Расчет конденсатора паров бинарной смеси бензол-толуол
Министерство
образования и науки Российской Федерации
Федеральное
государственное автономное образовательное учреждение
высшего
образования
"НАЦИОНАЛЬНЫЙ
ИССЛЕДОВАТЕЛЬСКИЙ
ТОМСКИЙ
ПОЛИТЕХНИЧЕСКИЙ УНИВЕРСИТЕТ"
Институт
ИФВТ
Химическая
технология
Кафедра
ОХХТ
ПОЯСНИТЕЛЬНАЯ
ЗАПИСКА
к
курсовой работе
по
дисциплине "Процессы и аппараты химической технологии"
на
тему "Расчет конденсатора паров бинарной смеси бензол-толуол"
Выполнил студент гр 4Г21 Слуднев А.А.
Руководитель
Старший преподаватель кафедры ОХХТ
Усольцева Н.В.
Томск 2016 г.
Содержание
Введение
1. Расчетная часть
1.1 Описание
технологической схемы
1.2 Выбор
конструкционного материала
2.
Технологический расчет
.
Гидравлический расчет
4.
Конструктивный расчет
.1 Расчет
трубной решетки
.2 Расчет
диаметра штуцеров
5.
Механический расчет
.1
Цилиндрические обечайки
5.2 Расчет
днищ и крышек
5.3 Расчет фланцевого соединения
.4 Выбор опоры
Заключение
Список
используемой литературы
Введение
В зависимости от способа передачи тепла различают две основные группы
теплообменников:
Поверхностные теплообменники, в которых перенос тепла между
обменивающимися теплом средами происходит через разделяющую их поверхность
теплообмена - глухую стенку;
Теплообменники смешения, в которых тепло передается от одной среды к
другой при их непосредственном соприкосновении.
Значительно реже применяются регенеративные теплообменники, в которых
нагрев жидких сред происходит за счет их соприкосновения с ранее нагретыми
твердыми телами - насадкой, заполняющей аппарат, периодически нагреваемой
другим теплоносителем.
Конструкция теплообменников должна отличаться простотой, удобством
монтажа и ремонта. В ряде случаев конструкция теплообменника должна
обеспечивать возможно меньшее загрязнение поверхности теплообмена и быть легко
доступной для осмотра и очистки.
Перенос энергии в форме тепла, происходящий между телами, имеющими
различную температуру, называется теплообменом. Движущей силой любого процесса
теплообмена является разность температур более нагретого и менее нагретого тел,
при наличии которой тепло самопроизвольно, в соответствии со вторым законом
термодинамики, переходит от более нагретому к менее нагретому телу.
Тела,
участвующие в теплообмене, называются теплоносителями.
Выбор типа аппарата
Достоинством кожухотрубных конденсаторов является возможность создания
высоких и даже одинаковых скоростей обоих теплоносителей и, следовательно,
больших коэффициентов теплоотдачи. К числу их недостатков относятся большое
гидравлическое сопротивление и значительная металлоемкость.
Наиболее широкое распространение получили
кожухотрубные конденсаторы (рис. 1.4), используемые для теплообмена между
потоками в различных агрегатных состояниях (пар-жидкость, жидкость-жидкость,
газ-газ, газ- жидкость). Аппарат состоит из пучка труб, помещенного внутри
цилиндрического корпуса (обечайки), сваренного из листовой стали, реже -
литого. Трубки завальцованы в двух трубных решетках или приварены к ним в
зависимости от свойств конструкционных материалов. Чаще всего применяются трубы
диаметрами: 25x2; 38X2; 57X2,5 мм; длина их обычно достигает 6 м. Трубки
размещаются в пучке в шахматном порядке, по вершинам равностороннего
треугольника, с шагом t=(1,25-1,30)
dн, где dн - наружный диаметр труб. Аппарат снабжен двумя съемными
крышками со штуцерами для входа и выхода теплоносителя, движущегося внутри
труб. Трубное и межтрубное пространства разобщены. Второй теплоноситель
движется в межтрубном пространстве, снабженном входным и выходным штуцерами. По
трубам движется, как правило, тот поток, который содержит взвешенные твердые
частицы (для удобства чистки), находится под большим давлением (чтобы не
утяжелять корпус) или обладает агрессивными свойствами (для предохранения
корпуса от коррозии).
Рисунок 1.4 - Кожухотрубный холодильник 1 - корпус; 2 - трубы; 3 -
трубные решетки; 4 - крышки; 5 - штуцеры для входа и выхода из трубного
пространства; 6 - штуцеры для входа и выхода из межтрубного пространства; 7 -
поперечные перегородки межтрубиого пространства; 8, 9 - опорные лапы соответственно
при вертикальном и горизонтальном расположениях аппарата.
Горячая жидкость входит в трубное пространство
состоящее из труб 2. Холодный теплоноситель входит в межтрубное пространство, в
результате соприкосновения двух теплоносителей с разными тепловыми потоками
возникает теплообмен и тепловые потоки выравниваются, тем самым определяя
заданную температуру на входе для горячего или холодного теплоносителя.
Теплоносители поступают в трубное пространство при помощи штуцера 6, в
межтрубное - штуцер 5. Аппарат имеет эллиптические крышки и днище 5, крепление
аппарата осуществляется при помощи опорных лап 8. Крепление труб к трубной
решетке 8 осуществляется за счет развальцовки.
Площадь проходного сечения межтрубного пространства значительно больше
(иногда в 2 раза) суммарного живого сечения труб, поэтому при одинаковых
объемных расходах теплоносителей коэффициент теплоотдачи со стороны межтрубного
пространства оказывается более низким. Для устранения этого явления прибегают к
увеличению скорости теплоносителя путем размещения различных перегородок в
межтрубном пространстве. Кожухотрубные аппараты соответственно местным условиям
располагаются вертикально или горизонтально; при необходимости удлинения пути
теплоносителей они могут соединяться последовательно, а при невозможности
размещения требуемого числа труб в одном корпусе их соединяют параллельно. Для
удлинения пути теплоносителей с целью увеличения их скорости и интенсификации
теплообмена используют многоходовые аппараты. Так, в двухходовом аппарате (рис.
1.5) благодаря перегородке 1 в верхней крышке 2 теплоноситель проходит сначала
по трубам лишь через половину пучка и в обратном направлении - через вторую
половину пучка.
Рисунок 1.5 - Двухходовый кожухотрубный теплообменный аппарат: 1 -
перегородка; 2 - крышки.
1.
Расчетная часть
1.1 Описание
технологической схемы
Принципиальная схема ректификационной установки приведена на рис.1.
Исходная смесь из промежуточной емкости 1 центробежным насосом 2 подается в
теплообменник 3, где подогревается до температуры кипения. Нагретая смесь
поступает на разделение в ректификационную колонну 5 на тарелку питания, где
состав жидкости равен составу исходной смеси XF.
Стекая вниз по колонне, жидкость взаимодействует с поднимающимся вверх
паром, образующимся при кипении кубовой жидкости в кипятильнике 4. Начальный
состав пара примерно равен составу кубового остатка XW, т.е. обеднен легколетучим
компонентом. В результате массообмена с жидкостью пар обогащается легколетучим
компонентом. Для более полного обогащения верхнюю часть колон колонны орошают в
соответствии с заданным флегмовым числом жидкостью (флегмой) состава XP, которая получается в дефлегматоре 6
путем конденсации пара, выходящего из колонны. Часть конденсата выходит из
дефлегматора в виде готового продукта разделения - дистиллята, который
охлаждается в теплообменнике 7, и направляется в промежуточную емкость 8.
Из кубовой части колонны насосом 9 непрерывно выводится кубовая жидкость
- продукт, обогащенный труднолетучим компонентом, который охлаждается в
теплообменнике 10 и направляется в емкость 11.
Таким образом, в ректификационной колонне осуществляется непрерывный
неравновесный процесс разделения исходной смеси на дистиллят с высоким
содержанием легколетучего компонента и кубовый остаток, обогащенный
труднолетучим компонентом.
Рис. 1. Принципиальная схема ректификационной установки
- промежуточная ёмкость; 2- центробежный насос; 3- теплообменник;
4-кипятильник; 5-ректификационная колонна; 6-дефлегматор; 7-теплообменник; 8-
промежуточная ёмкость; 9- центробежный насос; 10- теплообменник; 11- емкость.
.2 Выбор конструкционного материала
Бензол и толуол являются коррозионно-активными веществами, рабочая
температура в колонне не выше 130°С, поэтому в качестве конструкционного материала для основных
деталей аппарата выбираем сталь 12Х18Н9Т по ГОСТ 5949-75[2c.59]: которая используется для
изготовления деталей химической аппаратуры при работе с агрессивными средами
при температурах от 10 до 200 °С.
2.
Технологический расчет
Определим температуру кипения смеси бензол-толуол, для этого сначала
определяем мольный состав смеси. Так как температура кипения бензола согласно
[1 стр. 541, табл. XLIV] составляет
80,2°С, а толуола 110,8°С, тогда бензол будет низкокипящим компонентом.
где
=78кг/кмоль
=92кг/кмоль - молярные массы бензола и толуола
Далее по графику t-x, y для смеси бензол толуол (согласно равновесным данным [1])
определяем
Рисунок 2.1 - График зависимости температуры от х, у для смеси бензола и
толуола
В начальный период теплообмена происходит конденсация насыщенного пара
смеси бензол-толуол, водой начальной температуры 13ºС, до конечной 25ºС, данный процесс обозначим, как
первую зону теплообмена.
Температура выхода конденсата составляет 18ºС, следовательно конденсат
охлаждается от 84 ºС до 18ºС и при охлаждении передает тепло
охлаждающей воде, нагревая его эту зону обозначим как вторую зону теплообмена.
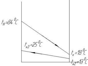
Определяем среднюю разность температур для зоны конденсации, составляя
температурную схему процесса.
°С
°С
Þ
°С.
Рисунок 2.2 - Температурная схема для I зоны теплообмена
Тепловой поток при конденсации пара
где
- удельная теплота конденсации пара смеси бензол - толуол
при атмосферном давлении [1 табл. XLV, стр. 541]
- массовый расход смеси
кг/с
где
=391,1 кДж/кг - удельная теплота парообразования бензола при
температуре кипения смеси 84°
=379,9 кДж/кг - удельная теплота парообразования бензола
кДж/кг
Вт;
Тогда требуемая поверхность испарителя в первой зоне составит
м²
В соответствии с [1 табл. 2.1] принимаем для конденсации водяного пара к
воде ориентировочное значение коэффициента теплопередачи
Вт/(м²·К)
Площадь поверхности для второй зоны
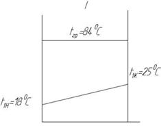
Составляем температурную схему процесса охлаждения конденсата
Определяем среднюю движущую силу и средние температуры теплоносителей
°С
°С
Þ
°С.
Рисунок 3.2 - Температурная схема для II зоны теплообмена
Тепловой поток со стороны конденсата

- теплоемкость конденсата смеси бензол - толуол при средней
температуре
[1 стр. 562, рис. ХI]
=1804
,
=1789
- теплоемкость бензола и толуола при средней температуре
Дихлорэтана при средней температуре
при средней температуре
кВт;
Общая теплота процессов теплообмена
кВт
Определяем расход охлаждаемой жидкости
где
= 4190 кДж/(кг-К) - теплоемкость вод при средней температуре
[1 стр. 562, рис. ХI]
кг/с.
В соответствии с [1 табл. 2.1] принимаем для охлаждения органических
жидкостей ориентировочное значение коэффициента теплопередачи
Вт/(м²·К)
Тогда требуемая поверхность испарителя в первой зоне составит
м²
Общая поверхность теплообмена составит
м²
Физико-химические свойства конденсата смеси бензол толуол при
[2 стр. 537, табл. ХХХIX]; Плотность
выписываем из табл. IV на стр. 489 [1] и таблицы XXXIX на стр.512 [1]
- плотность бензола
- плотность толуола
Коэффициент теплопроводности
выписываем из рис. X на стр. 534 [1]
Динамический коэффициент вязкости
выписываем из табл. IX на стр. 499 [1]
Критерий Прандтля
Физико-химические свойства конденсата смеси бензол толуол при
[2 стр. 537, табл. ХХХIX]; Плотность
выписываем из табл. IV на стр. 489 [1] и таблицы XXXIX на стр.512 [1]
- плотность бензола
- плотность толуола
Коэффициент теплопроводности
выписываем из рис. X на стр. 534 [1]
Динамический коэффициент вязкости
выписываем из табл. IX на стр. 499 [1]
Критерий Прандтля
Физико-химические свойства воды при
[2 стр. 537, табл. ХХХIX];
=4190кДж/(кг·К) - теплоемкость
Па-с - динамический коэффициент
- плотность
кг/м³;
- теплопроводность
Вт/(м·К)
Критерий Прандтля
В соответствии с [1 стр. 52 табл. 2.9] поверхность близкую к полученной
будут иметь теплообменник с высотой труб Н=4м диаметром кожуха D=800мм, общее число труб 404, число
ходов 4, число труб на один ход 404/4=101, площадь поверхности F=190 м²
Определяем коэффициент теплопередачи для воды
Задаемся числом Рейнольдса Re=10000. Тогда скорость течения воды в трубах
теплообменника
м/с
Вычислим число труб, приходящееся на один ход
Определяем коэффициент теплоотдачи для воды а2. Находим режим
движения воды в выбранном теплообменнике.
Турбулентному течению соответствует критериальное уравнение:
полагая, что
Вт/(м²·К)
Рассчитываем коэффициент теплоотдачи в вертикальном теплообменнике для
конденсирующегося пара
, по уравнению
Вт/(м²·К)
Суммарное термическое сопротивление стенки и
загрязнений:
где λст=46,5 Вт/(м·К) - коэффициент
теплопроводности стали
Вт/(м²·К)
тепловая проводимость загрязнения со стороны водяного
пара и толуола
Определяем коэффициент теплопередачи К
Вт/(м²·К)
Требуемая площадь поверхности теплообменника F:
м²
Определяем ориентировочно значения для температур стенок
Вт/м²
Сумма
Проверка

Тогда


Поправку для
для воды
Вт/(м²·К)
Определяем коэффициент теплопередачи К
Вт/(м²·К)
Требуемая площадь поверхности теплообменника F:
м²
Рассчитываем коэффициент теплопередачи для второй зоны
теплообмена в случае охлаждения конденсата
Определяем скорость конденсата
= 0,07м² - площадь межтрубного пространства [1,
стр. 57, табл. 2.9]
Определяем коэффициент теплоотдачи для смеси бензол-толуол а2.
Находим режим движения воды в выбранном теплообменнике.
Режим течения переходный 2300<Re=2472<10000
Для данного режима коэффициент теплопередачи находим
по графику [2 стр. 154 рис 4.1] определяем
Тогда критерий Нуссельта равен
Вт/(м²·К)
Определяем коэффициент теплопередачи К
Вт/(м²·К)
Требуемая площадь поверхности теплообменника для второй зоны
м²
Определяем ориентировочно значения для температур стенок
Вт/м²
Сумма
Проверка 
Тогда

Определяем поправку для смеси бензол толуол при температуре стенки 
Вт/(м²·К)
Уточняем коэффициент теплопередачи К
Вт/(м²·К)
м²
Общая поверхность теплообмена составит
м²
Тогда запас поверхности составит
Четырехходовой теплообменник с высотой труб Н=4м диаметром кожуха D=800мм, общее число труб 404, число
ходов 4, число труб на один ход 404/2=101, площадь поверхности F= 190м²
3.
Гидравлический расчет
Определяем скорость жидкости в трубах
=0,03м² - площадь поверхности трубного пространства
теплообменника. [1 стр. 57, табл. 5.9]
Коэффициент трения
е - относительная шероховатость труб
- высота выступов шероховатости
В трубном пространстве следующие местные сопротивления: вход в камеру и
выход из неё, 1 поворот на 180, 2 входа и выхода из них.
Скорость в штуцерах при диаметре штуцера d=0,15м
м/с
Па
Скорость в межтрубном пространстве
Сопротивление межтрубного пространства
Па
4.
Конструктивный расчет
4.1 Расчет
трубной решетки
Наиболее рационально по плотности упаковки труб
размещение их по вершинам равносторонних треугольников.