Рис. 3.1. Система с нелинейным
звеном.
Комплексным коэффициентом усиления
нелинейного звена называется отношение первых гармоник выходного и входного
сигналов, выраженных в комплексной форме [1] :
(3.1.1)
где
(3.1.2) (3.1.3)
Комплексный коэффициент усиления
показывает соотношение амплитуд и фаз гармоники входного и выходного
гармонического сигналов, и в этом смысле напоминает комплексный коэффициент
усиления линейного звена. Однако в отличие от линейного звена комплексный
коэффициент усиления зависит не от частоты, а от амплитуды входного сигнала.
Составляющие комплексного коэффициента усиления g(А) и b(А) называют
коэффициентами гармонической линеаризации.
Рассмотрим безынерционное звено со
статической характеристикой, которая представлена на Рис.3.2.
Рис. 3.2. Характеристика нелинейного
элемента типа «двухпозиционное реле с гистерезисом».
Найдём коэффициенты g(t) и b(t) уравнений
релейного звена по формулам, данным выше:
Уравнение гармонического баланса с
использованием комплексных коэффициентов усиления линейного и нелинейного
звеньев можно записать следующим образом [2]:
(3.1.4)
Система уравнений гармонического
баланса: первое уравнение баланс амплитуд, а второе - баланс фаз [1]:
(3.1.5)
В формулу подставляем наши значения,
тогда получаем:
Помножим числитель и знаменатель на
сопряженное знаменателя, тогда получим:
Подставляем в систему уравнений
полученные результаты:
Решаем систему уравнений в
математическом пакете MATHCAD, получаем:
На Рис. 3.3 изображены АЧХ линейной
части и инверсного коэффициента гармонической линеаризации, взятого со знаком
минус. Они пересекаются в двух точках, определяющих искомые автоколебательные
режимы.
Рис. 3.3. АФЧХ линейной и
нелинейной части системы.
Доказано, что автоколебания
устойчивы, если, двигаясь по характеристике нелинейного элемента в сторону
возрастания амплитуды, переходим из неустойчивой в устойчивую область D-разбиения [2].
Исходя из этого, в нашем случае автоколебания устойчивы при А=
Глава 4 Моделирование системы
управления антенной в математическом пакете MATLAB
.1 Моделирование системы управления
антенной в линейном варианте
Показатели качества процесса
регулирования наиболее точно определяются решением уравнений динамики,
описывающих САУ, с последующим построением кривой переходного процесса. Однако
прямой анализ сложных систем, динамический режим которых описывается
дифференциальными уравнениями высоких порядков, требует громоздких вычислений.
Для количественной оценки показатели качества процесса управления таких систем
используют математическое моделирование ЭВМ. В данной работе мы будем приводить
моделирование системы управления в матричной системе компьютерной математики MATLAB 6.5 и её
расширении - системе Simulink.
Структурная схема исходной системы
составленная в Simulink, представлена на Рис. 4.1.
Рис. 4.1. Структурная схема исходной
системы.
Рис. 4.2. ЛАЧХ и ЛФЧХ исходной
системы.
Рис. 4.3. Переходной процесс
исходной системы.
При подаче на вход системы Рис. 4.1.
единичного воздействия получаем переходной процесс исходной системы Рис. 4.3.
Из которого видно, что система неустойчива, так процесс расходящийся. Величина
максимального перерегулирования равна
, что не удовлетворяет заданным.
Статическая ошибка в системе равна
.
Рис. 4.4. Отработка линейного
входного сигнала исходной системой.
При подаче на вход системы Рис. 4.1.
линейно возрастающего сигнала, получаем Рис. 4.4. изображающий отработку
линейного входного сигнала. Из этого рисунка можно найти, что кинетическая
ошибка равна бесконечности.
Для получения динамической ошибки
исходной системы Рис. 4.1 подадим на её вход синусоидальный сигнал,
изображённый на Рис. 4.4. Динамическая ошибка равна бесконечности
Рис. 4.4. Отработка синусоидального
входного сигнала исходной системы.
Из Рис. 4.2. и Рис. 4.3. можно
сделать вывод, что исходную систему надо корректировать, так как система
неустойчива. Структурную схему скорректированной системы можно видеть на Рис.
4.5.
Рис. 4.5. Структурная схема
скорректированной системы.
По передаточной функции
скорректированной системы строим ЛАЧХ и ЛФЧХ Рис. 4.6. По которым
определяем запас по фазе на
равный Y=
, что
удовлетворяет заданному.
Рис. 4.6. ЛАЧХ и ЛФЧХ
скорректированной системы.
При подаче на вход системы Рис. 4.5.
единичного воздействия получаем переходной процесс скорректированной системы
Рис. 4.7. Из которого видно, что система устойчива, так как процесс сходящийся.
Величина максимального перерегулирования равна 27%, что удовлетворяет заданному
параметру. Статическая ошибка в системе равна 0.001
Рис. 4.7. Переходной процесс
скорректированной системы.
Подавая на вход системы рис. 4.5.
линейный сигнал, получаем кинетическую ошибку равную 0.0055 Рис.4.8.
Рис. 4.8. Отработка
скорректированной системой линейного входного сигнала.
При подаче на вход системы Рис. 4.5.
синусоидального сигнала, получаем динамическую ошибку равную 0.037 Рис. 4.9.
Рис. 4.9. Отработка
скорректированной системой синусоидального входного сигнала.
.2 Исследования нелинейной системы
Так же как и для линейной составим
структурную схему нелинейной системы, изображённой на Рис. 4.10.
Рис. 4.10. Структурная схема
скорректированной системы с нелинейным элементом
При подаче на вход системы
ступенчатого сигнала получим переходной процесс нелинейной системы,
представленной на Рис. 4.11 .
Рис. 4.11. Переходный процесс
скорректированной системы с нелинейным элементом.
Меняя параметры Н.Э. посмотрим как
будет меняться переходной процесс.
С равно 20
Амплитуда равна 5.2
С равно 25
Амплитуда равна 6.2
С равно 35
Амплитуда равна 8.2
Таблица 4.2. Переходной процесс
нелинейной системы при различных параметрах Н.Э.
|
Точка
включения
|
Точка
выключения
|
Амплитуда
|
|
20
|
20
|
5.2
|
|
25
|
25
|
6.2
|
|
27
|
27
|
6.6
|
|
35
|
35
|
8.2
|
Из таблицы 4.2 видно что при увеличении значения
точки «C» амплитуда
увеличивается.
При изменении точки «a»
более чем в 10 раз изменения оставались незначительными.
Выводы
В этой главе было проведено моделирование
системы управления антенной в матричной системе компьютерной математики MATLAB
6.5 и её расширения Simulink.
Проведено моделирование исходной системы. Были
построены ЛАЧХ и ЛФЧХ. Получен переходной процесс системы, анализируя который
были получены: величина перерегулирования и статическая ошибка системы. По графику
отработки исходной системой линейного входного сигнала была найдена
кинетическая ошибка. По графику отработки синусоидального входного сигнала была
найдена динамическая ошибка.
По результатам моделирования можно сделать
вывод, что исходная система не удовлетворяет заданным показателям качества. Что
и было доказано во 2 главе.
Произведено моделирование скорректированной
системы. Построены ЛАЧЧ и ЛФЧХ. Получен график переходного процесса, из анализа
которого были получены величина максимального перерегулирования и статическая
ошибка. По графику отработки скорректированной системой линейного входного
сигнала была получена кинетическая ошибка. По графику отработки системой
синусоидального входного сигнала была получена динамическая ошибка.
По результатам моделирования можно сделать
вывод, что корректирующее устройство было выбрано правильно. Из анализа
полученных данных можно утверждать, что скорректированная система удовлетворяет
требуемым показателям качества.
Заключение
В ходе рассмотрения нелинейной скорректированной
системы были определены параметры автоколебаний.
В математическом пакете MATLAB
6.5 было проведено моделирование как линейной, так и нелинейной систем.
Результаты моделирования показывают, что система управления антенной
удовлетворяет всем предъявляемым к ней требованиям из технического задания.
Библиографический список
1.
В.А.Бесекерский
. Теория систем автоматического регулирования . Москва «Наука», 1966 г.
2.
Теория
автоматического управления . Под. ред. А.В.Нетушила. Москва. «Высшая школа» ,
1976 г.
3.
В.А.Артамонов
. Следящие системы радиолокационных станций автоматического сопровождения и
управления . Ленинград, «Судостроение», 1969 г.
4.
А.А.Воронов.
Основы теории автоматического управления . Москва, «Энергия», 1965 г.
5.
Белянский.П.В.,
Сергеев.Б.Г. Управление наземными антеннами и радиотелескопами . Москва. «Сов.
радио» , 1980 г.
6.
Дьяконов.В.П.
Обработка сигналов и изображений MATLAB
6.0/6.1/6.5/6.5+SP1
Simulink 4/5 . Москва.
«СОЛОН-Пресс» , 2005 г.
7.
Лурье.Б.Я.,
Энрайт.П.Дж. Классические методы автоматического управления . Санкт-Петербург ,
«БХВ-Петербург» , 2004 г.