Вплив ліній електропередач на волоконно-оптичний кабель
Вплив
ліній електропередач на волоконно-оптичний кабель
Зміст
Вступ
. Коротка
характеристика кінцевого пункту, вибір траси ВОЛП, типу кабелю та системи
передачі
1.1 Характеристика кінцевого
пункту
.2 Коротка характеристика
оптичного кабелю
.3 Вибір траси ВОЛП
.4 Вибір системи передачі
.5 Розрахунок необхідної
кількості оптичного кабелю
2. Розрахунок
оптичних параметрів ОВ. розрахунок втрат. Розрахунок дисперсії сигналу в
одномодовому волокні
2.1 Розрахунок параметрів ОВ
.2 Визначення втрат у ОВ
.3 Розрахунок дисперсії ОВ
3. Розрахунок
довжини регенераційної ділянки
3.1 Розрахунок довжини дільниці
регенерації за загасанням
.2
Розрахунок довжини дільниці регенерації по дисперсії
.3
Побудова діаграми енергетичних рівнів для однієї ділянки регенерації
4. Захист
волоконно-оптичних ліній від небезпечних впливів ЛЕП
. Будівництво
та монтаж ВОСП
. Кошторисно-фінансовий
розрахунок
Висновок
Література
Вступ
Науково - технічна революція в
області розробки нових інформаційно-комунікаційних систем, розвиток кабельного
телебачення, багатоканальних, телефонних ліній, здатних одночасно передавати
сотні тисяч повідомлень, комп'ютерних мереж, автоматизоване управління
технологічними процесами, в тому числі в умовах впливу високоінтенсивних
електромагнітних полів та радіаційного випромінювання, вимагає широкого
впровадження волоконно-оптичних систем передачі (ВОСП) інформації.
Сучасні системи передачі інформації
потребують смуги пропускання до 10 Ггц. На таких частотах втрати металевих
напрямних систем складають одиниці дБ/м, що створює труднощі передачі сигналу
вже на досить коротких відстанях. Волоконно-оптичні кабелі мають переваги -
менша вага і розміри, оптичні втрати близько 0,5-1 дБ/км незалежно від частоти
модуляції і забезпечують одночасну заміну електричних провідних ліній (мідних)
на скловолоконні за умов доступності та низької вартості останніх. Завдяки
низькій дисперсії оптичних волокон (1-10нс/км), лінії зв'язку, які
сконструйовані з добре підібраним лазерним випромінювачем, досягають ширини
смуги пропуск десятків Ггц/км.
Складність практичного забезпечення
якості комутаційних компонентів пояснюється тим, що геометричні розміри
оптичних волокон і деталей елементів, допуски форми і розташування, знаходяться
в короткому проміжку, в області одиниць і десятих часток мікрометрів. Так,
типові значення діаметрів волокон (серцевина / оболонка) складають 10+1%/125
мкм для одномодових (ООВ) і 50+6%/125 мкм для багатомодових волокон (БОВ) . Для
забезпечення прийнятних втрат при з'єднанні волокон на рівні 0.5-1дБ необхідно
реалізувати поперечне суміщення волокон з точністю менше, ніж 1 мкм для ООВ і
2.5 мкм для багатомодових волокон, кутовий зсув з точністю менше, ніж 0.5° і
різницю діаметрів серцевин з точністю менше, ніж 1 мкм для БОВ і 0.1 мкм для
ООВ. Адже основною вимогою є прецизійне забезпечення геометричних та
експлуатаційних, параметрів їх самих, і деталей, з яких вони зібрані. Вирішення
цих питань вимагає створення нових високоефективних і високоточних технологій,
які значною мірою є новими для вітчизняної промисловості.
1. Коротка характеристика кінцевого
пункту, вибір траси волп, типу кабелю та системи передачі
.1 Коротка характеристика
кінцевого пункту
Дніпропетровськ - місто в Україні,
адміністративний центр Дніпропетровської області.
У сучасній Україні, так само як і
впродовж усієї своєї історії, Дніпропетровськ є одним з найвизначніших
політичних, промислових, фінансових, наукових та культурних центрів. За
чисельністю населення Дніпропетровськ є четвертим містом в Україні після Києва,
Харкова та Одеси.
Дніпропетровськ разом із містами
Дніпродзержинськом, Новомосковськом, Підгородним, Синельниковим, Верхівцевим,
Верхньодніпровськом і селами та селищами Іларіоновим, Кіровське
(Дніпропетровський район), Петриківкою, Піщанкою, Спаським, Орлівщиною, Волоським,
Новоолександрівкою, Сурсько-Литовським, Солоним, Криничками, Аулами складає
Дніпровську агломерацію з населенням майже 2 млн осіб.
Дніпропетровськ розташований у
центральній Україні з тяжінням до її півдня й сходу. Особливість
Дніпропетровська - небезпечні геологічні процеси, пов'язані з наявністю лесових
товщ та розвитком техногенного підтоплення. Особливо ці процеси проявляються на
правобережжі. Підтоплення створює передумови розвитку просадок у лесових
породах та зсувів, призводить до деформації та руйнування будівель.
Будучи столицею величезної південної
губернії, Катеринослав розвивався як звичайний провінційний
сільськогосподарський центр. Тільки з відкриттям в кінці 19 століття
Криворізького залізорудного родовища почався інтенсивний розвиток міста. В цей
період діяло близько 170 великих та малих заводів і фабрик. Величезні прибутки
промисловців зумовили швидкий розвиток міської інфраструктури та благоустрій
території міста.
На початку 20 століття промисловість
продовжувала розвиватись і в 30-ті роки місто перетворилось на потужний
індустріальний центр.
Економічному розвитку міста сприяє
його розташування на перехресті всіх видів шляхів сполучення - водних,
залізничних, автомобільних, повітряних і наявності необхідної інфраструктури,
що дає можливість здійснювати значні обсяги перевезень пасажирів та вантажів.
Міжнародного класу аеропорт зв'язує
місто з країнами дальнього та ближнього зарубіжжя. Залізничні магістралі
з'єднують його з головними сировинними базами країни - кам'яновугільним Донбасом,
залізорудним Криворіжжям, та Нікопольським марганцевим басейном. Добре
розвинута система автомобільних шляхів.
Місто стоїть на березі головної
водної артерії країни - річки Дніпро. Її береги зв'язують 5 залізничних та
автодорожніх мости. Дніпропетровський річковий порт забезпечує суднам типу
«річка-море» прямі міжнародні перевезення вантажів з виходом у Чорне море.
У регіоні діє розвинута система
електрозв'язку. Телефонні послуги надають як державні компанії так і 6
приватних фірм, у їх числі - спільні підприємства з інвестиційним капіталом із
США, Канади, Франції, Італії.
Розгорнуті мобільні та стільникові
телефонні мережі. Діють пейджингові компанії, послуги доступу до всесвітньої
мережі Інтернет надають близько 10 фірм. Впровадження інформаційних технологій
та сучасного поштового обладнання дозволяє організувати надання послуг
електронної та гібридної пошти, здійснення банківських операцій, різних видів
розрахунків та надання інформаційних послуг.
Середня висота над рівнем моря 70
м
Дорожнє покриття: асфальт, бруківка.
Середня висотність будівель: 7-16 поверхів.
1.2 Коротка характеристика оптичного
кабелю
ОАрБгПн-С -кабелі волоконно -оптичні
з бронею з шару арамідних ниток і гофрованої сталевої стрічки.
ТУ У 31.3-00214534-036-2004
Рисунок 1.2.1- Структура оптичного
кабелю
Область застосування:
Кабелі призначені для прокладки в
грунтах всіх груп , у тому числі в грунтах з низькою , середньою і високою
корозійною активністю і на територіях , заражених гризунами , окрім грунтів ,
піддаються мерзлотним та іншим деформаціям; через болота , озера , несплавні і
несудноплавні річки .
Кабелі марок ОАрБгПн , ОАрБгПн -С
(зовнішня оболонка з полімеру , що не поширює горіння) прокладаються всередині
будівель і споруд , в тунелях і колекторах , в вертикальних і горизонтальних
кабельних магістралях і по кабельростам , в місцях з підвищеними вимогами по
пожежобезпеки.
Волоконно-оптичний кабель ОАрБгП
може містити до дванадцяти оптичних модулів. Внутрімодульное і межмодульного
простір заповнений гідрофобним компаундом . Зовнішня оболонка волоконно
-оптичного кабелю виконується з поліетилену .
Технічні характеристики:
Оптичних волокон, шт: 2 - 144;
Діаметр троса, мм: 15,1 - 19,5;
Максимальна розтяжне зусилля, кН:
1,5 - 5;
Максимальна роздавлююче зусилля, кН
/ см: від 0,3;
Діапазон робочих температур, ° С:
-40 ... +60.
Вибір конструкції оптичного кабелю
визначається вибраним числом ОВ, умовами і плановим способом прокладання та
експлуатації.
Кількість оптичних волокон
розраховується по формулі:
, (1.2.1)
де n - задане по варіанту кількість
каналів, (n =630);- кількість каналів апаратури, для STM-16 =1008 ПЦП;
% від загальної кількості
відводиться на розвиток мережі.

(1.2.2)
.3 Вибір траси ВОЛП
Вибираємо трасу з урахуванням
мінімізації обсягу робіт, з урахуванням можливості застосування механізмів при
будівництві, з урахуванням джерел блукаючих токів і ліній електропередач. У
заміській частині траса повинна проходити паралельно шосейним і ґрунтовим
дорогам, мати мінімум перетинів з ріками, водоймами, шосейними і залізничними
дорогами.
Рисунок 1.3.1 - Скелетна схема
варіантів прокладання волоконно-оптичної лінії передачі
Таблиця 1.3.1 - Загальна
характеристика варіантів траси ВОЛП
|
N зп
|
Найменування
|
Од.
|
Кількість одиниць
|
Примітка
|
|
|
|
I варіант
|
II варіант
|
|
|
1
|
Довжина траси
|
км
|
7,6
|
8,1
|
|
|
2
|
Місцевість: - населена
- відкрита
- ліс
- болото
|
км
|
- 7 - 0,6
- 0
- 0
|
- 7,2 - 0,5
- 0
- 0
|
|
|
3
|
Автомобільні дороги: - асфальт
- щебінь
- ґрунтівка
|
км
|
- 6,5 - 0,3
- 0
|
- 7,7 - 0,1
- 0
|
Паралельне проходження
|
|
5
|
Трамвайні колії
|
км
|
- 1,3
|
- 5
|
Паралельне проходження
|
|
6
|
Пересічення з: - шоссе
- трамвайними
коліями
|
пер.
|
- 7 - 2
|
- 8 - 3
|
|
|
7
|
Водні перешкоди: - судоходні
- несудохідні
|
пер/м
|
0 0
|
0 0
|
Ширина(м);
|
|
8
|
Прокладка ОК
|
км.
|
- 7,8
|
- 6,8
|
|
|
9
|
Число ОРП
|
шт.
|
- 0
|
- 0
|
|
|
10
|
Число НРП
|
шт.
|
- 0
|
- 0
|
|
|
Довжина траси ,км
|
4,2
|
1,7
|
1,7
|
|
Категорія грунту з важкості розробки
|
II
|
II
|
II-III
|
|
Питомий опір грунту , Ом·м
|
30
|
30
|
30
|
|
Грозодіяльність Т, год/рік
|
44
|
43
|
45
|
Рисунок 1.3.2 - Скелетна схема
варіантів волоконно-оптичної лінії передачі
Умовні позначення:
Висновок:
На підставі порівняння варіантів, я
вибираю наступний варіант траси (вул. Кротова - просп. Карла Маркса ), як
найбільше підхожий через найменший необхідний обсяг робіт та меншою довжиною
трамвайної колії і приймаю його за проектний.
.4 Вибір системи передачі
Згідно із завданням кількість ПЦП
630, вибираємо SТМ-16.
Таблиця 1 - Характеристика апаратури
|
STM-16
|
|
Число цифрових потоків
|
Е1 1008
|
|
Швидкість оптичного стику, Мбит/с
|
2500
|
|
Середня вихідна потужність, дБм
|
-3
|
0
|
2
|
2
|
|
Мінімальна чутливість приймача, дБм
|
-27
|
-28
|
-27
|
-29,5
|
|
Ширина спектральної лінії випромінювання Дл ,
нм
|
<1
|
<0,6
|
<1
|
<0,6
|
|
Максимальна хроматична дисперсія к ук , пс/нм,
на ЕКД
|
10500
|
1.5 Розрахунок необхідної кількості
оптичного кабелю
Розраховуємо необхідну кількість ОК
для прокладки по трасі ВОЛС з урахуванням запасів. Згідно з рекомендаціями
необхідний запас кабелю становить 10% від всієї довжини траси.
Необхідна кількість оптичного кабелю
визначається:
Lтр=Lзл+(
Lзл·0.1) (1.5.1)
Lтр=7.6+(7.6·0.1)=8.2 км
По результатам розрахунків видно, що
між РАТС необхідно прокласти 8.2 км оптичного кабелю ОАрБгП.
2. Розрахунок оптичних параметрів
ОВ. розрахунок втрат. Розрахунок дисперсії сигналу в одномодовому волокні
.1 Розрахунок параметрів ОВ
Оптичне волокно є напрямною системою
для розповсюдження електромагнітних хвиль. Для їх розповсюдження по волокну
використовується відоме явище повного внутрішнього відбиття на межах двох
діелектричних середовищ осердя з показником заломлення n1 та оболонки з
показником заломлення n2, при
цьому n1 > n2.
Згідно значення відносної різниці
показників заломлення ОВ із східчастим профілем показника заломлення (ППЗ)
знаходиться з виразу[2]:

(2.1.1)
,00357=(1,465-n2)/1,465=1,459
Для цих ОВ числова апертура
визначається співвідношенням:

(2.1.2)
NA= 1,465
Для визначення режиму роботи
ОВ нормована частота виражається:

(2.1.3)
V = 
0,123=2,28
Де 
-робоча довжина хвилі, мкм;- діаметр
осердя ОВ, мкм (для стандартного ОВ d = (8,6…9,5) мкм).< 2,405, то режим
роботи ОВ одномодовий.
Критична частота ОВ, при якій розповсюджується
тільки один тип хвилі НЕ11 визначвється за виразом:

(2.1.4)
Де 
- власне значення моди НЕ11 -
2,405
с - швидкість світла (с=3
м/с).
Критична довжина хвилі в ОВ
визначається за виразом:

(2.1.5)
.2 Визначення втрат у оптичному
волокні
Коефіцієнт загасання сигналу в ОВ
обумовлений власними і додатковими втратами , що виникають в результаті
виробництва оптичного волокна, збирання і прокладання ОК:

(2.2.1)
Де 
сумарні власні втрати в ОВ, дБ/км;

додаткові втрати в ОВ, дБ/км.
Сумарні власні втрати в ОВ
визначаються у вигляді :

(2.2.2)
Де 
втрати на релеєвське розсіяння в
ОВ, дБ/км;

втрати в матеріалі, пов'язані з
втратами на поляризацію, дБ/км;

втрати сигналів, пов'язані з
поглинанням в інфрачервоній області спектра, дБ/км;

втрати в ОВ на гідроксильному
залишку води ОН, дБ/км.
Релеєвські втрати можуть бути
визначені за формулою[3]:

(2.2.3)


= 0,203 дБ/км
Втрати в матеріалі, пов'язані
з втратами на поляризацію, лінійно зростають зі зростанням частоти згідно
виразу:

(2.2.4)

дБ/км

(2.2.5)

дБ/км
Втрати в ОВ на гідросильному
залишку води ОН рівні:

дБ/км

дБ/км
Експериментально встановлено, що
додаткові втрати в ОК приблизно
складають (20 - 40) % від власних
втрат і розраховуються за формулою:

(2.2.6)

дБ/км

дБ/км
2.3 Розрахунок дисперсії
Коефіцієнт хроматичної дисперсії ОВ

(2.3.1)

- нахил дисперсійної кривої
л0 - довжина хвилі
нульової дисперсії

пс/нмкм
Середньоквадратичне значення
погонної дисперсії
уП = 
(2.3.2)
уП = 
пс/км
3. Розрахунок довжини дільниці
регенерації волоконно-оптичної лінії передавання. побудова діаграми
енергетичних рівнів для однієї ділянки регенерації
.1 Розрахунок довжини дільниці
регенерації за загасанням
Обмеження довжини регенераційної
ділянки (РУ) по тимчасових характеристиках визначається наявністю дисперсії у
ВР. При збільшенні швидкості передачі в оптичному лінійному тракті при
фіксованій дисперсії настає момент, коли передані імпульси в оптичному
лінійному тракті можуть перекриватися, тобто швидкість передачі обмежена.
При проходженні імпульсів світла по
оптичному світловодному тракті змінюється не тільки його амплітуда, але і
форма, тобто імпульс підширюється. Це означає, що тривалість його за рівнем
половинної амплітуди на виході тракту tвх більше, ніж на вході - tвих.
Енергетичний потенціал апаратури
ВОСП дорівнює різниці рівнів потужності оптичного сигналу на передачі та
мінімальній чутливості за потужністю сигналу на прийомі, при якому
забезпечується задана якість передачі інформації.

(3.1.1)
ЕП-енергетичний потенціал
Рпер-рівень потужності
сигналу на виході джерела випромінюваннч
Рпр- рівень потужності
сигналу на вході приймального оптичного модуля
Згідно з вибраною системою передачі
STM-16:
ЕП=2-(-27)=29 дБ
Максимальна довжина ділянки
регенерації по загасанню визначається за формулою
Таблиця 3.1.1- Баланс потужностей на
ділянці регенерації
|
Параметр
|
Позначення
|
Кількість
|
|
Рівень потужності на виході передаваючого
модуля
|
Pдж
|
2 дБ
|
|
Чутливість приймача
|
P0мін
|
-27 дБ
|
|
Втрати з’єднання «джерело-ОВ»
|
|
0.5 дБ
|
|
Втрати в зварному з’єднанні ОВ-ОВ
|
|
0.1 дБ
|
|
Кількість з’єднань ОВ-ОВ
|
N
|
1
|
|
Загальні втрати на з’єднаннях ОВ-ОВ
|
 N0.1 дБ
|
|
|
Втрати в з’єднанні «ОВ-приймач»
|
|
0.5 дБ
|
|
Апаратурний запас
|
Pз
|
6 дБм
|

(3.1.2)
Мінімальна довжина ділянки
регенерації по загасанню визначається за формулою

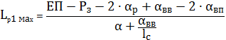
-діапазон АРП приймальної частини
апаратури(ПРОМ)

-запас системи за потужністю

- втрати потужності у роз’ємному
з’єднанні джерела випромінювання в волокно

-втрати у роз’ємному з’єднанні
волокна з приймачем

-коефіцієнт загасання ОК

-втрати в місцях зварювання волокон
між собою

-будівельна довжина кабелю
Максимальна довжина ділянки
регенерації по загасанню визначається за формулою
Мінімальна довжина ділянки
регенерації по загасанню визначається за формулою
.2 Розрахунок довжини
дільниці регенерації по дисперсії
Довжина регенераційної
ділянки Lp2 обмежена дисперсією сигналів в ОВ, не повинна
перевищувати[3]:

(3.2.1)
В-лінійна швидкість передачі
апаратури, Мбіт/с.

-середньоквадратичне значення
погонної дисперсії ОВ,с/км. Яке становить 0,8 пс/км.
Розрахуємо довжину
регенераційної ділянки 
обмежену дисперсією сигналів в ОВ:
Ми бачимо, що довжина
регенераційної дільниці по загасанню менша ніж по дисперсії, тому довжина
дільниці регенерації 47.2 км.
.3 Побудова діаграми
енергетичних рівнів для однієї ділянки регенерації
Діаграма рівнів є графіком
зміни рівня потужності оптичного сигналу при його розповсюдженні від виходу
передавального оптоелектронного модуля через лінійний тракт однієї ділянки
регенерації до входу в приймальний оптоелектронний модуль. Але, якщо довжина
з’єднувальної лінії менша за довжину регенераційної ділянки, то тоді діаграма
рівнів є графіком зміни рівня потужності оптичного сигналу при його
розповсюдженні від виходу передавального оптоелектронного модуля через лінійний
тракт з’єднувальної лінії до входу в приймальний оптоелектронний модуль.
А. На вертикальній осі з
лівого боку діаграми відкласти рівень сигналу джерела випромінювання,
відповідний Рдж= 2, дБм.
Б. Вниз від крапки А опустити
лінію, відповідну по величині втратам в двох оптичних роз'ємних з'єднувачах
(ОЗ-Р), що стоять на вході в ОВ:
*
р=1
дБ.
В. Далі йде похила лінія, що
відповідає втратам в першій будівельній довжині ОК. Вона закінчується в крапці
В, яка нижче за крапку Б на величину втрат в будівельній довжині ОК і рівна
БД=
*2=0,784 дБ.
Г. З точки В лінія
вертикально опускається вниз в точку Г на величину, рівну втратам в зварному
з'єднанні двох будівельних довжин ОК
н =0,1 дБ.
Далі повторюється картина,
описана в точках В та Г для необхідного числа будівельних довжин.
Д. У точці Д відбувається теж
саме, що і у точці В., але змінюється будівельна довжина Lбд=0,6.
Тоді похила лінія буде рівна
БД=
*0,6= 0.23 дБ.
Е. Пройшовши усі будівельні
довжини далі вниз відкладаються втрати у вихідному оптичному роз'ємному
з'єднувачі (ОЗ-Р), що стоїть на виході з ОВ:
*
р =1
дБ.
Є. Далі використовуємо
автоматичне регулювання рівня (АРР) на підсилювальній ділянці. АРР візьмемо
рівним 17.4 дБм.
Ж. Від значення P0мін
відкладається вгору запас потужності, пов'язаний з деградацією апаратури ВОСП Рз
= 6 дБм. Це точка Ж .
Згідно з отриманими вище
результатами ми можемо побудувати діаграму рівнів.
Висновки: згідно побудованої
діаграми можна зробити висновок, що на проектній ВОСП рівень сигналу на прийомі
зберігається на досить високому рівні. Це призводить до того, що отриманий
сигнал не входить в межі чутливості приймача. Для вирішення цієї задачі був
встановлений автоматичний регулювач рівня(АРУ). Для економії можна було встановити
атенюатор, але в перспективі краще використати АРУ.Атенюатори використовуються
в тих випадках, коли необхідно ослабити сильний сигнал до прийнятного рівня,
щоб уникнути перевантаження, що створюється надмірно потужним сигналом.
Однією із особливостей
експлуатації АРУ є те, що згасання сигналу можна регулювати. Це дозволяє
посилити сигнал, якщо згасання на ОК збільшиться внаслідок старіння.
4. Захист волоконно-оптичних
ліній від небезпечних впливів ЛЕП
Джерелами зовнішніх впливів
на ланцюгу зв'язку є лінії електропередачі (ЛЕП), електрифіковані залізниці
(ел.ж.д), потужні радіостанції (РС), атмосферну електрику, індустріальні
перешкоди, електрифікований міський транспорт та ін.
Небезпечний вплив - вплив під
час якого в кабелі виникає напруга, яка може пошкодити обладнання системи
передачі, прилади і також небезпечна для життя і здоров’я обслуговуючого
персоналу.
Рисунок 4.1 - Траса зближення
ВОЛП з ЛЕП
Метод розрахунку повздовжньої
наведеної ЕРС називається методом проб. Полягає він у тому, що коротке
замикання фазового дроту ЛЕП на землю при складній трасі зближення відбувається
послідовно. При цьому ділянки косих зближень приводять до паралельних, що
знаходяться на відстані[2]:
(4.1)
Наведена ЕРС визначається по
дільницях l1, l2 l3 оскільки для кожної
дільниці буде різний коефіцієнт взаємної індуктивності поміж дротом ЛЕП і
дротом лінії зв'язку. Він залежить від провідності ґрунту sгр
і ширини зближення аекв. Розрахуємо небезпечну наведену напругу по
формулі[2]:
, (4.2)
де щ - кругова частота впливаю чого
струму (f = 50 Гц);
(4.3)
кз
- струм короткого замикання, для кожної дільниці має такі значення: 1кз
=10000А; 2кз = 2600 А; 3кз = 1200 А; 4кз = 800
А;i - коефіцієнт взаємної індуктивності між дротом ЛЕП та оболонкою
кабелю зв'язку на i-тій ділянці зближення; визначається по номограмі Михайлова
[3];екр = 0,5 - коефіцієнт екрануючої дії тросу, [3];i -
довжина дільниці зближення.
Розраховуємо аєкв за
формулою (4.1) та по номограмі Михайлова знаходимо коефіцієнт взаємної
індуктивності між ланцюгом ЛЕП і кабельною лінією передачі при провідності
землі для даної ділянки sгр.=
1/r = 1/25 = 0.04 См/км.
Отримаємо такі значення:
М1 = 550·10-6 Гн/км;
М2 = 460·10-6 Гн/км;
М3 = 310·10-6 Гн/км;
М4 = 270·10-6 Гн/км.
Всі значення для розрахунку
небезпечної наведеної напруги занесені до табл. 4.1
Таблиця 4.1 - Розрахунок наведеної
ЕРС для ділянок зближень ЛЕП з магістральною лінією при нормальному режимі
роботи
|
N п/п
|
а1, м
|
а2, м
|
аекв, м
|
li, км
|
М(1-а), мкГн/км
|
Ip, А
|
 , ВЕ, В
|
|
|
1
|
40
|
40
|
40
|
0
|
550
|
0
|
0
|
|
2
|
40
|
125
|
70,7
|
2
|
460
|
|
98,5
|
98,5
|
|
3
|
125
|
104
|
111,2
|
0,8
|
310
|
|
26,5
|
125,1
|
|
4
|
104
|
275
|
169
|
2,3
|
270
|
|
66,5
|
191,6
|
Наведена на ділянку зближення
кабельної лінії передачі з ЛЕП напруга розраховується за формулою [3]:
Еі = Uі + Еі-1,
В (4.4)
Результати розрахунків наведені в
табл. 4.1
В нашому випадку повздовжні ЕРС при
нормальному режимі перевищують норму: ЕРСДОП £
42 В , тому необхідно зробити захист волоконно-оптичної лінії передачі від
небезпечного впливу ЛЕП.
Проведемо розрахунок наведеної ЕРС
для ділянок зближень ЛЕП з
магістральною лінією при аварійному
режимі роботи та дані розрахунків занесемо до табл. 4.2.
Таблиця 4.2 - Розрахунок наведеної
ЕРС для ділянок зближень ЛЕП з магістральною лінією при аварійному режимі
роботи
|
N п/п
|
а1, м
|
а2, м
|
аекв, м
|
li, км
|
М(1-а), мкГн/км
|
Iкз, А
|
UНАВ, В
|
Е, В
|
|
1
|
40
|
40
|
40
|
0
|
550
|
10000
|
0
|
0
|
|
2
|
40
|
125
|
70,7
|
2
|
460
|
6300
|
1323,7
|
1323,7
|
|
3
|
125
|
104
|
114
|
0,8
|
310
|
5800
|
207,5
|
1531,3
|
|
4
|
104
|
275
|
169
|
2,3
|
270
|
5500
|
259,8
|
1791,1
|
З розрахунків видно, що допустима
повздовжня ЕРС в оболонці кабелю в аварійному режимі роботи ЛЕП складає Енав
= 3187 В. В нашому випадку повздовжні ЕРС при аварійному режимі не перевищують
норму: ЕРСДОП £
10000 В, тому ніяких заходів що до зменшення ЕРС при аварійному режимі роботи
ЛЕП вживати непотрібно.
Висновок
Всі заходи щодо захисту ліній
зв'язку від впливу ВЛП розділяються на дві групи: заходи, що приймаються по
відношенню до впливаючих ліній, тобто на ЛЕП, і до самих ліній зв'язку [3].
Таблиця 4.3 -Заходи зменшення впливу
ЛЕП
|
Джерело зовнішнього впливу
|
Характер впливу
|
Заходи, які проводять на лінії
|
|
ЛЕП
|
Небезпечні і заважаючі поля
|
Относ траси
|
|
|
Кабліровання
|
|
|
Схрещування і симетрування
|
|
|
Екранування
|
|
|
Розрядники і запобіжники
|
|
|
Заземлення
|
|
|
Нейтралізуючі і редукційні трансформатори
|
Рисунок 4.2 - Прокладка захисних
тросів
волоконний оптичний
кабель
4. Будівництво та
монтаж ВОСП
Прокладку оптичного кабелю слід
проводити при температурі не нижче -10 °С.
У більшості випадків прокладку
кабелю в ґрунт передбачається виробляти безтраншейним способом з використанням
ножових кабелеукладачем, але в місцях, де це неможливо кабель прокладається в
кабельну каналізацію.
Інвестиційна політика передбачає
підвищення ефективності використання капітальних вкладень та їх економічне
регулювання. Неабиякою мірою цьому сприяє не тільки висока якість підготовлених
проектних матеріалів і документів, але і організація будівельно-монтажних робіт
на проектованій кабельній лінії при мінімально можливих термінах будівництва.
Початку будівництва кабельних ліній передує проведення низки підготовчих
заходів щодо вивчення проектно-кошторисної документації, траси лінії, особливо
на складних ділянках і перетини. При цьому складається проект виробництва робіт
із вказівкою термінів і послідовності виконання окремих видів робіт. У
підготовчий період уточнюються місця розташування будівельних підрозділів,
кабельних майданчиків, проводиться підготовка автотранспорту і механізмів,
інструментів, вимірювальної апаратури і тому подібне.
При будівництві лінійно-кабельних
споруд (ЛКС) кабельних ліній зв'язку виконуються наступні основні роботи:
розбиття та підготовка траси;
прокладання кабелю;
монтаж кабелю;
організація переходів через річки й
інші перешкоди;
спорудження телефонної каналізації і
прокладання кабелю в
каналізації;
установка НРП й устаткування введень
в них;
організація введення в кінцеві та
обслуговувані підсилювальні пункти;
організація захисту кабельної лінії
від зовнішніх електромагнітних полів;
проведення випробувань та робіт
електровимірювань у процесі будівництва і монтажу. Будівництво лінійних споруд
пов'язане з необхідністю виконання великих об'ємів земляних робіт, тобто робіт,
пов'язаних з розробкою і переміщенням грунтів. До них відносяться: риття
траншей і котлованів, їх засипання, планування поверхні землі, розтин і
відновлення вуличних покривів. Трудомісткість виконання земляних робіт залежить
від групи грунту та можливості застосування спеціальних машин і механізмів.
5. Кошторисно-фінансовий розрахунок
При складанні проекту організації
будівництва необхідно врахувати нас-тупні обставини:
- будівництво повинне
здійснюватися передовими методами, що забезпе-чують найвищу продуктивність
робіт та їх якість;
- скорочення термінів
будівництва;
- технологічну
послідовність виконання будівельно-монтажних робіт.
Я склав відомість об'єму робіт і
витрати матеріалів на будівництво ВОЛП
Таблиця 5 - Відомість об’єму робіт
на будівництво лінійних споруд ВОСП
|
№
|
Найменування робіт
|
Од. виміру
|
К-сть
|
Примітка
|
|
1
|
Протяжність траси
|
км
|
7,6
|
|
|
Будівельні роботи
|
|
|
|
|
2
|
Кабельні переходи через а/дороги та залізниці
: -проколом; -направленим бурінням.
|
пер/м пер/м
|
30/150 8/80
|
|
|
3
|
Кабельні переходи через водні перешкоди
направленим бурінням
|
пер/м
|
0/0
|
|
|
Монтажні роботи
|
|
|
|
|
4
|
Прокладання кабелю в кабельну каналізацію :
-існуючю; -проектовану.
|
км.каб км.каб
|
7,6 0
|
|
|
5
|
Задування оптичного кабелю в трубку
|
км.каб
|
0,2
|
При прокладанні ОК в трубку
|
|
6
|
Монтаж з’єднувальних муфт -в кабельних
колодязях; -в котлованах.
|
шт шт
|
4 0
|
|
|
7
|
Комплекс вимірювань оптичного кабелю: - Вимірювання
на кабельному майданчику перед прокладанням; - Вимірювання
при прокладанні кожної будівельної довжини; - Після
прокладання на регенераційній дільниці.
|
барабан буд. довжина регенер. дільниця
|
130 130 6
|
|
|
8
|
Всього ОК
|
км
|
8,2
|
|
Таблиця 5.1 - Відомість об’єму робіт
на будівництво ліній споруд ВОЛП
|
№
|
Найменування робіт
|
Один. вим.
|
Кіл-сть
|
Вартість
|
Всього
|
|
1
|
Протяжність траси
|
км
|
7,6
|
|
|
|
2
|
Прокладання кабелю в кабельну каналізацію
|
км
|
7,6
|
380
|
2900
|
|
3
|
Монтаж з’єднувальних муфт
|
шт.
|
4
|
250
|
1000
|
|
4
|
Вимірювання при прокладанні кожної буд.
довжини
|
буд. довжина
|
4
|
600
|
2400
|
|
5
|
Вимірювання на кабельному майданчику перед
прокладанням
|
барабан
|
2
|
130
|
260
|
|
6
|
Після прокладання на регенераційній ділянці
|
реген. ділянка
|
1
|
400
|
400
|
|
7
|
Всього ОК
|
км
|
8,2
|
760
|
6232
|
|
Загально
|
13192 у.о.
|
Висновок
В ході проектування
волоконно-оптичної лінії було розроблено та спроектовано два варіанта траси
ВОЛП між РАТС міста Дніпропетровськ. Були проведені розрахунки оптичних
параметрів і параметрів передачі кабеля. Отримані результати відповідають
міжнародним стандартам. Виконані розрахунки показали, що для вибраного волокна
коефіцієнт загасання на довжині хвилі 1,3 мкм становить 0,397 дБ/км, що не
задовольняє рекомендації G.652 (0,5 дБ/км), тому ми прийняли 
. Дане проектування було виконане на
базі апаратури STM-16.
Були розглянуті два можливі
шляхи проходження. Перший шлях складається з перетину 5 асфальтованих
автодоріг, а другий з чотирьох. Також розглянувши детальніше навколишнє
середовище траси, видно, що в першому випадку траса являється кращою, вона має
менше пересічень з трамвайними лінніями. Також при розрахунках видно, що в
першому випадку йде менше затрат на прокладку ОК. Тому ми його і вибрали.
Було враховано вплив ліній
електропередач на волоконно-оптичний кабель. Ми бачимо, що при небезпечному
впливі ЛЕП потрібно приймати заходи захисту.
Перелік літератури
1. Корнейчук В.И., Макаров
Т.В., Панфилов И.П. Проектирование волоконно-оптических систем передачи.
Учеб.пособие / УГАС им. А.С. Попова. - Одесса, 1996. - 118 с.
2. Збірник методичних
вказівок до лабораторних робіт по курсу “Лінії передачі”, модуль III. - О.:
2004. - 120 с.
. Иоргачёв Д.В.,
Бондаренко О.В., Дащенко А.Ф., Усов А.В. Волоконно-оптические кабели. 2000. -
536 с
. КНД-141-99.Керівництво
щодо будівництва споруд волоконно-оптичного зв’язку. - К.: Держкомзв’язок,
2004. - 120 с.
. Проектирование
цифровых волоконно-оптических систем передачи: методическое руководство по
дипломному и курсовому проектированию. Часть 2. - Одесса, 1987. - 67 c.
. Положення про випускні
кваліфікаційні роботи спеціалістів і магістрів.- Одеса: ОНАЗ. - 2003. - 36 с.
. Ковтун В.В. Степаненко
А.В. Экономико-географический справочник городов Украины. - Киев, 1990. - 279
с.