Проектирование участка магистрального нефтепровода
Оглавление
Исходные
данные
Введение
Глава 1.
Определение расчетной вязкости и плотности перекачиваемой нефти
1.1 Глубины
залегания нефтепровода
1.2 Расчетное
значение вязкости
1.3 Расчетное
значение плотности
Глава 2.
Определение расчётной пропускной способности
2.1 Годовая
производительность нефтепровода
2.2 Часовая
пропускная способность
2.3 Секундная
пропускная способность
2.4 Суточная
пропускная способность
Глава 3.
Расчет толщины стенки
3.1 Проверка
прочности
3.2 Несущая
способность
Глава 4.
Гидравлический расчет нефтепровода
4.1 Число
Рейнольдса
4.2 Коэффициент
гидравлического сопротивления
4.3 Гидравлический
уклон
4.4 Потери
напора
Глава 5.
Определение числа насосных станций
Глава 6.
Экономический расчет
.1 Расчет
капитальных вложений
.2
Инвестиционные затраты на формирование оборотных средств - затраты на
заполнение трубопровода и резервуаров технологической нефтью
Глава 7.
Перерасчет характеристики насоса с воды на нефть
Глава 8.
Расстановка станций
8.1 Гидравлический
расчет
8.2 Построение
сводного графика расчетных давлений при стационарных режимах перекачки
Глава 9.
Теплогидравлический расчет в зимний период
9.1 Гидравлический
расчет
9.2 Построение
графика расчетных давлений в зимнее время
Глава 10.
Теплогидравлический расчет в летний период
Глава 11.
Регулирование режима работы насосных станций при отключении НПС-2
Исходные
данные
Годовой объем перекачки G =
33,5 млн. т.
Подземный способ прокладки нефтепровода
Регион прокладки нефтепровода Мичуринск
Плотность перекачиваемой нефти при температуре 20
кг/м3
Коэффициент кинематической вязкости нефти:
при температуре 0
при температуре 20
Минимальная температура грунта:
T = -2
на глубине 1 м
T = 0
на глубине 1,6 м
Максимальная температура грунта:
T = +8
на глубине 1 м
T = +6
на глубине 1,6 м
Данные для построения сжатого профиля
|
Отметка по трассе, x (км)
|
0
|
40
|
65
|
90
|
115
|
135
|
160
|
185
|
205
|
|
Высотная отметка, z (м)
|
90
|
200
|
135
|
240
|
168
|
272
|
196
|
293
|
228
|
|
0
|
40
|
65
|
90
|
115
|
135
|
160
|
185
|
205
|
225
|
245
|
275
|
295
|
325
|
|
90
|
200
|
135
|
240
|
168
|
272
|
196
|
293
|
228
|
281
|
217
|
250
|
190
|
180
|
Длина нефтепровода: 505 км
Высотные отметки начала и конца участка:
· zн = 135 м,
· zк = 90 м.
Введение
Определение
трех «конкурирующих» диаметров
Диаметр магистрального трубопровода должен определяться на основании
технико-экономического сравнения различных вариантов при различных диаметрах
нефтепровода. Выбор значений диаметров должен осуществляться из условия, чтобы
скорость движения нефти в магистральном нефтепроводе не превышала допустимую,
при этом не должна быть менее 0,31 м/с. [2, п. 6.9.1].
Исходя из годового объема перекачки, определяем три конкурирующих
наружных диаметра трубопровода, Dн.
мм;
мм;
мм.
Глава 1.
Определение расчетной вязкости и плотности перекачиваемой нефти
1.1
Глубины залегания нефтепровода
Найдем глубину залегания оси трубопровода:
Распределение температуры грунта
|
Глубина, м
|
Tmax, °С
|
Tmin, °С
|
|
1
|
+8
|
-2
|
|
1,6
|
+6
|
0
|
|
|
|
|
|
|
Исходя из предположения о том, что распределение температуры по глубине
линейное, составим уравнение распределения температур.
Для Тmin (на
графике 1 синяя линия): h =
-0.3T-1.6
Для Tmax (на графике 1 красная линия): h = 0.3T-3.4
Для D = 820 мм
Где
- заглубление нефтепроводов до верха
трубы. Для трубопровода диаметром 820 мм
0,8 м
.
Определим диаграмму распределения температур в течение года на глубине
залегания трубопровода - 1,21 м.
|
Месяц
|
Температура, ºС
|
Месяц
|
Температура, ºС
|
|
Январь
|
0,9
|
Июль
|
5,2
|
|
Февраль
|
-0,7
|
Август
|
6,7
|
|
Март
|
-1,3
|
Сентябрь
|
7,3
|
|
Апрель
|
-0,7
|
Октябрь
|
6,7
|
|
Май
|
0,9
|
Ноябрь
|
5,2
|
|
Июнь
|
3,0
|
Декабрь
|
3,0
|
1.2
Расчетное значение вязкости
сСт;:[2, п. 6.7]
где
- расчетная вязкость по каждому месяцу, сСт;
- опытный коэффициент вискограммы, 1/ºС;
-вязкость нефти при температуре
,сСт;
-вязкость нефти при температуре
,сСт;
- температура i-го
месяца,
;
1/ºС;
Найдем значение вязкости в январе:
сСт;
.
.3
Расчетное значение плотности
кг/м3: [2, п. 6.7]
где
-плотность
по каждому месяцу, кг/м3;
- плотность при температуре 20ºC, кг/м3;
- температурная поправка при 20ºC,
1/ºС;
- температура i-го
месяца,
;
Находим по формуле плотность нефти в январе месяце:
кг/м3;
Расчетные данные представлены в следующей таблице:
|
Месяц
|
Температура, ºС
|
Вязкость, ,сСт
|
,
|
Плотность, ρ, кг/м3
|
|
Январь
|
0,9
|
19,74
|
2,1079
|
868,57
|
|
Февраль
|
-0,7
|
20,20
|
2,1201
|
869,71
|
|
Март
|
-1,3
|
20,38
|
2,1247
|
870,13
|
|
Апрель
|
-0,7
|
20,20
|
2,1201
|
869,71
|
|
Май
|
0,9
|
19,74
|
2,1079
|
868,57
|
|
Июнь
|
3,0
|
19,16
|
2,0921
|
867,08
|
|
Июль
|
5,2
|
18,56
|
2,0756
|
865,52
|
|
Август
|
6,7
|
18,16
|
2,0644
|
864,45
|
|
Сентябрь
|
7,3
|
18,01
|
2,0600
|
864,02
|
|
Октябрь
|
6,7
|
18,16
|
2,0644
|
864,45
|
|
Ноябрь
|
5,2
|
18,56
|
2,0756
|
865,52
|
|
Декабрь
|
3,0
|
19,16
|
2,0921
|
867,08
|
|
Σ
|
|
230,03
|
25,1046
|
10404,80
|
19,16
867,07
Для D = 1020 мм
Где
- заглубление нефтепроводов до верха
трубы. Для трубопровода диаметром 1020 мм
1 м
.
Определим диаграмму распределения температур в течение года на глубине
залегания трубопровода - 1,51 м.
|
Месяц
|
Температура, ºС
|
Месяц
|
Температура, ºС
|
|
Январь
|
1,35
|
Июль
|
4,65
|
|
Февраль
|
0,14
|
Август
|
5,86
|
|
Март
|
-0,30
|
Сентябрь
|
6,30
|
|
Апрель
|
0,14
|
Октябрь
|
5,86
|
|
Май
|
1,35
|
Ноябрь
|
4,65
|
|
Июнь
|
3,00
|
Декабрь
|
3,00
|
|
Месяц
|
Температура, ºС
|
Вязкость, , сСт
|
,
|
Плотность, ρ, кг/м3
|
|
Январь
|
1,35
|
19,62
|
2,1045
|
868,25
|
|
Февраль
|
0,14
|
19,96
|
2,1137
|
869,11
|
|
Март
|
-0,30
|
20,09
|
2,1170
|
869,42
|
|
Апрель
|
0,14
|
19,96
|
2,1137
|
869,11
|
|
Май
|
1,35
|
19,62
|
2,1045
|
868,25
|
|
Июнь
|
3,00
|
19,16
|
2,0921
|
867,08
|
|
Июль
|
4,65
|
18,71
|
2,0797
|
865,91
|
|
Август
|
5,86
|
18,38
|
2,0707
|
865,05
|
|
Сентябрь
|
6,30
|
18,27
|
2,0674
|
864,73
|
|
Октябрь
|
5,86
|
18,38
|
2,0707
|
865,05
|
|
Ноябрь
|
4,65
|
18,71
|
2,0797
|
865,91
|
|
Декабрь
|
3,00
|
19,16
|
2,0921
|
867,08
|
|
Σ
|
|
229,99
|
25,1055
|
10404,94
|
19,16
867,08
Для D = 1067 мм
Где
- заглубление нефтепроводов до верха
трубы. Для трубопровода диаметром 1067 мм
1 м
.
Определим диаграмму распределения температур в течение года на глубине
залегания трубопровода - 1,5335 м.
|
Месяц
|
Температура, ºС
|
Месяц
|
Температура, ºС
|
|
Январь
|
1,40
|
Июль
|
4,60
|
|
Февраль
|
0,23
|
Август
|
5,77
|
|
Март
|
-0,20
|
Сентябрь
|
6,20
|
|
Апрель
|
0,23
|
Октябрь
|
5,77
|
|
Май
|
1,40
|
Ноябрь
|
4,6
|
|
Июнь
|
3,00
|
Декабрь
|
3,00
|
|
Месяц
|
Температура, ºС
|
Вязкость, ,сСт
|
,
|
Плотность, ρ, кг/м3
|
|
Январь
|
1,40
|
19,60
|
2,1041
|
868,22
|
|
Февраль
|
0,23
|
19,93
|
2,1130
|
869,05
|
|
Март
|
-0,20
|
20,06
|
2,1163
|
869,35
|
|
Апрель
|
0,23
|
19,93
|
2,1130
|
869,05
|
|
Май
|
1,40
|
19,60
|
2,1041
|
868,22
|
|
Июнь
|
4,60
|
19,16
|
2,0921
|
867,08
|
|
Июль
|
5,77
|
18,72
|
2,0800
|
865,94
|
|
Август
|
6,20
|
18,41
|
2,0713
|
865,11
|
|
Сентябрь
|
5,77
|
18,29
|
2,0681
|
864,80
|
|
Октябрь
|
4,6
|
18,41
|
2,0713
|
865,11
|
|
Ноябрь
|
3,00
|
18,72
|
2,0800
|
865,94
|
|
Декабрь
|
4,60
|
19,16
|
2,0921
|
867,08
|
|
Σ
|
|
229,99
|
25,1054
|
10404,94
|
19,16
867,08
Глава 2.
Определение расчётной пропускной способности
В соответствии с РД-23.040.00-КТН-062-14 «Магистральные нефтепроводы.
Нормы проектирования» при определении расчётной пропускной способности режим
работы магистральных нефтепроводов должен приниматься непрерывным,
круглосуточным. Расчётное время работы магистрального нефтепровода с учётом
остановок на регламентные и аварийно-восстановительные работы должно
приниматься равным 8400 часов или 350 дней в году [2, п.6.8.2].
Производительность нефтепровода определяется с учетом коэффициента
неравномерности перекачки.
Коэффициент неравномерности перекачки: коэффициент, показывающий, во
сколько раз пропускная способность магистрального нефтепровода может превышать
в отдельные периоды проектную производительность. [2, п.3.45].
В соответствие с нормами проектирования [2, п.6.8.3]коэффициент неравномерности
перекачки примем равным
(для однониточного нефтепровода, по которому нефть подается
к нефтеперерабатывающему заводу, а также для однониточного нефтепровода,
соединяющего существующие нефтепроводы).
.1 Годовая
производительность нефтепровода
млн. тонн/год,
где G - годовой объем перекачки, млн.т.
.2 Часовая
пропускная способность
Для все диаметров расчетная плотность
м3/час;
.3
Секундная пропускная способность
м3/с;
.4
Суточная пропускная способность
м3/сут.
Глава 3.
Расчет толщины стенки
В соответствии с рекомендациями для магистральных нефтепроводов должны
применяться трубы стальные электросварные прямошовные, сваренные под слоем
флюса. Для всех диаметров трубопровода стальные сварные, изготовленные
электроконтактной сваркой токами высокой частоты, сварные соединения которых
термически обработаны и подвергнуты 100% контролю неразрушающими методами, и
предназначенные для строительства газопроводов, нефтепроводов и
нефтепродуктопроводов на рабочее давление 5,4-7,4 МПа в северном и обычном
исполнении.
Марка стали. Прочностные характеристики
|
820 мм
|
1020 мм
|
1067 мм
|
|
13Г2АФ
|
13Г1С-У
|
13Г1С-У
|
(временное сопротивление -
; предел текучести -
)
Толщина стенки
Расчётное сопротивление, МПа, растяжению определяется по формуле:
Где
- нормативное сопротивление
растяжению металла труб, соединительных деталей и сварных соединений,
принимается равным минимальному значению временного сопротивления.
коэффициент надежности по назначению;
коэффициент надежности по материалу;- коэффициент условий
работы трубопровода.
Магистральные трубопроводы и их участки подразделяются на категории в
зависимости от условий работы, объёма неразрушающего контроля сварных
соединений и величины испытательного давления. Трубопроводы диаметром 1020 мм
относятся к III категории, отсюда:
Толщина стенки определяется по формуле:
мм,
где n = 1,1 - коэффициент надежности по
нагрузке;
р - рабочее давление в трубопроводе.
Для диаметров 1020 и 1067 давление 6.3 МПа, для 820 5,9 МПа
.1
Проверка прочности
Далее проверяем прочность подземного трубопровода по условию
коэффициент, учитывающий двухосное напряженное состояние
металла труб.
Он зависит от
,если
,то
,иначе определяется по следующей формуле:
, где
sкц -
кольцевые напряжения от расчетного внутреннего давления, МПа.
Вычисляем продольные осевые напряжения в трубопроводе по формуле [2,
п.6.14.25]:
, где
α - коэффициент линейного расширения
металла трубы:- модуль упругости металла:
∆t - расчетный температурный перепад
Для всех диаметров трубопровода принимаем:
α = 1,2∙
;= 2,1∙
;
Для D = 820 мм:
= 324,5МПа.
так как
, тогда
Условие соблюдается
Для D = 1020 мм:
= 330,67 МПа.
По пункту 6.14.22 РД-24-040.00-КТН-062-14 «Нормы проектрования
магистральных нефтепроводов» толщина стенки трубопровода с Dнар≥1000 мм должна быть не менее
12 мм. Принимаем
так как
, тогда
Условие соблюдается
Для D = 1067 мм:
= 314,87 МПа.
По пункту 6.14.22 РД-24-040.00-КТН-062-14 «Нормы проектрования
магистральных нефтепроводов» толщина стенки трубопровода с Dнар≥1000 мм должна быть не менее
12 мм. Принимаем
так как
, тогда
Условие не соблюдается
Возьмем
= 12,5 мм
так как
, тогда
Условие соблюдается
.2 Несущая
способность
В соответствии с [2, п.6.11.2]:
для D = 820 мм:
МПа
для D = 1020 мм:
МПа
для D = 1067 мм:
МПа
Глава 4.
Гидравлический расчет нефтепровода
Определение скорости в нефтепроводе
м/с;
м/с;
м/с.
|
Диаметр наружный, Dн, мм
|
Толщина стенки, δ, мм
|
Диаметр внутренний, d, мм
|
Скорость, v,
м/с
|
Скорость, vmax, м/с
|
|
1
|
820
|
9
|
802
|
2,71
|
2,5
|
|
2
|
1020
|
12
|
996
|
2.0871
|
3,0
|
|
3
|
1067
|
12.5
|
1042
|
1,61
|
3,0
|
Как видно из таблицы выбранный диаметр
мм не удовлетворяет условию
допустимой максимальной скорости. Дальнейший расчет следует проводить для
диаметров
мм;
мм.
.1 Число
Рейнольдса
4.2
Коэффициент гидравлического сопротивления
В расчетах гидравлических потерь коэффициент гидравлического
сопротивления должен определяться в зависимости от числа Рейнольдса.
1. Из таблицы А1 Приложения А РД 23.040.00-КТН-062-14 «Магистральные
нефтепроводы. Нормы проектирования» следует:
Для
мм
Т.к. в обоих случаях
, то перекачка осуществляется при турбулентном режиме в зоне
гидравлически гладких труб. Коэффициент гидравлического сопротивления
определяется по формуле Блазиуса:
Абсолютную шероховатость примем равной
мм.
.3
Гидравлический уклон
, м/м, м/км;
м/м = 2,86 м/км;
м/м = 2,3 м/км;
Перевальные точки
На графике 1 начертим профиль трассы и гидравлические треугольники для
каждого диаметра. Начертим линию гидравлического уклона из конечной точки
трассы трубопровода. Из построения мы видим, что гидроуклон не пересекается ни
с одним превышением на трассе. Значит Lрасч для
обоих диаметров 505 км.
.4 Потери
напора
потери на трение
где
- гидравлический уклон, м/км;
- длина участка трубопровода, км;
м,
м,
потери на местные сопротивления
(принимаем мечтные потери равными 1%
от потерь на трение по длине трубопровода)
м,
м,
полные потери напора
,
м,
разность отметок конца и начала трубопровода;
м;
м.
Глава 5. Определяем число насосных станций
Число насосных станций мы находим из соотношения:
где
- количество НПС на участке трубопровода;
- полные потери напора, м;
- количество рабочих насосов на одной НПС;
- дифференциальный напор насоса при данной подаче, м.
- напор, развиваемый одной НПС, м.
Рабочее давление на трасе трубопровода выберем исходя из несущей
способности. Тогда напор создаваемый насосной станцией:
для D = 1020 мм
Для D = 1067 мм
Поправка рабочего давления
При дальнейшем рассмотрении наших трубопроводов, при выборе насосного
оборудования мы выясняем что ни один насос не может обеспечить рабочее давление
7,4 МПа для диаметра 1020 мм и 6,88 МПа для диаметра 1067 мм.
Изучая каталог, мы замечаем, что средний напор, который создает насос для
расхода 4921,49 м3/час, составляет 215-220 м. На одной насосной
станции размещаем 3 насоса. Тогда средний напор составляет 652,5 м. Необходимо
пересчитать рабочее давление.
Пересчитаем число насосных станций:
Для 1020 мм:
Для 1067 мм:
Глава 6. Экономический расчет
.1 Расчет капитальных вложений
К = Клч + К нс + К рп + Зос
Капитальные вложения в линейную часть
К лч = К1км * L * К тер*К топ,
К 1 км - стоимость 1 км трубопровода согласно диаметру, руб.
L
-протяженность участка трубопровода, км
К тер - территориальный коэффициент
К топ - поправочный коэффициент, учитывающий надбавку на
топографические условия трассы
Для D = 1020 мм
К1км = 668,71 тыс. $, то есть К1км = 668,71*1000*60
= 40 122 600 рублей
L =
505 км
К тер = 1,007
К топ = 1
К лч = 40 122 600*505*1,007*1 = 20 403 746 391 рублей
Для D = 1067 мм
К1км = 883,25 тыс. $, то есть К1км = 883,25*1000*60
= 52 995 000 рублей
L =
505 км
К тер = 1,007
К топ = 1
К лч = 52 995 000*505*1,007*1 = 26 949 812 325 рублей
Капитальные вложения в НПС и резервуарные парки:
Кнс = (Кгнс + n* Кпнс + Vр*Кр)
* К тер*К топ,
Где Кгнс - капитальные вложения в головную насосную станцию.
Стоимость головной насосной станции следует принять на 20% больше, чем
стоимость промежуточной.
Кпнс - капитальные вложения в промежуточную насосную станцию.
n-
число промежуточных нефтеперекачивающих станций
Vр - объем резервуарного парка, м3
Кр - удельные капитальные вложения на 1 м3 резервуарной
емкости
Для D = 1020 мм
Кпнс = 17168 тыс. $ = 17168 *1000*60 = 1 030 080 000 рублей
n = 2
Vр = 354 353,73 м3
Кр = 68,33 $ = 68,33 * 60 = 4 099,8 рублей
Кнс = (1,2*1 030 080 000+ 2*1 030 080 000 + 354 353,73*4
099,8) * 1,007*1 = 4 782 278 670 рублей
Для D = 1067 мм
Кпнс = 20656 тыс. $ = 20656 *1000*60 = 1 232 360 000 рублей
n = 2
Vр = 354 353,73 м3
Кр = 68,33 $ = 68,33 * 60 = 4 099,8 рублей
Кнс = (1,2*1 232 360 000+ 1 232 360 000 + 354 353,73*4 099,8)
* 1,007*1 = 5456662542 рублей
6.2 Инвестиционные затраты на формирование оборотных средств
- затраты на заполнение трубопровода и резервуаров технологической нефтью
З ос = Мн * Ц н, где
Ц н - цена технологической нефти, руб./т
Мн - масса нефти, т
Мн = Q н* ρ20
Q н = (π D2вн / 4) * L + объем всех резервуаров (м3)
Ρ20 -плотность нефти при температуре 20
0 С (855 кг/ м3)
Для D = 1020 мм
M н = ((3,14*0,9962/4)*505 000 + 9*50 000 )*855 =
720987,2511 кг
Зос = 720 987,2511 * 15 000 = 10 814 808 766 рублей
Для D = 1067 мм
M н = ((3,14*1,0432/4)*505 000 + 9*50 000 )*855 =
753469,2116 кг
Зос = 753469,2116 * 15 000 = 11 302 038 173 рублей
Капитальные вложения без учета непредвиденных затрат
К = Клч + К нс + К рп + Зос
Для D = 1020 мм
К’ = 20 403 746 391 + 4 782 278 670 + 10 814 808 766 = 36 000 833 827
рублей
Для D = 1067 мм
К’ = 26 949 812 325 + 5 456 662 542 + 11 302 038 173 = 43 708 513 040
рублей
Непредвиденные расходы в размере 10%
Для D = 1020 мм
Н = 0,1 * 36 000 833 827 = 3 600 083 383 рублей
Для D = 1067 мм
Н = 0,1 * 43 708 513 040 = 4370851304 рублей
Суммарные капитальные вложения
Для D = 1020 мм
К = 36 00 833 827 + 3 600 083 383 = 39 600 917 210 рублей
К = 43 708513 040 + 4 370 851 304 = 48 079 364 345 рублей
Строительство идет 2 года.
Эксплуатационные затраты (укрупненно)
Э = Э нпс + Э лч, где
Э - суммарные эксплуатационные затраты, руб.
Энпс - эксплуатационные затраты на НПС = 15% от капитальных
вложений в строительство всех НПС + резервуарные парки
Элч - эксплуатационные затраты на ЛЧ, принять = 10% от
капитальных вложений в строительство линейной части
Для D = 1020 мм
Энпс = 0,15*1 030 080 000 = 717 341 800,5 рублей
Элч = 0,1 * 20 403 746 391 = 2 040 374 639 рублей
Э = 2040374639 + 717 341 800,5 = 27 57 716 440 рублей
Для D = 1067 мм
Энпс = 0,15*5 456 662 542 = 818 499 381,3 рублей
Элч = 0,1 * 26 949 812 325 = 2 694 981 233 рублей
Э = 2 694 981 233 + 818 499 381,3 = 3 513 480 614 рублей
Нормы амортизационных отчислений
• Магистральные трубопроводы с сопутствующими
сооружениями - 4%
• Магистральная и подпорная насосные -
5%
• Резервуарный парк - 4%
Таким образом полезный срок службы:
• Магистральные трубопроводы с сопутствующими
сооружениями - 25 лет
• Магистральная и подпорная насосные -
20 лет
• Резервуарный парк - 25 лет
Для D = 1020 мм
Aлч = 0,04 * 20 403 746 391 = 816 149
855,6 рублей
Анпс = 0,05 * 3 296 256 000 = 164 812 800 рублей
Арп = 0,04 * 1452779422 = 58111176,89 рублей
Для D = 1067 мм
Aлч = 0,04 * 26949812325 = 1077992493
рублей
Анпс = 0,05 * 3965952000 = 198297600 рублей
Арп = 0,04 * 1452779422 = 58111176,89 рублей
Суммарные затраты складываются из эксплуатационных затрат и
амортизационных отчислений.
Ставка дисконтирования 15%.
Ен = 0,15, t -
год
Затраты находим как З = Э - А (Эксплуатационные расходы минус
Амортизация)
В последний год нужно учесть стоимость технологической нефти. мы считаем
их с «+».
Получившиеся числа мы дисконтируем.
В итоге получаем, что нам выгоднее взять диаметр трубопровода 1020 мм,
так как такая труба требует меньше затрат. (46 422 414 143 рублей)
|
Параметр
|
Ед. изм.
|
|
|
|
|
D
|
мм
|
D = 820 мм
|
D = 1020 мм
|
D = 1067 мм
|
|
Марка стали
|
|
13Г2АФ
|
13Г10-9
|
13Г10-9
|
|
δ
|
мм
|
9
|
12
|
12,5
|
|
D внутр.
|
мм
|
802
|
996
|
1042
|
|
v
|
м/с
|
2,71
|
2,087
|
1,61
|
|
Re
|
|
|
91234,02
|
87206,41
|
|
k
|
|
0,01
|
0,01
|
0,01
|
|
λ
|
|
|
0,018205
|
0,018412
|
|
Перевальные точки
|
|
|
отсутствуют
|
отсутствуют
|
|
Δz
|
м
|
|
90
|
90
|
|
hтр
|
м
|
|
1448,44
|
1168,86
|
|
hм
|
м
|
|
14,48
|
11,69
|
|
H = hтр+ hм+
Δz
|
м
|
|
1552,93
|
1270,55
|
|
i
|
|
|
0,002868
|
0,002315
|
|
Экономический расчет
|
|
Конечные затраты в проект
|
Млрд.руб
|
|
46,5
|
54,6
|
|
|
|
|
|
|
|
|
|
Выбираем трубопровод c D = 1020 мм, так как он требует меньше
экономических затрат.
трубопровод нефть гидравлический насосный
Глава 7. Перерасчет характеристики насоса с воды на нефть
Выбираем насос, исходя из того что данный нам расход должен попадать в
рабочую зону, при этом должен соответствовать выбранному нами напору и должен
выдавать максимальный КПД. Исходя из этого, мы выбрали насос НМ 7000-210 со
сменным ротором на подачу 5000 м3/час.
Q = 4921.49 м3/час
H = 215.53 м
|
№
|
Q2
|
H*Q2
|
Q4
|
Q
|
H
|
|
1
|
16000000
|
3840000000
|
2,56 *1014
|
4000
|
240
|
|
2
|
18062500
|
4154375000
|
3,26254*1014
|
4250
|
230
|
|
3
|
20250000
|
4556250000
|
4,10063 *1014
|
4500
|
225
|
|
4
|
22562500
|
4850937500
|
5,09066 *1014
|
4750
|
215
|
|
5
|
25000000
|
5125000000
|
6,25 *1014
|
5000
|
205
|
|
Σ
|
11875000
|
22526562500
|
2,12638 *1015
|
22500
|
1115
|
Находим, что
м;
ч2/м5.
Следовательно, для насоса серии НМ 7000-210 со сменным ротором на подачу
5000 м3/ч гидравлическая характеристика имеет вид:
, м
Находим коэффициент быстроходности:
В методике пересчета характеристик магистральных насосов в качестве
параметра, характеризующего течение перекачиваемой жидкости в рабочем колесе,
используется число Рейнольдса
где n - число оборотов ротора насоса, об/с;
D2 - наружный диаметр рабочего колеса,D2 = 0,47м;
-вязкость нефти.
Переходное значение числа Рейнольдса
Т.к.
, то нет необходимости в пересчете с воды на нефть.
Следовательно, для насоса серии НМ 7000-210 со сменным ротором на подачу
5000 м3/час гидравлическая характеристика для вязкой нефти имеет
вид:
, м
Тогда
H(4921.49)
= 208.44 м
Поставим подпорный насос на головную станцию.
Для нашего расхода 4921,49 м3/час, ставим 2 подпорных насоса
НМП 2500-74
С помощью
аппроксимации найдем коэффициенты A, B:
|
N
|
Q^2
|
H*Q^2
|
Q^4
|
Q
|
H
|
|
1
|
2560000
|
197120000
|
6,5536E+12
|
1600
|
77
|
|
2
|
4000000
|
304000000
|
1,6E+13
|
2000
|
76
|
|
3
|
5760000
|
432000000
|
3,31776E+13
|
2400
|
75
|
|
4
|
6250000
|
462500000
|
3,90625E+13
|
2500
|
74
|
|
5
|
7840000
|
572320000
|
6,14656E+13
|
2800
|
73
|
|
Сумм
|
26410000
|
1967940000
|
1,56259E+14
|
11300
|
375
|
Коэффициенты А и В:
А = 79,04 м
В = 7,6*10-7
Характеристика подпорного насоса НМП 2500-74:
H(4921.49/2)
= 79.04м
Глава 8.
Расстановка станций
.1
Гидравлический расчет
Определим величину необходимого подпора:
,
где
кПа - давление насыщенных паров нефти;
- подпор, необходимый для безкавитационной работы насоса
.
Расстановка НПС должна производиться с учетом равномерного распределения
давления по всем насосным станциям нефтепровода.
Число НПС n = 3.
Напор, создаваемый одним насосным агрегатом при заданном расходе:
м.
Напор, развиваемый насосной станцией:
м.
Тогда напор в конце трубопровода:
м.
Если нет ресурса для увеличения расчетного расхода, то станции будут
работать при пониженном напоре.
Необходимо построить Q-H характеристику нефтепровода в
диапазоне от 0 до 1,5 Qзад (производительность трубопровода)
при 10 различных расходах.
|
Q
|
Re
|
|
H
|
|
0
|
0
|
|
164,7
|
|
1000
|
18542,70117
|
0,027114
|
253,8547718
|
|
2000
|
37085,40234
|
0,0228
|
464,5797122
|
|
3000
|
55628,1035
|
0,020602
|
774,3867947
|
|
4000
|
74170,80467
|
0,019172
|
1173,3711
|
|
4921,49
|
91257,71837
|
0,018204
|
1614,51856
|
|
5000
|
92713,50584
|
0,018132
|
1655,234733
|
|
6000
|
111256,207
|
0,017324
|
2215,43376
|
|
7000
|
129798,9082
|
0,016669
|
2850,453578
|
|
8000
|
148341,6093
|
0,016122
|
3557,451648
|
Строим гидравлическую характеристику насосной станции с учетом
рассчитанного подпора. Построение выполняется в рабочей зоне (Q = 1000 - 8000 м3/час).
где
- количество НПС на участке нефтепровода
,
- количество насосных агрегатов на одной НПС (
),
- гидравлическая характеристика насоса, м;
- необходимый подпор м.
, м
|
Q, м3/час
|
2000
|
3000
|
4000
|
4921,49
|
5500
|
6000
|
|
|
12638,62
|
2468,52
|
2230,38
|
1950,79
|
1745,6
|
1549,98
|
На графике видно, что рабочая точка (точка пересечения) не совпадает с
заданным расходом (производительностью нефтепровода). Для того, чтобы рабочий
расход оказался равным заданному, необходимо рассчитать новый диаметр колес
Аналогично новая характеристика насоса будет выглядеть так:
Таким образом,
Откуда
.
Построим новую характеристику всех НПС с изменением частоты вращения:
При Q = 2000 м3/час
м
Аналогично рассчитываем для других расходов.
Гидравлическая характеристика всех НПС с учетом обточки
рабочих колес насосных агрегатов
|
Q, м3/час
|
2000
|
3000
|
4000
|
5000
|
5328.42
|
6000
|
|
|
1830
|
1771,5
|
1689,6
|
1584,3
|
1544,6
|
1455,6
|
|
|
1406,6
|
1348,4
|
1267,0
|
1162,2
|
1122,7
|
1034,2
|
.2
Построение сводного графика расчетных давлений при стационарных режимах
перекачки
1. Высотная отметка низа трубы строится по исходным данным
2. Для отображения величины подпора построим линию с координатами
,м
где
м - величина подпора на входе в НПС.
. Для определения местоположения станций используем определение
гидроуклона - потери на единицу длины.
Расстановка станций по длине трубопровода
|
НПС-1
|
НПС-2
|
НПС-3
|
|
х, км
|
127,5
|
315
|
|
hвх = z+hпод, м
|
251,8
|
309
|
264
|
|
Нст, м
|
511,56
|
511,56
|
511,56
|
|
Н = Нст+hвх, м
|
763,36
|
820,56
|
775,56
|
Глава 9.
Теплогидравлический расчет в зимний период
.1
Гидравлический расчет
С учетом тепла, вырабатываемого вследствие диссипативного трения,
изменение температуры потока нефти в трубопроводе описывается выражением:
,
где:
- число Шухова;
- температура, обусловленная теплом трения;
Тн - начальная температура нефти,
;- коэффициент теплопередачи, К = 2
;гр- температура грунта;
Сp = 2090
- удельная теплоемкость нефти.
;
.
Пересчитываем все параметры перекачки под новую температуру.
Плотность нефти:
кг⁄м3
Часовая пропускная способность
м3/час;
Секундная пропускная способность
м3/с;
Вязкость нефти:
сСт;
м/с;
Число Рейнольдса:
Коэффициент гидравлического сопротивления:
.
м/м = 2,78 м/км;
м,
м,
м.
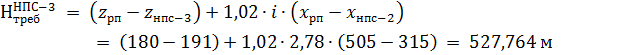
Сохраняя полученную ранее расстановку НПС, определим требуемый напор
каждой станции
Тогда требуемый напор, развиваемый одним насосом на каждой НПС:
Новый диаметр после обточки:
9.2
Построение графика расчетных давлений в зимнее время
Построение выполняется с учетом уклона. Результаты расчетов представлены
на графике.
Расстановка НПС на трассе МН зимний период
|
НПС-1
|
НПС-2
|
НПС-3
|
|
х, км
|
0
|
127,5
|
315
|
|
hвх = z+hпод, м
|
251,8
|
309
|
264
|
|
Нст, м
|
508,79
|
562,675
|
527,764
|
|
Н = Нст+hвх, м
|
760,59
|
871,675
|
791,764
|
Глава 10.
Теплогидравлический расчет в летний период
;
;
.
Пересчитываем все параметры перекачки под новую температуру.
Плотность нефти:
.
Часовая пропускная способность
м3/час;
Секундная пропускная способность
м3/с;
Вязкость нефти:
сСт;
м/с;
Число Рейнольдса:
Коэффициент гидравлического сопротивления:
.
м/м = 3,012 м/км;
м,
м,
м.
Напор, создаваемый одним насосным агрегатом при зимнем расходе:
Напор, развиваемый насосной станцией:
м.
Тогда напор в конце трубопровода:
м.
Сохраняя полученную ранее расстановку НПС, определим требуемый напор
каждой станции
Тогда требуемый напор, развиваемый одним насосом на каждой НПС:
Новый диаметр после обточки:
Построение
графика расчетных давлений в летнее время
Построение выполняется с учетом уклона. Результаты расчетов представлены
на графике. Расстановка НПС на трассе МН летний период
|
НПС-1
|
НПС-2
|
НПС-3
|
|
х, км
|
0
|
127,5
|
315
|
|
hвх = z+hпод, м
|
251,8
|
309
|
264
|
|
Нст, м
|
538,1
|
488,9
|
572,73
|
|
Н = Нст+hвх, м
|
789,9
|
800
|
836,73
|

Глава 11.
Регулирование режима работы насосных станций при отключении НПС-2
При плановом отключении НПС-2 необходимо снизить пропускную способность
так, чтобы осуществить перекачку до конца участка.
;
При плановом отключении НПС-2 НПС-1 должна выйти на другой режим. Так как
не известны ни коэффициент гидравлического сопротивления, ни установившийся
расход, то находим эти параметры методом итераций. В первом приближении примем
коэффициент гидравлического сопротивления равным
.
м3/с;
.
Аналогично рассчитываем последовательно остальные приближения, пока
коэффициент гидравлических сопротивлений не перестанет изменяться.
Аппроксимация режима работы МН при отключении НПС-2
|
Q, м3/с
|
Re
|
|
|
1
|
1,089150
|
90493,96292
|
0,018242
|
|
2
|
1,140412
|
94753,18533
|
0,018034
|
|
3
|
1,146988
|
95299,49407
|
0,018008
|
|
4
|
1,147812
|
95368,00376
|
0,018005
|
|
5
|
1,147915
|
95376,57093
|
0,018004
|
|
6
|
1,147928
|
95377,64189
|
0,018004
|
Объемный расход:
.
Расход попадает в рабочую зону выбранного нами насоса НМ 7000-210 со
сменным ротором на подачу 5000 м3/час
Гидравлическая характеристика имеет вид:
, м
Определим напор насоса при новом расходе:
Напор, развиваемый насосной станцией:
.
Напор создаваемый подпорным насосом:
НПС-1:
Потери на участке:
Тогда напор в конце трубопровода:
Так как нам не хватает напор, включим четвертый насос на насосной
станции. Тогда напор создаваемый насосной станцией:
Сделаем обточку колеса.
Напор станции после регулировки должен быть равен:
H’ = 740/4 = 185 м
Величина обточки равна 8,8 %
Q-H характеристика после обточки колеса
Для того чтобы обеспечить необходимый напор при данном расходе перекачки
и гидравлическом уклоне необходимо:
|
НПС-1
|
Обеспечить напор Н = 740 м Включить 4 насос на НПС-1
Обточить колесо на 8,9%
|
Найдем напор на третьей насосной станции:
Чтобы обеспечить такой напор оставим включенными 2 насоса и сделаем
обточку.
H’ = 369/2 = 184,5 м
Величина обточки равна 8,9 %
Q-H характеристика после обточки колеса
Для того чтобы обеспечить необходимый напор при данном расходе перекачки
и гидравлическом уклоне необходимо:
|
НПС-3
|
Обеспечить напор Н = 369 м Включить 2 насоса на НПС-3
Обточить колесо на 10%
|