Установка сушильная
Федеральное агентство по образованию
РФ
Уральский государственный
лесотехнический университет
Кафедра «Химической технологии
древесины»
Расчетно-пояснительная записка к
курсовому проекту
по процессам и аппаратам химической
технологии
Установка сушильная
Разработала
Студентка Сыропятова
Руководитель проекта: Старцева Л.Г.
Зав. кафедрой: Юрьев Ю.Л.
Екатеринбург
Содержание
Введение
1 Описание
принципиальной технологической схемы
2 Расчет топки
для сушильной установки
3 Расчет и
выбор сушилки кипящего слоя
3.1
Технологический расчет
3.2 Построение
рабочей линии процесса сушки на I-x диаграмме
3.3 Тепловой
баланс
3.4
Гидродинамический расчет
3.5
Гидравлическое сопротивление сушилки КС
4 Расчет и
выбор вспомогательного оборудования
4.1 Расчет газовой
горелки
4.2 Вентилятор
подачи воздуха на горение топлива
4.3 Расчет
бункера-питателя
4.4 Расчет
ленточного транспортера
4.5 Расчет
винтового транспортера
4.6 Расчет
шлюзового дозатора
4.7 Расчет
шлюзового затвора
4.8 Расчет и
выбор вентилятора пневмотранспортной установки
4.8.1
Трубопровод от сушилки до циклона-разгрузителя
4.8.2 Расчет
циклона-разгрузителя
4.8.3 Выбор
пылевого вентилятора
4.9 Расчет и
выбор вентилятора дымососа
4.9.1 Расчет
патрубка с обратным клапаном для подсасывания воздуха в камеру смешения
4.9.2 Газоход
от смесительной камеры до входа в сушилку
4.9.3 Газоход
от сушилки до циклона-разгрузителя
4.9.4 Расчет
группы циклонов
4.9.5 Газоход
между группой циклонов и дымовой трубой
4.9.6 Выбор
вентилятора-дымососа
5 Расчет
тепловой изоляции
6
Технико-экономические показатели
Список
использованной литературы
Введение
Сушка представляет собой процесс удаления влаги из твердых влажных
материалов путем её испарения и отвода образующихся паров. Сушка является
наиболее распространенным способом удаления влаги из твердых материалов и
проводится двумя способами:
первый способ проводится путем непосредственного соприкосновения
сушильного агента с высушиваемым материалом - конвективная сушка.
второй путем нагревания высушиваемого материала тем или иным
теплоносителем через стенку, проводящую тепло - контактная сушка.
Сушка производится также путем нагревания высушиваемых материалов токами
высокой частоты или инфракрасными лучами.
В особых случаях применяется сушка некоторых продуктов в замороженном
состоянии при глубоком вакууме - сушка возгонкой.
По своей физической сущности сушка является сложным диффузионным
процессом, скорость которого определяется скоростью диффузии влаги из глубины
высушиваемого материала в окружающую среду.
Процесс сушки широко используется в химической технологии. Он часто
является последней операцией на производстве, предшествующей выпуску готового
продукта. При этом предварительное удаление влаги обычно осуществляется более
дешевым механическим способом (например, фильтрованием), а окончательный -
сушкой.
Сушилки кипящею слоя применяют в основном для сушки опила и для
проведения первой стадии сушки измельченной древесины до влажности 15 - 20% с
последующей досушкой в сушилках других типов.
По конструкции различают сушилки КС однокамерные, многоступенчатые
(многокамерные) с перекрестным током сушильного агента, многоступенчатые
противоточные, сушилки с механическими побудителями и измельчением
высушиваемого материала. Сушилки КС делают цилиндрическими и прямоугольными.
Недостатком однокамерной сушилки КС является смешивание поступающего
материала с выходящим, а отсюда неравномерная сушка - проскок недовысушенного
материала в готовый продукт. Однако усреднение влажности продукта происходит во
время хранения его на складе или за счет применения многокамерных сушилок. [1].
1 Описание
принципиальной технологической схемы
Для сушки измельченной древесины используют сушильные установки
непрерывного действия, в которых процесс сушки совмещается с перемещением
материала.
Влажный материал ленточным транспортером ТЛ подается в бункер-питатель
БП, откуда шлюзовым дозатором ДШ равномерно подается в сушилку кипящего слоя.
Принципиальная технологическая схема приведена на рисунке 1.
Рисунок 1 - Принципиальная технологическая схема
В качестве сушильного агента используют топочные газы разбавленные
воздухом, получаемы сжиганием природного газа. Природный газ подается в топку
через форсунку ГГ. Воздух на горение подается вентилятором В1. Сушильный агент -
топочные газы, полученные при сжигании природного газа в топке Т, разбавляются
воздухом в камере смешения КС и поступают в сушилку. Высушенный продукт вместе
с сушильным агентом отсасывается вентилятором В2 в циклон-разгрузитель ЦР, где
происходит отделение сушильного агента от материала. Далее сушильный агент
поступает в циклон-очиститель ЦО на доочистку, который вентилятором ВД
выбрасывается в атмосферу. Продукт через шлюзовой затвор ЗШ подается на
транспортер ТВ.
2 Расчет
топки для сушильной установки
Исходные данные:
Состав природного газа месторождения республика Коми приведен в таблице
1:
Таблица 1 - Состав природного газа республики Коми
|
Наименование
|
СН4
|
С2Н6
|
С3Н8
|
С4Н10
|
С5Н12
|
CO2
|
N2
|
|
Состав, % объем., [2,
таблица ]
|
85,9
|
3,1
|
1,0
|
0,4
|
0,1
|
0,1
|
9,4
|
|
Плотность компонента ρi,
кг/м3
|
0,71
|
1,34
|
1,96
|
2,59
|
3,21
|
1,96
|
1,25
|
|
Состав, % масс. *
|
76,31
|
5,16
|
2,44
|
1,29
|
0,40
|
0,24
|
14,61
|
|
* - плотность природного
газа ρпг=0,804 кг/нм3 [2, таблица ]
|
Параметры наружного воздуха, г. Пермь (лето) [3, таблица XL]:
Температура t0= 18 °С
Относительная влажность φ0= 72 %
Барометрическое давление 750 мм.рт.ст.=0,99 МПа
Влагосодержание наружного воздуха при t0= °С, φ0= %:
где Pнас = 15,48 мм.рт.ст. при t0= 19,4 °C по таблице XXXVIII [3] при
P=750 мм.рт.мт.
Теплосодержание
наружного воздуха t0=18 °С, x0=
кг/кг:

кДж/кг.
Теплотворная
способность сухого газообразного топлива:
Теоретическое
количество абсолютно сухого воздуха, необходимого для сжигания 1 кг природного
газа:
Принимаем
коэффициент избытка воздуха: αm=2,0.
Масса
сухого воздуха, подаваемого в камеру горения топки для сжигания 1 кг природного
газа:
Масса
сухого газа, получаемого при сжигании 1 кг природного газа:
Масса
водяного пара, получаемого при сжигании 1 кг природного газа с избытком
воздуха:
Влагосодержание
топочных газов:
Количество
компонентов топочных газов, образующихся при сжигании 1 кг природного газа:
Средняя
молекулярная масса сухих топочных газов:
Теплоемкость
продуктов горения при tт.г. = 1000 °C [4, таблица 2]:
Ссо2=1,12;
Сsо2=0,873; СN2=1,11; Со2=1,03 кДж/(кг·К).
Средняя
теплоемкость сухих топочных газов:
Средняя
теплоемкость газа при 18 °С:
где

-теплоемкость
компонентов природного газа, кДж/кг
К [4,
таблица 2];
YCmHn - массовая
доля компонентов топлива, масс. доли.
Средняя
температура топочных газов на выходе из топки без учета диссоциации углекислого
газа и паров волы:
=
1099°C,
где

- КПД
топки; 
.
wg = 0 , т.к.
газ не распыляется ни воздухом ни газом
Температуру
топочных газов снижаем до tтг=1000 °C за счет подачи наружного воздуха в топку,
чтобы предохранить футеровку топки от разрушения.
Теплосодержание
топочных газов:

кДж/кг.
Теплосодержание
паров воды при t1= 390°C
Коэффициент
избытка воздуха при разбавлении топочных газов воздухом до t1=390 °C при wg=0;
ig=0:
Количество
воздуха, подаваемого в камеру смешения на разбавление топочных газов до t1=390
°C:
Количество
сухой смеси топочных газов и воздуха на 1 кг природного газа:
Количество
паров воды в смеси топочных газов и воздуха, полученные при сжигании 1 кг
природного газа:
Влагосодержание
сушильного агента при входе в сушилку:
Теплосодержание
сушильного агента на входе в сушилку при x1 и t1:
Расход
природного газа на сушку:
где
L1 - расход сушильного агента, кг/с (см. тепловой
балласнс)
Принимаем
допустимое тепловое напряжение топочного объема [4, таблица 3]: qv=5000
103
кДж/(м3ч).
Объем
топочной камеры:
Принимаем
соотношение длины к диаметру топки L/D=1,8, тогда:
Диаметр
топки:
Принимаем
диаметр топки 600 мм, тогда длина камеры горения будет равна: L=1,8
D=1,8
550=990
мм.
Размеры
топки: 
= 0,235
м3, D= 0,6 м, L= 1,08 м.
3 Расчет и
выбор сушилки кипящего слоя
Исходные данные:
Параметры материала:
Материал сосновый опил
Размер частиц 2×1,7×1,9 мм
Производительность
по сырому материалу 
= 0,8
т/ч=0,222 кг/с
Относительная
влажность:
начальная
ω01
= 45 %
конечная
ω02
= 22%
Температура
влажного материала θ1 = 20 °C
Параметры
сушильного агента
Сушильный
агент - топочные газы, разбавленные воздухом.
Топливо
- природный газ (республика Коми)
Вход
в сушилку:
Температура
t1 = 390 °C
Влагосодержание
x1 = 
кг/кг
Плотность
[5, приложение 2] ρt1=
0,508 кг/м3
Выход
из сушилки:
Температура
t2 = 95 °C
Параметры
наружного воздуха:
Температура
t0 = 18 °C
Влагосодержание
x0 = 
кг/кг
Теплосодержание
I0 = 
кДж/кг
.1
Технологический расчет
Характеристики частиц соснового опила:
Объем частицы:
Поверхность частицы:
Фактор формы:
Эквивалентный диаметр частицы:
Абсолютная влажность материала:
на входе в сушилку:
на выходе из сушилки:
Средняя влажность:
Материальный баланс
Производительность по сырому материалу:
Производительность по испаренной влаге:
Производительность по абсолютно сухому материалу:
.2 Построение рабочей линии процесса сушки на I-x диаграмме
Параметры наружного воздуха:
Точка
А на I-x диаграмме: x0=
кг/кг;
t0=18 °C; I0=
кДж/кг.
Параметры
топочных газов:
Точка
К на I-x диаграмме: xтг=
кг/кг;
tтг=1000 °C; Iтг=
кДж/кг.
Параметры
сушильного агента:
Вход
в сушилку:
Точка
В на I-x диаграмме: x1=
кг/кг;
t1=390 °C; I1=
кДж/кг.
Выход
из сушилки:
Точка
С на I-x диаграмме: t2=95°C.
Последовательность
построения рабочей линии сушки на I-x диаграмме:
. Рабочая
линия горения мазута 
.
Находится точка А по x0=
кг/кг;
t0=18 °C; точку К по xтг=
кг/кг;
tтг=1000 °C.
. Точка
В пересечение линии 
и линии
изотермы t1=390 °C.
Определяется
x1=0,030 кг/кг и сравнивается с расчетным значением x1. По расчетам процесса
горения мазута x1=
кг/кг.
Ошибка при построении точки В: (
-0,03)*100/
=1,3 %,
что допустимо, т.к погрешность инженерного обычного расчета составляет 5 %.
. Определяется
tм1 для точки В. Принимаем, что сушка стружки происходит в первом периоде (I1≈I2),
тогда 
.
. Расход
тепла на нагревание материала:
где

-
теплоемкость материала при 
, кДж/кг
К [1,
таблица 6]
5. Удельный расход тепла на нагрев материала:
. Удельные потери тепла рекомендуется принимать: qпот=125-250
кДж/кг испаренной влаги. Принимаем:пот=200 кДж/кг влаги.
. Внутренний тепловой баланс сушилки:
. Координаты точки Е: Δ=(I-I1)/(x-x1) или I= I1+Δ(x-x1). Задаемся значение x>x1; x=0,05
кг/кг и определяется:
I
= 
(0,05-
)=485,4
кДж/кг.
9. Строится точка E в координатах x=0,05 кг/кг и I=485,4.кДж/кг.
10. Рабочая
линия 
: Точка Е
лежит на рабочей линии, поэтому, соединяя точки В и С и продолжая линию до
пересечения с линией температуры t2=95°C, получаем точку С - окончание сушки.
. По
координатам точки С определяется влагосодержание сушильного агента на выходе из
сушилки: x2= 0,125 кг/кг.
Теплосодержание сушильного агента на выходе из сушилки:

Термодинамические
процессы, протекающие в этой установке представлены на рисунке 2.
3.3 Тепловой
баланс
Расход сушильного агента L1 на входе в сушилку рассчитывается из уравнения
теплового баланса по влагосодержанию x1 и температурам t1 и t2.
Теплосодержание сушильного агента на выходе из сушилки при x1 и t2:

Теплосодержание
подсасываемого воздуха:
при
x0 и t0: Iп0=I0=
кДж/кг;
при
x0 и t2: 
Расход
тепла на испарение воды:
Расход
тепла на нагревание материала: Qм=
кДж/с.
Потери
тепла: Qпот=W
qпот= 
200=13
кДж/с.
Расход
сушильного агента:
Параметры
парогазовой смеси на выходе из сушилки:
3.4
Гидродинамический расчет
Средние значения параметров:

;
θср=0,5(θ1+
θ2)=0,5
(20+
)=40,25
°С;
ρм=660,05 кг/м3, при ωаср = 
% [1,
таблица 4];
См=2,792
кДж/кг·К, при θср=39,4 °С и ωаср =
% [1,
таблица 6];
λм= 0,210 Вт/м·К, при ωаср =
% [1,
таблица 7];
ρн=150 кг/м3, [1, таблица 5].
Объемный
расход сушильного агента при x2 и t2:

.
Объемный
расход сушильного агента при x1 и t1:

.
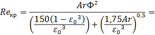
Критерий
Архимеда при 
и 
:
Критерий

соответствующий
условиям начала псевдоожижения:
Критическая
скорость начала псевдоожижения:
Предельно
допустимая скорость сушильного агента в псевдоожиженном слое при 
Предельное
число псевдоожиженния:
Так
как 
принимаем

=3.
Диаметр
сушилки КС
Исходные
данные
Параметры
соснового опила:
Вход
в сушилку:
Абслютная
влажность 
Эквивалентный
диаметр 
Плотность
при 
769,1
кг/м3 [1, таблица 4]
Фактор
формы 0,755
Выход
из сушилки:
Абсолютная
влажность 
Плотность
при 
546,4
кг/м3 [1, таблица 4]
Параметры
сушильного агента
Вход
в сушилку
Расход
L1=
Температура

390 °C
Влагосодержание

Теплосодержание

Плотность

[5,
приложение 2]
Динамическая
вязкость 
[5,
приложение 3]
Выход
из сушилки
Температура

95 °C
Влагосодержание

Теплосодержание

Плотность

[5,
приложение 2]
Динамическая
вязкость 
[5,
приложение 3]
Рабочая
скорость псевдоожиженния

Объемный
расход сушильного агента при xср и tср:

.
Диаметр
сушилки:

.
Принимаем
D = 1600 мм [1, таблица 12].
Сечение
газораспределительной решетки:
Высота
псевдоожиженного слоя
Скорость
витания частиц опила:
где

для
частиц прямоугольной формы;

- ширина
частицы, мм.
Критерий
Архимеда:
Критерий
Рейнольдса:
Критерий
Нуссельта:
где

- высота
неподвижного слоя, мм [1, с. 33].
Объемный
коэффициент теплоотдачи:
где

теплопроводность
сушильного агента при tср, Вт/(м3К), [1, таблица 12]
Средняя
разность температур:
Объем
рабочей зоны сушилки:
Высота
псевдоожиженного слоя:
Принимаем
конструктивно 
т.к. 
Выбираем
беспровальную колпачковую решетку, в которой сушильный агент подается в слой в
виде струй газа под углом от 0 до 60° к поверхности решетки. Доля живого
сечения решетки φ=0,15
- 0,17.
Проверим,
будут ли выносится из сушилки наименьшие частицы опила:
Скорость
витания частиц опила:
Рабочая
скорость псевдоожижения w=0,6 м/с меньше 
, поэтому
наименьшие частицы dmin выноситься из сепарационного пространства сушилки не
будут.
Принимаем
сушильный цилиндрический аппарат.
Высота
сепарационного пространства:
Высота
сушильной камеры:
3.5
Гидравлическое сопротивление сушилки КС
Критерий Рейнольдса:
Порозность псевдоожиженного слоя при рабочей скорости:
Гидравлическое сопротивление псевдоожиженного слоя:
Гидравлическое сопротивление газораспределительной решетки:
где

коэффициент
сопротивления решетки, [1, c. 34];

- доля
живого сечения для беспровальной колпачковой решетки, [1, c.
34].
Минимальное
допустимое гидравлическое сопротивление решетки:
Расчет
показал, что 
<
, поэтому
принимаем φ=0,07:
Гидравлическое
сопротивление сушилки:
Выбираем
сушилку КС-1,6-2 по таблице 12 [1] 
4 Расчет и
выбор вспомогательного оборудования
.1 Расчет
газовой горелки
Газовые горелки при сжигании природного газа работают с невысоким
давлением и скоростью выхода газовой струи из сопла не более 60-70 м/с.
Расход воздуха на горение газа:
где

-
плотность воздуха при t0 и x0 [5, приложение 2].
Расход
природного газа:
Диаметр
газового сопла при wс=70 м/с:
Принимаем

14 мм.
Диаметр
трубы, подводящей газ к форсунке, при wг=15 м/с:
Принимаем
трубу Ø30×1 мм [6
, таблица 8]
Определяем
наружный диаметр трубы корпуса горелки. Принимаем расход первичного воздуха 35%
от 
, т.е. Vв=0,35·
=0,063
м3/с, а скорость воздуха в кольцевом сечении форсунки wв=20 м/с, тогда
сечение кольцевой щели:
fвоз=Vв/wв=0,063/20=0,00315
м2.
Диаметр
кольцевой щели:
fгаз=Vг/wг=
/15=0,00063
м2.
Сечение,
занимаемое газовой трубой диаметром 30 мм, равно:
f=fвоз+fгаз=0,00315+0,00063=0,00378
м2.
Этому
сечению соответствует диаметр:
Принимаем
трубу корпуса горелки Ø76×3,5 мм [6, таблица 8].
Объемная
производительность вторичного воздуха:
Диаметр
воздуховода вторичного воздуха при скорости w=3 м/с:
Принимаем
воздуховод Ø225×0,6 [6,
таблица 2].
Диаметр
воздуховода первичного воздуха:
Принимаем
воздуховод Ø76×2 [6,
таблица 8].
Гидравлической
сопротивление газовой горелки ориентировочно принимаем равным ΔPг=5000
Па.
.2 Вентилятор
подачи воздуха на горение топлива
Вентилятор и топка смонтированы на открытой площадке, защищенной от
атмосферных осадков индивидуальным навесом. Воздух от вентилятора подается по
параллельным воздуховодам, поэтому расчет проводится по линии наибольшего
сопротивления, т.е. по линии подачи воздуха в горелку.
Исходные данные
Параметры воздуха, подаваемого в форсунку:
Объемная производительность Vв = 0,063 м3/с
Температура t0=18 °C
Плотность
ρto
= 
кг/м3
Динамическая
вязкость μto
= 18,059
10-6 Па
с
Фактическая
скорость воздуха:
Критерий
Re:
Коэффициент
трения:
где
e=0,1 мм.
Длину
воздуховода принимаем ориентировочно L = 7 м.
Местные
сопротивления [5, таблица 12, 13]
конфузор
(вход в вентилятор) ξк = 0,21 1 шт.;
диффузор
(выход из вентилятора) ξд = 0,21 1 шт.;
отводы
при α
= 900 ξо = 0,39 3 шт.;
заслонка
(задвижка) ξз = 1,54 1 шт.;
диафрагма
(измерение расхода воздуха) ξд = 2 1
шт.;
вход
в форсунку ξвх = 1 1 шт.;
Гидравлическое
сопротивление воздуховода:
Суммарное
гидравлическое сопротивление от вентилятора до топки:
где
ΔРтопки = 500 Па - сопротивление топки.
Выбираем
вентилятор высокого давления по 
и 
Принимаем
турбовоздуходувку марки ТВ-25-1,1; V = 0,833 м3/с; ΔР = 10000 Па, n = 48,3 с-1 [6, таблица 31].
Установочная
мощность электродвигателя:
где
β
= 1,1 [7, таблица 33], η = 0,65.
Принимаем
электродвигатель типа АО2-31-2, N = 3 кВт [6, таблица 31].
.3 Расчет
бункера-питателя
Производительность
по влажной стружке Gн = 
кг/с
Абсолютная
влажность стружки 
Насыпная
плотность влажной стружки ρн = 160
кг/м3 [1, таблица 5].
Объем
бункера питателя:
где
τ
= 300 с - продолжительность, необходимая
для аварийного отключения ленточного транспортера, подающего опил в бункер.
По
ГОСТ 9931-61 выбираем бункер вместимостью 1,5 м3 [2, таблица 81].
.4 Расчет
ленточного транспортера
Производительность
транспортера Gн = 
кг/с
Насыпная
плотность опила при
ρн = 160 кг/м3
Характеристика
ленточного транспортера
Длина
L = 30 м
Угол
наклона к горизонту α
= 80
Выбираем
плоскую ленту шириной В = 0,4 м, которая принимает форму желоба благодаря трем
роликовым опорам.
Объемная
производительность транспортера:
Скорость
движения ленты:
где
с = 1 при α
= 80; φ = 400 для опилок [6, с. 4].
Мощность
на приводном валу транспортера:
где
Н =
Lsinα = 30
sin 8 =
4,2 м; К = 0,015 при В = 0,4 м; К1 = 1,12 при L = 30 м; К2 = 1,07.
Установочная
мощность электродвигателя:
где
К0 = 1,12 коэффициент запаса привода;
η = 0,85 КПД привода.
Принимаем
электродвигатель по N = 
кВт типа
А480А2 [6, таблица 16] N = 1,5 кВт.
Принимаем
ленточный транспортер: L = 30 м; α = 80; В = 400 мм; w = 
м/с; N =
1,5 кВт.
4.5 Расчет
винтового транспортера
Производительность
по сухой стружке Gк=
кг/с
Абсолютная
влажность опила ωа2= 
%
Насыпная
плотность ρк = 145 кг/м3 [1, таблица 3]
Характеристика
горизонтального винтового транспортера:
Длина
L = 25 м
Шаг
винта t = Dв
Угол
наклона к горизонту α
= 00
Объемная
производительность транспортера
Частота
вращения винта:
Принимаем
Dв = t = 0,20 м; К1 = 0,35 для опила; К2 = 1 при α = 00.
Принимаем
винтовой горизонтальный транспортер:в = 0,20 м; L = 25 м; t = 0,20 м.
Установочная
мощность электродвигателя:
где
φ
= 2,2 для опила;
Принимаем
электродвигатель по N = 
кВт типа
АОЛ-12-2 N = 1,1 кВт [6, таблица 17].
4.6 Расчет
шлюзового дозатора
Производительность
транспортера Gн = 
кг/с
Насыпная
плотность опила при
ρн = 160 кг/м3
Объемная
производительность шлюзового дозатора:
Выбираем
стандартный шлюзовой дозатор по V = 
м3/с
типа Ш1-30, диаметр ротора D = 300 мм, длина ротора L = 250 мм (равна диаметру
загрузочного штуцера), частота вращения ротора 0,035-0,33 с-1 [7, таблица 2].
Частота
вращения ротора:
где
К1 = 0,6 для опила; К2 = 0,8.
Установочная
мощность электродвигателя:
где
β
= 3; φ = 2,5.
Выбираем
взрывозащищенный электродвигатель по N = 
кВт типа
В71В6 N = 0,55 кВт, n = 15,3 с-1 [7, таблица 2].
.7 Расчет
шлюзового затвора
Производительность
по сухой стружке Gк=
кг/с
Абсолютная
влажность опила ωа2= 
%
Насыпная
плотность ρк = 145 кг/м3 [1, таблица 3]
Объемная
производительность затвора:

.
Выбираем
стандартный шлюзовой дозатор по V = 
м3/с
типа Ш1-30, диаметр ротора D = 300 мм, длина ротора L = 250 мм (равна диаметру
загрузочного штуцера), частота вращения ротора 0,035-0,33 с-1 [7, таблица 2].
Частота
вращения ротора:
Установочная
мощность электродвигателя:
Выбираем
электродвигатель по N = 
кВт типа
В71В6 N = 0,55 кВт, n = 15,3 с-1 [7, таблица 2].
4.8 Расчет и
выбор вентилятора пневмотранспортной установки
4.8.1
Трубопровод от сушилки до циклона-разгрузителя
Параметры парогазовой смеси, выходящей из сушилки
Температура, t2, °С
95
Расход
воздуха, L1, кг/с 
Влагосодержание,
х2, кг/кг 
Плотность,
rt2, кг/м3 
Вязкость,
mt2, Па×с 
×10-6
Производительность
по стружке, Gк, кг/с 
Участок
решается как пневмотранспортная установка.
Концентрация
стружки в транспортируемом воздухе:
Производительность
пневмопровода по транспортируемой стружке:
где
Кн - коэффициент неравномерности подачи материала в пневмотранспорт; Кн=2.
Скорость
воздуха в горизонтальном пневмопроводе:
где
К=1,05; Wв/Wм=1/А; А=0,95; b=9; rм=
кг/м3
-плотность материала при wа2.
Расход
воздуха пневмотранспортной установки:
Диаметр
пневмопровода:
Выбираем
стандартный диаметр газохода Æ355×0,6 мм [6, таблица 2].
Фактическая
скорость парогазовой смеси:
Критическая
скорость воздуха:
Фактическая
скорость воздуха Wф=
м/с
больше критической Wкр=
м/с.
Следовательно, стружка будет транспортироваться, не оседая на дно
горизонтального участка трубопровода.
.8.2 Расчет
циклона-разгрузителя
Расход
воздуха 
= 
м3/с
Температура
воздуха t2 = 950С
Производительность
по сухому материалу Gк = 
кг/с
Размер
частиц опила 
м.
Запыленность
воздуха на входе в циклон-разгрузитель:
Принимаем
циклон ЦН-24, так как улавливаются частицы размером более 0,02 мм. Коэффициент
сопротивления циклона:
где
к1 = 1,0 при D = 500 мм [7, таблица 14];
к2
= 0,89 при Gy = 
кг/м3
[7, таблица 15];
для ЦН-24
[7, таблица 13];
к3
= 35 для прямоугольной компоновки с централизованным подводом и отводом воздуха
[7, таблица 16].
Условная
скорость воздуха в циклоне разгрузителе:
где
ΔРц/ρt2 = 600
м2/с2 для ЦН-24.
Объемный
расход воздуха, проходящего через один элемент группового циклона, D = 500 мм:
Число
циклонных элементов в групповом циклоне:

.
Принимаем
групповой циклон ЦН-24 из 4 элементов диаметром D = 500 мм.
Скорость
газа в элементах группового циклона:
Гидравлическое
сопротивление циклона-разгрузителя:
сушильный установка
тепловой горелка
4.8.3 Выбор
пылевого вентилятора
Воздух, перемещающий высушенный материал от сушилки на последующую
переработку, всасывается вентилятором. Расчет и выбор вентилятора проводим
согласно рисунку 1.
Диаметр пневмопровода, d, мм Æ355×0,6
Скорость
воздуха, Wф, м/с 
Температура
воздуха, t2, ºС 95
Плотность,
rt2, кг/м3 
Вязкость,
mt2, Па×с 
×10-6
Концентрация
стружки в воздухе,
, кг/кг 
Объемная
производительность, V, м3/с 
Расчет
потери давления при движении чистого воздуха, DRв при
разветвленной сети проводим по самому длинному участку.
Критерий
Рейнольдса:
Коэффициент
трения:
Длину
пневмопровода принимаем ориентировочно по рисунку 1:
=l1+l2+l3+l4+l5+l6=10+20+15+20+30+8=103
м.
Местные
сопротивления принимаем по [6 таблица 12] и рисунку 1:
вход в трубу zвх=1
3 шт.;
отводы при α=90º zот=0,39 6 шт.;
переход с круглого сечения на
прямоугольный (вход в циклон) zп=0,21 1 шт.;
заслонка, zз=1,54
1 шт.;
вход и выход из вентилятора zв=0,21 2 шт.;
Sz=3zвх+6zот+zп+zз+2zв=3×1+6×0,39+1×0,21+1×1,54+2×0,21=7,51.
Потери давления при движении чистого воздуха:
Потери, возникающие при движении материала по пневмопроводу:
где λу=0,01-0,02, принимаем коэффициент сопротивления трения λу=0,015,=l1+l2=10+20=30 м согласно
рисунку 1.
Потери давления на поддержание материала в псевдоожиженном состоянии:
DRпод=Нrt2g
=20
9,81
=37 Па,
где
Н - сумма всех вертикальных участков, H=l4=20 м.
Потери
давления на разгон материала при загрузке его в пневмопровод:
DRразг=ζразг
(0,5w2rt2)=1,5
0,217
(0,5×
2×
)=25 Па,
где
ζразг - коэффициент сопротивления разгонного участка,
принимается в пределах ζразг=1-2; принимаем ζразг=1,5.
Общее
гидравлическое сопротивление пневмотранспортной установки:
DRпн=DRв+DRмат+DRпод+DRразг+DRц.р=
+
+37+25+
=1346 Па.
Приведенное
сопротивление:
Объемная
производительность вентилятора:в=1,12V=1,12×
=1,86
м3/с=6697 м3/ч,
где
1,12 - коэффициент запаса.
По
объемной производительности Vв=6,7 тыс.м3/ч, DRпр=
Па и
=0,217 кг/кг выбираем вентилятор высокого давления
типа ВДН-8 V=9 тыс.м3/ч, DR=2500 Па, n=25 с-1 [6, таблица 28].
Установочная
мощность электродвигателя:
э=βVDRпр/1000=1,15*0,932*
/1000=1,76
кВт.
Выбираем
электродвигатель по [6, таблица 27] типа АО2-31-2, N=2 кВт, ηдв=0,82.
4.9 Расчет и
выбор вентилятора дымососа
.9.1 Расчет
патрубка с обратным клапаном для подсасывания воздуха в камеру смешения
Параметры атмосферного воздуха
Температура t0=18 °С
Влагосодержание
x0=
кг/кг
Масса
сухого воздуха, подаваемого в
камеру
смешения для разбавления
топочных
газов Lсм = 
кг/кг
Плотность
[5, приложение 2] ρto
= 
кг/м3
Динамическая
вязкость [5, приложение 3] μto = 18,059·10-6
Па·с
Объемный
расход воздуха на разбавление топочных газов:
Диаметр
воздуховода рассчитываем, принимая скорость воздуха w = 10 м/с [6, таблица 9]:
Выбираем
стандартный диаметр воздуховода Ø 225
× 0,6 мм [6, таблица 2].
Фактическая
скорость воздуха:
Критерий
Re:
Коэффициент
трения:
Длина
патрубка: L = 2 м.
Местные
сопротивления в патрубке [6, таблица 12, 13]:
приточная
шахта (патрубок) ξвх = 2,5 1 шт.;
выход
из патрубка ξвых = 1 1 шт.;
Гидравлическое
сопротивление патрубка:
4.9.2 Газоход
от смесительной камеры до входа в сушилку
Сушильный агент
Температура t1 = 3900C
Расход
L1 = 
кг/с
Влагосодержание
х1 = 
кг/кг
Динамическая
вязкость μt1
= 
Плотность

Объемный
расход сушильного агента:
Скорость
в воздуховоде принимаем равным 18 м/c [6, таблица 9].
Выбираем
газоход Ø
315×0,6 мм [6, таблица 2].
Фактическая
скорость парогазовой смеси:
Критерий
Re:
Коэффициент
трения:
Длина
воздуховода: L = 15 м (принимаем ориентировочно).
Местные
сопротивления [5, таблица 12, 13]:
вход
в газоход ξвх = 1 1 шт.;
выход
из газохода ξвых = 1 1 шт.;
Гидравлическое
сопротивление газохода при t1 = 3500C:
Компенсационное
удлинение газохода:
Принимаем
компенсатор по диаметру газохода D = 315 мм [6, таблица 11].
Температура t2 = 950C
Расход
L1 = 
кг/с
Влагосодержание
х2 = 
кг/кг
Плотность
ρt2
= 
кг/м3
Вязкость
μt2
= 
Объемный
расход сушильного агента:
Диаметр
газохода выбираем, принимая скорость воздуха w = 12 м/с [6, таблица 9]:
Выбираем
газоход Ø
315×0,6 мм [6, таблица 2].
Фактическая
скорость парогазовой смеси:
Критерий
Re:
Коэффициент
трения:
Длина
газохода: L = 20 м (принимаем ориентировочно).
Местные
сопротивления [6, таблица 12, 13]:
вход
в газоход ξвх = 1 1 шт.;
выход
из газохода ξвых = 1 1 шт.;
отводы
α
= 900 ξот = 0,39 2 шт.;
вход
в циклон ξц = 0,21 1 шт.;
Гидравлическое
сопротивление газохода без учета пыли, содержащейся в парогазовой смеси:
Гидравлическое
сопротивление газохода с учетом перемещающейся пыли в циклон:
где
k - опытный коэффициент, для древесной стружки и опила; k = 1,4;
Н
- высота вертикального участка газохода; Н = 15-20 м.
Компенсационное
удлинение газохода:
Принимаем
компенсатор по диаметру газохода D = 315 мм [6, таблица 11].
.9.4 Расчет
группы циклонов
Назначение
- улавливает частицы высушенного опила после циклона-раз-грузителя. В
циклоне-разгрузителе уловлено 90% опила, т.е. в группу циклонов попадает
оставшийся опил (10%). Таким образом, производительность по стружке составит
= 
*0,1=0,0157
кг/с.
Производительность
по сухому материалу G = 0,0157 кг/с
Температура
t3 = 900C
Влагосодержание
x3 = x2 = 
кг/кг
плотность
ρt3
= 0,8835 кг/м3
Объемный
расход парогазовой смеси:
Запыленность
воздуха на входе в циклон:
Выбираем
циклон ЦН-24, так как улавливаются крупные частицы dэ=2,5 мм.
zц=К1К2zц500+К3 =1,0·0,97·80+35=112,6,
где
К1=1,0; К2=0,97; zц500=80; К3=35 [7, таблицы 13-16].
Отношение
DRц/rt для циклона ЦН-24 принимаем: DRц/rt=500 м2/с2.
Условная
скорость воздуха в циклоне:
ц=[(DRц/rt)/0,5zц]0,5=[500/0,5·112,6]0,5=2,98
м/с.
Принимаем
диаметр элемента циклона D = 500 мм.
Объемный
расход воздуха, проходящего через один элемент группового циклона:
Число
циклонных элементов в групповом циклоне:
Выбираем
групповой циклон ЦН-24 из 6 элементов диаметром 500 мм.
Скорость
газа в элементах группового циклона:
Абсолютное
давление запыленного воздуха в циклоне:
Ра=В±Р=99975-1983=97982 Па.
Циклон
работает под разрежением, поэтому в формуле ставим знак «минус». Атмосферное
давление В=99975 Па; Р - давление газов на входе в циклон: Р=SDРi - сумма гидравлических сопротивлений газоходов и
аппаратов до циклона, Па;
SDРi=DRпатр+DRt1+DRс+DRt2 =
+
+
+
=1983 Па.
Плотность
влажного воздуха при рабочих условиях:
Гидравлическое
сопротивление группового циклона:
.9.5 Газоход
между группой циклонов и дымовой трубой
Параметры парогазовой смеси
Температура t4 = 90 0C
Плотность ρt3 = 0,8835 кг/м3
Вязкость μt3 = 19,995·10-6 Па·с
Влагосодержание
х3 = 
кг/кг.
Объемный
расход парогазовой смеси:
Диаметр
газохода выбираем, принимая скорость воздуха w = 12 м/с [6, таблица 9]:
Выбираем
газоход Ø
315×0,6 мм [5, таблица 2].
Фактическая
скорость парогазовой смеси:
Критерий
Re:
Коэффициент
трения:
Общая
длина газохода L = 45 м. Высота дымовой трубы 16 м.
Местные
сопротивления [6, таблица 12, 13]:
вход
в газоход ξвх = 1 1 шт.;
вход
и выход из вентилятора ξп = 0,21 2 шт;
отводы
α
= 900 ξот = 0,39 3 шт.;
заслонка
ξц = 1,54 1 шт.;
выход
из дымовой трубы в атмосферу ξд.тр =
1,3 1 шт.;
Гидравлическое
сопротивление газохода:
Компенсационное
удлинение газохода:

.
Принимаем
компенсатор по D = 315 мм [6, таблица 11].
4.9.6 Выбор
вентилятора-дымососа
Суммарное гидравлическое сопротивление сети:

+
+
+
Приведенное
сопротивление:
По

и 
выбираем
дутьевой вентилятор марки ДН-21, V = 144 тыс. м3/ч, ΔР = 5800 Па, η = 0,82, n = 16,6 с-1.
Установочная
мощность электродвигателя:
э=bVt4DRпр/1000h=1,1×
×
/1000×0,55=9,2 кВт.
Выбираем
электродвигатель типа АО2 51-2, N=10 кВт [6, таблица 27].
5 Расчет
тепловой изоляции
Теплоизоляции подлежат нагретые поверхности, температура которых
превышает: аппаратов 450С, а газоходов - 600С.
Исходные данные
Температура изоляции со стороны воздуха tст 2 = 100С
Температура воздуха (зима) tср 2 = - 160С
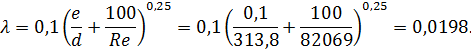
Коэффициент теплоотдачи:
Толщина
теплоизоляции δи рассчитывается из условия равенства удельных
тепловых потоков:
где
λи - теплопроводность теплоизоляции, Вт/(м·К) [6,
таблица 10];ст 1 - температура стенки со стороны аппарата, 0С.
Результаты
расчетов теплоизоляции аппаратов и газоходов представлены в таблице 2.
Таблица
2 - Результаты расчетов толщины теплоизоляции
|
Наименование
|
Температура tст
1, 0С
|
Характеристика
теплоизоляции
|
|
|
Материал
|
Теплопроводность λи, Вт/ (м·К)
|
Толщина изоляции δи, мм
|
|
|
|
|
расчетная
|
фактическая
|
|
Топка
|
1000
|
Шлаковая вата
|
0,058
|
224
|
225
|
|
Сушилка
|
390
|
|
|
86
|
90
|
|
Циклон-разгрузитель
|
95
|
|
|
19
|
20
|
|
Групповой циклон
|
90
|
|
|
18
|
20
|
|
Газоходы: от топки до
сушилки
|
390
|
|
|
86
|
90
|
|
от сушилки до ЦР
|
95
|
|
|
19
|
20
|
|
от ЦР до ГЦ
|
90
|
|
|
18
|
20
|
|
от ГЦ до дымовой трубы
|
90
|
|
|
17
|
20
|
6
Технико-экономические показатели
Технологические показатели сушилки.
Производительность:
= 0,8
т/ч=0,222 кг/с.
Удельная
производительность по испаренной влаге (напряжение по влаге):
Удельный
объемный расход сушильного агента:
Энергетические
показатели работы сушилки
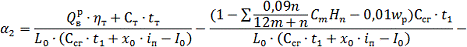
Тепловой
КПД процесса сушки:
где
Qоб=Qи+Qм+Qпот=
= 
кДж/с.
Термический
КПД сушилки:
h2=(J1-J2)/J1=(
-
)/
= 0,0805.
Коэффициент
теплового напряжения:
=(t1-t2)/t1=(390-95)/390=0,756.
Удельный
расход мазута на один кг испаренной влаги:
dВ=B/W=
/
=0,110
кг/кг.
Удельный
расход мазута на один кг высушенного опила:
dG=B/
2=
/
=0,045
кг/кг.
Удельный
расход тепла на один кг испаренной влаги:
dQ=Qоб/W=
/
=3066
кДж/кг.
Удельный
расход электроэнергии на один кг испаренной влаги:
dN=SNi/W=(1,5+1,1+0,55+3·0,55+2+10)/
=258,5
кДж/кг,
где
N1=1,5 кВт - ленточный транспортер; N2=1,1 кВт - винтовой транспортер; N3=0,55 кВт -
шлюзовой дозатор (под бункером-питателем); N4=0,55 кВт -
шлюзовой затвор (под циклоном разгрузителем сушилки); N5=0,55 кВт - шлюзовой затвор (под циклоном разгрузителем
пневмотранспортной установки); N6=0,55 кВт - шлюзовой затвор
(после винтового транспортера); N7=2 кВт - вентилятор
подачи воздуха на горение; N8=10 кВт - вентилятор-дымосос.
Список
использованной литературы
1. Ведерникова
М.И., Орлов В.П., Терентьев В.Б., Штеба Т.В. Проектирование сушильных установок
для сушки измельченной древесины. Ч. I. Технологические и гидродинамические
расчеты сушилок. Екатеринбург: УГЛТА, 2001. 40 с.
2. Процессы
и аппараты химической технологии: Справочные материалы. Екатеринбург: УрО РАН,
2002. 121 с.
. Павлов
К.Ф., Романков П.Г., Носков А.А. Примеры и задачи по курсу процессов и
аппаратов химической технологии. Л.: Химия, 1987. 576 с.
. Ведерникова
М.И., Старцева Л.Г, Орлов В.П., Терентьев В.Б. Проектирование сушильных
установок для сушки измельченной древесины. Ч. III. Примеры расчетов сушилок.
Екатеринбург: УГЛТА, 2001. 41с.
. Старцева
Л.Г., Ведерникова М.И. Гидравлические расчеты. Ч. II. Примеры расчетов и выбора
насосов и вентиляторов. Екатеринбург: УГЛТА, 2000. 44с.
. Ведерникова
М.И. Гидравлические расчеты. Ч. I. Расчет и выбор насосов и вентиляторов.
Екатеринбург: УГЛТА, 2000. 40с.
. Ведерникова
М.И., Старцева Л.Г, Орлов В.П., Терентьев В.Б. Проектирование сушильных
установок для сушки измельченной древесины. Ч. II. Вспомогательное
оборудование. Екатеринбург: УГЛТА, 2001. 44с.