Расчет характеристик биполярных транзисторов
Введение
Транзистор - это электронный полупроводниковый
усилительный прибор, предназначенный для усиления сигналов. Транзисторы
подразделяются на биполярные и полевые.
В нашей работе мы будем рассматривать
характеристики и особенности только биполярного транзистора. Физически
биполярный транзистор состоит из трех слоев полупроводника, разделенных двумя p-n-переходами.
Таким образом, существуют p-n-p-
и n-p-n-транзисторы.
Различаются эти разновидности только полярностями соответствующих направлений.
Три вывода биполярных транзисторов называются коллектор, эммитер и база. База
подключена к среднему из трех полупроводниковых слоев. У транзистора есть 3
режима работы: рабочий режим, режим отсечки и режим насыщения.
В нашей работе также будут затронуты две схемы
включения биполярного транзистора: с общим эммитером (ОЭ) и общей базой (ОБ). В
схеме с ОЭ входное сопротивление намного больше, чем в схеме с ОБ. Коэффициент
усиления по мощности у схемы с ОЭ также значительно больше, чем у схемы с ОБ.
Благодаря этим свойствам, схема с ОЭ нашла очень широкое применение.
Все графики построены с использованием программы
MathCad.
биполярный
транзистор схема
1.Исходные данные и
формулы
N1=3,
N2=8
Ikmax=300мА
- предельное значение тока коллектора
Is=310∙10-3А
- ток насыщения
m1=3.9
- коэффициент не идеальности эммитерного перехода
m2=3.3
- коэффициент плавности коллекторного перехода
t=25℃
- номинальная температура
tmax=95℃
- максимальная температура
tmin=-55℃
- минимальная температура
rkk=1,5
кОм - сопротивление области коллектора
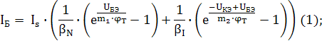
Входные характеристики (IБ=f(Uб),
где Uкэ=const):
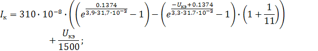
Выходные характеристики (Iк=f(Uк),
где Iб=const):
𝛽N=40∙N2=40∙8=320
- прямой коэффициент передачи тока базы
𝛽I=
N1+N2=3+8=11
- инверсный коэффициент передачи тока базы
к=1,38∙10-23Дж/К - постоянная
Больцмана
Tk=273+t℃
- абсолютная температура
e=1.6∙10-19К
2. Расчеты и результаты работы
2.1 Входные
характеристики
Построение входных характеристик для двух
значений напряжения коллектор - эмиттер
=
0В и
=
3В, пользуясь формулой (1):
При
,
При
Рисунок 1 - Входные характеристики транзистора
2.2 Входные характеристики
транзистора при разных температурах
Построение входных характеристик при
=
3В для трёх значений температуры (номинальной, максимальной и минимальной):
При t=25°C
При t=95°C
При t=-55°C
Рисунок 2 - Входные характеристики транзистора
для разных значений t
2.3 Выходные характеристики
Построение семейства (пять кривых для
номинальной температуры и пять кривых для максимальной температуры) выходных
характеристик, пользуясь формулой (2):
При t=25℃
Рисунок 3 - Выходные характеристики транзистора
При t=95℃

Рисунок 4. Выходные характеристики транзистора
при максимальной температуре
2.4 h-параметры транзистора
Определение h
- параметров исследуемого транзистора по построенным характеристикам:
2.5 Внутренние, физические параметры
транзистора и h-параметры для схемы с ОБ
Определение h
- параметров для схемы с ОБ и внутренних физических параметров транзистора по
вычисленным значениям h
- параметров для схемы с ОЭ:
Заключение
В нашей работе были исследованы биполярные
транзисторы, рассчитаны их основные характеристики и параметры. Также мы
получили некоторые зависимости, которые характеризую особенности транзисторов.
Выяснили, как температура влияет на
характеристики, а соответственно и работу, биполярных транзисторов. Так с
увеличением температуры ток базы в схеме с ОЭ увеличивается, то есть при том же
падении напряжения Uб
ток будет выше. Также и ток коллектора увеличивается при неизменном падении
напряжения Uк.
Сильное влияние температур на выходные характеристики в схеме с ОЭ может привести
к потере работоспособности конкретных устройств, если не принять
схемотехнические меры для стабилизации тока.
Список литературы
.
Галочкин Ю.И. Физические основы электроники: Учеб. пособие. / - Владивосток:
изд - во ДВГТУ, 2008. - 155 с.
.
В.И. Лачин, Н.С. Савёлов, Электроника; Учеб. пособие. - Ростов н/Д; изд - во
«Феникс», 2002. - 576 с.
.
Транзисторы для аппаратуры широкого применения: Справочник / К. М. Брежнева, Е.
И. Гантман, Т. И. Давыдова и др. Под ред. П. Р. Перельмана. - М.; Радио и связь,
1981. - 656 с., ил.
4. И.П.
Жеребцов. Основы электроники. - 5-изд., перераб. И доп.- Л.: Энергоатомиздат.
1990. - 352 с.: ил.