Розрахунок характеристик систем електрозв’язку
Зміст
Вступ
1. Структурна схема
аналогової системи передавання
1.1 Зображення структурної
схеми
.2 Основні параметри, які
характеризують кожний блок
1.3 Часові діаграми характерних
сигналів на входах і виходах блоків
. Розрахунок
інформаційних характеристик джерела повідомлень
3. Розрахунок
перешкодостійкості демодулятора
4. Розрахунок основних
параметрів цифрової системи передавання
4.1 Структурна схема
цифрової системи передавання
4.2 Розрахунок параметрів АЦП і
ЦАП
4.3 Розрахунок
перешкодостійкості демодулятора сигналу
4.4 дискретної
модуляції
4.5 Вибір коригувального
коду й розрахунок перешкодостійкості
4.6 системи зв’язку з
кодуванням
5. Розрахунки й порівняння
ефективності систем передавання неперервних повідомлень
Висновок
Використана література
Завдання для курсової роботи
. Структурна схема системи
передавання дискретних повідомлень. Зобразити
структурну схему системи передавання дискретних повідомлень. Пояснити
призначення кожного блока, дати визначення основних параметрів, що
характеризують кожний блок, і навести часові діаграми сигналів на входах і
виходах блоків.
2. Розрахунок параметрів кодера й
декодера простого коду. Розрахувати
параметри кодера й декодера простого коду: довжину коду n, тривалість
двійкового символу Тб, час передавання одного знака Тзн,
допустиму ймовірність помилки символу на вході декодера рдоп.
3.
Розрахунок інформаційних характеристик джерела повідомлень. Для
заданих статистичних характеристик джерела дискретних повідомлень виконати
розрахунок ентропії Н(А), надмірності
і
продуктивності джерела Rд. Пояснити причини надмірності джерела.
Сформулювати вимоги до пропускної здатності каналу зв’язку.
4.
Розрахунок перешкодостійкості демодулятора. Для
заданих методу модуляції й способу прийняття розрахувати й побудувати графік
залежності ймовірності помилки двійкового символу на виході демодулятора від
відношення сигнал/шум на вході демодулятора р = f(
); визначити
необхідне відношення сигнал/шум на вході демодулятора
, за якого
ймовірність помилки символу на виході демодулятора дорівнює допустимій
ймовірності помилки символу на вході декодера простого коду рдоп.
5. Вибір
коригувального коду й розрахунок перешкодостійкості системи зв’язку з
кодуванням.
Для заданих методу модуляції й способу прийняття вибрати коригувальний код, що
забезпечує заданий енергетичний виграш кодування при ймовірності помилки
символу на виході декодера рд=pдоп. Розрахувати й побудувати
залежність ймовірності помилки символу на виході декодера від відношення
сигнал/шум на вході демодулятора pд=f1(
). Визначити
необхідне відношення сигнал/шум на вході демодулятора
, за якого
забезпечується ймовірність помилки символу на виході декодера рдоп.
Визначити досягнутий ЕВК.
6.
Розрахунок ефективності системи передавання дискретних повідомлень.
Розрахувати й порівняти інформаційну, енергетичну й частотну ефективності
системи зв’язку, що розраховується, для двох варіантів передавання - з
перешкодостійким кодуванням і без нього. Побудувати графік граничної залежності
b=f(g). На цьому
рисунку точками позначити ефективність двох варіантів передавання. Порівняти
ефективність двох варіантів передавання між собою й з граничною ефективністю.
Зробити висновки за результатами порівняння.
7. Висновки.
Зробити
аналіз курсової роботи в цілому.
Вихідні дані для виконання КР
варіанту А - 37
|
№ вар.
|
Параметри джерела повідом.
|
,
дБМетод модуляціїПараметри системи цифрового перед.
|
|
|
Розп. ймов. Pb, В2 Ка Fmax,
кГц
,
дБМетод
модуляціїСпосіб
|
прийм.ЕВК, дБ
|
|
|
|
|
|
А-37
|
ДЕР
|
2,5
|
5
|
7,5
|
36
|
АМ
|
39
|
АМ-2
|
когерен.
|
2,0
|
Повідомлення неперервного джерела
передається каналом зв'язку аналоговим методом. У каналі зв'язку з постійними
параметрами й адитивним білим гауссівським шумом використовується модуляція
гармонічного переносника.
1 Джерело
повідомлень задане характеристиками первинного сигналу b(t):
- середнє значення дорівнює нулю;
густина ймовірності миттєвих значень
p(b) - гауссівський розподіл (ГР) або, так званий,
нормальний розподіл(НР);
середня потужність сигналу: Рb
= 2,5 Вт;
коефіцієнт амплітуди: Кa
= 5
максимальна частота спектра: Fmax
= 7,5 КГц
. Допустиме відношення сигнал/шум на
виході одержувача ρвих.доп
= 36 дБ.
. Для передачі повідомлення
використовується односмугова модуляція(ОМ)
. Для порівняння аналогового й
цифрового методів передавання задані:
метод передавання - імпульсно-кодова
модуляція (ІКМ) з рівномірним квантуванням, допустиме відношення сигнал/шум
квантування ρкв.доп
= 39 дБ;
енергетичний виграш кодування ЕВК
= 2,0 дБ, що забезпечується при використанні в каналі зв'язку перешкодостійкого
кодування;
в даному випадку використовується:
метод дискретної модуляції АМ-2 та когерентний спосіб прийняття.
Вступ
Ціллю цієї курсової роботи являється
закріплення знань основних положень курсу «Теорія електричного зв’язку», шляхом
проведення розрахунків характеристик різних систем передачі електрозв’язку та
порівняння їх за допомогою розрахованих характеристик.
Система
- це сукупність об’єктів, функціонування яких визначається певною метою. Мета -
визначається задачами, які розв’язує система, а степінь пристосованості системи
до розв’язання поставленої задачі характеризується ефективністю (кількісна
характеристика якості функціонування).
По цільовому функціонуванню системи
поділяються на: інформаційні, енергетичні, технологічні. Ми маємо справу з
інформаційною системою. Інформаційна система - сукупність організаційних
і технічних засобів для збереження та обробки інформації з метою забезпечення
інформаційних потреб користувачів. Таке визначення може бути задовільним тільки
при найбільш узагальненій точці зору і підлягає подальшому уточненню.
Характеризується: точністю перетворення і передачі інформації, пропускною
здатністю, швидкістю передачі інформації і т.д.
Об’єктом передачі в будь-якій
системі є повідомлення, що несе інформацію U(t). Створене
повідомлення U(t) в передавачі обробляється специфічним чином до
створення сигналу S(t), зручного для транспортування по лінії зв’язку. Лінія
зв’язку - це середовище, в якому проходить передача інформації від
передавача до приймача.
В останньому пункті курсової роботи
буде оцінюємо ефективність систем зв’язку. Під ефективністю систем зв’язку
розуміють степінь використання якихось матеріалів, засобів, ресурсів, часу і
т.д. В системах зв’язку основними ресурсами можна вважати пропускну здатність
каналу С, ширину смуги частот Fk , потужність сигналу Ps. Для
оцінки степені їх використання, було запропоновано порівняння їх зі швидкістю
передачі інформації R. Наведені коефіцієнти, що використовувалися при
розрахункові курсової роботи, являються найважливішими технічними показниками
систем передачі інформації.
1.
Структурна схема аналогової системи передавання
1.1 Зображення структурної схеми
Розглянемо структурну схему
аналогової системи передавання неперервних повідомлень:
Рис. 1 Структурна схема АСП
1) Джерело повідомлення призначено
для подачі в систему цифрової передачі аналогового сигналу.
Джерело (передавач) і одержувач
(приймач) служать для обміну деякою інформацією. В одному випадку відправником
і одержувачем інформації служить людина, в іншому випадку це може бути
комп'ютер (так звана телеметрія).
2) Модулятор
- пристрій, що здійснює модуляцію сигналів. Він призначений для узгодження
сигналу із каналом зв’язку та для ущільнення каналу.
Взагалі, модуляція - процес зміни
одного або декількох параметрів високочастотного несучого коливання по закону
низькочастотного інформаційного сигнала(повідомлення). Інформація що
передається вкладається у керуючий(модулюючий) сигнал, а роль переносника
інформації виконує високочастотне коливання, що називається несучим. Модуляція,
таким чином, представляє собою процес накладання інформаційного коливання на
заздалегідь відому несучу.
В результаті модуляції спектр
низькочастотного керуючого сигнала переноситься у область високих частот. Що
дозволяє організувати функціонування усіх прийом-передача пристроїв на різних
частотах.
В якості несучого можуть
використовувати коливання різної форми(прямокутні, трикутні), проте частіше
використовують гармонічні коливання(відбувається зміна у часі певної величини
по синусоїдальному або косинусоїдальному закону). І в залежності від того який
параметр несучого коливання змінюється, розрізняють види модуляції: амплітудна,
частотна, фазова.
Модулятори широко застосовують у
різних галузях техніки, пов’язаних з передаванням чи перетворюванням сигналів
(повідомлень), зокрема, в техніці зв’язку та автоматичного регулювання,
вимірювальній техніці тощо. Приклад застосування модулятора в гірничій справі -
в диспетчерських системах дистанційного контролю включеного-виключеного стану
апаратів та механізмів.
3) Канал зв’язку
- це середовище розповсюдження електричного сигналу, тобто сукупність технічних
засобів та середовища розповсюдження, що забезпечують при підключенні кінцевих
абонентських приладів, передачу повідомлень будь-якого виду від джерела до
одержувача за допомогою електрозв’язку.
В залежності від типу сигналу та
середовища його поширення, розрізняють канали: телефонні, телеграфні,
телевізійні та радіомовлення, кабельні тощо.
4) Демодулятор
- пристрій, що здійснює демодуляцію (детектування) - виділення низькочастотних
коливань з високочастотних модульованих коливань.
Демодулятор широко застосовуються в
різних галузях техніки, пов’язаних з передаванням та перетворенням сигналів
(повідомлень), зокрема в техніці зв’язку, в автоматичному контролі та керуванні
технологічними процесами, у вимірювальній техніці, в ЕОМ.
5) Одержувач повідомлень -
приймає аналоговий сигнал із системи
цифрової передачі неперервних повідомлень.
Одержувачем або приймачем
повідомлень може бути будь-який пристрій що працює з аналоговими сигналами.
Наприклад підсилювач звукової частоти (ПЗЧ), гучномовець, світло діод (СД) ,
лазерний світло діод (ЛСД).
1.2 Основні параметри, які
характеризують кожний блок
1) Джерело повідомлень.
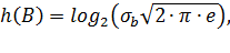
а) Ентропія джерела Hε(B)
- мінімальна кількість інформації, що знаходиться в повідомленні
(прийнятому)
відносно B(t) (переданому), при якому вони ще еквівалентні. В
теорії інформації, ентропія є мірою невизначеності випадкової величини. Зазвичай,
в якості інформаційної ентропії використовують ентропію Шеннона.
Ентропія Шеннона визначає абсолютну
межу найкращого стиснення даних без втрат: розглядаючи повідомлення як
послідовність незалежних та однаково розподілених випадкових величин, теорема
Шеннона про кодування доводить що, в границі, середня довжина найкоротшого
можливого представлення закодованого повідомлення в заданому алфавіті дорівнює
ентропії поділеній на логарифм кількості символів у вихідному алфавіті.
б) Коефіцієнт надлишковосі джерела
χ - це
відношення, що визначає яка доля максимально можливої ентропії, при даному
алфавіті, не використовується джерелом.
в) Продуктивність джерела,
Rg - це сумарна ентропія повідомлень, переданих джерелом за одиницю
часу.
г) Щільність ймовірності миттєвих
значень сигналу P(b).
) Параметри модулятора та
демодулятора.
а. Види модуляції:
· Амплітудна (АМ)
- модуляція коливання, при якій змінним параметром є амплітуда коливань.
При такій модуляції стрибкоподібно змінюється амплітуда несучого коливання.
При АМ відбувається зміна лише
амплітуди несучого коливання за рахунок впливу модулюючого сигналу:
Рис. 2. Амплітудна модуляція
а) несучі коливання(несуча хвиля) та
її спектр (б);
в) модулюючий сигнал та його спектр
(г);
д) амплітудно-модулюючі коливання та
його спектр (е)
· Односмугова
модуляція (Амплітудна модуляція з однією
бічною смугою) (ОМ) - різновид амплітудної модуляції (АМ), широко застосовувана
в апаратурі створення каналу передачі, для ефективного використання спектра
каналу і потужності передавальної радіоапаратури.
У радіосигналі з АМ 70% потужності
передавача витрачається на випромінювання сигналу несучої частоти, який не
містить жодної інформації про модулюючий сигнал. Інші 30% діляться порівну між
двома бічними частотними смугами, які являють собою точне дзеркальне
відображення одне одного. Таким чином, без будь-яких втрат переданої інформації
можна виключити із спектру сигналу несучу і одну з бічних смуг. Це дає
можлливість направити всю потужність передавача лише на випромінювання
інформативного сигналу.
Переваги односмугової
модуляції:
Сигнал з односмуговою модуляцією
займає в радіоефірі смугу частот вдвічі вужчу, ніж амплітудно-модульований, що
дозволяє більш ефективно використовувати частотний ресурс і підвищити дальність
зв'язку. Крім того, коли на близьких частотах працюють кілька станцій з ОМ,
вони не створюють один одному перешкод у вигляді “биття”, що відбувається при
застосуванні амплітудної модуляції з неподавленной несучою частотою.
Биття
- явище, що виникає при накладанні двох гармонійних коливань, близьких за
частотою, що виражається в періодичному зменшенні і збільшенні амплітуди
сумарного сигналу.
Недоліком методу є:
Відносна складність апаратури і
підвищені вимоги до частотної точності і стабільності.
Для формування сигналу ОМ існуються
2 різні методи:
) За допомогою
фільтра(найбільш поширений): на виході змішувача ставиться високодобротних
смуговий фільтр з шириною смуги пропускання, рівної одній бічній смузі.
) Фазоінверсіонний
(фазокомпенсаціонний): одна з бічних смуг інвертується по фазі і складається
сама з собою (компенсується). Несуча при цьому придушується фільтром або
балансним модулятором.
· Частотна (ЧМ)
- тип модуляції, при якому частота вихідного сигналу змінюється в залежності від
миттєвого значення інформаційного сигналу, інформаційний сигнал управляє
частотою несучого сигналу.
ω = ω0 + ∆ω·U(t)
В порівнянні з амплітудною
модуляцією, при ЧМ - амплітуда залишається постійною.
Частотна модуляція застосовується
для високоякісній передачі аудіо сигналу в радіомовленні (у діапазоні УКХ), для
звукового супроводу телепередач, відеозаписі на магнітну стрічку, музичних
синтезаторах. Висока якість кодування аудіосигналу обумовлена тим, що при
частотній модуляції застосовується велика (в порівнянні з шириною спектру
сигналу амплітудної модуляції) девіація несучого сигналу. Девіація - найбільше
відхилення частоти модульованого радіосигналу від значення його несучої
частоти. А в приймальній апаратурі використовують обмежувач амплітуди радіосигналу
для ліквідації імпульсних перешкод.
· Фазова (ФМ)
- це схема перетворення (модуляція) при якому під
керуванням вхідного сигналу змінюється фаза несучого сигналу (звичайно
синусоїдального).
· Амплітудно-фазова
(АФМ)
· Квадратурна
амплітудна (КАМ)
· Модуляція з
неперервною фазою (МНФ)
· Частотна модуляція
з мінімальним зсувом
· Гауссова модуляція
з мінімальним частотним зсувом
· Багатоканальна
модуляція (розділення з
мультиплексуванням каналів)
б. Способи прийому:
· при когерентному
прийомі опорне коливання
представляє
собою точну копію сигналу S(t). Де S0(t)- гармонічний сигнал, а S(t)-
представляється коливанням з відомого частотою і фазою. Якщо використовується S(t),
то в приймачі використано синхронний детектор в якому опорне коливання
синхронізується та фазово узгоджується у відповідності до S0(t). Після
цього сигнал потрапляє на ФНЧ , що є інтегратором , який виділяє огибаючу
радіосигналу, тобто виділяє відеосигнал.
· при некогерентному
прийомі початкова фаза прийнятого сигнала не враховується , тому в схемі
приймача можна використовувати не синхронний, а амплітудний детектор, як
правило квадратичний.
Відношення сигнал/шум при
некогерентному прийомі буде меншим ніж при когерентному
3) Параметри каналу зв’язку
а) Ширина смуги
пропускання каналу
-
визначається смугою частот модульованого сигналу. Різниця між верхньою і
нижньою частотами пропускання каналу
б) Тривалість Тк
- інтервал часу впродовж якого по каналу можна передавати сигнал.
в) Динамічний
діапазон
- логарифм
відношення найбільшої (максимальної) потужності що може передати канал до
мінімальної потужності - потужності шумів в каналі.
г) Об’єм каналу
-
чисельно дорівнює добутку ширини
спектру, динамічного діапазону і тривалості
=
.
При умові що ємність каналу вища ніж ємність
сигналу - по каналу можна передати цей сигнал.
.3 Часові діаграми характерних
сигналів на входах і виходах блоків
Рис.3. Процес перетворення
дискретного повідомлення в сигнал і зворотнє перетворення сигнала у
повідомлення
2.
Розрахунок інформаційних характеристик джерела повідомлень
Повідомлення неперервного джерела
перетворюється в первинний аналоговий сигнал b(t) зазвичай без втрати
інформації, тому розрахунки інформаційних характеристик джерела проводяться для
первинного сигналу.
Вихідні дані для розрахунку:
- густина ймовірності миттєвих
значень первинного сигналу при Двосторонньому експоненційному розподілі
(ДЕР) р(b);
максимальна частота спектра
первинного сигналу Fmax = 7,5 КГц;
відношення середньої потужності
первинного сигналу до середньої потужності помилки відновлення на виході
системи передавання дорівнює ρвих.доп
= 36 дБ.
Підлягають розрахунку:
епсілон-ентропія джерела
;
коефіцієнт надлишковості
джерела
;
продуктивність джерела
.
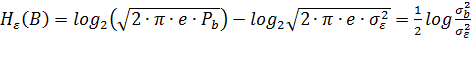
1) Розрахунок епсилон-ентропії
джерела Hε(B).
Мінімальна кількість інформації, що
міститься в одному повідомленні
відносно
,
при якому вони все ще еквівалентні, називається епсилон-ентропією.
Епсилон-ентропія джерела
розраховується за формулою:
(2.1)
де h(B) - диференціальна
ентропія;
- умовна ентропія.
Диференціальна ентропія залежить від
виду розподілу імовірності P(b) та дисперсії сигналу
.
Для нормального розподілу:
(2.2)
Нормальний розподіл ймовірності
визначається за формулою (2.3):
(2.3)
Середнє значення первинного сигналу
дорівнює нулю, то
. Помилка
відтворення на виході системи передачі є гаусівською, тому умовна ентропія
дорівнює:
(2.4)
де
-
дисперсія помилки відтворення(потужності перешкоди на виході системи
передавання).
Підставимо формули (2.2) та (2.3) в
формулу (2.1) і отримаємо вираз для визначення епсилон-ентропії:
,
,
(2.5)
У даному випадку дисперсія сигналу,
рівна:
=
2,5 Вт, а також константи:
= 3,14;
=
2,718.
Підставляючи числові значення, при
цьому переведемо дБ в рази за формулою
(2.6)
матимемо наступне:
(2.7)

.
Рис.4. Графік для Двостороннього
експоненційного розподілу
2) Розрахунок коефіцієнта
надлишковості джерела χ.
Коефіцієнт надлишку джерела
обчислюється за формулою :
(2.8)
де Hε(B)
- епсилон-ентропія джерела;
Hmax -
максимально можливе значення Hε(B) що
досягається за нормального розподілу ймовірності сигналу b(t) на тій самій
дисперсії сигналу
.
(2.9),
де
раз
За вище розрахованим отримуємо:
(2.10)
Причини надлишковості джерела.
Надлишковими в джерелі вважаються ті
повідомлення, які переносять малу, а іноді і нульову кількість інформації. Час
на їхню передачу затрачується, а інформації передається мало.
Присутність надлишковості означає,
що частину повідомлень можна і не передавати по каналу зв’язку, а відновити на
прийомі по відомих статистичних зв’язках.
Основними причинами надлишковості
являються :
1. Різні значення імовірності
окремих повідомлень.
2. Присутність статистичних
зв’язків між повідомленнями джерела
3)
Розрахунок продуктивності джерела
.
Продуктивність джерела
(2.11) яку
називають епсилон-продуктивністю, обчислюють за умови, що відліки беруться
через інтервал Котельнікова, за формулою:
(2.12)
де Fc - максимальна частота
спектра первинного сигналу Fmax , тобто Fc = Fmax = 7,5 КГц.
(біт/с),
Отже ,будемо мати рівність:
(біт/с).
Вимоги до пропускної можливості
каналу зв’язку.
Найбільше значення швидкості R
передачі інформації по каналу зв’язку при заданих обмеженнях називають
пропускною можливістю каналу, яка вимірюється в [біт/с] :
С = max R(2.13)
Під заданими обмеженнями розуміють
тип каналу (дискретний або неперервний ), характеристики сигналів та завад .
Пропускна можливість каналу зв’язку характеризує потенційні можливості передачі
інформації. Вони описані в фундаментальній теоремі теорії інформації, відомій
як основна теорема кодування К.Шенона. Для дискретного каналу вона формулюється
слідуючим чином : якщо продуктивність джерела
менше
пропускної можливості каналу C, тобто
,
то існує спосіб кодування (перетворення повідомлень в сигнал на вході ) та
декодування ( перетворення сигналу в повідомлення на виході каналу), при якому
імовірність помилкового декодування дуже мала.
Пропускна можливість каналу, як
граничне значення безпомилкової передачі інформації, являється одною з основних
характеристик будь-якого каналу. Знаючи пропускну можливість каналу та
інформаційні характеристики повідомлень (первинних сигналів) можна передавати
по заданому каналу.
3.
Розрахунок перешкодостійкості демодулятора
дискретний повідомлення декодер
зв'язок
Вихідні дані:
- допустиме відношення сигнал/шум на
виході демодулятора ρвих.доп
= 36 дБ;
метод модуляції - амплітудна
модуляція(АМ);
Необхідно розрахувати:
- залежність rвих
= f(rвх);
необхідне відношення середніх
потужностей сигналу й шуму на вході демодулятора ρвх.н..
1) Розрахунок відношення
середніх потужностей сигналу й шуму на вході демодулятора.
Основною характеристикою
демодулятора сигналу аналогової модуляції є залежність rвих
= f(rвх), яка
встановлює зв’язок між відношенням середніх потужностей сигналу й шуму на вході
демодулятора rвх = Ps/Pn
і відношенням середніх потужностей сигналу й шуму на виході демодулятора rвих=Pb/Pe.
Відношення rвих
і rвх
визначає виграш демодулятора і обчислюється за формулою:
rвих = grвх
(3.1)
Для сигналів амплітудної модуляції
(АМ) величина виграша g не залежить від rвх.і
визначається за формулою:
(3.2)
Порогове відношення сигнал/шум
суттєво залежить від mЧМ і Ка. Для визначення значення rпор
за заданими mЧМ і Ка розраховують залежність rвих
= gЧМrвх, коли gЧМ
визначається формулою (6.2). Приклад такої залежності наведений на рис. 4 -
значення rвих і r
вх подані в децибелах. Значення rпор
відповідає такому значенню rвх, нижче
якого зменшення rвх призводить до різкого
зменшення rвих. Режим роботи демодулятора,
коли rвх <
rпор,
не є робочим. Орієнтовне значення rпор дорівнює
10 дБ.
За отриманими залежностями
можна визначити значення mЧМ, при якому rвих дорівнює
заданому
, а
знаходиться
в області або трохи вище порога.
Тому,
≈ 10,48 дБ.
Рис.2. Графік залежності rвих=f(rвх)
4.
Розрахунок основних параметрів цифрової системи передавання
4.1 Зобразимо структурну схему
цифрової системи передавання методом ІКМ з використанням у каналі зв'язку
перешкодостійкого кодування й дискретної модуляції гармонічного переносника
Рис.6. Структурну схему цифрової
системи передавання
1) Джерело
повідомлення - призначено для
подачі в систему аналогового сигналу. Джерело (передавач) і одержувач (приймач)
служать для обміну деякою інформацією. В одному випадку відправником і
одержувачем інформації служить людина, в іншому випадку це може бути комп'ютер
(так звана телеметрія).
2) АЦП,
Аналого-цифровий перетворювач - пристрій,
що перетворює вхідний аналоговий сигнал в дискретний код (цифровий сигнал). Як
правило, АЦП - електронний пристрій, що перетворює напругу в двійковий цифровий
код.
3) Кодер
коректуючого коду - призначений для
підвищення завадостійкості цифрової системи передачі (ЦСП), шляхом внесення в
коди залишку.
4) Модулятор
- пристрій, що здійснює модуляцію сигналів. Він призначений для узгодження
сигналу із каналом зв’язку та для ущільнення каналу.
Взагалі, модуляція - процес
зміни одного або декількох параметрів високочастотного несучого коливання по
закону низькочастотного інформаційного сигнала(повідомлення). Інформація що
передається вкладається у керуючий(модулюючий) сигнал, а роль переносника
інформації виконує високочастотне коливання, що називається несучим. Модуляція,
таким чином, представляє собою процес накладання інформаційного коливання на
заздалегідь відому несучу.
В результаті модуляції спектр
низькочастотного модулюючого
сигнала переноситься у область високих частот. Що дозволяє організувати
функціонування усіх прийом-передача пристроїв на різних частотах.
При гармонічній несучій
залежно від виду модуляції розрізняють амплітудні, частотні й фазові
модулятори. Аналогічно при імпульсній несучій, коли модулятор
здійснює імпульсну модуляцію, розрізняють амплітудно-, широтно-, частотно-
та фазоімпульсні модулятори.
Модулятори широко застосовують у
різних галузях техніки, пов’язаних з передаванням чи перетворюванням сигналів
(повідомлень), зокрема, в техніці зв’язку та автоматичного регулювання,
вимірювальній техніці тощо. Приклад застосування модулятора в гірничій справі -
в диспетчерських системах дистанційного контролю включеного-виключеного стану
апаратів та механізмів.
5) Канал
зв’язку - це сукупність технічних засобів
та середовища розповсюдження, що забезпечують при підключенні кінцевих
абонентських приладів, передачу повідомлень будь-якого виду від джерела до
одержувача за допомогою електрозв’язку. В залежності від типу сигналу та
середовища його поширення, розрізняють канали: телефонні, телеграфні,
телевізійні та радіомовлення, кабельні тощо.
6) Демодулятор
- пристрій, що здійснює демодуляцію (детектування) - виділення низькочастотних
коливань з високочастотних модульованих коливань. Демодулятор широко
застосовуються в різних галузях техніки, пов’язаних з передаванням та
перетворенням сигналів (повідомлень), зокрема в техніці зв’язку, в
автоматичному контролі та керуванні технологічними процесами, у вимірювальній
техніці, в ЕОМ.
7) Декодер
коректуючого коду виправляє
неправильні рішення демодулятора, використовуючи залишок прийнятих кодів,
відновлює первинний код. Декодер коректую чого коду здійснює обернену операцію
до кодера - він виділяє первинний двійковий код що був прийнятий від АЦП з
кодової комбінації прийнятої з демодулятора.
8) ЦАП, Цифро-аналоговий
перетворювач - пристрій
для перетворення цифрового (зазвичай двійкового) сигналу на аналоговий.
Як правило ЦАП отримує на вхід цифровий сигнал в імпульсно-кодовій модуляції.
ЦАП будуються за принципом додавання напруг чи струмів, пропорційних
ваговим коефіцієнтам двійкового коду.
9) Одержувач
повідомлень - приймає
аналоговий сигнал із системи. Одержувачем
або приймачем повідомлень може бути будь-який пристрій що працює з аналоговими
сигналами. Наприклад: підсилювач звукової частоти (ПЗЧ), гучномовець, світло
діод (СД) , лазерний світло діод (ЛСД) або будь-який інший пристрій.
Основні параметри,
які характеризують кожний блок.
) Джерело повідомлень.
а) Ентропія джерела Hε(B)
- мінімальна кількість інформації, що знаходиться в повідомленні
(прийнятому)
відносно B(t) (переданому), при якому вони ще еквівалентні.
б) Коефіцієнт надлишковості
джерела χ -
це відношення, що визначає яка доля максимально можливої ентропії, при даному
алфавіті, не використовується джерелом.
в) Продуктивність джерела, Rg
- це сумарна ентропія повідомлень, переданих джерелом за одиницю часу.
г) Щільність ймовірності миттєвих
значень сигналу P(b).
2) Розрахунок параметрів АЦП і ЦАП.
Вихідні дані:
максимальна частота спектра
первинного сигналу Fmax=7,5 КГц;
густина ймовірності миттєвих значень
первинного сигналу p(b):
;
- середня потужність первинного
сигналу Pb = 2,5 Вт;
коефіцієнт амплітуди первинного
сигналу Кa =
;
допустиме відношення сигнал/шум на
вході одержувача ρвих.доп
= 36 дБ;
допустиме відношення сигнал/шум
квантування ρкв.доп
= 39 дБ;
в АЦП застосовано рівномірне
квантування.
Необхідно виконати:
- скласти й описати структурні схеми
АЦП і ЦАП;
визначити частоту дискретизації fд
і інтервал дискретизації Тд;
визначити кількість рівнів
квантування L, довжину двійкового коду n і тривалість двійкового
символу Тб;
розрахувати відношення сигнал/шум
квантування rкв
для розрахованих параметрів АЦП;
розрахувати допустиму ймовірність
помилки символу рдоп у каналі зв’язку (на вході ЦАП).
а)
Аналого-цифрові перетворювачі (АЦП) - пристрої, які приймають вхідні аналогові
сигнали і генерують відповідні їм цифрові сигнали, придатні для обробки
мікропроцесорами та іншими цифровими пристроями.
Зобразимо структурну схему АЦП:
Рис.9. Структурна
схема АЦП
Опис АЦП:
ФНЧ (фільтр нижніх частот) в
системах електрозв’язку використовується для обмеження спектра первинного
сигналу. ФНЧ пропускає нижню частину сигналу, достатню для заданої точності
відновлення цього сигналу. Потім дискретизатор визначає миттєві значення
повідомлень через відрізок часу ΔTд,
визначений згідно з теоремою Котельникова та потрібною точністю передачі
інформації. Квантувач встановлює рівні, дозволені для передачі. Якщо значення
відліку попадає в інтервал між дозволеними рівнями, то він округляється до
найближчого дозволеного рівня квантування. Кодер перетворює квантовані відліки
в двійкові кодові комбінації, які відповідають рівням квантування. Похибку
квантування, яка являє собою різницю між вхідним повідомленням і повідомленням,
відтвореним по квантових відліках, називають шумом квантування.
Таке перетворення називається
імпульсно-кодовою модуляцією(ІКМ). Частіше всього тут кодування зводиться до
запису номера рівняння в двійковій системі числення. В інших випадках,
розглядаються цифрові системи в яких неперервне повідомлення перетворене в
послідовність кодових комбінацій, складених з двійкових символів.
Отриманий на виході АЦП сигнал ІКМ
потрапляє, або безпосередньо в лінію зв’язку або на вхід
передавача(модулятора), де послідовність двійкових імпульсів перетворюється у
радіоімпульси.
Цифро-аналоговий перетворювач (ЦАП)
призначений для перетворення числа, визначеного, як правило, у вигляді
двійкового коду, в напругу або струм, пропорційні значенням цифрового коду.
Зобразимо структурну схему ЦАП:
Рис.10. Структурна схема ЦАП.
На приймальній стороні лінії зв’язку
послідовність імпульсів після демодуляції і регенерації в приймачі надходить до
цифро-аналогового перетворювача (ЦАП), що виконує роль зворотного перетворення
(відновлення) неперервного повідомлення згідно з отриманою послідовністю
кодових комбінацій. В склад ЦАП входять декодуючий пристрой, який призначені
для перетворення кодових комбінацій в квантовану послідовність відліків, а
також згладжуючий фільтр(ФНЧ), що відновлює неперервне повідомлення по
квантовим значенням.
б) Визначення частоти
дискретизації fд і інтервал дискретизації Тд .
Інтервал дискретизації за
часом
вибирається
на основі теореми Котельникова. Зворотня величина до
- частота
дискретизації
(4.1)
вибирається з умови:
fД ≥
2Fmax(4.2)
Збільшення частоти дискретизації
дозволяє спростити вхідний фільтр АЦП, що обмежує спектр первинного сигналу, і
вихідний (інтерполюючий) ФНЧ ЦАП, що відновлює неперервний сигнал за його
відліками. Але збільшення частоти дискретизації приводить до зменшення
тривалості двійкових сигналів на виході АЦП, що вимагає небажаного розширення
смуги частот каналу зв’язку для передачі цих символів. Звичайно параметри
вхідного ФНЧ АЦП і вихідного ФНЧ ЦАП вибирають однаковими.
На рис.11 дані:
- спектр
відліків, представлених вузькими імпульсами,
- спектр неперервного сигналу
,
- робоче
ослаблення ФНЧ. Для того, щоб ФНЧ не вносили лінійних перекручувань у
неперервний сигнал, граничні частоти смуг пропускання ФНЧ повинні задовольняти
умові
f1 ≥
Fmax(4.3)
Для того, щоб виключити
накладання спектрів
й
, а також
забезпечити ослаблення відновлюючим ФНЧ складових
, граничні
частоти смуг затримки ФНЧ повинні задовольняти умові:
f2 ≤ (
fД - Fmax )(4.4)
Щоб ФНЧ не були занадто
складними, відношення граничних частот вибирають із умови
f2 / f1 = 1,3...1,4(4.5)
Рис.11. Спектри відліків сигналу й
АЧХ фільтра
Після підстановки
співвідношень (4.3) і (4.4) в (4.5) можна вибрати частоту дискретизації
.
1,35;
1 = 1,35 ;
2,35,
звідси
fД = 2,35
· Fmax
fД
= 2,35 · 7,5 = 17,625 КГц - частота дискретизації.
Тепер знайдемо інтервал
дискретизації:
, де fД -
частота дискретизації.
(с).
в) Визначення кількісті рівнів
квантування L, довжини двійкового коду n і тривалість двійкового символу Тб;
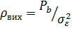
Завадостійкість системи передачі неперервних
повідомлень визначається величиною:
(4.6)
де
- середня
потужність первинного сигналу;
- середня потужність перешкоди на
виході системи передачі.
627,98 · 10-6 (Вт/раз)
У системі цифрової передачі методом
ІКМ потужність перешкоди на виході ЦАП визначається:
(4.7)
де
-
середня потужність шуму квантування;
- середня
потужність шумів помилкових імпульсів.
Якщо задано відношення
сигнал/шум квантування
, то можна
розрахувати середню потужність шуму квантування:
(4.8)
313,985 · 10-6 (Вт/раз)
Якщо ж
не задано,
а задано
, то
рахують, що
(4.9)
При проведенні розрахунків по
формулах (4.6) і (4.8) задані в децибелах відношення сигнал/перешкода необхідно
представити в разах:
(4.10)
Величина rкв при
рівномірному квантуванні визначається так:
(4.11)
З рівняння (4.11) можемо
розрахувати кількість рівнів квантування:
Оскільки первинний сигнал
b(t), що підлягає перетворенню в цифровий сигнал, набуває значення
від bmin до bmax, то інтервал (bmin, bmax) підлягає
квантуванню, і крок квантування визначається так:
(4.12)
У сигналів із середнім
значенням, що дорівнює нулю, bmin = - bmax. Якщо значення bmax
не задане, то воно визначається як:
(4.13)
відл. ;
відл;
0,0867 відл.
Для розрахунку довжини
двійкового коду n, необхідно обрати
, і користуючись наступною формулою,
маємо:
(4.14)
=256, n=8 - є
ціле число. Це співвідношення враховує, що кількість рівнів квантування L
- цілий степінь числа.
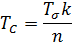
Тривалість двійкового символу на
виході АЦП визначається.
(4.15)
7,1 · 10-9 (c)
г) Розрахунок відношення
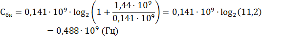
сигнал/шум квантування rкв
для розрахованих параметрів АЦП;
За формулою (4.11), що була вказана
раніше, можна визначити ρкв
:
(4.11)
7864 (рази)
Переведемо значення
з рази у
дБ:
(дБ).
Порівнявши дане нам ρкв.доп
з
розрахованим відношення сигнал/шум квантування ρкв.,
бачимо що вони майже еквівалентні ρкв.доп
≈
ρкв ..
д)
Розрахунок допустимої ймовірністі помилки символу Pдоп у каналі зв’язку (на
вході ЦАП).
Для цього необхідно
попередньо визначити припустиму величину потужності шуму помилкових
імпульсів на основі співвідношення (4.7), звідки:
(4.16)
(Вт/раз)
Тут
- потужність
шуму квантування, яка визначається співвідношеннями (4.8) і (4.9) при
обраному числі рівнів квантування L. Далі скористаємося співвідношенням
[1, ф-ла (8.14)], що пов’язує
й імовірність помилки біта на
вході ЦАП Pσ:
(4.17)
З цього рівняння виразимо
доп
, в результаті отримаємо:
(4.18)

4.3
Розрахунок перешкодостійкості демодулятора сигналу дискретної модуляції
Вихідні дані:
- метод модуляції (АМ-2) та
когерентний спосіб прийняття;
канал зв'язку - з постійними
параметрами й адитивним білим гауссівським шумом;
допустима ймовірність помилки
двійкового символу (біта) у каналі:
рдоп
= 0,166 · 10-6 ;
- тривалість двійкового символу: Тб
= 7,1 · 10-9 с .
Необхідно розрахувати:
- залежність ймовірності
помилки біта від відношення сигнал/шум на вході демодулятора р = f(
) та
побудувати графік цієї залежності;
значення необхідного
відношення сигнал/шум на вході демодулятора
, що забезпечує допустиму
ймовірність помилки біта Pдоп.
Перешкодостійкість
демодулятора сигналу дискретної модуляції визначають ймовірністю помилки
елемента модульованого сигналу Рпом або ймовірністю помилки двійкового
символу р. Імовірності помилки Рпом і р залежать від
методу модуляції, способу прийняття, відношення середньої енергії сигналів до
питомої потужності перешкоди та характеристик каналу зв’язку.
Для визначення ймовірністі
помилки двійкового символу під час передавання багатопозиційними сигналами
через гауссівський канал зв’язку з постійними параметрами, користуються
наступною формулою:
р = 0,25[1-Ф2(0,9hб)](4.19)
Де
(4.20) -
відношення середньої енергії елементів модульованого сигналу, що витрачається
на передавання одного двійкового символу Eб, до питомої потужності шуму N0 (
[дБ] = 10lg
);
Eб = РsTc
(4.21)
Pc - середня
потужність сигналу;
Tc - тривалість
двійкового символу.
При АМ-2 енергія одного із
сигналів дорівнює нулю, тому у формулах (4.19) та (4.20), слід h2
замінити на 2
.
(4.22)
Це співвідношеня називають
функцією Крампа .
Можна користуватися формулою
апроксимації функції Крампа.
(4.23)
Результати розрахунків імовірності
помилки двійкового символу заносимо в таблицю 1.
Таблиця 1
|
,
дБ
|
,разах
|
Ф(х)
|
P
|
|
2
|
1,585
|
0,921
|
0,097
|
|
3
|
1,995
|
0,952
|
0,073
|
|
4
|
2,512
|
0,974
|
0,046
|
|
5
|
3,162
|
0,988
|
0,024
|
|
6
|
3,981
|
0,99515
|
0,011
|
|
7
|
5,012
|
0,99844
|
0,0037
|
|
8
|
6,310
|
0,99961
|
9,93E-4
|
|
9
|
7,943
|
0,99993
|
1,89E-4
|
|
10
|
10
|
0,99999
|
2,85E-5
|
|
11
|
12,589
|
1
|
1,52Е-5
|
|
12
|
15,849
|
1
|
1Е-6
|
Так як в каналі зв’язку не
використовується завадостійке кодування, то припустима імовірність помилки
символу на виході демодулятора дорівнює значенню Рσ
, найденому при розрахунку параметрів ЦАП. Визначимо потрібне співвідношення
сигнал-шум для системи передачі без кодування
,
при якому Р = pдоп = 0,166·10-6.
Рис.12. Завадостійкість систем
передачі без завадостійкого кодування та з ним
З графіка визначаємо:
(дБ)
Розрахуємо необхідне відношення
сигнал-шум на вході демодулятора
.
Для цього
переведемо в рази:
(рази)
(4.24)
4.4 Вибір коригувального коду й
розрахунок перешкодостійкості системи зв’язку з кодуванням
Вихідні дані:
- енергетичний виграш кодування ЕВК
= 2,0 дБ;
метод дискретної модуляції АМ-2
в каналі зв’язку з когерентним способом приймання;
тип неперервного каналу зв'язку - з
постійними параметрами та адитивним білим гауссівським шумом;
допустима ймовірність помилки
двійкового символу на виході декодера pдоп;
відношення сигнал/шум на вході
демодулятора
(дБ), що
забезпечує допустиму ймовірність помилки pдоп = 0,166·10-6
у каналі без перешкодостійкого кодування.
Необхідно розрахувати:
- вибрати й обґрунтувати параметри
коду, що забезпечує необхідний ЕВК: довжину коду n, кількість
інформаційних символів k і кратність помилок, що виправляються qв;
розрахувати залежність ймовірності
помилки символу на виході декодера від відношення сигнал/шум на вході
демодулятора
при використанні
вибраного коду;
визначити одержаний ЕВК та порівняти
його з необхідним.
Коригувальні коди дозволяють
підвищити перешкодостійкість і завдяки цьому зменшити необхідне відношення
сигнал/шум на вході демодулятора для заданої ймовірності помилки прийнятих
символів. Величина, що показує, у скільки разів (на скільки децибел)
зменшується необхідне відношення сигнал/шум на вході демодулятора, завдяки
використанню кодування, називається енергетичним виграшем кодування
(ЕВК).
Зв’язок між основними параметрами
двійкових коригувальних кодів n, k і qв встановлює верхня
межа Хеммінга :
(4.25)
де
(4.26)
- кількість комбінацій із n за q
З формул (4.25) - (4.26) випливає,
що перешкодостійкість у каналі зв’язку з кодуванням і ЕВК переважно залежить
від параметрів коду n, k і qв та відношення сигнал/шум
.
Крім того, один і той самий ЕВК може бути досягнутий при різних значеннях n,
k і qв.
Формулу (4.25) для знаходження k
можна переписати у вигляді:
(4.27)
З трьох параметрів коду n,
k і qв два можуть бути вибрані незалежно, а третій розрахований за
формулою (4.27). Такими незалежними параметрами звичайно є n та qв.
Для їхнього вибору слід урахувати:
з підвищенням qв ЕВК
збільшується, але при цьому різко зростає складність декодера;
зі зростанням n ЕВК
збільшується, але при великих n (порядку 100) зростання ЕВК
уповільнюється, а потім може й зменшуватися.
Отже з поданих нам сімейств
залежностей енергетичного виграшу демодулятора ЕВК та при раніше розрахованій
допусти мій ймовірністі помилки двійкового символу (біта) у каналі pдоп
, ми можемо знайти кратність помилок, що виправляються qв і довжина коду
n.
З урахування того, що задано ЕВК
(1,2 дБ) та для забезпечення заданої ймовірністі помилки pдоп в каналі
зв’язку без кодування маємо неодбідне попередньо відношення сигнал/шум
(9,45
дБ), можна розрахувати
для канала зв’язку
з кодуванням:
(дБ)
Переведемо у рази:
(рази)
Аналогічно до попереднього випадку
для визначення імовірності помилки двійкового символу під час передавання багатопозиційними
сигналами через гауссівський канал зв’язку з постійними параметрами,
користуються наступною формулою:
р = 0,25[1-Ф2(0,9hб)](4.19)
Можна користуватися формулою
апроксимації функції Крампа.
(4.23)
При декодуванні з виправленням
помилок імовірність помилкового декодування визначається з умови, що кількість
помилок у кодовій комбінації на вході декодера q перевищує кратність
помилок, що виправляються qв.
(4.28)
де
(4.29)
- імовірність помилки кратності q;
(4.26) - кількість
комбінацій із n за q;
р -
ймовірність помилки двійкового символу на вході декодера, розрахунок якої для
гауссівського каналу зв’язку з постійними параметрами.
Для переходу від ймовірності помилкового
декодування кодової комбінації Рп.д до ймовірності помилки двійкового
символу на виході декодера рд достатньо врахувати принцип виправлення
помилок декодером: декодер заборонену кодову комбінацію замінює найближчою
дозволеною. Тому якщо кількість помилок у комбінації q > qв,
але q £ dmin,
то в результаті декодування комбінація буде містити dmin помилок (dmin
- кодова відстань). Оскільки помилки більш високої кратності малоймовірні, то
остаточно можна вважати, що в помилково декодованій комбінації є dmin
помилкових символів. У коригувальних кодів кодова відстань dmin ³
2qв+1. Оскільки при помилковому декодуванні кодової комбінації 2qв+1
символів із n помилкові, то перехід від Рп.д до рд
виконується за формулою:
(4.30)
Таблиця 2
|
n
|
qв
|
k
|
h2
|
p
|
Pп.д
|
рд
|
|
15
|
1
|
2,729
|
|
0,144
|
2,419Е-13
|
4,837Е-14
|
|
18
|
2
|
4,377
|
|
0,109
|
1,979Е-12
|
5,497Е-13
|
|
23
|
3
|
7,557
|
|
0,0589
|
1,071Е-13
|
3,259Е-14
|
|
30
|
4
|
12,588
|
|
0,0059
|
5,658Е-26
|
1,698Е-26
|
Найкращим слід вважати код із
мінімально можливим qв і найменшим при цьому значенні n, за яких
забезпечується заданий ЕВК, що мінімізує складність кодека. Але оскільки при
збільшенні qв сильніше, ніж при збільшенні n, зростає складність
декодера, то передусім повинно бути мінімальним значення qв.
Оскільки у всіх випадках рд ≤
рдоп , то вибір ґрунтуватиметься на найменших значеннях кратності
помилок, що виправляються (qв) і довжини коду(n). Отже qв
= 1, а n = 15
Рис.13. Приклад залежності
З графіка визначаємо необхідне
відношення сигнал/шум
на вході
демодулятора, при якому забезпечується припустима ймовірність помилки символу
на виході декодера, тобто
.
(дБ)
Переведемо в рази
:
(рази)
За знайденим значенням
й
отриманому при розрахунку завадостійкості демодулятора значенню
визначимо
ЕВК:
або
(4.31)
З цього видно, що
розраховане та дане нам значення енергетичний виграш кодування ЕВК = 2,0 [дБ]
майже співпадають.
Визначимо необхідне відношення
сигнал/шум на вході демодулятора в каналі зв’язку з кодуванням:
(4.32)
5.
Розрахунки й порівняння ефективності систем передавання неперервних повідомлень
Вихідні дані:
тип каналу зв’язку - канал із
постійними параметрами й адитивним білим гауссівським шумом;
методи модуляції та параметри, що
визначають ширину спектра модульованого сигналу.
відношення сигнал/шум на виході
каналу зв’язку, за якого забезпечується задана якість відновлення повідомлення:
для сигналів дискретної модуляції
і
,
для сигналів аналогової модуляції ρвх.н
= 36 дБ;
- продуктивність джерела повідомлень
Необхідно розрахувати:
- розрахувати пропускну здатність
каналу зв’язку С для всіх розглянутих варіантів передавання та зіставити
її значення з продуктивністю джерела повідомлень Rд;
- розрахувати коефіцієнти
інформаційної
, частотної
та
енергетичної
ефективностей
для всіх розглянутих варіантів передавання;
побудувати графік межі
Шеннона
;
порівняти ефективність
розглянутих варіантів передавання між собою та з граничною ефективністю.
Для оцінки ефективності систем
зв'язку під каналом зв’язку розуміють сукупність засобів, що забезпечують
передавання сигналів від виходу модулятора до входу демодулятора. Введемо
коефіцієнт використання каналу по потужності
(енергетичну
ефективність) і коефіцієнт використання каналу по смузі частот
(частотна
ефективність):
,
(5.1)
(5.2)
де R - швидкість передачі
інформації;

- відношення потужності сигналу
Ps до
спектральної щільності потужності шуму
;- ширина смуги частот, займаної
сигналом.
Як видно, безрозмірні
коефіцієнти β і γ
мають зміст
питомих швидкостей (швидкостей віднесених до одного з параметрів каналу). Так,
коефіцієнт γ
визначає швидкість передачі інформації в одиничній смузі частот.
Узагальненою характеристикою
ефективності систем зв'язку є коефіцієнт використання каналу по пропускній
здатності (інформаційна ефективність)

(5.3)
Пропускна здатність
неперервного каналу зв’язку визначається формулою Шенона:
(5.4)
Смуга пропускання каналу
зв’язку
, що входить
до цієї формули, приймається рівній ширині спектра модульованого сигналу
.
При передачі сигналів дискретної
модуляції мінімально можлива ширина спектра сигналів визначається границею
(межею) Найквіста [1, с.284]: при АМ ФМ, ВФМ і КАМ
(5.5)
Незалежно від числа позицій
сигналу М, тривалість елемента модульованого сигналу розраховуватиметься за
формулою:
(5.6)
- тривалість
двійкового символу на вході демодулятора.
Якщо в системі передавання
відсутнє завадостійке кодування, то значення
дорівнює тривалості двійкового
символу
на виході
АЦП або кодера простого коду. Якщо ж використовується завадостійке кодування,
то:
(5.7)
де n і k -
параметри коригувального коду.
Розрахунки
Цифрова передача неперервних
повідомлень.
1) без перешкодостійкого
кодування
тривалість елемента модульованого
сигналу
- мінімально можлива ширина спектра
сигналів:
- енергетична ефективність:
частотна ефективність:
Підставивши значення у (5.4)
отримаємо:
інформаційна ефективність
2) із перешкодостійким
кодуванням
тривалість елемента модульованого
сигналу
- мінімально можлива ширина спектра
сигналів:
енергетична ефективність:
частотна ефективність:
Підставивши значення у (5.4)
отримаємо:
Звідси інформаційна ефективність
Передавання сигналів аналогової
модуляції.
2) аналогова модуляція.
При передачі сигналів аналогової
модуляції припускаємо, що ширина спектру сигналів буде рівною :
(5.8)
де
-
максимальна частота спектру сигналу.
Для визначення відношення сигнал/шум
на виході каналу зв’язку
слід користуватися
формулою :
(5.9)
Розрахуємо енергетичну ефективність
сигналу:
а також частотну ефективність:
Тоді пропускна здатність для
аналогової передачі складає:
Розрахуємо інформаційну
ефективність:
|
Система передавання
|
Параметри
|
|
RД, кбіт/с
|
FК, Кгц
|
,
Гц
|
С, кбіт/с
|
η
|
β
|
γ
|
|
ЦСП без завадостійкого кодування
|
152,8·103
|
|
|
|
|
|
|
|
ЦСП з завадостійкого кодування
|
152,8·103
|
|
|
|
|
|
|
|
Аналогова модуляція
|
152,8·103
|
15·103
|
540·103
|
|
2,3
|
|
0,33
|
Будуємо графік граничної залежності
за
формулою Шеннона :
(5.10)
та точками відкладаємо ефективність
трьох варіантів передачі .
- без кодування;
- цифрова передача
з кодуванням;
- аналогова
передача.
Рис.14. Залежність
Розрахунки ефективностей для систем
з завадостійким кодуванням і без нього позначені на графіку точками. Можна
помітити, що для цифрових системи без кодування коефіцієнт β
нижчий ніж системи із завадостійким кодуванням. Оскільки для забезпечення
відношення сигнал/шум
потрібна більша
енергія сигналу ніж для забезпечення відношення сигнал/шум
,
енергетичні затрати в першому випадку вищі ніж в другому при однаковій вірності
передавання інформації. Тому можна сказати що система із завадостійким
кодуванням є більш ефективною з точки зору енергетичної ефективності.
Водночас коефіцієнт γ
для системи з кодуванням менший ніж для системи
без кодування. Внаслідок того, що зі зменшенням тривалості двійкового символу
відбувається розширення спектру модульованого коливання, потрібна більша смуга
пропускання в каналі зв’язку. Тобто з точки зору частотної ефективності система
без кодування є більш ефективною. Загалом можна сказати, що система без
кодування є ефективнішою, оскільки вона ближча до межі Шенона.
З графіка видно, що ефективність
реальних цифрових систем істотно нижче границі Шеннона. Характер обміну між β
та γ
залежить від виду модуляції (сигналу) та коригувального коду.
Використання коригувальних кодів дає
можливість підвищення вірності передачі повідомлення або при заданій вірності
підвищити енергетичну ефективність системи, що є особливо важливо для систем з
малою енергетикою.
Варіант передачі із завадостійким
кодуванням виявився енергетично ефективнішим. Це корисно для малоенергетичних
систем, таких, наприклад, як системи передачі супутникового та космічного
зв’язку. В той час як система без кодування виявилась дещо ефективнішою з точки
зору використання смуги частот, що є доцільно для багатоканальних систем.
Як видно з графіка використання
аналогової модуляції є найбільш ефективним, адже інформаційний сигнал
накладається на заздалегідь відому несучу частоту, що є незміною. Це дозволяє
декільком радіостанціям працювати паралельне не забиваючи ефір низькочастотними
завадами. Проте не дивлячись на високу енергетичну та частотну ефективність,
аналогова модуляція є ненадійним та менш якісним зв’язком, ніж цифрове
передавання.
У радіомовленні на довгих, середніх
і коротких хвилях використовується лише АМ. На відміну від систем радіозв’язку,
де на кожен передавач приходиться приблизно один приймач, у радіомовленні
передавач обслуговує десятки приймачів. Тому для забезпечення задовільної
вірності, економічно вигідніше в декілька разів збільшити потужність
передатчика.
Висновок
В даній курсовій роботі було
проведено розрахунки характеристик аналогової та цифрової систем передавання. У
відповідності з варіантом та у результаті розрахунків було отримано вихідні
дані, з чого можна зробити висновок про правильність виконання. Курсова робота
містить 6 розділів, які спрямовані на дослідження певних параметрів двох
варіантів систем передавання.
У першому розділі була наведена
структурна схема аналогової системи зв’язку, принцип її дії та особливості
роботи кожного з її блоків. Також було наведено основні параметри, що
характеризують блоки схеми та відповідні часові діаграми на вході та на виході.
У другому розділі виконав розрахунки
інформаційних характеристик джерела повідомлення, а саме: епсилон-ентропії
,
надмірність джерела χ (яка
у даному випадку дорівнює 0,99 , що свідчить про різні значення імовірності
окремих повідомлень, або присутність статистичних зв’язків між повідомленнями
джерела) та продуктивність джерела
=
10 Мбіт/с (що є досить швидкодіючою системою передачі).
Третій розділ включає в себе
розрахунки перешкодостійкості модулятора. Для заданого методу модуляції
(ОМ)
було розрахована та наведена залежність відношення середніх потужностей
сигнал/шум на вході демодулятора до відношення середніх потужностей на виході.
У четвертому розділі була наведена
структурна схема цифрової системи передавання методом ІКМ та пояснення
призначення кожного блока і їх основних параметрів.
Детальніше розглянув принцип роботи
та структуру аналого-цифрового перетворювача(АЦП) та цифро-аналогового
перетворювача(ЦАП). Були розраховані: інтервал TД
та частота дискретизації fД;
визначено кількість рівнів квантування L, розрядність двійкового
коду n , відношення сигнал/шум квантування rкв
,значення припустимої імовірності помилки
двійкового символу на вході ЦАП pσ
та тривалість двійкового символу на виході Tσ.
В результаті розрахунків для АМ-2
при некогерентному способі прийому у системі без кодування було наведено графік
залежності ймовірності помилки двійкового коду на виході демодулятора від
відношення сигнал/шум на вході демодулятора. Визначив відношення сигнал/шум
на
вході демодулятора при якому справджується рівність ймовірностей помилки
символу на вході та на виході АЦП.
Також був проведений вибір
коригувального коду та розрахунок його основних параметрів (n,k,qu)
для якого б забезпечувався допустимий енергетичний виграш кодування (ЕВК).
Побудовано графічну залежність імовірності помилки символу на виході декодера
від відношення сигнал/шум на вході демодулятора та визначене необхідне
відношення сигнал/шум
та
відношення сигналу до спектральної потужності шуму в каналі зв’язку. На основі
відношень сигнал/шум отриманих в даному та в попередньому розділі було
обчислено отриманий ЕВК.
В шостому розділі було
проведено оцінку ефективності цифрової системи передачі для трьох варіантів
передачі (із завадостійким кодуванням та без нього, аналогової передачі) та
наведено короткий висновок щодо загальної ефективності системи.
Використана література
1. Теорія передачі сигналів :
Підручник для вузів / А.Г. Зюко та ін. - М.: Радіо та зв’язок ,1986.
2. Панфілов І.П., Дирда
В.Ю. Теорія електричного зв’язку : Підручник для технікумів, - М. : Радіо та
зв’язок , 1991
3. Кантор Л.Я., Дорофеєв В.М.
Завадостійкість прийому ЧМ-сигналів. - М.: Зв’язок, 1977.
4. Розрахунки та оптимізація
характеристик систем електрозв’язку: методичний посібник /Ушенко Ю. О. -
Чернівці, 2008.
5. Конспект лекцій по ТЕЗ:
2012.