Расчет газовой горелки типа 'Труба в трубе'
Содержание
Часть
1. Твердое топливо - уголь
Состав
рабочей массы топлива
Определение
теплоты сгорания топлива
Определение
типа угля
Определение
содержания углерода в горючей массе топлива и зольность сухой массы топлива
Различия
между высшей и низшей теплотой сгорания топлива
Определение
расходов условного и заданного топлива
Определение
теоретического объема воздуха, необходимого для сгорания топлива, и
теоретического объема продуктов сгорания
Определение
действительных объемов воздуха и продуктов сгорания
Часть
2. Топливо - газ. Расчет газовой горелки типа «Труба в трубе»
Исходные
данные для расчета
Определение
теоретического объема воздуха, необходимого для сжигания газа, и теоретического
объема продуктов сгорания
Определение
действительных объемов воздуха и продуктов сгорания
Определение
действительных объемных расходов воздуха и газа
Определение
диаметров и глубин проникновения
Геометрические
характеристики горелки
Определение
температуры в камере сгорания графоаналитическим методом
топливо горение газ
Часть 1. Топливо - Уголь.
Состав рабочей массы твердого топлива
Определение теплоты сгорания топлива
Низшая теплота сгорания рабочей массы топлива:
Высшая теплота сгорания рабочей массы топлива:
Высшая теплота сгорания беззольной массы
топлива:
Определение типа угля
Данный вид топлива относится к каменному углю,
так как его высшая теплота сгорания беззольной массы топлива
Определение содержания углерода в горючей массе
топлива и зольность сухой массы топлива
Содержание углерода в горючей массе топлива:
Зольность сухой массы топлива:
Различия между высшей и низшей теплотой сгорания
Высшей теплотой сгорания
называют
максимальное количество теплоты, которое выделяется при полном сгорании единицы
количества топлива (1 кг - твёрдое или жидкое, 1 м3 - газообразное) с учётом
теплоты конденсации водяных паров, содержащихся в продуктах сгорания.
Низшая теплота сгорания
получается
вычитанием из высшей теплоты сгорания
теплоты
конденсации водяных паров, которые образуются при испарении влаги, содержащейся
в топливе, а также при сгорании водорода топлива:
Таким образом, принципиальное различие между
высшей и низшей теплотой сгорания заключается в наличии или отсутствии
изменения агрегатного состояния водяных паров, находящихся в дымовых газах. В
высшую теплоту сгорания топлива, кроме теплоты, получаемой от сгорания топлива,
еще входит теплота конденсации водяных паров. Поэтому величина высшей теплоты
сгорания всегда больше низшей. В теплотехнических расчетах величина теплоты, получаемой
при конденсации водяных паров, не учитывается, т.к. этот процесс происходит
лишь после выброса дымовых газов в атмосферу, а при их движении по тракту топки
конденсация отсутствует. Поэтому все расчеты ведутся по низшей теплоте
сгорания.
Определение расходов условного и заданного
топлива.
Условное топливо - это топливо с низшей теплотой
сгорания равной теплоте сгорания среднестатистического каменного угля:
.
Проектная мощность теплотехнической установки
составляет:
Расход условного топлива согласно проектной
мощности теплотехнической установки составит:
Расход заданного топлива:
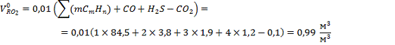
Определение теоретического объема воздуха,
необходимого для сгорания топлива, и теоретического объема продуктов сгорания
Теоретически необходимый объём воздуха для
сжигания топлива:
Теоретический объем продуктов сгорания:
Определение действительных объемов воздуха и
продуктов сгорания
В случае если остаточное содержание кислорода в
продуктах горения составило ~5%. Выбираем коэффициент избытка воздуха
равный:
Действительный объем воздуха:
Действительный объем продуктов горения:
Часть 2. Топливо - газ. Расчет газовой горелки
типа «Труба в трубе»
Исходные данные для расчета
Коэффициент избытка воздуха
Скорость воздуха
Скорость газа на выходе из сопел
Температура горячего воздуха
Температура газа
Объемный расход газа на горелку (при н.у.)
Скорость газа в трубе (в газовом коллекторе)
Состав газа по объему:
Плотность газа (при
)
Теплота сгорания газа
Определение теоретического объема воздуха,
необходимого для сжигания газа, и теоретического объема продуктов сгорания
Теоретически необходимый объём воздуха для
сжигания газа:
Теоретический объем продуктов сгорания:
Трехатомные газы:
Азот:
Водяные пары:
Суммарный теоретический объем продуктов
сгорания:
Определение действительных объемов воздуха и
продуктов сгорания
Действительный объем воздуха:
Действительный объем продуктов сгорания:
Трехатомные газы:
Двухатомные газы:
Водяные пары:
Суммарный действительный объем продуктов
сгорания:
Определение действительных объемных расходов
воздуха и газа
Действительный объемный расход воздуха:
Действительный объемный расход газа:
Определение диаметров и глубин проникновения
Схема распространения струй газа в поперечном
потоке воздуха:
Внутренний диаметр газоподводящей трубы
(газового коллектора)
:
Наружный диаметр газового коллектора
:
Где толщина стенки газового коллектора
.
Внутренний диаметр наружной воздухоподводящей
трубы
:
Глубина проникновения больших струй:
Глубина проникновения малых струй:
Диаметры сопел определяются по формуле:
эмпирический
коэффициент, зависящий от относительного шага между соплами, расположенными в
одном ряду.

Диаметр малого сопла:
Геометрические характеристики горелки
Суммарная площадь больших и малых сопел:
Количество больших и малых сопел:
Шаг установки больших и малых сопел:
Определение температуры в камере сгорания
графоаналитическим методом
Из уравнения теплового баланса температура на
выходе из камеры сгорания:
,
.
Запишем эту зависимость в виде двух
функций:

Располагаемое тепло
При определении теоретической
температуры горения потери теплоты
, и система уравнений имеет вид:
Здесь
- суммарная теплоёмкость продуктов
горения.