Проектирование зубчатого механизма
5. Проектирование
зубчатого механизма.
Исходные данные: электролебедка (рисунок - 1) состоит
из электродвигателя 1, двух муфт: упругой 2 и соединительной 4,
двухступенчатого цилиндрического редуктора 3 и барабана 5.
Работа односменная, пусковая нагрузка до 150% от номинальной.
Грузоподъемность лебедки F, скорость навивания каната на барабан V, диаметр барабана D
заданы в таблице. Срок службы редуктора 20000 часов.
Требуется: подобрать электродвигатель, рассчитать
зубчатые колеса тихоходной ступени редуктора. Выполнить рабочие чертежи колеса
и вала (формат А3)
Рисунок 1. Схема
электромеханического привода
Последовательность
расчета.
1.
Выбор
электродвигателя.
1.1. Определяем общий КПД привода лебедки.
а) КПД пары зубчатых колес при работе в масляной
ванне
1 = 0,98;
б) КПД, учитывающий потери в одной паре
подшипников качения
2
= 0,99;
в) КПД, учитывающий потери в паре подшипников
скольжения (вал барабана смонтирован на подшипниках скольжения)
3 = 0,95;
г) КПД муфты
м = 0.98
Общий КПД привода
1.2. Требуемая мощность электродвигателя: Р’
дв
где F – усилие на канате
барабана,
v – скорость
каната.
1.3. Выбор
электродвигателя:
Выбираем
исходя из условия: Рдв
Тип данного
электродвигателя асинхронный, его параметры:
2. Кинематический
расчет.
2.1. Угловая
скорость выходного вала редуктора и барабана:
nб = n3 =
2.2. Общее
передаточное число:
Uоб = Up =
(1)
n1 - число оборотов
быстроходного вала
n3 = nб - число оборотов
тихоходного вала
2.3. Разбивка
передаточного числа на ступени:
Uоб
= Uр = U
Uт (2)
где Uб
– передаточное число быстроходной ступени.
Uт – передаточное число тихоходной ступени редуктора,
обычно определяют Uт = 0.88
. Тогда находится Uб =
и полученные данные подставляем в (2).
2.4. Окружные
скорости валов редуктора:
- быстроходного
(входного) n1 = nБ
-
промежуточного n2 =nпр
- тихоходного
(выходного) n3 =nТ
2.5. Крутящий
момент на валах редуктора:
Крутящий
момент на валу барабана
Тб
= Т5=
где D –
диаметр барабана
Т4
= ТТ =
Т3
= Тпр =
Т2
= ТБ =
3. Расчет
зубчатых передач:
3.1. Выбор материалов для шестерни:
Желая получить редуктор с возможно меньшими
габаритами, выбираем для обеих пар зубчатых колес сталь с повышенными
механическими качествами:
- для шестерен z1 и z3 - сталь 40х;
термообработка улучшение; НВ257 (по табл., ориентируясь на диаметр заготовок до
150мм);
в =
830 н/мм2;
т
= 590 н/мм2;
- для зубчатых колес z2 и z4 - сталь 40х;
термообработка нормализация, НВ200,
в = 690 н/мм2;
т = 440 н/мм2.
3.2. Определение допускаемых напряжений.
3.2.1. Определение контактной твердости материала
и допустимого контактного напряжения.
В данном случае в качестве расчетной контактной
твердости материала принимаем ее среднее значение.
Для шестерни по формуле
НВ3 = 0,5 (НВmax +НВmin)
для колеса по той же формуле:
НВ4 = 0,5(НВ max +НВmin).
Оцениваем возможность приработки колес по формуле
HB3
HB4+ (10…15);
Допустимое контактное напряжение:
Для определения допустимых контактных напряжений
принимаем коэффициент запаса прочности SHmin=1.1предел контактной
выносливости зубьев:
min = 2HB+70
- для шестерни:
Hmin3 = 2HB3+70
- для колеса
Hmin4= 2HB4+70
Расчетное число циклов напряжений NK при постоянном режиме
нагружения определяем по формуле:
- для шестерни:
NK3 = 60n3cLh
- для колеса:
NK4 = 60n4cLh
Базовое число циклов напряжений рассчитываем в
зависимости от твердости материала:
NH lim = 30NHB2.4
- для колеса NH lim4
Коэффициент долговечности ZN при расчете по контактной
выносливости находим, учитывая, что Nk
NH lim по формуле:
ZN =
Определяем допустимые контактные напряжения по
формуле:
- для шестерни:
- для колеса:
С учетом рекомендаций вычисляем расчетное
допустимое контактное напряжение по формуле:
нр = 0,45(
)
3.2.2. Допускаемые напряжения изгиба.
Для определения допустимых напряжения изгиба принимаем коэффициент
запаса прочности Sf= 1,7; предел выносливости зубьев на изгиб для данного
материала определяется как
0F lim b = 1,75НВ
Коэффициент долговечности YN при расчете на изгибную
выносливость находим по формуле:
где NFlim – базовое число напряжений на изгибе; NFlim =
Согласно условию принимаем YN3=YN4=1. Находим коэффициент YA, учитывающий
двухстороннее нагружение; в нашем случае YA3=YA4=1 (для одностороннего
нагружения).
Определяем допустимые напряжения изгиба по формуле
FP =
Допускаемые напряжения изгиба для зубьев
шестерен, принимая[n] =1,5,
К
= 1,6, Кри = 1,
[n] – требуемый (допускаемый) коэффициент запаса прочности;
К
- эффективный коэффициент концентрации напряжений
у корня зуба;
КН
- коэффициент режима нагрузки
КН =


Nц =
n
Nц – число циклов нагружения;
n – угловая скорость, об/мин;
Т - расчетная долговечность (срок службы передачи),
ч; Т=20000 часов;
а – количество зацеплений зуба за один оборот
колеса, а=1;
При Nц
5
Kри получается меньше 1, берется в
расчетах Кри = 1,0
Для зубьев шестерни имеем
[
]'u
= 
Для зубьев колес принимаем [n] = 1,5 и Кб=1,5,
[
]''u =
4. Расчет тихоходной ступени (косозубая).
4.1. Определение потребного межосёвого расстояния
из условия контактной прочности поверхности зубьев.
Межосевое расстояние определяем по формуле
где Uт = 4,5;
- коэффициент ширины, принимаемый равным 0,15;
0,25; 0,315
Ка – косозубая передача (коэффициент,
учитывающий повышение нагрузочной способности за счет увеличения суммарной
длины контактных линий).
- коэффициент, учитывающий неравномерность
нагрузки по длине контактной линии. Принимаем равным 1,15.
4.2. Число зубьев и модуль зацепления.
Нормальный модуль зацепления выбирается по
формуле:
m = (0,01
0,02)
w
Предварительно выбирается угол наклона зубьев
= 10°
Число зубьев шестерни
z3 =
Число зубьев колеcа
z4 = UT
Суммарное число зубьев
Уточняется значение угла
для косозубой передачи проверяется условие
т.е. принятое значение угла
при
= 0,4 приемлемо.
4.3. Основные
размеры зубчатой пары колес тихоходной ступени.
Диаметры
длительных окружностей зубчатых колес:
d3
=
=
d4 =
Проверяем
межосевое расстояние:
aw =
bw =
Расчет
диаметра вершин колес:
da3 =
da4 =
Di3 =
Di4 =
4.4. Окружная скорость колеса
V2 =
При такой скорости и твердости материалов зубчатых
колес менее НВ350 назначают 9-ю степень точности изготовления зубьев зубчатых
колес тихоходной пары.
4.5. Уточнение коэффициента нагрузки:
Кн = КН
HV
при несимметричном расположении колес, КH
= 1,4, и при 9-ой степени точности КHV
= 1,2 , тогда вычисляется КН.
4.6. Проверяем расчетные напряжения при принятых
размерах передачи и уточненной величине коэффициента нагрузки:
4.6.1. Контактное напряжение.
где КК - коэффициент для косозубой передачи, учитывающий повышение нагрузочной способности за счет
увеличения длины контактных линий.
4.6.2. Напряжение изгиба.
Силы,
действующие в зацеплении:
- окружное
усилие
Ft =
- радиальное усилие
Fp =
- осевое усилие
Fa =Ft tg
Проверяем прочность зубьев по напряжениям изгиба
F – коэффициент формы зуба:
для шестерни при zV3 =
для колеса при zV4 =
Производим сравнительную оценку прочности и
колеса:
- для шестерни
- для колеса
Дальнейший расчет ведется по зубу колеса как
менее прочному. КК =1,4 для косозубых колес.
Расчетное (рабочее) напряжение изгиба в опасном
сечении зуба z4 сравнить с его допустимым.
4.6.3. Напряжения при перегрузках.
Кратковременные перегрузки, не учтенные при
расчете, могут привести к потере статической прочности зубьев. Поэтому после
определения размеров передачи по сопротивлению усталости необходимо проверить
статическую прочность при перегрузках.
Максимальные контактные напряжения при перегрузке
моментом Тпик можно выразить через напряжение
н :
Если значение Тпик не задано, его
определяют по формуле Тпик = КТmах, где К— коэффициент
внешней динамической нагрузки, принемаемый равным 1,5…2,5.
Аналогично, максимальные напряжения изгиба
5. Проектирование тихоходного вала редуктора.
5.1. Предварительный расчет
Выполняется из условия расчета на кручение по
заниженным допускаемым напряжениям кручения [
] кр = 12…20 МПа, т.е. без учета
деформаций изгиба
Условие прочности на кручение
Ткр – крутящий
момент на тихоходном валу
Wр = 0,2dв
– момент сопротивлению кручения при [
]кр = 18 МПа
dв min
Длина
выходной части вала для закрепления соединительной муфты lсм2 = 1.5dсм2
5.2. Эскизная
компоновка узла тихоходного вала
Эскизная компоновка
позволяет определить осевые (продольные) размеры вала. На осевые размеры вала
влияют ширина зубчатых колес, длина шпонок, определяющая длину ступиц колес,
ширина подшипников и ширина других деталей.
5.2.1. Определение длины
шпонок.
Длина шпонок
устанавливается из расчета на снятие
где Т –
крутящий момент на валу
dв
– диаметр вала по месту установки шпонки
[
]см = 80-100 МПа –
допускаемое напряжение на снятие для шпонок
lр
= l – в – рабочая длина призматической шпонки
l – полная длина шпонки
b
h и t - параметры сечения
шпонки, определяемые по ГОСТу в зависимости от диаметра вала.
Из расчета на
снятие находим
Полная длина
шпонки lк = lрв + в
5.2.2. Выбор
подшипников качения.
Учитывая, что
наклон зубьев колес является незначительным (
= 8,109), то можно принять шариковые радиальные
подшипники, которые могут воспринимать кроме радиальной (Fr) и осевую нагрузку (Fa) при этом осевая
нагрузка не должна быть больше 20% от неиспользуемой радиальной нагрузки
5.2.3. Эскизная компоновка
редуктора.
Эскизную
компоновку обычно поводят в два этапа. На первом этапе выявляются расстояния
между опорами и положение зубчатых колёс относительно опор для последующего
определения опорных реакций и расчета валов на прочность подшипников качения.
На втором этапе конструктивно оформляем основные элементы редуктора для
последующей проверки прочности валов, шпонок и других деталей. Учитывая
габариты редуктора, эскизная компоновка выполняется в масштабе 1:2 или 1:1.
Компоновка
проводится на одной проекции – разрез по осям валов при снятой крышке
редуктора.
Учитывая все
рекомендации, данные в литературе выполняем первый этап эскизной компоновки для
узла тихоходного вала.
7. Расчет
подшипника на долговечность
–
от
окружных сил F (в плоскости XZ)
Fпр.в
+ d + e) - RFx
a + d) - Ft
= 0
Из данного
уравнения выражаем RFx с учетом формулы для Ft.
Записываем сумму
проекций сил на ось ОХ:
X = REx – Ft
– RFx +Ft пр.в = 0
REx
= Ft – RFx + Ft пр.в.
–
от
радиальных сил Fr (в плоскости YZ)
Fr = Ft tg 20
Тогда
-Fпр.в
a + d + e) + RFy
a + d) – Fr
= 0
Из данного
уравнения выражаем RFy
Сумма
проекций сил на ось ОY:
Y = RE – Fr
– RFy +Fr пр.в
REy
= -Fr + Ry – Fr пр.в
Суммарные
радиальные реакции находятся по формулам:
RE =
RF =
7.2.
Требуемый коэффициент работоспособности подшипников.
Подбор
подшипников ведется по большей реакции:
С = 0,2 RF Kk K б(h
)0.3
где RF – большая из суммарных
радиальных реакций
h – желаемый
срок службы подшипника; принимаем равным 8000 часов
Кк
– коэффициент кольца. Принимаем = 1
Кб
– динамический коэффициент. Принимаем = 1,4
По данному
коэффициенту работоспособности и диаметру вала подбираем подшипник.
7.3.
Теоретический срок службы выбранного подшипника (h):
(h
где С – требуемый
коэффициент работоспособности подшипников
RF – большая из суммарных
радиальных реакций
Кб
– динамический коэффициент
8. Выбор
муфты
9. Выбор
посадок
10. Сборка
узла тихоходного вала.
Рисунок 2.
Эскизная компоновка вертикального редуктора
6. Расчет
клиноременной передачи.
Исходные данные:
Р – мощность на входном
валу
n1 = nac – число оборотов входного вала
Upn – передаточное число
E – коэффициент упругого скольжения
ремня.
Требуется:
рассчитать клиноременную передачу, работающую в различных нагрузочных режимах
(рисунок 2) по данным таблицы.
Рисунок
3. Схема ременной передачи.
Последовательность
расчета.
На рисунке 4 приведена
расчетная схема клиноременной передачи.
Рисунок 4.
Клиноременная передача.
1.
Выбор типоразмера
сечения ремня.
В зависимости от
мощности и частоты вращения вала выбираем соответствующее сечение ремня,
имеющее следующие параметры (см. Анурьев В.И.Справочник
конструктора-машиностроителя)
вр – расчетная ширина
ремня
Т0 – высота
ремня

2. Передаваемый вращающий момент на входном валу
передачи
3. Расчетный диаметр
меньшего шкива:
Диаметр шкива выбираем из стандартного ряда по
ГОСТ 17383-73
4. Расчетный диаметр
большого шкива:
5. Уточняем передаточное отношение:
6. Межосевое расстояние ар
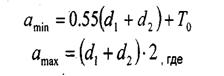
следует принимать в интервале:
Т0 - высота сечения ремня,
принимаем аmax
ар
аmin
7. Расчетная длина ремня
8. Уточненное значение межосевого расстояния ар
с учетом стандартной длины ремня L.
При монтаже
передачи необходимо обеспечить возможность уменьшения межосевого расстояния на
0.01L
для увеличения напряжения ремней.
9. Угол обхвата меньшего
шкива:
10. Выбираем:
а) коэффициент динамичности и режима работ,
учитывающий условия эксплуатации передачи – Ср > 1
б) коэффициент, учитывающий влияние длины ремня CL = 0.93
г) коэффициент, учитывающий число ремней в
передаче CZ = 0.9
д) коэффициент материала См = 1
11. Число ремней в передаче:
где Ро - мощность, передаваемая одним
клиновым ремнем
12. Напряжение ветвей одного клинового ремня:
13. Давление на валы определяется по формуле:
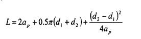
14. Ширина обода шкива:
е,f - параметры профиля
канавок шкивов [Анурьев В.И. - таб.26,с.499]
Справочный материал:
Список
рекомендуемой литературы:
1. Анурьев Е.С. Справочник конструктора-машиностроителя
том 2. М.: Машиностроение, 1982 – 450 с.
2. Иванов М.Н. Детали машин. М.:
Высшая школа, 1991 – 383 с.
3. Дунаев П.Ф. Конструирование узлов
и деталей машин. М.: Высшая школа, 1978 – 348 с.
4. Решетов Д.Н. Детали машин. М.:
Машиностроение 1984.