Расчет размеров конструкции балки пролетом 18 метров из стали
Министерство образования и науки
Российской Федерации
ФГАОУ ВПО "Северо-Восточный
федеральный университет им. М.К. Аммосова
Технологический институт
Колледж технологий
Кафедра технических дисциплин
Курсовая работа по дисциплине:
Расчет и проектирование сварных
конструкций
Тема: Расчет размеров конструкции
балки пролетом 18 метров из стали
Выполнил: Попов Н.А.
Студент II курса гр. СП-13
Проверил: Устинов Е.П.
Якутск 2015
Содержание
Введение
Глава 1. Конструкторская часть
1.1 Общая часть
1.2 Описание конструкции сварного узла с анализом его
технологичности
1.3 Технические условия на изготовление сварного узла
1.4 Выбор основного и сварочного материала
1.5 Выбор вида сварки и оборудования
Глава 2. Расчетная часть
Заключение
Использованные литературы
Введение
Металлическая балка - это высокопрочное прокатное изделие,
изготавливающееся из металла большой плотности. По форме различается балка с
коробчатым или с двутавровым сечением, однако, в силу простой конструкции и
технологии изготовления, балка двутавровая в строительстве получила большее
распространение.
Существует несколько критериев, с учетом которых
классифицируется балка стальная:
· Двутавровые балки
перекрытия, в зависимости от ГОСТов и требований того или иного объекта, могут
иметь разную высоту, толщину и длину. Максимальные показатели - 3500 мм, 50 мм
и 15,5 м соответственно.
· Балка двутавровая по
расположению граней полок может быть: изделием с параллельными гранями полок и
с уклоном внутренних граней.
· Металлическая балка с
параллельными полками в свою очередь подразделяется на нормальную, колонную и
широкополочную.
· Материалом, из которого
изготавливаются двутавровые балки перекрытия, может быть углеродистая или
низколегированная сталь.
Балка представляет собой конструктивный элемент сплошного
сечения, предназначенный для работы на поперечный изгиб. Балки применяют в
различных перекрытиях, рабочих площадках, эстакадах, мостах, подкрановых балках
и других конструкциях. Наиболее широкое применение сплошностенчатые балки
находят для небольших пролётов при больших нагрузках. В случае больших пролётов
и малых нагрузок рациональнее использовать сквозные балки или фермы, так как
получаемая в данном случае экономия металла более существенна, чем увеличение
трудоёмкости.
Сварные балки обычно состоят из трёх элементов: вертикального
- стенки и двух горизонтальных - поясов (полок), присоединяемых к стенке при
помощи сварки, как правило, автоматической. Возможны и другие конструктивные
решения составных балок.
Устройство поясов из нескольких листов, сваренных по
продольным кромкам, менее предпочтительно ввиду необходимости сварки
протяжённых швов, сложности обеспечения плотного прилегания поясных листов друг
к другу, неравномерности распределения напряжений.
По статической схеме балки классифицируются на разрезные,
консольные и неразрезные. В металлических конструкциях чаще применяют разрезные
свободно опертые (без защемления) балки. Неразрезные балки и однопролётные
защемлённые балки более экономичны по расходу металла, однако сложнее в
изготовлении и особенно в монтаже.
Балки разделяют по способу соединения элементов на сварные и
клепаные. Наибольшее распространение получили сварные балки, так как они более
экономичны по расходу металла и менее трудоёмки при изготовлении. Клёпаные
балки применяют редко, как правило, для конструкций, работающих в условиях
тяжёлых динамических или вибрационных нагрузок.
Составные балки могут изготовляться из элементов с разными
марками стали. Стенку балки, работающую в большей части на изгиб с
незначительными напряжениями, изготовляют из менее прочной и более дешёвой
углеродистой стали, а пояса - из низкоуглеродистой. Наибольший эффект
достигается при использовании в растянутых элементах высокопрочной стали.
С исторической точки зрения балки непрерывно
эволюционировали. На первоначальном этапе осуществляли изготовление балок
прокаткой на примитивных станках с относительно небольшими поперечными
сечениями. Большое значение имела прокатка двутавров.
Условие проката не позволяло придавать им наиболее
рациональные формы, полки имели небольшую ширину, а стенка - значительную
толщину.
Такой тип был не рационален с позиции использования металла.
В балке, работающей на изгиб, наиболее напряжённая зона - полка. Стенка
нагружена в меньшей степени. Следует основную массу металла иметь в полках, а в
стенках - меньшую долю. Сварка открыла возможность создания рациональных
коробчатых профилей. В настоящее время положение изменилось. Балки
прокатываются с широкими полками с параллельными кромками, что облегчает
взаимное сопряжение балок во взаимно перпендикулярных направлениях.
Цель курсовой работы: Расчет и проектирование
размеров конструкции балки пролетом 18 метров из стали.
Для расчета существует следующие задачи:
. Изучение конструкции балки;
2. Рассчитать размеры двутавровой балки.
Глава 1.
Конструкторская часть
1.1 Общая
часть
Металлическая балка является одним из ключевых элементов для
любого производственного строительства.
Балка - это металлическое изделие повышенной стойкости к
любым воздействиям окружающей среды. Она изготавливается из углеродистой или
низкоуглеродистой стали. Балка используется для возведения различных перекрытий
и опор.
Выделяют несколько видов строительных балок:
. Двутавровые горячекатаные балки (стальные балки);
2. Двутавровые горячекатаные балки с параллельными
гранями (стальные балки);
. Двутавровые балки из углеродистых сталей (балки из
низко - и среднеуглеродистых сталей);
. Балки из металла (этот вид балок применяется для
строительства подвесных путей);
. Широкополочные балки;
. Колонные балки;
. Балки нормальные.
Балка двутавровая для строительства гражданских и
промышленных сооружений. При строительстве гражданских, общественных и
промышленных зданий часто используется металлическая балка и балочные конструкции.
Металлические балки могут быть элементом конструкции кровли, междуэтажных
перекрытий здания, используется балка и для сооружения крановых эстакад.
Двутавровая балка чаще всего используется для строительства колонн и перекрытий
в домостроении. Двутавровая балка также применяется и в стальных фермах
перекрытий промышленных и гражданских зданий. Повсеместное применение
двутавровых балок обуславливается простотой их конструкции изготовления и
надежностью в работе.
Двутавровые стальные балки находит своё использование,
как правило, при строительстве разно форматных перекрытий, мостовых сооружений
и подвесных путей, а также армирования шахтных стволов и т.д. Стальная
двутавровая балка является очень устойчивой, поэтому ее можно использовать для
перекрытия больших пролетов с существенной нагрузкой. Кроме того, стальная
балка не повреждается вследствие воздействия негативных факторов окружающей
среды, не подвержена коррозии при использовании специального защитного покрытия
и обладает высокими противопожарными характеристиками.
Технология изготовления сварной балки,
экономичен и успешно конкурирует с изготовлением балок способом прокатки, по
другому называют горячекатанная двутавровая балка. Изготавливаются двутавровые
балки, конечно же, из металла. Чаще всего для производства балок применяются
углеродистые стали. В частности, довольно распространены двутавровые балки из
низкоуглеродистых сталей.
В конструкциях двутавров внутренние грани полок
могут располагаться наклонно либо параллельно. Сортамент, который имеет балка
двутавровая, характеристики, габариты в основном определяются расстоянием между
параллельными (П) или наклонными (У) внешними гранями.
Балка двутавровая ГОСТ 26020 83 характеризуется
параллельными гранями полок. Под этот стандарт входят двутавры, имеющие высоту
10-100 см и ширину полок - 5,5-40 см. По последнему параметру классифицируют
на: узкополочные (У), нормальные (Б), среднеполочные (Д), широкополочные (Ш) и
колонные (К). Последние отличаются почти одинаковой высотой профиля и шириной
полки.
Прокатная балка используется для перекрытий небольших
площадей конструкций с малой несущей способностью. Это объясняется перечнем
употребляемых прокатных профилей. Она незаменима в балочных клетках, для
перекрытия небольших пространств гаражей, подвалов, складов. Ее используют
также в качестве опорных брусьев, которые поддерживает кровлю, в конструкциях
эстакад. В отличие от составной прокатной балки более металлоемки, так как
увеличивается толщина их стенок. Существенными плюсами таких прокатных изделий
является то, что на их производство затрачивается сравнительно меньше сил и они
надежны в использовании. К тому же их стенки не нужно дополнительно укреплять
ребрами жесткости. Исключение составляют опорные участки и участки приложения
существенных сконцентрированных сил. То, что в местах соединения полки со
стенкой нет сварных швов, позволяет снизить сосредоточение напряжений и степень
их начальных дефектов.
Как правило профилем прокатной балки является прокатный
двутавр, который определяется государственным стандартом №8239-72. Номенклатура
выпускаемых профилей в стране позволяет одним двутавром принимать изгибающий
момент до 1000 кН/м. В качестве другого ее профиля выступает швеллер. И хотя он
неравномерен, скручивается при изгибе, но имеет относительно широкую полку, чем
двутавр, лучше действует на косой изгиб. Потому он применяется в качестве
основного профиля для прокатных опорных балок, поддерживающих скатные кровли.
Широкополочные балки используются для несущих конструкций,
как опорные направляющие. Балки данного типа из толстого листа способны
выдерживать высокие нагрузки и используются при строительстве высотных зданий.
Балки двутавровые широкополочные имеют параллельные грани полок. Благодаря
большей ширине полок широкополочные двутавровые балки имеют большую жесткость
относительно оси "у", поэтому их можно применять в конструкциях без
дополнительных закреплений.
Колонные балки имеют очень мощные толщины перемычек и полки,
что позволяет им выдержать значительные нагрузки. Требования к габаритам балок
определяет ГОСТ, например, кривизна двутавровой балки не должна быть более 0,2%
от ее длины (контроль размера и формы балки осуществляют на расстоянии не менее
полуметра от торца). Колонные балки применяются для создания надежных колонных
конструкций. Любые двутавровые балки различаются между собой по толщине стенки
и полок, по способу производства и назначению.
Подкрановые балки представляют собой конструкции, по которым
передвигаются мостовые подъемные краны, обслуживающие производственные
помещения. Опорами подкрановых балок обычно служат колонны. Мостовые краны
передвигаются по рельсам, уложенным на верхний пояс балки.
Подкрановые балки могут быть железобетонными и
металлическими. В последнее время все чаще применяются металлические сварные
или клепаные подкрановые балки, в связи с тем, что железобетонные конструкции
не являются достаточно надежными и подвергаются разрушению в процессе их
эксплуатации
Балки подкрановые железобетонные в основном используются для
устройства рельсовых путей башенных и козловых кранов грузоподъемностью до 10
тонн.
Подкрановые балки представляют собой конструкции из бетона
класса В 22,5 с арматурой класса А - Ш и А - I. В железобетонных подкрановых
балках предусмотрены закладные детали для крепления к ним рельсов.
Нагрузки на подкрановую балку:
- подвижная вертикальная нагрузка от крана,
(динамическое воздействие на балку);
- поперечные тормозные силы, вызывающие
изгиб верхнего пояса в горизонтальной плоскости.
конструкция балка сталь сварка
Постоянное воздействие комплекса нагрузок приводит к износу
подкрановой балки.
Размеры двутавровой балки зависят от ее предназначения. Длина
балки составляет от 4 до 12 метров, высота - от 10 до 100 сантиметров.
Двутавр классифицируется в зависимости от размера стенок и
полок балки, в зависимости от уклона внутренних граней полки. Двутавровая
балка, благодаря форме профиля, является наиболее эффективным и надежным
решением для изготовления опорных конструкций, подвергающихся нагрузкам и
изгибу.
Пояса балок представляют собой горизонтальные листы. Они
изготавливаются из листовой прокатки, прокатных швеллеров, гнутых профилей.
Пояса балок состоят из двух и более листов. А способ производства сварных
двутавровых балок позволяет изготовить пояса, которые будут иметь разнообразные
признаки и характеристики.
Использование поясных листов в поперечнике достигающих больше
30 миллиметров для малоуглеродистой стали неэффективное потому что у толстых
листов малый предел текучести, а значит, снижаются расчетные сопротивления.
1.2 Описание
конструкции сварного узла с анализом его технологичности
Балки Ст3пс, производимые из углеродистой стали.
Химический состав стали при изготовлении балок должен соответствовать ГОСТ
8239-2005 (ГОСТ 8239-89). Номер балки металлической - это ее условный размер
(высота) в сантиметрах. Например: нормальный двутавр 30Б1 - h (высота балки)
=296 мм, обычная двутавровая балка Ст3пс - 12д - h=299мм. Все остальные
размеры: ширина полок, толщина стенки и т.д. согласно по ГОСТу. Минимальный
номер балки металлической 10, максимальный - 100 (100Б4). Изготовление балок с
другими параметрами возможно только по специальному заказу. Размер балки
стальной - это расстояние между внешними гранями полок.
Балка Ст3пс - это конструктивный элемент, обычно в виде
бруса, который работает главным образом на изгиб, изготовленный из углеродистой
стали Ст3пс. Существуют угловые и полые, тавровые и двутавровые балки. По типу
сечения различают прокатные либо сварные (составные) балки. Последние, по
сравнению с горячекатаными, позволяют уменьшить массу конструкций до тридцати
процентов.
Балка двутавровая - тип профиля, имеющий в сечении вид буквы
Т. Она обладает высокой жесткостью при этом имеет небольшой вес - таким
образом, идеально подходит для сооружения высоконагруженных зданий. Двутавры
изготавливают из углеродистой и низкоуглеродистой стали.
Балка строительная двутавровая Ст3пс классифицируют по
точности прокатки. Такие балки могут быть повышенной точности (имеют индекс Б)
и обычной точности (имеют индекс В). Для производства строительных балок широко
применяется углеродистая, а также особая низколегированная сталь. Особой
популярностью пользуются балки, которые производятся из низколегированной стали
(09Г2С). Химический состав стали, которая применяется для изготовления балок
строительных, должен соответствовать всем стандартам ГОСТ 380.
Двутавровые балки имеют свои номера, например, балка 35.
Номер совпадает с ее высотой. Толщина стенок и ширина полок являются
постоянными, их можно посмотреть в стандарте. Наиболее популярными являются
балки 20 и 25.
1.3
Технические условия на изготовление сварного узла
Среди всех видов балок наибольшее распространение
получили балки двутаврового сечения. В основе этих балок лежит двутавровый
профиль, имеющий поясные швы. Метод сварки балок - под флюсом.
Профиль двутавровых балок состоит из трех элементов,
соединяемых друг с другом посредством сварки. Для увеличения надежности балки, соединяемые
элементы балки подвергаются сварке с двух сторон. Чтобы гарантировать
максимальную прочность сварки балок, при создании сварного шва балки
применяются выходные и заходные планки. Также следят за перпендикулярностью
расположения элементов балки и за качеством их прилегания.
Двутавр может быть изготовлен двумя основными способами:
- Горячая или холодная прокатка из стальной
заготовки;
- Сварка нескольких элементов в единую
конструкцию;
Каждый из этих способов имеет свои достоинства и недостатки,
но более распространены двутавры, изготовленные способом проката, этот метод их
производства считается экономически более обоснованным в ряде случаев. Этот вид
балки значительно отличается от других видов и превосходит их и по степени
износостойкости, и по прочности. Кроме того, двутавр более устойчив к
температурным изменениям.
В сварных балках пояса состоят из одного листа универсальной
стали. Производить пояса больше двух листов в них не желательно, так как,
скрепление между собой листов по краям фланговыми швами, увеличивает
неритмичность работы листов из-за роста дистанции для путей передачи напряжений
от стенки к внешним краям. К тому же увеличивается и число сварных швов. Не
избежать и образования щелей между свариваемыми только по кромке листами. Толщину
горизонтального пояса сварной балки обычно делают не больше нескольких величин
протяженности в поперечнике стенки. Это связано с тем, что в поясных швах могут
развиться усадочные растягивающие усилия.
Раскрой листового металла на полосы - штрипс нужной длины и
ширины изготавливается на установке термической резки с ЧПУ, которая позволяет
распускать лист одновременно несколькими резаками. Скорость резки, в
зависимости от толщины металла, доходит до 1 метра в минуту.
Фрезеровка торцов - для улучшения провара шва между полкой и
стенкой двутавра производится фрезерная обработка торцов на торцефрезерном
станке.
Как только первичная сборка завершена, можно двигаться
дальше. Сначала производится накладка поясных швов. Стоит отметить одну
особенность: если при сваривании балки вами применяется автоматический способ,
то проваривать ребра жёсткости на первом этапе не нужно, это делается
непосредственно после наложения поясных швов.
Обычно различают два основных типа стыка у балок, а именно:
- монтажные стыки;
- заводские;
Заводские стыки выполняет сам завод - производитель балки,
при условии, если длина проката оказывается немного меньше необходимой длины
балки. Готовую балку можно разместить в разных местах по ее длине, при этом в
расчет принимаются конструктивные и экономические особенности.
Монтажные же стыки являются соединением отдельных элементов,
а их главная задача состоит в том, чтобы изделие добралось от завода до места,
в котором будет производиться его монтаж.
Сварка двутавравой балки, осуществляется автоматизированными
портальными сварочными установками LHA. Приёмы и последовательность наложения
швов могут быть различными. Сварка наклоненным электродом позволяет
одновременно сваривать два шва. Выполнение швов "в лодочку" (на
стапелях под углом 45°) обеспечивает лучшие условия формирования шва и глубины
проплавления стенки, за то поворачивать изделие, приходится после сварки
каждого шва. Для этого используют позиционеры-кантователи. Основные швы по
своим размерам значительно превосходят сборочные швы, поэтому последние
полностью переплавляется.
Сварка балки в стык обычно проводится при использовании
специальных накладок, которые имеют форму ромба, при этом используется обычный
прямой сварной стык. Заметим, что накладки используются далеко не для всей
балки, а только для тех участков, на которые приходится самое большое
напряжение при выполнении работ.
При выполнении стыков балки нужно использовать швы одинаковой
прочности. Обычно швы делают косыми в нижнем поясе балки, а вот в верхнем он
должен быть исключительно прямым.
При выполнении сваривания стыков есть и свой порядок
проведения работы, который просто необходимо соблюдать, если вы хотите добиться
желаемого результата.
Начинается сварка всегда с элементов, которые имеют
поперечное соединение. Связано данное правило с тем, что поперечные соединения
после их выполнения, дают довольно большую усадку. Также скажем, что элементы
свариваются исключительно по отдельности - соединяются стыки поясов балки,
затем стыки стенки, а ребра жесткости также провариваются отдельно от других
элементов.
1.4 Выбор
основного и сварочного материала
Согласно СниП 11-23-81 подкрановые балки относятся к I - ой
группе стальных конструкций, т.к. работают в особо тяжелых условиях (согласно
ГОСТ 25546), подвергаются непосредственному воздействию динамических,
вибрационных и подвижных нагрузок.
Сталь Ст3пс углеродистой стали относится к I - ой группе
конструкционных сталей (СниП 11-23-81) и к классу сталей C345/C375 (буква С
означает сталь строительная, цифра после буквы - условное обозначение предела
текучести проката по ГОСТ 8239-89).
Углеродистая спокойная сталь обыкновенного качества марки Ст3сп
(Ст3сп5) выпускается по ГОСТ 380 "СТАЛЬ углеродистая обыкновенного
качества. Марки"
<#"865261.files/image002.gif">
1.5 Выбор
вида сварки и оборудования
В настоящее время сварку длинных поясных швов выполняют
преимущественно автоматами под флюсом. Балку собирают из трех ее основных
элементов (поясов и стенки), сваривают поясные швы автоматом, а затем
устанавливают поперечные ребра жесткости и приваривают их полуавтоматом или
вручную. Сборку сварных балок выполняют при помощи хомутов и прихваток или в
специальном кондукторе. Большое распространение в настоящее время имеет так же
автоматизированное оборудование для производства сварных двутавровых балок.
Применение флюса коренным образом улучшает протекание
процесса сварки балки. Наличие пузыря из жидкого флюса, находящегося под
давлением нерасплавленного флюса, устраняет разбрызгивание и разбрасывание
жидкого металла и тем самым обеспечивает прекрасное формирование сварочного шва
даже при силах тока до 3000-4000 а.
Если при открытой дугой сварке качественными электродами
потери металла на угар и разбрызгивание достигают 20-30%, то при сварке под
флюсом эти потери не превышают 1-2%. При сварке под флюсом расплавленный металл
остывает под слоем флюса, что замедляет процесс остывания и тем самым улучшает
условия для выхода газов из расплавленного металла.
Среди всех видов балок, наибольшее распространение получили
балки двухтаврового сечения. В основе этих балок лежит двухтавровый профиль,
имеющий поясные швы. Профиль двухтавровых балок состоит из трёх элементов,
соединяемых друг с другом посредством сварки. Сварка балки двутавровой происходит
под действием флюса. Изготовление профиля для балок, происходит с помощью
автоматов для сварки. Для увеличения надёжности балки, соединяемые элементы
балки подвергаются сварке с двух сторон. Чтобы гарантировать максимальную
прочность сварки балок, при создании сварного шва, балки применяются выходные и
заходные планки. Так же следят за перпендикулярностью расположения элементов
балки и за качеством их прилегания.
Наиболее широкое применение имеет двутавровый профиль с
поясными швами, выполняемыми обычно сварочными автоматами под флюсом. Двутавр
собирают из трёх листовых элементов. При их заготовке, помимо правки, резки и
зачистки кромок, часто предусматривают сборочную и сварочную операции для
получения листового элемента требуемой длины и ширины. В этом случае к стыковым
соединениям предъявляется требование полного и надежного проплавления с хорошим
формированием усиления шва.
Автоматический стан для производства двутавровых балок
осуществляет полный цикл производства сварной двутавровой балки. Процесс производства
представляет из себя:
· сборку двутавровой балки
путем прокатки через систему валков;
· сварку стыков балок под
слоем флюса в вертикальном положении;
· правку грибовидности
полок сварной двутавровой балки.
Автоматический стан для производства сварных двутавровых
балок оснащен современной системой рециркуляции флюса позволяющей уменьшить его
расход. Процесс сборки и сварки балок происходит в автоматическом режиме. Во
время производства можно регулировать скорость движения балки при помощи программного
логического контроллера, тем самым контролировать качество сварного шва.
Технические параметры автоматической установки для сварки
двутавровых балок
|
Модель
|
SXBH20
|
LMH-4000
|
|
Высота стенки
балки
|
200-2000мм
|
200-1500мм
|
|
Ширина поясного
листа
|
200-800мм
|
200-800мм
|
|
Модель
сварочной машины
|
Автоматический
аппарат для дуговой сварки под флюсом MZ-1-1000 (2 комплекта) Автомат для
дуговой сварки под флюсом
|
Автоматический
аппарат для дуговой сварки под флюсом MZ-1-1000 (2 комплекта)
|
|
Режим сварки
|
Сварка угловых
швов
|
Сварка угловых
швов
|
|
Скорость сварки
|
0.15-1.0м/мин
|
0.15-1.0м/мин
|
|
Скорость
обратного хода
|
3м/мин
|
3м/мин
|
|
Ширина колеи
|
2000мм
|
|
Мощность всей
установки
|
10кВт
|
|
Нужно сразу сказать, что для каждого элемента балки должен
производиться свой расчёт. Рассчитать все в общем для всех компонентов просто
невозможно. При этом, такой показатель, как изгибающийся момент, будет одинаков
для всей конструкции, который пропорционален к инертности. Эта особенность
вызывает необходимость проводить расчёт стенки балки вот по такой формуле:

- в данной формуле является полным расчётным моментом,
применяемым для стыка балки,

- является инерцией для конкретно стенки балки, а последний
показатель - инерция для балки в целом.
Также нужно помнить о том, что прочность стыка для стенки почти
всегда считается по формуле изгиба, которая действует для швов, выполненных
встык.
Глава 2.
Расчетная часть
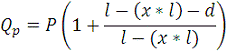
Требуется разработать конструкцию сварной
балки пролетом l = 18 м. свободно опертыми концами.
Допускаемое направление в подкрановых балках устанавливаем с учетом
коэффициентов условием работы m = 0,9 и
перегрузки n = 1,2; для стали Ст3пс. 
Балка нагружена равномерной нагрузкой от собственного веса q = 3 кН/м и двумя сосредоточенными грузами P = 55 кН, которые могут перемещаться по балке, расстояние
между осями тележки d= 2,5м., наибольший прогиб 
Конструирование балки следует начать с определения расчетных
усилий M
и Q. Сначала необходимо
построить линии влияния моментов, чтобы знать их максимально возможные значения
в разных сечениях балки. Максимальные ординаты Y и X составляет:
|
x
|
0,1
|
0,2
|
0,3
|
0,4
|
0,5
|
|
|
0,09
|
0,16
|
0,21
|
0,24
|
0,25
|
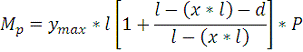
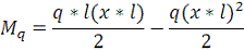
Момент от сосредоточенных сил оси y вычисляется по формуле:
|
X
|
0
|
0,1
|
0,2
|
0,3
|
0,4
|
0,5
|
|
Q
|
1
|
0,9
|
0,8
|
0,7
|
0,6
|
0,5
|

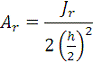
Требуемая высота балки из условий жесткости:
Чтобы определить требуемую высоту балки из условия ее
наименьшего сечения нужно задаться толщиной вертикального листа:
,
Требуемая высота из условия наименьшей массы определяется по
формуле:
,
Требуемый момент инерции поперечного сечения сварной балки
двутаврового профиля:
,
Момент инерции подобранного вертикального листа 626х12
размером равен:
Требуемый момент инерции горизонтальных листов балки
(поясов):
Таким образом, требуемое сечение одного пояса балки:
Заключение
Металлическая балка - это высокопрочное прокатное изделие,
изготавливающееся из металла большой плотности. По форме различается балка с
коробчатым или с двутавровым сечением, однако, в силу простой конструкции и
технологии изготовления, балка двутавровая в строительстве получила большее
распространение.
Наиболее востребованной в настоящее время является балка
двутавровая, сечение которой имеет форму буквы "Т". Также подобные
изделия называют "двутавр", это объясняется тем, что данное изделие
имеет две грани. Наибольшая распространенность двутавровых балок, без
использования которых не обходится строительство ни одного промышленного
сооружения, связана с тем, что идеальное сочетание свойств металла и формы
этого металлопроката позволяет добиться наибольшей надежности опор и несущих
элементов, в возведении которых используются балки.
Основной функцией балки является прием на себя и передача
нагрузок, таких как ветер, сейсмологические условия и т.д.
Курсовом проекте изучили конструктивные особенности стальной
балки и рассчитали, и проектировали размеров конструкции балки пролетом 18
метров из стали Ст3пс. В результате расчета размеры двутавровой балки
соответствует требованиям по ГОСТ. Из этого выходит поставленная задача решена
и цель курсовой работы выполнена.
Использованные
литературы
1. ГОСТ
2.302 - 68, ГОСТ 8713 - 79, ГОСТ 14771 - 76, ГОСТ 19903 - 74
2. Сварочное
производство - Колганов Л. А - ростов н/Д "феникс", 2002 г
. Г.Г.
Чернышов "Сварочное дело. Сварка и резка металлов" 2002г.
. Соколов
В. Е "Справочник по сварке" 2008 г.
. Рыбаков
В.М. "Сварка" 2010 г.
6. Интернет
ссылки
7. <http://spb-stal.ru/katalog/chrnyj_metalloprokat/balka/balka_stal_5/>
. <http://metallicheckiy-portal.ru/marki_metallov/stk/09G2S>
9. http://www.metstroy.net/balka_09g2c.
php <http://www.metstroy.net/balka_09g2c.php>
10. <http://svarkabalki.ru/>
. http://bibliotekar.ru/spravochnik-17/64.
htm <http://bibliotekar.ru/spravochnik-17/64.htm>
. <http://svarka74.ru/>