Расчет узла фермы моста крана

  • Вид работы:
    Курсовая работа (т)
  • Предмет:
    Другое
  • Язык:
    Русский
    ,
    Формат файла:
    MS Word
    135,61 Кб
  • Опубликовано:
    2015-12-24
Вы можете узнать стоимость помощи в написании студенческой работы.
Помощь в написании работы, которую точно примут!

Расчет узла фермы моста крана

Министерство транспорта Российской Федерации

Федеральное агентство железнодорожного транспорта

ГОУ ВПО «Дальневосточный государственный университет путей сообщения»

Кафедра «Строительная механика»








РАСЧЕТ УЗЛА ФЕРМЫ МОСТА КРАНА

Введение

На стройках, контейнерных площадках, складах, в портах и других объектах выполняются циклические операции по переработке и транспортировке грузов с использованием подъемных и перегрузочных кранов.

Кран - сооружение, на несущих конструкциях которого смонтированы грузоподъемные механизмы, грузозахватные устройства, механизмы передвижения, пульт управления.

По конструктивным особенностям краны разделяются на мостовые, козловые, консольные, балочные, портальные, перегрузочные и др. При этом некоторые из них относятся к кранам общего назначения, другие - к специальным.

Мостовые и козловые краны грузоподъемностью от 5 до 50 т с пролетом от 10 до 30 м являются кранами общего назначения. При малых пролетах и грузоподъемности до 20 т несущие конструкции этих кранов изготавливаются сварными из листовой стали с балками коробчатого сечения, при больших пролетах - из сварных ферм с элементами из прокатных профилей с раскосной или треугольной решеткой.

На открытых площадках перегрузочные операции выполняются козловыми кранами (рис. 1).

Рис. 1. Козловой кран

Основной несущей конструкцией козлового крана является мост, в пролетное строение которого входят концевые поперечные балки. Этим обеспечивается пространственная жесткость пролетного строения.

Мост опирается на высокие двухветвевые опоры, обеспечивающие требуемый подмостовой габарит. Внизу наклонные ветви опор соединены затяжками и заканчиваются ходовыми колесами для перемещения по подкрановым путям рабочей площадки.

1. Предварительное определение проектной массы фермы крана и массы грузовой крановой тележки

При известном пролете мостовой фермы крана (Lм=30 м) и заданной номинальной грузоподъемности крана (Qт=40 т) предварительно определяем проектную массу фермы крана (mф) и массу грузовой тележки (mт) по графикам.

т.


2. Определение основных нормативных и расчетных значений внешних нагрузок на ферму моста крана

.1 Расчёт постоянной нагрузки от собственного веса моста крана

Нормативное значение нагрузки

. (2.1)

Расчетное значение постоянной нагрузки на ферму от собственного веса моста крана

 (2.2)

Здесь  - масса моста крана, определяемая по графикам, приведенным на рис. 2.1, 9,8 см/сек2 - ускорение силы тяжести.

При пролете моста крана  = 30 м заданной грузоподъемности

 = 40 т нормативное значение половины массы моста имеем 16,3 т. Значение  получим:

Нормативное значение нагрузки:

.

2.2 Расчёт подвижной нагрузка от давления ходовых колес грузовой крановой тележки

При двухосной тележке нормативное давление ходового колеса будет определяться так:

, (2.3)

где  - нормативная масса грузовой тележки, определяемая в зависимости от грузоподъемности крана по графику.

Расчетное давление на ходовое колесо двухосной грузовой тележки:

 (2.4)

Давление ходового колеса двухосной крановой тележки при

Q = 40 т. Нормативное значение массы грузовой тележки по графику:

Нормативное давление ходового колеса:


3. Определение экстремальных значений полных расчетных усилий в стержнях фермы моста крана

.1 Построение линий влияния опорных реакций в балке

Рассмотрим балку  пролетом  (рис. 3.1), по которой движется груз  = 1. Определим, как изменяется опорная реакция  при изменении . Для этого вычислим значение  при изображенной позиции груза из уравнения равновесия балки:  0;

 0;

 (3.1)

Представив эту зависимость графически, получим линию влияния

Так, при  0 груз  1 расположен над опорой . Из формулы (3.1) получаем 1.

При  груз расположен над опорой . Из формулы (3.1):

 0.

Из уравнения равновесия балки  0 получим:  откуда имеем:

. (3.2)

Вычисленные ординаты линии влияния  при различных позициях подвижного груза на балке приведены на рис. 3.1.

Груз в точке  (0) 0,

груз в точке  () 1,

По этим значениям построим график изменения  - линию влияния  (рис. 3.1). Ординаты под грузом на этих линиях влияния есть реакции ,  при расположении единичной сосредоточенной силы в указанных точках. Сумма реакций  и  при любом расположении силы на балке будет равна единице.

3.2 Построение линий влияния усилий в стержнях фермы

Рассмотрим ферму на двух опорах, по нижнему поясу которой перемещается груз 1. Линии влияния опорных реакций  для фермы (сквозная балка) будут такими же как для сплошной балки.

Построим линии влияния усилий в стержнях фермы сходящихся, в заданном для расчета узле 2.

Для определения усилий U2, V3 проведем сечение I-I. Рассматривая условия равновесия последовательно для правой отсеченной части (подвижный груз F=1 в этом случае находится слева от разрезанной панели), а затем для левой отсеченной части фермы (груз F=1 располагается справа от разрезанной панели). Для двух положений груза запишем уравнения моментов относительно точки 5

а) груз F=1 слева от рассеченной панели 1 - 2



б) груз F=1 справа от рассеченной панели 1 - 2


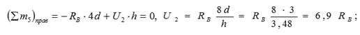
Таким образом, левая прямая линии влияния усилия U2 повторяет по очертанию линию влияния , все ординаты которой умножены на коэффициент (6,9); правая прямая - линия влияния  с коэффициентом (1,72). В пределах рассеченной панели проводится передаточная прямая.

Построим линию влияния усилия V3. Уравнения равновесия для отсеченных частей фермы запишем в виде

а) груз F=1 слева от рассеченной панели 1 - 2


б) груз F=1 справа от рассеченной панели 1 - 2


Следовательно, левая ветвь линии влияния V3 повторяет очертание линии влияния RB после изменения ее знака, правая - линию влияния реакции RA.

Для построения линий влияния усилий D3, U3 проведем сечение 2-2. Предварительно вычислим длину раскоса и косинус угла наклона раскоса к вертикали:

Для построения линии влияния усилия D3 уравнения равновесия для отсеченных частей запишем в виде

а) груз F=1 слева от рассеченной панели 2 - 4


б) груз F=1 справа от рассеченной панели 1 - 2


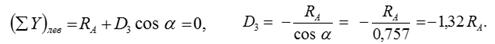
Левая ветвь линии влияния D3 повторяет по очертанию линию влияния RB, все ординаты которой умножены на (1,32); правая - линия влияния RA с умножением ординат на (-1,32). В пределах рассеченной панели при узловой передаче нагрузки проводится передаточная прямая.

Для построения линии влияния U3 для отсеченных частей фермы составим уравнение равновесия в виде:

а) груз F=1 слева от рассеченной панели 2 - 4


б) груз F=1 справа от рассеченной панели 2 - 4


Для построения левой ветви линии влияния U3 все ординаты линии влияния RB следует умножить на (6,03), а для построения правой ветви все ординаты линии влияния RA необходимо умножить на (2,59). В пределах разрезанной панели проводится передаточная прямая.

3.3 Опасные загружения линий влияния усилий системой подвижных связанных сил и экстремальные значения расчетных усилий в элементах фермы моста крана от подвижной грузовой тележки

Для двухосной тележки с равными давлениями на ходовые колеса  опасным загружением будет такое, при котором первая ось встанет над вершиной линии влияния при ее движении со стороны пологого участка линии влияния

При найденных опасных положениях подвижной крановой тележки на ферме полные экстремальные значения расчетных усилий в элементах фермы определяются с использованием линий влияния по выражениям:

;


Здесь  - площади всех участков линий влияния усилия в -ом элементе фермы;

 - ординаты линии влияния усилия в -ом элементе фермы под осями крановой тележки при ее опасном положении на мосту для рассматриваемого элемента.

Например, для усилия D3 в ферме пролетом L = 30 м и грузоподъемности крана Q = 40 т при двухосной грузовой тележке с базой С = 2,7 м,  = 155 кН и  = 6,39 кН/м получаем:

;

Значения расчетных усилий для элементов узла 2 приведены в табл. 3.1

Таблица 3.1. Расчетные усилия в стержнях узла 2 (двухосная грузовая тележка)

Элемент

Расчетное усилие, кН


max

min

Нижний пояс

U2

535

463 *)


U3

677

628 *)

Стойка

V3

301,1

50

Раскос

D3

0,165

-313


Усилия можно не вычислять как не имеющие практического значения для подбора сечения элементов (данные значения не являются минимальными и приведены для общности расчёта). Усилия в данных стержнях всегда положительны и, таким образом, определяющим является максимальное значение усилия в элементе.

. Подбор сечений стержней фермы

Элементы крановых ферм проектируются из спаренных прокатных уголков равнополочных или неравнополочных в форме тавра (рис. 4.1). При этом горизонтальные полки уголков для верхнего пояса фермы - вверху, для нижнего пояса - внизу. В варианте с использованием неравнополочных уголков следует принимать схему по рис. 4.1, в.


Расстояние между уголками принимается равным толщине фасонки d, которая определяется для фермы в зависимости от наибольшего усилия в стержнях узла.

По наибольшему абсолютному значению расчетного усилия D3 = - 331 кН, принимаем толщину фасонки из табл. 4.1: .

Из приведенной табл. (3.1) видно, что сечения элементов U2, U3, V3 следует определять по растягивающему усилию, так как это усилие больше по абсолютному значению. Сечения элемента D3 следует определять так, чтобы его несущая способность на растяжение была не меньше расчетных усилий.

Подберем сечение раскоса фермы D3 сжатого усилием - 331 кН из двух спаренных равнополочных уголков. Требуемую площадь сечения одного уголка сжатого стержня определим по формуле (4.10):


Коэффициент условия работы для сжатых элементов , расчетное сопротивление стального проката  = 24 кН/см2, коэффициент j зависит от гибкости стержня, которая не должна превышать величину равную 150. Решение выполняется путем пробных попыток. Для первой попытки принимаем значение . При этом получим

.

Из сортамента (ГОСТ 8509-86) выбираем равнополочный уголок ∟ 100 ´ 8 с площадью сечения A = 15,6 см2 и радиусом инерции ix = 3,07 см. Гибкость стержня в плоскости фермы при этом будет равна:


При этой гибкости из табл. 4.2

Несущая способность стержня будет равна:


Принимаем значение . При этом получим

.

Из сортамента (ГОСТ 8509-86) выбираем равнополочный уголок ∟ 125 ´ 8 с площадью сечения A = 19,68 см2 и радиусом инерции ix = 3,87 см. Гибкость стержня в плоскости фермы при этом будет равна:


При этой гибкости из табл. 4.2

Несущая способность стержня будет равна:


Принимаем  125´8 с А = 19,68∙2 = 39,4 см2. На этом подбор сечения элемента D3 считаем законченным.

Условием для определения размеров поперечного сечения элемента фермы при расчете по предельным состояниям является равенство его наименьшей несущей способности максимальному значению расчетного усилия.

При этом требуемая площадь сечения при растяжении стержня определяется так:


Здесь  - расчетное сопротивление фасонного проката стали (С 245) растяжению, сжатию по пределу текучести, равное 240 МПа (24 кН/см2) (ГОСТ 27772-88),  - коэффициент условий работы. В сварных фермах для растянутых элементов - = 0,95; для сжатых - = 0,8 ([10] стр. 8 табл. 6)

.

Из сортамента (ГОСТ 8509-86) выбираем равнополочный уголок ∟ 100 ´ 8 с площадью сечения A = 15,6 см2 и радиусом инерции ix = 3,07 см.

Несущая способность стержня будет равна:

Результаты подбора по расчету сечений элементов заданного узла представим итоговой табл. 4.2.

Таблица 4.2

Элемент

Сечение

А, см2

, смix, смРасчетные усилияНесущая способность.












растяж.

сжатие

U2

нижний пояс

80 ∙8

24,6

300

2,44

123

535

-

560

-

U3


100 ∙8

31,2

300

3,07

98

677

-

711

-

D3

раскос

125 ∙8

39,4

495

3,87

119

0,165

- 313

877

- 325

V3

стойка

 70 ∙ 5

13,72

348

2,16

161

301,1

-

313

-



5. Расчет сварных соединений элементов в узле фермы

После определения расчетных усилий в элементах фермы и подбора их сечений из прокатных уголков по заданному варианту (ГОСТ 8509-86 - равнополочный), принимаем рекомендуемую толщину фасонки  = 12 мм.

Максимально допустимое значение катета шва у пера  и обушка  зависит от толщины соединяемых элементов () и принимается - ,  расчетной длины сварных швов для крепления элементов из равнополочных уголков к фасонке в узле фермы:

,


Для заданных исходных по типу электродов (Э42 А), марке сварочной проволоки (СВ - 08):  - расчетное сопротивление на срез по материалу шва;  - коэффициент при ручной сварке;  - катет шва (см);  - коэффициент условий работы шва;  - климатический коэффициент (для северных районов , для остальных ).

Расчёт сварных швов приведён в приложении.

. Основы конструирования узла фермы

Элементы фермы в узле центрируются по осям поперечных сечений. Сначала к осевым линиям привязываются поясные уголки. Конструктивно элемент пояса с большим сечением заводится на 300¸500 мм за геометрический центр узла. Для уменьшения сварочных напряжений края элементов решетки не доводят до поясов на 40-50 мм. Этим определяется возможное приближение торцов элементов решетки к поясам в узле. Вдоль обушка и пера у элементов решетки накладывают сварные швы для крепления их в узлах фасонки и этим определяются контуры фасонки.

Крепления поясов к фасонке, если их сечения в узле не стыкуются, а проходят уголками одинакового сечения, швы определяются по разности расчетных усилий в смежных панелях пояса при одном расположении крановой тележки. Эти швы получаются, как правило, небольшой длины. Конструктивно их принимают непрерывными по всей длине фасонки с минимальным катетом. После этого наносится полученные по расчету длины сварных швов со стороны обушка и пера у каждого элемента, начиная от торца, обращенного в сторону к центру узла. Их расположение определяет первое приближение формы фасонки в узле. Однако при доработке узла форму фасонки следует привести к приемлемому варианту. Фасонка вдоль пояса выпускается за контур элемента на 20 мм. Углы наклона грани фасонки к стороне элемента решетки не должны быть меньше 15-20°. Общее очертание фасонки должно быть простым при возможности с параллельными по парам сторонами.

Элемент пояса меньшего сечения располагается так, чтобы полки уголков, перпендикулярные плоскости фасонки, были на одном уровне со стыкуемым элементом пояса. На эту плоскость для перекрытия стыка будет накладываться пластинчатая накладка. Толщина пластинчатой накладки не должна быть меньше толщины полок уголков, перекрытых накладкой в узле пояса фермы.


. Расчет стыка элементов пояса в узле

Вследствие ограниченности длины проката, а также по условиям транспортировки фрагментов фермы ее приходится разделять на отдельные отправочные элементы, назначая монтажные стыки в пролете. Стыки поясов фермы могут располагаться как в ее узлах, так и в панелях между узлами.

Расположение стыка в узле предпочтительнее, так как в этом случае часть фасонки используется в качестве стыкового элемента.

При конструировании стыков необходимо выполнять основные требования: площадь сечения стыковых накладок не должна быть меньше площади сечения стыкуемых элементов.

Толщина пластинчатой накладки на полки уголков пристыкованного элемента должна быть не меньше толщины фасонки, а площадь поперечного сечения каждой накладки должна быть равна площади сечения выступающей полки уголка.

По ослабленному сечению 1-1 узлов высота фасонки должна быть не менее 2 В. Сечение 1-1 в виде тавра работает на внецентренное сжатие (узел верхнего пояса) или внецентренное растяжение (узел нижнего пояса). По упрощенному варианту проверка прочности стыка по сечению 1-1 выполняется по формуле:


Здесь площадь сечения накладки . Обозначения по рис. 7.1, 7.3. Расчетное сопротивление стали R = 24 кн/см2. Сварные швы, прикрепляющие листовую накладку к уголкам пояса, рассчитываются на усилие в накладке:

. (7.2)

Здесь  из формулы (7.1).

Швы крепления уголков пристыкованного элемента пояса к фасонке рассчитываются на разность расчетного усилия в этом элементе и той доли усилия, которая передается через накладки на элемент пояса смежной панели ().

Пример расчета стыка элементов U2 и U3 в узле 2 для варианта фермы моста крана грузоподъемностью Q = 40 т с пролетом L = 30м (элементы фермы из равнополочных уголков). Усилия в стыкуемых элементах U2 = 535 кН, U3 = 677 кН определены при одинаковой схеме загружения моста подвижной тележкой в опасной позиции для пристыкованного элемента D3.

Напряжение в сечении 1-1 (2В = 25 см, вн = 9 см, dн = 10 мм).

.

Усилие в листовой накладке

.

Длина шва крепления листовой накладки к уголку пояса (принимаем катет шва ) получается равной:

кран ферма грузовой мост

.

Швы крепления пристыкованного элемента U3 к фасонке узла рассчитываем на усилие . Длины швов в этом соединении со стороны обушка и пера вычислим по формулам Катеты швов принимаем равными :

 

.

При расчете швов крепления элемента пояса U3 к фасонке узла будем исходить из того, что размеры фасонки на уровне верхнего пояса фермы уже определились после присоединения к фасонке элементов решетки V3 и D3. Поскольку швы в узле фермы крана выполняться должны непрерывными на всем участке контакта элемента с фасонкой, равного в данном случае 50 см, остается расчетом определить требуемую высоту катета шва со стороны обушка и пера

Литература

1. Богуславский П.Е. Металлические конструкции грузоподъемных машин и сооружений. / П.Е. Богуславский - М.: Машгиз, 1961. - 516 с.

2. Александров М.П. Грузоподъемные машины / М.П. Александров: Издания МГТУ им. Н.Э. Баумана. - М., 2000.

3. Курсовое проектирование грузоподъемных машин / Под ред. С.А. Казака. - М.: Высшая школа, 1989. - 182 с.

4. Степанова А.И. Расчет крановых мостов по методу предельных состояний: Труды ВНИИПГМАШ. Вып. 6. - М., 1960.

5. Шестаков А.В., Соловьев В.Л., Повх В.Г. Динамические характеристики Пролетного строения козлового крана г/п 8т. Материалы ХХVII научно-технической конференции ХабИИЖТа. Вып. 3. Хабаровск, 1971. - с. 104-108.

6. Шестаков А.В., Абрамович И.И., Соболев Е.А., Повх В.Г. Экспериментальные исследования прочности и жесткости новых козловых кранов. Труды ВНИИПТМАШ. №1, Вып. 2. - М.: 1972. - с. 60-70.

7. Дарков А.В. Строительная механика. / А.В. Дарков, Н.Н. Шапошников. - М.: Высшая школа, 1986. - 607 с.

8. Васильев В.А. Металлические конструкции. / В.А. Васильев - М.: Стройиздат, 1979.

9. Нормы расчета стальных конструкций мостовых и козловых кранов: ОСТ 24.090.72-83. - М.: ВНИИПГМАШ, 1983.

10.СниП: II-23-81. Стальные конструкции. - М.: ЦИПТ Госстроя СССР, 1990. - 96 с.

Похожие работы на - Расчет узла фермы моста крана

 

Не нашли материал для своей работы?
Поможем написать уникальную работу
Без плагиата!
Без нейросетей!