Оценка действующих стратегий предприятия
Министерство
образования и науки РФ
Федеральное
государственное бюджетное образовательное учреждение
Высшего
профессионального образования
"Московский
государственный университет технологий и управления имени К.Г.
Разумовского"
Филиал ФГБОУ
ВПО "МГУТУ имени К.Г. Разумовского" в г. Омске
Кафедра
Экономических наук
Контрольная
работа
по
дисциплине: Стратегическое управление
тема:
Оценка действующих стратегий предприятия. Рассчитать рейтинг поставщиков по
данным, представленным в таблице
Омск-2014 г.
Содержание
Введение
. Оценка
действующих стратегий предприятия
. Рассчитать
рейтинг поставщиков по данным, представленным в таблице
Вывод
Список литературы
Введение
Стратегическое управление - это управление
организацией, которое опирается на человеческий потенциал как основу
организации. Оно ориентирует производственную деятельность на запросы
потребителей, осуществляет гибкое регулирование и своевременные изменения в
организации, адекватные воздействию окружающей среды и позволяющие добиваться
конкурентных преимуществ, что, в конечном счете, позволяет организации выживать
в долгосрочной перспективе, достигая при этом своих целей.
Объектами стратегического управления являются
организации, стратегические хозяйственные подразделения и функциональные зоны
организации.
Предметом стратегического управления являются:
- Проблемы, которые прямо связанны с генеральными
целями организации.
- Проблемы и решения, связанные с
каким-либо элементом организации, если этот элемент необходим для достижения
целей, но в настоящее время отсутствует или имеется в недостаточном объеме.
- Проблемы, связанные с внешними
факторами, которые являются неконтролируемыми.
Проблемы стратегического управления чаще всего
возникают в результате действия многочисленных внешних факторов. Поэтому, чтобы
не ошибиться в выборе стратегии, важно определить, какие экономические,
политические, научно-технические, социальные и другие факторы оказывают влияние
на будущее организации.
1. Оценка
действующих стратегий предприятия
Важнейшим аспектом активности является качество
реализуемой стратегии. Качественная стратегия создает стабильное конкурентное
преимущество, повышает интенсивность деятельности фирмы.
Действующие стратегии нельзя оценить каким-либо
одним обобщенным показателем, поскольку они затрагивают многие стороны
деятельности организации.
Оценку действующей стратегии предприятия
проведем с помощью ряда нормативных показателей и коэффициента Спирмена.
В основу этого метода положен такой темп
развития предприятия, при котором прибыль растет гораздо более быстрыми
темпами, чем все показатели предприятия.
Итак, имеем нормативный ряд:
Тзр<Тс/с<Тмз<Ттп<Тп,
где Тзр - темпы роста заработной
платы
Тс/с - темпы роста себестоимости
Тмз - темпы роста материальных затрат
Ттп - темпы роста товарной продукции
Тп - темпы роста прибыли
Заметим, что этот нормативный ряд составлен для
стадии роста в жизненном цикле товара, а нам придется изменить этот ряд в
соответствии с текущей стадией ЖЦТ.
Для оценки возможности использования стратегии
для достижения конечной цели предприятия необходимо рассмотреть следующие
технико-экономические показатели ООО "Веста" (таблица № 1).
Таблица № 1 Технико-экономические показатели ООО
"Веста"
|
Годы
|
Выручка
от реализации продукции, тыс. руб.
|
Фонд
заработной платы, тыс. руб.
|
Полная
себестоимость, тыс. руб.
|
Материальные
затраты, тыс. руб.
|
Балансовая
прибыль, тыс. руб.
|
|
2010
|
3061
|
251
|
2647
|
1316
|
444
|
|
2011
|
5603
|
568
|
5064
|
3026
|
588
|
|
2012
|
8283
|
1204
|
7267
|
4044
|
996
|
В таблице № 2 представлены темпы изменения
технико-экономических показателей рассматриваемого предприятия.
Таблица № 2 Темпы изменения
технико-экономических показателей предприятия (в %)
|
Периоды
|
Темпы
роста
|
|
Выручка
от реализации продукции
|
Фонд
заработной платы
|
Полная
себестоимость
|
Балансовая
прибыль
|
|
2011/2010
|
183,0
|
225,8
|
191,3
|
229,8
|
132,4
|
|
2012/2011
|
147,8
|
212,0
|
143,5
|
133,7
|
169,4
|
Приведем нормативный ряд показателей в
соответствие со стадией жизненного цикла товара. Построим график жизненного
цикла предприятия за три года (рис. 1).
Рис. 1. График жизненного цикла предприятия: ряд
1- Выручка от реализации продукции; ряд 2 - Балансовая прибыль
Итак, товар предприятия находится в стадии
зрелости, поэтому изменим нормативный ряд следующим образом (таблица № 3).
В таблице №3 приведены фактические динамические
ряды уровня развития предприятия.
Весовые коэффициенты темпов роста показателей
отражают ранжирование совокупности - от больших значений темпов прироста
экономических показателей к меньшим.
В таблице также рассчитан коэффициент корреляции
Спирмена, по изменению которого и судят об эффективности реализации выбранной
стратегии развития предприятия.
Таблица № 3 Расчет коэффициента Спирмена
|
Периоды
|
Ранги
|
Коэффициент
корреляции Спирмэна, Кспир
|
|
Выручка
от реализации продукции
|
Фонд
заработной платы
|
Полная
себестоимость
|
Материальные
затраты
|
Балансовая
прибыль
|
|
|
Нормативный
ряд
|
4
|
1
|
3
|
2
|
5
|
-
|
|
2011/2010
|
4
|
2
|
3
|
1
|
5
|
0,9
|
|
2012/2011
|
3
|
1
|
4
|
5
|
2
|
-0,05
|
Степень соответствия нормативного и фактического
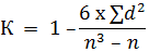
рядов можно оценить с помощью коэффициента ранговой корреляции Спирмена:
где ∑d2 - сумма квадратов
разностей рангов показателей в ряду;- количество рангов в ряду.
При полном соответствии двух
последовательностей, К = +1, что означает полную положительную корреляцию.
При полной отрицательной связи К = -1, в
остальных случаях -1<К<1.
Возрастание коэффициента от -1 до +1
характеризует рост соответствия между рядами, а значит, рост результативности
выбранной стратегии.

Как видно из расчетов, коэффициент
снижается, связь между целями предприятия и его деятельностью достаточно мала.
Стратегия предприятия ООО "Веста" нуждается в корректировке.
Расчеты показали, что в наибольшей
степени фактическая структура показателей развития предприятия соответствовала
эталонной структуре в 2010 г., что говорит о правильном выборе и реализации
стратегии и ориентиров развития предприятия.
Значительное снижение значения
коэффициента Спирмена в 2012 г. связано, прежде всего, с резким ростом
себестоимости продукции. Для исправления ситуации необходимо предпринять все
возможные меры для снижения себестоимости и увеличения объемов реализации
продукции, чтобы увеличить объем прибыли предприятия.
стратегический
управление поставщик
2. Рассчитать рейтинг поставщиков по
данным, представленным в таблице
Таблица №4
|
Критерий
выбора поставщика
|
Удельный
вес критерия
|
Оценка
значения критерия (по десятичной шкале)
|
|
Поставщик
1
|
Поставщик
2
|
|
|
1
. Надежность поставки
|
0,40
|
7
|
|
2.
Цена
|
0,25
|
0,15
|
6
|
|
3.
Качество товара
|
0,15
|
0,20
|
8
|
|
4.
Условия платежа
|
0,15
|
0,15
|
4
|
|
5.
Возможность внеплановых поставок
|
0,10
|
0,05
|
7
|
|
6.
Имидж, деловая репутация
|
0,05
|
0,05
|
4
|
|
ИТОГО:
|
1,0
|
1,0
|
-
|
Решение: Рейтинг
- субъективная оценка какого-либо явления по заданной шкале. С помощью рейтинга
осуществляется первичная классификация объектов по степени выраженности общего
для них свойства (экспертные оценки). Рейтинг может служить основой для
построения шкал оценок, в частности, при оценке надежности отдельных
поставщиков.[2] Выбор поставщиков включает сбор информации и создание банка
данных о поставщиках, поиск оптимального поставщика, оценку результатов работы
с выбранными поставщиками. Поступающая информация о поставщиках позволяет
формировать банк данных, который необходимо проанализировать на основании
специальных критериев, позволяющих осуществить отбор приемлемых поставщиков.
Количество специальных критериев может варьироваться от одного до нескольких
десятков. Все зависит от самого предприятия, которое определяет эти критерии.
Как правило, используются критерии по цене, качеству, условиям поставки и их
надежности.
Рейтинг поставщика
рассчитывается по формуле:
,
где:
- рейтинг i - го поставщика, ед.;
- удельный вес критерия i - го
поставщика, доля единицы;
- оценка значения критерия
предприятием, ед.;
- количество критериев выбора
поставщика
Используя данную формулу, рассчитаем
рейтинг поставщиков:
Вывод: Надежный
поставщик - залог успешного бизнеса. Выберем второго поставщика, так как его
рейтинг выше.
Вывод
стратегический управление товар
поставщик
Современное понимание стратегического
планирования фирмы тесно связано с понятием менеджмента фирмы. С одной стороны
данная взаимосвязь объясняется сутью планирования, представляющего одну из пяти
базовых функций управления (планирование, организация, координация, мотивация и
контроль). С другой стороны, неопределенность как одно из основных свойств
внешней среды обуславливает специальные требования к планированию, которые
определяются роль внешней среды фирмы. Оно является как источником ресурсов,
так и потребителем продукта фирмы. Ключевым условием эффективной работы фирмы в
этих обстоятельствах выступает умение согласовывать меняющиеся потребности и
предпочтения покупателя с ритмичным выпуском и реализацией конкурентоспособной
продукции.
Список литературы
1. Виханский О.С. Стратегическое
управление. М., "Гарольдика", 2008.
2. Гольдштейн Г.Я.
Стратегический инновационный менеджмент: Учебное пособие. Таганрог: Изд-во
ТРТУ, 2007.
. Виноградова З.И.
Стратегический менеджмент: Матрица модулей, "дерево": Учебное
пособие. - М.: Академический Проект: Фонд "Мир", 2009.
. Глумаков В.Н., Максимцов
М.М., Малышев Н.И. Стратегический менеджмент: Практикум. - М.: Вузовский
учебник, 2008.
5. Васильев Г.А. Основы
маркетинга.- М.: ЮНИТИ, 2008
6. Ветроградов В.. Управление
продажами. 2-е изд.- СПб.: Питер, 2009
. Джоббер Д., Ланкастер Дж.
Продажи и управление продажами: Учебное пособие для вузов. - М.: ЮНИТИ-ДАНА,
2010
. Мэннинг Дж., Рис Б. Больше,
чем МВА. Современный учебник продаж. - СПб.: Прайм-ЕВРОЗНАК, 2008
. Кондрашов В.М. Менеджмент
продаж. Учебное пособие. - М.: Вузовский учебник, 2009
. Синяева И.М. Коммерческая
деятельность в сфере товарного обращения.- М.: ЮНИТИ, 2010