Экономический рост в Республике Беларусь

  • Вид работы:
    Курсовая работа (т)
  • Предмет:
    Эктеория
  • Язык:
    Русский
    ,
    Формат файла:
    MS Word
    407,35 Кб
  • Опубликовано:
    2015-03-14
Вы можете узнать стоимость помощи в написании студенческой работы.
Помощь в написании работы, которую точно примут!

Экономический рост в Республике Беларусь

Содержание

Введение

1. Экономический рост: понятие, показатели, факторы

1.1 Понятие экономического роста и показатели, его характеризующие

1.2 Факторы экономического роста и его типы

1.3 Теоретические модели экономического роста

1.3.1 Неокейнсианские модели (Домара, Харрода)

1.3.2 Неоклассические модели (Кобба-Дугласа, Солоу)

2. Особенности экономического роста в Республике Беларусь

3. Проблемы и перспективы экономического роста в Беларуси

Заключение

Список использованных источников

Введение

История развития человеческого общества наглядно свидетельствует о том, что рыночная экономика способна создать большее количество товаров и услуг для большего количества людей, чем какая-либо другая экономическая система. И объясняется это тем, что в условиях рыночной экономики обеспечивается высокая мотивация к творческому труду, прогрессу, люди сами делают свой выбор, чем заниматься.

Последствия экономических кризисов и неравномерности экономического развития разрушительно действуют на экономику стран, понижая достигнутый уровень производства и жизни народа, удовлетворения потребностей человека и общества. Проблемы эффективности и качества экономического роста в настоящее время имеет особую значимость для всех сторон мира. Это обусловлено прежде всего нехваткой дополнительных ресурсов. Приходится включать в хозяйственный оборот полезные ископаемые, находящиеся в отдаленных и труднодоступных районах.

Параметры экономического роста, их динамика широко используются для характеристики развития национальных хозяйств, в государственном регулировании экономики. Население оценивает деятельность высших хозяйственных и политических органов той или иной страны прежде всего на основе рассмотрения показателей динамики экономического роста, динамики уровня жизни. Экономический рост, его темпы, качество и другие показатели зависят не только от потенциала национального хозяйства, но в значительной степени от внешнеэкономических и внешнеполитических факторов. Этим и определяется важность выбранной темы.

Объектом исследования выступают особенности экономического роста в Республике Беларусь, а предметом - тенденции, проблемы и перспективы экономического роста в стране.

экономический рост беларусь модель

Цель работы - на основе исследования особенностей экономического роста в республике раскрыть проблемы и перспективы экономического роста в Беларуси.

Экономический рост - долгосрочная тенденция увеличения реального объема выпуска, соответствующего состоянию полной занятости. Экономический рост - центральная задача всех государств, решение которой входит в одну из четырех целей макроэкономической политики.

Работа состоит из введения, трех глав, заключения и списка использованных источников.

1. Экономический рост: понятие, показатели, факторы


1.1 Понятие экономического роста и показатели, его характеризующие


Под экономическим ростом понимают процесс, характеризующийся увеличением массы создаваемых благ и услуг в соответствии с объемом и структурой складывающихся общественных потребностей.

Глубинные причины поступательного развития экономики кроются в сложных и противоречивых связях между общественным производством и конечным его предназначением - удовлетворять потребности человека, служить потреблению. Сами экономические потребности человека порождаются производством. Создавая новый продукт и возбуждая потребность в нем, производство формирует условия удовлетворения этих потребностей.

В свою очередь, удовлетворенная потребность и появление новых диктует необходимость повторения производства, наращивания и совершенствования его для насыщения новых потребностей. Растущие потребности общества вызывают к жизни "средства производства”, которые способны удовлетворять эти потребности.

Следовательно, сущность реального экономического роста состоит в разрешении и воспроизведении на новом уровне основного противоречия экономики: между ограниченностью производственных ресурсов и безграничностью общественных потребностей. Разрешаться это противоречие может двумя основными способами: во-первых, за счет увеличения производственных возможностей, во-вторых, за счет наиболее эффективного использования имеющихся производственных возможностей и развития общественных потребностей. Однако на этом процесс не завершается: на каждом новом этапе развития при расширении производственных возможностей опять не все общественные потребности удовлетворяются. Общественные потребности всегда первичны по отношению к производственным ресурсам, хотя возникают они только тогда, когда производство продуктов, удовлетворяющих эти потребности, уже освоено либо производителями данной страны, либо поставщиками импортируемой продукции. Это объясняется тем, что возникшая потребность постепенно превращается в массовую, что предполагает непрерывное развитие производства.

Развитие производственных возможностей обусловливается не только количественным ростом общественных потребностей, но и изменением их структуры, повышением в структуре потребительских предпочтений доли одних потребностей и уменьшением доли других.

Потребности общества растут прежде всего потому, что численность населения Земли от одной эпохи к другой увеличивается чуть ли не в геометрической прогрессии. Так, если в V - XV вв. (аграрная эпоха) среднегодовые темпы прироста населения составляли 0,1%, то в развитой аграрной эпохе (XV - XVII вв.) среднегодовые темпы прироста населения уже составляли 0,2%, соответственно "торговый капитализм” (XVIII в.) и "промышленный капитализм” (XIX в.) характеризуются показателями в 0,4% и 0,9% [9, с.311].

В наше время, благодаря успехам медицины и здравоохранения, победившим многие тяжкие болезни, во многих странах растет средняя продолжительность жизни и сохраняется высокий уровень рождаемости. Вследствие этого численность населения Земли увеличивается с каждым годом: только за последние 40 лет она увеличилась в два раза, за последнее десятилетие ежегодный прирост составил около 75 млн. человек. Это равно численности жителей Германии, что равнозначно ежегодному появлению на карте мира нового крупного государства.

Одновременно растут и становятся более разнообразными потребности людей. Для современного человека уже недостаточно только есть, пить, одеваться, иметь жилище, хотя и сами требования к таким благам возрастают. Сегодня человек нуждается в современных средствах передвижения, общения, услугах по поддержанию и укреплению здоровья, образовании и профессиональной подготовке, в полноценном и содержательном отдыхе и т.д.

Коль численность людей растет, а потребности их возрастают, экономика должна обеспечивать непрерывный прирост благ, необходимых для удовлетворения этих потребностей.

Экономический рост в масштабе всего общественного производства представлен увеличением годового объема производства товаров и услуг. Поэтому показателем, с помощью которого измеряется экономический рост, обычно выступает валовой национальный продукт (ВНП) или валовой внутренний продукт (ВВП). Увеличение ВНП или ВВП за счет более высоких цен текущего периода, т.е. изменение номинального (в ценовом выражении) ВНП, не может рассматриваться как экономический рост [11, с.226].

Экономический рост принято измерять как в абсолютных величинах, так и в относительных (в процентах к величине предшествующего периода). Например, если в данном году реальный ВНП составил 210 млн. руб., а в предыдущем - 200, то в абсолютном выражении он вырос на 10 млн. руб. (или на 5 %).

Реальный ВНП может увеличиваться, но может и уменьшаться (отрицательный экономический рост). Нулевое значение сравниваемых величин ВНП означает отсутствие экономического роста.

Для измерения экономического роста, особенно при сопоставлении на международном уровне, широко используется и такой показатель, как величина ВНП на душу населения (и темпы его роста). Эти показатели обычно используются для характеристики уровня жизни и динамики благосостояния населения той или иной страны.

При одинаковом объеме реального национального продукта его величина, приходящаяся на душу населения, будет зависеть от численности населения данной страны. Так, ВНП Индии почти на 70 % превосходит ВНП Швейцарии, однако по доле его, приходящейся на душу населения, Индия отстает от Швейцарии более чем в 60 раз. Повышение среднего уровня жизни вызовет лишь такое увеличение объема производства (ВНП), которое превышает рост населения.

Экономический рост измеряется также годовыми темпами роста. Для того чтобы определить годовой темп роста ВНП, из величины реального ВНП данного года необходимо вычесть величину реального ВНП предыдущего года (т.е. сравниваемого) и соотнести разность с величиной реального ВНП за прошлый год, выразив результат в процентах. Выстраивая показатели, характеризующие темпы роста ВНП за ряд лет, можно выявить тенденцию, т.е. направление экономического развития. В сочетании с другими экономическими показателями такая информация служит основой экономического анализа, необходимого для выработки и принятия решений на государственном уровне, а также для проверки и контроля эффективности экономической политики правительства.

Результат различных темпов будет зависеть от "веса” каждого процента прироста, т.е. от объема исходного и сравниваемого. В течение ряда лет даже небольшие различия в темпах роста могут приобрести решающее значение. Согласно подсчетам экономистов, если две страны имеют на старте одинаковый объем ВНП, но разные темпы роста, то последствия окажутся существенными [11, с. 227].

Основными конечными целями экономического роста являются повышение материального благосостояния населения и поддержание национальной безопасности. Повышение материального благосостояния как главная цель экономического роста конкретизируется в следующих основных составляющих:

) Увеличение среднедушевых доходов населения.

) Увеличение свободного времени.

) Улучшение распределения национального дохода (НД) среди различных слоев населения.

) Улучшение качества и рост разнообразия выпускаемых товаров и услуг.

Следует иметь в виду, что постановка вопроса о целях экономического роста имеет конструктивный характер, то есть содержит в себе ориентиры к тому, что было бы желательно иметь развивающемуся обществу.

Позитивный подход к вопросу о целях экономического роста предполагает анализ мотивов поведения производителей и потребителей. Основным побудительным мотивом осуществления фирмами инвестиционных расходов является получение экономической прибыли в долгосрочной перспективе. Целью домохозяйств является увеличение своего благосостояния. Ради достижения этой цели они, во-первых, осуществляют сбережение части своих доходов, во-вторых, инвестируют часть дохода в повышение качества находящихся в их распоряжении факторов производства. Такой мотив характерен, в частности, для рабочих, служащих и предпринимателей, вкладывающих частные инвестиции в человеческий капитал. Теория мотивов и потребностей тесным образом связывает воспроизводство с эффективностью экономического роста.

Под эффективностью экономического роста понимается улучшение всех составляющих многогранного понятия "эффективность производства". Сюда следует отнести:

улучшение качества товаров и услуг, повышение их конкурентоспособности на отечественном и мировом рынках;

освоение производства новых товаров, позволяющих удовлетворить ранее неудовлетворенные потребности или создавать возможность для их удовлетворения наилучшим образом;

углубление специализации и кооперирования производства с учетом территориальных преимуществ страны в системе международного разделения труда;

преодоление Х-неэффективности за счет повышения управленческого мастерства и использования эффективных мотиваций для стимулирования роста производительности труда внутри фирм;

улучшение аллокации производственных ресурсов по отраслям и регионам страны.

Понятие "качество экономического роста" в экономической теории связывается с усилением его социальной направленности. Основными составляющими качества экономического роста являются [9, с.286]:

улучшение материального благосостояния населения;

увеличение свободного времени как основы гармоничного развития личности; повышение уровня развития отраслей социальной инфраструктуры;

рост инвестиций в человеческий капитал;

обеспечение безопасности условий труда и жизни людей;

социальная защищенность безработных и нетрудоспособных;

поддержание полной занятости в условиях растущего объема предложения на рынке труда.

Следует отметить, что между темпами экономического роста, с одной стороны, и повышением качества - с другой, существует определенное противоречие. Высокие темпы могут достигаться за счет ухудшения качества роста. Многие экономисты считают, что наиболее предпочтительны невысокие (2-3 % в год), но устойчивые темпы экономического роста.

Вместе с тем в условиях глубокого экономического спада, высокой Х-неэффективности, выражаемой в низкой производительности труда и широком распространении немаксимизирующего поведения фирм, для обеспечения эффективного развития страны наиболее предпочтительным может оказаться максимальный экономический рост.

Экономический рост, означающий реальное приращение объемов созданных благ и услуг, свидетельствует о поступательном движении экономики, о ее прогрессе и развитии.

Сущность реального экономического роста состоит в разрешении и воспроизведении на новом уровне основного противоречия экономики: между ограниченностью производственных ресурсов и безграничностью общественных потребностей. Разрешаться это противоречие может двумя основными способами: во-первых, за счет увеличения производственных возможностей, во-вторых, за счет наиболее эффективного использования имеющихся производственных возможностей и развития общественных потребностей. Однако на этом процесс не завершается: на каждом новом этапе развития при расширении производственных возможностей опять не все общественные потребности удовлетворяются. Общественные потребности всегда первичны по отношению к производственным ресурсам, хотя возникают они только тогда, когда производство продуктов, удовлетворяющих эти потребности, уже освоено либо производителями данной страны, либо поставщиками импортируемой продукции. Это объясняется тем, что возникшая потребность постепенно превращается в массовую, что предполагает непрерывное развитие производства [16, с.22].

Развитие производственных возможностей обусловливается не только количественным ростом общественных потребностей, но и изменением их структуры, повышением в структуре потребительских предпочтений доли одних потребностей и уменьшением доли других.

Долгое время потребность в экономическом росте рассматривалась как нечто само собой разумеющееся. Однако в последние годы выдвинут ряд аргументов, в соответствии с которыми дальнейший экономический рост в промышленно развитых странах не может считаться безоговорочно принимаемой целью.

Представители данного направления прежде всего отмечают возрастающее отрицательное воздействие экономического роста на состояние окружающей среды, поэтому считают целесообразным его сознательное сдерживание в ряде случаев.

Согласно утверждениям противников экономического роста, многие социальные проблемы современности (например, бедность) не могут быть решены путем дальнейшего наращивания производственного потенциала. Последний уже достаточно велик для обеспечения всеобщего благосостояния, основная задача сводится лишь к нахождению такого способа распределения произведенного продукта, который привел бы к удовлетворению социальных запросов общества.

Кроме того, подчеркивается, что материальное благосостояние не может являться главной (тем более - единственной) целью экономического развития. Стоит задуматься над тем, в чем истинные потребности человека и не приводит ли экономический рост к утрате многих человеческих ценностей.

Несмотря на многие рациональные аргументы, позицию противников экономического роста как "самоцели" нельзя считать вполне убедительной, поскольку в некоторых странах существуют более острые проблемы, нежели те, на которые указывают приверженцы данной точки зрения.

1.2 Факторы экономического роста и его типы


Один из крупнейших представителей классической политэкономии Ж. - Б. Сэй ввел в оборот понятие "факторы производства". К ним относятся труд, земля и капитал, принимающие участие в производстве продукции.

Современная экономическая наука расширила число производственных факторов, лежащих в основе экономического роста. В настоящее время к таким факторам относят [2, с.262]:

природные ресурсы - прежде всего сырьевые, включающие как первичные предметы труда, так и сельскохозяйственные угодья. Природа участвует в воспроизводственном процессе как фактор воспроизводства, поскольку является не только источником сырьевых ресурсов, но и средой обитания человека. Обладание минеральными, земельными, лесными, водными и другими ресурсами благоприятствует экономическому росту. Однако их наличие создает только потенциал, но не гарантирует высокого уровня экономического развития;

трудовые ресурсы - трудовой потенциал общества. Он характеризуется, с одной стороны, количественными параметрами, а с другой - качеством рабочей силы. При этом следует указать на необходимость рационального использования трудовых ресурсов. Наличие безработных или дипломированных специалистов, занятых на вспомогательных работах и не по специальности, низкая дисциплина труда и т.п. свидетельствуют о неэффективном использовании важнейшего ресурса экономического развития общества;

капитал как экономический ресурс объединяет все основные и оборотные средства: станки, оборудование, транспорт, промышленные здания и сооружения, производственную инфраструктуру;

предпринимательские способности предполагают наличие у человека, занимающегося предпринимательской деятельностью, таких черт, как способность принимать решения и брать на себя ответственность, склонность к новаторству и риску. По мнению специалистов, предпринимательскими способностями обладает лишь незначительная часть населения. Предпринимательская инициативность и новаторство при поддержке государства способствуют эффективному функционированию современной рыночной экономики и экономическому росту;

научно-технический прогресс - процесс создания и внедрения в производство новой техники и прогрессивных технологий. Он выступает важнейшим фактором экономии общественного труда и условием экономического роста при любых социально-экономических системах.

Все эти факторы взаимосвязаны и оказывают комплексное воздействие на экономический рост.

В зависимости от способа воздействия на экономический рост выделяют прямые и косвенные факторы [11, с.226].

К прямым относятся факторы, которые непосредственно определяют физическую способность к экономическому росту (увеличение численности и повышение качества трудовых ресурсов; рост и изменение структуры основного капитала; улучшение технологии и организации производства; увеличение количества и качества вовлекаемых в хозяйственный оборот природных ресурсов).

Косвенные факторы оказывают влияние на реализацию потенциала, заложенного в прямых факторах (наличие конкурентной среды; уменьшение цен на производственные ресурсы; снижение налогов; улучшение условий получения кредита и др.).

Факторы экономического роста могут быть также подразделены на внешние и внутренние. Например, капитал может быть представлен иностранным (поступающим в страну извне) и национальным, т.е. мобилизуемым внутри страны.

Существует множество классификаций факторов экономического роста (экстенсивные и интенсивные; структурные; организационные; экономические; социальные; объективные и субъективные; материальные и нематериальные и др.). Однако наиболее часто факторы экономического роста подразделяются на следующие группы:

предложения (наличие природных и трудовых ресурсов, наличие основного капитала, уровень технологий и т.д.);

спроса (уровень цен; потребительские расходы; инвестиционные расходы; государственные расходы; чистый объем экспорта и др.);

распределения (рациональность и полнота вовлечения ресурсов в хозяйственный оборот; эффективность утилизации вовлекаемых в экономический оборот ресурсов).

Факторы экономического роста взаимосвязаны между собой. Например, труд будет более производителен, если работник использует современное оборудование и материалы под руководством высококвалифицированного менеджера. Поэтому точно определить долю того или иного фактора экономического роста достаточно сложно. Более того, все факторы экономического роста являются комплексными, состоят из ряда более мелких элементов, вследствие чего их можно перегруппировывать.

В зависимости от конкретных условий взаимодействия факторов различают экстенсивный и интенсивный типы экономического роста.

Экстенсивный экономический рост обеспечивает увеличение валового продукта за счет количественного увеличения факторов производства (во влечение в производство дополнительных природных, трудовых, инвестиционных ресурсов) без изменения технической базы производства и производительности труда в обществе.

Интенсивный экономический рост основан на повышении производительности труда, совершенствовании технологии производства, росте качества факторов производства. Таким образом, интенсивный тип экономического роста осуществляется не за счет увеличения объемов затрат ресурсов, а за счет роста их отдачи.

Факторами спроса называются те из них, которые повышают совокупный спрос общества: доходы, склонность населения к потреблению и сбережению, бюджетно-налоговую политику государства.

Факторы предложения - это природные ресурсы, количество и качество трудовых ресурсов, наличие основного капитала, уровень техники и технологии и т.д.

Факторы распределения - это рациональность и полнота вовлечения в процесс производства природных, трудовых и финансовых ресурсов страны, что находит отражение в прогрессивной структуре производства в стране.

Еще один фактор, оказывающий влияние на экономический рост, называется нормой сбережений. Инвестиции, финансируемые за счет сбережений, способствуют экономическому росту. Увеличение нормы сбережений повышает темпы роста выпуска в краткосрочной перспективе. В долгосрочной перспективе ее увеличение повышает уровень дохода на душу населения при постоянных темпах роста выпуска.

Ведущим фактором экономического роста в современных условиях являются знания, особенно технологические. Американский экономист Э. Денисон классифицировал экономический рост по 23 производственным факторам. Из них 4 фактора относятся к труду, 4 - к капиталу, 1 - к земле, а остальные 14 факторов характеризуют различные элементы НТП. По мнению ученого, экономический рост в современных условиях определяется не столько количеством затраченных факторов производства, сколько повышением их качества, прежде всего качества рабочей силы. Проанализировав источники экономического роста в США за период с 1929 по 1982 г., Денисон пришел к выводу, что образование является определяющим фактором роста объема выпуска на одного работающего. Таким образом, технический прогресс не только способствует интенсификации экономического роста, о чем говорилось выше, но и рассматривается как реализация в процессе проведения научно-исследовательских и опытно-конструкторских разработок (НИОКР) накопленных знаний, навыков, приемов, технической информации и других инноваций [5, с.108].

Немаловажное значение имеют социально-политические факторы: стабильные высокие темпы экономического роста достижимы прежде всего в условиях мира и социальной стабильности в стране.

На экономический рост большое влияние оказывает экономическая политика государства, которая либо стимулирует, либо тормозит его. Важное значение имеет степень открытости экономики, ее участие в мировом хозяйстве, особенно в международном разделении труда и в экономической интеграции.

1.3 Теоретические модели экономического роста


1.3.1 Неокейнсианские модели (Домара, Харрода)

Кейнс утверждал, что стихийный механизм капиталистического хозяйства, не обеспечивая равновесия между спросом и предложением, ведет к безработице, неустойчивости экономического развития. Он и его последователи боролись за государственное регулирование факторов, воздействующих на эффективный спрос, что и обеспечивает устойчивость экономики.

В числе последователей Кейнса - такие представители неокейнсианства, как Рой Харрод, Николас Калдор, Евсей Домар, Элвин Хансен, Джоан Робинсон. Не только опираясь на теорию Кейнса, но и критикуя ее за статичность, т.е. ориентацию на количественные зависимости простого воспроизводства, они концентрируют внимание на динамике, т.е. количественных зависимостях расширенного воспроизводства.

Неокейнсианство исследовало проблемы динамики эффективного спроса, использование инвестиций, понятие мультипликатора. Другие же аспекты теории Кейнса, относящиеся к денежной сфере (динамика денежной массы, норма процента, цены), были признаны несущественными и в моделях экономического роста и цикла почти никакой роли не играли.

Определяющим фактором экономического роста и его темпов, по мнению неокейнсианцев, является рост инвестиций. Инвестиции в рассматриваемой модели экономического роста играют важную роль: с одной стороны, они способствуют росту национального дохода, с другой - увеличивают производственные мощности. В свою очередь, рост дохода способствует увеличению занятости.

Большую роль в формировании неокейнсианства и в создании теорий макроэкономической динамики и роста сыграли английский ученый Рой Форбс Харрод (1990 - 1978) и американец польского происхождения Евсей Дэвид Домар (1914 - 1997). Они независимо друг от друга создали модели экономической динамики и роста, которые в силу своей методологической родства и одинаковым выводам принято объединять в единую модель - модель Харрода-Домара.

Методология Г. Харрода и О. Домара была близка к методологии Дж.М. Кейнса. Она предусматривала: исследования агрегированных макроэкономических показателей (совокупный спрос, совокупный доход, совокупные сбережения, совокупные инвестиции); понимание приоритетности проблемы обеспечения эффективного совокупного спроса; признание неспособности зрелой рыночной экономики к саморегулированию и обоснование необходимости государственного регулирования. И последователи Кейнса пошли дальше своего учителя и поставили себе цель исследовать факторы, обеспечивающие динамическое равновесие рыночной экономики и экономический рост [11, с.227].

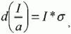
Модель Г. Харрода доказывает, что темпы экономического роста зависят от доли накопления (сбережения) в национальном доходе и соответственно - величины капиталовложений (инвестиций). Для того, чтобы в экономике постоянно имело место динамическое равновесие, полное использование имеющихся ресурсов и поступательное, без резких колебаний развитие, необходимо поддерживать соответствующие темпы экономического роста. Необходимым условием последнего является постоянное и систематическое государственное регулирование экономики.

Модель Г. Харрода исходит из равенства инвестиций и сбережений (частных и корпоративных), а также с наличия эффекта акселератора (ускорителя). Действие последнего заключается в том, что рост дохода порождает значительно большие объемы инвестиций. Акселератор можно изобразить следующим образом:

 (1)

где а - акселератор;t - новые инвестиции за данный период;t - доход за данный период;t-1 - доход за предыдущий период.

Внедрение в практику экономических исследований рядом с мультипликатором принципа акселератора стало существенным развитием кейнсианства. Впервые идею взаимодействия мультипликатора и акселератора предложил в 1939 г.П. Самуэльсон.

Также Г. Харрод разделил всю экономику на два сектора: сектор, где производятся потребительские блага и сектор, где производятся инвестиционные блага.

В целом модель Харрода включает в себя систему из трех уравнений:

 (2)

где g - фактический темп экономического роста (grows - рост),w - гарантированный темп экономического роста (warranted-гарантированный),n - естественный темп экономического роста (natural - естественный),- капитальный коэффициент, или коэффициент капиталоемкости (отражает инвестиционную цену прироста дохода),r - необходимый коэффициент капиталоемкости,- доля сбережений в национальном доходе, или склонность к сбережению.

Фактический темп экономического роста (g) - отражает реальное состояние дел. Приведенные коэффициенты в уравнении можно описать следующим образом [11, с.228]:

 (3)

Подставив их значение в уравнение фактических темпов экономического роста, можно получить базовое кейнсианское тождество:

 (4)

Но, если у Дж. Кейнса эта тождественность является статическим, то в Г. Харрода - динамичной: левая часть уравнения (g*c) представляет собой накапливаемую часть прироста продукции, идущей на производственные цели. Эта часть должна обеспечиваться соответствующей долей сбережений (s).

Гарантированный темп роста (gw) - это тот темп роста, что представляет собой прогнозируемую линию развития, на которую настраиваются предприниматели. Гарантированный темп роста предусматривает полное использование имеющегося капитала, технических усовершенствований и выражает равновесие непрерывного поступательного развития. Именно поэтому он является линией динамического равновесия.

Если левая часть уравнения (s) относится к прошлому периоду, то правая (gw*cr) - к будущему. cr - выражает потребность в новом капитале, поделенную на прирост выпуска продукции и поэтому называется необходимым коэффициентом капиталоемкости.

Поскольку склонность к сбережению является относительно постоянной за определенный период времени величиной, то Г. Харрод делает вывод, что гарантированный темп экономического роста имеет также соответствующий постоянный уровень. Постоянную величину имеет, по мнению Г. Харрода, и необходимый коэффициент капиталоемкости. При этом он исходил из нейтрального характера научно-технического прогресса.

Г. Харрод утверждал что капиталосберегающий эффект научно-технического прогресса в инвестиционном секторе производства компенсируется трудосберегающим в секторе, где производятся потребительские блага. Но, если две величины уравнения являются постоянными, то есть устоявшаяся и третья.

Если бы фактический уровень экономического роста совпадал бы с гарантированным, то развитая рыночная экономика демонстрировала бы устойчивый непрерывный рост. И к сожалению на практике устойчивость отсутствует, причем не только в краткосрочном (статической) но и в долгосрочном (динамическом) периоде. Г. Харрод утверждает, что фактический уровень темпа экономического роста совпадает с гарантированным только в очень редких случаях. При этом несовпадения в сторону превышения (g > gw), или же противоположную сторону - (g < gw) приводит только к усилению отклонение фактической линии развития от желаемой. Это отклонение происходит или в сторону экономического бума, что сопровождается значительной инфляцией, или в сторону экономического спада и неминуемой депрессии и массовой безработицы. Такое поведение экономики является результатом сочетания эффекта мультипликатора и акселератора.

Отклонение фактического темпа экономического роста от гарантированного объясняет в основном краткосрочные циклические колебания. Природу долгосрочных колебаний помогает понять естественный темп экономического роста. Если гарантированный темп при условии полной загруженности имеющегося капитала все же предполагает наличие вынужденной безработицы, то естественный темп экономического роста не допускает его.

Несовпадения фактических, гарантированных и природных темпов экономического роста порождает долгосрочные циклические колебания. По мнению Г. Харрода рыночная экономика не имеет внутренних механизмов преодоления экономической нестабильности. Это под силу сделать только целенаправленному государственному регулированию, которое призвано обеспечить условия устойчивого экономического роста, долговременной динамического равновесия.

Программа практических мер государственной политики по поддержке устойчивого экономического роста в Г. Харрода включала две группы [11, с.230]:

) государственное краткосрочное антициклическое регулирование - приведение в соответствие фактического и гарантированного темпов экономического роста;

) политика долгосрочного стимулирования экономического развития - приближение гарантированных темпов экономического роста в природных и предупреждение массовой безработицы.

Модель Г. Харрода отражает принципиальное различие между неокласическими и кейнсианскими взглядами на место и роль сбережений в экономике. Причем, если Кейнс относился к сбережениям в целом негативно, видя в них один из факторов депрессии, то позиция Г. Харрода является более взвешенной. Сбережения очень желательны до тех пор, пока gw < gn, но когда gw > gn они начинают играть уже разрушительную роль, и поэтому не желанными.

Позиция Г. Харрода отличается от позиции Дж. Кейнса еще и тем, что он обращает внимание на опасность инфляционного бума, в то время когда Кейнс в условиях депрессивной экономики фактически игнорировал наличие данной проблемы.

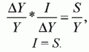
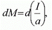
В отличие от модели Г. Харрода, что выходила из равенства сбережений и инвестиций и базировалась на применении принципа акселератора, модель А. Домара строится на принципе мультипликатора и определяет норму прироста инвестиций, которая обеспечивает необходимый прирост национального дохода.

О. Домар дополнил взгляды Дж. Кейнса на роль инвестиций тем, что выдвинул идею о двойной функции инвестиций. Инвестиции не только является фактором роста дохода, они также связаны с созданием дополнительных производственных мощностей. Поэтому для поддержания устойчивых темпов экономического роста необходимо, чтобы темпы прироста дохода (т.е. спроса) соответствовали темпам прироста производственных мощностей (предложения). Динамическая сбалансированность совокупного спроса и совокупного предложения, по мнению А. Домара, определяется динамикой инвестиций, которые образуют новые мощности и новые доходы. Соответственно, задача - определить объемы и динамику инвестиций.

Модель А. Домара состоит из системы трех уравнений.

Уравнение предложения [11, с.230]:

= I*σ, (5)

где dX - прирост производства;- объем инвестиций;

σ - средняя производительность инвестиций.

Уравнение спроса:

 (6)

где dM - прирост спроса;- объем инвестиций;

а - средняя склонность к сбережениям, обратная величина которого определяет величину мультипликатора.

Отсюда вытекает общее уравнение макроэкономического равновесия:

 (7)

то есть равенство между приростом дохода и приростом производства. Исходя из данного уравнения можно получить необходимую норму прироста инвестиций.

 (8)

В целом же годовой прирост инвестиций, что обеспечивает определенный прирост предложения товаров, должен соответствовать тому объему инвестиций, которые в состоянии обеспечить прирост спроса для покрытия данного прироста предложения. Соответственно существует равновесный темп прироста, за которого гарантировано полное использование существующих в каждом периоде производственных мощностей. Равновесный темп прироста тем выше, чем больше норма сбережений и чем ниже капиталоемкость продукции.

О. Домар в своей модели динамического равновесия, в отличие от Г. Харрода, стремится учесть постоянные изменения емкости рынка. Но так же как и Г. Харрод подчеркивает, что динамическое равновесие является неустойчивой и поэтому необходимо государственное регулирование экономического роста.

Модель экономического роста Харрода-Домара основана на двух предпосылках. Первая предпосылка - рост национального дохода - определяется только одним фактором - нормой накопления капитала. Все остальные факторы - увеличение занятости, степень использования оборудования, улучшения в организации производства, которые отражаются на росте капиталоотдачи, - исключаются. Поэтому спрос на капитал при данной капиталоемкости определяется только темпом роста национального дохода. Вторая предпосылка - капиталоемкость - не зависит от прибыли и заработной платы, а определяется техническими условиями производства, имеющими тенденцию сохранять ее неизменной [2, с.263].

Связь между долей инвестиций в национальном доходе и капиталоемкостью строится на основе равенства сбережений и инвестиций. Причем сбережения характеризуют предложение фондов для инвестирования. А величина инвестиций определяется спросом на эти фонды. Полагая, что предложение сбережений является устойчивой функцией потребления, а спрос на инвестиции зависит от темпов роста национального дохода и величины капиталоемкости, Харрод, в частности, предложил формулу, характеризующую равенство сбережений и инвестиций:

S=CxG, (9)

где S - доля сбережений в национальном доходе;

С - капиталоемкость;

G - темп роста национального дохода.

Из этой формулы выводится условие динамического равновесия:

G = S: С, (10)

где G - темп роста национального дохода;

S - сбережения, которые в долгосрочном периоде постоянны вследствие устойчивости функции потребления;

С - требуемая капиталоемкость.

И Домар, и Харрод пришли к выводу, что условием динамического равновесия при постоянной норме накопления и постоянной капиталоемкости является устойчивый темп роста национального дохода. Этот темп роста Харрод назвал гарантированным. Отклонение от гарантированного темпа роста порождает, по мнению Харрода, кумулятивные причины, побуждающие фактический темп роста отклоняться от линии равновесия. О трудностях поддержания условий динамического равновесия писал и Домар [2, с.263].

1.3.2 Неоклассические модели (Кобба-Дугласа, Солоу)

Неоклассические модели экономического роста строятся на базе производственной функции и основаны на предпосылках полной занятости, гибкости цен на всех рынках, а также полной взаимозаменяемости факторов производства.

Большинство неоклассических моделей экономического роста исходит из того, что увеличение реального объема выпуска происходит прежде всего под влиянием роста основных факторов производства: труда (L) и капитала (К). Модель американских ученых Ч. Кобба и П. Дугласа, разработанная ими в 20-е гг. XX в. и получившая название производственной функции, показывает взаимодействие и взаимозаменяемость труда и капитала: насколько продукт обязан своим созданием тому или иному фактору, при какой их комбинации может быть достигнут максимум продукции при наименьших затратах. Она выражается уравнением [16, с.58]:

Q=f (K,L), (11)

где Q - объем производства;

f - функция;

К - размер капитала;

L - затраты труда (в стоимостном выражении).

Один и тот же объем прироста национального продукта может быть получен в результате либо увеличения капиталовложений, либо расширения использования труда. Поэтому на основе производственных функций осуществляется выбор требуемой в данных конкретных условиях технологической комбинации данных факторов производства.

В многочисленных исследованиях других экономистов модель Кобба-Дугласа была модифицирована вводом других факторов роста: возврата основного капитала, масштаба производства, квалификации работников, продолжительности рабочего времени и др.Я. Тинберген (1903-1994), нидерландский ученый, лауреат Нобелевской премии, рассмотрел производственную функцию с учетом фактора времени. В конечном итоге она приняла следующий вид [11, с.232]:

Y=AKα Lβ, (12)

где L - труд;

К - капитал;

А - коэффициент, отражающий уровень технологической производительности, и в краткосрочном периоде он не изменяется;

α и β - коэффициенты эластичности объема выпуска (Y) по фактору производства: α - по капиталу, β - по труду. α изменяется в пределах от0 до 1, а β=1-α.

Если цена товара равна предельному продукту капитала, а цена равна предельному продукту труда, то параметры α и β определяют пропорцию, в которой труд и капитал получают свое вознаграждение за созданный продукт. Следовательно происходит постоянная отдача от масштаба.

Свойства производственной функции Кобба-Дугласа.

) Постоянство отдачи от масштаба - F (nK, nL) = nAKα Lβ, показывает, что если количество капитала и труда увеличится в n раз, то объем совокупного выпуска, или объем дохода, возрастет в такое же количество раз.

) Изменение предельной производительности факторов - означает, что нарушение пропорции между трудом и капиталом при заданной технологии производства к отклонению от оптимального объема совокупного выпуска, т.е. к неэффективности производства.

) Постоянство отношения дохода от труда к доходу капитала, т.е. постоянство соотношений долей капитала и труда в национальном продукте.

Модель Солоу - более совершенная и динамическая модель экономического роста. Достоинством данной модели является то, что она учитывает взаимодействие спроса и предложения в их влиянии на накопление капитала.

Р. Солоу показал, что нестабильность динамического равновесия в кейнсианских моделях была следствием невзаимозаменяемости факторов производства. Особенностью этой модели является то, что она демонстрирует устойчивость экономического роста, т.е. способность экономической системы возвращаться к траектории сбалансированного развития при помощи внутренних рыночных механизмов саморегулирования. В своей модели он использовал производственную функцию Кобба-Дугласа, в которой труд и капитал являются субститутами. Другими предпосылками анализа в модели Солоу являются:

) Капиталовооруженность - является меняющимся соотношением в зависимости от макроэкономической конъюнктуры.

) Гибкие цены.

) Темп роста трудовых ресурсов равен темпу роста населения.

) Первоначально при построении модели предполагалось, что темпы роста населения не меняются, а технический прогресс отсутствует.

) Такие переменные, как норма сбережения, норма амортизации, рост населения, технический прогресс являются экзогенно заданными.

Необходимым условием равновесия экономической системы является равенство совокупного спроса и предложения. Предложение описывается производственной функцией с постоянной отдачей от масштаба:

=F (K,L). (13)

Исходя из этой функции, получаем производственную функцию для одного работника:

=f (k), (14)

где k=K/L - уровень капиталовооруженности единицы труда, или одного работника.

Доход (y=Y/L) предстает кА функция одного фактора - капиталовооруженности. По мере увеличения количества капитала на одного работника, предельная производительность этого фактора уменьшается, что и вызывает замедление роста функции дохода.

В модели Солоу сбережения представляют собой часть единичного дохода. Все сбережения в экономике полностью инвестируются, и это позволяет приравнять функцию фактических инвестиций на одного работника (i) к единичной функции сбережения:

=sy=sf (k). (15)

Исходя из функции Y=C+I, выпуск в расчете на одного занятого можно записать в виде:

y=c+i, (16), где i=Y/L, c=C/L, i=I/L,

Функцию потребления представить как:

=y-i=f (k) - sf (k), (17)

По условию модели, экономика изначально находится в состоянии устойчивого равновесия, т.е. планируемые, или требуемые инвестиции равны фактически осуществленным инвестициям, т.е. сбережениям. В модели Солоу оно описывается, как устойчивое, или стационарное состояние экономики, при котором объем капитала на одного работника постоянен. Таким образом, требуемые инвестиции в расчете на одного работника можно записать в виде следующего равенства [11, с.234]:

=nk. (18)

Для описания чистого прироста капитала, нужно учитывать выбытие капитала, или амортизацию. Растущего капитала должно быть достаточно для оснащения новыми капитальными благами дополнительной рабочей силы и для пополнения выбывающего капитала. Требуемые инвестиции в расчете на одного работника будут записываться в виде равенства:

= (n+δ), (19)

где

δ - норма амортизации. Условия накопления капитала с учетом постоянного темпа роста населения и постоянного роста выбытия выражается в следующей функции:

= sf (k) - (n+ δ) k. (20)

В ходе производства ежегодно пополняются капитальные запасы. Однако прирост фактических инвестиций идет затухающими темпами из-за снижения предельной производительности капитала, происходящим по мере увеличения капиталовлаженности одного работника.

Когда k=0, тогда производство, сбережения и требуемые инвестиции достигают определенного устойчивого уровня, т.е. экономика достигает состояния равновесия. Такой уровень капиталовложенности называется устойчивым уровнем капиталовложенности (k*) и характеризует состояние равновесия экономики.

(k*) - (n+ δ) k*=0 (21) или sf (k*) = (n+ δ) k*. (22)

Если сбережения превышают уровень требуемых инвестиций, тогда предложение капитала превышает спрос на него, т.е. объем капитала избыточный. Такое динамическое равновесие оказывается устойчивым, поскольку изменение относительных цен на факторы производства будут "подталкивать" экономику к состоянию устойчивой капиталовооруженности k*.

Когда инвестиции превышают сбережения, тогда возникает дефицит капитала и начнется повышение цен (рисунок 1).

Рисунок 1 - Модель экономического роста Солоу

Луч пк указывает, сколько должен сэкономить среднестатистический работник на каждой единицы интенсивности капитала, чтобы обеспечить своих детей готовым капиталом. Кривая sf (k) показывает, сколько накоплений он экономит на каждой единицы интенсивности капитала. Изменение интенсивности капитала измеряется вертикальной линией между этими двумя кривыми. Если экономика находится в точке к1 эта смена положительная, поэтому экономика движется справа к дальнейшему к. Если экономика - в точке к2, изменение негативная, экономика движется слева. В обоих случаях экономика будет сводиться к точке к*, которая отражает путь сбалансированного роста. Этот путь стабильный.

Налогово-бюджетная и кредитно-денежная политика государства, а также институциональные и психологические факторы могут повлиять на уровень k* через воздействие на норму сбережения или на норму амортизации, от величины которой зависит скорость обновления капитала.

Если увеличивается темп роста населения, то объем накопленного капитала распределится на большее количество занятых, и уровень устойчивой капиталовооруженности и выпуск на душу населения уменьшится.

Увеличение нормы сбережений в силу различных причин приведет к повышению равновесного уровня капиталовооруженности и ведет к большему объему накопления капитала и к более высокому уровню выпуска на душу населения.

Солоу считал, что увеличение нормы сбережений лишь в краткосрочном периоде увеличивает темп роста выпуска. Уровень капиталовооруженности может увеличиваться только в том случае, когда запас капитала растет более высоким темпом, чем предложение труда и выбытия капитала. Но увеличение нормы сбережения не влияет на долгосрочный темп роста выпуска, а только увеличивает уровень капиталовооруженности и объем подушевого дохода в долгосрочном плане.

Таким образом, в модели Солоу объем производства обуславливается инвестициями и потреблением. Предполагается, что экономика носит закрытый от мирового рынка характер и отечественные инвестиции равны национальным сбережениям, или объему валового накопления [16, с.61].

Динамика объема выпуска в данном случае зависит от фондоворуженности, изменяющейся под воздействием выбытия основного капитала или инвестиций.

В свою очередь инвестиции зависят от нормы валового накопления, которая является относительной величиной и исчисляется как отношение валового накопления к созданному продукту. Норма накопления определяет деление продукта на инвестиции, сбережения и потребление. С ростом нормы накопления (сбережения) инвестиции увеличиваются, превышая выбытие. При этом возрастают производственные фонды. В краткосрочной перспективе ускорение экономического роста зависит от нормы накопления.

В дальнейшем, развивая свою модель, Солоу ввел новые факторы, которые наряду с инвестициями и выбытием влияют на фондовооруженность: рост численности рабочей силы и технический прогресс. Считается, что технологические изменения являются трудосберегающими, способствующими повышению квалификации, развитию профессиональных навыков, повышению образовательного уровня работников.

Исследовав модель Солоу, мы пришли к следующему выводу: выпуск в расчете на единицу эффективного труда в стационарном состоянии остается неизменным.

2. Особенности экономического роста в Республике Беларусь


Экономический рост входит в число основных целей общества. В этом качестве он предполагает повышение материального благосостояния населения и поддержание национальной безопасности. Одновременно экономический рост является средством достижения этих целей, т.е. проявляется как механизм, обеспечивающий действие закона возрастания потребностей.

Повышение материального благосостояния как главная цель экономического роста характеризуется следующими показателями [9, с.302]:

-             увеличение среднедушевых доходов населения;

-             увеличение свободного времени;

-             улучшение распределения национального дохода среди различных слоев населения;

-             улучшение качества и рост разнообразия выпускаемых товаров и услуг.

Современная белорусская экономика находится в стадии становления рыночных отношений. При этом налицо и спады производства, и инфляция, и кризис инвестиций. Характер всех этих процессов отражает в большей степени последствия развала административно-командной системы, нежели механизм рыночной экономики, который находится в стадии формирования и становления.

Для становления независимой Беларуси был характерен стагфляционный цикл, характеризующийся инфляцией, безработицей, спадом производства, в настоящее время экономика Беларуси более успешно развивается.

В начале проанализируем динамику роста экономики страны, как показано в таблице 1 [7].

Таблица 1 - Динамика роста экономики Республики Беларусь за 1991-2011 гг.

Годы

Темпы роста к предыдущему году, %


ВВП

промышленность

сельское хозяйство

инвестиции в основной капитал

1

2

3

4

5

1991

98,8

99,0

95,1

104,1

1992

90,4

90,8

91,5

71,3

1993

92,4

90,6

103,7

85,5

1994

88,3

85,4

85,6

89,2

1995

89,6

88,3

95,3

69,3

1996

102,8

103,5

102,4

95,2

1997

111,4

118,8

95,1

119,7

1998

108,4

112,4

99,3

124,5

1999

103,4

110,3

91,7

92,0

2000

105,8

107,8

109,3

102,1

2001

104,7

105,9

101,8

96,5

2002

105,0

104,5

100,7

106,0

2003

107,0

107,1

106,6

120,8

2004

111,4

115,9

112,6

120,9

2005

109,4

110,5

101,7

120,0

2006

110,0

111,4

106,0

132,2

2007

108,6

108,7

104,4

116,2

2008

110,2

111,5

108,6

123,5

2009

100,2

98,0

101,3

104,7

2010

107,6

112,0

101,9

115,8

2011

105,3

109,1

106,6

113,3


Данные таблицы 1 показали, что в начале независимости государства отмечался значительный спад в экономике. Реальный рост валового внутреннего продукта отмечается только с 1996 г. Следует отметить, что с этого года экономика страны только росла, хотя темпы роста по годам менялись.

Наглядную картину динамики экономики рассмотрим на примере рисунка 1 [7].

Рисунок 1 - График динамики экономики Республики Беларусь за 1991-2011 гг.

На графике изменения основных показателей экономического роста из рисунка 1 видно, что показатели ВВП и продукции промышленности стабильно росли, начиная с 1996 г. (темпы роста более 100 % ежегодно). Для сельского хозяйства характерны меньшие темпы роста, а настоящий рост сельскохозяйственного производства начался только после 2000 г. Наибольшая амплитуда колебаний отмечается по показателю инвестиций в основной капитал. Если за период до 2000 г. темпы роста инвестиций были существенно ниже, чем ВВП, то после 2003 г. прирост инвестиций в основной капитал превышает прирост ВВП. Таким образом, одним из факторов стабильного роста экономики страны в 21 веке является опережающий рост инвестиций в экономику. Динамику экономики страны можно рассмотреть и в пятилетнем цикле. Тогда показатели роста экономики примут вид, как в таблице 2 [7].

Таблица 2 - Динамика экономики Республики Беларусь по пятилетним периодам за 1991-2010 гг., темпы прироста в %

Показатель

1991-1995 гг.

2001-2005 гг.

2006-2010 гг.

ВВП

-8,2

6,3

7,5

7,3

Промышленность

-9,3

10,5

8,7

8,2

Сельское хозяйство

-4,3

-3,5

2,5

5,4

Инвестиции в основной капитал

-12,8

7,0

12,4

18,1


По пятилетнему циклу видна картина общего спада экономики в 1991-1995 гг. и ее подъем в последующие периоды. Для наглядности динамику прироста экономики в среднем по пятилетнему периоду отразим на рисунке 2.

Рисунок 2 - Динамика прироста экономики Республики Беларусь в среднем за пятилетие за период с 1991 до 2010 гг.

Из рисунка 2 видны следующие тенденции:

во-первых, после значительного прироста промышленности и всего ВВП в 1996-2000 гг. в дальнейшем отмечается снижение среднегодовых темпов прироста этих показателей. Причем уровень роста промышленности стабильно превышает уровень роста других отраслей и всей экономики в целом;

во-вторых, изменения в динамике роста сельского хозяйства более плавные, чем промышленности, отмечается увеличение темпов прироста этой отрасли еще с 90-х годов;

в-третьих, значительно возросли темпы прироста инвестиций в основной капитал, которые в 2006-2010 гг. значительно опередили темпы прироста промышленности, сельского хозяйства и ВВП в целом.

Рассмотрим изменение показателей бюджетно-налоговой политики государства относительно темпов роста ВВП страны.

Исходя из основных факторов долгосрочного экономического роста: эффективность использования существующих ресурсов и технологий, накопление ресурсов во времени, технологический прогресс - логично рассмотреть, как фискальная политика, включающая налоговую политику, политику расходов и общую бюджетную политику, воздействует на основные факторы роста.

Фискальная политика оказывает влияние на рост выпуска в долгосрочном периоде. Она включает следующие компоненты:

) Политика налогов. Степень влияния на экономический рост налоговой политики зависит от существующих производственных технологий [8, с.283].

Большое значение имеет структура налогообложения. При одном и том же уровне налогов переключение налогообложения с доходов на потребление делает более привлекательными сбережения и вызывает бум накопления капитала.

Предоставление налоговых льгот сомнительно улучшает рост, за исключением целевых льгот.

) Политика расходов. Любой уровень государственных расходов предполагает поглощение реальных ресурсов, которые в противном случае могли бы быть доступными частному сектору. Чистый эффект вытеснения зависит от относительной предельной производительности государственного и частного секторов. Поскольку общепризнанно, что частный сектор (за исключением внешних эффектов и производства общественных благ) более производителен, то чем выше уровень госрасходов, тем выше неэффективность и ниже уровень выпуска. Для влияния на рост имеет значение темп изменения уровня госрасходов.

) Бюджетная политика. Результаты эмпирических исследований показывают негативную связь между ростом и госдефицитом. Если предположить, что финансирование дефицита деньгами невозможно, то в условиях динамической эффективности (если процентная ставка выше темпа роста, или, иначе говоря, не происходит перенакопления капитала) правительство должно быть платежеспособным для проведения программ, то есть все виды задолженности правительства должны постоянно устраняться и у правительства должны быть накоплены в приведенном к настоящему времени профициты бюджета.

Значение устойчивости политики для роста двояко. Если текущая политика несостоятельна, то либо должны быть пересмотрены (налоговый и/или расходный) режимы, либо должно возобновить финансирование деньгами. Первое приводит к неопределенности режима и замедлению роста. Финансирование деньгами ведет к инфляции, ставя вопросы о возможном влиянии инфляции на рост. Влияние инфляции на рост и в экзогенных, и в эндогенных моделях роста зависит от спецификации моделей.

Оценку влияния бюджетно-налоговой политики на экономический рост экономики страны покажем на примере данных таблицы 3 [7].

Таблица 3 - Динамика показателей бюджетно-налоговой политики и ВВП Республики Беларусь за 1996-2011 гг.

Годы

ВВП, %

Профицит (дефицит - (-)) бюджета, % к ВВП

Расходы бюджета, % к ВВП

Валовой внешний долг, млрд. долл. США

Темп роста реальной зарплаты, %

Индекс потребительских цен, %

1996

102,8

-1,9

28,3

1,9

107,1

139,3

1997

111,4

-2,2

32,9

2,1

111,2

163,1

1998

108,4

-1,4

35,5

2,4

124,4

281,7

1999

103,4

-2,9

37,8

2,2

103,4

351,2

2000

105,8

-0,6

35,4

2,1

112

207,5

2001

104,7

-1,6

35,1

3

129,6

146,1

2002

105

-0,2

33,2

3,9

107,9

134,8

2003

107

-1,6

35

4,2

103,2

125,4

2004

111,4

0,04

44,1

4,9

117,4

114,4

2005

109,4

-0,7

48,1

5,1

120,9

108

2006

110

1,4

47

6,8

117,3

106,6

2007

108,6

0,4

49

12,5

110

112,1

2008

110,2

1,4

49,2

15,2

109

113,3

2009

100,2

-0,7

46,4

22,1

100,1

110,1

2010

107,6

-2,6

32,5

28,5

115

109,9

2011

105,3

3,4

26,5

32,5

103

208,7


Данные таблицы 3 показали следующее:

профицит (дефицит) бюджета по отношению к ВВП не велик и за анализируемый период колебался от минус 2,9 % в 1999 г. до 3,4 % за 11 мес. 2011 г. При этом профицит бюджета обеспечен в 2004, 2006-2008 гг. и в 2011 г. Таким образом, в целях стимулирования экономики государство не увеличивало дефицит бюджета страны;

величина расходов консолидированного бюджета республики к ВВП весьма высока, причем этот уровень непрерывно рос с 1996 до 2008 гг. от 28,3 до 49,2 % от ВВП. После этого отмечается заметное снижение уровня централизации расходов в экономике в руках государства до 26,5 % в 2011 г. Тем не менее бюджетное финансирование экономики, особенно сельского хозяйства и инвестиций через различные государственные программы остается одной из важных задач государства;

начиная с 2000 г. в стране постепенно увеличивался валовой внешний долг, а начиная с 2007 г. рост этого показателя стал весьма заметным. Так прирост внешнего долга в 2007 г. составил 5,7 млрд. долл. США, в 2008 г. - 2,7 млрд. долл., в 2009 г. - 6,9 млрд. долл., в 2010 г. - 6,4 млрд. долл., в 2011 г. - 4,0 млрд. долл. Наличие такой тенденции показывает зависимость экономического роста в стране от уровня внешнего финансирования экономики, причем в последние годы эта зависимость только увеличилась;

еще одним фактором, обусловливающим рост внутреннего спроса как фактор обеспечения роста экономики, является увеличение денежных доходов населения и, в частности, реальной зарплаты. Темпы ее роста в ряде периодов оказались значительно выше темпов роста ВВП, что снижает эффективность экономики в части опережения величины зарплаты над величиной производительности труда;

рост экономики до недавнего времени сопровождался снижением инфляции потребительских цен и стабилизации ее уровня. Тем не менее, уровень инфляции в 2011 г. достиг 208,7 %. Причины данного факта будут рассмотрены ниже.

В общем следует отметить, что государство целенаправленно стимулировало увеличение внутреннего спроса в целях обеспечения поступательного роста экономики.

Влияние денежно-кредитной политики на цикличность развития экономики страны рассмотрим на примере данных таблицы 4 [3].

Таблица 4 - Динамика показателей денежно-кредитной политики и ВВП Республики Беларусь за 1996-2011 гг.

Годы

ВВП, %

Денежная масса, %

Ставка рефинансиро- вания, %

Норма обязательных резервов, %

Сальдо счета текущих операций, млн. долл. США

Темп снижения курса рубля к долл. США, %

1996

102,8

151,7

35

15

-516

118,3

1997

111,4

208,7

40

21

-859

178,6

1998

108,4

384,4

48

16

-1017

176,0

1999

103,4

234,7

120

16

-194

629,5

2000

105,8

316,3

80

16

-338

288,8

2001

104,7

229,6

48

16

-401

177,5

2002

105

150,7

38

16

-334

127,0

2003

107

156,3

28

10

-426

115,0

2004

111,4

144,1

17

10

-1193

104,3

2005

109,4

142,2

11

9

436

99,6

2006

110

139,3

10

8

-1448

99,5

2007

108,6

140

10

8

-3040

100,0

2008

110,2

126,3

12

7

-4988

99,5

2009

100,2

123,1

13,5

6

-6178

130,8

2010

107,6

131,9

10,5

6

-8317

106,6

2011

105,3

221,1

45

7,5

-2182

155,2


Данные таблицы 4 показали, что рост денежной массы значительно превысил рост национальной экономики. Следует отметить, что наибольший прирост денежной массы сопряжен с ростом инфляции в экономике. Способами регулирования денежной массы выступает ставка рефинансирования Национального банка и норма обязательных резервов. Из таблицы 4 очевидно, что рост ставки рефинансирования обусловлен увеличением количества денег в экономике, а размер ставки рефинансирования за анализируемый период колебался от 120 % в 1999 г. до 10 % в 2006-2007 гг. В 2011 г. отмечается рост ставки рефинансирования до 45 %.

Соответственно, уровень нормы обязательных резервов, начиная с 2007 г. последовательно снижался с 21 % до 6 % в 2010 г., а затем в 2011 г. вырос до 7,5 %.

Следует отметить, что рост экономики обеспечивался при постоянном отрицательном сальдо счета текущих операций (кроме 2005 г.). При этом с 2007 г. отмечается резкое ухудшение результатов внешней торговли, т.е. отрицательное сальдо счета текущих операций в 2008 г. составило почти 5 млрд. долл., за 2009 г. - уже 6,2 млрд. долл., а за 2010 г. - 8,3 млрд. долл. Резкая девальвация белорусского рубля в 2011 г. привела к снижению отрицательного сальдо в этом периоде до 2,2 млрд. долл. США.

Таким образом, проведенный анализ показал, что в экономике республики отмечается четкий цикл спада в период 1991 - 1995 гг., затем поступательный рост экономики.

Начиная с 1996 г. в Беларуси наблюдается устойчивый экономический рост.

На динамику роста валового внутреннего продукта активно влияют потребление домашних хозяйств и внешний спрос, менее заметно воздействие инвестиционного спроса.

Условия перехода к социально ориентированной рыночной экономике требуют создания новой модели экономического роста, учитывающей общемировые закономерности и национальные факторы развития. Такая модель должна обеспечить высокую экономическую эффективность, социальную направленность, восприимчивость к научно-техническому прогрессу, интегрированность в мировое хозяйство.

В переходный период предстоит преодолеть те негативные черты, которые были свойственны административно-командной системе. Прежде всего, необходим отказ от преимущественно экстенсивного типа экономического роста в пользу интенсивного, поскольку сохранение прежнего затратного характера производства приведет к истощению природных ресурсов, загрязнению окружающей среды, увеличению технологического отставания от развитых стран мира, обнищанию населения [5, с.109].

Следует стремиться к достижению не столько высоких темпов, сколько высокого качества экономического роста. Негативной чертой административно-командной системы, как известно, было не отсутствие последнего, а его низкое качество.

Актуальна проблема перевода экономики на рыночные условия хозяйствования, которые стимулировали бы инновационный процесс.

Следует отметить, что в 2008-2011 гг. в экономике наблюдаются тенденции, которые могут привести к спаду. К ним можно отнести следующие: рост отрицательного сальдо внешней торговли, резкая девальвация национальной денежной единицы, резкое увеличение широкой денежной массы и инфляции, рост внешнего долга экономики. На первом этапе эти меры могут привести к кратковременному росту ВВП, затем без мер структурной перестройки экономики, модернизации производственной сферы, ввода новых производственных мощностей добиться дальнейшего роста экономики будет сложно.

Составная часть национальной модели экономического роста - промышленная политика, основными приоритетами которой в переходный период являются [2, с.267]:

рост объемов производства в отраслях с быстрым оборотом капитала и высокой эффективностью использования производственных ресурсов;

развитие наукоемких отраслей с высокими технологиями;

расширение производства конкурентоспособной продукции;

энерго- и ресурсосбережение;

обеспечение занятости населения.

Для переходной экономики важное значение имеют повышение качества трудовых ресурсов и отечественного менеджмента, научных исследований, усиление связи науки с производством, обеспечение высокой скорости распространения технологических инноваций.

3. Проблемы и перспективы экономического роста в Беларуси


Для оптимизации экономического роста в отечественной экономике необходимы существенные инвестиционные вливания в производство, которые в условиях научно-технического прогресса и стихийного рыночного механизма функционирования экономики приобретут колебательные движения. Экономический цикл станет механизмом саморегулирования, а кризисы будут выполнять роль качественного структурного фактора обновления основного капитала.

Данные таблицы 2 показывают, что в последнее время для обеспечения устойчивых темпов экономического роста требуется еще более существенный рост инвестиций.

Чтобы увеличить экономический рост, Запад использует два различных варианта экономической политики государства:

) Сведение к минимуму созданных государством препятствий для экономического роста.

) Поощрение государством расходов на НИОКР с помощью соответствующего налогового режима.

В нашей стране, наоборот, уровень предприятий, так или иначе контролируемых государством, очень велик. К ним относятся практически все ключевые предприятия страны.

С другой стороны, правительство республики предпринимает шаги по снижении уровня налогообложения предприятий, активно реализующих инвестиционную или инновационную политику, ориентированных на экспорт продукции. К таким предприятиям относятся, например, резиденты СЭЗ, Парка высоких технологий.

Для Беларуси ключевой вопрос сегодня - не только сохранение, но и динамичное развитие образования. Прежде образование рассматривалось в качестве придатка государственной экономики, и не случайно его называли "кузницей кадров". Сегодня если мы создаем многоукладную экономику, то речь следует вести и о многоукладности в системе образования, что предлагает множественность организационных, финансовых форм и систем подготовки, переподготовки и повышения квалификации. Такой подход обуславливается не только рыночной идеологией, но и объективными причинами [10, с.344]:

-       сложностью экономической ситуации и снижением государственных расходов на образование;

-       разрушением накопленного ранее материально-технического потенциала в сфере образования, его износ;

-       низкими ставками заработной платы профессорско-преподавательского состава, что вызывает отток высокопрофессиональных кадров из сферы образования в другие сферы национального хозяйства и за рубеж;

-       непрестижностью труда педагогов высшей школы и, как результат этого, отсутствием притока молодых кадров в сферу образования.

Безусловно, в экономике должны осуществляться системные реформы, должна меняться экономическая структура общества.

Белорусская экономика, будучи глубоко вовлеченной в мировое хозяйство, естественно, попадает во все большую зависимость от состояния мировой конъюнктуры и национальных экономик, их глобализации и поэтому заинтересована не только в международной финансовой и экономической стабильности, но внимательно следит за происходящими в мире переменами.

На экономическое развитие Республики Беларусь в 2011 году ключевое влияние оказало обострение внешних дисбалансов в начале года, что стало следствием сохранения высокого внутреннего спроса в условиях воздействия ряда неблагоприятных внешних факторов, включая увеличение цены импорта природного газа.

Сформировавшиеся внешнеэкономические дисбалансы привели к развитию нестабильности на внутреннем валютном и депозитном рынках, значительному снижению курса национальной валюты и ускорению инфляционных процессов.

При этом привлечение иностранного капитала частным сектором экономики в 2011 году значительно сократилось и было замещено операциями органов государственного управления и денежно-кредитного регулирования. Величина валового внешнего долга существенно выросла, превысив порог экономической безопасности.

Произошедшие в течение 2011 года девальвация белорусского рубля и рост цен снизили уровень жизни населения, замедлилась их потребительская активность.

При этом увеличение кредитной задолженности населения происходило более низкими темпами, чем рост его доходов, что, в свою очередь, способствовало постепенному снижению уровня долговой нагрузки домашних хозяйств.

Следует отметить, что в 2008-2011 гг. в экономике наблюдаются тенденции, которые могут привести к спаду. К ним можно отнести следующие: рост отрицательного сальдо внешней торговли, резкая девальвация национальной денежной единицы, резкое увеличение широкой денежной массы и инфляции, рост внешнего долга экономики. На первом этапе эти меры могут привести к кратковременному росту ВВП, затем без мер структурной перестройки экономики, модернизации производственной сферы, ввода новых производственных мощностей добиться дальнейшего роста экономики будет сложно.

Текущее пятилетие (2011-2015 годы), по мнению Правительства, должно стать важным этапом в дальнейшем совершенствовании белорусской модели социально ориентированной рыночной экономики.

Главная цель социально-экономического развития Республики Беларусь на 2011-2015 годы - рост благосостояния и улучшение условий жизни населения на основе совершенствования социально-экономических отношений, инновационного развития и повышения конкурентоспособности национальной экономики.

Для ее достижения предусматривается повышение реальных располагаемых денежных доходов населения в 2015 году к уровню 2010 года в 1,7-1,76 раза. Основной для этого станет рост ВВП, производительности труда, объемов производства продукции сельского хозяйства, промышленности, инвестиций в основной капитал за пятилетие, основная часть которых будет направлена на создание и модернизацию рабочих мест [14].

Для достижения главной цели необходимо решение следующих задач:

формирование условий для развития человеческого потенциала на основе роста реальных доходов и улучшения комфортности жизни населения, усиления роли семьи, повышения уровня здравоохранения, культуры и качества образования граждан;

модернизация организационно-экономических механизмов и институтов, создание благоприятных условий для реализации предпринимательской инициативы субъектов хозяйствования;

усиление мотивации к эффективной работе и повышение ответственности работников за результаты и качество своего труда;

формирование эффективной инновационной системы;

совершенствование структуры экономики на основе приоритетного развития ресурсосберегающих, наукоемких и высокотехнологичных производств с высокой долей добавленной стоимости и прогрессивных видов услуг;

активизация инвестиционных процессов и стимулирование притока в страну прямых иностранных инвестиций;

развитие интеграционных связей, в первую очередь в рамках Таможенного союза, Единого экономического пространства, СНГ;

повышение эффективности внешнеэкономической деятельности и обеспечение сбалансированности экономики, выход на положительное сальдо внешней торговли товарами и услугами в 2015 году;

обеспечение энергетической безопасности страны.

Реализация поставленных целей и задач будет достигнута на основе всестороннего использования потенциала сильного государства, концепция которого успешно претворяется в жизнь в нашей стране. Именно государство выступит гарантом защиты частной собственности, инициатором и эффективным проводником прогрессивных преобразований.

Ключевая задача пятилетия - формирование нового облика белорусской экономики за счет создания принципиально новых производств, предприятий и отраслей, производящих экспортоориентированную, высокотехнологичную продукцию, в том числе в стратегическом партнерстве с передовыми мировыми компаниями. В этих целях будет создан благоприятный бизнес-климат для отечественных и иностранных инвесторов, что позволит провести структурные преобразования экономики, увеличить выпуск конкурентоспособной инновационной продукции с высокой добавленной стоимостью, повысить доходы предприятий, граждан и государства.

Развитие национальной экономики основывается на новых знаниях и технологиях. В этих целях предусматривается формирование национальной инновационной системы. На новую правовую основу будет поставлен процесс коммерциализации результатов исследований и научных разработок. Дальнейшее развитие получит система создания, оборота и охраны прав интеллектуальной собственности. Реализация предусмотренных мер позволит сформировать эффективную национальную инновационную систему, быстро и результативно внедрять передовые достижения науки в производство, что станет основой устойчивого экономического роста, повышения уровня и качества жизни в стране.

Необходимо предоставить людям возможность иметь достойную оплату труда и пользоваться услугами высокого качества как в городах, так и в малых городских поселениях, а также в сельских населенных пунктах.

Это позволит равномерно улучшать уровень и качество жизни населения независимо от места жительства.

В предстоящей пятилетке предусматривается повышение уровня обеспеченности населения жильем, уменьшение количества граждан, состоящих на учете нуждающихся в улучшении жилищных условий.

Необходимо завершить модернизацию сельскохозяйственного производства и сделать его прибыльным. Следует расширить возможности для ведения бизнеса в агросекторе. Результатом работы должны стать обеспечение продовольственной безопасности страны, наращивание объемов экспорта продовольствия и выход этого комплекса на бездотационную работу [14].

Реализация данных направлений должна привести к устойчивому экономическому росту экономики в текущем пятилетии.

Заключение


Под экономическим ростом понимают процесс, характеризующийся увеличением массы создаваемых благ и услуг в соответствии с объемом и структурой складывающихся общественных потребностей.

Экономический рост в масштабе всего общественного производства представлен увеличением годового объема производства товаров и услуг. Поэтому показателем, с помощью которого измеряется экономический рост, обычно выступает валовой национальный продукт (ВНП) или валовой внутренний продукт (ВВП). Увеличение ВНП или ВВП за счет более высоких цен текущего периода, т.е. изменение номинального (в ценовом выражении) ВНП, не может рассматриваться как экономический рост.

Экономический рост осуществляется под воздействием ряда факторов. В зависимости от способа воздействия на экономический рост выделяют прямые и косвенные факторы. Факторы экономического роста могут быть также подразделены на внешние и внутренние. Например, капитал может быть представлен иностранным (поступающим в страну извне) и национальным, т.е. мобилизуемым внутри страны. Существует множество классификаций факторов экономического роста (экстенсивные и интенсивные; структурные; организационные; экономические; социальные; объективные и субъективные; материальные и нематериальные и др.).

В зависимости от конкретных условий взаимодействия факторов различают экстенсивный и интенсивный типы экономического роста.

О. Домар в своей модели динамического равновесия, в отличие от Г. Харрода, стремится учесть постоянные изменения емкости рынка. Но так же как и Г. Харрод подчеркивает, что динамическое равновесие является неустойчивой и поэтому необходимо государственное регулирование экономического роста.

Функция Кобба-Дугласа получена в результате преобразования простейшей производной функции в модель, которая показывает, какой долей совокупного продукта вознаграждается участвующий в его создании фактор производства.

Р. Солоу показал, что нестабильность динамического равновесия в кейнсианских моделях была следствием невзаимозаменяемости факторов производства. Особенностью этой модели является то, что она демонстрирует устойчивость экономического роста, т.е. способность экономической системы возвращаться к траектории сбалансированного развития при помощи внутренних рыночных механизмов саморегулирования.

Государство целенаправленно стимулировало увеличение внутреннего спроса в целях обеспечения поступательного роста экономики. Это выражается в увеличение денежной массы, роста бюджетной поддержки экономики и доходов населения. Вместе с тем, следует отметить, что в 2008-2011 гг. в экономике наблюдаются тенденции, которые могут привести к спаду. К ним можно отнести следующие: рост отрицательного сальдо внешней торговли, резкая девальвация национальной денежной единицы, резкое увеличение широкой денежной массы и инфляции, рост внешнего долга экономики. На первом этапе эти меры могут привести к кратковременному росту ВВП, затем без мер структурной перестройки экономики, модернизации производственной сферы, ввода новых производственных мощностей добиться дальнейшего роста экономики будет сложно.

Для ее достижения предусматривается повышение реальных располагаемых денежных доходов населения в 2015 году к уровню 2010 года. Основной для этого станет рост ВВП, производительности труда, объемов производства продукции сельского хозяйства, промышленности, инвестиций в основной капитал за пятилетие, основная часть которых будет направлена на создание и модернизацию рабочих мест.

Список использованных источников


1. Антонова, Н.Б. Государственное регулирование экономики: Учебник / Антонова Н.Б. - Мн.: Академия управления при Президенте Республики Беларусь, 2002. - 775 с.

. Бондарь, А.В. Макроэкономика: учебное пособие / А.В. Бондарь, В.А. Воробьев. - Минск: БГЭУ, 2007. - 416 с.

3. Бюллетень банковской статистики №1 (115) [Электрон. ресурс]. - 2011. - Режим доступа: http://www.nbrb. by/statistics/bulletin/2010/bulletin2010_1. pdf <http://www.nbrb.by/statistics/bulletin/2010/bulletin2010_1.pdf>. - Дата доступа: 17.12.2012.

. Головачев, А. Экономика Республики Беларусь: проблемы и пути их решения // Директор. - 2009. - №5 - С.13-17.

. Головачев, А.С. Экономическая теория: курс лекций / А.С. Головачев. - Минск: Академия управления, 2005. - 240 с.

6. Демчук, М.И. Республика Беларусь: системные принципы устойчивого развития. - Мн.: РИВШ БГУ, 2008. - 324 с.

. Краткий статистический сборник "РБ в цифрах", 2012 (стат. сб.) Национальный статистический комитет РБ - Минск, 2012. - 342 с.

8. Кравцова, Г.И. Деньги, кредит, банки: учебник / Г.И. Кравцовой. ─ 2-е изд. ─ Минск: БГЭУ, 2007. ─ 444 с.

9. Лемешевский, И.М. Макроэкономика. (Экономическая теория. Часть 3). Учебное пособие для студентов экономических специальностей высших учебных заведений. - Мн.: ООО "ФУАинформ", 2008. - 576 с.

. Лобкович, Э.И. Переходная экономика: сущность, проблемы, особенности в Беларуси: Науч. - метод. пособие. - Мн.: БГЭУ, 2009. - 435 с.

11. Новикова, И.В. Макроэкономика / И.В. Новикова, Ю.М. Ясинский и др. - Минск: Акад. упр. при Президенте Респ. Беларусь, 2006. - 340 с.

12. Основные тенденции в экономике и денежно-кредитной сфере Республики Беларусь: аналитическое обозрение Национального Банка Республики Беларусь: [Электронный ресурс]. - Режим доступа: http://www.nbrb. by/ <http://www.nbrb.by/> publications/ectendencies/. - Дата доступа: 17.12.2012 г.

. О социально-экономическом положении Республики Беларусь и состоянии государственных финансов: аналитическое обозрение Министерства финансов РБ: [Электронный ресурс]. - Режим доступа: http://www.minfin.gov. by/rmenu/budget/ <http://www.minfin.gov.by/rmenu/budget/>. - Дата доступа: 17.12.2012.

. Программа социально-экономического развития Республики Беларусь на 2011-2015 годы // Национальный реестр правовых актов Республики Беларусь, 2011 г. - № 43, 1/12462.

. Тарасевич, Л.С. Макроэкономика: Учебник / Л.С. Тарасевич, П.И. Гребенников, А.И. Леусский. - М.: Высшее образование, 2006. - 654 с.

. Шараев, Ю.В. Теория экономического роста. - М.: ВШЭ, 2006. - 256 с.

Похожие работы на - Экономический рост в Республике Беларусь

 

Не нашли материал для своей работы?
Поможем написать уникальную работу
Без плагиата!
Без нейросетей!